МИНИСТЕРСТВО ОБРАЗОВАНИЯ И НАУКИ РФ
ФЕДЕРАЛЬНОЕ АГЕНТСТВО ПО ОБРАЗОВАНИЮ
ГОСУДАРСТВЕННОЕ ОБРАЗОВАТЕЛЬНОЕ УЧРЕЖДЕНИЕ
ВЫСШЕГО ПРОФЕССИОНАЛЬНОГО ОБРАЗОВАНИЯ
ВСЕРОССИЙСКИЙ ЗАОЧНЫЙ ФИНАНСОВО-ЭКОНОМИЧЕСКИЙ ИНСТИТУТ
КОНТРОЛЬНАЯ РАБОТА
По дисциплине «Экономика организации»
На тему:
«Пути и резервы повышения эффективности производства»
Вариант № 1
Челябинск
2009
Содержание
Введение…………………………………………………………………...3
1. Сущность и критерии экономической эффективности производства………………………………………………………………………4
2. Показатели, характеризующие эффективность производства на предприятии………………………………………………………………………8
3. Резервы и пути повышения эффективности производства в условиях рыночной экономики………………………………………………. .15
Заключение………………………………………………………………28
Список используемой литературы……………………………………..30
Введение
Решение многообразных проблем ускорения социально-экономического развития страны выдвинуло на первый план обеспечение устойчивых темпов роста производительности труда. Это вызвало необходимость углубленного исследования процесса формирования затрат и результатов труда, разработки комплекса важнейших практических рекомендаций по повышению производительности труда, рассмотрения всех факторов её роста.
На современном этапе развития производства объективно усиливается роль организации труда, что объясняется более высоким уровнем обобществления труда и производства, качественными изменениями в рабочей силе и средствах производства в период научно-технической революции. Научно-технический прогресс вызывает потребность в более прогрессивных способах соединения вещественных и личного факторов производства, соответствующих интенсивному типу развития.
Общественная организация труда представляет собой совокупность производственных отношений по поводу характера и способа соединения работников со средствами производства. Именно она обуславливает специфическую социально-экономическую форму действия всеобщего закона повышения производительности труда как закона её неуклонного роста. Достигнутый в обществе уровень производительности есть результат действия как объективно сложившегося, так и сознательного механизмов использования этого закона. Производительность труда и закон её роста взаимосвязаны с более широкими категориями – экономии времени и эффективности труда. Уяснение этого особенно важно при рассмотрении вопроса о том, производительность какого – живого или совокупного труда необходимо измерять.
1. Сущность и критерии экономической эффективности производства
Рыночные условия потребовали разработки соответствующих показателей и критериев оценки эффективности управления. Имеет место необходимость введения нескольких критериев базовых показателей, на основании которых осуществляется оценка результативности УС; потребовалась оценка эффективности по уровням управления и функциональным подсистемам.
Эффективность управления отражает результативность обеспечения социально-экономического развития предприятия. В этой связи эффективность управления проявляется в достигнутых показателях результативности всей деятельности предприятия.
Эффективность, как показатель результативности, предполагает соизмерение затрат с результатом. В качестве последнего рассматривается прибыль как конечный результат деятельности, а в качестве затрат - основные производственные фонды и оборотные средства. Однако резельтат, как экономическое понятие, шире такого толкования. Результат имеет многообразные проявления.
Так, Д. Скотт Синк рассматривает 7 различных результатов: действенность, экономичность, качество, прибыльность, производительность, качесто трудовой жизни, внедрение новшеств.
При этом под действенностью (Д) понимается степень достижения системой поставленных перед ней целей, степень завершения "нужной" работы.
Для оценки действенности используются три критерия:
a) качество - делаем ли мы продукцию, свойства которой соответствуют определенным требованиям;
b) количество - делаем ли мы нужную для потребителей продукцию в объемах, обусловленных договорами о поставках;
c) своевременность - выполняем ли мы договорные сроки поставки продукции.
Экономичность (Э) оражает степень использования ресурсов. Этот показатель является измерителем результативности организационной системы в отношении затрат.
Качество (К) связано с понятием качественных признаков, котрые отражают конкретные свойства, закладываемые в продукт при его создании.
Прибыльность (П) представляет собой соотношение между валовым доходом и суммарными издержками. Этот показатель можно измерять по-разному.
