Содержание:
Введение 3
1.Стандартизация услуг. Концепция развития стандартизации услуг
в России 4
2.Международная и региональная сертификация 6
3.Качество и конкурентоспособность продукции 14
Выводы 25
Список литературы 27
Введение
Сфера услуг занимает значительное место в мировой экономике. За последние 25 лет ее доля в валовом национальном продукте развитых в промышленном отношении стран достигла 60%. Согласно ЮНЕСКО, в 2000 г. в том или ином виде сервиса было задействовано около 67% трудоспособного населения планеты. Что касается России, то этим видом деятельности ныне охвачено свыше 40% населения страны, а доля услуг составляет примерно 50% валового национального продукта. Все это говорит о необходимости изучения стандартизации и сертификации услуг.
Цель работы – рассмотрение стандартизации услуг, сравнение международной и региональной сертификации, рассмотрение качества и конкурентоспособности продукции.
1.Стандартизация услуг. Концепция развития стандартизации
услуг в России
Естественно, что стандартизация услуг отличается от стандартизации продукции. Например, ГСС для продукции предусматривает четыре вида стандартов: общие (термины, номенклатура показателей качества, общие требования к продукции), на конкретную продукцию, на процессы, на методы испытаний. С учетом международного опыта можно сказать, что на услуги видов стандартов должно быть больше. Добавляются стандарты на персонал и стандарты, на предприятия, то есть на те организации, которые оказывают услуги, например, гостиницы. Большое значение при оказании услуг имеет взаимодействие потребителя и исполнителя услуги. Например, исполнитель услуги не должен есть и пить при разговоре с потребителем. Время ожидания услуги в большинстве стандартов - 3-6 минут. Если нет возможности соблюдать такой интервал времени, то должны применяться какие-то дополнительные средства для развлечения посетителя, создания ему комфортных условий ожидания. В зарубежных стандартах очень много показателей, которые касаются этики отношений потребителя и исполнителя услуги. Это вытекает из самого определения понятия "услуга." По международным стандартам ИСО серии 9000, "Услуга - это результат взаимодействия исполнителя и потребителя услуги." В вашей сфере что это может быть? То удовольствие, удовлетворение, которое получит посетитель в результате пользования услугами вашего парка или аттракциона. Следующая часть определения - "а также непосредственная деятельность исполнителя услуги по удовлетворению потребностей потребителя." Это напрямую относится ко всем. Раз вопрос идет о деятельности, то встает вопрос о том, как организовать этот процесс и как можно его сертифицировать, какими методами.
Работы по сертификации услуг начались в стране в 1992 г. с выходом в свет Закона РФ “О защите прав потребителей”. И тогда же Госстандарт России столкнулся с проблемой — отсутствием как соответствующих международных документов (в том числе правил и схем сертификации услуг), так и государственных стандартов, устанавливающих требования к безопасности и качеству сервиса. Тем не менее, на базе вскоре утвержденной Концепции стандартизации и сертификации в сфере услуг населению Госстандарт России совместно с рядом министерств, ведомств (Минтранс, Минторг, ГКФТ России, ЦНИИбыт) разработал и утвердил ряд основополагающих документов. В их числе: Общероссийский классификатор услуг населению (ОК 002-93); комплекс стандартов, оговаривающих терминологию, а также требования к отдельным видам услуг, к предприятиям службы быта и их персоналу; Правила сертификации работ и услуг в Российской Федерации, зарегистрированные в Минюсте России, и т.п. Введение в действие названных и других нормативных документов позволило организовать проведение обязательной сертификации по шести видам однородных услуг (ремонт и техническое обслуживание бытовой радиоэлектронной аппаратуры и электробытовых машин и приборов; техническое обслуживание и ремонт автомототранспортных средств; туристские услуги и услуги гостиниц; общественное питание; химчистка и крашение; перевозка пассажиров автомобильным транспортом), а также разработку более 30 систем добровольной сертификации (сертификация рекламного дела, автозаправочных станций, оценка недвижимости, фрахта, лоцманских организаций и др.). К тому же на утверждении находятся системы обязательной сертификации услуг парикмахерских и услуг розничной торговли, а на этапе разработки — системы сертификации жилищно-коммунальных услуг и по ремонту и изготовлению швейных и трикотажных изделий и головных уборов.
