• производство продукции в условиях значительного ее дефицита и неудовлетворенности спроса;
• продажа товаров в условиях локально-изолированной ниши рынка (например, при отсутствии транспортных связей, из за неблагоприятных условий погоды и т.п.).
Учитывая изложенные обстоятельства, можно записать формулу для определения цены товара в следующем виде:
Ц = С + П = С + РС = С(1 + Р), (6.1)
где Ц — цена единицы товара, производство которого будет осуществляться в новом предпринимательском проекте;
С — себестоимость единицы продукции после освоения производственной мощности будущего предприятия;
П — планируемая прибыль на единицу продукции после освоения производственной мощности предприятия
П = Р · С, (6.2)
где Р — планируемая рентабельность производства продукции после освоения производственной мощности предприятия; (в долях от единицы).
Запишем формулу для определения себестоимости единицы продукции, составляющей основу затратного ценообразования:
(6.3)
где Cпер — переменные затраты на единицу товарной продукции (заработная плата со всеми начислениями основных производственных рабочих, выполняющих технологические операции по сдельным расценкам; затраты на сырье, материалы, комплектующие изделия, расходуемые непосредственно на изготовление готовой товарной продукции; затраты на топливо и энергию расходуемые на технологические операции, и пр.);
Cпoc — условно-постоянные затраты в абсолютном выражении за календарный год (заработная плата со все» начислениями всех прочих категорий работающих, находившихся на повременной оплате труда; затраты на сырье и материалы, расходуемые на вспомогательные и обслуживающие операции; затраты на запасные части к оборудованию транспортным средствам; затраты на топливо и энергию расходуемые на отопление, освещение, вентиляцию; арендная плата за используемые производственные площади, оборудование, амортизация основных производственных фондов, платежи за страхование имущества и хозяйственной деятельности, прочие платежи, не зависящие от объема выпускаемой продукции);
N — планируемый годовой объем производимой товарной продукции после освоения производственной мощности предприятия в натуральном выражении.
Следует отметить, что плановая величина объема продукции не должна превышать производственной мощности предприятия за вычетом резервной ее части. Это условие можно записать в виде неравенства
N ≤ Nm (l — Mp), (6.4)
где Nm — величина годовой производственной мощности предприятия в натуральном выражении;
Mp — резервируемая часть производственной мощности предприятия в долях от единицы (устанавливается фирмой для себя самостоятельно в зависимости от характера продукции, ее стоимости, договорных обязательств перед потребителями и штрафных санкций за задержку с поставкой готовой продукции; обычно эта величина принимается в пределах 0,1—0,4).
Приняв определенную величину годовой производственной программы с учетом установленного в соответствии с формулой 6.4 ограничения, рассчитывается себестоимость единицы товарной продукции по формуле 6.3. Теперь, чтобы рассчитать цену единицы выпускаемого товара, надо определить уровень планируемой рентабельности производства. Его величина устанавливается фирмой исходя из следующих соображений. Во-первых, фирма стремится работать с рентабельностью как можно более высокой. Ведь это, как правило, монопольная фирма, не имеющая конкурентов или имеющая очень слабых конкурентов, не способных оказать влияние на рыночную цену товара. Во-вторых, маловероятно, что фирма начнет создавать новое предпринимательское дело, если ей не будет обеспечена рентабельность производства больше 20—25%. В-третьих, фирма должна учитывать, что чрезмерная рентабельность производства приведет к очень высокой цене товара, и спрос на него резко сократится. Поэтому фирма будет хоть и стремиться работать с высокой рентабельностью, ограничивать свои аппетиты возможностью продажи производимых ею товаров. И наконец, в-четвертых, в большинстве рыночных стран, включая и Россию, функционируют антимонопольные комитеты, которые на основе действующего в стране антимонопольного законодательства регламентируют уровень рентабельности производства монопольных предприятий. Так что монопольные фирмы не совсем свободны в установлении рентабельности собственного производства.
Обычно ограничения устанавливаются на рентабельность производства в пределах 50—100% в зависимости от характера продукции, ее дефицитности, спроса потребителей на нее и т.п. Однако, совершенствуя свое производство, фирма может обеспечить себе и более высокую рентабельность, чем установлено антимонопольным комитетом при обосновании цены товара.
Приняв определенную величину годового объема производства продукции с учетом ее спроса на рынке, а также ориентировочный уровень рентабельности в пределах установленного антимонопольным комитетом ограничения, по формуле 6.1 рассчитывают цену будущего товара. Это дает возможность определить наиболее важные технико-экономические и финансовые показатели деятельности фирмы после освоения производственной мощности.
Приведем формулы для расчета и последующего анализа показателей деятельности фирмы от реализации нового предпринимательского дела.
Исходные данные и обозначения применяемых для расчета параметров:
— производственная мощность предприятия Nm;
— резерв производственной мощности Мр;
— ограничение рентабельности производства Ро;
— переменные затраты на единицу продукции Спер;
— постоянные затраты за год Спос;
— переменная заработная плата на единицу продукции Зп;
— постоянная годовая заработная плата Зпос.
На основе исходных данных рассчитываются все остальные важнейшие показатели деятельности предприятий. Они определяются по формулам, представленным в табл. 6.1.
Таблица 6.1
Формулы для расчета технико-экономических
и финансовых показателей нового предпринимательского дела
|
Показатели |
Вид формулы |
Номер формулы |
|
Цена единицы товара, Ц |
Ц = С(1 + Р) |
6.1 |
|
Прибыль предприятия за год, П |
П = Р · С |
6.2 |
|
Себестоимость единицы товара, С |
С = Cпер+ (Спос : N)) |
6.3 |
|
Годовой объем производства, N Рентабельность производства, Р |
N < Nm (l — Мр) Р < Рo |
6.4 — |
|
Маржинальный доход, Дм |
Дм = Ц — Спер |
6.5 |
|
Выручка, В |
B = N — Ц |
6.6 |
|
Себестоимость продукции за год, Ст |
Ст = N · С |
6.7 |
|
Прибыль предприятия, П |
П = N (Ц — С) |
6.8 |
|
Рентабельность производства Р |
Р = Ц : (С — 1) |
6.9 |
|
Коэффициент переменных затрат, r |
R = Cпер : С |
6.10 |
|
Коэффициент использования производственной мощности, Км |
Км = N : Nm |
6.11 |
|
Заработная плата на товарный выпуск, Зт |
Зт = N · Зп + Зпoc |
6.12 |
|
Удельный вес зарплаты в себестоимости, S |
S = Зт : Cт |
6.13 |
|
Вновь созданная стоимость, W |
W = П + Зт |
6.14 |
|
Удельный вес вновь созданной стоимости и выручке предприятия, W, |
W = W: В |
6.15 |
Произведем расчеты основных показателей нового предпринимательского дела при следующих исходных данных.
Производственная мощность предприятия, — 18 000 изд./дет.
Резерв мощности, Мр — 0,12.
Максимально допустимый уровень рентабельности, Рo — 0,5.
Переменные затраты на единицу продукции, Спер —27,45.
Годовые постоянные затраты, Спос —398500.
Переменная заработная плата на единицу продукции, Зп — 8,3.
Годовая постоянная заработная плата, Зпос — 78350.
По представленным исходным данным определим предельное значение производственной программы предприятия по формуле 6.4:
N < 18 000(1 — 0,12) = 15 840 изд./дет.
По формуле 6.3 определим минимальную себестоимость единицы продукции:
С = 27,45 + (398500 : 15840) = 27,45 + 25,158 = 52,608.
По формуле 6.1 рассчитаем цену единицы товара:
Ц = 52,608(1 + 0,5) = 78,912.
Предприятие принимает годовую производственную программу на уровне N = 13 400 изд./дет.
При такой программе себестоимость единицы продукции, определяемая по формуле 6.3, составит:
С = 27,45 + (398500 : 13400) = 27,45 + 29,739 = 57,189.
Зная цену товара (78,912) и себестоимость единицы продукции (57,189), по формуле 6.9 определим уровень рентабельности производства:
Р = (78,912 : 57,189) — 1 = 0,3798.
Этот уровень меньше установленного антимонопольным комитетом уровня рентабельности по условию сформулированной задачи (Ро = 0,5) и, следовательно, претензий к предприятию поводу завышения цены товара быть не должно.
По формуле 6.6 определяем выручку предприятия:
В = 13400 × 78,92 = 1057421.
Себестоимость годовой товарной продукции определяется формуле 6.7:
Ст = 13400 × 57,189 = 766333.
Прибыль предприятия исчисляется по формуле 6.8:
П = 13400(78,912 — 57,189) = 291088.
Коэффициент переменных затрат определяется по формуле 6.10:
r = 27,45 : 57,189 = 0,48.
Маржинальный доход на единицу Продукции определяется по формуле 6.5:
Дм = 78,912 — 27,45 = 51,462.
Коэффициент использования производственной мощности предприятия рассчитывается по формуле 6.11:
Км = 13400 : 18000 = 0,744.
Определим по формуле 6.12 заработную плату предприятия на весь товарный выпуск продукции:
Зт = 13400 · 8,3 + 78350 = 189570.
Удельный вес заработной платы в себестоимости товарной продукции рассчитывается по формуле 6.13:
S = 189570 : 766333 = 0,247.
По формуле 6.14 определим величину вновь созданной стоимости:
W = 291088 + 189570 = 480658.
Удельный вес вновь созданной стоимости в выручке предприятия определяется по формуле 6.15:
Wy = 480658 : 1057421 = 0,454.
Полученные результаты говорят о том, что фирма собирается достаточно успешно функционировать в рынке, получая высокую прибыль и обеспечивая значительную рентабельность производства. Однако, как следует из исходных данных, фирма не использует полностью имеющихся у нее резервов повышения эффективности производства, ведь установленное ограничение в рентабельности производства несколько выше того уровня, который фирма запланировала для своей текущей работы. Она может воспользоваться имеющимися у нее возможностями, повысив свою рентабельность до 50%. Для этого фирма может пойти по любому пути, а именно:
а) повысить объем производства продукции до предельного значения;
б) повысить цену товара при сохранении принятой величины производственной программы;
в) внедряя достижения научно-технического прогресса в области техники, технологии, управления и организации производства, снизить переменные и постоянные затраты на производство продукции;
г) используя все перечисленные направления в определенной пропорции, т.е. повышая цену товара, увеличивая объем ее производства и снижая себестоимость выпускаемой продукции.
Выбор направления совершенствования деятельности, разумеется, полностью зависит от самой фирмы. Важно при этом, чтобы она использовала имеющиеся в новом для себя предпринимательском деле все предоставленные законом возможности.
6.2. Показатели деятельности предприятия
при рыночном ценообразовании
При рыночном ценообразовании затраты фирмы в качестве основы цены товара никакого участия не принимают. Они безусловно определяются фирмой, принимаются ею как ориентир для сопоставления с действующей на рынке ценой и используются для расчета эффективности бизнеса в новом предпринимательском деле.
Главное в рыночном ценообразовании — соотношение спроса и предложения товаров на рынке, поэтому вполне возможно на рынке ситуации, когда цена товара окажется меньше понесенных при его производстве затрат, вследствие чего фирма несет серьезные убытки. Разумеется, могут быть и ситуации когда цена товара будет выше затрат фирмы, и она получит этом случае определенную прибыль.
Следовательно, при создании нового предпринимательского дела необходимо правильно оценить рыночную ситуацию, спрогнозировать будущую цену товара и сопоставить ее затем с затратами фирмы на его производство. Иначе говоря, оценка показателей деятельности фирмы при рыночном ценообразовании заключается в том, чтобы определить выгодность и прибыльность создания нового предпринимательского дела и установить те границы, при соблюдении которых бизнес будет рентабельным.
Рыночное ценообразование имеет место в следующих случаях:
• в условиях совершенной конкуренции;
• в условиях монополистической конкуренции;
• частично — в условиях олигопольного рынка (особенно когда действующие фирмы конкурируют между собой и в сговор с целью контроля цен и проведения единой ценовой политики не вступают);
• во всех остальных случаях, когда признаки затратного ценообразования отсутствуют.
При создании нового предпринимательского дела одной из важнейших задач, которую предстоит прежде всего решить, является определение производственной мощности будущего предприятия. От этого будут зависеть величина потребуемых на создание нового дела капитальных вложений, а также переменные и постоянные затраты на производство продукции. Только знания в этой области позволят, фирме оценить ориентировочно в сопоставлении с ценой товара на рынке возможность успешной ее деятельности, конкурентоспособность будущего товара и рентабельность производства. Кроме того, знание производственной мощности предприятия позволит примерно установить диапазон возможного объема производства товаров с той целью, чтобы спрогнозировать совокупное предложение товаров на рынке и определить его влияние на цену товаров.
При обосновании производственной мощности будущего предпринимательского дела следует учитывать следующие обстоятельства и ограничения. Прежде всего ограничения ресурсного характера. С учетом этого фактора необходимо принимать во внимание наличие и возможность капитальных вложений в новое дело. Чем крупнее бизнес, тем больше денежных средств придется вложить в создание необходимых производственных площадей, покупку оборудования и транспортных средств, в формирование потребуемых оборотных средств. Надо учитывать обеспеченность будущего производства сырьевыми, материальными и топливно-энергетическими ресурсами, оборудованием, рабочей силой, а также возможности размещения предприятия на определенной территории с учетом санитарно-гигиенических, пожаро- и взрывобезопасных условий, экологической обстановки и пр.
Наряду с ресурсными действуют еще и рыночные ограничения. К ним можно отнести: емкость рынка по данному товару; сезонность производства и потребления товара; доходы потребителей; темпы инфляции национальной валюты; скорость реализации товаров с учетом совокупного их предложения; модель рынка, куда будут поступать товары, и пр.
С учетом всех названных требований и ограничений можно установить достаточно узкий диапазон, внутри которого и будет находиться рекомендуемая величина производственной мощности будущего предпринимательского дела.
Решение вопроса о величине производственной мощности будущего предприятия — первый шаг в оценке его бизнеса. Опираясь на эту величину, можно определить многие важные показатели деятельности, касающиеся издержек производства и, в частности, такого показателя, как себестоимость единицы продукции и составляющих ее затрат — переменных и постоянных.
Для того чтобы все эти расчеты произвести, можно воспользоваться формулами для определения искомых величин, представленных в § 6.1, где изложен алгоритм определения показателей деятельности фирмы при затратном ценообразовании. Алгоритм можно безо всяких изменений применить для расчета затратных показателей деятельности фирмы в условиях рыночного ценообразования.
Итак, производственная мощность будущего предприятия известна, затраты на производство продукции определены и теперь, чтобы рассчитать все необходимые показатели деятельности фирмы, нужно установить цену производимого товара. Но для этого следует знать рыночную конъюнктуру, важнейшие рыночные показатели и их влияние на формирование цены будущего товара. Все это рассматривалось для действующих (а не для новых) предприятий в главе 5.
Воспользуемся формулой для определения цены товара, которая была обоснована в указанной главе и имеет вид
d = (1 + Кэц + Нф — bс) : Кэц. (5.14)
Напомним, что в этой формуле Нф — значение комплексного показателя, учитывающего действие всех неценовых факторов (формула 5.13), а величина bс — коэффициент совокупного спроса на товар от действия всех факторов и под влиянием совокупного предложения всех товаропроизводителей.
Для случая, когда создается новое предпринимательское дело и создаваемое предприятие со своим товаром входит в действующую отрасль, формула для определения совокупного предложения имеет вид
bс = a + аф, (5.17)
где а — коэффициент изменения предложения конкурентными фирмами в анализируемом периоде по сравнению с базисным;
aф — доля фирмы, входящей в отрасль со своим товаром в анализируемом периоде, по отношению к величине базисного совокупного предложения.
В этой формуле при исчислении совокупного предложения величина коэффициента а принимается на основе прогноза поведения всех конкурентных фирм, а величина коэффициента aф устанавливается при расчетах цены товара в пределах производственной мощности нового предприятия (за вычетом резервной ее части).
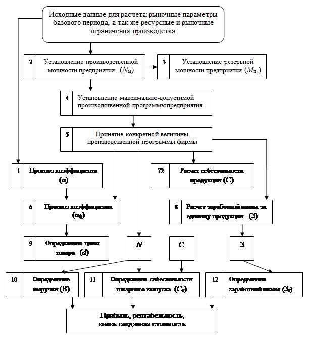
Собранная и соответствующим образом обработанная исходная информация позволяет определить важнейшие технико-экономические и финансовые показатели деятельности предприятия при рыночном ценообразовании. Для лучшей обозримости алгоритма расчета этих показателей на рис.6.1 представлена логическая блок-схема. Кратко прокомментируем ее.
Исходная информация дает возможность спрогнозировать в определенном диапазоне изменение величины предложения товара всеми конкурентными фирмами в анализируемом периоде (оператор 1). То же следует сказать о производственной мощности предприятия: она может с учетом имеющихся ограничений быть установлена в определенном диапазоне (оператор 2). Затем, установив резерв производственной мощности (оператор 3), можно рассчитать максимально допустимую производственную программу предприятия (оператор 4). На основе полученной информации принимается величина объема производства продукции (оператор 5), которая дает основание для расчета рыночной доли фирмы по отношению к базисному периоду (оператор 6), себестоимости единицы продукции (оператор 7) и заработной платы на единицу продукции (оператор 8). Затем на основе полученной информации определяются выручка, прибыль, рентабельность и вновь созданная стоимость.
Произведем иллюстративный расчет показателей деятельности предприятия при рыночном ценообразовании. Расчет будем вести по упрощенной схеме с использованием исходных данных предыдущего § 6.1 и без учета инфляции, поправка на которую будет рассмотрена ниже в § 6.4.
Принимаем следующие исходные данные. Производственная мощность предприятия, Nm — 18000 изд./год
Резерв мощности, Мр — 0,12
Переменные затраты на единицу продукции, Спер — 27,45
Годовые постоянные затраты, Спос — 398500
Переменная заработная плата на единицу продукции, Зп — 8,3
Годовая постоянная заработная плата, Зпос — 78350
Кроме перечисленных исходных показателей, приведем показатели, которые были рассчитаны в предыдущем § 6.1

Рис. 6.1. Логическая блок-схема расчета показателей деятельности фирмы при рыночном ценообразовании
Максимально допустимая производственная программа, Nmax — 15840 изд./год
Принятая производственная программа, N — 13400 изд./год
Цена за единицу продукции, Ц — 78,912
Себестоимость единицы продукции, С — 57,189
Себестоимость годовой товарной продукции, Ст — 766333
Заработная плата годового товарного выпуска, Зт — 189570
Приведем рыночные показатели, которые имели место в базисном периоде (до создания нового дела), и прогноз показателей для анализируемого периода, когда начнет функционировать новое предприятие.
Ценовая эластичность спроса товара, Кэц — 0,8
Изменение дохода потребителей товара, Д — 1,1
Эластичность товара по доходу потребителей, Кэд — 0,9
Изменение товарной массы, поставляемой конкурентами на рынок, а — 0,95
Рыночная доля новой фирмы по отношению к объему товарной массы базисного периода, aф — 0,15.
На основе рыночной информации по формуле 5.14 рассчитаем изменение цены товара под влиянием складывающегося на рынке спроса и предложения данного товара.
Предварительно по формуле 5.13 определим влияние на цену товара неценовых факторов. По условию, действует только один неценовой фактор — изменение дохода потребителей, с учетом которого будем иметь:
Нф = Kэд (Д -1) = 0,9(1,1 -1) = 0,9 · 0,1 = 0,09.
Тогда изменение цены товара составит:
d = (1 + 0,8 + 0,09 -0,95 - 0,15) : 0,8 = 0,987.
Таким образом, цена товара под влиянием увеличившейся его поставки на рынок как результат дополнительного действия нового предприятия и роста предложения несколько понизится — чуть больше, чем на один процент.
В результате новая цена товара на рынке в анализируемом периоде составит
Ц = 0,987 · 78,912 = 77,925.
Тогда важнейшие показатели деятельности фирмы при рыночном ценообразовании составят:
Выручка: В = 13400 · 77,9256 = 1044203
Себестоимость годового товарного выпуска: 766333
Прибыль: П = 1044203 -766333 = 277870
Заработная плата на товарный выпуск:
Зт = 13400 · 8,3 + 78350 = 189570
Вновь созданная стоимость:
W = 277870 + 189570 = 467440.
Расчет показателей деятельности предприятия в условиях рыночного ценообразования является по сути единственным, ориентирующим на принятие планово-управленческого решения. Об этом решении ничего сказать заранее, с точки зрения его целесообразности, невозможно, ибо оно не оптимизирует деятельность фирмы. Чтобы добиться оптимального решения, необходимо провести некоторую процедуру расчетных операций, последовательность которых отвечает следующим условиям.
Во-первых, следует выделить количественные параметры, отражающие действие не изменяющихся в анализируемом периоде факторов. Эти параметры принимаются постоянными и потому не влияющими на величину оптимального планово-управленческого решения. К ним относятся коэффициенты эластичности спроса от цены товара и доходов потребителей, величина изменения доходов потребителей, изменение уровня качества продукции, перекрестная эластичность товара, изменение товарной массы, поступающей на рынок от всех действующих в базовом периоде конкурентов.