Прибыльностьотражается в следующих показателях:
a) чистая прибыль, отнесенная к объему продаж:
Пч : Vп = Рv,
где Пч - чистая прибыль;
Vп - объем продаж;
Рv - рентабельность продаж;
b) чистая прибыль, отнесенная к совокупным активам:
Пч : АС = РА,
где АС - совокупные активы;
РА - рентабельность активов;
c) чистая прибыль, отнесенная к собственному капиталу:
Пч : КС = РК,
где КС - собственный капитал;
РК - рентабельность капитала;
d) валовый доход, отнесенный к издержкам производства:
ВД : И = Рп,
где ВД - валовый доход;
Рп - рентабельность производства.
Производительность отражает соотношение количества реализованной продукции и затрат труда на ее изготовление. Этот показатель может быть представлен и соотношением изготовленной и реализованной продукции к затратам живого и овеществленного труда. Показатель содержит элементы предшествующих показателей результативности. Так, объем реализации (продаж) связан с качеством и количеством продукции, в нем находят отражение первые два условия действенности: качество продукции и ее объем. Использование в расчете критерия производительности совокупности живого и овеществленного труда связывает этот показатель с экономичностью.
Качество трудовой жизни - критерий, который отражает реакцию работников на социально-технические условия труда, их психологическое состояние в процессе работы. Этот критерий во многом опрееляет способость предприятия эффективно функционировать.
|
КСФ= * a,
где IF - уровень стратегических капиталовложений;
IK - критическая точка объема капиталовложений;
Io - точка оптимального объема;
a - коэффициент, учитывающий другие факторы конкурентоспособного статуса.
Естественно, что приоритет, весомость каждого из перечисленных критериев результативности будут зависеть от ряда факторов конкретного предприятия и, прежде всего, от его состояния: технического, финансового, зрелости технологии и продукции, его положения на рынках сбыта, кадрового обеспечения и др. Задача менеджмента состоит в установлении наиболее эффективных действий, направленных на повышение эффективности функционирования предприятия.
Эффективность управления предприятием может рассматриваться и за пределами его внутренних границ. Необходимо учитывать в этой связи эффект воздействий управляющей системы на другие предприятия-поставщики материально-сырьевых ресурсов, предприятия-потребители продукции.
Эффективность управления может рассматриваться как в глобальном масштабе - по отношению ко всему объекту и внешней среде, так и в локальном аспекте - по отношению к процессу управления, техническому оснащению отдельных подразделений структуры управления, подсистем управления. Последнее приобретает очень важное значение: оценить вклад (ущерб) в общие итоги деятельности подсистем управления.
2. Показатели, характеризующие эффективность производства на предприятии
Сущность экономической эффективности наряду с ее критериями конкретизируется на основе классификации экономического эффекта (результата), а также затрат и ресурсов.
Реальность информации об уровне эффективности всего связана с классификацией и формами выражения экономического эффекта. Оценка экономического эффекта, как правило, включает три группы показателей: объемные, конечные и социальные результаты.
Объемные показатели экономического эффекта являются исходными и включают в себя натуральные и стоимостные показатели объема произведенной продукции и услуг: объем производства продукции в натуральных измерителях, валовую, товарную продукцию, объем строительно-монтажных работ, нормативную стоимость обработки и др.
Следующая группа показателей эффекта отражает конечные результаты производственно-хозяйственной деятельности на различных уровнях управления, удовлетворение потребностей рынка, качественную структуру производства. К ним относятся: национальный доход, чистая продукция, валовой национальный продукт, прибыль, экономия от снижения себестоимости, объем продаж в соответствующих ценах, ввод в действие производственных мощностей и фондов, качество продукции и услуг.
Объемные результаты учитываются при расчете дифференцированных показателей эффективности, а конечные экономические результаты- при расчете обобщающих (комплексных) показателей эффективности.
Важное место в оценке эффективности производства принадлежит социальным результатам, выражающим соответствие результата производственно-хозяйственной деятельности социальным целям общества, коллектива, приоритетность человеческого (личностного) фактора в развитии экономики. Социальные результаты выражают все, что связано с жизнедеятельностью людей, как в сфере производства, так и вне ее. Экономические интересы производителей находятся в тесной взаимосвязи с социальными результатами: чем выше экономические результаты, тем выше должны быть и социальные результаты и наоборот. Социальные результаты отражаются в таких показателях, как повышение уровня жизни (рост оплаты труда, реальных доходов, прожиточный минимум, обеспеченность жильем, уровень медицинского обслуживания, общеобразовательный и профессиональный уровень работников), свободное время и эффективность его использования, условия труда (сокращение травматизма, текучесть кадров, занятость населения), состояние экологии и влияние производства на экологическую обстановку в стране и регионе. Следует отметить, что социальные результаты и их влияние на экономические результаты не всегда поддаются точной количественной оценке, широко распространена их косвенная оценка, ранжирование целей.
