1.Предмет, метод и задачи статистики.

Предметом стат-ки выступают размеры и количеств. соотнош. опред. соц-но-эконом. явл., закономерности их связи и развития в конкрет. условиях места и времени. Свой предмет стат-ка изучает методом обобщающих показателей. Для изучения предмета статистики разработаны и прим-ся спец. приемы, совок-сть которых образует методологию стат-ки (методы массовых наблюд., группировок, обобщающих пок-лей, динам. рядов, индекс.метод). Общ. основой разработки и применения стат. методологии явл-ся диалектич. м-д познания, согласно которому обществ. явл. и процессы рассмат-ся в развитии, взаимной связи и причинной обусловленности. Стат. методы исп-ся системно. Это обусловлено сложностью процесса экономико-стат. исслед., состоящего из 3 осн. стадий: 1) сбор первич. стат. инф-ции – прим-ся м-д массового стат. наблюд., обеспечивающий всеобщность, полноту и представительность полученной первич. инф-ции.; 2) стат. сводка и обработка первич. инф-ции – инф-ция подвергается обработке м-дом стат. группировок, позволяющим выделить в изучаемой совок-сти социально-эконом. типы; совершается переход от харак-ки единич. фактов к харак-ке данных, объединенных в гр. величин; 3) обобщение и интерпретация стат. инф-ции  - проводится анализ стат. инф-ции на основе применения обобщающих стат. пок-лей: абсолют., относит. и сред. величин, вариации, тесноты связи и скорости изменения социально-эконом. явл. во вр., индексов и т.д. При изучении стат. инф-ции широкое применение имеют табличный и графический м-ды. Осн. задачами стат-ки на совр. этапе ее развития явл-ся: 1) всестороннее исслед. происходящих в об-ве глубоких преобразований эконом. и соц. процессов на основе научно обоснованной сист. показателей; 2) обобщение и прогнозирование тенденций развития нар. хоз-ва; 3) выявление имеющихся резервов эффективности общественного произв-ва; 4) своевременное обеспечение надежной инф-цией законодат. власти, управлен., исполнит. и хоз. органов, а также широкой общественности.

4. Статистическая сводка, ее содержание и задачи, роль в анализе управленческой информации предприятия.

Стат. сводка – 2ая стадия стат. исслед.; это научно организованная обработка материалов наблюд., включающая в себя систематизацию, группировку данных, сопоставление таблиц, подсчет групповых и общ. итогов, расчет производных показателей (сред., относит. величин). В зависимости от целей и задач исслед., исп-ют: Простая сводка – это подсчет данных по одноименному признаку, она дает представление о размерах и уровнях развития явл. На основе этих показателей (данных) м/о исчислить относит. и сред. пок-ли. Сложная сводка - это выявление типичных пок-лей по отд. группам для изучения этих закономерностей развития. По технике или способу выполнения сводка м/б ручная или механизированная. Стат. сводка проводится по определенной программе и плану. Программа стат. сводки устанавливает след. этапы: выбор группировоч. признаков; определение порядка формирования групп; разработка системы стат. показателей для харак-ки групп и объекта в целом; разработка макетов стат. таблиц для представления рез-тов сводки. План стат. сводки содержит указания о последовательности и сроках выполнения отд. частей сводки, ее исполнителях и о порядке изложения и представления рез-тов.

2.Основные понятия статистической науки: статистическая совокупность, единицы совокупности, варьирующие признаки, статистическая закономерность, статистический показатель.

Стат. совок-сть – это множество единиц (объектов, явл.), объединенных единой закономерностью и варьирующих в пределах общ. кач-ва. Под единицами совок-сти понимаются ее неделимые первич. элементы, выражающие ее качеств. однородность, т.е. явл-хся носителями признаков. Признак – пок-ль, харак-щий некоторое св-во объекта совок-сти, рассматриваемый как случ. величина. Вариация – различия в значениях того или иного признака у отд. единиц, входящих в данную совок-сть. Варьирующие признаки м/б количеств. (их варианты выражаются числ. знач.) и неколичеств. (атрибутивными), не имеющими числ. выражения и представляющими собой смысловые понятия. Количеств. признаки м/б дискретными и непрерывными. Когда варианты признака м/т принимать только одно из двух противополож. значений, говорят об альтернативном признаке. В конкретном стат. исследовании признаки м/т подразд-ся на осн. (существенные), определяющие главное содержание изучаемого явления, и второстепенные, не связанные непосредственно с осн. их содержанием. Установление общ. св-в единиц совок-сти, изучение имеющейся взаимосвязи и закономерности развития достигается с помощью расчета стат-их показателей и их анализа. Стат. пок-ль – это количественно-качеств. обобщающая харак-ка какого-то св-ва гр. единиц или совок-сти в целом.

3. Статистическое наблюдение, его формы, виды и способы. Программно – методологические и организационные вопросы сбора информации.

Стат. наблюдение – 1ая стадия стат. исслед., - научно организованный сбор массовых данных об изучаемых явл. и процессах обществ. жизни. Период наблюд. – это время от начала до окончания сбора сведений, т.е. время, в течение которого производится заполнение стат. формуляров (бланков опред. форм учета и отчетности). Объект стат. наблюд. – совок-сть обществ. явл. и процессов, которые полежат данному наблюд. Единица наблюд. – первич. элемент объекта стат. наблюд., являющийся носителем признаков, подлежащих регистрации. Формами стат. наблюд. явл-ся отчетность и специально организ. наблюдения. Отчетность – предусмотренная действующим закон-вом форма организации стат. наблюд за деят-тью предпр-ий и организ., по которым органы гос. статистики получают инф-цию в виде установленных отчет. док-тов. Решающими явл-ся 2 формы: баланс и отчет о прибылях и убытках. Специально организованное стат. наблюд. - сбор сведений посредством переписей, единовремен. учетов и обследований (перепись нас., социолог. исслед.). Стат. наблюд. подразд-ся на виды: По времени регистрации фактов различают непрерывное, или текущее наблюд. (отчетность, постоянная регистрация данных по мере их возникновения), периодическое (регистрация по мере надобности) и единовременное. По степени охвата единиц совок-сти разл-ют: сплошным наблюд. - регистрации подлежат все без исключения единицы изучаемой совок-сти. Оно применяется при переписи нас., при сборе данных в форме отчетности. Несплошным наблюд. - обследованию подвергаются не все единицы изучаемой совок-сти, а только их часть, на основе которой м/о получить обобщающую характ-ку всех совок-сти. Несплош. наблюд. подразд-ся на: наблюд. осн. массива сбор данных осущ-ся только по тем единицам совокупности, которые дают осн. вклад в харак-ку изучаемого явл. Монограф. наблюд. - подробное описание отд. единиц сово-сти для их углубленного изучения, которое не м/б столь результативным при массовом наблюд. Наибольшее признание и распростр. в стат. практике получило выборочное наблюд.

5. Метод статистической группировки, его задачи. Виды группировок, их применение в анализе экономической деятельности предприятия.

Стат. групп-ка – это процесс образования однород. групп на основе расчленения стат. совок-сти на части по существенным для них признакам, каждая из которых харак-ся системой стат. показателей. М-д группировок прим-ся для реш. задач, возникающих в ходе науч. статист. исслед. К таким зад. отн-ся: выделение социально-эконом. типов явл.; изучение структуры явл. и структур. сдвигов, происходящих в нем; изуч. связей и зависимостей м/у отд. признаками явл. Для решения этих задач применяются 3 вида групп-ок: Типологич. групп-ка решает задачу выявления и харак-ки социально-эконом. типов путем разделения качественно разнородной совок-сти на классы, социально-эконом. типы, однород. группы единиц в соответствии с правилами науч. группировки. Выделить типичное м/о только по определенному признаку, который д/н изменяться в зависимости от условий места и вр. Структур. групп-кой наз-ся групп-ка, в которой происходит разделе

39. Показатели прибыли и рентабельности деятельности предприятия. Методы их расчета.

В усл. перехода пр-тий на рын. отношения пок-ли рентаб-ти, деловой активн. и фин. устойч. м/т свидет. о их конкурентосп-ти. Рентаб-ть явл. относит. пок-лем, кот. хар-ет относит. доходность (приб-ть) какого-либо вида деят-ти и выраж. в % к текущим затратам на пр-во или к затратам капитала. Различ.: Общая рентаб. R опред. как отнош. общей суммы балансовой приб. к ср. ст-ти осн. пр-венных фондов, немат-ных активов и мат-ных оборотных ср-в Ф: R=Прб/Ф. С т. зр. эк-го содержания пок-ль общей рентаб. хар-ет вел-ну приб. в расчете на 100 руб., влож. в осн. пр-венные фонды, мат-ные оборотные ср-ва, немат-ные активы. Пр-тие счит. рентаб., если R > 1. Пок-ль рентаб. реализ. пр-ции Rпр хар-ет эф-ть текущих затрат и опред. как отнош. прибыли реализ. пр-ции к затратам на ее пр-во Z (полной себест-ти или издержкам обращ. в торговых орг-циях): Rпр=Прпр/Z. Пок-ль рентаб. кап-ла Ок хар-ет деловую активность пр-тия в фин. деят-ти и измер. с пом. пок-ля общей оборачиваемости (возврата) кап-ла, т.е. опред. как отнош. выручки от реализ. пр-ции к кап-лу пр-тия (осн. кап-л, мат-ные оборотные ср-ва, немат-ные активы, фонды обращ.): Ок=В/К.

ние выделенных с помощью типологич. групп-ки типов явл., однород. совок-стей на гр., характеризующие их структуру по какому-либо варьирующему признаку (групп-ка нас. по размеру дохода, групп-ка хоз-ва по V продукции). Анализ структур. групп-к, взятых за ряд периодов или моментов вр., показывает изменение структуры изучаемых явл, т.е. структурные сдвиги. Аналит. (факторные) групп-ки исследуют связи и зависимости м/у изучаемыми явл-ми и их признаками. В зависимости от степени сложности массового явл. и от задач анализа групп-ки м/т проводиться по 1му или неско-ким признакам. Если гр. образуются по 1му признаку, групп-ка наз-ся простой, по 2 или неско-им признакам -сложной. Если в основании групп-ки лежит неско-ко признаков, взятых в комбинации, то такая групп-ка наз-ся комбинационной. При составлении структур. групп-ок на основе варьирующих количеств. признаков необходимо опред-ть кол-во групп и интервалы групп-ки. Число групп д/б оптимальным, в кажд. группу д/о входить достаточно бол. число единиц совок-сти, что отвечает требованию закона бол. чисел. Интервал – количеств. знач., отделяющее 1 гр.от др. Интервалы м/б: Неравные интервалы прим-ся, когда интервалы изменяются прогрессивно (прогрессивно убывающие, прогрессивно возрастающие). Групп-ка с равными интервалами целесообразны в тех случаях, когда вариация проявл-ся в сравнительно узких границах и распределение явл-ся практически равномерным. Для группировок с равными интервалами величина интервала будет равна: i = (Xmax - Xmin)/n, где Xmax, Xmin – наибол. и наимен. Знач. признака, n – число гр.