Во-вторых, необходимо обосновать критерий оптимизации планово-управленческого решения, который может быть выбран из следующего перечня:
• максимум прибыли;
• максимум рентабельности производства;
• максимум выручки от продажи товаров;
• максимум вновь созданной стоимости.
В-третьих, надо рассмотреть различные варианты производственной мощности предприятия и установить, как изменяются переменные и постоянные затраты на производство продукции при каждом из рассматриваемых вариантов мощности, т.е. установить функцию затрат от производственной мощности предприятия.
В-четвертых, следует установить, как изменяется совокупное предложение товаров на рынке в зависимости от принятой производственной мощности предприятия и величины производственной программы.
В-пятых, необходимо определить на основе всей принятой и установленной информации оптимальный уровень цены товара по избранному критерию и оптимальный объем их производства.
Значения этих оптимальных параметров при работе будущей фирмы по критерию максимума прибыли могут быть определены по следующим формулам:
(6.16)
(6.17)
В этих формулах все используемые параметры имеют тот экономический смысл, что был во всех ранее рассмотренные приведенных выше формулах.
По найденным значениям оптимальной цены товара и оптимального объема его производства можно с использованием дели типа 4.5 или 4.6 рассчитать оптимальную прибыль пре приятия, а затем — все остальные показатели его деятельно (рентабельность производства, выручку, заработную плату и по известным и приведенным выше формулам.
При этом следует помнить, что оптимизация планов управленческого решения произведена в рамках заранее установленной производственной мощности предприятия.
В-шестых, по разным вариантам производственной мощности предприятия определяется глобальный оптимум. Он обеспечивает максимум прибыли из всех максимальных ее значений полученных по разным вариантам производственной мощности предприятия (рис. 6.2).
Из рисунка видно, что для каждого варианта производственной мощности есть такая производственная программа, которая при прочих фиксированных параметрах окажется оптимальной и ей будет соответствовать оптимальная цена товара (они определяются по формулам 6.16 и 6.17). Это обеспечит фирме при данной производственной мощности максимальную прибыль (точки на вершинах каждой параболы).
Рис. 6.2. Оптимизация
работы
производственной мощности предприятия
Для каждого варианта производственной мощности будет свой оптимум в планово-управленческих решениях. Задача заключается в том, чтобы найти максимум из всех максимумов, т.е. такую оптимальную производственную мощность предприятия, внутри которой будет оптимальная производственная программа. Отклонение от нее в большую или в меньшую стороны (вправо или влево на графике) приведет к снижению прибыли.
Следовательно, при решении вопроса об открытии нового предпринимательского дела особое значение приобретает определение производственной мощности будущего предприятия. От этого будут впоследствии зависеть объем производства продукции, издержки производства, цена товара на рынке, прибыль и рентабельность работы фирмы и в конечном счете ее конкурентоспособность, надежность функционирования и величина риска в бизнесе.
6.3. Распределение постоянных затрат между
товарными позициями продукции
При организации любого нового предпринимательского дела предполагается изготовление одного или нескольких продуктов, оказание одной или нескольких услуг. Очень часто в предпринимательском проекте основу составляют две, три или более товарных позиции, совокупность которых составляет суть будущего бизнеса, его экономическую надежность и безопасность.
Наряду с несомненными достоинствами многономенклатурного и многоассортиментного бизнеса возникает ряд организационно-экономических проблем, без разрешения которых невозможно обеспечить планирование деятельности фирмы и принятие рационального планово-управленческого решения. Речь в данном случае идет, прежде всего, о распределении постоянных затрат между товарными позициями, об определении на основе такого распределения себестоимости каждой единицы продукции и установлении цены товара. Разумеется, бизнес может содержать только одну товарную позицию, тогда указанной проблемы не возникает.
Итак, вернемся к многоассортиментному бизнесу. Как известно, затраты на производство складываются из двух составляющих — переменных и постоянных затрат. Последняя величина относится к данному бизнесу в целом и ее нельзя в равной степени однозначно расчленить на такие части, которые бы строго соответствовали каждой конкретной товарной позиции. Поэтому приходится искать искусственные приемы научно и практически обоснованного распределения постоянных затрат между выпускаемыми фирмой видами продукции. От того, какая часть постоянных затрат окажется отнесенной на конкретную товарную позицию, будет зависеть себестоимость единицы ее продукции. Очевидно также, что последняя величина будет зависеть еще и от того, на какой объем производимой продукции будет отнесена распределенная часть постоянных затрат. Поэтому данный вопрос является отправным в решении задачи об определении себестоимости продукции.
При обосновании производственной программы, относительно которой будет определяться величина постоянных затрат приходящихся на единицу продукции конкретной товарной позиции, трудности заключаются в том, что эта программа заранее не известна. Зато известно, что сама величина производственной программы обязательно будет находиться внутри производственной мощности предприятия. Это единственный параметр, который в данном временном интервале при создании нового дела остается не только известным, но и постоянным.
Следовательно, именно этой постоянной величиной и нужно воспользоваться при расчете постоянных затрат по каждой товарной позиции. Другими словами, производственная мощность предприятия по каждому виду продукции и будет тем самым основанием для определения части распределяемых постоянных затрат между товарными позициями осваиваемого нового предпринимательского дела.
Теперь попытаемся определить метод распределения постоянных затрат между товарными позициями продукции. Здесь могут быть предложены два принципиально разных метода распределения постоянных затрат: по доходу и по затратам.
Распределение по доходу возможно при очень ограниченных условиях только тогда, когда заранее известна цена будущего товара по каждой позиции. Следовательно, этот метод можно применять в условиях стабильного рынка, когда с большой долей уверенности можно прогнозировать будущую цену товара после реализации фирмой инвестиционной части проекта. Именно когда цена товара заранее известна и величина прямых переменных затрат на единицу продукции определена, можно рассчитать маржинальный доход по каждой товарной позиции как на единицу продукции, так и на весь товарный выпуск в рамках производственной мощности предприятия.
Расчет доли постоянных затрат на конкретную товарную позицию можно выполнить по формуле:
(6.18)
где Спосi — величина постоянных затрат по i-ой товарной позиции, относимая на себестоимость этой продукции;
Спос — общая годовая величина постоянных затрат на весь бизнес в целом (т.е., на весь товарный выпуск продукции);
Nmi — производственная мощность предприятия по i –му виду продукции;
Ц — цена единицы продукции;
Cпep — переменные затраты на единицу продукции;
(Ц - Спер) i — маржинальный доход на единицу i -ой продукции;
N — количество различных видов продукции, намечаемых к производству в новом предпринимательском деле;
Nmi · (Ц - Спер) i — годовой маржинальный доход фирмы по i - му виду продукции;
—
годовой маржинальный доход фирмы при реализации на рынке всех видов
товаров.
Рассмотрим конкретный пример распределения постоянных затрат в новом предпринимательском деле при следующих исходных данных:
• предприятие планирует к выпуску три вида продукции;
• годовые постоянные затраты на весь бизнес — 1 650 000. Остальные исходные данные представлены в следующей таблице.
|
Показатели |
Производственная мощность |
Цена товара |
Переменные затрат |
|
Позиция 1 |
2357 |
97,0 |
38,8 |
|
Позиция 2 |
17560 |
94,2 |
31,4 |
|
Позиция 3 |
56840 |
37,9 |
15,8 |
На основе исходных данных определим годовой маржинальный доход фирмы от реализации всех видов товаров в объеме, соответствующем производственной мощности предприятия (см. знаменатель формулы 6.18).
= 2357(97,0 - 38,8) + 17560(94,2 - 31,4) + 56840 ·
· (37,9 - 15,8) = 137177 + 1102768 + 1256164 = 2496109
Таким образом, суммарный маржинальный доход фирмы по всем товарным позициям составляет около 2,5 млн.
Теперь по формуле 6.18 можно рассчитать, сколько от общей суммы постоянных затрат приходится на каждую товарную позицию:
на первую позицию продукции:
Спос = 1650000 · 2357(97,0 - 38,8) : 2496109 = 90678;
на вторую позицию продукции:
Спос = 1650000 · 17560(94,2 - 31,4) : 2496109 = 728962;
на третью позицию продукции:
Спос = 1650000 · 56840(37,9 - 15,8) : 2496109 = 830360.
Сумма всех распределенных между товарными позициями постоянных затрат точно соответствует исходным данным:
90678 + 728962 + 830360 = 1650000.
Получив информацию о постоянных затратах по видам продукции, можно рассчитать себестоимость каждой ее единицы при условии выпуска товаров в объеме, соответствующем производственной мощности предприятия. Такой расчет легко выполнить по формуле 6.3, в результате себестоимость единицы продукции составит:
первого вида:
С = 38,8 + (90678 : 2357) = 38,8 + 38,472 = 77,272;
второго вида:
С = 31,4 + (728962 : 17560) = 31,4 + 41,513 = 72,913;
третьего вида:
С = 15,8 + (830360 : 56840) = 15,8 + 14,609 = 30,409.
Поскольку фактическая производственная программа по каждой товарной позиции будет меньше, чем производственная мощность предприятия, фактическая себестоимость окажется больше рассчитанной, ибо распределенная часть постоянных затрат по товарным позициям остается постоянной независимо от того, сколько продукции на самом деле фирма произведет.
Теперь рассмотрим наиболее распространенный метод распределения постоянных затрат — по затратам на производство продукции. За основу распределения принимаются какие-то переменные затраты, какие именно — зависит от выбора конкретной фирмы. Ведь бизнес чрезвычайно разнообразен, и для каждого вида по доле в общих затратах будут характерны либо оплата труда, либо расходы на приобретение материальных ресурсов, либо топливно-энергетические затраты. Возможен и такой бизнес, в котором все элементы общих затрат примерно одинаковы. Поэтому распределение постоянных затрат может происходить на разнообразной основе.
Укажем наиболее распространенные способы распределения постоянных затрат по товарным позициям выпускаемой продукции. К ним можно отнести способы распределения по:
• прямым переменным затратам на заработную плату;
• прямым переменным затратам на топливо;
• прямым переменным затратам на энергию;
• полным прямым переменным затратам.
Величину постоянных затрат, относимых на себестоимость товарной продукции по конкретной позиции, следует рассчитывать по формуле
(6.19)
где Спосi, Спос, Nmi ,n — показатели, имеющие тот же экономический смысл, что и для формулы 6.18;
Fi — суммарные прямые переменные затраты на единицу i-ой продукции, которые приняты за основу распределения постоянных затрат (заработная плата, материально-сырьевые ресурсы, топливо, энергия, полные переменные затраты);
Nmi · Fi — суммарные прямые переменные затраты, принятые за основу распределения, на весь товарный выпуск i -ой продукции;
— суммарные
прямые переменные затраты на весь товарный выпуск продукции по всем позициям,
принятые за основу распределения постоянных затрат.
Используя исходные данные рассмотренного выше примера, определим величину распределяемых постоянных затрат между товарными позициями продукции. Дополнительно примем данные о переменных затратах по товарным позициям, которые приводятся в следующей таблице.
|
Позиция |
Мощность |
Заработная плата |
Материалы |
Топливо |
Энергия |
Итого |
|
1 |
2357 |
19,3 |
12,7 |
4,2 |
2,6 |
38,8 |
|
2 |
17560 |
6,94 |
15,73 |
3,45 |
5,28 |
31,4 |
|
3 |
56840 |
5,2 |
2,7 |
4,6 |
3,3 |
15,8 |
Выполним расчет распределения постоянных затрат между тремя товарными позициями по прямой переменной заработной плате.
Вначале определим суммарную прямую переменную заработную плату на весь товарный выпуск продукции.
= 2357 x 19,3 + 17560 x 6,94 + 56840 x 5,2 = 45490 + 121866 +
+ 295568 = 462924.
Постоянные затраты:
на первую товарную позицию:
Спос = 1650000 x 2357 x 19,3 : 462924 = 162140;
на вторую товарную позицию:
Спос = 1650000 x 17560 x 6,94 : 462924 = 434368;
на третью товарную позицию:
Спос = 1650000 x 56840 x 5,2 : 462924 = 1053492.
Сумма всех распределенных между товарными позициями постоянных затрат точно соответствует исходным данным.
162140 + 434368 + 1053492 = 1650000.
По аналогии можно произвести необходимые расчеты по другим прямым переменным затратам, принятым за основу распределения постоянных затрат между товарными позициями продукции. Такие расчеты представлены в следующей таблице.
На основе полученной расчетным путем информации о величине постоянных затрат по товарным позициям можно определить себестоимость единицы продукции при их изготовлении в объеме, соответствующем производственной мощности предприятия.
|
Распределение постоянных затрат по: |
Постоянные затраты по товарным позициям |
Итого |
||
|
Первой |
второй |
третьей |
||
|
заработной плате |
162 140 |
434 368 |
1 053 492 |
1650 000 |
|
Материалам |
107 460 |
991 602 |
550 938 |
1 650 000 |
|
топливу |
49207 |
301 135 |
1 299 658 |
1 650000 |
|
энергии |
35305 |
534 125 |
1 080 570 |
1650 000 |
|
полным затратам |
97926 |
590 420 |
961654 |
1 650 000 |
Расчет выполняется по формуле 6.3.
Себестоимость единицы продукции при распределении постоянных затрат по прямой переменной заработной плате составит:
первого вида:
С = 38,8 + (162140 : 2357) = 38,8 + 68,79 = 107,59;
второго вида:
С = 31,4 + (434368 : 17560) = 31,4 + 24,736 = 56,136;
третьего вида:
С = 15,8 + (1053492 : 56840) = 15,8 + 18,534 = 34,334.
По аналогии рассчитывается себестоимость единицы продукции по каждой товарной позиции на основе распределения постоянных затрат по другим переменным затратам. Выполненные расчеты сведены в следующую таблицу.
|
Распределение постоянных затрат по: |
Себестоимость единицы продукции по товарным позициям: |
||
|
Первой |
второй |
Третьей |
|
|
заработной плате |
107,59 |
56,136 |
34,334 |
|
Материалам |
84,392 |
87,869 |
25,493 |
|
Топливу |
59,677 |
48,549 |
38,665 |
|
Энергии |
53,779 |
61,817 |
34,811 |
|
полным затратам |
80,347 |
65,023 |
32,719 |
Полученные результаты весьма красноречивы и свидетельствуют о том, сколь ответственно решение о распределении постоянных затрат между товарными позициями, Ведь разница в расчетных значениях себестоимости по позициям в зависимости от принятой основы распределения постоянных затрат весьма значительна. Так, по первой товарной позиции различие в себестоимости между наибольшей и наименьшей величинами составляет 2,0 раза (107,59 : 53,779), по второй товарной позиции — 1,81 раза (87,869 : 48,549), по третьей позиции — 1,517 раза (38,665 : 25,493).
Такое большое различие в себестоимости одной и той же продукции в зависимости от характера распределения постоянных затрат, естественно, вызовет при затратном ценообразовании значительный разброс в окончательном обосновании уровня цен по каждой товарной позиции. Отсюда возможность манипулирования ценами по отдельным товарам, искусственное занижение постоянных затрат по одним позициям и завышение их — по другим. Многие, особенно опытные, бухгалтеры этим пользуются, изменяя себестоимость и цены по товарным группам продукции в интересах фирмы.
Если имеет место рыночное ценообразование, то возможности манипулирования затратами и определения на этой основе себестоимости продукции в интересах фирмы возрастают многократно, ибо в огромной степени рыночные цены и предложение товаров на рынке зависят от величины эластичности спроса по цене и доходам потребителей.
Следовательно, можно так распределить постоянные затраты между товарными позициями, чтобы выровнять рентабельность между ними, скрыть от посторонних глаз (особенно от налоговых органов) истинные издержки по каждой товарной группе и в конечном счете построить систему формирования себестоимости продукции с большей пользой для фирмы. Поэтому можно считать, что искусство распределения постоянных затрат между отдельными видами продукции есть достаточно надежный и скрытный способ повышения эффективности производства фирмы, который позволяет улучшить конечный результат ее функционирования.
6.4. Учет инфляции при формировании
нового предпринимательского дела
При выработке тактических и особенно стратегических планово-управленческих решений приходится соизмерять затраты и результаты производства на протяжении длительного времени. Такая расчетная операция выполняется обычно либо на проектной стадии при организации нового предпринимательского дела, либо для действующих предприятий, с тем чтобы найти наиболее эффективный вариант технического или хозяйственного решения.
В условиях, когда функционирование экономики проходит в нормальном режиме с оптимальной инфляцией порядка 5—6% в год (0,5% в месяц), соизмерение затрат и результатов производства особых затруднений не вызывает. Обычно в подобном случае инфляцией просто пренебрегают. Это дает при расчетах весьма надежный результат, обеспечивающий принятие достаточно точного планово-управленческого решения.
Однако задача неимоверно усложняется, если инфляция в экономике достигает значительных размеров. Тогда если не применить особых расчетных приемов, уточняющих методики соизмерения затрат и результатов производства, то можно ожидать существенных ошибок.
Оценка влияния инфляции на прибыль предприятия. Чтобы правильно учесть влияние инфляции при оценке эффективности рассматриваемых в динамике вариантов решений, надо достаточно точно уметь прогнозировать темпы инфляции на анализируемый период. Обычно такой прогноз основывается на решениях правительства, которое, как правило, предпринимает все необходимые и решительные меры по обузданию инфляции и ее регулированию. Кроме того, имеется богатый международный опыт, накоплена значительная статистическая информация о темпах инфляции во многих развитых странах. Одним словом, трудностей здесь не предвидится. Стало быть, будем исходить из того, что темпы инфляции по отдельным, следующим, друг за другом временным периодам нам известны. Приняв это положение за основу, рассмотрим, как оно влияет на точность расчетов эффективности нового предпринимательского дела.
При выполнении традиционных расчетов по соизмерению затрат и результатов производства инфляция национальной валюты может сильно исказить истинное положение при анализе эффективности предпринимательских проектов, в организации нового дела, при анализе принимаемых планово-управленческих решений. Может случиться ситуация, когда неэффективный проект под влиянием искажений, вносимых инфляционными процессами, будет ошибочно признан вполне приемлемым и экономичным. Не приходится доказывать, какие огромные потери будут сопутствовать принятию и реализации такого недостоверного решения, как отрицательно все это скажется на судьбе предпринимательского дела.
Возникает вопрос: как избежать возможных ошибок при расчетах эффективности вариантов планово-управленческих решений, которые особенно сильно могут проявиться в динамике?
Здесь можно предложить два ответа. Первый заключается в том, что все расчеты затрат и результатов производства необходимо вести в наиболее стабильной свободно конвертируемой валюте, например в долларах США. Казалось бы, это и есть выход из имеющегося затруднительного положения при оценке эффективности рассматриваемых проектов. Однако такой вывод будет ошибочным, и вот почему. Хорошо известно, что в мире не существует какой-либо валюты, которая была бы свободна от инфляции. Не свободны от нее и доллары США. Так, по данным американской статистики, ежегодный уровень инфляции доллара за период 1965—1988 гг. колебался от 1,6 (1965 г.) до 13,5% (1980 г.). В среднем за указанный период уровень инфляции составил 5,8% в год, хотя по отдельным периодам внутри рассматриваемого отрезка времени инфляция была значительно выше. Так, если взять период 1974—1981 гг., то среднегодовой уровень инфляции был 9,4%[1] . Приведенные данные свидетельствуют о том, что даже американские доллары не являются надежным инструментом для соизмерения затрат и результатов производства в динамике. Использование этой валюты в расчетах также может приводить к определенным ошибкам, тем более не следует забывать, что курс доллара по отношению к нашей национальной валюте несколько искажен под влиянием его регулирования Банком России. Действительно, с января 1992 г. по январь 1998 г. доллар в рублевом эквиваленте вырос примерно в 300 раз, а инфляция рубля за этот период составила около 10000 раз (без учета деноминации). В подобной ситуации ни о какой точности расчетов эффективности бизнеса на перспективу не может идти и речи.
Однако есть другой путь решения проблемы соизмерения затрат и результатов производства в инфляционном режиме функционирования экономики. Он заключается в том, чтобы все расчеты и затрат, и результатов производства на протяжении прогнозируемого периода осуществлялись в постоянных ценах национальной валюты. При этом следует иметь в виду, что игнорировать инфляцию при таких расчетах тоже недопустимо. Ее обязательно надо учесть с помощью особого методического приема, который позволит в отдельные периоды скорректировать расчеты затрат и результатов путем применения инфляционного коэффициента. Последний будет учитывать разные темпы инфляции на используемые при производстве ресурсы и на производимую продукцию, а также соизмерять обе указанные величины со среднестатистической величиной темпа инфляции национальной валюты.
Рассмотрим, как выполнить эту рекомендацию применительно к расчету показателя балансовой прибыли. Величину этого показателя следует исчислять по формуле
П = J · (В - З) , (6.20)
где П — балансовая прибыль предприятия, которую оно получит в первом временном интервале после создания и освоения проектной производственной мощности;
В — выручка предприятия в том же временном интервале;
З — суммарные затраты на производство продукции в том же временном интервале;
J — инфляционный коэффициент в том же временном интервале.
Значения выручки В и затрат З определяются в соответствии с производственной программой выпуска продукции, ценами на нее и используемыми ресурсами, взятыми на начало реализации проекта, то есть цены принимаются постоянными, включая и период производства.