Классификация затрат и ресурсов в мировой практике универсальная, в ней выделяются следующие основные виды затрат и ресурсов: затраты живого труда (отработанное время, фонд заработной платы), материальные затраты (затраты сырья, материалов, топлива, энергии), производственные фонды (основные производственные фонды, оборотные фонды, фонды обращения), капитальные вложения, инвестиции (затраты на расширенное воспроизводство основных фондов и прирост оборотных фондов), природные ресурсы (земля, запасы полезных ископаемых, леса, воды), информационные ресурсы (знания, результаты научных исследований, изобретения и рационализаторские предложения), время, как экономическая категория (рабочий период, время производства, сроки реализации инвестиций, инноваций, внедрения новой техники). Все затраты и ресурсы подразделяются на текущие (издержки производства и обращения) и единовременные (капитальные вложения) затраты, потребленные и применяемые ресурсы, единичные и совокупные.
Затраты - это потребленные в течение года производственны ресурсы в виде трудовых и материальных затрат. Производственные ресурсы - это накопленные за ряд лет материальные и финансовые средства, фонды (основные фонды и оборотные средства), а также потенциальные людские ресурсы (трудовые ресурсы) с количественной и качественной характеристиками.
Текущие затраты представляют собой постоянные материальные расходы и трудовые затраты, необходимые для производства продукции и услуг в течение года, единовременные затраты – это авансируемые на ряд лет финансовые и материально-технические средства (инвестиции), необходимые для расширенного воспроизводства производственных фондов, технического совершенствования производства. В отличие от текущих затрат, которые приносят эффект, как правило в течение года, единовременные затраты дают эффект через определенный период времени, как правило, больше года, после ввода в действие производственных мощностей.
Для оценки и анализа экономической эффективности производства применяются дифференцированные и обобщающие показатели эффективности. Эффективность использования какого-либо одного вида затрат и ресурсов выражается в системе дифференцированных показателей эффективности. К ним относятся: производительность труда или трудоёмкость, материалоотдача или материалоёмкость продукции, фондоотдача или фондоёмкость, капиталоотдача или капиталоёмкость. Дифференцированные показатели эффективности рассчитываются как отношение выпуска продукции к отдельным видам затрат или ресурсов или наоборот - затрат или ресурсов к выпуску продукции.
Для оценки экономической эффективности в целом по республике, региону, предприятию применяются обобщающие (комплексные, интегральные) показатели эффективности. Эти показатели позволяют более полно и во взаимосвязи учесть многие факторы и составляющие, которые оказывают влияние на уровень и динамику эффективности. В основе формирования обобщающих показателей находятся два условия: учёт конечного, качественного результата и отражения совокупной величины затрат и ресурсов (например, издержки производства и обращения, суммарная величина производственных фондов). К основным обобщающим показателям экономической эффективности относятся следующие: национальный доход (НД), валовый национальный продукт (ВНП) на душу населения; производительность общественного труда, коэффициент общей эффективности, затраты на рубль товарной продукции, прибыль, рентабельность производства и рентабельность продукции.
Главным обобщающим критерием экономической эффективности общественного производства служит уровень производительности общественного труда.
Производительность труда - это показатель эффективности трудовой деятельности работников, отношение стоимости используемых ресурсов к стоимости произведенной продукции.
Производительность труда определяется отношением количества произведенных товаров и услуг к затратам труда. От производительности труда зависит развитие общества и уровень благосостояния населения.
Различают производительность живого и совокупного труда. Производительность живого труда определяется затратами рабочего времени в данном производстве, а производительность совокупного (общественного) труда затратами живого и общественного труда. По мере совершенствования производства, производительность труда увеличивается, но при этом величина затрат живого и общественного труда на единицу продукции уменьшается.
Производительность труда выступает как интенсивный фактор увеличения объема продукции; изменение массы затрат рабочего времени является экстенсивным фактором.
Уровень производительности труда измеряется выработкой продукции в единицу времени, и трудоемкостью изготовления продукции.
Выработка - это количество продукции, произведенной в единицу рабочего времени или приходящейся на одного среднесрочного работника в год (квартал, месяц). Это прямая величина производительности труда: она увеличивается при повышении производительности труда и уменьшается при ее снижении.
Трудоемкость характеризует затраты рабочего времени на производство единицы продукции или работы. Трудоемкость - обратная величина средней выработки: она уменьшается при росте производительности труда и увеличивается при ее снижении.
Выработка - наиболее распространенный и универсальный показатель труда. Для ее измерения используют натуральные, условно-натуральные и стоимостные (денежные) единицы измерения.
Единицы трудоемкости - нормо-часы. Труд, затраченный на производство продукции, может быть выражен в человеко-часах, человеко-днях или среднесрочной численностью работающих.