7. Табличное и графическое представление статистических данных.

Статистические таблицы, их виды и правила построения. Рез-ты сводки и групп-ки материалов наблюд. пред-ют в виде статист. таблиц. По вн. виду стат. табл. пред-ет ряд пересекающихся горизон. и вертик. линий, образующих по горизонтали строки, а по вертикали – графы (столбцы, колонки). Стат. таблица имеет свое подлежащее и сказуемое. Подлежащее таблицы показывает, о каком явлении идет речь в таблице, и пред-ет собой гр. и подгр., которые харак-ся рядом показателей. Сказуемым таблицы наз-ся пок-ли, с помощью которых изучается объект, т.е. подлежащее таблицы. Составленная и оформленная стат. табл. д/а иметь: Общий заголовок располагается над табл. и выражает ее осн. содержание. Помещенные слева боковые заголовки раскрывают содержание строк подлежащего, а верхние заголовки – вертик. граф (сказуемого табл.). В зависимости от построения подлежащего табл. делятся на 3 вида: Табл., подлежащее которых содержит перечень единиц изучаемой совок-сти, наз-ся перечневыми. Групповые табл. дают более информатив. материал для анализа изучаемых явл. благодаря образованным в их подлежащем группам по существ. признаку или выявлению связи м/у рядом показателей. Комбинационная табл. устанавливает взаимное действие на результативные признаки (пок-ли) и существующую связь м/у факторами групп-ки. Правила построения и оформления табл: 1) По возможности табл. следует составлять небольшой по размеру, легко обозримой. 2) Общ. заголовок табл. д/н кратко выражать ее осн. содержание.3) строки подлежащего и графы сказуемого располагаются в виде частных слагаемых с последующим подытоживанием по каждому из них. 4) Для удобства анализа табл. при большом числе строк подлежащего и граф сказуемого возникает потребность в нумерации тех из них, которые заполняются данными. Подлежащее и единицы измерения обозн-ся буквами. 5) Использ. условных обозначений при заполнении таблиц. 6) Одинаковая степень точности, обязательная для всех чисел.

Графический метод в статистике. Виды графиков. Стат. график - чертеж, на котором при помощи условных геометрич. фигур (линий, точек) изображаются стат. данные. Граф. м-д в стат-ке явл-ся продолжением и дополнением таблич. метода. Осн. элементы стат. графика:  поле графика – место, на котором он выполняется; графич. образ – это символ. знаки, с помощью которых изображаются стат. данные (линии, точки, плоские и объемные геометр. фигуры; масштаб графика – это мера перевода численной величины в графич.; чем длиннее отрезок линии, принятой за численную единицу, тем крупнее масштаб; масштабная шкала – линия, отдельный точки которой читаются как опред. числа; экспликация графика – это пояснение его содержания; заголовок графика -  в краткой и четкой форме поясняет осн. содержание изображаемых данных. Стат. графики класс-ся: по способу построения (диаграммы, картограммы и картодиаграммы); форме применяемых граф.  образов (точечные, линейные, плоскостные и фигурные); характеру решаемых задач. Виды стат. графиков: ряд распределения, структура стат. совок-сти, ряд динамики, пок-ль связи, пок-ль выполнения задания.

6. Статистические ряды распределения. Их виды. Основные характеристики ряда распределения, их роль в исследовании структуры совокупности.

Стат. ряд распределения - упорядоченное распредел. единиц изучаемой совок-сти на гр. по опред. варьирующему признаку. Ряды распред., построенные по атрибутивным (качеств.) признакам, наз-ся атрибутивными (распределение нас. по полу, занятости, национ-сти, профессии). Ряды распред., построенные по количеств. признаку, наз-ся вариационными (распред. нас. по возрасту, рабочих – по стажу работы, з/плате). Вариац. ряды распределения состоят из 2 элементов: вариантов и частот. Числ. знач. количеств. признака в вариац. ряду распред. наз-ся вариантами. Они м/б «+» и «-», абсолют. и относит.. Частоты – это числа, показывающие, как часто встречаются те или иные варианты в ряду распред. Сумма всех частот наз-ся V совок-сти и опред-ет число элементов всей совок-сти. Частости – это частоты, выраженные в виде относит. величин (долях единиц или %). Сумма частостей равна 1 или 100%. Вариац. ряды в зависимости от хар-ра вариации подразд-ся на: Дискретные вариац. ряды основаны на дискрет.(прерывных) признаках, имеющих только целые знач., на дискрет. признаках, представленных в виде интервалов. Интервальные вариац. ряды основаны на непрерывных признаках (имеющих любые знач., даже дробные). Ранжирование ряда – расположение всех вариантов в возрастающем (убывающем) порядке. Графически интервал. ряд м/т изображаться графически в виде гистограммы. При ее построении на оси абсцисс откладывают интервалы ряда, высота которых равна частотам, отложенным на оси ординат. Над осью абсцисс строятся прямоугол-ки, площадь которых соответствует величинам произведений интервалов на их частоты. В практике также возникает потребность преобразования рядов распред. в кумулятивные ряды, строящиеся по накопленным частотам. Накопленные частоты опред-ся путем последоват. прибавления к частотам (или частостям) 1ой группы этих показателей последующих групп ряда распред. Используя полученные данные, строят график в виде кумуляты (кривой сумм).

8. Абсолютные и относительные величины в статистике. Их виды и методика расчета.

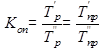
Явл. обществ. развития имеют количеств. определенность. Количеств. определ-сть явл. выражается в абсолют. и относит. показателях. Абсолютными - суммарные обобщающие показатели, характеризующие размеры (уровни, объемы) обществ. явл. в конкрет. усл. места и вр. Различают 2 вида абсолют. величин: Индивидуальными – абсолют. величины, характеризующие размеры признака у отд. единиц совок-сти. Они получаются в процессе стат. наблюд. и фиксируются в первич. учет. док-тах. Суммарные абсолют. величины харак-ют итог. величину признака по опред. совок-сти объектов, охваченных стат. наблюдением. Они явл-ся суммой кол-ва единиц изучаемой совок-сти (численность совок-сти). Абсолют. статист. величины пред-ют собой именованные числа, т.е. имеют какую-либо единицу измерения. В зависимости от сущности исследуемого явл. абсолют. величины выражаются в: Натуральные ед. измерения м/б простыми (т., шт., м., л.) и сложными, являющимися комбинацией неско-ких разноименных величин (т-км, киловатт-ч). Стоимостные ед. измерения исп-ся для выражения V разнородной продукции в стоимостной форме (руб., $). В трудовых ед. измерения учитываются затраты труда, трудоемкость. Относит. величина – это обобщающий пок-ль, который пред-ет собой частное от деления 1го абсолют. пок-ля на др. и дает числовую меру соотношения м/у ними. Величина, с которой производится сравнение (знаменатель дроби) обычно наз-ся базой сравнения или основанием. По своему содержанию относит. величины подразд-ся на виды: 1) относит. величина динамики ( i ) харак-ет изменение уровня какого-либо явл. во времени. Относит. величины динами называют темпами роста. 2) относит. величина планового задания ( iпл.з ) рассчитывается как отнош. уровня, запланированного на предстоящий п-д, к уровню, фактически сложившемуся в этом п-де. 3) относит. величина выполнения плана ( iвып.пл ) пред-ет отнош. фактически достигнутого в данном п-де уровня к запланированному. Относит. величины динамики, планового задания и выполнения плана связаны соотнош.: . 4) относит. величины структуры харак-ют состав изучаемых совок-стей. 5) относит. величинами интенсивности наз-ют пок-ли, характеризующие степень распростр. или уровень развития того или др. явления в опред. ср. 6) относит. величинами координации - пок-ли, характеризующие соотнош. отд. частей целого м/у собой. 7) относит. величинами сравнения - пок-ли, представляющие собой частные от деления одноименных абсолют. величин, характеризующих разные объекты, относящихся к 1му и тому же п-ду вр.

9. Средняя величина. Ее сущность и условия применения. Виды и формы средних.

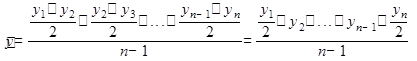
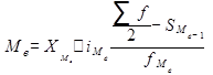
Среднее - это обобщающая харак-ка совок-сти однотипных явлений. При помощи средней происходит как бы сглаживание различий в величине признака, которые возникают по тем или др. причинам у отд. единиц наблюдения.  Выбор вида средней опред-ся экон. содержанием опред. пок-ля и исходных данных. Средняя арифметич.: наиболее распространенный вид средних. Прим-ся когда объем варьирующего признака для всей совок-сти явл-ся суммой значений признаков отд. ее единиц. Чтобы рассчитать сред. арифметич., н/о сумму всех значений признаков разделить на их число. Средняя арифметическая простая прим-ся когда имеются несгруппированные индивид. знач. признака: , где х12,…,хп – индивид. знач. варьирующего признака (варианты); п – число единиц совок-сти. Средняя из вариантов, которые повторяются различное число раз наз-ся взвешенной. Сред. арифмет. взвешенная – средняя сгруппированных величин х12,…,хп – вычисл-ся: , где f1,f2,…fn – веса (частоты повторения одинаковых совокупностей); - сумма произведений величины признаков на их частоты; -общая числ-сть единиц совок-сти. Средняя гармонич.: когда стат. инф-ция не содержит частот f по отд. вариантам х совок-сти, а представлена как их произведение , прим-ся формула средней гармон. взвешенной: .                        Средняя геометрич.: прим-ся когда индивид. знач. признака пред-ют собой относит. величины динамики, построенные в виде цепных величин, как отношение к предыдущему уровню каждого уровня в ряду динамики, т.е. харак-ет средний коэф-т роста. , где п – число вариантов, П – знак перемножения. Широко прим-ся для определения сред. темпов изменения в рядах динамики, а также в рядах распределения. Средняя квадратическая: прим-ся, когда возникает потребность расчета сред. размера признака, выраженного в квадратных единицах измерения. Средняя квадрат. простая: . Средняя квадрат. взвешенная: , где f – веса. Средняя кубическая: прим-ся, когда возникает потребность расчета среднего размера признака, выраженного в кубических единицах измерения. Средняя кубическая простая: ; средняя кубическая взвешенная: . Особым видом средних величин явл-ся структурные средние. Они прим-ся для изучений внутр. строения и структуры рядов распределения значений признака. К таким пок-лям отн-ся мода и медиана. Мода Мо – вариант, имеющий наибольшую частоту. В интервальных рядах распределения с равными интервалами мода вычисл-ся: , где ХМо – ниж. граница модального интервала; iMo – модальный интервал; - частоты в модальном, предыд. и след. за модальным интервалах. Медиана Ме – это вариант, который находится в середине вариац. ряда. Медиана делит ряд на 2 равные (по числу ед.) части – со знач. признака меньше медианы и со значениями признака больше медианы. Чтобы найти медиану, необходимо отыскать знач. признака, которое находится в середине упорядоченного ряда. Значение медианы вычис-ся: , где ХМе – ниж. граница медианного интервала; iMе – медианный интервал; - половина от общ. числа наблюдений; - сумма наблюдений, накопленная до начала медианного интервала; - число наблюдений в медианном интервале

34. Статистическое изучение уровня и динамики производительности труда.