Особая роль в таком расчете отводится инфляционному коэффициенту J. Он-то и должен учесть инфляцию и привести в сопоставимый вид затраты и результаты производства в динамике. Его величину следует определять по формуле
(6.21)
где Фц — коэффициент инфляции, учитывающий рост цен на выпускаемую продукцию в первом временном интервале после освоения производственной мощности предприятия по сравнению с моментом начала реализации проекта нового дела (за временной интервал может быть принята любая удобная для расчета единица времени, например месяц);
(6.22)
где Ц1, Ц2, Ц3 … Цп — прирост цены на продукцию в соответствующем временном интервале (в долях от единицы);
Фр — коэффициент инфляции, учитывающий рост цен на используемые в производстве разнообразные ресурсы (сырье, материалы, топливо, энергию, рабочую силу и т.п.) за тот же временной интервал;
(6.23)
где Р1 Р2, Р3 ... Рn — средневзвешенный прирост цен на используемые ресурсы в соответствующем временном интервале (в долях единицы);
Фв — коэффициент инфляции национальной валюты за тот же временной интервал;
(6.24)
где И1, И2, И3 ... Иn — темпы инфляции национальной валюты в соответствующем временном интервале (в долях единицы). Формулу 6.21 преобразуем следующим образом:
(6.25)
где x — соотношение коэффициентов ценовой и валютной инфляции:
x = Фц :Фв, (6.26)
у — соотношение коэффициентов инфляции на ресурсы и национальную валюту:
у = Фр : Фв , (6.27)
Р — коэффициент рентабельности производства в том же временном интервале:
Р = В : З. (6.28)
Как вытекает из формулы 6.25, если темпы инфляции на ресурсы, продукцию и на национальную валюту за рассматриваемый временной интервал совпадают, т.е. если коэффициенты x = у = 1, то все расчеты эффективности можно вести в постоянных ценах национальной валюты. Никаких погрешностей в расчетах, независимо от темпов инфляции, вообще ожидать не приходится. Если указанное ограничение не будет выдержано (т.е. x≠ у ≠ 1), то учитывать инфляцию при соизмерении затрат и результатов производства весьма желательно (при незначительных ее темпах), а то и просто необходимо (при высоких темпах инфляции).
Рассмотрим конкретный пример влияния инфляции на величину прогнозируемой прибыли. Для этого примем следующие исходные данные.
Проектом предусмотрено ввести предприятие на полную мощность в течение шести месяцев. За этот период прогноз инфляции составляет:
|
Показатель |
Порядковый месяц: |
|||||
|
1 |
2 |
3 |
4 |
5 |
6 |
|
|
Ожидаемый темп инфляции национальной валюты, % |
4,0 |
3,2 |
2,6 |
2,2 |
1,8 |
1,5 |
|
Ожидаемый рост цен на продукцию, % |
4,5 |
3,8 |
2,9 |
2,1 |
1,9 |
1,6 |
|
Ожидаемый рост цен на используемые ресурсы, % |
3,6 |
3,0 |
2,8 |
2,4 |
1,6 |
1,3 |
По формуле 6.22 определим величину инфляции национальной валюты за шесть предстоящих месяцев:
Фв = 1,04 x 1,032 x 1,026 x 1,022 x 1,018 x 1,015 = 1,163.
По формуле 6.23 рассчитаем предполагаемый рост цен на будущую продукцию:
Фц = 1,045 x 1,038 x 1,029 x 1,021 x 1,019 x 1,016 = 1,18.
По формуле 6.24 определим предполагаемый совокупный рост цен на используемые ресурсы:
Фр = 1,036 x 1,03 x 1,028 x 1,024 x 1,016 x 1,013 = 1,156.
По формуле 6.26 определим коэффициент х:
x = 1,18 : 1,163 = 1,0146.
По формуле 6.27 определим коэффициент у:
у = 1,156 : 1,163 = 0,98.
По формуле 6.25 определим величину инфляционного коэффициента:
J = (1,0146 x 1,25 -0,98) : 1,18 = 1,1535.
Полученный результат говорит о том, что прибыль предприятия возрастет по сравнению с началом реализации проекта на 15,35% исключительно под влиянием инфляции. Это произойдет благодаря удачному стечению обстоятельств и благоприятному сочетанию изменения цен на ресурсы, готовую продукцию и темпов инфляции национальной валюты.
Анализ формирования прибыльного бизнеса в условиях инфляции. Как можно судить на основании формулы 6.20, прибыль будет прямо пропорциональна инфляционному коэффициенту J и уровню рентабельности производства Р - 1. Первый из этих показателей — своеобразный инфляционный мультипликатор, и чем он больше, тем лучше для данного предприятия и организуемого дела. Можно так организовывать свой бизнес, чтобы превратить инфляцию из врага в своего союзника. Надо стремиться к тому, чтобы этот показатель был значительно больше единицы.
При постоянном коэффициенте рентабельности производства (т.е. при Р = const) коэффициент инфляции, как вытекает из формулы 6.25, зависит от коэффициентов у и х. Чем меньше первый из них и чем больше второй (x > у), тем значительнее будет инфляционный коэффициент. Этот вывод необходимо использовать на практике. Только тогда можно быть абсолютно уверенным в том, что создаваемый новый бизнес окажется не только достаточно эффективным, но и надежным. Он не будет бояться инфляции, а, наоборот, станет использовать ее скрытые возможности для своего обогащения.
Рассмотрим, как использовать полученные знания для организации высокодоходного бизнеса.
Прежде всего обратим внимание на коэффициент у. Как следует из формулы 6.27, этот коэффициент учитывает соотношение ресурсного коэффициента инфляции и коэффициента инфляции национальной валюты. Для будущего бизнеса надо стремиться подобрать такой объект производства, на изготовление которого будут использоваться недефицитные ресурсы, т.е. ресурсы, цены на которые хоть и будут расти в результате инфляции, но все же этот рост будет отставать от темпов роста инфляции национальной валюты. Например, за определенный период соотношение темпов роста цен на используемые ресурсы и темпов инфляции национальной валюты будет 80 : 100, или 70 : 85, или 40 : 45 и т.д. Тогда коэффициент у будет меньше единицы, и это есть первый весомый, хотя и недостаточный, фактор в организации безубыточного бизнеса.
Второй фактор — значение коэффициента х. Надо стремиться к тому, чтобы этот коэффициент был как можно больше и желательно гораздо выше единицы. По экономическому смыслу данный коэффициент характеризует соотношение роста цен на производимую продукцию в сфере анализируемого бизнеса и темпов инфляции национальной валюты.
При формировании будущего бизнеса следует подбирать такой объект производства, в результате изготовления которого появится возможность продавать свой товар по очень высоким ценам. И такая рекомендация в первую очередь относится к остродефицитным товарам, спрос на которые на рынке будет высоким и стабильным. Тогда окажется, что, судя по формуле 6.26, значение коэффициента х будет больше единицы. Примером такого соотношения между коэффициентами ценовой и валютной инфляции могут служить за определенный период такие цифры: 45 : 35, или 68 : 57, или 94 : 75 и т.д., причем, при соблюдении указанных соотношений значение коэффициента x будет больше единицы.
Когда одновременно действуют два указанных фактора в наиболее целесообразном соотношении (т.е., при у < 1 и x > 1), то можно создать исключительно высокодоходный бизнес. В подтверждение сказанного можно привести пример широкого распространения за короткий период на территории России высокодоходного производства жалюзи. Этот бизнес есть образец использования такой рыночной ниши, в которой затраты на ресурсы невелики, сами ресурсы вполне доступны и не являются дефицитными, а товар оказался чрезвычайно полезным. Спрос на него быстро сформировался на высоком уровне, что и позволило устанавливать относительно высокие цены, приносящие его производителям стабильный и значительный доход.
Ярким примером высокодоходного бизнеса в России в условиях инфляции является книжный бизнес. Он характерен тем, что с момента либерализации цен (1 января 1992 г.) к 1 января 1998 г. цены на книжную продукцию возросли в 40—50 тыс. раз, а инфляция национальной валюты составила 10 тыс. раз. При этом рост цен на ресурсы, используемые в процессе книгоиздательства, существенно отставали от цен на готовую продукцию. Следствием этого стало чрезвычайно быстрое устранение острого дефицита книг как по объему, так и по ассортименту. Рынок оказался насыщенным за короткий срок огромным количеством разнообразной литературы.
Приведем простейший расчеты величины инфляционного коэффициента по формуле 6.25, чтобы убедиться, сколь значительным он может оказаться при использовании двух указанных факторов в наиболее целесообразном направлении.
Примем для расчета значение x = 1,2 и значение у = 0,9. Тогда при коэффициенте рентабельности Р = 1,25 будем иметь:
![]()
Нетрудно понять, за счет чего формируется столь высокий уровень инфляционного коэффициента. Это происходит за счет ножниц изменения цен на используемые ресурсы при производстве товара и его продаже в условиях инфляции. Рост цен на ресурсы отстает, а рост цен на готовый товар опережает уровень инфляции национальной валюты. В данном случае и производитель, и продавец товара оказываются в исключительно благоприятном положении на рынке, которое приносит им баснословные дивиденды.
Чтобы лучше отследить возникающие пропорции между величиной инфляционного коэффициента и действующего на него фактора (при Р = const), построен график (рис. 6.3), на котором выделены особые зоны.

Рис.6.3. Зоны изменения эффективности производства
под влиянием инфляционных процессов
Первая зона характеризует значение инфляционного коэффициента на уровне больше единицы. Она расположена правее вертикальной линии для J = 1. Каждому предпринимателю всеми силами следует стремиться попасть именно в первую зону, поскольку это зона высокоэффективного бизнеса.
На рис. 6.3 представлен ключевой пример, где у =1,2 и x = 1,4. Он дает результат инфляционного коэффициента J = 2,2, т.е. приводит в первую высокоэффективную зону. Если предприниматель столкнется именно с таким случаем, то его можно будет поздравить с исключительно высокодоходным бизнесом.
Вторая зона расположена между значениями J = 1 и J = 0. Она характерна тем, что инфляция съедает тот уровень доходности бизнеса, который был ранее достигнут. Но некоторый доход в данной зоне будет все же существовать. Поэтому такую зону можно назвать зоной опасности, зоной предостережения функционирующего бизнеса. И надо по возможности избегать попадания в нее, хотя формально она и не является катастрофической.
Многие предприятия в переходный период рыночных реформ и бурной инфляции оказались именно во второй зоне. Наиболее характерным примером здесь является агробизнес. Многие сельхозпродукты перешли в этот период в разряд низкорентабельных, приносящих очень малый доход, хотя ранее были достаточно прибыльными. Поэтому производство продуктов питания на конец 1997 г. в России едва теплилось и не покрывало продовольственных потребностей страны.
Наконец, третья зона — убыточная, разорительная для бизнеса, попадание в которую быстро ведет предприятие к краху. Расположена эта зона левее значения J = 0. Инфляционные коэффициенты здесь имеют отрицательные значения, а бизнес, оказавшись в этой зоне, становится убыточным.
Многие предприятия, попав в эту зону, не смогли приспособиться к возникшей инфляционной ситуации и оказались фактическими банкротами. Им надо было срочно начать перестраиваться с введением с 1 января 1992 г. либерализации цен, искать свою благоприятную нишу на рынке, изменить выбор производимого товара. Кроме того, они должны были пересмотреть свои действия в области организации и управления производством, маркетинговой стратегии и тактики.
В качестве еще одного фактора, действующего в условиях инфляции и способного оказать серьезное влияние на эффективность будущего бизнеса, можно назвать уровень рентабельности производства избранного товара в начальный момент создания бизнеса. Этот фактор обязательно должен учитываться при поиске, обосновании и выборе рыночной ниши. Чем больше значение данного показателя, тем большей изначальной надежностью будет обладать избранный бизнес, тем выше у него запас прочности и в случае удачи — тем эффективнее окажется такой бизнес.
Итак, в условиях инфляции можно и нужно так подбирать область своей предпринимательской деятельности, чтобы избранная рыночная ниша отвечала некоторым требованиям. К таким требованиям относятся: высокая изначальная рентабельность избранного бизнеса; отставание ресурсной инфляции от инфляции национальной валюты; опережение роста цен на производимый товар по сравнению с инфляцией национальной валюты и значительное отставание роста цен на используемые ресурсы по сравнению с ростом цен на производимый товар.
Обеспечение малорискового бизнеса. Создание нового предпринимательского дела предполагает, как правило, долгое и многолетнее его последующее функционирование. Ни один футуролог не в состоянии предвидеть с достаточной точностью, что будет с конкретным бизнесом через два, три и более лет, насколько он окажется прибыльным, каков риск сокращения доходов или еще хуже — убыточности производства. Поэтому весьма актуальная задача при создании нового дела — так его организовать, чтобы максимально снизить риск предпринимательства и будущего производства.
Оценка неопределенности будущей рыночной ситуации и индикатор риска производства. Сколь бы ни была стабильной экономика вообще и конкретная рыночная ниша в частности, никто не может дать гарантий надежности ситуации. Нельзя с точностью предугадать, не окажется ли в будущем вновь организуемый бизнес убыточным, не постигнет ли его банкротство.
В большинстве случаев будущее любого производства непредсказуемо. Совершенно очевидно, что для снижения риска необходимо создавать бизнес, который бы обладал определенной надежностью и в некотором смысле — запасами прочности. Поэтому очень важно при формировании нового дела по возможности обезопасить его, предусмотрев определенные резервы производства.
Предположим, что создается новое предпринимательское дело. Производственная мощность будущего предприятия составляет Nm. Это значит, что произвести продукцию предприятие сможет в объеме, не превышающем имеющуюся производственную мощность.
У любого предприятия затраты подразделяются на переменные (пропорциональные) и условно-постоянные. Первые зависят от объема производства продукции, вторые — от времени работы предприятия.
Пусть Спер — часть себестоимости, представляющая собой переменные затраты на единицу продукции; Спос — другая составляющая себестоимости, отражающая постоянные затраты предприятия за рассматриваемый период; N — объем производства продукции в натуральном выражении за тот же период.
Представим зависимость суммарных переменных и постоянных затрат предприятия от объема производства продукции в виде графика (рис. 6.4).
По оси абсцисс откладывается производственная программа предприятия и ее предельная величина — производственная мощность Nm. По оси ординат — затраты (переменные и постоянные) и результаты производства в виде выручки предприятия от реализации изготовленной продукции.
Выразим уравнение затрат (себестоимости продукции) для объема производства продукции, которое будет иметь следующий вид:
С = N · Спер + Спос , (6.34)
где С — себестоимость годового товарного выпуска продукции в объеме N.
![]()

Рис. 6.4. Производственная программа самоокупаемости
Аналогичное уравнение запишем для выручки предприятия, которое на графике представляет прямую, исходящую из начала координат. Такое уравнение будет иметь вид
В = N · Ц , (6.35)
где В — годовая выручка предприятия от реализации изготовленной продукции;
Ц — цена реализации единицы продукции.
Естественно, когда объем производства продукции незначителен (т.е. близок к началу координат), затраты производства превышают его результаты в форме выручки и предприятие несет убытки. И наоборот, при производственной программе, близкой к производственной мощности предприятия, у последнего выручка окажется больше понесенных затрат. В этом случае производство будет обеспечивать предприятию некоторую прибыль.
Таким образом, в зависимости от объема производимой продукции предприятие может оказаться в одной из двух зон: левая — убыточная зона (при малой производственной программе) и правая — зона прибыльного, рентабельного производства (при значительном объеме производства продукции).
Следовательно, должна быть такая производственная программа, при которой прибыль будет равняться нулю, а выручка от продажи произведенных товаров — точно соответствовать понесенным затратам на их изготовление. Такую программу можно назвать программой самоокупаемости, или критической, и обозначить ее через Nc.
Итак, при производственной программе самоокупаемости выручка предприятия будет равна затратам на производство, т.е. себестоимость продукции и выручка предприятия будут точно соответствовать друг другу. Поэтому уравнения 6.34 и 6.35 можно приравнять между собой. Тогда будем иметь
N · Спер + Спос = N · Ц .
Такое равенство, как было установлено, может быть только при производственной программе самоокупаемости. Поэтому в записанном равенстве величину N заменим на Nc и решим полученное уравнение относительно неизвестной и искомой программы самоокупаемости:
(6.36)
Программа самоокупаемости будет тем меньше, чем меньше окажутся постоянные затраты Спос, меньше переменные затраты Спер и больше цена единицы товара Ц.
Очевидно, что лучшим вариантом является тот, при котором производственная программа самоокупаемости принимает как можно меньшее значение. Чем ближе она к началу координат тем выше у предприятия вероятность работать безубыточно, ибо при наличии неблагоприятной рыночной конъюнктуры, когда неизбежно сокращается спрос на продукцию и предприятие вынуждено снижать объем производства, незначительная программа самоокупаемости позволит ему оставаться рентабельным и получать, хоть и заметно пониженную, но все же некоторую прибыль. Этим существенно сглаживаются возможные неблагоприятные последствия неопределенности рыночной ситуации, которая как бы будет находиться под постоянным косвенным контролем данного предприятия. В случае падения спроса на продукцию оно может легко и безболезненно пережить трудные времена. У него будет некоторый запас прочности его стабильного положения, повысится надежность бизнеса и опосредованно понизится неопределенность будущей рыночной ситуации.
В подтверждение этого вывода рассмотрим пример с двумя предприятиями, у которых одинаковая производственная мощность, изготавливается одинаковый товар, реализуемый по одинаковой цене, но разные издержки производства. Остальные исходные данные следующие.
|
Показатели |
Первое предприятие |
Второе предприятие |
|
Производственная мощность |
1000 |
1000 |
|
Цена товара |
100 |
100 |
|
Постоянные затраты |
35000 |
29250 |
|
Переменные затраты |
30 |
25 |
Рассчитаем производственную программу самоокупаемости по рассматриваемым предприятиям.
Первое предприятие Nc = 35000 : (100 - 30) = 500
Второе предприятие Nc = 29250 : (100 - 25) = 390.
Итак, судя по полученным результатам, положение второго предприятия на рынке более благоприятное, надежное и стабильное. У него значительно меньше вероятность, а следовательно и риск, оказаться банкротом в будущем. Первому предприятию, чтобы иметь хоть какую-то прибыль, надо производить не менее 500 ед. продукции, и если конъюнктура рынка позволяет продать столько товара, то все обстоит более или менее благополучно. Но если в силу каких-то причин спрос на продукцию упал и первое предприятие может продать в пределах, скажем, 450 ед. продукции, то оно будет нести убытки, при этом второе предприятие будет работать еще и с прибылью, ибо граница безубыточного производства у него существенно ниже — 390 ед. продукции.
Приведенный пример убедительно показывает, что производственная программа самоокупаемости может опосредованно учитывать неопределенность рыночной ситуации в будущем и служить своеобразным индикатором предстоящего риска производства. Для этого производственную программу самоокупаемости необходимо соизмерить с производственной мощностью предприятия. Полученное соотношение нужно сравнить с заранее установленной шкалой, тогда можно будет охарактеризовать степень риска будущего производства и наметить пути его устранения или существенного смягчения.
Риск будущего производства оценивается по формуле
Хр = Nm : Nc , (6.37)
где Хр — опосредованная оценка риска нового предпринимательского дела;
Nm и N c — соответственно производственная мощность предприятия и производственная программа самоокупаемости производства.
Под эту формулу разработана шкала риска и надежности бизнеса и приводятся рекомендуемые рисковые нормы эффективности капитальных вложений (табл. 6.2).
Таблица 6.2
Надежность и риск бизнеса и капитальных вложений
в новое предпринимательское дело
|
Отношение производственной мощности к программе самоокупаемости (Xр) |
≥8,0 |
<8,0 ≥6,0 |
<6,0 ≥4,2 |
<4,2 ≥3,0 |
<3,0 >2,5 |
<2,5 >2,0 |
<2,0 >1,7 |
<1,7 |
|
Характеристика надежности бизнеса |
Сверхнадежный |
Высоко-надежный |
Надежный |
Достаточно надежный |
Слабо- надежный |
Низко- надежный |
Ненадежный |
Безнадежный |
|
Характеристика уровня риска |
Практически отсутствует |
Незначительный |
Малый |
Ниже среднего |
Существенный |
Значительный |
Высокий |
Сверхвысокий |
|
Рекомендуемая поправочная норма эффективности вложении с учетом риска Ер |
0,03 |
0,05 |
0,1 |
0,17 |
0,25 |
0,33 |
0,4 |
0,5 |
Рекомендации этой таблицы помогут бизнесменам правильно сориентироваться при формировании нового предпринимательского дела и принять заблаговременно все необходимые меры, чтобы будущий бизнес оказался достаточно надежным и заранее учитывал неопределенность возможной рыночной ситуации.
Резервы и пути повышения надежности бизнеса. Создавая свой бизнес, предприниматель должен стремиться по возможности сократить производственную программу самоокупаемости, а для этого надо хорошо знать основные резервы такого сокращения и пути их реализации.
Если судить по формуле 6.36, то сформулировать основные поэлементные резервы снижения производственной программы самоокупаемости особого труда не составляет. К ним относятся:
• повышение продажной цены производимого товара;
• сокращение постоянных затрат предприятия;
• сокращение переменных затрат на производство.