В зависимости от способа выражения объема продукции различают три основных метода измерения производительности труда: натуральный, трудовой и стоимостный.
При натуральном методе уровень производительности труда исчисляется как отношение объема продукции в физических единицах измерения к среднесрочной численности ППП.
При трудовом методе объем продукции исчисляется в нормо-часах. Уровень производительности труда стоимостным методом определяется путем деления объема продукции в денежном выражении на среднесрочную численность ППП.
В зависимости от состава затрат, включаемых в трудоемкость продукции, различают следующие ее виды:
а) технологическая трудоемкость (затраты труда основных рабочих);
б) трудоемкость обслуживания производства (затраты труда вспомогательных рабочих);
в) производственная трудоемкость (затраты труда основных и вспомогательных рабочих);
г) трудоемкость управления производством (затраты труда руководителей, специалистов и служащих);
д) полная трудоемкость (затраты труда всего промышленно-производственного персонала).
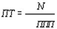
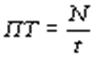
Измерить
производительность труда можно исходя из количества продукции, произведенной в
единицу времени (выработка) или количества времени, затраченного на
производство единицы продукции (трудоемкость):

или , (1)
где ПТ - производительность труда работающих;
N - количество продукции, произведенной в единицу времени (смену, месяц, год);
t - трудоемкость единицы продукции;
ППП - численность промышленно-производственного персонала, обеспечившего выпуск продукции.
Производительность труда может быть выражена:
-в натуральных единицах, например: шт/чел.год, т/чел.час, м/чел. мес.;
-в денежной форме - руб./чел.мес, руб./чел.год;
-в единицах трудоемкости, затрачиваемой на изготовление продукции: н.ч/шт.
Производительность труда может исчисляться по объему производства (N), выраженному в валовой продукции
(Nвал), товарной продукции (Nтов) или реализованной продукции (Nреал).
Исчисление производительности труда по валовой продукции недостаточно полно характеризует ее действительный уровень, т.к. сильно зависит от объема незавершенного производства, от стоимости материалов и комплектующих изделий, не связанных с производительностью труда.
Исчисление производительности труда по товарной продукции отражает ее действительный уровень и не зависит от объема незавершенного производства, но зависит от стоимости материалов и комплектующих изделий. При неизменных затратах на эти статьи расходов и при исчислении производительности труда по товарной продукции, выраженной в натуральных единицах, этот показатель правильно отражает производительность труда, если расчет производительности труда ведется в натуральных единицах.
В знаменателе формулы (1) фигурирует численность промышленно-производственного персонала. Это позволяет учесть влияние на производительность труда не только основных производственных рабочих, но и других категорий работающих (вспомогательных рабочих, инженерно-технических работников, служащих и др.). В отдельных случаях может исчисляться производительность труда только производственных рабочих.
3. Резервы и пути повышения эффективности производства в условиях рыночной экономики
Среди обстоятельств, влияющих на уровень производительности труда, можно выделить факторы и условия. Под факторами понимаются главные движущие причины, вызывающие ту или иную динамику производительности труда. Другое функциональное назначение имеет понятие «условия». Это обстановка, в которой происходит процесс движения производительности труда. Между факторами и условиями имеется органическая связь: фактор как движущая сила всегда действует в каких-то конкретных условиях. Например, автоматизация производства выступает мощным фактором роста производительности труда, а структура производства служит условием, при котором происходит автоматизация производства.
Качество факторов и условий необычайно велико и разнообразно, поэтому простое их перечисление без какой либо систематизации – дело довольно сложное и вряд ли оправданное. Наиболее общая классификация факторов и условий, влияющих на производительность труда, может быть проведена на основе элементов общественно-экономической формации: производительных сил, производственных отношений и надстройки. Исходя из этого, факторы и условия влияющие на уровень производительности труда в обществе, можно объединить в четыре группы: природно-климатические; технико-организационные; социально-экономические; социально-политические.
Природно-климатические факторы и условия создают предпосылки для определенного исходного уровня производительности труда в данном месте. Особенно значительно их влияние на уровень производительности труда в сельском хозяйстве и добывающей промышленности.
Технико-организационные факторы связаны с развитием производительных сил общества: средств производства и рабочей силы, а также совершенствованием их комбинации. Ведущим технико-экономическим фактором роста производительности труда выступает научно-технический прогресс, который представляет собой взаимосвязанное совершенствование науки и техники, составляющее потенциальную основу для повышения производительности труда. Научно-технический прогресс приводит к изменениям в применяемых средствах и предметах труда, в технологии производства, к замене ручного труда машинным. В ХХ в. появление ряда новых направлений техники все теснее взаимодействует с революционным развитием науки, образуя единый процесс НТР[1]. Слияние развития техники и науки в единый процесс знаменует собой превращение науки в непосредственную производительную силу, что выражается в возрастании эффективности процесса производства в зависимости от использования результатов научных исследований.
