3.Качество и конкурентоспособность продукции
Понятие конкурентоспособности продукции в маркетинге
В рыночной экономике решающим фактором коммерческого успеха товара является конкурентоспособность. Это многоаспектное понятие, означающее соответствие товара условиям рынка, конкретным требованиям потребителей не только по своим качественным, техническим, экономическим, эстетическим характеристикам, но и по коммерческим и иным условиям его реализации (цена, сроки поставки, каналы сбыта, сервис, реклама). Более того, важной составной частью конкурентоспособности товара является уровень затрат потребителя за период его эксплуатации.
В силу многоаспектности применения данной категории в различных отраслях знаний в научно-технической литературе существует ряд определений, подчас противоречащих друг другу.
Так, в литературе предлагается следующее определение конкурентоспособности: «...под конкурентоспособностью понимается комплекс потребительских и стоимостных (ценовых) характеристик товара, определяющих его успех на рынке, то есть преимущество именно этого товара над другими в условиях широкого предложения конкурирующих товаров-аналогов»[1].
Словари дают следующие толкования этого слова:
1) «...конкурентоспособность товара — совокупность потребительских свойств товара, определяющая его отличие от других аналогичных товаров по степени и уровню удовлетворения потребности покупателя и затратам на его приобретение и эксплуатацию»[2];
2) «...конкурентоспособность товара — способность продукции быть более привлекательной для потребителя (покупателя) по сравнению с другими изделиями аналогичного вида и назначения, благодаря лучшему соответствию своих качественных и стоимостных характеристик требованиям данного рынка и потребительским оценкам»[3].
По нашему мнению, все эти определения имеют один общий недостаток, представляя конкурентоспособность как совокупность, то есть сумму, всех свойств товара и не учитывая того, что потребителя больше интересует соотношение: «качество/цена потребления».
Составляющими конкурентоспособности предприятия являются конкурентоспособность его продукции (текущая конкурентоспособность) и ресурсного потенциала (потенциальная конкурентоспособность). В процессе выполнения работы были рассмотрены и проанализированы факторы, формирующие как текущую, так и потенциальную конкурентоспособность предприятия.
На наш взгляд, конкурентоспособность — более высокое по сравнению с товарами-заменителями соотношение совокупности качественных характеристик товара и затрат на его приобретение и потребление при их соответствии требованиям рынка или его определенного сегмента. Иначе: конкурентоспособным считается товар, у которого совокупный полезный эффект на единицу затрат выше, чем у остальных, и при этом величина ни одного из критериев не является неприемлемой для потребителя.
Товар с низким качеством может быть конкурентоспособен при соответствующей цене, но при отсутствии какого-либо свойства он потеряет привлекательность вообще. Например, отсутствие вспышки у фотоаппарата практически невозможно скомпенсировать снижением цены.
Помимо требований к товару, выдвигаемых каждым отдельным потребителем, существуют и требования, общие для всех товаров, обязательные к выполнению. Это нормативные параметры, которые устанавливаются: действующими международными (ИСО, МЭК и др.) и региональными стандартами; национальными зарубежными и отечественными стандартами; действующими законодательствами, нормативными актами, техническими регламентами страны-экспортера и страны-импортера, устанавливающими требования к ввозимой в страну продукции; стандартами фирм—изготовителей данной продукции; патентной документацией.
Например, электрические приборы должны работать при напряжении, которое подается в сеть, и соответствовать требованиям пожаробезопасности и взрывобезопасности, а их конструкция определяется условиями проводимого процесса.
Если хотя бы одно из требований не будет выполнено, то товар не может быть выведен на рынок.
При положительном результате анализа нормативных параметров переходят к анализу конкурентоспособности товара на конкретных рынках.
Существует несколько методов расчета показателя конкурентоспособности.
Однако прежде чем рассчитывать количественное значение показателя конкурентоспособности, необходимо провести ряд дополнительных исследований.
На первой стадии проводится экспериментальное определение или расчет всех характеристик собственного товара, включая и те, которые можно выявить только в процессе его эксплуатации (энергоемкость, требуемая периодичность смазывания или замены деталей).
На второй — определяются цели оценки конкурентоспособности, которые зависят от стадии жизненного цикла товара, от стратегии и планов развития фирмы и т.д. Перед тем как вывести новый товар на рынок, нужно удостовериться, что он по своим показателям не уступает конкурентам и может привлечь внимание покупателей. Со временем конкурентоспособность товара может либо повышаться, либо снижаться в связи с изменением предпочтений потребителей, появлением новых или уходом с рынка старых конкурентов и т.д.
На третьей — методами маркетинга проводятся сегментация рынка и обоснование целевого сегмента. Если таковых окажется несколько, то оценку конкурентоспособности товара необходимо проводить для каждого сегмента отдельно.