Произ-ть труда - результ-ть конкретного живого труда. Задачи (1) соверш-е методов рассчета произ-ти. труда. (2) выявление факторов роста труда, (3) определение влияния произ-ти труда на изменение обьема продукции.  Произ-ть труда измеряется ч/з показатели выработки и трудоемкости. Выр-ка = V произ-ой пр-ции/время затрач-е на пр-во.W=q/t Трудоемкость = вр. затрач на пр-во/ V произ-ой прод-ии t=T/q. Конкретизация стат. показ-ей произ-ти труда опред. 1)ед измер V пр-ой пр-ции 2) ед измер затрат труда. Пр-ция м/б измерена в натур, условн, стоимостн пок-х. (1) ср.часовая выр-ка = V пориз-ой прод-ии за отчетный период/число затрач-х чел часов.(2) ср. днев-я выр-ка = V произ-ой прод-ии / число чел./дн отраб-х всеми рабочими. (3) выработка 1го раб-ка = V произ-ой прод-ии/ ср. списоч число раб-х. Показ произ-ти м/б полными и неполными (частичными). Полные пок-ли соизмеряют затраты труда и произведенную гот пр-цию и услуги, а частичные показ эф-ть труда пр-го те или иные операции. Используется индексный метод. В зависимости от измерения произв. труда исчисляют: 1)Натуральный индекс i=(åq1/åt1)/(åq0/åt0). 2)Трудовой индекс: i=(åt0q1)/(åt1q1) - показатель экономии труда 3)Стоимостной: i=(åq1p0/åt1): (åq0p0/åt0) При анализе изменения произ-ти труда, при произв-ве одноименной продукции по группе предпр-ий исполь-ся индекс структурных сдвигов. Т.е. индекс физического V и средней произ-ти труда. При произ-ве разн. видов пр-ции исп-ся индекс физ. V и ср произ-ти труда.

10. Понятие о вариации признаков. Система показателей вариации. Ее применение в анализе экономической деятельности предприятия.

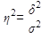
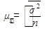
Вариация – это различие в знач. какого-либо признака у разн. единиц данной совок-сти в один и тот же момент времени. К показателям вариации относятся: размах вариации R - разность м/у maxым и minым значениями признака: .Размах вариации показывает лишь крайние отклонения признака и не отражает отклонений всех вариантов в ряду. Среднее линейное отклонение пред-ет собой среднюю арифмет. абсолют. значений отклонений отд. вариантов от их средней арифметической (при этом всегда предполагают, что среднюю вычитают из варианта: ()). Сред. лин. отклонение для несгруппированных данных: , где п – число членов ряда; для сгруппированных данных: , где - сумма частот вариац. ряда.  Дисперсия - средний квадрат отклонений вариантов от их средней величины. Простая дисперсия для несгруппированных данных: ; взвешенная дисперсия для вариационного ряда: . Дисперсия обладает определенными свойствами, два из которых: 1. если все знач. признака уменьшить или увеличить на одну и ту же постоянную величину А, то дисперсия от этого не изменится; 2. если все знач. признака уменьшить или увеличить в одно и то же число раз (i раз). Среднее квадрат. отклонение равно корню квадратному из дисперсии: для несгруппированных данных: , для вариац. ряда: . Среднее квадрат. отклонение – это обобщающая харак-ка размеров вариации признака в совок-сти; оно показывает, на ско-ко в среднем отклоняются конкретные варианты от их среднего значения; явл-ся абсолютной мерой колеблемости признака и выражается в тех же единицах, что и варианты, поэтому экон-ки хорошо интерпретируется. Введем след. обозначения: 1 – наличие интересующего признака; 0 – его отсутствие; р – доля единиц, обладающих данным признаком; q – доля единиц, не обладающих данным признаком; p + q = 1. Среднее квадратическое отклонение альтернативного признака . Для сравнения вариаций разл. признаков, а также сравнений колеблемости 1 и того же признака в неско-их совок-стях с разл. средним арифмет. исп-ют относит. пок-ль вариации – коэффициент вариации - выраженное в % отнош. среднего квадрат. отклонения к средней арифмет.: . Также коэф-т вариации исп-ся как харак-ка однородности совок-сти. Совок-сть считается однородной, если коэф-т вариации не превышает 33%.

12. Метод выборочного наблюдения. Виды выборки. Практика применения выборочного метода в статистическом анализе экономической деятельности предприятия.

Выборочное наблюдение – это такое несплошное наблюдение, при котором отбор подлежащих обследованию единиц осущ-ся в случайном порядке, отобранная часть изучается, а рез-ты распростр-ся на всю исходную совок-сть. Совок-сть, из которой производится отбор, наз-ся генеральной, и все ее обобщающие пок-ли – генеральными. По виду различают: При индивидуальном отборе в выбор. совок-сть отбираются отд. единицы ген. совок-сти; при групповом отборе – качественно однородные гр. или серии изучаемых единиц; комбинированный отбор предполагает сочетание 1го и 2го видов. По методу выборки различают: При повторной выборке общ. численность единиц ген. совок-сти в процессе выборки остается неизменной. При бесповторной выборке численность единиц ген. совок-сти сокращается в процессе исслед. На практике выбор. исслед. наибольшее распространение получили след. виды выборки: К собственно-случайной выборке отн-ся отбор единиц из всей ген. совок-сти посредством жеребьевки или какого-либо др. подобного способа, с помощью таблицы случ. чисел. Случайный отбор – это отбор не беспорядочный. Принцип случайности предп-ет, что на включение или исключение объекта из выборки не м/т повлиять какой-либо фактор, кроме случая. Механическая выборка - отбор единиц в выбор. совок-сть из генерал. производится т.о., что из каждой такой группы в выборку отбирается лишь одна единица. Отбираться д/а единица, которая находится в середине каждой гр. Для отбора единиц из неоднородной совок-сти применяется типическая выборка, которая исп-ся , когда все единицы ген. совок-сти м/о разбить на неско-ко качественно однородных, однотипных гр. по признакам, влияющим на изучаемые показатели. Серийная выборка предполагает случ. отбор из ген. совок-сти не отд. единиц, а их равновеликих групп с тем, чтобы в таких группах подвергать наблюдению все без исключения единицы. Комбинированная выборка закл-ся в объединении различных способов выборки, рассмотренных ранее.

14. Виды и формы взаимосвязей социально-экономических явлений. Основные статистические методы их изучения.

В процессе стат. исслед. зависимостей вскрываются причинно-следственные отнош. м/у явлениями, что позволяет выявлять факторы (признаки), оказывающие влияние на вариацию изучаемых явлений и процессов. Причинно-следственные отнош. - связь явл. и процессов, когда изменение 1го из них - причины ведет к изменению др. - следствия. Для выявления наличия связи, ее хар-ра и направления в стат-ке исп-ся методы: 1. приведения параллельных данных; 2. аналитических группировок; 3.  графический; 4. корреляции. М-д приведения параллельных данных основан на сопоставлении 2 или неско-их рядов стат. величин. Такое сопоставление позволяет установить наличие связи и получить представление о ее хар-ре. Сравним изменение 2 величин: X 1 2 3 4 5 6 7 8 9                                         Y 5 9 6 10 14 17 15 20 23

С увелич. вел. X вел.Y также возрастает. М/о сделать предположение, что связь м/у ними прямая и что ее м/о описать или уравнением прямой или уравнением параболы 2го порядка. Графически взаимосвязь 2 признаков изображается с помощью поля корреляции. В сист. координат на оси абсцисс откладываются знач. фактор.признака, а на оси ординат – результативного. Кажд. пересеч. линий, проводимых ч/з эти оси, обозначаются точкой. При отсутствии тесных связей имеет место беспорядочное расположение точек на графике. Чем сильнее связь м/у признаками, тем теснее будут группироваться точки вокруг опред. линии, выражающей форму связи. Корреляция - это стат. зависимость м/у случ. вел., не имеющая строго функционал. хар-ра, при которой изменение 1ой из случ. величин приводит к изменению математ. ожидания др. Корреляц. анализ – задача – количеств. определение тесноты связи м/у 2мя признаками (при парной связи) и м/у результатив. и множеством факторных признаков (при многофакторной связи). Теснота связи количественно выражается величиной коэффициентов корреляции, которые, позволяют опред-ть «полезность» фактор. признаков при построении уравнения множественной регрессии. Регрессия тесно связана с корреляцией: 1ая оценивает силу (тесноту) стат. связи, 2ая исследует ее форму. Регресс. анализ закл-ся в определении аналит. выражения связи, в котором изменение 1ой величины, обусловлено влияние модной или неско-их независимых величин (факторов).

11. Виды дисперсий. Правило сложения дисперсий. Расчет на его основе коэффициента детерминации и эмпирического корреляционного отношения.

Когда совок-сть расчленена на гр. по 1му фактору, изучение вариации достигается посредством исчисления и анализа 3 видов дисперсий: Общая дисперсия измеряет вариацию признака по всей совок-сти под влиянием всех факторов, обусловивших эту вариацию. Она равна среднему квадрату отклонений отд. значение признака х от общей средней величины и м/б вычислена как простая дисперсия  или взвешенная дисперсия. Межгруп. дисперсия харак-ет систематич. вариацию результативного признака, обусловленную влиянием признака-фактора, положенного в основание группировки. Она равна сред. квадрату отклон. групповых средних  от общ. средней : , где f – числ-сть единиц в группе. Внутригруп. (частная) дисперсия  отражает случайную вариацию. Она равна среднему квадрату отклонений отд. значений признака внутри группы х от средней арифметич. этой группы xi (групповой средней) и м/б исчислена как простая дисперсия или как взвешенная дисперсия . Согласно правилу сложения дисперсий общая дисперсия равна сумме средней из внутригруп. и межгруп. дисперсий: . Пользуясь правилом сложения дисперсий, м/о всегда по 2 известным дисперсиям опр-ть третью – неизвестную. Чем больше доля межгруп. дисперсии в общ. дисперсии, тем сильнее влияние группировоч. признака на изучаемый признак. Поэтому в стат. анализе исп-ся эмпирический коэф-т детерминации  - пок-ль, представляющий собой долю межгруп. дисперсии в общей дисперсии результативного признака и харак-щий силу влияния группировоч. признака на образование общей вариации: . Эмпирич. коэф-т детерминации пок-ет долю вариации результативного признака у под влиянием фактор. признака х. При отсутствии связи эмпирич. коэф-т детерминации = 0, а при функционал. связи =1.

17. Ряды динамики. Их виды. Условия сопоставимости уровней ряда динамики. Аналитические показатели ряда динамики, их применение в статистическом анализе экономической деятельности предприятия.