Сформирована инфраструктура системы обязательной сертификации в сфере услуг, включающая 5 центральных органов по сертификации однородных видов услуг, 8 методических центров, 258 органов по сертификации, более 1000 экспертов. За последние пять лет ими выдано около 30 тыс. сертификатов соответствия.
Вместе с тем в работах по сертификации бытовых услуг имеются серьезные недостатки. Так, обязательной сертификацией охвачена лишь четвертая часть услуг (6 из 25), при оказании которых возможно нанесение ущерба потребителю. По остальным видам сертификация не ведется из-за отсутствия нормативной базы. В частности, недостает государственных стандартов, устанавливающих требования к процессам оказания и методам оценки услуг, к предприятиям службы сервиса и к отдельным исполнителям. Управление сертификации Госстандарта России совместно с ВНИИС разработали проект Программы работ по развитию сертификации услуг, рассчитанную до 2005 г. Она предусматривает:
в области стандартизации услуг:
актуализацию и развитие фонда основополагающих стандартов в части сертификации услуг;
разработку новых стандартов как для ряда действующих, так и для нормативного обеспечения вновь вводимых систем сертификации;
в области сертификации:
приведение действующих систем сертификации в полное соответствие с основополагающими документами Системы сертификации ГОСТ РФ;
разработку организационно-методической документации для вновь вводимых систем сертификации однородных услуг;
подготовку рекомендаций по проведению сертификации в зависимости от схем сертификации.
2.Международная и региональная сертификация
Сертификация продукции - процедура подтверждения соответствия, посредством которой независимая от изготовителя (продавца, исполнителя) и потребителя (покупателя) организация удостоверяет в письменной форме, что продукция соответствует установленным требованиям. (часть первая в ред. Федерального закона от 31.07.98 N 154-ФЗ).
Сертификация появилась в связи с необходимостью защитить внутренний рынок от продукции, непригодной к использованию. Вопросы безопасности, защиты здоровья и окружающей среды заставляют законодательную власть, с одной стороны, устанавливать ответственность поставщика (производителя, продавца и так далее) за ввод в обращение недоброкачественной продукции; с другой стороны – устанавливать обязательные к выполнению минимальные требования, касающиеся характеристик продукции, вводимой в обращение. К первым относятся такие законодательные акты, как например, Закон "О защите прав потребителей", принятый в России, или закон об ответственности за продукцию, принятый в странах Европейского Сообщества.
Таким образом, устанавливается ограничение на ввод в обращение продукции, которая в целом или по каким-либо отдельным параметрам подпадает под действие законодательных актов. При этом говорят, что продукция попадает в законодательно регулируемую область. Для ввода в обращение продукции, которая попадает в законодательно регулируемую область, требуется официальное подтверждение того, что она соответствует всем предъявленным законодательством требованиям. Одной из форм такого подтверждения является сертификация продукции, проводимая независимой третьей стороной (первая – изготовитель, вторая – потребитель).
В руководстве ИСО определены восемь схем сертификации третьей стороной:
1. Испытания образца продукции.
2. Испытания образца продукции с последующим контролем на основе надзора за заводскими образцами, закупаемыми на открытом рынке.
3. Испытания образца продукции с последующим контролем на основе надзора за заводскими образцами.
4. Испытания образца продукции с последующим контролем на основе надзора за образцами, приобретенными на открытом рынке и полученными с завода.
5. Испытания образца продукции и оценка заводского управления качеством с последующим контролем на основе надзора за заводским управлением качества и испытаний образцов, полученных с завода и открытого рынка.
6. Только оценка заводского управления качеством.
7. Проверка партий изделий.
8. 100%-ный контроль.
В процессе деятельности по сертификации продукции, поставщик может столкнуться с двумя субъектами этого процесса (рис. 1).

