Экономический потенциал Южного федерального округа
Аннотация
Пронин Е.В. Экономический потенциал Южного федерального округа: Курсовая работа. – Челябинск, ЮУрГУ, 2004, – 47 с.
Библиография. – 12 наим.
В современных условиях развития экономики России важное место уделено анализу экономического положения территории, оценке экономических и социальных показателей развития.
В связи с этим, в данное исследование посвящено описанию экономический потенциал Южного федерального округа, а также приведению характеристики деятельности Южного таможенного управления.
Содержание
Введение.................................................................................................................................................................................... 4
1. Экономический потенциал Южного федерального округа.............................................. 6
1.1. Краткая характеристика Южного федерального округа........................................................................... 6
1.2. Трудовой потенциал................................................................................................................................................... 6
1.2.1. Демографическая ситуация.................................................................................................................................. 6
1.2.2. Рынок труда.............................................................................................................................................................. 9
1.2.3. Уровень жизни населения.................................................................................................................................... 11
1.3. Отраслевой потенциал............................................................................................................................................ 12
1.3.1. Потребительский рынок..................................................................................................................................... 12
1.3.2. Промышленность.................................................................................................................................................. 14
1.3.3. Сельское хозяйство.............................................................................................................................................. 18
1.3.4. Инвестиции............................................................................................................................................................. 20
1.3.5. Внешняя торговля.................................................................................................................................................. 22
2. ХАРАКТЕРИСТИКА ЮжноГО таможенноГО управлениЯ.............................................................. 40
2.1. Расположение и структура Южного таможенного управления......................................................... 40
2.2. Оценка деятельности Южного таможенного управления..................................................................... 40
Заключение......................................................................................................................................................................... 42
Список использованной литературы......................................................................................................... 46
Приложение......................................................................................................................................................................... 47
Введение
Актуальность темы. После распада Советского Союза Северный Кавказ превратился в приграничную территорию Российской Федерации на южных ее рубежах. Южный федеральный округ был образован в 2000 г. в результате объединения нескольких республик, краев и областей. В настоящее время Южный федеральный округ является самым маленьким из федеральных округов в России. Подобные изменения отразилисья на различных сторонах жизни региона: трудовом и отраслевом потенциале. В связи с этим актуальным является рассмотрение экономического потенциала Южного федерального округа.
Объект исследования: Южный федеральный округ.
Предмет исследования: экономический потенциал округа.
Цель работы: исследовать экономический потенциал Южного федерального округа.
Данная цель решается с помощью раскрытия следующих основных задач:
1. проанализировать экономическую литературу, описывающую экономический потенциал Южного федерального округа;
2. проанализировать экономический потенциал Южного федерального округа по следующему алгоритму: трудовой потенциал (демографическая ситуация, рынок труда, уровень жизни населения), отраслевой потенциал: (потребительский рынок, промышленность, сельское хозяйство, инвестиции, внешняя торговля).
3. привести описательную характеристику Южного таможенного управления.
Объект исследования: Южный федеральный округ.
Предмет исследования: экономический потенциал территории.
Структура работы соответствует поставленным задачам. Работа состоит из введения, основной части, заключения и списка используемой литературы.
Во введении описывается актуальность исследования, обозначается цель и задачи исследования, определяется объект и предмет исследования, выявляется научная новизна и практическая значимость.
В основной части работы проведен анализ экономического потенциала Южного федерального округа, а также представлена характеристика Южного таможенного управления.
Исследование в основной части проводится на основе анализа статистических данных, для наглядности в анализе применяются графики и таблицы.
В заключении обобщается все вышесказанное в основной части работы.
Научная новизна: Приведен алгоритм оценки экономического потенциала территории на примере Южного федерального округа.
Практическая значимость: информация об экономическом потенциале Южного федерального округа может быть использована для характеристики данной территории, как субъекта РФ, а также на основе данного анализа может быть проведен сравнительный анализ с другими федеральными округами.
При написании курсовой работы использовались следующие источники: статистические сборники, описывающие демографическое развитие, материалы тезисов доклада доклада Региональной конференции «Социальная политика реалии XXI века: региональный аспект», проведенной в Кисловодске в 2003 г., а также характеристика южного федерального округа в глобальной сети интернет.
Описанием экономического потенциала Южного федерального округа занимались следующие ученые Маньшин Р.В., Лукьянова А.Ю., Рязанцев С.В. и др.
1. Экономический потенциал Южного федерального округа
1.1. Краткая характеристика Южного федерального округа
Южный федеральный округ был создан в 2000 году в составе республик: Адыгея, Дагестан, Ингушетия, Кабардино-Балкария, Калмыкия, Карачаево-Черкесия, Северная Осетия-Алания, Чечня; Краснодарского и Ставропольского краев, Астраханской, Волгоградской и Ростовской областей.
Центром ЮФО является г. Ростов-на-Дону.
Полномочным представителем Президента Российской Федерации в Южном федеральном округе назначен Виктор Казанцев.
Южный федеральный округ является самым маленьким в России. Площадь федерального округа составляет 589,2 тыс. кв. км. или 3,5% от территории России.
Население округа на 1 января 2002 г. составляет 21 471,9 тыс. человек (14,9% от населения России). Доля городского населения составляет лишь 57,5%. По доле сельского населения Южный ФО занимает лидирующую позицию в России.
Крупнейшими городами ЮФО являются Ростов-на-Дону, Волгоград, Краснодар, Астрахань, Ставрополь, Сочи, Махачкала, Владикавказ. Численность остальных городов не превышает 300 000 человек. Ростов-на-Дону является городом-миллионером. Всего на территории округа расположены 132 города.
По плотности населения ЮФО занимает второе место среди федеральных округов – 36,4 человека на кв. км. Больше плотность населения лишь в Центральном федеральном округе (56,46 чел. на кв. км.).
1.2. Трудовой потенциал
1.2.1. Демографическая ситуация
В демографической ситуации отмечается депопуляционный тренд развития. Так уже в 1992 году население РФ сократилось на 31 тыс. человек[1].
На начало 2002 года в пределах Южного Федерального округа проживали 21,5 млн. человек, или 14,9% населения страны.
Численность постоянного населения Южного федерального округа продолжает сокращаться, хотя и значительно медленней, чем в других округах.
В последнее десятилетие резкое снижение рождаемости и повышение смертности привели к устойчивому сокращению естественного прироста в ЮФО, хотя еще в 1996 году здесь отмечался положительный естественный прирост. Территория региона четко разделилась по показателю естественного прироста на несколько неравных по числу субъектов групп.