Ряд динамики (динам. ряд) пред-ет собой ряд расположенных в хронолог. последоват-сти числовых знач. стат. пок-ля, характеризующих изменение обществ. явл. во времени. В кажд. ряду динамики имеются 2 осн. элемента: Уровни ряда – это пок-ли, числ. знач. которых составляют динам. ряд. Время t – это моменты или периоды, к которым отн-ся уровни. Построение и анализ рядов динамики позволяют выявить и измерить закономерности развития обществ. явл. во времени. По времени, они разделяются на: Моментным рядом динамики - ряд, уровни которого харак-ют состояние явл. на опред. даты (моменты времени). Интервальным (периодич.) рядом динамики - ряд, уровни которого харак-ют размер явлений за конкрет. период времени (год, квартал, месяц). Уровни в динам. ряду м/б представлены абсолютными, средними или относит. величинами. По расстоянию м/у уровнями ряды динамики подразделяются на ряды с равностоящими и неравностоящими уровнями по времени.

Аналит. показатели ряда динамики. Анализ интенсивности изменения во времени осущ-ся с помощью пок-лей, получаемых в рез-те сравнения уровней. Пок-ли анализа динамики м/т вычисл-ся на постоянной и переменной базах сравнения. При этом принято называть сравниваемый уровень отчетным, а уровень, с которым производится сравнение, - базисным. Важн. стат. показателем анализа динамики явл-ся абсолютный прирост: цепной ; базисный  . Цепные и базисные абсолютные приросты связаны м/у собой: сумма последовательных цепных абсолютных приростов равна базисному, т.е. общему приросту за весь промежуток времени . Для оценки интенсивности, т.е. относит. изменения уровня динам. ряда за какой-либо п-д времени исчисляют темпы роста (снижения). Пок-ль интенсивности изменения уровня ряда, наз-ся коэф-том роста, а в % – темпом роста. Коэф-т роста (снижения) показывает, во ско-ко раз сравниваемый уровень больше уровня, с которым производится сравнение (если этот коэффициент больше единицы). Темп роста всегда представляет собой положит. число. Коэф-т роста: цепной  ; базисный . Темп роста: цепной ; базисный . Темп прироста (сокращения) показывает, на ско-ко % сравниваемый уровень больше или меньше уровня, принятого за базу сравнения. Темп прироста м/б положит., отрицат. или равным нулю, выражается он в %. Темп прироста: цепной ; базисный . Темп прироста (сокращения) можно получить и из: . Коэф-т прироста получается: .

16. Статистические методы выявления корреляционной связи. Показатели тесноты связи.

Корреляц. связь сущ-ет там, где взаимосвязанные явл. харак-ся только случ. величинами. Корреляц. связь проявл-ся во всей совок-сти в целом. Наиболее распростр. в теории статистики явл-ся методология парной корреляции, рассматривающая влияние вариации фактор. признака х на результативный у. Так при анализе прямолинейной зависимости прим-ся уравнение однофакторной (парной) линейной корреляц. связи . Уравнение связи пок-ет среднее знач. изменения результативного признака у при изменении фактор. признака х на одну единицу его измерения, т.е. вариацию у, приходящуюся на ед. вариации х. Знак а1 указывает направление этого изменения. Параметры уравнения а0, а1 находят методом наимен. квадратов. Т.о., параметры уравнения парной линейной регрессии м/о вычислить по: . При изучении корреляц. связи показателей анализу подвергаются небольшие по составу единиц совок-сти. При численности объектов анализа до 30 ед. возникает необход-ть испытания параметров уравнения регрессии на их типичность. Параметр признается значимым (существ.) при условии, если tрасч > tтабл. Проверка адекватности регресс. модели м/б дополнена корреляц. анализом. Для этого необходимо опр-ть тесноту корреляц. связи м/у переменными х и у. Теснота корреляц. связи м/б измерена эмпирич. корреляц. отнош. , когда межгрупповая дисперсия харак-ет отклон. групповых сред. результативного признака от общ. средней: . Теорет. корреляц. отнош. пред-ет собой относит. величину, получающуюся в рез-те сравнения среднего квадратич. отклонения выровненных значений результативного признака со средним квадратическим отклонением эмпирических (фактических) значений результативного признака : , где ; . Тогда . Теорет. корреляц. отнош. прим-ся для измерения тесноты связи при линейной и криволинейной зависимости м/у результативным и фактор. признаком. При криволин. связях теорет. отнош. наз-ся индексом корреляции R.

17. Ряды динамики. Их виды. Условия сопоставимости уровней ряда динамики. Аналитические показатели ряда динамики, их применение в статистическом анализе экономической деятельности предприятия.

Ряд динамики (динам. ряд) пред-ет собой ряд расположенных в хронолог. последоват-сти числовых знач. стат. пок-ля, характеризующих изменение обществ. явл. во времени. В кажд. ряду динамики имеются 2 осн. элемента: Уровни ряда – это пок-ли, числ. знач. которых составляют динам. ряд. Время t – это моменты или периоды, к которым отн-ся уровни. Построение и анализ рядов динамики позволяют выявить и измерить закономерности развития обществ. явл. во времени. По времени, они разделяются на: Моментным рядом динамики - ряд, уровни которого харак-ют состояние явл. на опред. даты (моменты времени). Интервальным (периодич.) рядом динамики - ряд, уровни которого харак-ют размер явлений за конкрет. период времени (год, квартал, месяц). Уровни в динам. ряду м/б представлены абсолютными, средними или относит. величинами. По расстоянию м/у уровнями ряды динамики подразделяются на ряды с равностоящими и неравностоящими уровнями по времени.

Аналит. показатели ряда динамики. Анализ интенсивности изменения во времени осущ-ся с помощью пок-лей, получаемых в рез-те сравнения уровней. Пок-ли анализа динамики м/т вычисл-ся на постоянной и переменной базах сравнения. При этом принято называть сравниваемый уровень отчетным, а уровень, с которым производится сравнение, - базисным. Важн. стат. показателем анализа динамики явл-ся абсолютный прирост: цепной ; базисный  . Цепные и базисные абсолютные приросты связаны м/у собой: сумма последовательных цепных абсолютных приростов равна базисному, т.е. общему приросту за весь промежуток времени . Для оценки интенсивности, т.е. относит. изменения уровня динам. ряда за какой-либо п-д времени исчисляют темпы роста (снижения). Пок-ль интенсивности изменения уровня ряда, наз-ся коэф-том роста, а в % – темпом роста. Коэф-т роста (снижения) показывает, во ско-ко раз сравниваемый уровень больше уровня, с которым производится сравнение (если этот коэффициент больше единицы). Темп роста всегда представляет собой положит. число. Коэф-т роста: цепной  ; базисный . Темп роста: цепной ; базисный . Темп прироста (сокращения) показывает, на ско-ко % сравниваемый уровень больше или меньше уровня, принятого за базу сравнения. Темп прироста м/б положит., отрицат. или равным нулю, выражается он в %. Темп прироста: цепной ; базисный . Темп прироста (сокращения) можно получить и из: . Коэф-т прироста получается: .

13. Методика расчета ошибок выборки для средней и доли. Определение численности выборочной совокупности.

Ошибка выборки  или, ошибка репрезентативности пред-ет собой разность соответствующих выбороч. и генерал. харак-к: для средней количественного признака ; для доли (альтернатив. признака) . Выбороч. средняя и выбороч. доля явл-ся случайными величинами, которые м/т принимать разл. значения в зависимости от того, какие единицы совок-сти попали в выборку. Поэтому опред-ют среднюю из возможных ошибок – среднюю ошибку выборки. Средняя ошибка  выборки при повторном отборе рассч-ся по формулам: для средней количеств. признака: ; для доли (альтернатив. признака): . Средняя ошибка выборки при бесповторном отборе рассч-ся по формулам: для средней качеств. признака ; для доли (альтернатив. признака) . В каждой конкретной выборке  расхождение м/у выборочной средней и генеральной  м/б меньше средней ошибки , равно ей или больше ее. Причем каждое из этих расхождений имеет различную вероятность. Поэтому фактические расхождения м/у выбороч. средней и генерал. м/о рассматривать как предельную ошибку, ее м/о рассчитать по формулам: при повторном отборе: для средней , где t – нормированное отклонение – «коэффициент доверия», зависящий от вероятности, с которой гарантируется предельная ошибка выборки; - средняя ошибка выборки; для доли ;  при бесповторном отборе: для средней ; для доли . При вероятности 0,683 коэффициент t = 1; при вероятности 0,954 коэффициент t = 2; при вероятности 0,997 коэффициент t = 3. Предельная ошибка выборки позволяет опред-ть предельные значения харак-к генеральной совок-сти и их доверит. интервалы:  для средней  ; ; для доли  ; . Наряду с абсолютным значением предельной ошибки выборки рассч-ся также и предельная относительная ошибка выборки: для средней, %: ;  для доли, %: .

Определение необходимой численности выбор. совок-сти. При проектировании выбор. наблюд. с заранее заданным значением допустимой ошибки выборки важно правильно опред-ть числ-сть (объем) выбор. совок-сти, которая с определенной вероятностью обеспечит заданную точность рез-тов наблюд. Формулы для определения п получаются из формул ошибок выборки. Так, из формул предельной ошибки выборки для повторного отбора м/о (предварительно возведя в квадрат обе части равенства) выразить необходимую числ-ть выборки: для средней количеств. признака ; для доли) . Для бесповторного отбора мо/о выразить необходимую числ-ть выборки: для средней количеств. признака ; для доли . Эти формулы показывают, что с увеличением предполагаемой ошибки выборки знач-но уменьшается необходимый V выборки.

18. Средние показатели в рядах динамики. Их практическое применение в анализе и прогнозировании деятельности предприятия.

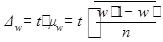
Для обобщающей харак-ки динамики исследуемого явл. опр-ют средние показатели: Средний уровень ряда харак-ет обобщенную величину абсолют. уровней. Он расч-ся по средней хронолог., т.е. по средней исчисленной из значений, изменяющихся во времени. Для интервальных рядов динамики из абсолют. уровней средний уровень за п-д времени опред-ся по формуле средней арифмет.: при равных интервалах прим-ся средняя арифмет. простая , где у – абсолют. уровни ряда, п – число уровней ряда; при неравных интервалах – средняя арифмет. взвешенная: , где  у1,…уп – уровни ряда динамики, сохраняющиеся без изменения в течение промежутка времени t; t1,…tn – веса, длит-ть интервалов времени м/у смежными датами. Средний уровень моментного ряда динамики с равностоящими уровнями опред-ся по формуле средней хронолог. моментного ряда: , где у1,…уп – уровни периода, за который делается расчет; п – число уровней;  п – 1 – длит-ть п-да времени. Средний уровень моментных рядов с неравностоящими уровнями опред-ся по формуле средней хронолог. взвешенной: . Обобщающий показатель скорости изменения уровней во времени – средний абсолют. прирост (убыль), представляющий собой харак-ку индивид. абсолют. приростов ряда динамики. По цепным данным об абсолют. приростах за ряд лет м/о рассчитать средний абсолют. прирост как сред. арифмет. простую: . Сводной обобщающей харак-кой интенсивности изменения уровней ряда динамики служит средний темп роста (снижения), показывающий, во ско-ко раз в среднем за единицу времени изм-ся уровень ряда динамики. Средний коэф-т роста для равностоящих рядов динамики (по баз. способу): , где т – число уровней ряда динамики в изучаемом периоде, включая базисный. Средние темпы прироста (сокращения) расч-ся на основе средних темпов роста вычитанием из последних 100%. Соответственно при исчислении средних коэф-тов прироста из значений коэф-тов роста вычитается единица: ; . Сравнение интенсивности изменений уровней рядов во времени возможно с помощью коэф-тов опережения (отставания), представляющих собой отнош. базисных темпов роста (или прироста) 2 рядов динамики за одинаковые отрезки времени:. Коэф-т опережения (отставания) пок-ет, во ско-ко раз быстрее растет (отстает) уровень 1го ряда динамики по сравнению с др. При этом сравнении темпы д/ы харак-ть тенденцию 1го направления.

