Министерство Российской Федерации по связи и информатизации
Сибирский Государственный Университет Телекоммуникаций и Информатики
Межрегиональный центр переподготовки специалистов
Контрольная работа
по курсу «Экономика и менеджмент строительства средств связи»
Вариант № 1
Выполнил: слушатель Новосад Н.М.
Проверил: Седельников С.Я.
Новосибирск 2004 года Задача
Комплекс работ по строительству линейных сооружений ГТС разбит на три участка, на каждом из которых выполняется четыре вида однородных работ. По каждой работе предусмотрена специализированная бригада (например, по строительству телефонной канализации, прокладке кабеля, монтажу кабеля и испытанию кабеля). Время работы специализированных бригад на каждом участке (tij.) приведено в таблице 1.
Таблица 1.
|
Участки (j) |
Бригады (i) |
|||
|
1 |
2 |
3 |
4 |
|
|
I |
9 |
10 |
11 |
3 |
|
II |
7 |
9 |
15 |
3 |
|
III |
4 |
8 |
8 |
1 |
Возможные варианты выхода бригад на участки приведены в таблице 2
Таблица 2.
|
Наименование варианта |
Последовательность выхода бригад на участки |
|
1 |
I-II-III |
Необходимо:
1. Произвести технологическую увязку строительных-потоков по двум вариантам с определением коэффициентов плотности графиков работ.
Варианты прохождения бригад по участка» приведены в таблице 3.
Таблица 3.
|
Вариант контрольной работы |
1 |
|
Вариант выхода бригад на участки |
1,2 |
2. Определить оптимальный вариант выхода специализированных бригад на участки. Критерий оптимальности минимальное значение общего срока строительства объектов (Тстр).
3. Для оптимального варианта изобразить линейный график и циклограмму движения специализированных бригад по участкам.
4. Для оптимального варианта определить: время развертывания потока (Т разв); время свертывания потока (Тсв ); время стабильного потока (Тст ) и время выпуска готовой продукции (Твып ).
Решение
1. Технологическую увязку строительных потоков целесообразно производить в таблице. Форма таблицы приведена в таблице 4.
Таблица 4.
|
Участки (j) |
Бригады (i) |
|||
|
1 |
2 |
3 |
4 |
|
|
I |
9 |
10 |
11 |
3 |
|
II |
7 |
9 |
15 |
3 |
|
III |
4 |
8 |
8 |
1 |
В верхней строчке таблицы указывается номер участка, с которого начинаются работы, а в нижней - на котором заканчиваются. При технологической увязке строительных потоков необходимо соблюдать несколько условий:
2. Специализированные бригады должны использоваться равномерно. Например, бригада по строительству телефонной канализации после окончания работ на одном участке без перерыва должна переходить на второй и т.д. до тех пор, пока строительство телефонной канализации не закончится на всех участках.
3. Предыдущая бригада должна обеспечивать фронт работ последующей бригаде на участке, то есть время начала работы последующей бригады (tн(i+1)j)должно быть больше или равно времени окончания работы предшествующей бригады на участке (t0ij).
(tн(i+1)j)=>t0ij
4. Между двумя смежными специализированными бригадами должно быть хотя бы одно место критического сближения, то есть хотя бы один участок на котором (tн(i+1)j)=t0ij Отсутствие хотя бы одного места критического сближения приводит к неоправданному увеличению общего времени строительства сооружений связи.
При технологической увязке строительных потоков рассчитываемые параметры указываются в следующих местах таблицы (приведен фрагмент таблицы
Таблица 5.
|
Участки (j) |
Бригады (i) |
|
|
i |
i+1 |
|
|
j |
tнij tij t0ij |
tн(i+1)j tоргt(i+1)j t0(i+1)j |
В центре клеток указывается время работы бригад на участке (tij). Время задано в исходных данных. В левом верхнем углу клетки - время начала работы бригады на участке (tнij)
В правом нижнем углу - время окончания работы бригады на участке (t0ij).
Справа от знака "X"- время организационных перерывов в работе бригады на участке.
Время организационного перерыва рассчитывается по формуле:
tогр = tн(i+1)j - t0ij (1)
Следует помнить, что tорг не может быть отрицательным, то есть:
tорг=>0 (2)
Соблюдение условия (2) является основным, по которому контролируется правильность технологической увязки. Если tорг = 0, то вместо знака "X" между клетками ставится знак "-", который показывает место критического сближения или место увязки времени работы смежных бригад. Расчет значений tнij, и t0ij. начинается с первого столбца (бригады) сверху вниз. При этом 1(tн1j)=>t01j Н1-=0, а время окончания работы первой бригады на первом участке определяется по формуле:
t01 I = tн1 I +tij = 0+9 = 9 (дням)
Для того, чтобы соблюсти первое условие необходимо, чтобы tн2 I = t01 I = 9 дням и так далее. Таким образом, время начала работы первой бригады на объекте 0 дней, время окончания - 20 дней.