Рассмотрим влияние реализации указанных резервов на сокращение производственной программы самоокупаемости.
Пусть при создании нового предпринимательского дела бизнес, производственная мощность которого составляет Nm ед. продукции, имел базовую производственную программу самоокупаемости Ncб. Анализ показал, что эту программу можно понизить, добившись тем самым не только повышения прибыли, но и снижения риска убыточности производства.
Из формулы видно, что повышение цены товара (при прочих постоянных факторах) уменьшает производственную программу самоокупаемости и существенно сдвигает ее величину к нулевой отметке, ибо Nc < Ncб. Тем самым повышается надежность бизнеса, создаются условия его стабильности.
Но при этом возникает вопрос: как и за счет чего в рыночных условиях можно повысить цену производимого товара? Здесь четко надо представлять, что произвольно, только по желанию предпринимателя, цену товара повысить весьма проблематично. Она в огромной степени зависит от конъюнктуры рынка, которая зачастую не зависит от предпринимателя и не управляется им, хотя в определенных случаях такое воздействие имеет место на практике (например, в случае монопольного рынка). В основном повышение цены товара следует связывать с повышением качества производимой продукции с таким расчетом, чтобы она выгодно отличалась от аналогичной продукции, выпускаемой конкурентами.
Это и есть единственный путь повышения цены товара, который зависит исключительно от самой фирмы. Все другие пути носят исключительно рыночный и конъюнктурный характер, а, следовательно, по сути дела отражают неопределенность будущей рыночной ситуации. А она может работать не только на повышение цены товара, но и на ее понижение. Поэтому заранее принимать этот путь и рассчитывать на него не представляется возможным.
Следующий резерв сокращения программы самоокупаемости — это, по возможности, снижение постоянных затрат. Из анализируемой формулы видно, что если снизить величину постоянных затрат по сравнению с базисным их значением при прочих постоянных факторах, то производственная программа самоокупаемости, как и в случае с повышением цены товара, существенно уменьшится. Программа Nc будет тогда меньше этой же программы в базовом периоде Ncб.
Во многих случаях при создании нового дела сокращение первоначально намеченных постоянных затрат есть серьезный резерв повышения надежности бизнеса. Использование такого резерва реализуется путем пересмотра проекта нового дела. Надо тщательно проверить состав инженерно-технического персонала, административно-управленческих кадров, численность прочих служащих и рабочих-повременщиков, которые не заняты непосредственно изготовлением выпускаемой продукции, а заняты обслуживанием основного производства или выполняют вспомогательные операции. В большинстве случаев тщательный анализ кадрового состава, рационализация приемов работы, совмещение профессий и прочие улучшения позволят существенно снизить расходы на постоянную часть заработной платы.
Подобный анализ с аналогичными результатами может быть проведен с материальными затратами, расходами на топливо и энергию, которые не касаются основного производства, но используются на вспомогательных и обслуживающих процессах (например, расходы на отопление, освещение, вентиляцию и т.п.).
Многие действующие предприятия при переходе к рынку испытывали серьезные трудности с содержанием социальной сферы производства (жилье, медицинское обслуживание, санатории-профилактории, образовательные учреждения и т.п.). Они стали освобождаться от этой сферы, передавая ее в муниципалитеты и снижая тем самым свои постоянные затраты. Создавая новое предпринимательское дело, об этом надо обязательно думать, не осложняя его бременем содержания социальной сферы.
Наконец, последний из поэлементных резервов сокращения производственной программы самоокупаемости — это снижение переменных затрат. Здесь очень часто заложены значительные резервы возможной рационализации производства за счет сокращения таких затрат. В основном их реализация связана с использованием новейших научно-технических достижений: прогрессивной технологии изготовления продукции, высокопроизводительного оборудования и высоконадежного инструмента и пр. Все это должно снизить расход материальных ресурсов на каждую изготовленную единицу продукции, рост производительности труда, экономию топлива и энергии на технологические нужды. В конечном счете прогресс в области производства поможет существенно снизить производственную программу самоокупаемости.
Разумеется, использование каждого из рассмотренных поэлементных резервов при создании нового предпринимательского дела — очень важное направление повышения надежности будущего бизнеса. Однако гораздо важнее обеспечить реализацию комплексных резервов, когда одновременно используются два или еще лучше три резерва сразу, благодаря чему можно получить весьма значительный эффект, т.е. отношение Nm : Nc Þ max. Тогда в соответствии с данными таблицы 6.2 можно добиться сверхнадежного бизнеса с низким уровнем производственного риска.
Чтобы лучше ощутить влияние использования комплексных резервов сокращения производственной программы самоокупаемости, рассмотрим конкретный числовой пример.
Пусть предприятие при его создании имело по проекту производственную мощность Nm = 1000. Остальные исходные данные следующие.
|
Показатели |
Базовый вариант |
Альтернативный вариант |
|
Цена единицы товару |
100 |
120 |
|
Годовые постоянные затраты |
35000 |
29250 |
|
Переменные затраты на единицу продукции |
30 |
22 |
В соответствии с формулой 6.36 производственная программа самоокупаемости базового варианта составит
Nc = 35000 : (100 - 30) = 500.
При реализации резерва повышения цены товара
Nc = 35000 : (120 - 30) = 388,9.
При реализации резерва снижения постоянных затрат
Nc = 29250: (100 -30) = 421,4.
При реализации резерва сокращения переменных затрат
Nc = 35000 : (100 - 22) = 448,7.
Таким образом, реализация каждого резерва в отдельности дает определенный эффект, но он в общем-то незначителен.
Посмотрим, что произойдет, если комплексно использовать все резервы одновременно. В этом случае производственная программа самоокупаемости составит
Nc = 29250 : (120 - 22) = 298,5.
Полученный результат убедительно голосует за комплексное использование имеющихся резервов повышения надежности бизнеса.
Есть еще один важный резерв для решения задачи формирования высоконадежного рыночного бизнеса с малым риском ― создание предприятия с определенной производственной мощностью, т.е. предприятия определенного размера.
Хорошо известно, что крупные предприятия имеют много преимуществ перед мелкими, и главное из них заключается том, что на крупном предприятии можно получить относительно дешевую продукцию, обеспечить ее высокое качество и в случае полного использования производственной мощности и значительного спроса на выпускаемую продукцию успешно конкурировать с другими предприятиями и иметь высокодоходный бизнес. Однако есть и негативный момент. Он состоит в том, производственная программа самоокупаемости достаточно обширная и охватывает примерно 50% производственной мощности предприятия. А это значит, что в случае изменения конъюнктуры рынка и сокращения спроса на выпускаемую продукцию такое предприятие очень быстро и часто попадает в трудное положений и находится на грани фактического банкротства.
В качестве примера можно сослаться на экономическое положение такого крупного предприятия, гиганта сельхозмашиностроения, как АО «Ростсельмаш», в каком оно оказалось в период 1992―1997 и в последующие годы. Производственная мощность его составляет примерно 80 тыс. высокопроизводительных зерноуборочных комбайнов в год. Что касается спроса на комбайны, то из-за сложившейся ситуации в стране он упал весьма значительно и составлял в указанные годы всего несколько тысяч комбайнов в год. В результате предприятие оказалось фактическим банкротом, и если бы не государственная поддержка, то оно перестало бы существовать.
Предприятия с небольшой производственной мощностью не имеют преимуществ крупного производства, но зато обладают, как правило, высокой рыночной надежностью. Падение спроса на продукцию не отразится на их экономическом и финансовом положении столь катастрофично, как это происходит с крупным бизнесом. Поэтому при организации нового предпринимательского дела очень важно правильно обосновать производственную мощность будущего предприятия, чтобы оно было достаточно надежным и конкурентоспособным в любой рыночной ситуации.
Производственная программа самоокупаемости производства по критерию вновь созданной стоимости. В главе 5 был рассмотрен вопрос о принятии оптимального планово-управленческого решения по критерию максимума вновь созданной стоимости. Вопрос этот имеет не только чисто теоретическое значение, но и огромную прикладную направленность. Дело в том, что существует большое количество предприятий, которые по результатам производства не формируют фонда заработной платы и не определяют прибыль. Они создают у себя так называемый доход производства, из которого осуществляют оплату труда, производят, если это потребуется, необходимые инвестиции в развитие производства, вносят в бюджет налоговые платежи. Определяется этот доход как разница между выручкой и всеми понесенными в процессе производства затратами (исключая заработную плату со всеми сопутствующими ей начислениями в пенсионный фонд и в фонд социального страхования). К затратам относятся расходы на сырье, материалы, комплектующие изделия, на топливо и энергию, на быстроизнашивающиеся предметы, инструмент, а также амортизация, арендная плата, страховые платежи, затраты на рекламу и пр.
Указанный доход есть по сути дела показатель вновь созданной стоимости. По физическому смыслу он представляет собой сумму заработной платы (со всеми начислениями) и балансовой прибыли. Однако по экономическому смыслу вновь созданная стоимость не представляет собой указанной суммы, ибо предприятие, работающее по критерию вновь созданной стоимости ни заработной платы, ни прибыли у себя не формирует.
Вновь созданная стоимость — результат труда коллектива предприятия, прибавочный продукт, полученный в процессе производства сверх понесенных затрат и распределяемый между трудовым коллективом и обществом в целом. На величину вновь созданной стоимости в процессе производства общество в лице государства становится в данную единицу времени богаче. Поэтому критерий вновь созданной стоимости потенциально несет в себе пока что неиспользуемую в отечественной экономике возможность надежно отслеживать основные результаты производства на любом предприятии и, следовательно, направлять его деятельность в нужное обществу русло.
К предприятиям, деятельность которых оценивается по критерию вновь созданной стоимости, относятся такие предприятия, средства производства которых полностью принадлежат трудовому коллективу. Это, например, предприятия частные (семейные), а также основанные на коллективно-долевой собственности.
Положительно использовать этот критерий могут и государственные предприятия, и предприятия со смешанной собственностью. В последнем случае надо соответствующим образом реорганизовать производство и структуру, их производственных подразделений.
Критерий вновь созданной стоимости обладает еще одним полезным свойством, суть которого сводится к следующему. Предположим, что конкретное предприятие осуществляет производство исходя из вновь созданной стоимости. У него имеется определенная выручка от реализации продукции, которая есть функция объема производства продукции в натуральном выражении и цены единицы продаваемого товара. Эта функция выглядит следующим образом:
В = N · Ц, (6.38)
где В — выручка от реализации произведенного товара в единицу времени.
В процессе производства предприятие несет определенные затраты, перечень которых приведен выше. Это овеществленные затраты, или затраты прошлого труда. Разница между выручкой и затратами прошлого труда и будет составлять искомую вновь созданную стоимость. При этом, очевидно, имеется вполне определенная производственная программа, при которой указанная разница окажется равной нулю. Определим эту производственную программу, но прежде запишем функцию затрат прошлого труда:
Зпт = N · Мn + Мпос, (6.39)
где Зпт — затраты прошлого труда для производства продукции;
Мn — переменные (пропорциональные) затраты прошлого труда на единицу производимой продукции;
Мпос — постоянные затраты прошлого труда в единицу времени.
Приравняем между собой правые части выражений 6.38 и 6.39.
N · Ц = N · Мn + Мпос
Данное равенство имеет место при обеспечении производственной программы самоокупаемости производства, но исчисленное не по прибыли, а по вновь созданной стоимости. Поэтому обозначим искомую производственную программу через Nвс и введем это обозначение в рассматриваемое равенство вместо программы N. Тогда получим
Nвс · Ц = Nвс · Мn + Мпос .
Теперь, преобразовав записанное уравнение и разрешив его относительно искомой производственной программы, будем иметь:
(6.40)
Если сравнить полученную формулу для определения производственной программы самоокупаемости по критерию вновь созданной стоимости с формулой 6.36, которая позволяет решить ту же задачу, но по критерию прибыли предприятия, то можно обнаружить следующее.
Во-первых, по своей конструкции и структуре обе формулы абсолютно одинаковы. Во-вторых, производственная программа самоокупаемости по критерию вновь созданной стоимости Nвс всегда будет меньше аналогичной программы по критерию прибыли предприятия Nc. Это объясняется тем, что числитель у первого критерия меньше, чем у второго, ибо постоянные затраты прошлого труда, естественно, представляют только какую-то часть полных постоянных затрат. Кроме того, знаменатель у первого критерия больше знаменателя второго критерия по той же причине. Разумеется, эти рассуждения будут справедливы, если цена товара по обоим критериям остается одинаковой. А другого и быть не должно, ибо тогда сравнение окажется невозможным.
На графике (рис. 6.5) видно, что программа самоокупаемости Nс, построенная на основе полных постоянных и переменных затрат (изображенных штриховыми линиями), значительно больше программы Nвс, которая определяется по постоянным и переменным затратам прошлого труда. Причем смещение последней программы в сторону начала координат значительное.
![]()

Рис. 6.5. Изменение производственной программы самоокупаемости по критерию вновь созданной собственности
Следовательно, и надежность бизнеса в случае, когда предприятие работает по критерию вновь созданной стоимости, будет значительно выше, чем надежность аналогичного бизнеса, оцениваемого по критерию прибыли предприятия.
Можно строго математически это доказать. Для этого возьмем отношение производственных программ самоокупаемости по двум рассматриваемым критериям и проанализируем полученный результат.
![]()
где К3 — коэффициент, учитывающий структуру постоянных затрат производства:
К3 = Спос : Мпос > 1;
Кд — коэффициент, учитывающий структуру маржинального дохода:
Кд = (Ц -Мп) : (Ц - Сп) > 1
Судя по полученным результатам, оба коэффициента всегда больше единицы, а их произведение больше каждого из сомножителей. Следовательно, коль скоро производственная программа Nвс < Nс, надежность бизнеса, построенного по критерию вновь созданной стоимости, всегда выше, а риск убыточности производства всегда меньше, чем аналогичные характеристики у бизнеса, который функционирует по критерию прибыли предприятия.
Именно поэтому в переходный период, начиная с января 1992 г., агробизнес в России не прекратил своего существования, обеспечив свою живучесть в весьма тяжелых условиях производства за счет очень низкой производственной программы самоокупаемости. Это дало агробизнесу возможность обеспечить высокую надежность и малый риск своего функционирования, хотя ни о какой прибыли в нем речи не может быть. Была лишь небольшая оплата труда работников сельскохозяйственной сферы. Она и сохранила производство, рабочие места, обеспечила хоть и небольшой, но все же устойчивый доход людям, позволив им выжить в трудные времена и продолжить свое, нужное обществу, дело. В то же время многие промышленные предприятия почти полностью прекратили свое производство, задолжав своим рабочим огромные суммы начисленной заработной платы.
Анализ позволяет сделать вывод о том, что не только новое предпринимательское дело, но и действующие предприятия надо смело и энергично переводить на работу по критерию вновь созданной стоимости. Это обеспечит им более высокую надежность и меньший риск производства, повысит ценовую конкурентоспособность в той рыночной нише, в которой они действуют.
Для этого необходимо существенно изменить систему оплаты труда работников предприятия, построив ее на основе полученных конечных результатов производства, под которыми следует понимать вновь созданную стоимость, из которой уплачены платежи в федеральный и местный бюджеты в виде налогов.
При такой системе оплаты труда работники предприятия за один и тот же труд будут получать по-разному, в зависимости от положения, какое предприятие будет занимать в рынке. Если предприятие успешно производит нужный обществу товар, реализует его по высоким ценам, то оплата труда работников предприятия будет высокой. Если предприятие будет испытывать трудности со сбытом своей продукции, она будет залеживаться на складе и продаваться по низким ценам, то оплата труда членов производственного коллектива окажется очень низкой. Работники предприятия должны предпринимать соответствующие меры, чтобы вывести свое производство на уровень высокой рентабельности и конкурентоспособности.
6.5. Оценка окупаемости капитальных затрат
при создании бизнеса
При создании нового дела, как правило, требуется значительный первоначальный капитал. Он используется как капитальные вложения, направляемые на формирование следующих элементов производства:
• покупка земельного участка (в случае, если законодательством предусмотрена возможность продажи земли);
• оплата стоимости незавершенных объектов на земельном участке;
• оплата стоимости завершенных объектов на участке;
• строительно-монтажные работы по созданию необходимых производственных площадей;
• покупка технологического, силового и транспортного оборудования;
• создание или пополнение необходимых для производства оборотных средств;
• проведение проектно-изыскательских и проектных работ;
• наладка оборудования и освоение проектной мощности предприятия;
• приобретение лицензий, оплата научно-технической документации и ноу-хау.
Разумеется, при создании нового дела не все из перечисленных направлений капитальных вложений имеют место. Все зависит от характера будущего производства, от его масштабов, степени завершенности, специализации производства и т.п.
Но есть и такие элементы, которые всегда присутствуют в производстве и требуют для своего формирования обязательных капитальных вложений. Речь идет о затратах на обеспечение производственных площадей, приобретение оборудования и формирование оборотных средств. Как правило, на эти цели расходуется до 90―95% всех необходимых вложений.
Чтобы оценить эффективность капитальных вложений, направляемых на создание нового предпринимательского дела, определить, выгодно ли вкладывать средства в данный бизнес или экономичнее направить их на реализацию альтернативного проекта, необходим оценочный инструмент, в основе которого лежит такой важный показатель, как срок окупаемости капитальных вложений, который зависит от:
• величины балансовой прибыли или вновь созданная стоимость;
• величины капитальных вложений;
• совокупного налога в процентах от балансовой прибыли или вновь созданной стоимости.
На графике (рис. 6.6) величина совокупного налога откладывается в процентах по оси ординат, а срок окупаемости вложений — по оси абсцисс. При этом для сравнения результатов по двум разным проектам проведены два луча. Каждый из них характеризует определенную балансовую прибыль (ВСС). Луч, у которого прибыль меньшая и составляет величину П, обозначен цифрой 1, второй луч имеет прибыль в 2,5 раза большую и обозначен цифрой 2.

Рис. 6.6. Показатели срока окупаемости капитальных вложений
Остановимся пока на первом луче. Его балансовая прибыль (или ВСС) — П, и при совокупном налоге, равном нулю, срок окупаемости вложений составит один год (так как вложения в новое дело точно соответствуют П). Из графика четко можно проследить, что чем больше совокупный налог, тем больше оказывается и срок окупаемости вложений. Так, при совокупном налоге в 50% срок окупаемости составит уже два года, при совокупном налоге в 80% — 5 лет и т.д. Лучший проект — это тот, у которого срок окупаемости вложений наименьший. Поэтому увеличение налогового бремени сокращает чистую прибыль (ВСС), оставляет предприятию меньше средств на развитие и тем самым суживает возможность расширения предпринимательства.
Теперь обратимся ко второму лучу. Он означает большую прибыль предпринимательского дела или большую вновь ее данную стоимость. Как видно из рисунка, при одном и том уровне налогообложения срок окупаемости той же величий капитальных вложений будет существенно меньше.
Следовательно, чем больше при внедрении нового дела окажется у предприятия балансовая прибыль (ВСС) и чем меньше будет у него совокупный налог, тем быстрее окупятся его вложения и эффективнее окажется реализуемый проект.
Смоделируем математически наши рассуждения, для чего примем следующие обозначения:
К — капитальные вложения в проект нового дела;
П — балансовая прибыль (ВСС) предприятия за год его деятельности после освоения производственной мощности нового дела;
н — величина совокупного налога от балансовой прибыли (ВСС) предприятия в долях от единицы (количество процентов налогообложения, деленное на 100);
Т — срок окупаемости капитальных вложений в новое дело, годы.
Теперь определим искомый срок окупаемости вложений формуле
![]()
Однако это не окончательная величина срока окупаемости вложений, надо еще учесть период разработки, реализации проекта и освоения производственной мощности. С учетом такой поправки формула примет вид:
![]()
где ∆Т — период от начала реализации проекта нового дела до освоения его производственной мощности, годы.
Например, если капитальные вложения составляют К = 100, балансовая прибыль П = 77, совокупный налог н = 0,35, период освоения проекта ∆Т = 0,5 года, то срок окупаемости нового предпринимательского дела составит:
![]()
Полученный результат, хоть и очень важен, но ничего не говорит о том, насколько эффективен проект нового дела. Чтобы судить об эффективности проекта, надо срок его окупаемости сравнить с нормативом, т.е. выдержать следующее условие:
(1 : Т) > Ен ,
где Ен — норматив эффективности капитальных вложений, который каждая фирма устанавливает для себя самостоятельно (в качестве ориентира величину норматива можно принимать на уровне годовой учетной ставки процента по депозитам высоконадежного банка, и в этом смысле данный норматив будет означать эффективность вложений в альтернативный вариант использования средств путем помещения их в банк под определенный процент).
Например, если Т = 2,5 года (как получилось по рассмотренному примеру), а банк по депозитам выплачивает вкладчику 20% годовых (т.е. Ен = 0,2), то легко установить, что при таких условиях предпринимательское дело оказывается достаточно выгодным. И это подтверждается следующим расчетом:
1 : 2,5 = 0,4 > 0,2 ,
т.е. лучше получать от проекта 40% годовых, чем от банка только 20%.