Говоря о взаимозависимости научно-технического прогресса и результатов производства, необходимо отметить внутреннюю противоречивость этой зависимости. Научно-технический прогресс – эффективное средство роста производства, однако своевременному и быстрому внедрению достижений научно-технического прогресса в производство препятствует противоречие между текущими и перспективными задачами увеличения выпуска продукции. Объем выпуска продукции ограничен возможностями применяемой техники и технологии. Сменить технику и технологию на более прогрессивную – значит создать условия для увеличения выпуска продукции в будущем. Но техническое перевооружение требует времени, в течении которого выпуск продукции на данном производстве придется уменьшить или даже прекратить. Это противоречие может быть разрешено на основе совершенствования хозяйственного механизма, а также путем создания резервных мощностей на каждом производстве.
Как уже указывалось, для ускорения темпов роста производительности труда необходимо наиболее полно использовать преимущества рыночной экономики, в условиях которой действие закона повышения производительности труда имеет безусловное значение.
Под факторами роста производительности труда следует понимать всю совокупность движущих сил и причин, определяющих уровень и динамику производительности труда. Факторы роста производительности труда весьма разнообразны и в совокупности составляют определенную систему, элементы которой находятся в постоянном движении и взаимодействии.
Исходя из сущности труда как процесса потребления рабочей силы и средств производства, все множество факторов, определяющих рост производительности труда, целесообразно объединить в две группы:
1) материально-технические, обусловленные уровнем развития и использования средств производства, в первую очередь техники;
2) социально-экономические, характеризующие степень использования рабочей силы.
Эффективность действия указанных факторов определяется естественными и общественными условиями, в которых они продляются и используются. Естественные условия — это природные ресурсы, климат, почва и т. д., влияние которых весьма значительно в добывающих отраслях. Общественные условия роста производительности труда при рыночной экономике порождены новой системой производственных отношений, в основе которых лежит частная собственность на средства производства. Такими условиями являются новые прогрессивные формы организации труда, новые экономические методы хозяйствования и управления производством, повышение материального благосостояния народа и общеобразовательного и культурно-технического уровня работников.
Среди материально-технических факторов роста производительности труда особое место занимает научно-технический прогресс, являющийся основой интенсификации всего общественного производства.
С превращением науки в непосредственно производительную силу научно-технический прогресс влияет на все элементы производства — средства производства, труд, его организацию и управление. Научно-технический прогресс вызывает к жизни принципиально новую технику, технологию, новые орудия и предметы труда, новые виды энергии, полупроводниковую технику, электронно-вычислительные машины, автоматизацию производства.
Вместе с тем научно-технический прогресс создает предпосылки для улучшения условий труда, ликвидации существенных различий между умственным и физическим трудом, повышения культурно-технического уровня работников. Технический прогресс сопровождается расширением сферы научной организации труда производства и управления с применением средств организационной и вычислительной техники.
Органическое соединение достижений научно-технической революции с преимуществами рыночных отношений предполагает усиление связи науки с производством, дальнейшую концентрацию и специализацию производства, создание производственных объединений и хозяйственных комплексов, совершенствование отраслевой и районной структур и пр. Все эти процессы способствуют непрерывному повышению производительности труда.
Технический прогресс осуществляется в следующих направлениях:
а) внедрение комплексной механизации и автоматизации производства;
б) совершенствование технологии;
в) химизация производства;
г) рост электровооруженности труда.
Интересы дальнейшего подъема производительности труда и эффективности общественного производства в нашей стране требуют последовательного повышения уровня комплексной механизации и автоматизации на всех участках производства в зависимости от конкретных технологических особенностей предприятий.
До последнего времени на предприятиях главное внимание уделялось механизации основных производственных процессов. В результате образовалась диспропорция в механизации труда на различных производственных участках. Поэтому комплексная механизация всего производства представляет собой одну из важнейших задач технической политики руководства предприятия. Осуществление комплексной механизации производства создает необходимые условия для перехода к комплексной автоматизации, являющейся высшей ступенью механизации труда.
Важнейшим фактором роста производительности труда является совершенствование технологии производства. Она включает в себя технические приемы изготовления продукции, производственные методы, способы применения технических средств, приборов и агрегатов. Технология охватывает весь процесс материального производства — от разведки и добычи природного сырья до переработки материалов и получения готовой продукции.