Рис.1. Взаимоотношения субъектов сертификации
Согласно классической схеме, испытания образцов продукции осуществляют испытательные лаборатории. Результаты испытаний, оформленные в виде протокола, передаются в орган по сертификации. Орган по сертификации сравнивает результаты испытаний с требованиями законодательства либо с другими представленными поставщиком характеристиками, нормативами. В случае, если продукция соответствует указанным установленным требованиям, орган по сертификации выдает поставщику сертификат соответствия.
|
1. Подача заявки на сертификацию |
З |
|
|
2. Принятие решения по заявке, в том числе выбор схемы |
ОС |
|
|
3. Отбор, идентификация образцов и их испытания |
ОС ИЛ |
|
|
4. Оценка производств (если это предусмотрено схемой сертификации) |
ОС |
|
|
5. Анализ полученных результатов и принятие решения о выдаче сертификата соответствия |
ОС |
|
|
6. Выдача сертификата и лицензии на применение знака соответствия |
ОС |
|
|
7. Осуществление инспекционного контроля за сертифицированной продукцией |
ОС |
|
|
8. Корректирующие мероприятия при нарушении соответствия установленным требованиям и неправильное применение знака соответствия |
З |
|
|
9. Информация о результатах сертификации |
ОС |
|
З – заявитель;
ОС – орган по сертификации;
ИЛ – испытательная лаборатория.
Рис.2. Последовательность процедур сертификации продукции:
Испытания проводятся на образцах, конструкция, состав и технология изготовления которых должны быть такими же, как у продукции, поставляемой потребителю (заказчику).
Международная практика сертификации
Технические барьеры, возникающие многих международных организаций, направленную на создание международных организаций по сертификации и международных систем сертификации отдельных видов продукции дли обеспечения беспрепятственного ее появления на своих рынках.
Крупнейшей международной организацией является Генеральное соглашение по тарифам и торговле (ГАТТ). Соглашение содержит специальные рекомендации для его участников (около 100 стран) в области стандартизации и сертификации. Страны-участницы Совещания по безопасности и сотрудничеству в Европе (СБСВ) в своих заключительных актах по итогам встреч в Хельсинки (1975 г.) и Вене (1989 г.) отмечали необходимость сотрудничества в области сертификации и использования ее как средства, способствующего сближению и расширению торговых связей стран.
Ведущее место в области организационно-методического обеспечения сертификации принадлежит ИСО, которая имеет Комитет по сертификации (СЕГТИКО). Совместно с ИСО над проблемами сертификации работает МЭК. Все руководства выпускаются от имени этих двух организаций (ИСО/МЭК). МЭК организовал также две международные системы сертификации. В 1980 г. была проведена экспертиза изделий электронной техники на соответствие стандартам МЭК (резисторы, конденсаторы, транзисторы, электронно-лучевые трубки и др.).
Опубликованная в 1985 г. “Белая книга ЕЭС”, содержащая график мероприятий, необходимых для обеспечения свободного движения продукции, капиталов, услуг и людских ресурсов. С 1984 г. под эгидой МЭК действует система сертификации электротехнических изделий (МЭКСЭ), ранее функционировавшая в рамках СЕЧ (Международной комиссии по сертификации). Эта система направлена на подтверждение безопасности бытовых электроприборов, медицинской техники, кабелей и некоторой другой продукции – на соответствии стандартам МЭК.
Международная конференция по аккредитации испытательных лабораторий ИЛЛК ежегодно проводит конференции для обмена информацией и опытом по вопросам взаимного признания результатов испытаний, аккредитации лабораторий, оценки качества результатов испытаний; ИЛАК занимается издательской деятельностью по вопросам сертификации и тесно сотрудничает с КАСКО, ИСО, ЕЭС, ЕЭК, ООН, ГАТТ.
В целях обеспечения взаимного признания результатов испытаний в 1986 г. был создан орган по аккредитации лабораторий стран Северной Европы (НОРДА).
В 1991 г. Генеральная ассамблея Европейского комитета стандартов (СЕН) – Международной организации по стандартизации стран-членов Общего рынка – утвердила “Правила внедрения и использования систем СЕН СЕР” и общие положения систем сертификации и взаимного признания странами ЕЭС результатов испытания резервов в странах ЕЭС к 1992 г. В отличие от ранее действовавшего порядка европейские стандарты принимаются решением большинства стран-членов ЕЭС – и после принятия обретают законную силу во всех странах сообщества.