Однако данный вывод еще не окончательный, ибо если вложения средств в высоконадежный банк практически лишены риска, то о предпринимательском проекте такого не скажешь. Поэтому надо учесть надежность предпринимательского дела и риск вложений в него. В окончательном виде условие выгодности вложений в предпринимательский проект можно представить в виде следующего выражения:
(6.41)
где Е — коэффициент эффективности капитальных вложений в новое предпринимательское дело;
Ер — дополнительная норма эффективности капитальных вложений с учетом риска данного бизнеса (рекомендации о величине этой нормы приведены в табл. 6.2).
Если продолжить решение вышеприведенного примера, то можно признать новое предпринимательское дело достаточно эффективным при условии, что величина дополнительной нормы эффективности, учитывающей риск вложений, составит меньше Ер = 0,2. А это значит, что проект можно принять, если коэффициент Хр (формула 6.37) будет больше трех. Тогда условие 6.41 будет строго выдерживаться. В противном случае от такого нового дела, как неэффективного и низконадежного, следует решительно отказаться или пересмотреть основные технико-экономические и финансовые показатели данного бизнеса в сторону их существенного улучшения.
6.7. Оценка эффективности кредита при создании
нового дела
Организация нового предпринимательского дела требует значительных инвестиций, и не всегда предприниматель при наличии высокоэффективного проекта нового дела располагает, необходимыми средствами, чтобы этот проект реализовать. Следовательно, перед ним в этом случае сразу возникает проблема: где взять недостающие деньги?
Источники покрытия денежного дефицита могут быть разными. Например, можно взять в компаньоны кого-то, имея в виду, что тот внесет недостающие средства в общее дело. Однако тогда предприниматель вынужден будет делить с компаньонами полученные доходы. Наиболее распространенным является покрытие дефицита за счет займа денежных средств у банка, т.е. получение кредита на определенный срок и за определенную плату.
Но кредит кредиту рознь. Кредит может (и должен) помочь предпринимателю освоить новое дело и тем самым внести свою лепту в общее национальное благосостояние, расширяя производство, увеличивая количество рабочих мест и занятость населения, оплачивая налоги. Следовательно, кредит должен быть выгоден предпринимателю, иначе какой в нем практический смысл. Однако, как показал опыт первых лет переходного периода, действительность далеко не соответствует желаемому положению дел. Как правило, кредиторы в тот период устанавливали грабительские проценты пользование ссудами, вследствие чего не все предприниматели могли себе позволить воспользоваться этим источником средств.
Развитие предпринимательства и сейчас в огромной степени тормозится именно из-за дороговизны кредитных ресурсов, когда их использование становится неэффективным.
Следовательно, чрезвычайно важно уметь с научно-обоснованных позиций определять эффективность кредита, устанавливать экономические границы, в пределах которых его использование будет оправданным, и провести анализ очередности предпочтительности кредитообеспечения в переходный период.
На этой основе можно разработать конкретные рекомендации по совершенствованию кредита и более широкому его использованию в предпринимательской деятельности.
Чтобы выполнить эту работу, рассмотрим с помощью графика (рис. 6.7) основные временные компоненты, имеющие место с момента начала осуществления проектного решения до момента полного возвращения денежной задолженности за счет чистой прибыли (ВСС) предприятия. Этот период и будет сроком окупаемости кредита.
Рис. 6.7. Учет
временных факторов
при определении срока окупаемости кредита
Будем считать момент А началом реализации нового дела и одновременно моментом, когда требуются уже какие-то вложения в него. От момента А до момента В идет процесс формирования материальной и организационной базы нового дела, освоения созданной мощности и реализации первого производственного цикла, включая полный оборот оборотных средств. За этот период будет создана и реализована товарная продукция, произведены все денежные расчеты, вплоть до поступления денежных средств за реализованную продукцию на расчетный счет предпринимателя в банке.
С момента В производство будет функционировать в нормальном режиме с определенной длительностью каждого оборота оборотных средств. К моменту С завершится первый год функционирования нового дела, к моменту Д — второй год и т.д.
Введем следующие обозначения временных характеристик нового предпринимательского дела:
t — период, необходимый для становления нового дела и осуществления начального производственного цикла, включая полный оборот оборотных средств, годы (на графике период от момента А до момента В);
∆t — время от момента взятия кредита предпринимателем до момента завершения начального производственного цикла, годы (по экономическому смыслу время ∆t полностью вписывается в период t, т.е. ( ∆t ≤ t);
t — длительность одного оборота оборотных средств в процессе нормального функционирования нового дела и полного освоения его производственной мощности, годы (при этом J < t);
z — количество оборотов оборотных средств в течение года в процессе нормального функционирования нового дела (т.е. после освоения его производственной мощности):
z = 1 : t или z · t = 1 . (6.42)
Будем далее считать, что за один оборот оборотных средств предприятие создает балансовую прибыль (или ВСС) в размере П. Тогда величину П можно определить по формуле
П = В - М - З - Рп , (6.43)
ВСС = В - М - Рп , (6.44)
где П — балансовая прибыль предприятия за один оборот оборотных средств (без платежей за банковский кредит и без налогов);
ВСС — вновь созданная стоимость за один оборот оборотных средств (без платежей за банковский кредит и без налогов);
В — выручка предприятия от реализации продукции за период одного оборота оборотных средств;
М — материальные и топливно-энергетические затраты за один оборот оборотных средств;
З — заработная плата наемных работников предприятия за тот же период (со всеми начислениями);
Рп — прочие платежи (амортизация, аренда производственных площадей и оборудования, страховка, реклама и пр.) за тот же период.
В дальнейшем под величиной П в зависимости от конкретных обстоятельств будем понимать либо балансовую прибыль, либо вновь созданную стоимость, применив обобщающий термин доход.
Определим чистый доход за один оборот оборотных средств по формуле
Чистый доход = П минус платежи за кредит минус налоги. (6.44)
Определим платежи за банковский кредит за один оборот оборотных средств.
Платежи за кредит =
(6.45)
где β — установленная плата за банковский кредит в процентах годовых от кредитной суммы;
V — величина денежных средств, взятых предпринимателем в качестве кредита.
Пересчитаем платежи за кредит на величину получаемого дохода:
(6.46)
где ƒк — доля платежа за банковский кредит из дохода предприятия за один оборот оборотных средств.
Определим величину налоговых платежей за один оборот оборотных средств:
Налоги = Нс : z = t × Нс (6.47)
где Нс — совокупные налоговые платежи предприятия за год его деятельности.
Теперь пересчитаем налоги предприятия на величину получаемого дохода:
t × Нс =fн× П, откуда
(6.48)
Подставив платежи за кредит и налоговые платежи в формулу 6.48, получим:
Чистый доход = П - ƒk · П -ƒн · П = П (1 -ƒk -ƒн).
В окончательном виде можно записать:
Чистый доход = П - (1 - ƒс), (6.49)
где ƒс — совокупные платежи за банковский кредит и налоговые платежи в долях от дохода:
ƒс = ƒк + ƒн · (6.50)
Полученные зависимости (формулы 6.49 и все остальные, с ней связанные) дают основание определить эффективность кредита. Наиболее предпочтительным и понятным для всех показателем эффективности кредита является срок его окупаемости. Определить его можно, если величину кредитной суммы разделить на чистый доход за один год работы предприятия. В первом приближении формулу для определения срока окупаемости кредита можно представить в следующем виде:
![]()
где Ткр — срок окупаемости кредита за счет дохода нового дела, годы.
Однако эта формула не окончательная. Чтобы довести ее до завершающей стадии, необходимо этот срок уменьшить на величину одного оборота оборотных средств (т.е. снять т), который учтет начальный оборот, и прибавить время взятия кредита внутри начального цикла (т.е. прибавить ∆t). Тогда формула примет вид
![]()
где Кт — коэффициент корректировки срока окупаемости кредита, учитывающий временные поправки в начальном производственном цикле.
Величину этого коэффициента можно определить по формуле
(6.51)
В окончательном виде формула срока окупаемости кредита будет такой:
(6.52)
где Пг — годовой размер дохода (балансовой прибыли, или ВСС).
Из полученных формул легко установить, что если ∆t = t, то коэффициент корректировки будет равен Кm = 1 ,0. Но это лишь частный случай. В более общем случае корректирующий коэффициент будет либо немного меньше, либо чуть больше единицы.
Рассмотрим простейший пример расчета срока окупаемости кредита. Пусть при организации нового дела предприниматель берет кредит в размере V = 50000 руб. на 4 месяца (∆t = 0,333 года) до момента окончательного освоения производственной мощности. Весь начальный цикл организации производства составляет t = 0,5 года. Длительность одного оборота оборотных средств t = 0,25 года. Получаемая балансовая прибыль за один оборот оборотных средств П = 40000 руб. За использование кредитных средств установлена плата β = 40% годовых от величины заемных средств. Совокупный годовой налог составляет Нс = 65000 руб. Определить срок окупаемости кредита.
Прежде всего по формулам 6.46 и 6.48 рассчитаем платежи банковский кредит и налоги в долях от прибыли:
![]()
![]()
По формуле 6.50 определим долю совокупных платежей от балансовой прибыли предприятия:
ƒс = 0,125 + 0,4065 = 0,53125.
По формуле 6.51 определим величину корректирующего коэффициента:
![]()
Теперь, когда вся информация подготовлена, определим искомую величину срока окупаемости кредита по формуле 6.52:
![]()
Таким образом, кредит окупится за 0,75 года, или за три квартала.
Следует отметить, что если предприниматель, создавая новое дело, не планирует его длительное функционирование и думает его завершить за один цикл, то в расчете принимается Кт = 1,0.
Следует отметить, что срок окупаемости кредита совсем не означает, что к окончанию данного периода предприниматель обязан вернуть банку долг с выплатой соответствующих процентов. Эти две временные характеристики — не одно и то же. Они и по экономическому смыслу совершенно разные. Так, показатель срока возврата кредита означает лишь, что по договору с банком предприниматель должен вернуть к определенному моменту занятые деньги. А срок окупаемости кредита — это показатель эффективности данного бизнеса, которым занимается предприниматель, означающий, насколько быстро можно заработать такую сумму, чтобы расплатиться с банком, и затем вести свое дело за счет заработанных средств.
Судя по основной формуле 6.52, срок окупаемости кредита будет тем меньше, а значит эффективнее будет и бизнес, и кредит для его обеспечения, чем меньше предпринимателю потребуется кредитных ресурсов V, чем быстрее, а значит меньше, окажется длительность одного оборота оборотных средств т, чем больше будет получаемый доход за один оборот П или за год Пг и чем меньше будет выплачиваемый совокупный налог ƒн и платежи за используемый кредит fк.
Чтобы лучше понять смысл полученной формулы, проиллюстрируем ее с помощью графика (рис. 6.8).

Рис.6.8. Срок окупаемости кредита (при Кт = 1,0)
По оси ординат указанного графика отложено отношение произведения величины кредитной суммы и длительности одного оборота оборотных средств к доходу за один оборот, а по оси абсцисс — искомый срок окупаемости кредита. Кроме того, начала координат выходит семейство прямых лучей, отражавших платежи за банковский кредит и налоги в долях от дохода.
На графике представлен ключевой пример (в виде штриховых линий), построенный для уяснения метода использования применения на практике этой номограммы с целью определения срока окупаемости кредита.
Ключевой пример создан для следующих исходных данных:
• величина кредитной суммы V= 140 ден. единиц;
• доход предприятия за один оборот П = 20 ден. единиц;
• длительность одного оборота t = 0,1 года, или 36 дней;
• доля платежей за кредит и налоги от дохода ƒс = 0,7;
• корректирующий коэффициент Кт = 1,0.
Для этого примера срок окупаемости кредита, как это видно из графика, составляет Ткр = 2,35 года.
Это, конечно, достаточно большой срок. Он свидетельствует об относительно низкой эффективности данного бизнеса и вызывает определенные сомнения в целесообразности взятия для него кредита. Чем же обусловлен такой негативный результат?
Во-первых, очень большой кредитной суммой и незначительным доходом за один оборот. Во-вторых, и это, пожалуй, самое важное, — значительной величиной платежей за кредит и налогов в долях от дохода. По сути дела из дохода предпринимателя отчисляется 70% за каждый оборот оборотных средств, а ему остается только 30%. Такая мизерная сумма не позволяет предпринимателю быстро окупить взятые в кредит деньги.
Однако вернемся к графику. На нем выделены наиболее характерные зоны. Прежде всего, зона высокой эффективности кредита (со сроком окупаемости до 0,5 года). Она имеет место в том случае, когда денежно-временная характеристика кредита, располагаемая на оси ординат, очень мала и не превышает 0,5. В этом случае даже при значительных платежах за кредит и налогов эффективность взятия кредита остается очень высокой, а срок его окупаемости незначителен. В этой зоне в начальный период либерализации цен в России, т.е. с 1 января 1992 г., пользовались кредитом те предпринимательские структуры, у которых длительность одного оборота оборотных средств была незначительной и составляла примерно от 0,1 до 0,2 года, а доход по отношению к величине заемных средств был достаточно высоким. Наиболее характерным примером для этой зоны, несмотря на высокие проценты за кредиты, являлся торговый бизнес, и в частности челночный. Благодаря ему российские магазины, до того имеющие совершенно пустые полки, очень быстро наполнились разнообразными товарами.
Следующая зона — тоже достаточно эффективная: у нее срок окупаемости кредита от 0,5 до года. Это как бы вторая волна в общей очередности за кредитными ресурсами. Она характерна тем, что при тех же денежно-временных характеристиках, что и для первой зоны здесь имеет место существенное снижение в результате падения темпов инфляции стоимости кредитных ресурсов (проценты за их использование значительно сократились). Этот период охватывает почти полностью 1996 и 1997 годы. В орбиту кредитования были вовлечены те производства, у которых длительность одного оборота оборотных средств cоставляет примерно до 0,3—0,4 года. К числу основных потребителей кредитов с отмеченными характерными признаками относятся агропереработка и производство пищевых продуктов.
Следующая зона хоть и менее эффективная по сравнению с предыдущими, но все-таки достаточно привлекательная для предпринимательства. В ней, как правило, имеет место весьма значительная привлекательность кредитных ресурсов со сроком окупаемости до полутора лет. При этом потребность в кредитах в соизмерении с доходом довольно-таки ощутима. Отношение двух указанных величин колеблется в среднем вокруг цифр 0,5―0,6, а совокупные платежи составляют примерно 60% от дохода. Длительность одного оборота оборотных средств в этой зоне — 0,5—0,8 года. Все это позволяет поставить новые производства, соответствующие в среднем указанным цифровым ориентирам, как бы в третью очередь за получением кредитных ресурсов. В этой зоне находится достаточное количество различных производств, например машиностроение для легкой и пищевой промышленности, производство приборов, аппаратов электробытовой техники, промышленность стройматериалов и т.д.
Далее следуют зоны менее привлекательные для кредитных ресурсов. К производствам, тяготеющим к этим зонам, можно отнести, например, машиностроение, у которого длительность производственного цикла весьма значительна (порядка года и выше), а потребность в кредитных средствах очень высока в силу того, что степень износа основных производственных фондов составляет 70―80%. Поэтому для таких производств перспектива получения кредитов, пусть даже на условиях низких процентов, крайне сомнительна. Таким предприятиям, по всей видимости, следует подумать о привлечении инвестиций со стороны для создания необходимых современных рабочих мест, использования прогрессивной технологии и техники, организации производства конкурентной продукции. Трудно в этом случае предложить таким предприятиям что-либо более перспективное. Большие надежды можно возлагать на государственную поддержку по всем возможным направлениям: льготное налогообложение, беспроцентный кредит, поддержка потребителей их продукции и т.п.
Вопросы для самопроверки и самоконтроля
1. Что из себя представляет затратное ценообразование?
2. В каких нишах рынка оно может успешно применяться?
3. Какие основные формулы используются для расчета показателей деятельности предприятия при затратном ценообразовании?
4. В чем заключается рыночное ценообразование?
5. В каких нишах рынка применяется рыночное ценообразование?
6. Какое значение при создании нового предпринимательского дела имеет правильно установленная производственная мощность предприятия?
7. Какие ограничения следует учитывать при создании нового предпринимательского дела?
8. Какими методами можно распределить постоянные затраты между товарными позициями продукции?
9. Как распределяются постоянные затраты между товарными позициями на основе дохода?
10. Как выполняется предыдущая расчетная операция на основе затрат?
11. Какое влияние на экономику предприятия оказывает инфляция национальной валюты?
12. Как учесть фактор инфляции при расчете прибыли предприятия?
13. Может ли в условиях инфляции иметь место высокорентабельный бизнес?
14. Как при создании нового бизнеса обеспечить его высокую надежность?
15. Какие резервы повышения надежности бизнеса можно выделить особо?
16. По какому критерию можно оценить высоконадежный бизнес?
17. Что из себя представляет показатель срока окупаемости капитальных затрат при создании нового предпринимательского дела?
18. Что характеризует показатель срока окупаемости?
19. Как учесть надежность бизнеса при оценке срока окупаемости?
20. Какую роль выполняет кредит при создании нового предпринимательского дела?
21. Как можно повысить эффективность кредита?
22. Что отражает показатель срока окупаемости кредита?
23. Какой бизнес может быть эффективным при взятии кредита? При каких условиях?
Раздел 3. Оценка эффективности инвестиций
в создание и развитие бизнеса
Глава 7. Методология и показатели экономической
оценки инвестиций
7.1. Условия соизмерения затрат и
результатов предпринимательского проекта
Реализация любого предпринимательского проекта предполагает осуществление производственного процесса, в рамках которого расходуются определенные ресурсы и получаются некоторые результаты.
Используемые в процессе производства ресурсы — это различное сырье и материалы, комплектующие изделия, топливо и энергия, технологическое и силовое оборудование, транспортные средства, инструмент, рабочая сила разных профессий, специальностей и квалификации, денежные средства и др.
Основными результатами производства являются выпуск продукции определенной номенклатуры, ассортимента, объема и качества, различные отходы производства, выручка от реализации изготовленной продукции потребителю, цены продаваемых на рынке товаров, издержки производства, прибыль, валовой доход, величина платежей в федеральный и местный бюджеты.
Очевидно, каждому предпринимателю далеко не безразлично, сколько он затратит ресурсов на производство товарной продукции, и какую выручку получит после продажи товара потребителю. Иначе говоря, предпринимателю важно знать, какой доход он получит от своей производственно-хозяйственной деятельности, а для этого надо осуществить важную расчетную операцию по соизмерению затрат и результатов производства. Такая операция должна выполняться со строгим соблюдением ряда условий.
Условие первое. Соизмеряемые величины затрат и результатов производства должны иметь абсолютно одинаковую размерность. Суть этого условия заключается в том, что нельзя соизмерять тонны металла с килограммами свинины или с кубическими метрами древесины и т.п., поскольку это лишено смысла. Ведь соизмерение предполагает либо исчисление соотношения затрат и результатов, либо исчисление разности между вторым (результатами) и первым (затратами).
Отношение затрат к результатам или, наоборот, результатов к затратам характеризует эффективность процесса. Возникает вопрос: тогда что же характеризует отношение тонн металла и килограммов свинины? Ответа на этот вопрос просто не существует.
Не менее бессмысленно производить вычисление разницы между результатами и затратами производства, если заданные величины имеют разную размерность. Такая разница, как известно, должна показать эффект процесса производства. Но какой же эффект можно получить от расчетной операции, если от 4000 кг свинины отнять 100 тонн металла?
Эти примеры убеждают лучше всякой теории. Еще раз подчеркнем, что соизмерение затрат и результатов должно вестись с использованием величин одинаковой размерности, причем такая размерность должна быть универсальной. Этому условию в наивысшей степени соответствует универсальный измеритель, выраженный в стоимостной форме, который полностью удовлетворяет требованию рассматриваемого условия.
Условие второе. Выражение затрат и результатов производства в стоимостной форме с целью дальнейшего соизмерения предполагает их исчисление в одинаковой валюте, например в национальной или в валюте любого государства. Однако если это не национальная валюта, то желательно применение свободно конвертируемых и наиболее стабильных валют. К таким валютам относятся доллары США, немецкие марки, английские фунты стерлингов.
Это значит, что если при измерении затрат используются рубли, то результаты также должны исчисляться в рублях и ни в коем случае — в другой валюте, например в долларах. Если встретится случай, когда затраты и результаты будут выражены в разных валютах (допустим, сырье покупается за рубежом за доллары, а продукция продается в России за рубли), то какая-то валюта принимается за основу исчисления, а все другие валюты пересчитываются в основную.
Условие третье. При нестабильной экономике, когда цены на производственные ресурсы и на выпускаемую продукцию быстро изменяются, при соизмерении затрат и результатов производства необходимо учитывать инфляционные процессы. Такую расчетную операцию рекомендуется проводить в случае, если темпы инфляции национальной валюты превышают 5—6 процентов годовых. В пределах указанных темпов пересчеты затрат и результатов проводить нецелесообразно, ибо погрешность в расчетных значениях соизмеряемых величин будет мала и практической роли не играет.
Однако более высокие темпы инфляции (например, 10, 15, 20 процентов и выше) могут серьезно сказаться на конечных результатах соизмерения используемых в расчетах величин. Поэтому их обязательно следует учитывать. Надо отдельно учесть инфляцию национальной валюты, изменение цен на используемые в производстве ресурсы (сырье, материалы, топливо, энергия, оплата труда и т.д.) и изменение цен на выпускаемую и продаваемую на рынке продукцию.