Определение конкурентоспособности продукции методом расчета единичных и групповых показателей
В основе данного — традиционного — метода лежит расчет единичных и групповых показателей, на базе которых определяется интегральный показатель конкурентоспособности. Рассмотрим его более подробно.
На первом этапе выбирается база сравнения. В качестве базы для сравнения может служить лучший из уже существующих на целевом рынке или в мире товаров-конкурентов, или более совершенный образец, появление которого ожидается в ближайшем будущем, или некоторый абстрактный эталон. Если разбить товары на три группы, а именно:
· имеющие аналоги и уже выведенные на рынок;
· имеющие аналоги и находящиеся на стадии разработки;
· не имеющие аналогов,
то получаем, что первый вариант базы сравнения лучше использовать для первой группы, второй — для группы 2, третий — для группы 3.
На втором этапе выделяются наиболее значимые для потребителя критерии. Они делятся на две группы: потребительские и экономические. Первые включают в себя качественные характеристики товара (производительность, габариты, экологическая безопасность, надежность и т.д.), вторые — цену товара, затраты на транспортировку, монтаж и эксплуатацию, что в целом составляет цену потребления. Значение критерия у базисной модели обозначим РБ, а у сравниваемого образца — Р.
На третьем этапе по каждому критерию рассчитывается единичный показатель конкурентоспособности (qi). Если увеличение значения критерия влечет за собой повышение качества, то
qi = Pi/PБi, (1)
а если снижение, то
qi = PБi/Pi, (2)
На четвертом этапе внутри каждой группы критериев производят ранжирование показателей по степени их значимости для потребителя и в соответствии с этим присваивают им вес: апi — для потребительских и аэi — для экономических показателей. Причем
, (3)
где n и m — количество потребительских и экономических параметров соответственно.
Необходимость соблюдения этого равенства обоснуем ниже.
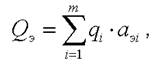
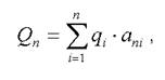
На пятом этапе проводится расчет группового показателя как сводного параметрического индекса конкурентоспособности:
, (4)
,
(5)
где Qп и Qэ — сводные параметрические индексы конкурентоспособности по потребительским и экономическим свойствам соответственно.
Вернемся к равенству (3). Его соблюдение обеспечивает сопоставимость Qп и Qэ вне зависимости от количества рассматриваемых критериев.
Рассмотрим пример.
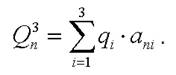
При сравнении двух образцов по трем потребительским критериям получили следующие пары значений: (aпi; qi): (aп1; q1), (aп2; q2), (aп3; q3). Тогда
.
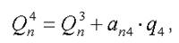
(6)
Дополнительное исследование рынка показало, что необходимо добавить еще один критерий, для которого апi = а4, qi = q4. В результате, если пренебречь равенством (3), получим
,
(7)
то есть сводный параметрический индекс конкурентоспособности увеличится даже в случае, если q4 < 1, следовательно, наблюдается превосходство базисной модели.
На шестом этапе рассчитывается интегральный показатель конкуренто-способности (К):
К = Qп/Qэ. (8)
Экономический смысл интегрального показателя конкурентоспособности заключается в том, что на единицу затрат потребитель получает К единиц полезного эффекта. Если К > 1, то уровень качества выше уровня затрат и товар является конкурентоспособным, если К < 1 — неконкурентоспособным на данном рынке.
Данный метод имеет ряд недостатков:
1) во всех случаях предполагается линейная зависимость конкурентоспособности от значения критерия, то есть по всем параметрам эластичность спроса равна 1;
2) не учитывается то, что для некоторых критериев существуют ограничения, объективные или субъективные, при нарушении которых конкурентоспособность товара стремится к нулю;
3) при сравнении нескольких товаров необходимо проведение расчетов для каждой пары в отдельности;
4) сложно устанавливать весовые значения aij, особенно для большого количества критериев;
5) невозможно оценить степень влияния на конкурентоспособность товара факторов, не поддающихся количественной оценке;
6) данным методом рассчитывается конкурентоспособность одного объекта относительно другого, а не уровень конкурентоспособности объекта вообще;
7) существует определенная сложность выбора базы сравнения, особенно в случаях, когда в качестве таковой необходимо принять лучший из существующих образцов. Возникает вопрос: как определить, какой товар является лучшим? Поэтому либо необходимо предварительно сравнивать образцы между собой, либо имеет место интуитивный выбор. Можно брать в качестве базы сравнения лидера по продажам, но эта информация часто закрыта, субъективна и трудно собираема, особенно когда речь идет о товарах широкого потребления, которые распространяются по многим каналам сбыта, имеющим несколько уровней.
Собственно, указанные недостатки являются и ограничениями применения традиционного метода конкурентоспособности товара.