Таблица 1.
|
Наименование этапа |
Содержание этапа |
Исполнитель |
Окончание этапа |
|
1. Получение органом по сертификации декларации заявки на сертификацию продукции |
Анализ декларации-заявки |
Организация (заявитель) |
Назначение эксперта для экспертизы исходных материалов |
|
2. Экспертиза исходных материалов |
Экспертиза исходных материалов, сбор и анализ информации о качестве реализуемой продукции, оценка целесообразности проведения последующих этапов сертификации производства |
Орган по сертификации (уполномоченный эксперт) |
Составление заключения о целесообразности проведения сертификации производства, заключение договора на проведение сертификации производства |
|
3. Формирование комиссии по проверке производства |
Назначение главного эксперта и утверждение состава комиссии |
Орган по сертификации (уполномоченный эксперт) |
Оформление приказа о составе комиссии |
|
4. Составление рабочей программы проверки (или принятие типовой программы) |
Регламентация объектов и процедур проверки производства и правил принятия решений |
Орган по сертификации (уполномоченный эксперт) |
Принятие программы проверки производства |
|
5. Проверка производства |
Формирование комиссии, составление плана проверки, проверка производства, принятие решения о возможности сертификации производства |
Орган по сертификации (уполномоченный эксперт) |
Составление акта о результатах проверки производства |
|
6. Принятие решения о рекомендации производства к сертификации и оформление документов по результатам проверки производства |
Оформление проекта сертификата |
Орган по сертификации (уполномоченный эксперт) |
Направление акта о результатах проверки производства, проекта сертификата в Технический центр Регистра |
|
7. Принятие решения о сертификации производства |
Принятие решения о регистрации сертификата в Реестре Регистра |
Технический центр Регистра |
Направление сертификата заявителю |
|
8. Инспекционный контроль за сертифицированным производством |
Выполнение процедур проверки стабильности качества изготовления продукции в соответствии с программой проверки |
Орган по сертификации (уполномоченный эксперт) Технический центр Регистра |
Оформление актов проверок |
Объединенным институтом СЕН/СЕНЭЛЕК для стран-членов ЕЭС и стран-членов Европейской ассоциации свободной торговли (ЕАСТ) разработаны европейские стандарты EN серии 45000. Это организационно-методические документы, касающиеся деятельности испытательных лабораторий, органов по сертификации продукции, систем качества и аттестации персонала, а также определяющие действия изготовителя, решившего заявить о соответствии своей продукции требованиям стандартов.
В 1990 г. для реализации правил сертификации, рассмотрения деклараций о соответствии, установления критериев взаимного признания был создан специальный орган – Европейская организация по испытаниям и сертификации (ЕОИС). Цель ЕОИС – рационализация деятельности органов по оценке соответствия в Европе, способствующей свободному распространению товаров и услуг. В настоящее время в Европе действует более 700 органов по сертификации. Системы сертификации взаимосвязаны и действуют согласованно. Всего в странах ЕЭС и ЕАСТ сертифицируется более 5000 изделий, действует более 300 систем сертификации и. практически во всех зарубежных странах.
3.Качество и конкурентоспособность продукции
Понятие конкурентоспособности продукции в маркетинге
В рыночной экономике решающим фактором коммерческого успеха товара является конкурентоспособность. Это многоаспектное понятие, означающее соответствие товара условиям рынка, конкретным требованиям потребителей не только по своим качественным, техническим, экономическим, эстетическим характеристикам, но и по коммерческим и иным условиям его реализации (цена, сроки поставки, каналы сбыта, сервис, реклама). Более того, важной составной частью конкурентоспособности товара является уровень затрат потребителя за период его эксплуатации.
В силу многоаспектности применения данной категории в различных отраслях знаний в научно-технической литературе существует ряд определений, подчас противоречащих друг другу.
Так, в литературе предлагается следующее определение конкурентоспособности: «...под конкурентоспособностью понимается комплекс потребительских и стоимостных (ценовых) характеристик товара, определяющих его успех на рынке, то есть преимущество именно этого товара над другими в условиях широкого предложения конкурирующих товаров-аналогов»[1].