Основными направлениями совершенствования технологии производства в современных условиях являются: сокращение длительности производственного цикла, снижение трудоемкости изготовления изделий, предметно-замкнутое построение структуры производственных процессов, сокращение объема обслуживания на межоперационных перемещениях обрабатываемых предметов и др. Решение этих задач достигается различными способами, например, механическая обработка предметов труда дополняется, а в необходимых случаях заменяется химическими методами, электрохимией и другими видами технологического использования электроэнергии. Все большее применение в технологии производства получают сверхвысокие и сверхнизкие давления и температуры, ультразвук, токи высокой частоты, инфракрасные и другие излучения, сверхпрочные материалы и т. д. Совершенствование технологии изготовления продукции во всех отраслях производства обеспечивает значительную интенсификацию и ускорение производственных процессов, их непрерывность и высокое качество продукции.
Технология производства подвержена особенно быстрому моральному старению в эпоху научно-технической революции. Поэтому перед современным производством ставится задача обеспечить широкое внедрение прогрессивных, особенно непрерывных, технологических процессов на основе использования химической технологии, электротехнических средств и др.
Не смотря на экологическую сторону этого вопроса, одним из эффективных направлений технического прогресса является химизация производства. Химизация опережающим развитием химической и нефтехимической промышленности, возрастающим уровнем применения прогрессивных химических материалов и химических процессов. Широкое использование синтетических полимерных материалов, главным образом синтетических смол и пластических масс, позволяет повышать технический уровень и эффективность производства.
Синтетические полимеры являются полноценными заменителями цветных и черных металлов, дерева и других традиционных материалов, а также выступают как новые конструкционные и технические материалы, без которых невозможно решить ряд важных технических задач. Большой эффект дает применение этих материалов при замене цветных металлов и высококачественных сталей в электротехнической промышленности, в машиностроении, в строительстве. Использование пластических масс в машиностроении позволяет улучшить эксплуатационные свойства, облегчить вес конструкций и существенно улучшить внешний вид машин.
Не менее важно и то, что изделия из пластмасс могут быть изготовлены с очень высоким коэффициентом использования материала и малой трудоемкостью изготовления.
Электрификация производства является основой осуществления всех других направлений технического прогресса.
Современная научно-техническая революция дает возможность использовать новые богатейшие источники первичных энергоресурсов, позволяющие удовлетворять быстро возрастающие потребности в электроэнергии и ускорить завершение сплошной электрификации всего хозяйства. Одновременно с этим создаются новейшие электротехнические средства, возникают и быстро развиваются неизвестные ранее отрасли производства (электроника, радиоэлектроника и т. п.), расширяются сфера и направления технологического применения электроэнергии, радикально преобразуются основные традиционные элементы машинной техники и трудового процесса, сложившиеся на предыдущих этапах развития машинных средств труда.
Между энерговооруженностью и производительностью труда существует настолько тесная зависимость, что первую можно использовать в качестве технико-экономического измерителя второй, сделав определенную поправку лишь в связи с использованием электроэнергии на непроизводственные нужды. В топливно-энергетической базе расширяется использование наиболее экономичных и совершенных энергоносителей. Продолжаются работы по укрупнению единичных мощностей оборудования, агрегатов и машин, что позволяет снижать удельный вес капиталовложения, сокращать энергетические затраты на единицу продукции, уменьшать издержки производства, значительно повышать производительность труда. В области организации производства, которая должна соответствовать требованиям современного научно-технического прогресса, первостепенное значение приобретают вопросы концентрации и специализации.
Создание крупного специализированного производства, усиление специализации предприятий, цехов и участков создают благоприятные условия для применения высокопроизводительного оборудования, новейших инструментов, и приспособлений, внедрения прогрессивных технологических процессов.
Проблема усиления специализации в равной мере относится и к ремонтному производству.
Существенное влияние на рост общественной производительности труда оказывает повышение качества продукции, которое дает возможность удовлетворять общественные потребности с меньшими затратами труда и средств: изделия лучшего качества заменяют большее количество изделий более низкого качества. Улучшение качества во многих отраслях выражается в увеличении срока службы изделий. Повышение же долговечности тех или иных средств труда равнозначно дополнительному увеличению выпуска этих изделий. Однако повышение качества этих видов продукции будет эффективно лишь в том случае, если их физический и моральный износ будут примерно совпадать.
Улучшение качества продукции одной отрасли способствует росту производительности труда другой, потребляющей эту продукцию. Поэтому экономический эффект от повышения качества продукции исключительно велик.