19. Методы выявления основной тенденции развития в рядах динамики. Прогнозирование экономических показателей на основе динамических рядов.

Наиболее простым методом изучения осн. тенденции в рядах динамики является укрупнение интервалов. Этот м-д основан на укрупнении периодов времени, к которым отн-ся уровни ряда динамики. Главное в этом методе закл-ся в преобразовании первоначал. ряда динамики в ряды более продолжите. периодов (месяч. в квартал., квартал. в год.). Выявление осн. тенденции м/т осущ-ся также методом скользящей (подвижной) средней. Сущность его закл-ся в том, что исчисляется сред. уровень из опред. числа, обычно нечет., средняя как бы «скользит» по ряду динамики, передвигаясь на один срок. Недостатком сглаживания ряда явл-ся «укорачивание» сглаженного ряда по сравнению с фактическим, происходит потеря инф-ции. Чтобы дать количеств. модель, выражающую осн. тенденцию изменения уровней динам. ряда во времени, исп-ся аналит. выравнивание ряда динамики. Осн. содержанием метода аналит. выравнивания в рядах динамики явл-ся то, что общая тенденция развития расч-ся как ф-ция времени: , где - уровни динам. ряда, вычисленные по аналит. уравнению на момент времени t. Определение теорет. (расчет.) уровней  производится на основе адекватной математ. модели, которая наилуч. образом отображает осн. тенденцию ряда динамики. Прост. моделями, выражающими тенденцию развития, явл-ся: линейная ф-ция – прямая , где а01 – параметры уравнения, t – время; показат. ф-ция ; степенная ф-ция – кривая 2го порядка (парабола) . Выравнивание по прямой прим-ся тогда, когда уровни изменяются в арифметической прогрессии (или близко к ней). Выравнивание по показат. ф-ции исп-ся тогда, когда цепные коэффициенты роста практически постоянны. Выравнивание ряда динамики по прямой: . Параметры а0, а1 согласно методу наимен. квадратов находятся решением след. системы нормальных уравнений: , где у – факт. (эмпир.) уровни ряда; t – время (порядковый номер периода). Расчет параметров упрощается, если за начало отсчета времени (t = 0) принять центр. интервал (момент). Т.о., система принимает вид . Т. о., получаем: ; .

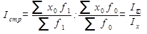
20. Методы выявления сезонной компоненты и их практическое применение в анализе прогнозирования экономических процессов на предприятии.

В шир. понимании к сезонным колебаниям относят все явления, которые обнаруживают в своем развитии отчетливо выраженную закономерность внутригодовых изменений, т.е. более или менее устойчиво повторяющиеся из года в год колебания уровня. Периодич. колебания, которые имеют определен. и постоянный п-д, равный годовому промежутку, носят название сезонные колебания или сезонные волны, а динамич. ряд в этом случае называют сезонным рядом динамики. Характеризуют сезонные колебания показателями, они наз-ся индексами сезонности. Индексами сезонности явл-ся %ные отнош. фактич. (эмпирич.) внутригруп. уровней к теоретич. (расчетным) уровням, выступающим в кач-ве базы сравнения. Совок-сть индексов сезонности образует сезонную волну. Для того чтобы выявить устойчивую сезонную волну индексы сезонности вычисляют по данным за неско-ко лет (не менее 3), распределенным по месяцам. Для кажд. месяца рассчитывается сред. величина уровня , затем вычисляется среднемесяч. уровень для всего ряда . После чего опред-ся пок-ль сезонности волны – индекс сезонности Is как %ное отнош. средних для кажд. месяца к общему среднемесяч. уровню ряда, %: . Для наглядного представления сезонной волны индексы сезонности изображают в виде графика. Когда уровень проявляет тенденцию к росту или снижению, то отклонения от постоянного сред. уровня м/т исказить сезонные колебания. В таких случаях факт. данные сопоставляют с выравненными, т.е. полученными аналит. выравниванием.

21. Понятие о статистических индексах. Их классификация. Применение индексного метода в анализе статистической информации.

Индекс – относит. пок-ль, характеризующий изменение величины какого-либо явл. во времени, пространстве. Осн. элементом индексного отнош. явл-ся - Индексируемая величина – значение признака стат. совок-сти, изменение которой явл-ся объектом изучения. Индексы класс-ся по 3 признакам: По содержанию изучаемых величин индексы разделяют на индексы количеств. показателей – индексы физ. V промыш. и сельскохоз. продукции, физ. V рознич. товарооборота и т.д. Все индексируемые пок-ли этих индексов явл-ся объемными, поско-ку они характеризуют общий, суммарный размер (V) того или иного явл. и выражаются абсолютными величинами. Индексы качеств. показателей – индексы курса валют, цен, себестоимости, произв-сти труда, з/п. Индексируемые пок-ли этих индексов характеризуют уровень явления в расчете на ту или иную единицу совок-сти. Такие показатели наз-ся качественными. Они явл-ся либо средними, либо относит. величинами. Расчет таких индексов производится на базе одинаковых, неизменных количеств продукции. По степени охвата единиц совок-сти индексы делятся на 2 класса: Индивидуальные индексы служат для харак-ки изменения отд. элементов слож. явления. Общий индекс отражает изменение всех элементов слож. явл. При этом под слож. явлением понимают такую стат. совок-сть, отд. элементы которой не подлежат суммированию. Если индексы охватывают не все элементы слож. явл., а лишь часть, то их наз-ют групповыми или субиндексами. По методам расчета различают индексы агрегатные и средние, исчисление которых и составляет особый прием исслед., именуемый индексным методом. Индивид. индексы обозн-ся буквой i и снабжаются подстрочным знаком индексируемого показателя: iq – индивид. индекс V продукции и т.д. Общий индекс обозначается буквой J и также сопровождается подстрочным знаком индексируемого показателя: Jp – общий индекс цен и т.д. Расчет индивид. индексов прост, их определяют вычислением отнош. двух индексируемых величин: индивид. индекс физ. V продукции iq рассчитывается по формуле: , где q1, q0 – кол-во (V) произведенного товара в текущем (отчет.) и базис. периодах; индивид. индекс цен iр: , где р1, р0 – цена единицы одноименной продукции в отчет. и базис. периодах. Любые общие индексы м/б построены 2 способами: как агрегатные и как средние из индивид. Последние делятся на средние арифметические и средние гармонические. Агрегатные индексы качеств. пок-лей м/б рассчитаны как индексы переменного состава и индексы постоянного (фиксированного) состава. При построении общих индексов возникают проблемы: 1. необходимо выбрать элементы, которые следует объединить в одном индексе; 2. правильно выбрать соизмеритель или вес, т.е. постоянный признак. Выбор веса зависит от того, какой индексируется признак – количеств. или качеств. Осн. формой общ. индексов явл-ся агрегатная форма. Индекс агрегат. формы строится по методу сумм. Индекс товарооборота: ; индекс физ. V продукции: ;

22. Агрегатный индекс как форма общего индекса. Индексы цен Г.Пааше и Э.Ласпейреса, их практическое применение.

Индекс потребит. цен явл-ся общим измерителем инф-ции, исп-ся при корректировке законодательно устанавливаемого minго размера оплаты труда, установлении ставок налогов и т.д. Агрегатный индекс цен с отчетными весами впервые предложен Пааше и носит его имя: формула агрегат. индекса цен Пааше , где - факт. стоимость продукции (товарооборот) отчет. п-да; - услов. стоимость товаров, реализованных в отчет. п-де по баз. ценам. Индекс цен Пааше показывает, сколько % составляет рост (снижение) сред. уровня цен на массу товара, в отчет. периоде по сравнению с баз. периодом. Если из значения индекса цен Ip вычесть 100%, то разность покажет, на ско-ко % в среднем возрос (уменьшился) за этот п-д уровень цен на сумму товаров, реализованную в отчет. периоде. При таком м-де, рассчитав индекс цен, м/о подсчитать эконом. эффект от изменения цен. Если индекс цен расч-ся по продукции баз. п-да, для расчета исп-ют формулу агрегат. индекса цен Ласпейреса: . Знач. индексов цен Пааше и Ласпейреса для одних и тех же данных не совпадают, т.к. имеют различное эконом. содержание. Индекс Пааше показывает, на ско-ко товары в отчет. п-де стали дороже (дешевле), чем в базисном. Индекс Ласпейреса показывает во ско-ко раз товары базисного периода подорожали (подешевели) из-за изменения цен на них в отчет. периоде.

23. Средние арифметический и гармонический индексы. Их применение в изучении динамики цен и физического объема производства.

К исчислению средневзвешенных индексов прибегают тогда, когда имеющаяся в распоряжении инф-ция не позволяет рассчитать агрегат. индекс. Так, если неизвестны кол-ва произведенных отд. продуктов в натурал. измерителях, но известны индивид. индексы  и стоимость продукции баз. периода (p0q0), м/о опред-ть сред. арифметич. индекс физ. V продукции. Исходной базой построения служит агрегат. форма: . Из имеющихся данных м/о получить только знаменатель этой формулы. Для нахождения числителя исп-ся формула индивид. индекса V продукции, из которой следует, что q1=q0iq. Подставляя данное выражение в числитель агрегат. формы, получаем общий индекс физ. V в форме среднего арифмет. индекса физ. V продукции, где весами служит стоимость отд. видов продукции в баз. периоде (q0p0): . Если известные данные позволяют вычислить только числитель агрегат. индекса физ. V, то, аналогично выражая продукции.

V в форме среднего гармонического взвешенного индекса физического объема продукции, где весами служит стоимость продукции отчет. периода в баз. ценах (q1p0): . Т.о., применение той или др. формулы индекса физ. V зависит от имеющихся в нашем распоряжении конкрет. данных и цели исследования.

24. Индексы средних уровней и их роль в исследовании динамики качественных показателей экономической деятельности предприятия.