Словари дают следующие толкования этого слова:
1) «...конкурентоспособность товара — совокупность потребительских свойств товара, определяющая его отличие от других аналогичных товаров по степени и уровню удовлетворения потребности покупателя и затратам на его приобретение и эксплуатацию»[2];
2) «...конкурентоспособность товара — способность продукции быть более привлекательной для потребителя (покупателя) по сравнению с другими изделиями аналогичного вида и назначения, благодаря лучшему соответствию своих качественных и стоимостных характеристик требованиям данного рынка и потребительским оценкам»[3].
По нашему мнению, все эти определения имеют один общий недостаток, представляя конкурентоспособность как совокупность, то есть сумму, всех свойств товара и не учитывая того, что потребителя больше интересует соотношение: «качество/цена потребления».
На наш взгляд, конкурентоспособность — более высокое по сравнению с товарами-заменителями соотношение совокупности качественных характеристик товара и затрат на его приобретение и потребление при их соответствии требованиям рынка или его определенного сегмента. Иначе: конкурентоспособным считается товар, у которого совокупный полезный эффект на единицу затрат выше, чем у остальных, и при этом величина ни одного из критериев не является неприемлемой для потребителя.
Товар с низким качеством может быть конкурентоспособен при соответствующей цене, но при отсутствии какого-либо свойства он потеряет привлекательность вообще. Например, отсутствие вспышки у фотоаппарата практически невозможно скомпенсировать снижением цены.
Помимо требований к товару, выдвигаемых каждым отдельным потребителем, существуют и требования, общие для всех товаров, обязательные к выполнению. Это нормативные параметры, которые устанавливаются: действующими международными (ИСО, МЭК и др.) и региональными стандартами; национальными зарубежными и отечественными стандартами; действующими законодательствами, нормативными актами, техническими регламентами страны-экспортера и страны-импортера, устанавливающими требования к ввозимой в страну продукции; стандартами фирм—изготовителей данной продукции; патентной документацией.
Например, электрические приборы должны работать при напряжении, которое подается в сеть, и соответствовать требованиям пожаробезопасности и взрывобезопасности, а их конструкция определяется условиями проводимого процесса.
Если хотя бы одно из требований не будет выполнено, то товар не может быть выведен на рынок.
При положительном результате анализа нормативных параметров переходят к анализу конкурентоспособности товара на конкретных рынках.
Существует несколько методов расчета показателя конкурентоспособности.
Однако прежде чем рассчитывать количественное значение показателя конкурентоспособности, необходимо провести ряд дополнительных исследований.
На первой стадии проводится экспериментальное определение или расчет всех характеристик собственного товара, включая и те, которые можно выявить только в процессе его эксплуатации (энергоемкость, требуемая периодичность смазывания или замены деталей).
На второй — определяются цели оценки конкурентоспособности, которые зависят от стадии жизненного цикла товара, от стратегии и планов развития фирмы и т.д. Перед тем как вывести новый товар на рынок, нужно удостовериться, что он по своим показателям не уступает конкурентам и может привлечь внимание покупателей. Со временем конкурентоспособность товара может либо повышаться, либо снижаться в связи с изменением предпочтений потребителей, появлением новых или уходом с рынка старых конкурентов и т.д.
На третьей — методами маркетинга проводятся сегментация рынка и обоснование целевого сегмента. Если таковых окажется несколько, то оценку конкурентоспособности товара необходимо проводить для каждого сегмента отдельно.
Определение конкурентоспособности продукции методом расчета единичных и групповых показателей
В основе данного — традиционного — метода лежит расчет единичных и групповых показателей, на базе которых определяется интегральный показатель конкурентоспособности. Рассмотрим его более подробно.
На первом этапе выбирается база сравнения. В качестве базы для сравнения может служить лучший из уже существующих на целевом рынке или в мире товаров-конкурентов, или более совершенный образец, появление которого ожидается в ближайшем будущем, или некоторый абстрактный эталон. Если разбить товары на три группы, а именно:
· имеющие аналоги и уже выведенные на рынок;
· имеющие аналоги и находящиеся на стадии разработки;
· не имеющие аналогов,
то получаем, что первый вариант базы сравнения лучше использовать для первой группы, второй — для группы 2, третий — для группы 3.