Первая группа – регионы-“лидеры” – здесь наблюдается положительный прирост населения, это Ингушетия и Дагестан. Во вторую, промежуточную группу можно отнести Кабардино-Балкарскую республику, Карачаево-Черкесскую республику, Республику Северную Осетию-Аланию и республику Калмыкию, в которых убыль населения наблюдается относительно недавно. И наконец к третьей группе относятся регионы – “аутсайдеры” в демографическом развитии. Это прежде всего русскоязычные регионы (Ставропольский и Краснодарский края, Ростовская, Волгоградская и Астраханская области, республика Адыгея), где депопуляция наступила с небольшим отставанием от Росси в целом.
Для первых двух групп высокие показатели рождаемости объясняются национальными традициями многодетности. Причем в Дагестане и Ингушетии рождаемость более чем в два раза выше и смертность в 2-3 раза ниже, чем в среднем по стране[2].
Особое место в демографическом развитии региона занимает Чеченская республика. По экспертным оценкам Госкомстата РФ к 2002 году здесь проживало всего 624,6 тыс. человек[3]. Таким образом, за счет снижения показателей естественного прироста и огромного миграционного оттока общая численность населения республики сократилась почти вдвое с 1994 года.
Значительный вклад в повышение смертности на Северном Кавказе вносят боевые действия и вооруженные столкновения последних лет. В их числе – осетино-ингушский конфликт, который в 1992 году унес жизни 700 человек[4]. Кроме этого, «первая» чеченская война 1994-1996 годов по примерным оценкам «стоила» жизней более 86 тыс. человек[5]. По сведениям, обнародованным генералом В. Маниловым по телевидению, в ходе «первой» чеченской кампании погибло 3,8 тыс. человек, число раненых им было оценено в 17,9 тыс. человек. В ходе анти-террористической операции на начало октября 2000 года погибло около 2,7 тыс. солдат и офицеров и около 9 тыс. человек было ранено. Каждая неделя добавляет к цифре потерь 15-20 убитых и 50-60 раненых. По примерным оценкам около 13-14 тыс. человек потеряли чеченские бандитские формирования[6]. Потери среди мирного населения никто не считал.
Таким образом, для всех субъектов Южного Федерального Округа характерно постепенное сокращение показателя естественного прироста, сокращение рождаемости и увеличение смертности. Несмотря на то, что традиционно ЮФО считался трудоизбыточным регионом, сокращение населения весьма опасно в долгосрочной перспективе с точки зрения экономической безопасности.
Во-первых, из-за более быстрого снижения рождаемости изменяется баланс населения по возрасту – сокращается доля детей. Если в 1991 году дети составляли 26,3% населения региона, то всего через семь лет – 1998 году – только 24%[7]. Подобная динамика отмечена по всем без исключения субъектам Северного Кавказа.
Во-вторых, изменение структуры смертности, резко выросшей среди трудоспособного населения, приводит к сокращению доли и этой возрастной группы в некоторых регионах. Например, в Кабардино-Балкарии доля населения трудоспособного возраста сократилась с 55,3% в 1991 году до 55% в 1998 году (7). Следует признать, что практически прекратилось увеличение доли этой возрастной группы в Карачаево-Черкесии и Ростовской области. К счастью, пока это явление на Северном Кавказе не стало повсеместным.
Понятно, что оба следствия бумерангом могут отразиться не только на дисбалансе на региональных и местных рынках труда, но и на пенсионной системе, приведут к необходимости сокращения рабочих мест среди учителей. «Первой ласточкой» нарушения баланса между возрастными группами населения стал недобор многими школами, особенно в сельской местности привычного числа первоклассников. Данный факт отмечают многие отделы народного образования.
Значительное влияние на снижение рождаемости, как в регионе, так и в России в целом, оказывает структура женских репродуктивных поколений. Так в возраста максимальной интенсивности деторождения (20-24 и 25-29 лет) вошли женщины, родившиеся во второй половине 1960-х – первой половине 1970-х годов, то есть в годы минимальной рождаемости. Также здесь оказывает значительное влияние еще один фактор редуцирования рождаемости – откладывание рождений, который проявляется в наиболее нестабильные и кризисные периоды развития общества[8].
Уменьшение доли детей в перспективе может привести к еще большему уменьшению рождений уже с 2010 года, то есть тогда, когда дети 1990-х годов вступят в репродуктивный возраст. В связи с наблюдающимся во всем регионе увеличением доли старших возрастов, увеличится нагрузка на трудоспособное население, пенсионную систему и социальную сферу.
Естественная убыль населения в целом по федеральному округу в 2002 году составила более 60 тыс.человек. Естественный прирост населения сохраняется лишь в Дагестане (+21,5 тыс.человек за январь-ноябрь), Ингушетии (+ 6,5 тыс.человек). В этих же республиках количество браков более чем в 4 раза превышает количество разводов на 1000 человек населения (в Российской Федерации этот показатель равен 1,2).
В отчетном периоде в целом по Южному федеральному округу миграция равна нулю. Отрицательное сальдо миграции наблюдалось лишь в Республике Дагестан (-4554 чел.), Кабардино-Балкарской (-1823 чел.) и Карачаево-Черкесской республиках (-1890 чел.), Волгоградской области (-1885 чел.).
1.2.2. Рынок труда
В Южном федеральном округе, по-прежнему, проблема занятости населения остается первоочередной. Рост уровня безработицы отмечен практически во всех субъектах округа. Наиболее существенно уровень безработицы повысился в республиках Адыгея (3,0% в 2002 г. против 1,3% в 2001г.), Ингушетия (9,9% и 7,0%), Кабардино-Балкария (3,0% и 2,0%), Волгоградской (1,3% и 0,8%), Ростовской (1,1% и 0,7%) областях. В Кабардино-Балкарской Республике сохранилась тенденция высвобождения излишнего персонала на убыточных предприятиях с нестабильной загрузкой.
![]() |
По сравнению с прошлым годом численность работников сократилась на 2,4 тыс.человек, или на 1,5%. Наибольшее высвобождение наблюдалось в сельском хозяйстве - на 8,9%, в промышленности – на 7,4%, в строительстве – на 10,1%. Из общего числа незанятого населения на учете в службе занятости состоит 3,0% экономически активного населения, что превышает аналогичный показатель прошлого года в 1,4 раза.
1.2.3. Уровень жизни населения
В 2002 году во всех субъектах Южного федерального округа отмечается стабильный рост денежных доходов населения. Наибольший рост реальных денежных доходов (ноябрь 2002 г. к ноябрю 2001 г.) отмечен в Республике Ингушетия (131,4%), Кабардино-Балкарской Республике (133,1%), Карачаево-Черкесской Республике (132,7%), Краснодарском крае и Республике Северная Осетия-Алания (123,1% и 121,2% соответственно).
Размер средней начисленной заработной платы во всех регионах федерального округа ниже среднероссийского. Самая низкая заработная плата в ноябре 2002 года была в Республике Дагестан – 2000,9 рубля, Кабардино-Балкарской Республике – 2534,2 рубля (для сравнения: по Российской Федерации – 4694,3 руб., в Южном федеральном округе – 3267,5 рубля).
Таблица 1
Средняя начисленная заработная плата в регионах
Южного федерального округа в ноябре 2002 года
|
|
рублей |
в % к ноябрю 2001 г. |
|
Республика Адыгея |
2851,3 |
138,3 |
|
Республика Дагестан |
2000,9 |
160,1 |
|
Республика Ингушетия |
3606,4 |
126,9 |
|
Кабардино-Балкарская Республика |
2534,2 |
144,6 |
|
Республика Калмыкия |
2742,3 |
137,7 |
|
Карачаево-Черкесская Республика |
2754,7 |
154,1 |
|
Республика Северная Осетия-Алания |
2628,0 |
134,0 |
|
Краснодарский край |
3685,5 |
131,8 |
|
Ставропольский край |
3201,8 |
140,0 |
|
Астраханская область |
3631,2 |
133,4 |
|
Волгоградская область |
3409,8 |
132,9 |
|
Ростовская область |
3334,6 |
138,4 |
Южный федеральный округ – http://www.mediatext.ru
Среднедушевые денежные доходы населения в ноябре 2002 года среди регионов округа различались в 2 раза. Во всех регионах, кроме Республики Ингушетия, они превышали прожиточный минимум в 1,1-2,1 раза (в целом Российской Федерации – в 2,3 раза).
Рис. 2 Величина прожиточного минимума и денежные доходы на душу населения в ноябре 2002г. (рублей)
1.3. Отраслевой потенциал
1.3.1. Потребительский рынок
Состояние потребительского рынка характеризуется динамичным ростом, уровень товарной насыщенности сохраняется высоким и полностью соответствует платежеспособному спросу населения. Прочное место в розничной торговле занял малый бизнес. Более половины общего объема оборота розничной торговли формируется субъектами малого предпринимательства.
Резкое снижение уровня розничного товарооборота в Республике Ингушетия во многом связано с непосредственной близостью республики к району проведения контртеррористической операции.