В условиях рыночной экономики значительно возрастает роль социально-экономических факторов, воздействующих на рост производительности труда. К важнейшим из них относятся:
· повышение культурно-технического уровня трудящихся,
· качество подготовки специалистов с высшим и средним образованием,
· повышение деловой квалификации кадров,
· рост уровня жизни населения,
· творческое отношение к труду и др.
Научно-техническая революция ведет к качественным изменениям рабочей силы. В результате внедрения в производство современной науки и техники во всех отраслях экономики страны увеличивается удельный вес кадров, получивших специальную подготовку в вузах и средних специальных учебных заведениях.
Люди с более высокой общеобразовательной подготовкой быстрее осваивают профессии и становятся квалифицированными специалистами; они быстрее осознают общественную значимость своего труда, у них, как правило, более высокая организованность и дисциплина труда, больше творческой инициативы и изобретательности в работе. Несомненно, все это сказывается на производительности труда и качестве выпускаемой продукции.
Важным фактором повышения эффективности производства являются духовный рост людей, социальная активность как отдельных участников общественного производства, так и целых коллективов на основе развития демократии.
Факторы роста производительности труда по сфере своего действия подразделяются на внутрипроизводственные и отраслевые.
К внутрипроизводственным относятся факторы, действующие на предприятиях всех отраслей народного хозяйства. Все их многообразие сводится к следующим укрупненным группам: повышению технического уровня производства, совершенствованию управления, организации производства и труда, изменению объема и структуры производства.
Кроме факторов, действующих на предприятиях, на уровень и темпы роста производительности труда влияют отраслевые факторы: специализация, концентрация и комбинирование, освоение новых производств, изменение размещения отрасли по территории страны, изменение темпов роста и доли подотраслей и производств.
Большое влияние на рост производительности труда оказывают экономические факторы.
Социально-экономические условия представляют собой всю систему производственных отношений общества, опосредствующих собой технико-организационное взаимодействие средств производства и рабочей силы.
Наконец, социально-политические условия – это условия, лежащие на уровне надстройки и влияющие на производительность труда через сознание работника (например, культура, мораль, идеология, религия и т.п.) или путем взаимодействия с производством в целом (например, наука, политическая система, государство, право и др.).
Каждая из перечисленных групп и каждый фактор внутри них по-своему воздействует на производительность труда. Это воздействие имеет качественную характеристику – направленность: в каждый данный момент можно выделить повышающие и понижающие факторы. Кроме того, его можно оценить количественно – определить силу воздействия данного фактора. Направленность действия каждого из факторов данной группы или направленность действия группы факторов в целом может совпадать с направлением действия других факторов или быть ему противоположным. Результатом взаимодействия выступает тенденция движения производительности труда, складывающаяся на основе совокупного действия всей системы факторов и условий.
Исходя из задачи роста производительности труда, важное значение имеют изыскание и использование всех имеющихся резервов.
Под резервами следует понимать имеющиеся, но еще не использованные возможности повышения производительности труда за счет наилучшего использования всех факторов ее роста.
Задача выявления резервов роста производительности труда заключается в максимальном использовании всех возможностей экономии затрат труда как живого, так и овеществленного. Поэтому резервы, будучи обусловлены всей совокупностью соответствующих групп факторов роста производительности труда, также могут быть разделены на две большие группы:
1) резервы лучшего использования средств производства;
2) резервы улучшения использования рабочей силы.
Все резервы роста производительности труда — как первой, так и второй групп дифференцируются по времени и месту их выявления и использования.
По времени использования различают текущие резервы и перспективные.
К текущим относятся резервы, которые могут быть использованы в пределах года (квартала, месяца) главным образом за счет оргтехмероприятий без серьезного технического переоснащения производства, коренной перестройки технологического процесса и необходимых для этого капиталовложений. Перспективные резервы роста производительности труда связаны с коренными изменениями в технике и технологии производства, в организационно-техническом уровне производства в целом, что возможно в течение более продолжительного времени, чем один год, и при соответствующих капиталовложениях. Их использование предусматривается в перспективных планах (пятилетних, долгосрочных) развития отрасли, предприятия. Как те, так и другие резервы получают определенную количественную оценку, используемую при планировании роста производительности труда.
По месту выявления и использования резервы подразделяются отраслевые, межотраслевые, внутри производственные.
Отраслевые и межотраслевые резервы характеризуют использование возможного повышения производительности труда в той или иной отрасли народного хозяйства. Отраслевые резервы обусловлены степенью организации, концентрации и комбинирования производства, освоением новых производств, структурой подотраслей и производств с различной хозяйственной значимостью и техническим уровнем производства и др. Важное место принадлежит межотраслевым резервам, связанным с использованием возможностей одной отрасли для повышения производительности труда в другой. К ним относятся, например, возможности дальнейшего развития межзаводской кооперации на базе специализации производства, а в связи с этим совершенствование материально-технического снабжения предприятий. В сырьевых отраслях повышение качества продукции, даже если это сопровождается ростом затрат труда, обеспечивает значительную экономию труда в обрабатывающих отраслях.