На втором этапе выделяются наиболее значимые для потребителя критерии. Они делятся на две группы: потребительские и экономические. Первые включают в себя качественные характеристики товара (производительность, габариты, экологическая безопасность, надежность и т.д.), вторые — цену товара, затраты на транспортировку, монтаж и эксплуатацию, что в целом составляет цену потребления. Значение критерия у базисной модели обозначим РБ, а у сравниваемого образца — Р.
На третьем этапе по каждому критерию рассчитывается единичный показатель конкурентоспособности (qi). Если увеличение значения критерия влечет за собой повышение качества, то
qi = Pi/PБi, (1)
а если снижение, то
qi = PБi/Pi, (2)
На четвертом этапе внутри каждой группы критериев производят ранжирование показателей по степени их значимости для потребителя и в соответствии с этим присваивают им вес: апi — для потребительских и аэi — для экономических показателей. Причем
, (3)
где n и m — количество потребительских и экономических параметров соответственно.
Необходимость соблюдения этого равенства обоснуем ниже.
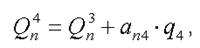
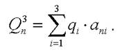
На пятом этапе проводится расчет группового показателя как сводного параметрического индекса конкурентоспособности:
, (4)
,
(5)
где Qп и Qэ — сводные параметрические индексы конкурентоспособности по потребительским и экономическим свойствам соответственно.
Вернемся к равенству (3). Его соблюдение обеспечивает сопоставимость Qп и Qэ вне зависимости от количества рассматриваемых критериев.
Рассмотрим пример.
При сравнении двух образцов по трем потребительским критериям получили следующие пары значений: (aпi; qi): (aп1; q1), (aп2; q2), (aп3; q3). Тогда
.
(6)
Дополнительное исследование рынка показало, что необходимо добавить еще один критерий, для которого апi = а4, qi = q4. В результате, если пренебречь равенством (3), получим
,
(7)
то есть сводный параметрический индекс конкурентоспособности увеличится даже в случае, если q4 < 1, следовательно, наблюдается превосходство базисной модели.
На шестом этапе рассчитывается интегральный показатель конкуренто-способности (К):
К = Qп/Qэ. (8)
Экономический смысл интегрального показателя конкурентоспособности заключается в том, что на единицу затрат потребитель получает К единиц полезного эффекта. Если К > 1, то уровень качества выше уровня затрат и товар является конкурентоспособным, если К < 1 — неконкурентоспособным на данном рынке.
Данный метод имеет ряд недостатков:
1) во всех случаях предполагается линейная зависимость конкурентоспособности от значения критерия, то есть по всем параметрам эластичность спроса равна 1;
2) не учитывается то, что для некоторых критериев существуют ограничения, объективные или субъективные, при нарушении которых конкурентоспособность товара стремится к нулю;
3) при сравнении нескольких товаров необходимо проведение расчетов для каждой пары в отдельности;
4) сложно устанавливать весовые значения aij, особенно для большого количества критериев;
5) невозможно оценить степень влияния на конкурентоспособность товара факторов, не поддающихся количественной оценке;
6) данным методом рассчитывается конкурентоспособность одного объекта относительно другого, а не уровень конкурентоспособности объекта вообще;
7) существует определенная сложность выбора базы сравнения, особенно в случаях, когда в качестве таковой необходимо принять лучший из существующих образцов. Возникает вопрос: как определить, какой товар является лучшим? Поэтому либо необходимо предварительно сравнивать образцы между собой, либо имеет место интуитивный выбор. Можно брать в качестве базы сравнения лидера по продажам, но эта информация часто закрыта, субъективна и трудно собираема, особенно когда речь идет о товарах широкого потребления, которые распространяются по многим каналам сбыта, имеющим несколько уровней.
Собственно, указанные недостатки являются и ограничениями применения традиционного метода конкурентоспособности товара.