Объем платных услуг населению в целом по округу остался на уровне 2001 года. Снижение объема платных услуг населению в некоторых субъектах округа произошло из-за повышения цен на ряд услуг (жилищных, коммунальных). В структуре платных услуг традиционно преобладают услуги пассажирского транспорта, связи, бытовые и жилищно-коммунальные услуги, на долю которых приходится свыше 70% всех платных услуг.
Рост потребительских цен в 2002 г. в регионах Южного федерального округа составил 12-18% к декабрю 2001 г., максимальный рост отмечен в Республике Ингушетия и Ростовской области.
Самая высокая стоимость минимального набора продуктов питания в декабре 2002 г. была в Республике Ингушетия (1098,5 руб.).
Рис. 3 Темпы роста (снижения) оборота розничной торговли и объема платных услуг населению по регионам Южного федерального округа в 2002 году (в % к 2001 г.)
Таблица 2
Индексы потребительских цен и стоимость минимального набора продуктов питания в декабре 2002 года
в % к декабрю 2001 г.
|
|
Индексы потребительских цен |
Стоимость набора, рублей |
Изменение стоимости набора |
|
Республика Адыгея |
114,5 |
965,2 |
118,0 |
|
Республика Дагестан |
114,7 |
954,9 |
114,4 |
|
Республика Ингушетия |
117,0 |
1098,5 |
121,7 |
|
Кабардино-Балкарская Республика |
115,6 |
986,0 |
118,3 |
|
Республика Калмыкия |
115,2 |
888,9 |
114,5 |
|
Карачаево-Черкесская Республика |
119,2 |
967,5 |
118,8 |
|
Республика Северная Осетия-Алания |
115,5 |
945,2 |
115,6 |
|
Краснодарский край |
115,9 |
971,4 |
117,7 |
|
Ставропольский край |
116,2 |
930,6 |
112,4 |
|
Астраханская область |
114,5 |
964,3 |
109,0 |
|
Волгоградская область |
117,0 |
956,3 |
112,0 |
|
Ростовская область |
118,5 |
900,7 |
114,8 |
Южный федеральный округ – http://www.mediatext.ru
1.3.2. Промышленность
В территориальной структуре промышленного производства почти 83% всей произведенной продукции в округе приходится на Ростовскую и Волгоградскую области, Краснодарский и Ставропольский края.
В январе-декабре 2002 года по сравнению с аналогичным периодом прошлого года рост промышленного производства отмечен в большинстве субъектов Южного федерального округа, кроме республик Адыгея (93,4%), Калмыкия (72,1%), Ингушетия (79,8%), где производство сократилось по большинству отраслей, что связано с износом и старением оборудования, падением спроса на выпускаемую продукцию.
Ведущими отраслями промышленного производства в Южном федеральном округе по-прежнему являются: пищевая промышленность (26%), электроэнергетика (17%), топливная промышленность (13%), машиностроение и металлообработка (15%), химическая и нефтехимическая промышленность (8%).
В электроэнергетике наибольший рост достигнут в Ростовской области (109,7 %) в результате увеличения выработки электроэнергии Волгодонской АЭС в два раза против уровня прошлого года.
В Астраханской области увеличены объемы производства на 8,3% за счет роста производства теплоэнергии на ООО «Астраханьгазпром» (119,9%).
Снижение объемов производства к уровню прошлого года, отмеченное в Волгоградской области (98,0%), и Ставропольском крае (96,6%) обусловлено износом и старением энергетического оборудования энергосистемы.
Рис. 4 Индексы промышленного производства по регионам Южного федерального округа в 2002 г. (в % к соответствующему периоду 2001 г.)
Рис. 5 Отраслевая структура промышленного производства по регионам Южного федерального округа в 2002 году (в %)
В химической и нефтехимической промышленности во всех регионах округа, за исключением республик Адыгея, Северная Осетия-Алания, Ингушетия и Краснодарского края объем производства сократился по сравнению с уровнем 2001 года.
В Ростовской области спад производства (на 30,0%) обусловлен падением объемов производства метанола на Новочеркасском заводе синтетических продуктов в связи с повышением тарифов на энергоносители в 1 квартале, приведшего к потере рынков сбыта, и уменьшению производства химических нитей и волокон в ОАО «Каменскхимволокно». Однако темпы падения несколько замедлились.
Основные причины снижения производства в Карачаево-Черкесской Республике (95,0%) – изношенность оборудования, неплатежеспособность заказчиков, недостаточный спрос на продукцию на внутреннем рынке, общая экономическая нестабильность. В Республике Дагестан сокращение производства (71,5%) связано с уменьшением производства изделий из пластмассы и отсутствием заказов на выпуск лакокрасочной продукции.
В машиностроении и металлообработке рост объемов в Республике Дагестан (104,5%) определили в основном предприятия оборонного комплекса.
Увеличились объемы производства машиностроительной продукции в Астраханской области (120,0%). На судостроительных предприятиях области реализуются крупные заказы, завершено строительство нефтеналивной баржи оболочного типа для ЗАО «БашВолготанкер», корпуса танкера-химовоза для Голландии. Увеличены объемы производства кузнечно-прессовых машин (171,4%), объемы ремонта секций тепловозов и запасных частей. На малых предприятиях отрасли увеличился выпуск металлических сварных конструкций, оборудования для перерабатывающих отраслей агропромышленного комплекса, технологического оборудования для предприятий торговли и общественного питания.
В Ростовской области индекс физического объема снижен на 6,0 % против уровня 2001 года. Это стало результатом ухудшения показателей предприятий оборонно-промышленного комплекса и сельхозмашиностроения, на долю которых приходится более 40% объемов отрасли.
В промышленности строительных материалов в Ростовской области прирост объемов составил 6,0% к уровню 2001 г., что стало результатом наращивания объемов жилищного строительства. Увеличен выпуск линолеума, плиток керамических глазурованных, стеновых материалов и др. В Краснодарском крае объем производства продукции возрос на 15% за счет устойчивого роста производства листов гипсокартонных (прирост 31%), гипса (26%), цемента (18%). Удалось остановить снижение выпуска нерудных строительных материалов.
В Астраханской области рост объемов производства (102,0%) получен за счет предприятий малого бизнеса, занимающих в объемах производства около 60%. В отрасли увеличилось производство гипса, камня гипсового, заполнителей пористых.
В легкой промышленности предприятиями Ростовской области в январе-декабре т.г. изготовлено продукции на 4,2% больше, чем в аналогичном периоде 2001 года. Заметный прирост объемов получен ЗАО «Корпорация» Глория-Джинс», использующим ресурсы маленьких городов области, за счет расширения ассортимента швейных изделий повышенной трудоемкости и улучшенного качества. При этом отсутствие спроса сдерживало производство трикотажных изделий на Донецкой трикотажной фабрике, нетканных материалов в ОАО "Термопласт", чулочно-носочных изделий в ЗАО "Дон-Текс-Трепон".
В Краснодарском крае прирост на предприятиях легкой промышленности достиг 58,4%. Увеличилось производство бельевого и верхнего трикотажа, швейных изделий, хромовых кожтоваров, обуви.
Производство продукции снизилось в Астраханской области (83,0%), Ставропольском крае (90,1%), Республике Дагестан (82,6%). Снижение объемов производства обусловлено отсутствием оборотных средств на приобретение сырья, падением спроса на выпускаемую продукцию, сокращением количества заказов на ряде предприятий отрасли.
В пищевой промышленности Астраханской области производство осталось на уровне прошлого года. В рыбной подотрасли объем промышленного производства составил 98,5%. В связи с ухудшением экологической обстановки продолжают снижаться уловы рыбы. Наибольшее снижение отмечается по крупным и средним предприятиям, ориентированным на обработку кильки.
Снижение производства пищевой продукции произошло в Республике Адыгея (86,5%).
Предприятиями пищевой промышленности Ростовской области произведено продукции на 10,3% больше, чем в аналогичном периоде предшествующего года. Увеличен выпуск мяса и колбасных изделий, сыров жирных, масла животного, кондитерских изделий, маргариновой продукции, минеральной воды, безалкогольных напитков, минеральной воды, овощных консервов. Существенно (на 36,9 %) увеличилось производство пива, вин шампанских. Поступление сырья нового урожая улучшило ситуацию на предприятиях, специализирующихся на выпуске масла растительного.
1.3.3. Сельское хозяйство
2002 год для земледельцев Южного федерального округа во многом явился годом непредсказуемых экстремальных погодных условий, которые отрицательно сказались на качестве урожая. Однако выполненный необходимый комплекс предпосевных работ при выращивании озимых дал положительные результаты.
