Содержание
1. Предмет и метод экономического анализа, его содержание
и этапы развития 3
2. Основные свойства и модели факторного анализа 7
3. Задачи 13
Список использованной литературы 18
1. Предмет и метод экономического анализа, его содержание и этапы развития
Экономический анализ как наука представляет собой систему специальных знаний, базирующихся на законах развития и функционирования систем и направленных на познание методологии оценки, диагностики и прогнозирования финансово-хозяйственной деятельности предприятия.
Каждая наука имеет свой предмет. Под предметом экономического анализа понимаются хозяйственные процессы предприятий, их социально-экономическая эффективность и конечные финансовые результаты деятельности, складывающиеся под воздействием объективных и субъективных факторов, находящие отражение через систему экономической информации.
Предмет экономического анализа определяет стоящие перед ним задачи. Среди основных выделим:
· повышение научно-экономической обоснованности бизнес-планов, бизнес-процессов и нормативов в процессе их разработки;
· объективное и всестороннее исследование выполнения бизнес-планов, бизнес-процессов и соблюдения нормативов;
· определение эффективности использования трудовых и материальных ресурсов; · контроль за осуществлением требований коммерческого расчета; · выявление и измерение внутренних резервов на всех стадиях производственного процесса;
· проверка оптимальности управленческих решений.
Метод экономического анализа представляет собой способ подхода к изучению хозяйственных процессов в их плавном развитии.
Характерными особенностями метода экономического анализа являются: · определение системы показателей, всесторонне характеризующих хозяйственную деятельность организаций;
· установление соподчиненности показателей с выделением совокупных результативных факторов и факторов (основных и второстепенных), на них влияющих; · выявление формы взаимосвязи между факторами;
· выбор приемов и способов для изучения взаимосвязи;
· количественное измерение влияния факторов на совокупный показатель.
Совокупность приемов и способов, которые применяются при изучении хозяйственных процессов, составляет методику экономического анализа.
Методика экономического анализа базируется на пересечении трех областей знаний: экономики, статистики и математики.
К экономическим методам анализа относят сравнение, группировку, балансовый и графический методы.
Статистические методы включают в себя использование средних и относительных величин, индексный метод, корреляционный и регрессивный анализ и др.
Математические методы можно разделить на три группы: экономические (матричные методы, теория производственных функций, теория межотраслевого баланса); методы экономической кибернетики и оптимального программирования (линейное, нелинейное, динамическое программирование); методы исследования операций и принятия решений (теория графов, теория игр, теория массового обслуживания).
Теория, методология, методика, способы и приемы экономического анализа складывались постепенно, проходя, как и в других науках, сложные, порой противоречивые этапы истории. Путь экономического анализа как науки сложен и извилист.
Возникновение экономического анализа связывают с появлением такой науки как политическая экономия. История экономической науки уходит в древние века (учение мыслителей Древнего Востока – Конфуций; Древней Греции – Ксенофонт, Платон, Аристотель; Древнего Рима – Варрон, Сенека и др.). В средние века появилось само понятие «политэкономия». Эта дифинция была введена в научный оборот французом Антуаном Монкретьеном де Ваттевилем в его книге «Трактат по политической экономии» (1615 г). далее развитие политического учения получило в трудах У. Петти, Д. Рикардо, А. Смита, С. Сисмонди и др.
Некоторые ученые обоснованно связывают возникновение анализа со становлением бухгалтерского учета, с балансоведением (труд итальянского ученого Луки Пачоли (1445 – 1515 г.г.) «Трактат о счетах и записях»).
Экономический анализ деятельности предприятий в Царской России сводился преимущественно к анализу ликвидности баланса, к оценке статей актива и пассива. Но такой анализ не мог раскрыть объективных закономерностей в развитии производства и обмена, поскольку далеко не всегда опирался на объективные материалы, тем более, что в то время учет и отчетность строились не на единой методологической основе. Также возникали существенные трудности в связи с тем, что некоторые отрасли промышленности России действовали совместно с иностранным капиталом. Бухгалтерский учет и отчетность велись здесь не только по образцам немецких, английских или французских предприятий, но зачастую на немецком, английском, французском языках. При уплате промыслового налога составлялись и печатались для казенных палат отчеты и балансы на русском языке. Как правило, балансы не всегда отражали настоящее положение дел. Подлинные балансы составлялись в правлениях в Берлине, Лондоне и Париже.