Определение конкурентоспособности с использованием функции желательности
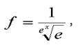
Использование функции желательности f для определения конкуренто-способности товара предложено в [2]. Функция желательности определяется следующим образом:
,
(9)
где е — основание натурального логарифма; х — приведенное значение исследуемого параметра объекта.
Функция определена в интервале 0...1 и используется в качестве безразмерной шкалы, названной шкалой желательности, для оценки уровней параметров сравниваемых объектов (изделий).
С помощью шкалы желательности оцениваются параметры объектов или изделий с точки зрения их пригодности к использованию, или желательности, по отношению к какому-либо практическому применению. Каждому фактическому значению функции желательности придается конкретный экономический смысл, связанный с уровнем конкурентоспособности исследуемого объекта или изделия. Причем значение функции желательности, равное 0, соответствует неприемлемому уровню параметра, при значении которого изделие непригодно для выполнения стоящих перед ним задач; значение функции желательности, равное 1,00, соответствует полностью приемлемому уровню параметра, либо такому значению параметра, при котором дальнейшее улучшение нецелесообразно или невозможно. Промежуточные значения функции желательности, их экономическая характеристика приведены в табл. 1.
Для выполнения дальнейших расчетов и графических построений необходимо получить значения приведенного параметра изделия, соответствующие узловым точкам шкалы желательности (табл. 1).
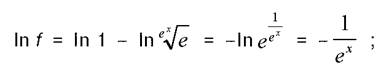
Из формулы, приведенной выше, определим нужное значение. С этой целью прологарифмируем обе части уравнения:
(10)
(11)
Повторное логарифмирование позволяет получить следующую зависимость:
x = –ln [–ln f]. (12)
С целью обеспечения возможности использования функции желательности для оценки параметров различной размерности и порядка производится приведение параметров изделия р к значениям приведенного параметра x функции желательности f. Для этого по известным значениям x и р на границах интервалов функции желательности строится аппроксимирующая функция и определяются ее параметры (коэффициенты). Наиболее простая — это линейная функция вида
х = a х р + b, (13)
где a, b — коэффициенты аппроксимации.
Таблица 1. Параметры функции желательности

Процедура получения оценки уровня параметра изделия по шкале (функции) желательности f включает следующие этапы:
а) определение значений приведенного параметра х, соответствующих узловым точкам шкалы желательности f;
б) определение значений параметра p, соответствующих границам интервалов шкалы желательности f (согласно условиям (критериям), приведенным в табл. 1);
в) определение коэффициентов аппроксимации по данным х и р;
г) вычисление значения x для конкретного значения оцениваемого параметра p;
д) определение значения функции желательности f для оцениваемого параметра.
Очевидно, что результаты сравнительной оценки конкурентоспособности различных изделий-аналогов будут в значительной степени зависеть от того, какие конкретные значения на шкале параметров будут поставлены в соответствие границам интервалов шкалы желательности f.
Обеспечение качества продукции связано с затратами. Качество продукции должно гарантировать потребителю удовлетворение его запросов, ее надежность и экономию затрат, от этого зависит конкурентоспособность товара на рынке. Эти свойства формируются в процессе всей воспроизводственной деятельности предприятия, на всех ее этапах и во всех звеньях. Вместе с ними образуется стоимостная величина продукта, характеризующая эти свойства от планирования разработок продукции до ее реализации и послепродажного обслуживания. На рис. 3. покажем цепочку формирования затрат и стоимости товара или услуги.

Рис.3. Цепочка формирования затрат и создание стоимости продукции
Она позволяет конкретизировать принцип гарантии качества и увидеть когда, т. е. на каком этапе деятельности, и где, в каком подразделении, он реализуется. Поскольку за каждый этап и подразделение несет ответственность руководитель, становится ясно, кто отвечает за качество продукции. То, что мы подразумеваем под гарантиями, есть технические, технологические, экологические, эргономические, экономические и иные показатели качества, которые и обеспечивают удовлетворение запросов потребителя.