На динамику качеств. пок-лей, уровни которых выражены средними величинами, оказывает влияние изменение структуры изучаемого явл. При изучении динамики средней величины задача состоит в определении степени влияния 2 факторов: изменений значения осредняемого пок-ля и изменений структуры явл. Эта задача решается с помощью индексного метода, т.е. путем построения системы взаимосвязанных индексов, в которую вкл-ся 3 индекса: Индекс переменного состава – отнош. 2 взвешенных средних с изменяющимися (переменными) весами, показывающее изменение индексируемой сред. величины. Для любых качеств. пок-лей индекс переменного состава м/о записать в общем виде: , где х1, х2 – уровни осредняемого пок-ля в отчет. и баз. периодах; f1, f2 – веса (частоты) осредняемого пок-ля в отчет. и баз. периодах. Индекс, характеризующий динамику средней величины при одной и той же фиксированной структуре совок-сти, носит название индекса постоянного (фиксированного) состава и исчисляется в общем виде: . Индекс постоянного состава показывает, как в отчет. периоде по сравнению с баз. изменилась сред. величина пок-ля по какой-либо однородной совок-сти за счет изменения только самой индексируемой величины, т.е. когда влияние структурного фактора устранено. Для измерения влияния только структур. изменений на исследуемый сред. пок-ль исчисляют индекс структурных сдвигов, как отнош. сред. уровня индексируемого пок-ля баз. периода, рассчитанного на отчет. структуру, к фактической сред. этого пок-ля в баз. периоде: .

26. Методы изучения уровня и динамики фондоотдачи.

Пок-ль фондоотдачи Ф хар-ет выпуск пр-ции в расчете на 1 рубль ст-ти осн. фондов (чем лучше использ. осн.е фонды, тем выше пок-ль ф-отдачи). Пок-ль рассчит. как отношение V пр-денной за год пр-ции Q к среднегодовой ст-ти осн- фондов: Ф= Q/`S. Эфф-ть использ. осн. фондов м/о опред. индексным методом. При этом след. учесть, что V пр-ции и ст-ть осн. фондов в 2-х сравниваемых пер-дах должны выражаться в сопоставимых ценах (по ст-ти в пост. ценах). Индекс ф-отдачи Iф рассчит. как отнош. уровня ф-отдачи в текущем периоде Ф1 к ур-ню ф-отдачи в базисном пер-де Ф0 :  Iф= Ф1/ Ф0. Пок-ль фондовооруженности труда W отраж. V осн. фондов, кот. оснащен один работник в проц. пр-ва продукта труда, и рассчит. как отнош. среднегодовой ст-ти осн. пр-венных фондов к среднесписочной числ-ти работников или рабочих Т: W=`S/Т.Ф-отдача Ф и ф-вооруженность труда W явл. факторами роста пр-дительности труда ПТ: ПТ=Ф* W. Из данного соотнош. видно, что м/у ф-отдачей, ф-вооруженностью и произ-стью труда сущ-ет тесная взаимозавис-ть. Ф-отдача будет расти, если произ-сть труда будет опережать рост ф-вооруженности. Но если рост произ-сти труда ниже, чем рост ф-вооруженности, то ф-отдача падает.

25. Показатели состояния, движения и использования основных фондов.

Существ. уд. вес в составе нац. богатства  принадл. осн. фонда. В основе харак-ки структуры и динамики осн. ф. лежит их единая типовая классиф. по натур.-веществ. составу (здания, сооруж., машины и оборуд., трансп. ср-ва). Осн. ф. в процессе пр-ва сохраняют свою нат.-вещ. форму в теч. длит. времени и постеп. переносят свою ст-ть на создав. продукт, тем самым изнашиваясь. В сост. осн. ф. важно выделять их активную часть, т.е. такие осн. ф., кот. непоср. воздействуют на предмет труда. Средн. стоимость осн. ф. м/т рассчит. как:`Ф = Фн + Фк, если известны данные на первое число месяца, то стоимость рассчит.: `Ф = ½Ф1 + Ф2 + Ф3 + …+ ½Фn / n – 1,`Ф = Фн + ФnTn/12  - ФвТв/12. Фн – фонды на начало года; ФnФв – стоимость осн. ф. соотв. поступивших и выбывших в теч. года; Tn – время функц. осн. ф., введ. в теч. года, месяца; Тв – время прошедшее после выбытия осн. ф. в теч. года (месяца). В связи с тем, что осн. ф. изнаш., а технич. прогр. ведет к изменен. ст-ти осн. ф. в соврем. усл., сущ-ет неск-ко видов оценок осн. ф.: полная первонач. ст-ть (цена приобретения + расходы на доставку и монтаж); первонач. ст-ть за вычетом износа; полная  восстановительная ст-ть (ст-ть осн. ф. в совр. усл. их воспроизв-ва); восстановит. ст-ть за вычетом износа. Ден. выраж. ст-ти износа назыв. амортизацией. Ст-ть осн. ф., в связи с их износом, выбытием, приобретением, меняется в теч. отч. периода. Для харак-ки этого изменения составляют балансы осн. ф.. Для харак-ки осн. ф. рассчит. след. сист. пок-лей: пок-ли движения; пок-ли состояния; пок-ли использ. К пок-лям движ. осн. ф. относятся коэф. поступления или ввода: Кп = Фn/Фк ´ 100, Кобн = Фnн´100/Фк. Коэф. выбытия рассчит.: Кв = Фв ´ 100/Фн. Сост. осн. ф. харак-ют коэф. износа и годности (явл. моментными пок-лями). Коэф. износа рассчит. как отнош.  суммы износа осн. ф. к полной ст-ти осн. ф., при этом сумма износа м/б опред. как разность м/у полной и остаточной ст-тью. Коэф. годности – отнош. остаточной ст-ти к полной ст-ти. Коэф. изн. + коэф. годн. = 1. Осн. пок-лем х-щим эфф. использ. осн. ф. явл. пок-ль фондоотдачи,  предс-ет отнош. ст-ти произвед. прод-ии за период к средней ст-ти осн. ф. за тот же период. Обратный пок-ль ф-отдачи – пок-ль фондоемкости, рассчит. как отнош. ср.-годовой ст-ти осн. ф. к объему произвед. прод-ии. Рассчит. ф-отдача всех осн. пр-венных ф. и ф-отдача их активной части. Сущ. связь м/у ф-отдачей f0 всех осн. ф. и f0 их акт. части. f0 всех осн. ф. = f0 их активной части ´ долю акт. части осн. ф. в общей ст-ти  осн. ф.. f0 = fа0 da

27. Показатели объема, состава, использования и динамики оборотных фондов.

К об. фондов относят сырье, осн. и вспомогат. мат-лы, топливо и т.д., т.е. предм. труда, кот. потребляются в одном пр-венном цикле и полностью переносят свою ст-ть на создаваемый продукт. Состав об. фондов опред-ся особенностями отд. отраслей. Наличие об. фондов в ден. выраж. харак-ся моментными и интервальными пок-лями. Интервал пок-ли м/т рассчитываться по ср.-арифметической и ср.-хронологической. Состав об. фондов изучают с пом. стат. группировок, среди кот.: групп. по источн. образования (за счет собственных и привлеченных ср-в), по видам об. фондов. Использ. об. фондов харак-ся сист. пок-лей: 1)коэф. оборачиваемости харак-ет число оборотов сред. остатка об. пр-венных фондов за период. 2)коэф. закрепления об. фондов харак-ет сред. остаток об. фондов приходящийся на 1000 р. их оборота. 3)средняя продолжит. 1-го оборота в днях. В практике принято при расчете этих пок-лей исходить из продолжит. года 360 дней, месяца - 30 дней. В кач-ве пок-ля харак-го сумму обернувшихся ср-в исп. пок-ль V реализации. Р – реализация прод-ии или услуг;`О – сред. остаток об. фондов или ср-в; D – продолжит. отчет. пер. в днях; n – коэф. оборачиваемости   n = P/`O. Кз – коэф. закрепления  Кз = 1/n, Кз = `О/Р. Продолжит. 1-го оборота в днях t   t = D/n. Ст. рассчит. сумму ср-в высвобождения из оборота вследствие ускорения оборачиваемости об. фондов по формуле: (t1t0)P1/D, (t1 – t0) – раз-ть м/у отч. и баз. периодом. Для оценки эф-ти исп. об. фондов применяют пок-ль материалоемкости, т.е. расход мат. ресурсов на единицу рез-та произ-ва.

30. Система макроэкономических показателей СНС.

1)ВВП; 2)Потребление осн. капитала; 3)чистый ВП (1-2); 4)сальдо первичных доходов, получ из-за границы; 5)ВНД(1+4); 6)чистый нац доход(5-2); 7)сальдо текущих трансфертов, получ из-за границы; 8) валоый нац располаг доход (5+7); 9)конечное потребление; 10) нац. сбережение(8-9); 11)сальдо капит трасфертов, получ из-за границы; 12)источники фин-я инвестиций (11+10); 13)валовое накопление, как эл-т ВВП; 14)преобретение непроизведенных немат нефин активов; 15)чистое кредитование(чистое заимствование(12-13-14). Методология: 1)ВВП=C+I+E, где С-(9), I-инвестиции, Е-чистый экспорт 2)ВВП=W+Q+R+P+T,где W-з/п, выплач на территории страны Q-отчисл на соц страх, R-валовая прибыль, P-валовый смешанный доход, T-налоги на пр-во и импорт 3)ВНД=ВВП+L-M, где L-первичные доходы, получ резидентами данной страны за границей, M-первичные доходы, переданные резидентами данной страны за границу.

33. Методы расчета прироста (снижения) продукции за счет отдельных факторов.

Наряду с анализом произ-ти труда в торговле анализ. также изменения тов. за счёт изменения произ-ти труда и за счёт изменения числ-ти работников. Этот анализ м/о производить 3-мя способами: 1.Находим абсолют. прирост тов. или V произвед. прод-ции: Dpq=Sp1q1-Sp0q0. Этот абсолют. прирост распад-ся на 2 прироста: За счёт изменения произ-ти труда: Dpqw=(W1-W0)*SТ1. За счёт изменения числ-ти работников: Dpqt=(ST1-St0)*W0. Проверка: Dpq=Dpqw+Dpqt. 2. Dpq=Sp1q1-Sp0q0

Dpqt=Sp0q0*(Т1/Т0-1)<-темп прироста числ-ти; Dpqw=(Sp0q0+Dpqt)*(W1/W0-1).Проверка: Dpq=Dpqw+Dpqt. 3. Вначале находим долю прироста тов. (продукции) за счёт изменения числ-ти работников: dDpqt=(It-1.0)/Ipq-1.0)*100. Затем, вычитая из 100% получим долю прироста тов. за счёт изменения произ-ти труда.

31. Методы расчета валового внутреннего продукта (ВВП).