Для того, чтобы технологически увязать работу первой бригады и второй необходимо, прежде всего, определить участок, на котором будет место критического сближения.
Для нахождения места критического сближения (увязки) предварительно ставим знак "-" на первом участке и переносим значение t01 I = 9 на место tн2 I, то есть t01 I = tн2 I = 9 дням. ;
После этого определяем другие значения tнij и t0ij во втором столбце, после чего рассчитываем значение tорг по формуле (1) и проверяем соблюдается ли условие (2). Так как условие (2) соблюдается, расчет значений второго столбца считается, окончательным.
При нахождении места критического приближения времени работы 2-ой и 3-й бригад поступаем аналогичным образом. "Первоначальный расчет параметров приведен в таблице 6.
Таблица 6.
|
Участки (j) |
Бригады (i) |
||
|
2 |
3 |
||
|
I |
9 10 19 |
— |
19 11 30 |
|
II |
19 9 28 |
X |
30 9 15 45 |
|
III |
28 8 36 |
X |
45 11 8 53 |
Как видно из таблицы 6, условие (2) по всем участкам соблюдается, поэтому рассчитанные значения считаем окончательными. Аналогично поступаем при нахождении места критического сближения между 4-ой и 3-ей бригадой. Первоначальный расчет параметров приведен в таблице 7.
Таблица 7.
|
Участки (j) |
Бригады (i) |
||
|
3 |
4 |
||
|
I |
19 11 30 |
— |
30 3 33 |
|
II |
30 15 45 |
X |
33 -12 3 36 |
|
III |
45 8 53 |
X |
36 -17 1 37 |
Как видно из таблицы 7 условие (2) не соблюдается по участкам II и III причем наиболее отрицательный tорг находится на III участке. Для устранения ошибки надо поставить знак увязки на участке с наиболее отрицательным tорг, то есть на III-ом участке и пересчитать значения tнij и t0ij, четвертого столбца. Пример расчета приведен в таблице 8.
Таблица 8.
|
Участки (j) |
Бригады (i) |
||
|
3 |
4 |
||
|
I |
19 11 30 |
X |
47 17 3 50 |
|
II |
30 15 45 |
X |
50 5 3 53 |
|
III |
45 8 53 |
- |
53 1 54 |
Окончательно заполненная таблица приведена в таблице 9.
Таблица 9.
|
Участки (j) |
Бригады (i) |
∑tij |
|||||||||||
|
1 |
2 |
3 |
4 |
∑tij+∑tорг |
|||||||||
|
I |
0 9 9 |
- |
9 10 19 |
- |
19 11 30 |
X |
47 17 3 50 |
33/(30+17) = 33/47 |
|||||
|
II |
9 7 16 |
X |
19 3 9 28 |
Х |
30 9 15 45 |
X |
50 5 3 53 |
34/(34+17) = 34/51 |
|||||
|
III |
16 9 25 |
X |
28 3 8 36 |
X |
45 11 8 53 |
- |
53 1 54 |
21/(21+14) = 21/35 |
|||||
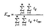
На основании данных последнего столбца определяется коэффициент плотности графика работ по формуле:
(3)
В нашем случае:
Кпл = (21 + 34 + 33)/(47+51+35) = 88/133 = 0,66
Коэффициент плотности показывает, что 66% рабочего времени участки находятся в работе, а 34% - простаивают по организационным причинам.
В контрольной работе после технологической увязки по двум вариантам выхода бригад на участки необходимо выбрать оптимальный (по минимуму общего срока окончания работ).
Для оптимального варианта выхода на работу изобразим линейный график и циклограмму приведенные на рис. 1 и 2.

Рисунок 1

Рисунок 2
Пунктирными линиями на рисунках 1 и 2 изображены места критического сближения смежных бригад
5. Время развертывания потока - время от начала строительства до времени начала работы последней специализированной бригады. Траз. = 47 дням.
Время стабильного потока - время, в течение которого на объекте работают все специализированные бригады Т стаб=0 дням.
Время свертывания потока - время от окончания работы на объекте первой бригады до окончания строительства объекта. Т = 29 дням.
Время выпуска готовой продукции равно времени работы на объекте последней бригады Т =7 дням. Общий срок окончания работ на объекте Тоб =54 дням.
Список использованной литературы.
1. Бороздин И.Г. Сетевое планирование и управление в строительстве. М.:Стройиздат,1972.
2. Методические указания по курсу "Экономика и организация строительства сооружений связи" -Новосибирск, НЭИС, 1990.
3. Организация, планирование и управление строительством. Под ред. А. К. Штейбера. М.: Высшая школа, 1977.