Условие четвертое. Любой предпринимательский проект, как правило, осуществляется в течение определенного периода. Вначале — инвестиционные платежи, т.е. единовременные затраты, и только после того, как проект вступит в эксплуатационную стадию, появятся текущие, постоянно возобновляемые с каждым новым производственным циклом затраты и сопутствующие им результаты.
Следовательно, чтобы не допустить серьезных погрешностей при соизмерении затрат и результатов производства, необходимо учитывать фактор времени, ибо денежные средства, разделенные определенным временным интервалом, не эквивалентны друг другу. Чтобы их сопоставить, нужно провести особую расчетную операцию — дисконтирование.
Например, как сравнить между собой 100 сегодняшних рублей со 120 рублями через год? Какая из двух сравниваемых величин больше, а какая меньше? Просто сравнить между собой две величины по их абсолютному значению в экономике нельзя, ибо в соответствии с хорошо известной пословицей «Время — деньги!» это означает, что со временем определенная денежная сумма существенно изменяется, и, как правило, в большую сторону. Так, 100 руб. через год, если они не лежат в шкафу без движения, могут превратиться в 105, 110, 115, 120, или в 125 руб. и т.д. в зависимости от того, сколько стоят в данное время денежные ресурсы и как они используются или работают. В инфляционный период цена денежных ресурсов возрастает (что связано с их относительным обесценением), в стабильной экономике цена денег минимальна (хотя покупательная их способность в этот период самая высокая).
Итак, проведя дисконтирование затрат и результатов производства, можно сопоставить их между собой. Принцип такого сопоставления сводится к следующему. Пусть имеется некоторый период, внутри которого имеются и платежи (затраты), и результаты (доход) производства. Необходимо провести корректировку затрат и результатов производства с таким расчетом, чтобы они были экономически сопоставимы.
Для проведения операции дисконтирования следует выбирать тот момент времени внутри известного периода, относительно которого будут корректироваться затраты и результаты производства. В принципе могут быть три варианта дисконтирования денежных средств (рис. 7.1).
![]()
Рис. 7.1. Приведение затрат и результатов производства
к одному моменту времени:
Вариант 1 — к началу жизненного цикла проекта;
Вариант 2 — к концу цикла;
Вариант 3 — к промежуточному моменту
В верхней части рисунка представлен весь период, внутри которого имеются платежи и доходы. Условно будем считать, что этот период охватывает Т лет. Разобьем его на одинаковые временные интервалы (например, годы, полугодия, кварталы, месяцы и т.п.), в конце которых будут иметь место соответствующие платежи или доходы.
Обозначим величину тех и других одинаковой буквой с порядковым индексом, означающим номер временного интервала. Например, R0 — платеж или доход в начальный момент времени; R1 — то же, но в первый момент; R2 — то же, но во второй момент и так далее до последнего.
На рисунке представлены три варианта приведения (дисконтирования) затрат и результатов к одному моменту времени.
Вариант первый характерен тем, что все денежные средства приводятся к начальному моменту данного периода. В этом случае формула для расчета суммарных денежных средств (затрат» или результатов, а также может быть взята разница между ними) выглядит следующим образом:
(7.1)
где R — суммарная величина денежных средств за весь рассматриваемый период, т.е. за время Т лет;
Ri — величина денежных средств в i-ом временном интервале;
Ес — норма дисконтирования денежных средств, учитывающая величину временного интервала;
п — принятое количество временных интервалов за весь рассматриваемый период (например, если годовая норма дисконтирования принята на уровне Ес = 0,24, то для полугодия она составит 0,12, для квартала — 0,06, для месяца — 0,02 и т.д., т.е. годовая норма дисконтирования пересчитывается на конкретный временной интервал).
Этот вариант дисконтирования широко распространен в международной практике оценки инвестиционных проектов и применяется в настоящее время для такой же цели в России.
Произведем расчетный пример при следующих исходных данных:
Ес = 0,1; п -= 3; R0 = 100; R1 = 120; R2= 150; R3 = 180.
Тогда получим:
![]()
Если просто просуммировать все денежные средства, то получится величина — 100 + 120 + 150 + 180 = 550. Это несколько больше дисконтированной суммы. Экономический смысл проведенной расчетной операции заключается в том, что будущие денежные средства сегодня имеют несколько меньшее значение. В частности, 550 руб., собранные за два года вперед, в соизмерении с деньгами настоящего момента эквивалентны только 468,3 руб.
Второй вариант дисконтирования предполагает приведение всех денежных средств к концу рассматриваемого периода. Для этого случая формула расчета суммы денежных средств несколько изменится и будет иметь вид
(7.2)
В этой формуле все элементы имеют тот же экономический смысл, что и в формуле 7.1.
Выполним расчет суммы денежных средств с использованием исходных данных предыдущего примера:
R = 100 · 1,10 + 120 · 1,11 + 150 · 1,12 + 180 · 1,13= 653,1
Полученный результат означает, что будущие деньги должны быть значительно больше настоящих, и только тогда они будут сопоставимы. В нашем примере 653,1 руб. через два года эквивалентны 468,3 руб. в настоящий момент. Этот пример является отличной иллюстрацией хорошо известной русской пословицы: «Лучше синица в руках, чем журавль в небе».
Второй вариант дисконтирования применяется тогда, когда нужно привести к началу эксплуатации осуществленные ранее капитальные вложения по альтернативным проектам, а затем сопоставить между собой разновеликие и разновременные затраты.
Третий вариант дисконтирования заключается в том, что все затраты и результаты производства приводятся к определенному моменту внутри рассматриваемого периода (исключая начальный и конечный моменты, ибо они уже рассмотрены). Это как бы промежуточный момент, который может представлять интерес для проектировщиков и экономистов. Как правило, в качестве такого момента избирается начало эксплуатации будущего проектного решения.
Формула для расчета суммы дисконтированных денежных средств для этого варианта будет выглядеть следующим образом:
(7.3)
где t — время от начала рассматриваемого периода до момента, к которому приводятся все денежные средства (в частном случае — до начала эксплуатации альтернативного проекта);
п — количество временных интервалов в рассматриваемом периоде.
Из рассмотренных вариантов дисконтирования денежных средств остается неясным: как определить на практике величину нормы дисконтирования ес , как устанавливают такую норму конкретные фирмы и что они при этом принимают во внимание?
Ответ на эти вопросы сводится к следующему. Высшие менеджеры любой производственно-коммерческой фирмы рассуждают примерно так. Предположим, что фирма имеет некоторую денежную сумму (скажем, 100 ден. единиц). Положив эти деньги в высоконадежный банк, через год можно вернуть вложенную сумму плюс гарантированный банком дивиденд (например, 10 ден. единиц). Таким образом, сегодняшние деньги соответствуют такой же сумме через год, но с учетом выплачиваемых дивидендов. То есть в рассматриваемом периоде 100 ден. единиц в настоящий момент будут эквивалентны 110 ден. единицам через год, причем 10 ден. единиц в данном случае можно (и нужно) принять в качестве основы для определения нормы дисконтирования.
Ее величину рассчитывают по формуле
(7.4)
где Ес — годовая норма дисконтирования денежных средств, принимаемая практически без риска на основе гарантированных годовых дивидендов, выплачиваемых вкладчику по истечении указанного периода высоконадежным банком;
R0 — денежная сумма вложения в высоконадежный банк в начальный момент времени;
R1 — получаемая вкладчиком денежная сумма через год (включая причитающиеся дивиденды).
Здесь уместно одно существенное пояснение. Представленная формула позволяет определить годовую норму дисконтирования, но эта норма является средневзвешенной величиной действующих норм в отдельные периоды (полугодия, кварталы, месяцы) рассматриваемого года.
В условиях стабильно функционирующей рыночной экономики нормы дисконтирования по отдельным периодам года практически остаются одинаковыми и, как правило, не изменяются или меняются незначительно.
Иначе обстоит дело, когда экономика функционирует в условиях инфляции, стагнации, финансового кризиса и т.п. Тогда высоконадежный банк в течение года меняет ставку банковского процента на вложенный капитал, и нормы дисконтирования в отдельные временные интервалы рассматриваемого года следуют за этими ставками, т.е. подвержены изменениям. И такие изменения могут быть существенными.
Например, банк установил в I квартале годовую норму дисконтирования Ес = 0,4; во II квартале — Ес = 0,6; в III квартале — Ес = 0,8; в IV квартале — Ес=1,0. Тогда можно легко определить средневзвешенную годовую норму дисконтирования, которая составит Ес =0,7. Действительно, вложив в начальный момент 100 ден. единиц, по истечении I квартала денежная сумма возрастет на 10 ден. единиц (0,4 : 4), во II квартале прирост составит 15 ден. единиц (0,6 : 4), в III квартале — 20 ден. единиц (0,8 : 4) и в IV квартале — 25 ден. единиц (1,0 : 4). Таким образом, конечная сумма будет 170 ден. единиц (100 + 10 + 15 + 20 + 25). Тогда в соответствии с формулой 7.4 среднегодовая норма дисконтирования составит Ес= 0,7.
Из полученного результата легко определить среднюю за квартал рассматриваемого года норму дисконтирования. Она составит 17,5%, или Ес = 0,7 : 4 = 0,175.
Такая форма дисконтирования называется нормой простого процента. Ее суть заключается в том, что проценты на вложенный капитал определяются и зачисляются на счет вкладчика до конца года. Причем проценты на зачисленные проценты в дальнейшем не начисляются. В этом случае экономисты говорят, что проценты не капитализируются. Они только накапливаются за каждый квартал и выдаются вкладчику в конце года с общей суммой денежных средств. В этом случае средняя норма дисконтирования в одном временном интервале данного года определяется по формуле
Еси = Ес : п, (7.5)
где Еси — средняя в интервале года норма дисконтирования средств;
п — количество временных интервалов в данном году (например, если определяется месячная норма, то п = 12; если квартальная норма, то п = 4; если полугодовая — п = 2 и т.д.).
Однако обычно банки устанавливают годовую учетную ставку процента с расчетом капитализации начисленных за данный временной интервал дивидендов. Это приводит к тому, что норму дисконтирования исчисляют с учетом сложного процента.
Если годовая норма дисконтирования будет определена (формула 7.4), то средневзвешенную норму дисконтирования по временным интервалам года можно рассчитать по формуле
(7.6)
Воспользуемся исходными данными предыдущего примера и, рассчитаем величину нормы Ес и нормы за квартал с учетом сложных процентов. Итак, положив 100 ден. единиц в банк, вкладчик будет иметь:
через один квартал — 100 x 1,1 = 110;
через два квартала — 110 x 1,15 = 126,5;
через три квартала — 126,5 x1,2 = 151,8;
через год — 151,8 x 1,25 = 189,75.
Таким образом, начисление дивидендов с учетом слоя процентов через год обеспечит вкладчику 189,75 денежных единиц (сравните с величиной 170 денежных единиц при начислении дивидендов с применением простых процентов).
Тогда норма дисконтирования за квартал в среднем составит
![]()
Как видно из полученного результата, нормы дисконтирования за квартал года в рассматриваемых примерах очень близки между собой. Но конечный результат выплачиваемых дивидендов при капитализации процентов значительно выше и в сравниваемых примерах на 28,2% больше (89,75 : 70).
Выполняя соответствующие расчеты по описанной выше методике, можно по фактору времени привести в сопоставимый вид разновременные денежные суммы. Это дает возможность с научно-обоснованных позиций соизмерять затраты и результаты производства инвестиционных проектов за достаточно длительный срок.
7.2. Абсолютная, абсолютно-сравнительная
и сравнительная эффективность инвестиций
Любой предприниматель, прежде чем начать новое дело вложить в него денежные средства, постарается оценить выгоду, которую он получит от своей предпринимательской деятельности, и какова будет эффективность его вложений. При этом можно примерно смоделировать его рассуждения и оценки.
Прежде всего предприниматель, очевидно, захочет узнать, какой доход в каждую единицу времени (год, полугодие, квартал, месяц и пр.) будет приносить ему функционирование нового дела. Причем под доходом он может понимать разницу между результатами и издержками производства как в абсолютном (например, прибыль, валовой доход или заработная плата), так и в относительном выражении (например, уровень рентабельности, валовой доход на единицу издержек производства, заработная плата на одного работающего и т.п.).
Получив информацию о будущем доходе, который будет приносить ему новое дело, предприниматель может сделать предварительный вывод о том, выгоден ли ему такой проект, много или мало он сможет получать от реализации задуманного, удовлетворяет ли его такая доходность будущего бизнеса?
От ответа на этот важнейший вопрос зависит в огромной степени судьба будущего планово-управленческого решения по поводу того, стоит ли браться за реализацию нового дела. Если окажется, что, по мнению предпринимателя, расчетный доход очень низок и игра не стоит свеч, то он просто откажется от такого проекта. Однако если доходность проекта устраивает предпринимателя, то он решит продолжить свои изыскания по оценке нового дела.
Итак, первый барьер преодолен. Возникает вопрос: что же за оценка использовалась предпринимателем в этом случае? Обычно экономисты говорят, что это была абсолютная оценка доходности проекта по какому-то конкретному показателю, который для предпринимателя в данном случае имеет наиболее существенное значение.
Но, как правило, ни один предприниматель не примет окончательного решения только на основе абсолютной оценки доходности проекта. Дело в том, что такая оценка не отвечает в полной мере на вопрос, хорош проект или плох с точки зрения альтернативных возможностей вложений, а также в сравнении с существующим богатым опытом предпринимательства и бизнеса.
Чтобы не поступить опрометчиво, предприниматель захочет сравнить абсолютную оценку проекта с такой же оценкой, но взятой в качестве ориентира на основе массового теоретически и практически обоснованного опыта инвестирования средств в новое дело. Иначе говоря, предприниматель захочет сравнить свою абсолютную оценку проекта с заранее установленным нормативом. Причем этот норматив предприниматель может установить для себя самостоятельно на основе каких-то критериев и приоритетов, а может взять его и из практики бизнеса.
Оценка, основанная на сравнении абсолютной оценки проекта с принятым нормативом, называется абсолютно-сравнительной оценкой доходности проекта. Она имеет большое значение для любого предпринимателя. Ведь хотим мы или нет, но так или иначе все познается в сравнении. Только после сравнения с заранее установленным для себя нормативом или нормой предприниматель может более уверенно принимать решение о выгодности проекта и целесообразности его реализации.
Сравнив абсолютную оценку с нормой, проект может быть отвергнут как недостаточно доходный либо признан как высокоэффективный. Все будет зависеть от соотношения абсолютной оценки и норматива. Если абсолютная оценка доходности проекта окажется выше применяемого для сравнения норматива, то проект признается по данному показателю приемлемым и может быть реализован, в противном случае предприниматель от него откажется.
Однако и этого еще не достаточно для окончательной оценки выгодности проекта (точнее сказать, этого достаточно при условии, что данный проект единственный и не имеет альтернативы, тогда можно считать, что решение об инвестициях в данный проект практически установлено и можно приступать к его реализации). Жизнь настолько богата предложениями, что, как правило, всегда можно найти много различных вариантов инвестирования и надо выбрать из всех представляющихся возможностей наилучшее решение.
Например, у предпринимателя кроме решения о создании бизнеса по производству томатной пасты, удовлетворяющего его персональному нормативу эффективности, есть возможность выгодно вложить деньги в ценные бумаги фирмы, выплачивающей значительные дивиденды; есть предложение войти в корпорацию по изготовлению комбикормов для развития животноводства (тоже весьма доходное дело); можно просто положить деньги на депозит в надежный коммерческий банк за весьма привлекательные проценты и т.д. Как выбрать лучшее решение о вложении свободных денежных средств?
В этом случае надо, очевидно, сравнить показатели абсолютной оценки каждого проекта между собой и выбрать из всей совокупности наилучший проект. По сути дела решение такой задачи тоже сводится к сравнению, но оно делается не на основе сопоставления абсолютной оценки проекта с нормативом, а путем сравнения вариантов проектов, прошедших отбор по нормативу, между собой и выбора из рассматриваемых альтернатив лучшего решения. Такая оценка называется сравнительной оценкой доходности проектов.
В принципе все три оценки имеют право на существование, ибо каждая из них решает свою задачу. Любое решение должно быть по обоснованию необходимым и достаточным, давать возможность предпринимателю однозначно и с минимальными затратами времени и средств осуществить выбор лучшего решения с учетом всех обстоятельств.
Итак, подведем некоторые итоги, касающиеся применения различных оценок доходности проекта. Четко прослеживается следующая последовательность действий предпринимателя:
• отбор всех альтернативных вариантов вложений средств, которые могут быть реализованы предпринимателем;
• определение абсолютных оценок доходности каждого варианта вложений;
• отбор из всей совокупности рассматриваемых вариантов тех, которые представляют интерес (экономический, социальный, экологический, политический и т.п.);
• отбраковка остальных вариантов и исключение их из дальнейшего отбора;
• проведение абсолютно-сравнительной оценки одного выбранного варианта: если такая оценка окажется положительной, то данный вариант принимается к реализации, в противном случае он отвергается и предприниматель ищет новые возможности для выгодного помещения своего капитала;
• если после абсолютной оценки остаются несколько различных вариантов, то каждый из них подвергается абсолютно-сравнительной оценке по системе разных критериев;
• предприниматель устанавливает наиболее для него приоритетный критерий и проводит сравнительную оценку доходности альтернативных проектов по избранному критерию, и тот вариант, каким он удовлетворен в большей степени, принимается им для своего бизнеса.
Изложенная схема отбора вариантов для вложений капитала в новое предпринимательское дело прошла многолетнюю апробацию в рыночных странах и частично — в странах с плановой экономикой. Она показала свою высокую надежность там, где методически и информационно все проводимые расчеты осуществлены безошибочно.
7.3. Показатели эффективности инвестиционных вложений
Как отмечалось ранее, субъект, непосредственно вкладывающий в новое дело денежные средства и в дальнейшем называемый инвестором, будет прежде всего стремиться к тому, чтобы его деньги приносили ему наибольшую отдачу, т.е. чтобы его затраты (инвестиции) обеспечили как можно большую эффективность.
Следовательно, понятие эффективность предполагает корректное сопоставление понесенных затрат с полученными результатами. И если под затратами понимаются в данном случае инвестиционные вложения, то под результатами — те доходы, которые появятся вследствие функционирования реализованного предпринимательского проекта.
Рассмотрим, какие конкретно показатели характеризуют производственный результат, ради которого инвестор вкладывает свои деньги в новое предпринимательское дело.
В зависимости от формы собственности будущего или действующего предприятия, в рамках которого формируется новое дело, основной итоговый результат его деятельности выражается в виде прибыли или валового дохода.
На большинстве действующих или вновь образуемых предприятиях, где используется наемный труд и есть конкретный собственник средств производства — работодатель, в качестве основного показателя итогового результата производства принимается прибыль предприятия (рис. 7.2). Она образуется путем вычитания из полученной выручки от основной производственно-хозяйственной деятельности понесенных предприятием текущих затрат на производство продукции. К последним относятся затраты на сырье, материалы, комплектующие, затраты на топливо и энергию, амортизационные отчисления на полное восстановление изношенных основных производственных фондов, затраты на заработную плату (со всеми начислениями). Если все указанные текущие затраты просуммировать, то они составят себестоимость продукции, произведенной в данную единицу времени.

Рис. 7.2. Модель формирования чистой прибыли за жизненный цикл проекта (М — материальные затраты; А — амортизация; О — оплата труда; Н — налоговые платежи)
Выручка за минусом себестоимости продукции составит балансовую прибыль (или просто прибыль, как в дальнейшем будем ее называть). Но эта прибыль еще не есть конечный для данного предприятия итоговый результат деятельности. С полученной прибыли каждое предприятие выплачивает в бюджет (федеральный, региональный и местный) налоги. Все, что остается после окончательных расчетов с бюджетом, называется чистой прибылью предприятия, поступающей в полное его распоряжение. Это и есть итоговый текущий результат производственно-хозяйственной деятельности предприятия, ради которого инвестор вкладывает свои средства в новое дело.
Если рассматривать инвестиции не детально по направлениям вложений, а укрупнёно, то можно констатировать, что они расходуются в основные и в оборотные средства предприятия. Таким образом, налицо две составляющие эффективности: есть затраты (инвестиционные вложения в целом и их доли в основные и оборотные средства предприятия) и есть результат (прибыль и чистая прибыль предприятия, а также текущие затраты на производство продукции по всем элементам, их формирующим).
Однако, рассматривая указанные затраты и результаты, не следует забывать, что все они привязаны к конкретному интервалу времени, а время, как гласит известная пословица, — это деньги. И если инвестиционные вложения, как правило, осуществляются в самом начале жизненного цикла проекта, то результат впоследствии реализуется на протяжении многих временных интервалов. В каждом из них результат может значительно изменяться и по величине, и по структуре. Поэтому приходится приводить в сопоставимый вид все затраты и результаты по фактору времени, как было показано в § 7.1. Причем все текущие результаты по временным интервалам с целью их соизмерения с инвестициями, опять-таки с учетом фактора времени, должны быть просуммированы. На рис. 7.2 это будет выделенный последний столбец параллелепипеда, характеризующий суммарную за все временные интервалы жизненного цикла проекта чистую прибыль предприятия. Вот ее-то и надо сопоставить с осуществленными инвестициями в проект с целью определения их эффективности и привлекательности.