Основной объем производства сельскохозяйственной продукции (около 80% от общего объема) в регионе приходится на Краснодарский и Ставропольский края, Ростовскую и Волгоградскую области.
В Краснодарском крае в хозяйствах всех категорий намолочено зерна на 5,6% больше относительно прошлого года, получено 726 тыс.тонн (157%) семян подсолнечника, накопано 3,4 млн.тонн (116%) сахарной свеклы, собрано 416 тыс.тонн (98%) овощей. Вместе с тем в связи со сложными погодными условиями (выпадение обильных затяжных дождей), не полностью завершена уборка риса, кукурузы, сахарной свеклы.
В Ростовской области (по объемам производства продукции сельского хозяйства область сохраняет 2 место среди регионов Южного федерального округа) хозяйствах всех категорий намолочено 6,4 млн. тонн зерна, 756,1 тыс. тонн подсолнечника, 43,3 тыс. тонн сахарной свеклы. По сравнению с прошлым годом валовые сборы зерновых увеличились на 6,8%, подсолнечника - на треть.
В Ставропольском крае валовая продукция сельского хозяйства за 2002 год в хозяйствах всех категорий составила в действующих ценах 29,7 млрд. рублей, что в сопоставимой оценке на 16,5% больше, чем в 2001 году.
В Волгоградской области всеми категориями хозяйств произведено продукции на 24,5 млрд. рублей (102% к 2001 г.). Валовой сбор зерна во всех категориях хозяйств составил 3,2 млн. тонн (103,9% к предыдущему году), намолочено 325 тыс. тонн семян подсолнечника (163%.). Сельхозпредприятия, крестьянские (фермерские) хозяйства под урожай будущего года подготовили 1,8 млн. га зяби и черного пара.
Рис. 6 Индексы физического объема продукции сельского хозяйства
по регионам Южного федерального округа в 2002 году
(в % к соответствующему периоду 2001 г.)
Таблица 3
Производство продукции животноводства в хозяйствах
всех категорий Южного федерального округа в 2002 году
|
|
Скот и птица на убой (в живом весе) |
Молоко |
Яйца |
|||
|
тыс.тонн |
в % к 2001 г. |
тыс.тонн |
в % к 2001 г. |
тыс.тонн |
в % к 2001 г. |
|
|
Республика Адыгея |
23,9 |
98,8 |
101,5 |
94,1 |
Ё50,5 |
102,6 |
|
Республика Дагестан |
117,9 |
123,5 |
304,6 |
104,3 |
295,2 |
110,4 |
|
Республика Ингушетия |
3,5 |
97,2 |
55,5 |
132,3 |
14,0 |
88,1 |
|
Кабардино-Балкарская Республика |
47,9 |
105,3 |
271,9 |
103,2 |
140,1 |
103,8 |
|
Республика Калмыкия |
26,6 |
106,4 |
59,4 |
100,1 |
52,0 |
89,9 |
|
Карачаево-Черкесская Республика |
28,8 |
92,6 |
155,0 |
101,1 |
67,5 |
96,7 |
|
Республика Северная Осетия-Алания |
45,0 |
106,4 |
157,0 |
108,1 |
92,8 |
108,0 |
|
Краснодарский край |
383,7 |
104,8 |
1414,5 |
103,9 |
1524,1 |
104,2 |
|
Ставропольский край |
201,6 |
102,3 |
552,5 |
101,4 |
903,6 |
120,9 |
|
Астраханская область |
32,8 |
103,8 |
124,2 |
102,8 |
226,9 |
104,0 |
|
Волгоградская область |
184,0 |
105,9 |
542,8 |
98,8 |
656,4 |
98,6 |
|
Ростовская область |
229,4 |
107,8 |
921,2 |
105,7 |
1119,2 |
105,4 |
Южный федеральный округ – http://www.mediatext.ru
Рис.
7 Темпы роста инвестиций в основной капитал по регионам Южного федерального
округа в 2002 году
1.3.4. Инвестиции
В Южном федеральном округе в 2002 году отмечался спад инвестиций (96,1% к уровню 2001 г.). По сравнению с 2001 годом значительно снизился объем инвестиций в Краснодарском крае (90,9%), Астраханской области (83,5%), Республике Калмыкия (90,0%).
Среди наиболее динамично развивающихся в 2002 году регионов следует выделить Республику Дагестан (117,3%) и Кабардино-Балкарскую Республику (109,6%).
В Астраханской области снижение объема инвестиций обусловлено снижением объемов вложения инвестиций в основной капитал крупными заказчиками: ООО «Астраханьгазпром» (36,8% к соответствующему периоду прошлого года), ЗАО «Каспийский трубопроводный консорциум – Р» (10,5%) и ОАО «Нефтяная компания «Лукойл» (66,5%). Для активизации работы по привлечению инвестиций сформирован перечень из 114 инвестиционных проектов предприятий и организаций области, с объемом необходимых инвестиций в размере более 16 млрд. рублей. На территории области продолжается реализация целевой программы «Обеспечение населения Астраханской области питьевой водой». За счет средств федерального и областного бюджетов, привлеченных средств проводятся работы по строительству и реконструкции водопроводов. В 2002 г. введены водопроводные сети протяженностью 25,5 км. В рамках программы «Газификация Астраханской области» продолжаются работы по газификации населенных пунктов и жилых домов на территории области. Введены межпоселковые газопроводы и распределительные сети протяженностью 120,4 км, газифицировано 6156 квартир и домовладений.
В Краснодарском крае снижение объема инвестиций обусловлено завершением строительства Каспийского трубопровода по транспортировке нефти из Казахстана в г. Новороссийск. Основная часть вложений делается в производственный сектор экономики. Преобладающая их доля – 59% - приходится на транспорт. В строительство и промышленность направлено 13% инвестиций.
Предприятиями Волгоградской области освоено около 18,0 млрд. рублей инвестиций в основной капитал за счет всех источников финансирования, что в сопоставимых ценах на 5% больше, чем в 2001 году. В области реализуются мероприятия по 35 федеральным целевым программам. За отчетный период введены следующие объекты: стадион на 500 мест в р.п.Старая Полтавка, школа на 220 мест в Городищенском районе, поликлиники в г.Михайловке, в Светлоярском районе, детский дом на 75 мест в г.Котово.
В 2002 году на всех территориях федерального округа продолжалось жилищное строительство. Более высокие темпы в жилищном строительстве достигнуты в Республике Адыгея и Астраханской области.
Населением округа за свой счет и с помощью кредитов построено 3810,8 тыс.кв.м общей площади жилых домов, что составило 76,4% от общего объема введенного в 2002 году жилья.
Высокие темпы роста индивидуального жилищного строительства имели место в Республике Адыгея (181,7% к уровню 2001 г.), Волгоградской области (117,3%), Кабардино-Балкарской Республике и Астраханской области (110%).
Таблица 4
Строительство жилых домов по регионам Южного федеральным округам в 2002 году
|
|
Введено |
Из общего объема – введено индивидуальными застройщиками |
||
|
тыс.кв.м общей площади |
в % к 2001 г. |
тыс.кв.м общей площади |
в % к 2001 г. |
|
|
Южный федеральный округ |
4987,3 |
98,5 |
3810,8 |
101,2 |
|
Республика Адыгея |
99,9 |
136,0 |
96,7 |
181,7 |
|
Республика Дагестан |
387,7 |
68,3 |
335,9 |
67,6 |
|
Республика Ингушетия |
14,6 |
58,1 |
8,9 |
44,9 |
|
Кабардино-Балкарская Республика |
209,5 |
101,9 |
188,6 |
110,3 |
|
Республика Калмыкия |
59,9 |
77,8 |
42,7 |
85,9 |
|
Карачаево-Черкесская Республика |
66,4 |
88,1 |
58,6 |
97,6 |
|
Республика Северная Осетия-Алания |
137,8 |
84,1 |
106,6 |
89,9 |
|
Краснодарский край |
1487,8 |
103,3 |
1208,4 |
105,6 |
|
Ставропольский край |
581,1 |
101,4 |
441,8 |
97,3 |
|
Астраханская область |
520,7 |
104,9 |
402,7 |
110,0 |
|
Волгоградская область |
438,8 |
107,7 |
270,9 |
117,3 |
|
Ростовская область |
983,1 |
102,8 |
649,0 |
107,9 |
Южный федеральный округ – http://www.mediatext.ru
1.3.5. Внешняя торговля
Доля ЮФО в 2003 году во внешней торговле России составляет около 4%.
Внешнеторговый оборот ЮФО в 2003 году составил 8,1 млрд. долл., что превышает прошлогодний уровень почти на четверть.
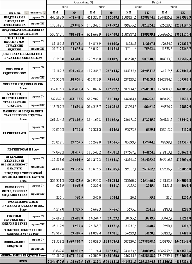
Значительный экономический потенциал краев и областей ЮФО определяет их лидирующие позиции во внешней торговле. На долю этих субъектов приходится около 95% товарооборота. В порядке значимости стоимостных объемов следуют: Краснодарский край (30%), Ростовская (28%) и Волгоградская области (25%). Место и роль субъектов России, входящих в ЮФО, отражает нижеприведенная таблица 5.
Благодаря опережающему росту экспорта, сальдо торгового баланса остается на довольно высоком уровне и составляет 2,7 млрд. долларов. Торговый дефицит имел место в Северо-Осетинской, Кабардино-Балкарской и Карачаево-Черкесской, Чеченской республиках, Дагестане.
В 2003 году 7264 хозяйствующих субъектов осуществляли внешнеэкономическую деятельность в регионе, в том числе 3182 физических лиц. В сравнении с 2002 годом число участников ВЭД ЮФО сократилось на 600, причем в основном за счет физических лиц, осуществляющих перемещение товаров для коммерческой деятельности. На одного участника ВЭД в текущем году приходится более 1,0 млн. долл. внешнеторгового оборота, что превышает аналогичный показатель по прошлому году на 250 тыс.долл.
География товарных потоков свидетельствует о преобладании во внешней торговле партнеров из стран дальнего зарубежья. На их долю приходится более 77%товарооборота ЮФО. Крупнейшими из них остаются на протяжении нескольких лет Италия, Германия, Греция, Турция и т.д. Страны СНГ представлены ближайшими торговыми партнерами Украиной и Казахстаном.
Таблица 5
Тыс.долл.США