Специальной литературы, посвященной экономическому анализу, в дореволюционной России не издавалось. Разбору балансов была посвящена особая глава в «Курсе счетоводства» Р.Я. Вейцмана и книга Аринушкина. Несколько статей по вопросам анализа баланса, счета прибылей и убытков было опубликовано в журнале «Счетоводство». Их ценность состояла в том, что авторы разоблачили распространенную тогда нарочитую неясность балансов, что можно было понимать как форму вуалирования и сокрытия. Некоторое значение для становления анализа имели краткие инструкции коммерческих банков о проверке кредитоспособности своей клиентуры.
Резкие изменения в политике, экономике, управленческих структурах, учете и контроле произошли, как известно, после октября 1917г. отмена коммерческой тайны, обеспечение гласности учета, контроль за хозяйственными процессами и их финансовыми результатами – все это явилось исходной основой для становления экономического анализа. Там, где есть действенный учет и контроль, возникают и элементы экономического анализа. Утвержденные Положение о государственной статистике, Основные положения по государственному счетоводству и отчетности послужили началом единых методологических принципов учета, статистики, контроля, а по сути дела и экономического анализа.
Развитие экономического анализа выразилось:
1) в дифференциации анализа по отраслям народного хозяйства;
2) в углублении анализа деятельности хозрасчетных предприятий;
3) в разработке методик анализа сводных отчетов;
4) в монографическом исследовании основных проблем экономического анализа;
5) в использовании методики и методологии экономического анализа за пределами нашей страны.
В настоящее время, в условиях перехода к рыночной экономике, обобщив опыт аналитических разработок, имевших место в Царской России, довольно развитую теорию и богатую практику анализа послереволюционного развития (освободив их от ненужной идеологии), можно серьезно продвинуть вперед все проблемы экономического анализа. Их можно решать, начиная не «с чистого листа». Традиционные и особенно математические методы анализа хозяйственно-финансовой деятельности с применением персональных компьютеров и более сложных электронно-вычислительных систем пригодны для всех времен.
2.Основные свойства и модели факторного анализа
Все явления и процессы хозяйственной деятельности предприятий находятся во взаимосвязи и взаимообусловленности. Одни из них непосредственно связаны между собой, другие косвенно. Отсюда важным методологическим вопросом в экономическом анализе является изучение и измерение влияния факторов на величину исследуемых экономических показателей.
Под экономическим факторным анализом понимается постепенный переход от исходной факторной системы к конечной факторной системе, раскрытие полного набора прямых, количественно измеримых факторов, оказывающих влияние на изменение результативного показателя.
По характеру взаимосвязи между показателями различают методы детерминированного и стохастического факторного анализа.
Детерминированный факторный анализ представляет собой методику исследования влияния факторов, связь которых с результативным показателем носит функциональный характер.
Основные свойства детерминированного подхода к анализу: · построение детерминированной модели путем логического анализа; · наличие полной (жесткой) связи между показателями; · невозможность разделения результатов влияния одновременно действующих факторов, которые не поддаются объединению в одной модели; · изучение взаимосвязей в краткосрочном периоде.
Различают четыре типа детерминированных моделей:
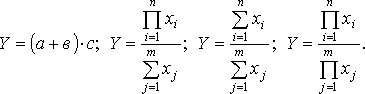
Аддитивные модели представляют собой алгебраическую сумму показателей и имеют вид
К таким
моделям, например, относятся показатели себестоимости во взаимосвязи с
элементами затрат на производство и со статьями затрат; показатель объема
производства продукции в его взаимосвязи с объемом выпуска отдельных изделий
или объема выпуска в отдельных подразделениях.
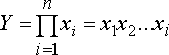
Мультипликативные модели в обобщенном виде могут быть представлены формулой
Кратные модели:
![]() |
Примерами таких моделей служат показатели затрат на 1 руб. товарной продукции, показатели рентабельности и др.
Построение факторной модели – первый этап детерминированного анализа. Далее определяют способ оценки влияния факторов.