Существует еще одна группа издержек, которые при их возникновении следует относить или к базовым, или к дополнительным в зависимости от новизны продукции. Эти затраты на брак и его исправление. Их величина может существенно колебаться и состоять как из расходов на производство забракованной в дальнейшем продукции при наличии неисправимого брака или дополнительно к этому затрат на его исправление, если брак не окончательный, а может также включать оплату морального и (или) физического ущерба, нанесенного потребителю некачественной продукцией.
Заключение. Выводы
1.Применение предприятиями и в России сертификации продукции в условиях рыночных отношений дает следующие преимущества:
- обеспечивает доверие внутренних и зарубежных потребителей к качеству продукции;
- облегчает и упрощает выбор необходимой продукции потребителям;
- обеспечивает потребителю получение объективной информации о качестве продукции;
- способствует более длительному успеху и защите в конкуренции с изготовителями несертифицированной продукции;
- уменьшает импорт в страну аналогичною продукции;
- предотвращает поступление в страну импортной продукции не соответствующего уровня качества;
- стимулирует улучшение качества НТД путем установления в ней более прогрессивных требований;
- способствует повышению организационно-технического уровня производства;
- стимулирует ускорение НТП.
2.Обеспечение качества продукции связано с затратами. Все этапы деятельности современных фирм включают элементы управления затратами. В зависимости от целей, задач анализа затрат на качество и возможностей получения необходимой информации методы управления затратами могут быть различны. На это влияет и прохождение продукцией определенного этапа деятельности предприятия.
3.Политика предприятия должна быть нацелена на высокое качество, от которого зависит повышение конкурентоспособности. Брак, являющийся его противоположностью, может возникнуть на любом предприятии. Его надо учитывать.
Список литературы:
1. Амбарцумов А.А., Стерликов Ф.Ф. 1000 терминов рыночной экономики: Справочное учебное пособие. — М.: Крон-Пресс, 1993. — 302 с.
2. Крылова Г.Д. основы стандартизации, сертификации, метрологии: Учебник для вузов. - М.:ЮНИТИ - ДАНА, 2000. - 711 с.
3. Закон РФ "О стандартизации" в редакции от 27.12.95.
4. Закон РФ "О сертификации продукции и услуг" в редакции от 27.12.95.
5. Закон РФ "О внесении изменений и дополнений в Закон РФ "О сертификации продукции и услуг" от 7.08.98.
6. Закон РФ "Об обеспечении единства измерений" от 27.04.93.
7. Исаев Л.К., Малинский В.Д. Метрология и стандартизация в сертификации.- М.: ИПК Издательство стандартов, 1996.
8. Кузнецов В.А., Ялунина Г.В. Основы метрологии.-М.: ИПК Издательство стандартов, 1995.
9. Сертификат, качество товара и безопасность покупателя. /Под ред Г.П.Воронина и В.Г. Версана. - М.: ВНИЦ, 1998.
10. Тарасова В.П., Крутикова Ф.А. Толковый словарь рыночной экономики. — М.: Рекламно-издательская фирма «Глория», 1993. — 302 с.
11. Лифиц И.М. Основы стандартизации, метрологии и управления качеством.- М.: экономика, 1994.
12. Управление качеством: Учебник для вузов /С.Д.Ильенков, Н.Д.Ильенкова., В.С.Мхитарян и др.; под ред. С.Д.Ильенковой.-М.: Банки и биржи, ЮНИТИ
13. Маркетинг: Учебник / Романов А.Н., Коряюгов Ю.Ю., Красильников С.А. и др.; Под ред. А.Н. Романова. — М.: Банки и биржи, ЮНИТИ, 1996. — 560 с.: ил.
[1] Маркетинг: Учебник / Романов А.Н., Коряюгов Ю.Ю., Красильников С.А. и др.; Под ред. А.Н. Романова. — М.: Банки и биржи, ЮНИТИ, 1996. — 560 с.: ил.
[2] Амбарцумов А.А., Стерликов Ф.Ф. 1000 терминов рыночной экономики: Справочное учебное пособие. — М.: Крон-Пресс, 1993. — 302 с.
[3] Тарасова В.П., Крутикова Ф.А. Толковый словарь рыночной экономики. — М.: Рекламно-издательская фирма «Глория», 1993. — 302 с.