Южное таможенное управление – http://www.customs.ru
ЭКСПОРТ
Объем экспорта в 2003 году оценивается в 5,4 млрд. долл.. В сравнении с прошлым годом стоимостные объемы увеличились на 30%. Рост экспортной деятельности в значительной степени был обеспечен повышением мировых цен на важнейшие виды сырья и материалов, структурными сдвигами в товарной структуре экспорта. Физические объемы поставок за рубеж в условиях сложившейся мировой общехозяйственной конъюнктуры 2003 года возросли практически более чем на 40% и оцениваются в 42 млн. тонн.
Основной объем экспортных поступлений обеспечили Волгоградская область (30%), Краснодарский край (29%), Ростовская область (24%). Экспортные товарные потоки ориентированы, в основном, на страны дальнего зарубежья, доля которых около 84%.
Товарная структура экспорта ЮФО по-прежнему имеет сырьевую направленность, характерную для России в целом.
На мировом рынке нефти отмечались высокие цены, находившиеся на уровне, близком к максимальному целевому показателю, установленному ОПЕК (на 30 июля справочная цена “корзины нефти ОПЕК составила 27,3 долл. за баррель).
Тенденция повышения цен была обусловлена более высокими темпами мирового экономического роста, увеличением потребления бензина в США, неопределенностью в отношении возобновления иракских поставок нефти, а также ожидаемым сезонным ростом спроса на энергоносители. Основными экспортерами в ЮФО выступали предприятия Краснодарского края, Астраханской и Волгоградской областей.
Около 16% экспорта или 862 млн. долл., 3,4 млн. т приходится на металлы и изделия из них. Относительно прошлого года имеет место 35%-ный рост стоимостных объемов за счет расширения поставок лома черных металлов, труб различного диметра и полуфабрикатов из нелегированной стали. Лидерами в поставках за рубеж товаров данной отрасли выступают Ростовская и Волгоградская области, Краснодарский край. Продукция данной отрасли на 21% представлена алюминием необработанным, на 28% - ломом черных металлов, на 45 % - трубами и другими изделиями.
В сравнении с прошлым годом имеет место увеличение стоимостных объемов лома черных металлов более чем в 2 раза, в абсолютном выражении стоимость экспорта лома достигла 246 млн. долл., и весовых объемов на 50% (2,3 млн. т). Опережающий темп роста стоимостных объемов свидетельствует о росте средней цены за тонну, которая в 2003 году оценивается в 100 долл., в 2002 – 62 долл. за тонну. Основными реципиентами лома черных металлов являются Турция, Италия, Греция.
Объемы алюминия необработанного, основными экспортерами которого выступают Волгоградская и Ростовская области, практически находятся на уровне 2002 года и составляют по стоимости 185 млн. долл., по весу 145 тыс. т.. Поставки этого товара в основном ориентированы на США (85% стоимости), а также Турцию, Нидерланды, Венгрию.
8,5% экспорта или 460,3 млн. долл. приходится на продукцию химической промышленности. Темп прироста стоимостных объемов относительно 2002 года составил 42%. Основные экспортеры - химические предприятия, расположенные в Волгоградской области и Ставропольском крае. Более трети объемов химической продукции обеспечивается удобрениями. Однако, четверть стоимостных объемов в отчетном году пришлась на фармацевтическую продукцию, разовая поставка которой осуществлена в Турцию из Адыгеи.
15%-тами определяется доля продовольствия и сырья для его производства, стоимостные объемы которого незначительно снизились относительно уровня прошлого года и оцениваются в 805,7 млн. долл. 65% объемов продовольственных товаров приходится на зерновые культуры. Их абсолютные объемы сократились почти на 10% и оцениваются в 597 млн. долл. и 5,8 млн. т, импортерами выступают в основном Египет, Италия, Турция, Румыния. Греция, Израиль, Италия. В тоже время возросли объемы экспорта участниками ВЭД региона масличных семян и плодов, масел растительного происхождения, остатков и отходов пищевой промышленности.
Доля машиностроительной продукции колеблется в пределах 11-13% в течение последних двух лет, абсолютные объемы сохранились на уровне предыдущего года и оцениваются в 572 млн. долл. Ассортиментный ряд, как и в прошлом году, включает около 1000 наименований товаров отрасли. В числе профилирующих - котлы и вспомогательное оборудование к ним, токарные станки, угольные электроды, турбореактивные двигатели, сельскохозяйственная техника, суда и другие плавучие средства (21%), около 40% которых перемещаются с целью ремонта. Географическая направленность товарных потоков в текущем году сместилась в сторону стран СНГ. Если объемы поставок оборудования в страны СНГ в 2003 году увеличились вдвое в основном за счет вывоза плавучих средств, то в страны ДЗ, напротив, они снизились на треть. Импортерами в текущем году среди стран ДЗ выступали в основном страны Азии, Латинской Америки, преимущественно развивающиеся. В числе крупных реципиентов - Либерия, ОАЭ, Ирак, Иран, Чили, Ангола и т.д. Страны СНГ представлены Украиной, Туркменией, Казахстаном.
Объемы древесины и целлюлозно-бумажных изделий возросли на 27% относительно прошлого года и оцениваются в 81 млн. долл., и 596 тыс. т. Более 80% экспорта приходится на лесоматериалы, а основными экспортерами выступали участники ВЭД Краснодарского края, Ростовской области и Республики Дагестан.
ИМПОРТ
Рост промышленного производства, повышение покупательной способности рубля по отношению к доллару, а также рост доходов в экономике, объективно способствовали достижению более высокого уровня импорта. С другой стороны, укрепление евро по отношению к доллару, определило тенденцию увеличения цен европейских товаров и, соответственно, препятствовало росту физических объемов российского импорта из Европейского союза. В результате разнонаправленного действия этих и других факторов в 2003 году стоимость импорта товаров увеличилась на 11% по сравнению с 2002 годом и составила 2,7 млрд. долл. При этом рост импорта ЮФО обусловлен 73%-ным увеличением объемов ввоза из стран СНГ, при сокращении импорта из стран ДЗ на 3%.
Физические объемы импортируемой продукции, оцениваемые в 5,7 млн. т, возросли почти на треть. Наиболее крупными импортерами в регионе являются представители Краснодарского края, Ростовской и Волгоградской областей.
На долю стран ДЗ в 2003 году приходилось 64% импорта, что в абсолютном выражении составляет 1,7 млрд. долл.. Доля стран СНГ возросла до 36%, а абсолютные объемы достигли 969 млн. долл. Рост стоимостных объемов импорта из СНГ обусловлен расширением ввоза оборудования, полимерных материалов, изделий из черных металлов и др. товаров.
Товарная структура импорта на протяжении последних лет сохраняет прежние пропорции. Доминируют продовольственные товары (23% стоимостных объемов), оборудование – более 31-35% и металлы – 16-19%. Рост импорта в отчетном году затронул практически всю товарную структуру импорта.
На продовольственные товары приходится около четверти объемов импорта или 622 млн. долл. и это на 13% выше уровня 2002 года. Профилирующими товарами в импорте продовольствия остаются табак, на долю которого приходится пятая часть импорта продовольствия или 128 млн. долл. и 55,8 тыс. т., сахар-сырец - 101 млн. долл., 544 тыс. т. ( шестая часть импорта отрасли). Шестой частью определяется также место в импорте фруктов, абсолютные объемы которых в отчетном году составили 113 млн. долл. и 403 тыс.т.
Около трети стоимостных объемов импорта обеспечено ввозом машиностроительной продукции, объемы которой оцениваются в 894 млн. долл.. Номенклатура товаров включает более 1300 наименований и в основном представлена оборудованием для пивоваренной, табачной и др. отраслей промышленности, насосами (10%), холодильниками (5% стоимости импорта оборудования), оборудованием телефонной связи (15%), сельскохозяйственными машинами (10%), буксирами, судами (10%).
Более 75% импорта машиностроительной продукции приходится на страны дальнего зарубежья.
Иностранные инвестиции, представленные машиностроительной продукцией, в отчетном году, как и предыдущем, сохранились на уровне 10% стоимости импорта продукции этой отрасли. Ранжированный ряд субъектов региона, импортирующих продукцию машиностроительной отрасли, выглядит следующим образом: Краснодарский край (36%), Ростовская область (29%), Волгоградская область (8%), Ставропольский край (8%), Астраханская область (5%).
На долю металлов и изделий из них в импорте отчетного года приходится пятая часть, абсолютные объемы составили по стоимости 520 млн. долл., по весу 1,2 млн. тонн. Сравнение с 2002 годом позволяет констатировать 47%-ный рост стоимостных объемов и 80%-ный весовых. При этом импорт металлов из ДЗ сократился практически на 37%, главной причиной которого стало завершение реализации ряда контрактов по “Голубому потоку” и по строительству нефтепровода, в то время как по СНГ, напротив, стоимостные объемы выросли в 2,3 раза. В результате ориентация товарных потоков сместилась в сторону стран СНГ, на долю которых в 2003 году приходилось более 3/4 импорта металлов (411 млн. долл.) Крупнейшими импортерами выступали: Ростовская (64%) и Волгоградская (11%) области и Краснодарский край (8%). Основу импорта этой отрасли составляют трубы различного диаметра, а также стальной прокат. Из цветных металлов преобладает цинк, поступающий в Северную Осетию - Аланию.
Из товаров химической отрасли, доля которой в импорте составила около 10% (270 млн. долл., 518 тыс. тонн), стабильно решающую роль в формировании номенклатуры и стоимостных объемов, по-прежнему, играет оксид алюминия (глинозем) - сырье для производства алюминия, поступающий в адрес Волгоградской области. Из химических товаров с высоким удельным весом можно также выделить пневматические шины, лаки и краски, лекарственные средства.
Импорт древесины и целлюлозно-бумажных изделий оценивается в 121 млн. долл., что на 10% выше уровня стоимостных объемов 2002 года. Спектр товаров достаточно обширен, но в основном представлен продукций отрасли, необходимой для табачной промышленности (папиросной бумагой, картоном и др.). Основными реципиентами этих товаров выступают субъекты РФ, на территории которых развита табачная промышленность -Ростовская область (45% импорта отрасли, Краснодарский край (30%) и Волгоградская область (16%).
Таблица 6
Общие итоги внешней торговли субъектов ЮФО