Определение конкурентоспособности с использованием функции желательности
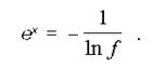
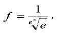
Использование функции желательности f для определения конкуренто-способности товара предложено в [2]. Функция желательности определяется следующим образом:
,
(9)
где е — основание натурального логарифма; х — приведенное значение исследуемого параметра объекта.
Функция определена в интервале 0...1 и используется в качестве безразмерной шкалы, названной шкалой желательности, для оценки уровней параметров сравниваемых объектов (изделий).
С помощью шкалы желательности оцениваются параметры объектов или изделий с точки зрения их пригодности к использованию, или желательности, по отношению к какому-либо практическому применению. Каждому фактическому значению функции желательности придается конкретный экономический смысл, связанный с уровнем конкурентоспособности исследуемого объекта или изделия. Причем значение функции желательности, равное 0, соответствует неприемлемому уровню параметра, при значении которого изделие непригодно для выполнения стоящих перед ним задач; значение функции желательности, равное 1,00, соответствует полностью приемлемому уровню параметра, либо такому значению параметра, при котором дальнейшее улучшение нецелесообразно или невозможно. Промежуточные значения функции желательности, их экономическая характеристика приведены в табл. 1.
Для выполнения дальнейших расчетов и графических построений необходимо получить значения приведенного параметра изделия, соответствующие узловым точкам шкалы желательности (табл. 1).
Из формулы, приведенной выше, определим нужное значение. С этой целью прологарифмируем обе части уравнения:
(10)
(11)
Повторное логарифмирование позволяет получить следующую зависимость:
x = –ln [–ln f]. (12)
С целью обеспечения возможности использования функции желательности для оценки параметров различной размерности и порядка производится приведение параметров изделия р к значениям приведенного параметра x функции желательности f. Для этого по известным значениям x и р на границах интервалов функции желательности строится аппроксимирующая функция и определяются ее параметры (коэффициенты). Наиболее простая — это линейная функция вида
х = a х р + b, (13)
где a, b — коэффициенты аппроксимации.
Таблица 1. Параметры функции желательности

Процедура получения оценки уровня параметра изделия по шкале (функции) желательности f включает следующие этапы:
а) определение значений приведенного параметра х, соответствующих узловым точкам шкалы желательности f;
б) определение значений параметра p, соответствующих границам интервалов шкалы желательности f (согласно условиям (критериям), приведенным в табл. 1);
в) определение коэффициентов аппроксимации по данным х и р;
г) вычисление значения x для конкретного значения оцениваемого параметра p;
д) определение значения функции желательности f для оцениваемого параметра.
Очевидно, что результаты сравнительной оценки конкурентоспособности различных изделий-аналогов будут в значительной степени зависеть от того, какие конкретные значения на шкале параметров будут поставлены в соответствие границам интервалов шкалы желательности f.
Обеспечение качества продукции связано с затратами. Качество продукции должно гарантировать потребителю удовлетворение его запросов, ее надежность и экономию затрат, от этого зависит конкурентоспособность товара на рынке. Эти свойства формируются в процессе всей воспроизводственной деятельности предприятия, на всех ее этапах и во всех звеньях. Вместе с ними образуется стоимостная величина продукта, характеризующая эти свойства от планирования разработок продукции до ее реализации и послепродажного обслуживания. На рис. 3. покажем цепочку формирования затрат и стоимости товара или услуги.

Рис.3. Цепочка формирования затрат и создание стоимости продукции
Она позволяет конкретизировать принцип гарантии качества и увидеть когда, т. е. на каком этапе деятельности, и где, в каком подразделении, он реализуется. Поскольку за каждый этап и подразделение несет ответственность руководитель, становится ясно, кто отвечает за качество продукции. То, что мы подразумеваем под гарантиями, есть технические, технологические, экологические, эргономические, экономические и иные показатели качества, которые и обеспечивают удовлетворение запросов потребителя.
Существует еще одна группа издержек, которые при их возникновении следует относить или к базовым, или к дополнительным в зависимости от новизны продукции. Эти затраты на брак и его исправление. Их величина может существенно колебаться и состоять как из расходов на производство забракованной в дальнейшем продукции при наличии неисправимого брака или дополнительно к этому затрат на его исправление, если брак не окончательный, а может также включать оплату морального и (или) физического ущерба, нанесенного потребителю некачественной продукцией.
[1] Маркетинг: Учебник / Романов А.Н., Коряюгов Ю.Ю., Красильников С.А. и др.; Под ред. А.Н. Романова. — М.: Банки и биржи, ЮНИТИ, 1996. — 560 с.: ил.
[2] Амбарцумов А.А., Стерликов Ф.Ф. 1000 терминов рыночной экономики: Справочное учебное пособие. — М.: Крон-Пресс, 1993. — 302 с.
[3] Тарасова В.П., Крутикова Ф.А. Толковый словарь рыночной экономики. — М.: Рекламно-издательская фирма «Глория», 1993. — 302 с.