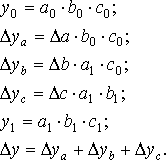
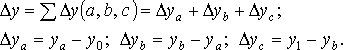
Способ цепных подстановок заключается в определении ряда промежуточных значений обобщающего показателя путем последовательной замены базисных значений факторов на отчетные. Данный способ основан на элиминировании. Элиминировать – значит устранить, исключить воздействие всех факторов на величину результативного показателя, кроме одного. При этом исходя из того, что все факторы изменяются независимо друг от друга, т.е. сначала изменяется один фактор, а все остальные остаются без изменения. потом изменяются два при неизменности остальных и т.д.
В общем виде применение способа цепных постановок можно описать следующим образом:
где a0, b0, c0 - базисные значения факторов, оказывающих влияние на обобщающий показатель у;
a1 , b1, c1 - фактические значения факторов;
ya, yb, - промежуточные изменения результирующего показателя, связанного с изменением факторов а, b, соответственно.
Общее изменение Dу=у1–у0 складывается из суммы изменений результирующего показателя за счет изменения каждого фактора при фиксированных значениях остальных факторов:
Преимущества данного способа: универсальность применения, простота расчетов.
Недостаток метода состоит в том, что, в зависимости от выбранного порядка замены факторов, результаты факторного разложения имеют разные значения. Это связано с тем, что в результате применения этого метода образуется некий неразложимый остаток, который прибавляется к величине влияния последнего фактора. На практике точностью оценки факторов пренебрегают, выдвигая на первый план относительную значимость влияния того или иного фактора. Однако существуют определенные правила, определяющие последовательность подстановки: · при наличии в факторной модели количественных и качественных показателей в первую очередь рассматривается изменение количественных факторов; · если модель представлена несколькими количественными и качественными показателями, последовательность подстановки определяется путем логического анализа.
Под количественным факторами при анализе понимают те, которые выражают количественную определенность явлений и могут быть получены путем непосредственного учета (количество рабочих, станков, сырья и т.д.).
Качественные факторы определяют внутренние качества, признаки и особенности изучаемых явлений (производительность труда, качество продукции, средняя продолжительность рабочего дня и т.д.).
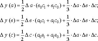
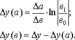
Способ абсолютных разниц является модификацией способа цепной подстановки. Изменение результативного показателя за счет каждого фактора способом разниц определяется как произведение отклонения изучаемого фактора на базисное или отчетное значение другого фактора в зависимости от
![]() |
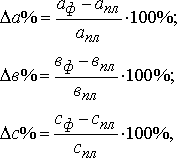
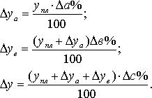
Способ относительных разниц применяется для измерения влияния факторов на прирост результативного показателя в мультипликативных и смешанных моделях вида у = (а – в) . с. Он используется в случаях, когда исходные данные содержат определенные ранее относительные отклонения факторных показателей в процентах.
Для мультипликативных моделей типа у = а . в . с методика анализа следующая:
· находят относительное отклонение каждого факторного показателя:
· определяют отклонение результативного показателя у за счет каждого фактора
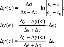
Интегральный метод позволяет избежать недостатков, присущих методу цепной подстановки, и не требует применения приемов по распределению неразложимого остатка по факторам, т.к. в нем действует логарифмический закон перераспределения факторных нагрузок. Интегральный метод позволяет достигнуть полного разложения результативного показателя по факторам и носит универсальный характер, т.е. применим к мультипликативным, кратным и смешанным моделям. Операция вычисления определенного интеграла решается с помощью ПЭВМ и сводится к построению подынтегральных выражений, которые зависят от вида функции или модели факторной системы.
Можно использовать также уже сформированные рабочие формулы, приводимые в специальной литературе:
![]() |
![]() |
3.
Модель вида :
4.
Модель вида :
Задача 1
Составьте баланс товарной продукции, определите влияние факторов на изменение объема реализации, используя балансовый метод.
Исходные данные к задаче представлены в таблице .