Южное таможенное управление – http://www.customs.ru
Таблица 7
Объемы экспорта и импорта по типам стран

Южное таможенное управление – http://www.customs.ru
Динамика основных показателей (тыс. долл.)

Южное таможенное управление – http://www.customs.ru
Таблица 8
Основные торговые партнеры ЮФО

Южное таможенное управление – http://www.customs.ru
Таблица 9
Динамика товарной структуры экспорта (ЮФО) (тыс. долл.)

Южное таможенное управление – http://www.customs.ru

Рис. 8
Таблица 10
Динамика товарной структуры импорта (ЮФО)

Южное таможенное управление – http://www.customs.ru

Рис. 9
Таблица 11
Товарная структура внешней торговли ЮФО

Южное таможенное управление – http://www.customs.ru
Таблица 12
Основная номенклатура экспорта (ЮФО)

Южное таможенное управление – http://www.customs.ru
Таблица 13
Основная номенклатура импорта (ЮФО)

Южное таможенное управление – http://www.customs.ru
Таблица 14
Внешняя торговля Южного федерального округа в цифрах в январе-феврале 2004 года.
Внешняя торговля субъектов ЮФО (стоимость в тыс.$).

Южное таможенное управление – http://www.customs.ru
Таблица 15
Общие итоги внешней торговли субъектов ЮФО.

Южное таможенное управление – http://www.customs.ru
Таблица 16
Объемы экспорта и импорта по типам стран.

Южное таможенное управление – http://www.customs.ru
Таблица 17
Товарная структура внешней торговли ЮФО в январе-феврале 2003-2004г.г.