Теперь обратимся к другому варианту показателя конечного результата деятельности предприятия — валовому доходу и чистому валовому доходу предприятия, которые хотя и применяются весьма ограниченно, но, как нам представляется, являются прогрессивными и перспективными с точки зрения их использования в рыночной экономике. Область их распространения пока ограничивается предприятиями частными (семейными) и предприятиями с коллективно-долевой собственностью, у которых отсутствует как таковая заработная плата работающих, ибо на предприятии практически нет наемных работников. Оплата труда членов трудового коллектива строится по конечному результату путем распределения полученного валового дохода пропорционально вкладу каждого работника в созданный доход.
На таких принципах весьма успешно работает МНТК «Микрохирургия глаза», объединяющих 120 предприятий разного профиля. Думается, что за такими предприятиями историческая перспектива, ибо трудовому коллективу принадлежат не только средства производства, но и результаты своего труда. А как показывает жизнь, к своей собственности каждый человек относится очень бережно, стремится использовать ее с максимальной пользой и не допустить разбазаривания. Для предприятий этой категории текущий результат определяется как разница между его выручкой и затратами материальных ресурсов (сырье, материалы, комплектующие и пр.). Иллюстрация такой модели соизмерения затрат и результатов представлена на рис. 7.3.
Во всем остальном эффективность инвестиций оценивается так же, как и для проектов, функционирующих на основе прибыли предприятия и нового предпринимательского дела.

Рис. 7.3. Модель формирования чистого дохода за жизненный цикл проекта (М — материальные затраты; А — амортизация; Н — налоговые платежи)
С учетом изложенного рассмотрим в общем виде важнейшие показатели абсолютной, абсолютно-сравнительной и сравнительной эффективности инвестиций в новое предпринимательское дело.[2]
Эти показатели сводятся к следующему виду:
1)
абсолютная
оценка; (1а)
2)
абсолютно- сравнительная оценка;
(2а)
Р норматив И ³ 0 Þ абсолютно-сравнительная оценка; (26)
3)
сравнительная
оценка; (За)
Р1 ¾ норматив × И1 ³ 0 ¼ Р2 ¾ норматив × И2 ³ 0 ¼ норматив × Р ³ 0 Þ сравнительная оценка (36)
Во всех этих выражениях приняты обозначения:
Р — результат производства, представляющий собой либо прибыль (балансовую или чистую), либо валовой доход (общий или чистый), взятые за все временные интервалы жизненного цикла проекта;
И — инвестиционные вложения в новое предпринимательское дело, которые представляют собой их сумму, взятую за инвестиционный период проекта;
норматив — установленный фирмой или действующий норматив эффективности инвестиционных вложений.
Прокомментируем представленные выражения. Абсолютная оценка строится либо путем отношения результата к затратам (или, наоборот, затрат к результату), либо как разность между результатом и затратами. Полученная величина оценивается предпринимателем, который выносит решение о целесообразности вложений в конкретный проект. Например, если предприятие по проекту будет получать ежегодную прибыль в размере, скажем, 100 тыс. руб., а требуемые вложения составляют 500 тыс. руб., то в соответствии с 1а абсолютная оценка проекта составляет 0,2 руб./руб. или 5 лет. Хорошо это или плохо — определит инвестор, который и решит, стоит ли вкладывать свои деньги в проект.
Абсолютно-сравнительная оценка определяется тоже путем отношения результата к затратам (или наоборот) либо определения их разности. Рассчитанные значения сравниваются с заранее установленным нормативом. Например, предприятие при тех же исходных данных, что и для предыдущего примера, имеет норматив эффективности, равный 0,18 руб./руб. Тогда ясно, что расчетный вариант проекта в соответствии с 2а превышает установленный норматив 0,2 > 0,18 и, следовательно, в принципе эффективен, может быть принят к реализации, ибо его абсолютно-сравнительная оценка является положительной.
И наконец, сравнительная оценка. Она заключается в том, что по каждому альтернативному варианту проекта (или проектов), по выбранным для сравнения показателям, имеющим для предпринимателя наибольшее значение, отбирается лучший вариант. В этом случае для каждого варианта подсчитывается либо абсолютная, либо абсолютно-сравнительная оценка, а затем эти оценки сравниваются.
Итак, подведем окончательный итог. Абсолютная и абсолютно-сравнительная оценки применяются для отбраковки проекта или допуска его к участию в конкурсе для отбора наивыгоднейшего проектного решения среди всех вариантов, прошедших предварительную экспертизу. Таким образом, абсолютная и абсолютно-сравнительная оценки выступают как бы в роли специального инструмента выполнения важнейшей функции ранжирования проектных решений и установления их рейтинга. Кроме того, как правило, абсолютные оценки применяются для обоснования, например, необходимости что-то производить, строить, возводить и т.д., т.е. для принятия принципиального решения о необходимости реализации проекта.
Однако очень важно после принятия главного решения о реализации проекта определить, как, с помощью каких технологических методов, оборудования, какими организационными решениями возводить тот или иной объект. Ведь здесь может быть представлено множество вариантов решения одной и той же задачи. Их отбор для окончательной реализации и есть цель сравнительной оценки эффективности дополнительных капитальных вложений.
Окончательное решение о лучшем варианте будет принято после того, как завершится сравнительная оценка всех участвующих в конкурсе проектных альтернатив.
7.4. Простейшие методы экономической оценки
проектов и область их возможного применения
Экономическая оценка предпринимательских проектов представляет собой довольно сложную и трудоемкую расчетную операцию, для проведения которой требуется весьма значительная по объему информация. Ее получение порой бывает очень проблематичным, а нередко необходимая информация оказывается недостаточно объективной. Поэтому давно возникла потребность использовать простейшие методы экономической оценки. Такая оценка иногда бывает вполне приемлемой или дает некоторую погрешность в расчетах, которой можно пренебречь в условиях информационного голода. Речь идет о том, чтобы, используя некоторые допущения или установив заранее границы возможного применения, дать в руки предпринимателю достаточно надежный, а главное, простой расчетный инструмент, позволяющий дать приближенную экономическую оценку проекта с погрешностью, находящейся в пределах, близких к достоверности.
Коэффициент сравнительной экономической эффективности капитальных вложений. Начнем со сравнительного анализа вариантов вложений, у которых будут разные текущие и капитальные затраты. Запишем формулу в общем виде для исчисления себестоимости продукции:
С = З + М + а · К , (7.7)
где С — себестоимость годового объема производства продукции;
З — затраты на заработную плату трудового коллектива со всеми начислениями за год;
М — затраты материальных и топливно-энергетических ресурсов, расходуемых на производство продукции за год;
К — капитальные вложения в основные производственные фонды предприятия;
а — годовая норма амортизации основных производственных фондов.
Разложим представленную формулу на две составляющие:
С = (З + М) + а · К .
Затраты, стоящие в скобках, есть часть текущих затрат предприятия, имеющих тенденцию к сокращению с увеличением фондоемкости производства, с насыщением предприятия средствами механизации и автоматизации, с применением прогрессивной технологии. Одним словом, эти затраты будут естественным образом сокращаться по мере роста технической вооруженности труда, механовооруженности, энерговооруженности труда и т.п.
При этом другая составляющая формулы 7.7, которая отражает амортизационные затраты с основных производственных фондов, будет по мере роста последних увеличиваться, так как придется нести все более и более значительные капитальные затраты в их создание и оснащение предприятия необходимыми машинами, оборудованием, средствами механизации, автоматизации и др.
Описанная закономерность наглядно проиллюстрирована на рис. 7.4.
![]()

Рис.7.4. Влияние капитальных затрат
на величину себестоимости продукции
На рисунке представлены три кривые в системе координат, где по оси ординат откладываются текущие затраты на производство продукции (себестоимость), а по оси абсцисс — капитальные вложения в производство продукции.
Когда фондоемкость производства низкая и почти все производственные операции выполняются с помощью ручного труда, себестоимость производства продукции окажется самой высокой. При этом потребуются совершенно незначительные капитальные вложения в основные производственные фонды.
Однако по мере насыщения техникой производственного процесса, а следовательно, увеличения капитальных вложений в производство, будет наблюдаться снижение себестоимости продукции. При этом закономерность снижения текущих затрат по мере добавления вложений в производство будет представлять гиперболическую зависимость (кривая З + М). Каждая последующая порция капитальных вложений вызовет снижение затрат на заработную плату и материальные ресурсы и замедление темпов такого снижения, ибо резервы экономии указанных затрат будут постепенно сокращаться. Ведь вполне очевидно, что сами эти затраты не могут превратиться в ноль, сколько бы ни вкладывалось средств в развитие технической базы производства.
Иначе ведет себя другая составляющая себестоимости — амортизация, которая будет возрастать прямо пропорционально капитальным вложениям в производство. Поэтому на графике амортизация представлена в виде прямой линии, исходящей из начала координат.
Если просуммировать обе составляющие себестоимости, то закономерность ее изменения по мере насыщения производства основными производственными фондами отображается кривой, у которой вначале наблюдается падение текущих затрат до определенного уровня, а затем, перейдя точку перегиба, затраты начнут возрастать. Это и будет кривая изменения себестоимости продукции в зависимости от размера капитальных вложений в производство (кривая С).
Выделим на этой кривой три точки: 1, 2 и 3. Точка 1 соответствует минимальному значению себестоимости выпускаемой продукции. Точки 2 и 3 имеют себестоимость продукции выше, чем у точки 1. Но если точка 2 и проигрывает точке 1 в себестоимости, зато она выигрывает на капитальных затратах, представляя тем самым для инвестора определенный интерес. Поэтому необходимо рассматривать точку 2 как альтернативу точке 1, ибо обе они в чем-то выигрывают, а в чем-то проигрывают друг другу (выигрыш в себестоимости и проигрыш в капитальных затратах, и наоборот).
Иначе обстоит дело с точкой 3: она проигрывает точке 1 и в себестоимости, и в капитальных затратах. Следовательно, такая точка не представляет интереса ни для предпринимателя, ни для инвестора. Она по всем статьям проигрывает точке 1, а потому из дальнейшего анализа исключается как не соответствующая требованиям эффективности. Поэтому надо считать точку 1 правой границей рассматриваемых и включаемых в анализ эффективности вариантов вложений. Все точки, лежащие левее этой границы, могут представлять экономический интерес и должны включаться в сравнительный анализ для выбора лучшего из рассматриваемых вариантов.
В дальнейшем мы будем рассматривать только две точки — 1 и 2. Точка 1 — единственная в своем роде, определяющая границу эффективности вложений, а точка 2 — является представителем любой возможной альтернативной точки, которая может оказаться более привлекательной, чем точка 1. Дальнейший анализ сравнительной эффективности вложений на примере двух указанных точек можно рассматривать как необходимый и достаточный.
Итак, первый вопрос, который возникает в процессе анализа: какой из двух рассматриваемых альтернативных вариантов является более предпочтительным по чисто экономическим соображениям? Напомним, что по всем остальным признакам оба этих варианта полностью удовлетворяют и предпринимателя, и возможного инвестора.
Построим наши рассуждения следующим образом. Если внедрить первый вариант, отказавшись при этом от второго, то за год можно сэкономить на себестоимости продукции величину (С2 — С1). Эта экономия, разумеется, сравнительная, ибо показывает, какой выигрыш получит предприниматель, отдав предпочтение первому варианту. Однако есть не только выигрыш, но и проигрыш. Внедряя первый вариант, предприниматель несет более весомые капитальные затраты по сравнению со вторым вариантом, и этот проигрыш можно точно подсчитать. Он составит (К1 — К2) или, как говорят экономисты, его внедрение потребует дополнительных капитальных вложений в размере ∆К.
Остается соизмерить полученную выгоду с дополнительными единовременными вложениями от внедрения первого варианта, по сравнению со вторым. Это можно сделать, если взять отношение получаемого эффекта и дополнительных капитальных затрат:
(С2 — С1) : (К1 — К2).
Такое соотношение называется коэффициентом сравнительной экономической эффективности дополнительных капитальных вложении. Величину этого коэффициента можно записать в виде следующей формулы:
Е = (С2 — С1) :(К1— К2), (7.8)
где Е — величина искомого коэффициента эффективности;
С1 и С2 — соответственно себестоимость годового объема производства продукции в руб./год по первому и второму вариантам;
К1 и К2 — соответственно капиталовложения в первый и второй варианты, руб.
Иногда вместо коэффициента эффективности определяют обратное ему выражение — показатель срока окупаемости дополнительных капитальных затрат. Его величина рассчитывается по формуле
Т = (К1— К2) : (С2— С1), (7.9)
где Т — срок окупаемости дополнительных капитальных вложений, лет.
Рассчитав показатель коэффициента эффективности по формуле 7.8 или срока окупаемости по формуле 7.9, еще невозможно ответить на вопрос, какой из двух вариантов наилучший. В величине этих показателей такого ответа не содержится, ибо непонятно, к какому из двух вариантов относятся полученные цифровые результаты.
Чтобы ответить на главный вопрос, ради которого все эти расчеты проводились, необходимо сравнить полученные расчетные показатели с заранее установленным нормативом. Их обозначают соответственно Ен и Тн. Тогда условие выгодности более капиталоемкого варианта можно представить в виде следующих неравенств:
Е > Ен или Т < Тн . (7.10)
Указанные условия лучше всего изобразить в виде следующих выражений (напомним, что это будут условия выгодности более капиталоемкого варианта по сравнению с менее капиталоемким из двух рассматриваемых и сопоставляемых между собой):
(7.11)
В дальнейшем в основном будем пользоваться первой из представленных формул, т.е. формулой коэффициента сравнительной эффективности дополнительных капитальных вложений.
Итак, как же пользоваться этими формулами?
Пусть имеются два альтернативных варианта вложений. По первому варианту себестоимость производства продукции за год составляет С1 = 10000 руб., а по второму варианту тот же показатель пусть будет равен С2 = 12000 руб. Потребность в капитальных вложениях будет соответственно равна К1 = 200000 руб. и К2 = 190000 руб.
Определим коэффициент эффективности по формуле 7.8:
Е= 12000 -10000 : 200000 - 190000 = 2000 :10000 = 0,2 .
О чем говорит полученная величина? Она свидетельствует, что дополнительные капитальные вложения дадут отдачу в размере 0,2 руб. экономического эффекта от снижения себестоимости продукции на каждый рубль дополнительных вложений. Но опять-таки хорошо это или плохо — сказать невозможно, и какой из двух рассматриваемых вариантов лучше — тоже неясно.
Чтобы ответить на этот главный вопрос, обратимся к нормативу эффективности. Пусть он будет Ен = 0,15. Тогда в соответствии с формулой 7.11, можно утверждать, что более выгодным будет более капиталоемкий вариант, т.е. в данном случае это будет первый вариант, ибо в соответствии с формулой 7.10 0,2 > 0,15. Обратим внимание на то, что если норматив будет принят на уровне Ен = 0,25, то более выгодным станет менее капиталоемкий вариант — в данном случае второй.
Из изложенного вытекает очень важное следствие: при выборе лучшего варианта из двух рассматриваемых большое значение имеет величина принятого норматива эффективности дополнительных вложении, т.е. норма Ен .
Каково должно быть значение норматива эффективности, как установить его величину? Ведь от этого один и тот же вариант может быть принят к внедрению или отвергнут как неэффективный.
В условиях планово-директивной системы хозяйствования значение норматива эффективности Ен устанавливалось государством в централизованном порядке и примерно соответствовало средней норме рентабельности основных производственных фондов в народном хозяйстве. Последняя такая норма в условиях СССР была установлена на уровне Eн = 0,15.
В условиях рынка каждая фирма должна установить для себя значение такого норматива самостоятельно и независимо от других фирм.
Чем же руководствуются фирмы при определении величины норматива эффективности дополнительных капитальных вложений? Ответить на этот вопрос за все фирмы, работающие в рынке, практически невозможно. У каждой из них могут быть в каждый данный момент свои особые проблемы, возможности, потребности в капитальных вложениях, свободные денежные ресурсы и, наконец, просто собственные представления о том, какой должна быть норма эффективности вложений.
И все же можно дать определенную рекомендацию, без учета которой ни одна фирма не будет устанавливать для себя норму эффективности капитальных вложений. Такая рекомендация учитывает чистые дивиденды, которые выплачивает на вложенные денежные средства по годовому депозиту высоконадежный коммерческий банк. Тогда у предпринимателя появляется альтернатива несколько иначе использовать свободные денежные ресурсы, получая гарантированный доход от их вложений на один год в указанный банк. При этом предприниматель рассуждает примерно так. Можно вложить деньги в конкретный проект, который при его реализации принесет на каждый рубль капитальных затрат эффект на экономии текущих затрат, скажем, 0,3 руб. Однако можно не вкладывать свободные деньги в проект, а положить их в банк и гарантированно получать на внесенные деньга чистые дивиденды в размере, скажем, 0,2 руб. Следовательно, последняя цифра и будет тем самым ориентиром, с которым предприниматель будет сопоставлять свои возможные доходы от реализации проектного решения.
Если получаемые от проекта доходы будут больше, чем он может получить в банке, то следует, очевидно, вкладывать деньги в реализацию проекта. Если проект даст доход меньше, чем гарантирует банк, то лучше вкладывать деньги именно в банковский депозит. Отсюда ясно, что гарантированный дивиденд и есть тот самый норматив эффективности дополнительных капитальных вложений, который в первом приближении может принять фирма для решения своих предпринимательских задач в соответствии с условием формулы 7.11.
Разумеется, каждая фирма может установить определенную поправку на величину такого норматива. Например, она может учесть риск вложений в проект, и тогда норма эффективности вложений несколько возрастет. Вообще можно порекомендовать формулу для определения величины указанного норматива:
Ен = Е г + Ер + Е п , (7.12)
где Ен — норматив сравнительной экономической эффективности дополнительных капитальных вложений;
Ег — гарантированная норма доходности вложений в высоконадежный коммерческий банк;
Ер — дополнительная страховая норма, учитывающая риск вложений в проект (эта норма должна учитывать страхование проектной деятельности, и от полноты страховки норматив будет либо равен нулю, либо примет значительные размеры);
Еп — минимальная предельная норма доходности вложений, которая принимается предпринимателем для положительного решения о дополнительных вложениях в реализацию отобранного варианта проекта.
По экономической сущности последнее слагаемое формулы 7.12 и есть тот самый дополнительный эффект от снижения себестоимости продукции при реализации более капиталоемкого варианта, ради которого он и принимается к внедрению. Два первых слагаемых при этом играют роль воспроизведения гарантированного дохода от вложений денежных средств в высоконадежный банк.
Приведенные затраты и область использования этого показателя при оценке проектов. Разобравшись с нормативом эффективности, вернемся к формуле 7.11. С ее помощью можно выяснить целесообразность внедрения того или иного варианта из двух рассматриваемых.
А что, если таких вариантов будет более двух? Как быть с отбором лучшего из них? В этом случае можно поступить следующим образом. Отбираются два любых варианта и с помощью расчета по указанной формуле определяется, какой из них лучший. Этот вариант сравнивается с любым другим альтернативным вариантом по той же формуле 7.11. Из новой пары вариантов опять можно отобрать лучший, и так до тех пор, пока не будет найден самый лучший вариант из всех предложенных к анализу и рассмотрению.
Надо отметить, что подобная схема отбора лучшего варианта не очень удобна в техническом плане, поскольку нередко альтернативных вариантов бывает довольно много и выполнять описанную процедуру не очень удобно. Например, когда решался вопрос о строительстве в СССР завода по производству легковых автомобилей в конце 60-х годов мощностью 660 тыс. автомобилей в год, то рассматривалось 70 различных вариантов размещения этого предприятия на территории страны. Естественно, проводить парные сравнения было неудобно, а главное — нецелесообразно, ибо при этом терялась очень важная информация о рейтинге каждого альтернативного варианта.
Чтобы устранить неудобства и придать отбору вариантов вложений более объективный характер и высокую информативность в части приоритетности каждого из рассматриваемых вариантов, нужно иметь более надежный и простой способ отбора вариантов и установления их рейтинга.
И это оказалось возможным. Покажем переход от формулы 7.11 к другой формуле, которая решает указанные задачи одновременно.
Запишем условие выгодности более капиталоемкого варианта из двух рассматриваемых. Такое условие можно представить в следующем виде:
![]()
Если умножить левую и правую части этого неравенства на знаменатель (К1 — К2), то можно получить выражение, которое сохраняет первоначально сформулированное условие о выгодности более капиталоемкого варианта:
С2 — С1> Ен (К1 — К2) .
Раскроем скобки в правой части выражения и перегруппируем его элементы таким образом, чтобы они были с одинаковыми индексами по разные стороны от знака неравенства. Напомним, что наше сформулированное выше условие о выгодности более капиталоемкого варианта остается в силе и не нарушено преобразованиями исходного неравенства. Тогда получим следующее выражение:
С2 + Ен · К2 > С1 + Ен · К1 .
Поскольку данное выражение отражает исходное условие о том, что из двух рассматриваемых вариантов выгоднее является более капиталоемкий, т.е. в данном случае первый вариант, отметим, что именно у этого варианта суммарные затраты, показанные в правой части неравенства, являются наименьшими. Если бы они оказались больше, то выгоднее был бы уже менее капиталоемкий вариант.