ВВП - это пок-ль произв-нного внутр-го продукта, произвед. резидентами страны за опред. период времени. Он исчисл. в рын. ценах конечного потребления, т.е. в ценах, оплач. покупателем, включ. налоги на прод-ты и все торгово-трансп. наценки. ВВП исп-ся для хар-ки уровня эк. развития, темпов эк. роста и т.д. Пок-ль уровня ВВП в расчете на душу нас. исп-ся для проведения сравнений уровней благосост. стран, для установления размера взносов страны в бюджеты м/унар. орг-ций, для решения вопр. о предост. разл. видов помощи странам. ВВП м/т рассматр. на стадии пр-ва, на стадии образ. доходов и на стадии использ. доходов. Пр-венный метод: ВВП на стадии пр-ва харак-ет измерение стоимости, созд-й в процессе пр-ва за опред. период времени резидентами данной страны. В основе данного мет. исчисл. ВВП лежат такие пок-ли: выпуск тов. и услуг (В) – стоимость всех тов. и услуг, произвед. в текущем пер-де, кот. включ. стоимость использ. в процессе пр-ва тов. и услуг.; промежуточное потребл. (ПП) - ст-ть тов. и услуг, кот. полностью потребл. или трансформируются в данный период в процессе. пр-ва др. товаров и услуг. ПП вкл. мат-ные затраты, оплату немат-ных услуг, расх. на командировки. В ПП не вкл. потребление осн. кап-ла, а также расх., не связ. непоср. с пр-вом тов. и услуг. ПП оценивается на момент поступления тов. и услуг в пр-во в рын. ценах.;  валовая добавленная ст-ть (ВДС).  Разн-ть м/у выпуском тов. и услуг (В) и ПП наз-ся вал. добавл. ст-тью (ВДС). ВВП = ВДС + Налоги на прод-ты и импорт - Субсидии на прод-ты и импорт. Распределит-ный метод: рассматр. в процессе формир. дох-в (по источн. дох-в). На стадии формир. дох-в ВВП исчисл. как сумма первичных дох-в, кот. подлежат распред. м/у непосредств. участниками процессе пр-ва. Эти дох. вкл-ся в добавл. ст-ть текущего пер-да, созд. в процессе пр-ва. Метод конечного использ-я: предст. собой сумму расх. резидентов на конечное потребл. тов. и услуг, вал. накопление и сальдо экспорта-импорта и услуг. Конечное потребл. есть расх. на исп. тов. и услуг для удовл. инд. потребностей насел. и коллект. потребн. об-ва в целом. ВВП при исчисл. данным методом равен ВВП = Конечное потребл. + Вал. накопление + Сальдо экспорта-импорта и услуг.

29. Осн/ понятия и категории национального счетоводства. Общие принципы построения СНС.

Система - это набор пок-лей, которые взаимосв., дополн. др. др. и рассч-ся на основе единых методологич. принципов. При сост. НС необход. придерживаться общепринятых принципов, среди которых м/о выделить след.: 1. Пр-п двойной записи (пр-п бухучета) - каждая операция в СНС отраж. 2-ды: в разделе «Использование» предыд. счета и в разд. «Ресурсы» послед. счета. Доп. контроль обеспеч. тем, что каждая статья того или иного счета имеет корресп-щую статью в др. счете, что и способствует  увязке счетов; 2. Пр-п последовательности, соотв-щий  послед-ти воспроизводит. цикла (пр-во - образов. доходов - распред. доходов - использ. доходов); 3. Балансовый пр-п (регистрация всех эк. потоков в форме балансов); 4. Пр-п расчетных категорий - балансирующие статьи явл-ся расчетными катег., предназнач. для обеспеч. баланса м/у Vми ресурсов и их исп-м, для хар-ки рез-тов того или иного эк. процесса, что и позволяет считать их важн. макроэк. пок-лями; 5. Пр-п формы «Т»: все счета сост. из 2 разделов (колонок), правая включ. «Ресурсы», а левая - «Использование». Система взаимоувязанных стат. пок-лей экон. оборота нац. хоз-ва показ-ся в СНС в виде счетов и табл, составленных по всему н/х, по секторам и отраслям эк-ки. Кажд. счет относится к отд. аспекту эк деят-ти. Записи в счетах отражают эк-е операции в виде опред-х сумм, уплаченных одним субъектом и получ др. Полученные суммы указ-ся в правой стороне счета в колонке «Ресурс», а уплачевыемые слева в «Использование». Для отраж связей м/у начал. формированием ресурсов, увелич доходов и их использования примен сист взаимосвязи счетов. Для всех отраслей сост. 3 счета: продуктов и услуг, произ-во, образование доходов.

32. Статистическое изучение себестоимости продукции ( товаров и услуг) и ее динамики.

Изучение динамики себест-ти, выявл. причин отклонения фактич. себест-ти от нормативной, а так же обоснования возмож. путей сниж. издержек пр-ва на ед-цу товарной пр-ции основ. на использ. индексного метода. На базе фактич. данных о себест-ти ед-цы изделия опред. вида пр-ции устанавл. относит. пок-ли ее снижения или увелич. по сравнению с прошлым периодом. Обозначим себест-ть единицы пр-ции символом С, себест-ть той же ед-цы пр-ции в прошлом году Со, плановой или нормативной себест-ти Спл., фактически за отчетный год С1. С пом. индивидуальных инд-сов м/о выявить динамику себест-ти отд. видов пр-ции след. образом. Если нам необходимо опред. фактич. снижение себест-ти в отчетн. пер-де по отнош. к базисному, то это делается с пом. ф-лы i=C1/C0, где i – пок-ль снижения себест-ти. Если же необход. опред. плановое снижение себест-ти, то это опред. с пом. ф-лы iпл.задпл0, где iпл.зад – сниж. себест-ти по плановому (нормативному) заданию. Если же речь идет о том, как выполнено плановое задание по сниж. себест-ти, то здесь применяется формула iвып.пл1пл, где iвып.пл – вып. плана по сниж. себест-ти. При опред. динамики себест-ти одного и того же вида пр-ции, по производ. на неско-ких пр-тиях, то здесь применяют ф-лу индекса переменного состава Jс.перем=åC1Q1/åQ1: åC0Q0/åQ0=`C1:`C0, где Q1, Q0 – кол-во данного вида пр-ции выпущ. отд. пр-тиями за отчетный и базисный пер-ды. В этой ф-ле отраж. изменения себест-ти под влиянием факторов, связ. со струк-рой себест-ти на каждом пр-тии, а также под воздейств. изменен. удельных весов пр-тий в общем выпуске пр-ции. Индекс себест-ти фиксированного состава без влияния указанных структурных факторов связ. с удельным весом пр-тий в общем выпуске пр-ции строится след. образом: Jс.ф.е=åC1Q1/åС0Q1, т.е. ф-ла индекса фиксированного состава (Q1), где Jс.ф.е- индекс фиксированного состава. Общий индекс себес-ти м/т охватывать лишь те виды пр-ции, которые и в базисном и в отчетном периоде явл-ся сравнимыми. Осн. пр-наком сравнимости пр-ции явл. одинаковое назначение по хар-ру их потребит. стоимости и технологии пр-ва.

 44. Статистика себестоимости, ее задачи. Виды и классификация себестоимости.

Изучение динамики себест-ти, выявл. причин отклонения фактич. себест-ти от нормативной, а так же обоснования возмож. путей сниж. издержек пр-ва на ед-цу товарной пр-ции основ. на использ. индексного метода. На базе фактич. данных о себест-ти ед-цы изделия опред. вида пр-ции устанавл. относит. пок-ли ее снижения или увелич. по сравнению с прошлым периодом. Обозначим себест-ть единицы пр-ции символом С, себест-ть той же ед-цы пр-ции в прошлом году Со, плановой или нормативной себест-ти Спл., фактически за отчетный год С1. С пом. индивидуальных инд-сов м/о выявить динамику себест-ти отд. видов пр-ции след. образом. Если нам необходимо опред. фактич. снижение себест-ти в отчетн. пер-де по отнош. к базисному, то это делается с пом. ф-лы i=C1/C0, где i – пок-ль снижения себест-ти. Если же необход. опред. плановое снижение себест-ти, то это опред. с пом. ф-лы iпл.задпл0, где iпл.зад – сниж. себест-ти по плановому (нормативному) заданию. Если же речь идет о том, как выполнено плановое задание по сниж. себест-ти, то здесь применяется формула iвып.пл1пл, где iвып.пл – вып. плана по сниж. себест-ти. При опред. динамики себест-ти одного и того же вида пр-ции, по производ. на неско-ких пр-тиях, то здесь применяют ф-лу индекса переменного состава Jс.перем=åC1Q1/åQ1: åC0Q0/åQ0=`C1:`C0, где Q1, Q0 – кол-во данного вида пр-ции выпущ. отд. пр-тиями за отчетный и базисный пер-ды. В этой ф-ле отраж. изменения себест-ти под влиянием факторов, связ. со струк-рой себест-ти на каждом пр-тии, а также под воздейств. изменен. удельных весов пр-тий в общем выпуске пр-ции. Индекс себест-ти фиксированного состава без влияния указанных структурных факторов связ. с удельным весом пр-тий в общем выпуске пр-ции строится след. образом: Jс.ф.е=åC1Q1/åС0Q1, т.е. ф-ла индекса фиксированного состава (Q1), где Jс.ф.е- индекс фиксированного состава. Общий индекс себес-ти м/т охватывать лишь те виды пр-ции, которые и в базисном и в отчетном периоде явл-ся сравнимыми. Осн. пр-наком сравнимости пр-ции явл. одинаковое назначение по хар-ру их потребит. стоимости и технологии пр-ва.

36. Статистические показатели уровня жизни населения.

К макроэк. индикаторам уровня ж. в сист. нац. счетов отн-ся пок-ли: располагаемый доход домохоз-в, реал. располагаемый доход, индекс потребит. цен. Располаг. доход домохоз-в – сумма текущих доходов, кот. м/б исп. домохоз-ми для финансир. конечного потребления тов-в и услуг или сбережения. Скорректированный расп. доход больше расп. дохода на величину соц. трансфертов в натуральной форме (бесплатные или на льготных условиях услуги в области оборудования, культуры, здравоохр., соц. обеспеч.). Реальн. расп. доход скорректирован на индекс потребл. цен расп. дохода. Индекс потребит. цен рассчит. по фор-ле индекса  цен Лоспейреса: Iр = å p1q0/å p0q0

1.Предмет, метод и задачи статистики.

2.Основные понятия статистической науки: статистическая совокупность, единицы совокупности, варьирующие признаки, статистическая закономерность, статистический показатель.

3. Статистическое наблюдение, его формы, виды и способы. Программно – методологические и организационные вопросы сбора информации.

4. Статистическая сводка, ее содержание и задачи, роль в анализе управленческой информации предприятия.

5. Метод статистической группировки, его задачи. Виды группировок, их применение в анализе экономической деятельности предприятия.

6. Статистические ряды распределения. Их виды. Основные характеристики ряда распределения, их роль в исследовании структуры совокупности.

7. Табличное и графическое представление статистических данных.

8. Абсолютные и относительные величины в статистике. Их виды и методика расчета.