Южное таможенное управление – http://www.customs.ru

Рис. 10 Динамика товарной структуры экспорта

Рис. 11 Динамика товарной структуры импорта
Таблица 18
Основная номенклатура экспорта ЮФО

Южное таможенное управление – http://www.customs.ru
Таблица 19
Основная номенклатура импорта ЮФО

Южное таможенное управление – http://www.customs.ru
2. ХАРАКТЕРИСТИКА ЮжноГО таможенноГО управлениЯ
2.1. Расположение и структура Южного таможенного управления
Выгодное географическое положение, наличие высокого производственного, технологического, ресурсного и финансового потенциала, хорошо развитая транспортно-коммуникационной инфраструктура выводят южный регион в разряд наиболее перспективных для привлечения иностранных инвестиций и динамичного развития внешнеэкономических связей. Все больше предприятий выходит на внешний рынок, создаются благоприятные условия для транзита внешнеторговых грузов, развиваются транс-европейские транспортные коридоры, возрождаются Волжский путь «Север – Юг» и Великий Шелковый путь. В 2002 году товарооборот по субъектам ЮФО достиг 6,4 млрд. долларов США (экспорт - 4,1 млрд. долларов, импорт – 2,3 млрд. долларов). Содействие развитию внешней торговли определяется сейчас как один из приоритетов таможенной политики.
На сегодняшний день в структуру Южного таможенного управления входит 20 таможен, в том числе Южная оперативная таможня.
В регионе деятельности управления: 89 таможенных постов, включая Южный акцизный таможенный пост и Дербентский таможенный пост (со статусом юридического лица); 21 автомобильный пункт пропуска (11 многосторонних и 10 двухсторонних); 9 железнодорожных пунктов пропуска; 18 аэропортов, в том числе три – военно-транспортной авиации; 13 морских портов и один речной (Ростовский), признанных международными, одна международная паромная переправа «Кубань – Крым».
2.2. Оценка деятельности Южного таможенного управления
В 2002 году Южное таможенное управление отметило 10-летний юбилей и вышло на самый высокий уровень по основным показателям деятельности. Товарооборот по оформленным таможнями ЮТУ товарам в 2002 году составил 17,6 млрд. долларов. Его весовые объемы превысили 90 млн. тонн, что больше предыдущего года на 12 и 21,5 % соответственно. Преодолён рубеж 2001 года по перечислению таможенных платежей в государственный бюджет. Годовое задание выполнено на 103%, в федеральную казну поступило 62,7 млрд. рублей, тем самым внесён достойный вклад в общие итоги работы российских таможенников, которые сегодня формируют 38% доходной части государственного бюджета.
Событиями особой значимости стали вводы в эксплуатацию многосторонних автомобильных пунктов пропуска «Нижний Зарамаг» Северо-Осетинской таможни (декабрь 2002 года) и «Яраг-Казмаляр» Дагестанской таможни (май 2003 года)на стратегически важных южных участках Государственной границы РФ. В зоне деятельности ЮТУ впервые открылись пункты пропуска, отвечающие высоким международным стандартам по технической оснащенности и созданию условий для участников ВЭД и сотрудников контролирующих органов, самым современным требованиям полноценного таможенного контроля и таможенного оформления на таможенной границе.
В этом году активизируются работы по обустройству МАПП Адлер Сочинской таможни, строительству 3-х современных пунктов пропуска на российско-украинской границе (Куйбышево-2, Гуково, Новошахтинск) и новых грузовых причалов в Темрюкском, Ейском, Азовском морских портах, морском порту Оля на Каспии, обустройству российско-казахстанской границы.
Товарооборот по оформленным таможнями ЮТУ товарам в 2002 году составил 17,4 млрд. долл. (15, 6 – в предыдущем, прирост 112%). Экспорт составил 13,3 млрд. долл., импорт – 4,1 млрд. долл. (в 2001 году - 11,7 и 3,9 соответственно). При этом товарооборот по субъектам ЮФО в 2002 г. достиг 6,4 млрд. долл. (экспорт 4,1 млрд. долл., импорт 2,3 млрд. долл.). Данные 2001 года – 5,5 млрд. долл. (116 % пророст), экспорт – 3,6 млрд. долл., импорт – 1,9 млрд. долларов. Внешнеторговые отношения связывают регион с партнерами из более ста стран мира.
Фактическая численность ЮТУ составляет около 8,5 тыс. человек.
Вузовскую подготовку высококвалифицированных кадров для таможенных органов Юга России ведет Ростовский филиал Российской таможенной академии.
Заключение
В ходе теоретического и методологического исследования были сделаны следующие выводы.
В Южном федеральном округе сосредоточено 73% общероссийских запасов термальных вод и 30% минеральных, 41% запасов вольфрама и 15% цементного сырья.
Соответственно Южный ФО занимает первое место в России по добыче минеральных вод, на втором месте по добыче вольфрамового сырья (25% от российских объемов), на третьем по добыче цементного сырья (15%), сырья для строительных материалов и подземных питьевых вод.
На территории округа находится лишь около 2 % запасов российской нефти и 7% газа. Доля добычи нефти и газа составляет 2,5% и 2% соответственно. Однако роль округа в качестве поставщика нефтегазового сырья может заметно возрасти после освоения шельфа Каспийского моря. Также возможность обнаружения крупных запасов нефти и газа имеется в Прикаспии, а также на шельфах Азовского и Черного морей.
Из прочих природных ресурсов можно отметить наличие в Южном федеральном округе запасов угля (3,5% от общероссийских), меди (3%), цинка (2%), золота (2%), серебра (2%), свинца (2%), йода, брома, титаноциркониевых песков.
Южный федеральный округ является важнейшим поставщиком продукции сельского хозяйства для России. За пределы региона вывозятся зерно, сахарная свекла, фрукты, овощи, виноград, бахчевые культуры рыба, продукция животноводства. Соответственно, большое значение в экономике округа имеет пищевая индустрия.
Первостепенную роль в экономике ЮФО играет электроэнергетика. Во многих районах построены тепловые (Краснодар, Грозный, Новочеркасск, Невинномысск) и гидроэлектростанции (Цимлянская, Гизельдонская, Баксанская, Чиркейская, Ирганайская).
В ЮФО развиты нефтяная и газовая промышленности. При этом нефтяная промышленность является старейшей в регионе. На ее базе развивается химическая промышленность. Отраслями рыночной специализации являются также черная и цветная металлургия, сельскохозяйственное машиностроение и производство бурового оборудования.
К отраслям специализации ЮФО относится также курортное хозяйство Северного Кавказа.
Напряженная социальная ситуация в округе подчеркивается самыми низким в стране уровнем денежных доходов населения и самым высоким уровнем безработицы. Благодаря сельскохозяйственной специализации округа в ЮФО самая низкая в России стоимость продуктовой части потребительской корзины и самый низкий в России индекс потребительских цен. Хотя темп роста цен производителя превысил среднероссийский уровень.
Напряженная социальная ситуация в округе подчеркивается самыми низким в стране уровнем денежных доходов населения и самым высоким уровнем безработицы. Благодаря сельскохозяйственной специализации округа в ЮФО самая низкая в России стоимость продуктовой части потребительской корзины и самый низкий в России индекс потребительских цен. Хотя темп роста цен производителя превысил среднероссийский уровень.
Основной промышленный потенциал Южного ФО сконцентрирован в Ростовской области, Волгоградской области и Краснодарском крае. Специализацией Ростовской области является тяжелая промышленность: черная (металлический порошок, стальные трубы) и цветная металлургия, машиностроение (зерновые комбайны, электровозы, паровые котлы, оборудование для АЭС, кузнечнопрессовые машины), угледобывающая промышленность. Важную роль играет пищевая промышленность (мясомолочная, масложировая, кондитерская, табачная, плодоовощеконсервная).
В Ростовской области развиты электроэнергетика, черная металлургия (сталь, прокат, стальные трубы), машиностроение, в том числе судостроение, химическая и нефтехимическая промышленности.