Отсюда можно сделать вывод: во всех случаях наиболее выгодным из множества рассматриваемых вариантов всегда будет тот, у которого суммарные затраты окажутся наименьшими. Таким образом, получен критерий отбора лучшего варианта вложений из сколь угодно большого числа альтернативных вариантов. Этот критерий выглядит следующим образом:
С + Ен · К Þ мин. (7.13)
Итак, получен широко известный критерий сравнительной экономической эффективности капитальных вложений и отбора лучшего варианта из множества конкурирующих между собой и претендующих на внедрение, получивший название минимум приведенных затрат. Этот критерий широко применялся в условиях плановой экономики.
Рассмотрим пример использования полученного критерия. Пусть предприятию предложены три варианта новой техники со следующими исходными данными:
Вариант первый Вариант второй Вариант третий
С1 = 80000 руб./год С2 = 88000 руб./год С3 = 94000 руб./год
К1 = 500000 руб. К2 = 450000 руб. К3 = 400000 руб.
Нормативный коэффициент эффективности Ен = 0,2.
Тогда приведенные затраты по вариантам составят:
первый вариант — 80000 + (0,2 · 500000) = 180000 руб./год;
второй вариант — 88000 + (0,2 · 450000) = 178000 руб./год;
третий вариант — 94000 + (0,2 · 400000) = 174000 руб./год.
Таким образом, лучшим вариантом проектного решения является третий, поскольку у него наименьшие приведенные затраты.
В печати этот критерий неоднократно подвергался резкой и несправедливой критике в основном из-за непонимания роли, значения и функций приведенных затрат как показателя сравнительной эффективности и критерия отбора лучшего варианта. Критика приведенных затрат происходит из-за непонимания той роли, которую этот показатель должен был выполнять. Ему навязывалась чужеродная роль абсолютной оценки эффективности вложений, которую он никогда не выполнял и не должен был выполнять, так как изначально создавался совсем для иной цели. Чтобы это понять, напомним историю появления этого критерия.
В начале XX в. в России по решению правительства должно было начаться строительство железной дороги между двумя городами. В связи с этим было разработано несколько проектов, из которых нужно было отобрать наиболее экономичный. Каждый альтернативный вариант отличался от других годовыми текущими и капитальными затратами. Например, вариант кратчайшего пути между двумя городами обеспечивал минимальные годовые текущие затраты, но требовал огромных капитальных вложений, ибо трасса дороги проходила сквозь болотистые участки, непроходимые леса и изобиловала местами тяжелой для всего живого экологией. Другой вариант, напротив, обходил все трудности для строителей, но увеличивал при этом протяженность трассы, вследствие чего требовал для своей реализации минимальных капитальных вложений, но при этом значительно увеличивал ежегодные текущие затраты. Были и другие варианты.
Тогда и возникла проблема отбора наилучшего с точки зрения экономики варианта, который позволил бы соизмерить разницу на текущих затратах с дополнительными капитальными вложениями. При этом заметим, что абсолютная оценка необходимости строительства дороги, выполненная ранее, была положительной.
Российские ученые-экономисты блестяще справились с этой задачей, получив в результате изысканий знаменитую формулу приведенных затрат (формула 7.13). С тех пор она неоднократно применялась в практике как народнохозяйственного планирования, так и планирования деятельности предприятий. Причем ее успешно можно применять (при определенных условиях, речь о которых будет идти далее) как в плановой, так и в рыночной экономике.
Одним из примеров использования критерия приведенных затрат в народном хозяйстве является обоснование строительства АВТОВАЗа в г. Тольятти, когда рассматривали 70 вариантов размещения этого предприятия на территории страны. Особенно широко использовался этот критерий на многочисленных предприятиях, когда при внедрении достижений научно-технического прогресса экономились текущие затраты за счет дополнительных вложений в мероприятия НТП. Думается, что в защиту этого критерия нет необходимости приводить сотни и тысячи примеров. Достаточно сказать, что без него сопоставить между собой варианты вложений и определить сравнительную их эффективность просто невозможно.
Итак, важной функцией приведенных затрат является их роль критерия сравнительной экономической эффективности дополнительных капитальных вложений среди вариантов, прошедших предварительный отбор по абсолютной оценке эффективности.
Применение приведенных затрат в практике сравнения вариантов позволяет сформулировать несколько следствий, использование которых позволит упростить процедуру расчетов и ускорить отбор лучших вариантов, не теряя точности выводов. Вот эти следствия.
Следствие первое. Если рассматриваются между собой варианты, у которых капитальные вложения одинаковы, то лучший вариант выбирается по минимуму себестоимости производства.
Следствие второе. Если рассматриваются варианты с одинаковой себестоимостью производства, то лучший вариант выбирается по минимуму капитальных вложений.
Следствие третье. Если среди рассматриваемых вариантов имеется одинаковая часть себестоимости и одинаковая часть капитальных затрат, то лучший вариант выбирается только по изменяющимся частям текущих и капитальных затрат (например, если по вариантам изменяется материалоемкость продукции в составе себестоимости, то лучший вариант будет определяться по минимуму материальных затрат, и всю себестоимость определять будет не нужно).
Все эти следствия исходят из того, что сами по себе приведенные затраты в практике учета, отчетности и планирования не применяются. Они нужны только для сравнения вариантов между собой, поэтому должны рассчитываться по каждому из них для дальнейшего сопоставления. После выполнения этой важной функции и предоставления информации для принятия планово-управленческого решения миссия приведенных затрат заканчивается.
Однако нельзя идеализировать показатель приведенных затрат, поскольку он имеет серьезный недостаток — ограниченную область возможного использования. Этот недостаток и обусловил преимущественное применение показателя приведенных затрат в практике плановой экономики. Сформулируем основные условия, которые должны быть обязательно выдержаны, чтобы применение данного критерия давало объективный результат.
Условие первое. У всех сравниваемых вариантов годовой объем производства продукции должен быть абсолютно одинаковым.
Условие второе. У всех сравниваемых вариантов качество выпускаемой продукции должно быть одинаковым.
Условие третье. Все сравниваемые варианты должны пройти предварительную экспертизу по абсолютной оценке эффективности (при этом абсолютная оценка может быть принята по экономическим, социальным, политическим, экологическим и прочим соображениям).
Условие четвертое. Годовой объем производства и качество выпускаемой продукции по годам жизненного цикла проекта должны оставаться постоянными для полного и объективного сопоставления приведенных затрат.
Условие пятое. Норма сравнительной экономической эффективности капитальных вложений Ен должна оставаться постоянной на протяжении всего жизненного цикла проекта и не изменяться по годам указанного периода.
Условие шестое. Цены на используемые производственные ресурсы должны оставаться постоянными на протяжении всего жизненного цикла проекта.
Естественно, соблюсти все эти условия практически маловероятно, однако в условиях плановой экономики считалось, что первые три условия достаточно точно выполнялись. Действительно, объем производства и качество продукции задавались вышестоящими организациями (министерствами, ведомствами, Госпланом и т.п.) и по вариантам должны были полностью совпадать. Третье условие тоже выдерживалось в соответствии с функцией сравнительного отбора вариантов по минимуму приведенных затрат. Остальные условия, конечно, могли нарушаться, что приводило к определенным погрешностям в расчетах. Обычно погрешности были не очень существенными, а с течением времени их значимость и вовсе уменьшалась. Поэтому критерий приведенных затрат при соблюдении первых трех условий очень часто обеспечивал достаточно точный результат, пригодный для практического использования.
Приведенный эффект и область его использования. Сфера применения критерия минимума приведенных затрат в условиях рынка оказалась крайне ограниченной, а если он и использовался, то далеко не всегда с его помощью удавалось отобрать лучший вариант проектного решения. Поэтому целесообразно рассмотреть возможность модификации минимума приведенных затрат и перехода к более универсальному критерию.
Для решения этой задачи выясним, к чему приведет нарушение первого условия, если при этом применять приведенные затраты для отбора лучших вариантов. Очевидно, что эти затраты будут больше у того варианта, у которого больше производственная программа. Если вся выпущенная продукция будет реализована, то такой вариант обеспечит предприятию гораздо лучший результат, чем вариант, у которого выпуск продукции будет меньше. Вместе с тем приведенные затраты у этого лучшего варианта окажутся больше. Следовательно, в данном случае применять приведенные затраты невозможно, поскольку они исказят результат целесообразности отбора вариантов.
Такая же погрешность будет иметь место при различных уровнях качества выпускаемой продукции. Ведь с улучшением качества затраты на производство продукции возрастают, и, следовательно, приведенные затраты окажутся меньше у варианта с худшим качеством производимой продукции. Проигрыш в таком случае, если будет действовать критерий приведенных затрат, налицо. Поэтому оценка сравнительной эффективности вариантов вложений, если первые два условия будут нарушены, должна строиться по критерию не минимума затрат, а максимума результата. И это легко проследить с помощью рис. 7.5.
Когда результат производства в виде выручки предприятия остается постоянным (прямая линия «а») по сравниваемым вариантам в силу того, что у них будут одинаковыми и объем производства, и качество продукции, то становится ясным, почему критерий минимума приведенных затрат в таком случае обеспечивает правильный отбор лучшего варианта вложений. Этот критерий при постоянной выручке максимизирует результат производства в виде прибыли предприятия посредством минимизации затрат. Но поскольку постоянная величина на конечный результат сравнения вариантов влияния не оказывает, ее можно отбросить (тем более, что эта величина зачастую неизвестна, и тратить силы и время на ее обоснование нет необходимости). Так как критерий из максимума результата переходит в минимум затрат, то он прекрасно выполняет функцию отбора лучших вариантов вложений для частного случая. Однако распространенность этого частного случая очень велика, а потому данный критерий нашел широкое применение не только в плановой экономике (где ему в силу специфики хозяйственного механизма был обеспечен простор для полного действия), но и в рыночной экономике при соблюдении указанных условий.

Рис.7.5. Влияние капитальных затрат
на величину результата (прибыли) производства
Однако что же произойдет, если указанные условия будут нарушены и по сравниваемым вариантам будут отличаться либо объемы производства, либо уровни качества производимой продукции, либо будет отличаться и то и другое? В подобном случае затраты по вариантам будут существенно возрастать, но также, очевидно, будут возрастать и результаты производства в виде выручки предприятия (линия «б» на рис. 7.5). Тогда, очевидно, критерий должен быть заменен: с минимума затрат надо перейти на максимум результата.
Попытаемся этот критерий получить, для чего запишем условие выгодности более капиталоемкого варианта из двух рассматриваемых альтернативных вариантов. Оно будет следующим:
(7.14)
где В1 и В2 — соответственно выручка по первому и второму вариантам вложений за год;
С1 и С2 — соответственно себестоимость годового объема производства продукции по первому и второму вариантам;
Ен — норма сравнительной экономической эффективности дополнительных капитальных вложений.
Умножив обе части неравенства на величину (К2 - К1), получим выражение, которое будет отражать наше исходное условие о том, что более капиталоемкий вариант является выгоднее:
В2 - С2 - Ен К2 > В1 - С1 – Ен К1 .
Заменим B1 = N · ц1 и В2 = N2 · ц2 ,
где N1 и N2 — соответственно годовые объемы производства продукции по первому и второму вариантам;
ц1 и ц2 — соответственно цены реализации единицы продукции по первому и второму вариантам.
После подстановки в исходное условие получим
N2 ц2 - (С2 – ЕнК2) > N1 ц1 - (С1 - Ен К1) , (7.15)
Вынесем в правой и левой частях неравенства годовой объем производства за квадратные скобки. Тогда получим
(7.16),
где с1 и с2 — соответственно себестоимость единицы продукции по первому и второму вариантам вложений (С1 = N1 с1 и С2 = N2с2);
К1у и К2у — соответственно удельные капитальные вложения на единицу продукции по первому и второму вариантам (К1у = К1 : N1 и К2у = = К2 : N2).
Исходя из условия выгодности более капиталоемкого варианта левая часть выражения 7.16 больше правой части. Поэтому, обобщив представленное выражение, окончательно получим критерий сравнительной экономической эффективности дополнительных капитальных вложений, который будет иметь вид:
Эп = N [ц — (с + ЕнКу)] Þ max, (7.17),
где Эп — показатель приведенного эффекта, который выступает в качестве критерия сравнительной экономической эффективности дополнительных капитальных вложений.
В соответствии с требованием данного критерия из всех альтернативных вариантов вложений к внедрению следует принимать тот из них, у которого приведенный эффект окажется наибольшим. Причем данный критерий полностью устраняет первые три условия, которые надо обязательно соблюдать, чтобы им можно было пользоваться для поиска наилучшего варианта. В рассматриваемом критерии могут отличаться по вариантам и объемы производства продукции, и качество продукции. Кроме того, величина этого критерия должна быть строго больше нуля, что позволяет одновременно учесть третье условие о соблюдении абсолютной оценки эффективности вариантов проекта.
Рассмотрим конкретный пример расчета сравнительной экономической эффективности вариантов проекта и отбора лучшего из них.
Предположим, что имеются три варианта технологического процесса, которые отличаются количеством выпускаемой продукции, качеством готовых товаров, текущими и капитальными затратами. Нормативный коэффициент сравнительной экономической эффективности дополнительных капитальных вложений составляет Ен = 0,25. Основные исходные данные по вариантам следующие:
Вариант первый. Вариант второй. Вариант третий.
N1 = 16800 изд./год N2 = 14000 изд./год N3 = 15400 изд./год
ц1 = 21,4 руб./изд. ц2 = 20,8 руб./изд. ц3 = 19,1 руб./изд.
с1= 15,2 руб./изд. с2 = 14,9руб./изд. с3 = 13,2руб./изд.
Ку1 = 21,3 руб./изд. Ку2 = 19,3 руб./изд. Ку3 = 18,5 руб./изд.
По исходным данным произведем расчеты приведенного эффекта (формула 7.17 ).
Эп1 = 16800[21,4 - (15,2 + 0,25 x 21,3)] = 14700 руб./год
Эп2 = 14000[20,8 - (14,9 + 0,25 x19,3)] = 15050 руб./год
Эп3 = 15400[19,1 - (13,2 + 0,25 x 8,5)] = 19635 руб./год
Из полученных результатов становится ясно, что самым выгодным в данном случае оказывается третий вариант. У него приведенный эффект наивысший — 19 635 руб. за год эксплуатации проекта. Такой результат получен за счет относительно низких текущих и капитальных затрат на каждую единицу выпускаемой продукции.
Вопросы для самопроверки и самоконтроля
1. Перечислите основные затраты производства и назовите, из каких производственных ресурсов они формируются.
2. Укажите важнейшие результаты производства.
3. Для чего нужно соизмерять затраты и результаты производства при оценке эффективности предпринимательских проектов?
4. Перечислите основные условия соизмерения затрат и результатов производства. Объясните необходимость их соблюдения и экономическую сущность этого процесса.
5. Что такое дисконтирование затрат и результатов? Как осуществляется операция дисконтирования? В чем экономический смысл данной расчетной операции?
6. Укажите три основных варианта возможного дисконтирования денежных средств к определенному моменту времени.
7. Как установить величину нормы дисконтирования при проведении расчетной операции, учитывающей фактор времени?
8. Чем отличаются нормы простого и сложного процентов при дисконтировании денежных средств? Как осуществить переход от простого к сложному, и наоборот?
9. Что такое капитализация процентов и какую норму дисконтирования она отражает?
10. Смоделируйте рассуждения предпринимателя о целесообразности открытия нового дела и вложения в него определенных денежных средств.
11. Что такое абсолютная оценка доходности проекта? Укажите конкретные показатели, которые могут ее отражать, назовите основной ее недостаток.
12. Что собой представляет абсолютно-сравнительная оценка доходности проекта? В чем ее экономическая суть и чем она отличается от абсолютной оценки?
13. В чем экономический смысл сравнительной оценки доходности проекта?
14. Какая из оценок доходности проекта и когда применяется предпринимателем? В чем достоинства и недостатки каждой из них?
15. Укажите последовательность действий предпринимателя при решении вопроса об инвестировании денежных средств в наиболее рациональный проект.
16. Что понимается под затратами и результатами при оценке доходности проекта?
17. Как определяется балансовая и чистая прибыль предприятия и как можно ее просуммировать по всем временным интервалам за весь жизненный цикл проекта?
18. Как определить валовой и чистый валовой доход предприятия по отдельным временным интервалам и как рассчитать их сумму за жизненный цикл проекта?
19. Укажите типовые решения определения показателей, характеризующих абсолютную абсолютно-сравнительную и сравнительную оценки доходности проекта.
20. Объясните разницу между оценками и показателями доходности проекта.
21. Приведите конкретные примеры использования различных оценок доходности проекта и укажите последовательность их применения на практике.
22. Приведите укрупненную формулу для определения себестоимости (текущих затрат) производства продукции.
23. Сгруппируйте затраты в зависимости от их изменения под влиянием увеличения фондоемкости производства.
24. Постройте типовой график изменения себестоимости продукции от величины капитальных вложений в производство.
25. Дайте анализ изменения себестоимости производства от величины капитальных вложений в него и укажите экономическую границу поиска лучших вариантов проектных решений по минимуму затрат.
26. Сделайте сравнительный анализ эффективности двух проектных решений внутри выделенной экономической границы и укажите, как выбрать лучший из них.
27. Какой показатель для выбора одного из двух вариантов следует рассчитывать, как он называется и каков его экономический смысл?
28. Как отобрать лучший из двух альтернативных вариантов? Как поступить, если количество возможных вариантов более двух?
29. Как обосновать величину норматива сравнительной экономической эффективности дополнительных капитальных вложений?
30. Назовите основные недостатки отбора лучшего варианта из множества имеющихся альтернативных с помощью коэффициента сравнительной эффективности дополнительных капитальных вложений.
31. Трансформируйте коэффициент сравнительной экономической эффективности вложений в другой показатель для отбора лучшего варианта. Как называется такой показатель?
32. Раскройте экономический смысл показателя приведенных затрат. Для выполнения какой роли он предназначен?
33. Почему показатель приведенных затрат получил такое название? Что в нем приводится в сопоставимый вид?
34. Какими недостатками обладает критерий минимума приведенных затрат? Укажите важнейшие условия, при соблюдении которых этот критерий способен выполнять ту функцию, ради которой он создавался.
35. Можно ли воспользоваться критерием минимума приведенных затрат для выбора лучшего из вариантов вложений, если у последних имеются различия в объеме производства и качестве продукции? Объясните и обоснуйте свой ответ.
36. Каким более универсальным критерием можно воспользоваться для отбора лучшего варианта вложений? Обоснуйте этот критерий и докажите его справедливость.
37. Какой вид имеет критерий максимума приведенного эффекта? Напишите формулу этого критерия и дайте характеристику его элементов. Объясните экономическую сущность критерия и укажите, можно ли им пользоваться в условиях рыночного хозяйствования.
38. Какими недостатками обладает критерий максимума приведенного эффекта? Перечислите их и объясните, как обосновать лучшее решение, если нельзя будет воспользоваться этим критерием в силу имеющихся ограничений и условий его применения.
Глава 8. Оценка эффективности инвестиций
по системе международных показателей
Мировая экономическая практика давно выработала универсальные методы оценки инвестиционных предпринимательских проектов, учитывающие все возможные условия их реализации. Использование таких методов позволяет оценить эффективность любого проекта достаточно точно.
Для определения эффективности проектных решений разработана система показателей, с помощью которых проводится экономическая оценка любых предпринимательских проектов.
Вместе с тем применения всех оценочных показателей в каждом проекте практически не требуется, поскольку все проекты существенно отличаются друг от друга. Для каждого проекта следует применить именно те показатели, которые будут учитывать их индивидуальные особенности и решать задачу по оценке их эффективности.
8.1. Показатель внутренней нормы доходности,
область его применения и методика расчета
Одним из наиболее важных и распространенных показателей для оценки эффективности предпринимательского проекта является показатель внутренней нормы доходности (рентабельности), наиболее полно отражающий абсолютную оценку доходности конкретного предпринимательского проекта. Его суть заключается в том, что внутренняя норма доходности характеризует величину чистой прибыли (чистого валового дохода), приходящуюся на единицу инвестиционных вложений, получаемой инвестором в каждом временном интервале жизненного цикла проекта.
Пример. Допустим, предприниматель вкладывает в проект 100 ед. затрат. Через полгода он возвращает свои деньги с добавлением к ним 25 ед. дохода. Следовательно, доходность проекта составила 25% за 6 месяцев, или 50% годовых.
Рассмотрим более сложный пример. Представим, что проект рассчитан на два временных интервала общей продолжительностью один год. Предприниматель вкладывает в проект 200 тыс. руб. Через полгода он получает 141,42 тыс. руб., а в конце года, завершая проект, — еще 200 тыс. руб. Тогда внутренняя норма доходности
[1] Кэмпбелл Р. Макконнем, Стэнли Л. Брю. Экономикс: Принципы, проблемы и политика. — М.: Республика, 1992. Т. 2.
[2] Показатели не следует смешивать с оценками. Показатели могут быть абсолютными или относительными (безразмерными). Оценки могут состоять как из абсолютных, так и из относительных показателей и предназначены для обоснования того или иного решения.