9. Средняя величина. Ее сущность и условия применения. Виды и формы средних.

10. Понятие о вариации признаков. Система показателей вариации. Ее применение в анализе экономической деятельности предприятия.

11. Виды дисперсий. Правило сложения дисперсий. Расчет на его основе коэффициента детерминации и эмпирического корреляционного отношения.

12. Метод выборочного наблюдения. Виды выборки. Практика применения выборочного метода в статистическом анализе экономической деятельности предприятия.

13. Методика расчета ошибок выборки для средней и доли. Определение численности выборочной совокупности.

14. Виды и формы взаимосвязей социально-экономических явлений. Основные статистические методы их изучения.

15. Методика корреляционно-регрессионного анализа социально-экономических явлений. Уравнение регрессии как форма аналитического выражения связи.

16. Статистические методы выявления корреляционной связи. Показатели тесноты связи.

17. Ряды динамики. Их виды. Условия сопоставимости уровней ряда динамики. Аналитические показатели ряда динамики, их применение в статистическом анализе экономической деятельности предприятия.

18. Средние показатели в рядах динамики. Их практическое применение в анализе и прогнозировании деятельности предприятия.

19. Методы выявления основной тенденции развития в рядах динамики. Прогнозирование экономических показателей на основе динамических рядов.

20. Методы выявления сезонной компоненты и их практическое применение в анализе прогнозирования экономических процессов на предприятии.

21. Понятие о статистических индексах. Их классификация. Применение индексного метода в анализе статистической информации.

22. Агрегатный индекс как форма общего индекса. Индексы цен Г.Пааше и Э.Ласпейреса, их практическое применение.

23. Средние арифметический и гармонический индексы. Их применение в изучении динамики цен и физического объема производства.

24. Индексы средних уровней и их роль в исследовании динамики качественных показателей экономической деятельности предприятия.

25. Показатели состояния, движения и использования основных фондов.

26. Методы изучения уровня и динамики фондоотдачи.

27. Показатели объема, состава, использования и динамики оборотных фондов.

28. Показатели оборачиваемости оборотных фондов и их динамика.

29. Основные понятия и категории национального счетоводства. Общие принципы построения СНС.

30. Система макроэкономических показателей СНС.

31. Методы расчета валового внутреннего продукта (ВВП).

32. Статистическое изучение себестоимости продукции ( товаров и услуг) и ее динамики.

33. Методы расчета прироста (снижения) продукции за счет отдельных факторов.

34. Статистическое изучение уровня и динамики производительности труда.

35. Статистика материальных затрат на производство и обращение продукции ( товаров и услуг).

36. Статистические показатели уровня жизни населения.

37. Статистическое изучение динамики показателей уровня жизни населения.

38. Показатели финансовых результатов работы предприятий.

39. Показатели прибыли и рентабельности деятельности предприятия. Методы их расчета.

40. Статистические показатели устойчивости финансовой деятельности предприятий и организаций.

41. Статистическое изучение динамики результатов финансовой деятельности предприятия.

42. Система статистических показателей страхования. Методы их расчета.

43. Показатели статистики налогообложения.

44. Статистика себестоимости, ее задачи. Виды и классификация себестоимости.

45. Статистический анализ экономической коньюктуры рынка.

46. Показатели объема, структуры и динамики национального богатства.

47. Система статистических показателей отраслей и секторов экономики.

48. Показатели уровня экономической активности населения, занятости и безработицы.

38. Показатели финансовых результатов работы предприятий.

Сист. пок-лей фин. рез-тов: валов. доход, прибыль, рентаб-ть. Вал. доход – это сумма выручки от реал-ции пр-ции, работ, услуг в дейст-щих оптов. ценах или в отпускных ценах за вычетом НДС и акцизов. Прибыль – осн. фин. пок-ль оценки хоз. деят-ти пр-тия, эф-ти его работы и источников самофин. деят-ти пр-тия. Виды прибыли: 1) прибыль от реал-ции пр-ции, работ, услуг: ПР = ВД - Зпр, где ВД - вал.доход, Зпр - затраты на пр-во и реал-цию пр-ции, 2) баланс. прибыль: ПБ = ПР + ПИ ± внереал.доходы или убытки, где ПИ – прибыль от реал-ции имущ-ва, внереал. доходы и расходы – это доходы от долевого участия в деят-ти др.пр-тий: а)доходы от сдачи помещения в аренду, б)дивиденды, в)% по акциям, облигациям и др.ц/б, г)уплаченные штрафы и пени или полученные, 3) чистая прибыль (ПЧ): ПЧ = ПБ – налоги и платежи в бюджет. Ст-ка анализир. динамику прибыли и рассчит. влияние разл. факт-в на прибыль. 4) рентабельность хар-т доходность, прибыльность и эф-ть пр-ва и позволяет оценить какую прибыль имеет пр-тие с кажд. рубля ср-в вложенных в активы: а)рентабельность пр-ции = прибыль от реал-ции пр-ции / на выручку от реал-ции пр-ции, б)рентабельность осн. кап-ла = балан.прибыль / на ст-ть активов пр-тия по балансу, в)рентабельность осн.деят-ти, г)рентабельность собст.кап-ла, д)период окупаемости собст. кап-ла.

40. Стат/ показатели устойчивости финансовой деятельности предприятий и организаций.

В усл. рын. отнош. важное знач. приобретает ст-кий анализ фин. устойчивости пр-ия (фирмы), под кот. понимается способность хоз. субъекта вовремя возмещать из собств. ср-в затраты и распл. по своим обязат-вам. Фин. устойчивость пр-ия, а также изм. фин. устойч-ти отраж. след. осн. пок-ли: коэфф. автономии; коэфф. фин. устойч-ти; коэфф. маневренности; коэфф. общей ликвидности; коэфф. абсол. ликвидности. Степень независимости фин. сост. пр-ия от заемных источников хар-ся коэфф. автономии Кавт, кот. опред. как отнош. велич. собств. ср-в Ссоб к сумме всех источн. фин. ресурсов Sист: Кавт= Ссоб/ Sист. Коэфф. фин. устойч. Кф.уст опр-ет способн. пр-ия привлекать в хоз. оборот чужие заемные ср-ва. Он рассчит. как отнош. кредиторской задолж. и других заемных ср-в Кзаем к велич. собств. кап-ла Ссоб: Кф.уст= Кзаем соб. Степень способн. маневрировать собств. ср-вами в мобильной форме хар-ет коэфф. маневренности Км, кот. опред. как отнош. суммы собств. ср-в и долгоср. кредитов и займов (ДКЗ) за вычетом осн. ср-в и иных внеоборотн. активов (Оср+ак ) к велич. собств. ср-в Ссоб: Км=((Ссоб +ДКЗ) - Оср+ак)/Ссоб. С пом. коэфф. общей ликвидности Коб.ликв прогнозир. платежеспособн. пр-ия с учетом своеврем. расчетов с дебиторами. Коэфф. рассчит. как отнош. ден. ср-в, вложений в ц.б., запасов тов.-мат-ных ценн., дебит. задолж. (Дса) к краткоср. задолж-ти (КЗ): Коб.ликв= Дса/КЗ. Коэфф. общей ликвидн. обычно рассчит. вместе с коэфф. абсол. ликвидн. Каб.ликв, кот. отражает велич. той части краткоср. задолж-ти, кот. пр-ие в сост. погасить в ближ. время. Он исчисл. как отнош. велич. наиб. ликвидных активов Анл к велич. краткоср. задолж-ти (КЗ): Коб.ликв= Анл/КЗ.

46. Показатели объема, структуры и динамики национального богатства.

Нац. бог-во дает представл. об эк-м потенциале страны. В задачи ст. по изуч. нац. бог. входит: 1) разработка сист. пок-лей н.б. и методология расчета; 2) проведение стат. наблюд. для получ. инф-ии о н.б.; 3) харак-ка наличия и состава н.б.; 4) отслеживание процесса воспр-ва важных элементов н.б.; 5) изуч. динамики н.б. и его сост. частей. Стат-ка для изуч. н.б. использ. широкий спектр стат-их методов: ст. наблюд., сводка, группировка, абсол. и относит. средние величины, балансовый метод, метод и анализы рядов динамики. Состав н.б. изуч-ся с пом. группировок: по формам собств., размещения по террит. страны, строение н.б., строение н.б. по натурально-веществ. составу.  Сущ. классиф. активного н.б., в соотв. с кот. все н.б. делится на: нефинансовые активы (произведенные (созданные в процессе пр-ва и не произведенные) и финансовые активы (монетарное золото (хранится в кач-ве фин. актива и принадл. кредитно-ден. учрежд. страны), депозиты, ц. бумаги, ссуды, страховые технич. резервы). К произвед. активам: матер-ные (осн. фонды, запасы мат. оборотных ср-в, потребляемые товары длит. пользования), нематер. активы (затраты на исслед. полезн. ископ., оригинальные произвед. развлекат. жанра лит-ры и искусства). К не произвед.: мат. (земля, водные ресурсы), немат. (патенты, авторские права, лицензии, договора об аренде). Н.б. представляет собой сов-ть ресурсов страны необход. для пр-ва товаров, оказания услуг и обеспеч. жизни людей.

48. Показатели уровня экономической активности населения, занятости и безработицы.

В задачу стат-ки входит изуч. труд-х ресурсов: числ., состава, динамики. Осн. часть т-х ресурсов: лица в т-способн. возрасте – числ. т-сп. насел-я в т-сп. возрасте (муж. 16-59 лет, жен. 16-54 года, кроме инвалидов 1 и 2 групп и неработ. лиц  т-сп. возраста, получ. пенсию на льготных усл.) + лица, наход. вне пределов т-сп. возраста (подр., пенс-ры), занятые в об-венном хоз-ве. Ст. изучает состав т-х ресурсов с пом. метода группировок: по отраслям эк-ки, по источникам ср-в существ., месту работы, по террит. (месту жит-ва). По источн. ср-в сущ. подразд. на лица имеющие занятия, иждивенцев гос-ва, иждивенцев отдельных лиц. Числ. безраб. пост. меняется в рез-те механич. и естеств. движения. По м/ународной методологии ст-ка труда рассматр. след. категории: 1)эк. активное насел. (рабочая сила); 2)эк. неактивное насел. В 1 включ. число занятых в эк-ке и числ. безраб. Стат-ка определяет уровень эк. активного насел. как отнош. числ-ти эк. акт. насел. к общей числ-ти нас. Уровень безраб.  -  отнош. числа безраб. к чис-ти эк. акт. нас. Коэф. нагрузки на 1-го занятого – отнош. числа незанятых к числу занятого нас. Число незанятых – разность м/у числ-тью всего нас. и числ-тью занятого нас. Баланс тр-х ресурсов сост. из 2 разделов: 1)тр. ресурсы: т-сп. нас. в т-сп. возрасте, лица старших возрастов и подростки, занятые в об-венном хоз-ве; 2)распределение тр. ресурсов: всего занято, в т.ч. по отраслям.