тыс. руб.
|
Показатели |
Базисный период |
Отчетный период |
|
Выпуск продукции |
3000 |
3500 |
|
Остатки нереализованной продукции на начало года |
800 |
400 |
|
Остатки нереализованной продукции на конец года |
600 |
900 |
|
Выявленные недостачи продукции |
100 |
150 |
|
Реализация продукции |
Определить |
Определить |
Баланс товарной продукции, тыс. руб.
|
Слагаемые товарного баланса |
Базисный период |
Отчетный период |
|
Запас (остаток) нереализованной продукции на начало года Nзап’ Выпуск продукции Nв Выявленные излишки продукции Nи |
800 3000 0 |
400 3500 0 |
|
Всего в приходе с остатком Nзап’ + Nв +Nи |
3800 |
3900 |
|
Реализация продукции Nр Выявленные недостачи продукции Nн |
3100 100 |
2850 150 |
|
Итого в расходе Nр + Nн |
3200 |
3000 |
|
Запас (остаток) нереализованной продукции на конец года Nзап’’ |
600 |
900 |
|
Всего в расходе с остатком Nр + Nн + Nзап’’ |
3800 |
3900 |
Для определения величины реализации воспользуемся формулой товарного баланса:
Nзап’ + Nв +Nи = Nр + Nн + Nзап’’,
где Nзап’ – запас (остаток) нереализованной продукции на начало года;
Nв – выпуск продукции;
Nи – выявленные излишки продукции;
Nр – реализация продукции;
Nн – выявленные недостачи продукции;
Nзап’’ – запас (остаток) нереализованной продукции на конец года.
Базисный год Nр =800+3000+0 – 100 – 600 =3100 тыс. руб.
Отчетный год Nр = 400 + 3500 + 0 – 150 – 900 = 2850 тыс. руб.
Определение влияния факторов на изменение объема реализации.
Так как формула, отражающая зависимость между обобщающим показателем и показателями-факторами - алгебраическая сумма, величину влияния каждого показателя-фактора можно определить как разницу между отчетным и базовым значениями показателя-фактора, а направление влияния либо совпадает со знаком полученной величины (для тех слагаемых, которые стоят в алгебраической сумме со знаком «+»), либо противоположно ему (для тех слагаемых, которые стоят в алгебраической сумме со знаком «-».
Величины, влияющие на объем реализации представлены в таблице .
Анализ влияния факторов на объем реализации продукции
|
Показатели |
Отклонение отчетного периода от базисного |
|
Остатки продукции на начало года Выпуск продукции Выявленные излишки продукции Остатки продукции на конец года Выявленные недостачи продукции |
-400 500 0 -300 -50 |
|
Общее отклонение |
-250 |
На изменение объема реализации, как видно из таблицы положительно повлияло изменение факторов: выпуск продукции; отрицательно – изменение остатков продукции на начало и конец года, выявленные недостачи.
Задача 2
Проанализируйте состав, структуру основных фондов, эффективность их использования. Определите влияние на объем выпуска продукции следующих факторов:
1) изменение стоимости основных фондов;
2) изменение структуры основных фондов;
3) изменение показателя эффективности использования основных фондов.
Расчеты произведите способом абсолютных отклонений.
Исходные данные, тыс. руб.
|
Показатели |
Базисный год |
Отчетный год |
|
Выпуск продукции (ВП) |
5400 |
6300 |
|
Среднегодовая стоимость ОПФ |
1200 |
1350 |
|
Стоимость активной части ОПФ |
900 |
1050 |
|
Доля активной части фондов |
Определить |
|
|
Фондоотдача всех фондов |
||
|
Фондоотдача активной части фондов |
Решение.
|
Показатели |
Базисный год |
Отчетный год |
|
Выпуск продукции (ВП) |
5400 |
6300 |
|
Среднегодовая стоимость ОПФ |
1200 |
1350 |
|
Стоимость активной части ОПФ |
900 |
1050 |
|
Доля активной части фондов |
0,75 |
0,778 |
|
Фондоотдача всех фондов |
4,5 |
4,67 |
|
Фондоотдача активной части фондов |
6 |
6 |
Фондоотдача всех фондов (Ф0) составляет:
а) в базисном году Ф0 = 5400 тыс. руб. / 1200 тыс. руб. = 4,5
б) в отчетном году Ф0 = 6300 тыс. руб. / 1350 тыс. руб. = 4,67
Фондоотдача активной части фондов (Ф0А) составляет:
а) в базисном году Ф0а= 5400 тыс. руб. / 900 тыс. руб. = 6
б) в отчетном году Ф0а= 6300 тыс. руб. / 1050 тыс. руб. = 6
Анализируя полученные данные, можно отметить, что среднегодовая стоимость ОПФ в отчетном периоде увеличилась по сравнению с базисным периодом на 150 тыс. руб. (или на 12,5 %) . Наибольший удельный вес в структуре ОПФ занимает активная часть и наблюдается ее рост в отчетном году по сравнению с базисным на 0,028 %.