Выявление и использование отраслевых и межотраслевых резервов осуществляют соответствующие министерства, отраслевые научно-исследовательские учреждения.
Внутрипроизводственные резервы роста производительности труда выявляются и используются, непосредственно на предприятии. В этом же их важнейшая особенность и значение, ибо все виды резервов в конечном счете реализуются на предприятиях. По месту выявления внутрипроизводственные резервы могут быть подразделены на общезаводские, цеховые и резервы рабочего места.
Исходя из качественного содержания внутрипроизводственных резервов, их можно разделить на резервы снижения трудоемкости производства продукции и резервы лучшего использования фонда рабочего времени (рост производительной силы труда и рост интенсивности труда).
Снижение трудоемкости производства продукции является важнейшим и неисчерпаемым резервом повышения производительности труда, связанным с комплексной механизацией и автоматизацией производства, внедрением новой и модернизацией действующей техники, совершенствованием технологических процессов, совершенствованием организации производства, внедрением научной организации труда.
Выявление и использование резервов фонда рабочего времени на предприятиях осуществляют путем сопоставления плановых и фактических данных об отработанном времени, изучении динамики потерь рабочего времени. Источниками анализа являются сведения статистической отчетности, плановые и отчетные балансы рабочего времени, материалы хронометражных исследований и фотографии рабочего дня.
О степени использования рабочего времени можно судить по изменениям показателей часовой, дневной и годовой производительности труда, между которыми имеется непосредственная связь. Рост часовой производительности труда целиком зависит от снижения трудоемкости производства продукции. Рост же дневной производительности труда зависит, кроме того, от сокращения внутрисменных потерь рабочего времени, а повышение годовой производительности труда зависит еще и от уменьшения невыходов на работу по причинам целодневных простоев, отпусков с разрешения администрации, дней болезни в течение года и др.
Выявление и использование резервов фонда рабочего времени предполагает установление причин нерационального его использования и разработку мероприятий по сокращению его потерь.
Изысканию резервов улучшения использования рабочего времени в большей мере способствует правильная постановка планирования рабочего времени и учета его потерь.
Заключение
Важнейшими факторами повышения эффективности производства здесь выступают:
· ускорение научно- технического прогресса, повышение технического уровня производства, производимой и осваиваемой продукции (повышение ее качества), инновационная политика;
· структурная перестройка экономики, ее ориентация на производство товаров народного потребления, конверсия оборонных предприятий и отраслей, совершенствование воспроизводственной структуры капитальных вложений (приоритет реконструкции и технического перевооружения действующих предприятий), ускоренное развитие наукоемких, высокотехнологичных отраслей;
· совершенствование развития диверсификации, специализации и кооперирования, комбинирования и территориальной организации производства, совершенствование организации производства и труда на предприятиях и в объединениях;
· разгосударствление и приватизация экономики, совершенствование государственного регулирования, хозяйственного расчета и системы мотивации к труду;
· усиление социально- психологических факторов, активизация человеческого фактора на основе демократизации и децентрализации управления, повышения ответственности и творческой инициативы работников, всестороннего развития личности, усиления социальной направленности в развитии производства (повышение общеобразовательного и профессионального уровня работников, улучшение условий труда и техники безопасности, повышение культуры производства, улучшение экологии).
Среди всех факторов повышения эффективности и усиления интенсификации производства решающее место принадлежит разгосударствлению и приватизации экономики, научно- техническому прогрессу и активизации человеческой деятельности, усилению личностного фактора (коммуникации, сотрудничество, координация, приверженность делу), повышению роли людей в производственном процессе. Все другие факторы находятся во взаимозависимости от этих решающих факторов.
Список используемой литературы
1. Генкина Б.М. «Основы управления персоналом» М. Высшая школа. 2004.
2. Генкин Б.Н «Введение в теорию эффективного труда» СПб.: СПбГИЭА, 2002.
3. Дынкин А.А. «Новый этап НТР: экономическое содержание и механизм реализации в капиталистическом хозяйстве.» М.: Наука 2001.
4. Ремизов К.С. «Основы Экономики труда» Издательство Московского университета. 2000.
5. Устинов В.А. «Экономика управления предприятием» Учебное пособие. – М.: ГАУ, 2003.
[1] Научно техническая революция