Основой промышленности Краснодарского края являются пищевая промышленность (винодельческая, плодоовощеконсервная, маслобойная, мясная), машиностроение (приборостроение, станкостроение, сельскохозяйственное машиностроение), нефтеперерабатывающая и легкая промышленности.
Ключевую роль производство Южного федерального округа играет в основном в пищевой промышленности - производство растительного масла, сахара, соли, различных круп, минеральных вод, плодоовощных консервов, коньяков является ведущим в России. В российском масштабе производится ряд продукции машиностроение (комбайны, электровозы, дизели, прицепы), черной металлургии (подшипники качения) и легкой промышленности (брюки, тюлегардинные изделия).
К продукции экспорта из Южного федерального округа относятся уголь, нефть, газ, электроэнергия, хлеб, овощи, фрукты, консервы, вино, рыба, овощебахчевые, строительные материалы, продукция машиностроения.
Импортируется в Южный ФО лес и пиломатериалы, автомобили, различное оборудование, продукцию легкой промышленности.
Численность экономически активного населения по данным выборочных обследований населения по проблемам занятости в среднем за 2002г. составила 9,7 млн. человек, или 62,0% от общей численности населения округа и 13,5% от общей численности экономически активного населения страны.
По данным выборочных обследований населения по проблемам занятости в среднем за 2002г. 1162,4 тыс.человек, или 12,0% экономически активного населения не имели занятия, но активно его искали (в соответствии с методологией Международной Организации Труда они классифицируются как безработные). В органах государственной службы занятости в качестве безработных было зарегистрировано 184,2 тыс.человек, или 1,9% экономически активного населения.
Уровень благосостояния населения определяется, прежде всего, денежными доходами населения, которые в расчете на душу населения в целом по Южному федеральному округу составили 2561 рубль (в среднем по России - 3889 рублей).
Номинальная начисленная среднемесячная заработная плата в 2002г., по предварительным данным, составила 3054 рубля и возросла по сравнению с 2001г. на 38,7%, реальная заработная плата - на 19,0%.
Однако, в период января-сентября 2002 года Южный федеральный округ занимал 7-е (последнее) место среди ФО по уровню денежных доходов и потребительских расходов населения.
В 2002 году несмотря на чрезвычайные погодные условия, имевшие место в январе и июне, социально-экономическая ситуация в Южном федеральном округе не претерпела резких изменений по сравнению с 2001 годом. Итоги социально-экономического развития свидетельствуют о продолжении позитивного развития экономики в отдельных отраслях материального производства, инвестиционной, денежно-кредитной, внешнеторговой, бюджетной сферах, которые повлияли на некоторое улучшение в социальной сфере. Вместе с тем, по сравнению с 2001 годом темпы физического объема промышленного производства, инвестиций в основной капитал, платных услуг населению замедлились, что объясняется в основном высоким базовым уровнем предыдущего года, а также опережающим ростом цен в указанных сферах деятельности в истекшем году.
Регион ответственности Южного таможенного управления охватывает территорию Южного федерального округа площадью более 590 тысяч квадратных километров, на которой проживает порядка 22 млн. человек. Регион включает в себя 13 административно-территориальных единиц – субъектов Российской Федерации: Республика Адыгея; Республика Дагестан; Республика Ингушетия; Республика Калмыкия; Кабардино-Балкарская Республика; Карачаево-Черкесская Республика; Республика Северная Осетия – Алания; Чеченская Республика; Краснодарский край; Ставропольский край; Астраханская область; Волгоградская область; Ростовская область[9].
Южный регион занимает в России особое положение. С трех сторон его окружают внешние границы Российской Федерации: с Украиной на западе, с Казахстаном на востоке, с Грузией и Азербайджаном на юге. Общая протяженность сухопутной границы в зоне деятельности ЮТУ составляет 2 657,7 км, в том числе: с Украиной – 660,0 км; с Грузией – 1047,7 км; с Казахстаном – 700,0 км; с Азербайджаном – 250,0 км.
Протяженность морской границы составляет 1 370,4 км (739,9 морских миль), из них: в Азовском море – 277,8 км (150 морских миль); в Черном море – 370,4 км (200 морских миль); в Каспийском море – 722,2 км (389,9 морских миль).
Список использованной литературы
1. Асатуров Б. История конфликта в Чечне в цифрах и фактах// Аргументы и факты. Северный Кавказ. - № 37. – сентябрь 1997. – С. 2.
2. В войне не проигрывает только смерть// Общая газета. - № 40. – 5-11 октября 2000. – С. 2.
3. Демографическое будущее России / Под ред. проф. Рыбаковского Л.Л., д.с.н. Кареловой Г.Н. – М.:“Права человека”, 2001, С.21.
4. Максаков И. Последствия осетино-ингушского конфликта не преодолены// Независимая газета. - № 207. – 1 ноября 2000. – С. 2.
5. Маньшин Р.В., Лукьянова А.Ю. Современная демографическая ситуация в южном федеральном округе: тезисы доклада Региональной конференции «Социальная политика реалии XXI века: региональный аспект» – Кисловодск, 2003.
6. Рязанцев С.В. Демографическая ситуация на Северном Кавказе // СОЦИС-№1-2002, С.78.
7. Стабилизация численности населения России (возможности и направления демографической политики) / Под общ. ред. проф. Рыбаковского Л.Л., д.с.н. Кареловой Г.Н.-М., 2001, С.6.
8. Ставропольский край и регионы Северного Кавказа: Статистический сборник. – Ставрополь: Краевой комитет государственной статистики, 1999. – С. 11.
9. Численность и миграция населения в Российской Федерации в 2001 году. – М.: Госкомстат, 2002. – С. 9.
10. Южное таможенное управление – http://www.customs.ru
11. Южный федеральный округ – http://www.mediatext.ru
12. Южный федеральный округ //Деловые вести - Социально-экономический журнал – №7 2002
Приложение
Основные социально-экономические показатели по Южному федеральному округу
(по оперативным данным Госкомстата, без учета данных по Чеченской Республике)
|
|
Январь 2004 |
В процентах к соответствующему периоду предыдущего года |
|
Объем промышленного производства, млрд. рублей |
37,9 |
х |
|
Индекс физического объема промышленного производства, процент |
x |
106,8 |
|
Ввод в действие общей площади жилых домов (без построенных на садовых и дачных участках), тыс. кв. метров |
291,3 |
100,9 |
|
Оборот розничной торговли, млрд. рублей |
39,3 |
110,4 |
|
Индекс потребительских цен, процент |
|
|
|
январь 2004 к декабрю 2003 |
х |
101,9 |
|
январь 2004 к декабрю 2003 |
х |
101,9 |
|
Денежные доходы в расчете на душу населения в декабре 2003, рублей |
4831,8 |
135,5 |
|
Реальные денежные доходы в декабре 2003, процент |
х |
121,9 |
|
Номинальная начисленная среднемесячная заработная плата в декабре 2003 (включая организации малого предпринимательства), рублей |
5127,8 |
128,6 |
Южное таможенное управление – http://www.customs.ru
[1] Демографическое будущее России / Под ред. проф. Рыбаковского Л.Л., д.с.н. Кареловой Г.Н. – М.:“Права человека”, 2001, С.21.
[2] Рязанцев С.В. Демографическая ситуация на Северном Кавказе // СОЦИС-№1-2002, С.78.
[3] Численность и миграция населения в Российской Федерации в 2001 году. – М.: Госкомстат, 2002. – С. 9.
[4] Максаков И. Последствия осетино-ингушского конфликта не преодолены// Независимая газета. - № 207. – 1 ноября 2000. – С. 2.
[5] Асатуров Б. История конфликта в Чечне в цифрах и фактах// Аргументы и факты. Северный Кавказ. - № 37. – сентябрь 1997. – С. 2.
[6] В войне не проигрывает только смерть// Общая газета. - № 40. – 5-11 октября 2000. – С. 2.
[7] Ставропольский край и регионы Северного Кавказа: Статистический сборник. – Ставрополь: Краевой комитет государственной статистики, 1999. – С. 11.
[8] Стабилизация численности населения России (возможности и направления демографической политики) / Под общ. ред. проф. Рыбаковского Л.Л., д.с.н. Кареловой Г.Н.-М., 2001, С.6.
[9] Южное таможенное управление – http://www.customs.ru