Определим влияние на объем выпуска продукции следующих факторов:
1) изменение стоимости основных фондов:
2) изменение структуры основных фондов;
3) изменение показателя эффективности использования основных фондов.
|
Показатели |
Базовый год |
Отчетный год |
Отклонение |
|
Среднегодовая стоимость ОПФ, тыс. руб. (С опф) |
1200 |
1350 |
150 |
|
Доля активной части ОПФ, (Д) |
0,75 |
0,778 |
0,028 |
|
Фондоотдача с одного рубля активной части ОПФ (Ф0) |
6 |
6 |
0 |
Влияние изменения среднегодовой стоимости ОПФ на выпуск продукции:
DВП = DС опф * Д баз * Ф0 баз
DВП = 150 * 0,75 * 6 = 675 тыс. руб.
Влияние изменения удельного веса активной части ОПФ на выпуск продукции:
DВП =С опф отч * DД * Ф0 баз
DВП = 1350 * 0,028* 6= 226,8 тыс. руб.
Влияние изменения фондоотдачи с одного рубля активной части ОПФ на выпуск продукции:
DВП = С опф отч * Д отч * DФ0
DВП = 1350 * 0,778* 0 = 0
Баланс результатов равен = 901,8, примерно 900 тыс. руб.
Таким образом, можно сделать вывод, что на изменение выпуска продукции оказали влияние следующие факторы: изменение среднегодовой стоимости основных фондов и доли активной части ОПФ, их увеличение привело к росту выпуска продукции на 900 тыс. руб.
Задача 3
Используя прием цепных подстановок, определите влияние на изменение объема выпуска продукции факторов:
а) изменения стоимости материальных затрат;
б) изменения материалоемкости продукции.
Исходные данные в таблице
тыс. руб.
|
Показатели |
Базисный период |
Отчетный период |
|
Выпуск продукции |
3000 |
3500 |
|
Материальные затраты |
1950 |
2350 |
|
Материалоемкость |
определить |
![]() |
Где ВП – выпуск продукции;
МЗ – материальные затраты;
Ме – материалоемкость
|
Показатели |
Базисный год |
Отчетный год |
Отклонение |
|
Выпуск продукции |
3000 |
3500 |
500 |
|
Материальные затраты |
1950 |
2350 |
400 |
|
Материалоемкость |
0,65 |
0,671 |
0,021 |
а) влияние материальных затрат на выпуск продукции:
DВП (МЗ) =(1/ Ме баз)* DМЗ
DВП (МЗ) =(1/0,65)* 400 = 615,385 тыс. руб.
Изменение материальных затрат ведет к увеличению выпуска продукции
б) влияние материалоемкости на выпуск продукции:
DВП (Ме) = МЗ отч * (1/ Ме отч – 1/ Мебаз)
DВП (Ме) = 2350 * ( 1/ 0,671– 1/ 0,65) = - 113,179 тыс. руб.
Изменение материалоемкости ведет к уменьшению выпуска продукции
в) влияние двух факторов на выпуск продукции:
DВП = 615,385– 113,179 = 502,206, примерно 500 тыс. руб.
Список использованной литературы
1. Анализ хозяйственной деятельности в промышленности: Учебник/ Под ред. Стражева В.И. -Мн.: Высшая школа., 1998.- 398 с.
2. Баканов М.М. Анализ хозяйственной деятельности. –М.: Экономика, 1990.- 233 с.
3. Баканов М.М. Теория экономического анализа. –М.: Финансы и статистика, 1994.- 237 с.
4. Ковалев А.И., Привалов С.А.. Анализ хозяйственной деятельности предприятия. – М.: Центр экономики и маркетинга, 1995 .- 230 с.
5. Савицкая Г.В. Анализ хозяйственной деятельности предприятия. –Мн.: ИП «Экоперспектива», 1998.- 498 с.
6. Справочник финансиста предприятия. –М.: ИНФРА-М, 1996. –328 с.
7. Теория анализа хозяйственной деятельности / Под ред. А.Д.Шеремета. –М.: Финансы и статистика, 1996. –317 с.
9. Шеремет А. Д., Сайфулин Р.С. Методика финансового анализа предприятия.-М.: Инфра-М, 1996.-371с.




