Оглавление
1. Обоснуйте с коммерческих позиций, какие организационно-правовые формы предпочтительны для мелких, малых, средних и крупных коммерческих предприятий?................................................................................................... 3
2. Анализ потоварно-групповой издержкоемкости, доходоемкости, и рентабельности в торговле........................................................................................................ 7
Список использованной литературы............................................................ 12
1. Обоснуйте с коммерческих позиций, какие организационно-правовые формы предпочтительны для мелких, малых, средних и крупных коммерческих предприятий?
На рынке товаров и услуг коммерческую деятельность осуществляют организации и предприятия различных организационно-правовых форм собственности (юридические лица), а также физические лица (индивидуальные предприниматели).
В соответствии с Гражданским кодексом Российской Федерации юридическим лицом признается организация, имеющая в собственности, хозяйственном ведении или оперативном управлении обособленное имущество и отвечающая им по своим обязательствам. Такая организация может от своего имени приобретать и осуществлять имущественные и личные неимущественные права, нести обязанности, быть истцом и ответчиком в суде. Юридические лица должны также иметь самостоятельный баланс или смету [4; с.20].
Права и обязанности юридического лица должны соответствовать целям деятельности, предусмотренным в его учредительных документах- Отдельными видами деятельности, перечень которых определен законом, юридическое лицо может заниматься только на основании специального разрешения (лицензии).
Юридическое лицо считается созданным с момента его государственной регистрации в органах юстиции в установленном законом порядке.
В зависимости от формы собственности, на которой базируются юридические лица, они делятся на частные, государственные и муниципальные.
При этом государственные и муниципальные юридические лица, как правило, действуют в форме унитарных предприятий, имущество которых находится соответственно в государственной или муниципальной собственности и принадлежит такому предприятию на правах хозяйственного ведения или оперативного управления.
По основным целям деятельности юридические лица могут быть коммерческими или некоммерческими организациями, а также объединениями коммерческих и (или) некоммерческих организаций в форме ассоциаций и союзов.
Коммерческие организации в качестве основной цели своей деятельности преследуют извлечение прибыли, которая распределяется между его участниками. Они могут создаваться в следующих организационно-правовых формах:
• хозяйственные товарищества (полное товарищество, товарищество на вере);
• хозяйственные общества (открытые и закрытые акционерные общества, общества с ограниченной или дополнительной ответственностью);
• производственные кооперативы;
• унитарные предприятия (государственные, муниципальные) .
Наибольшее распространение в нашей стране получили коммерческие организации в форме обществ с ограниченной ответственностью и акционерных обществ. Правовое положение, порядок создания, реорганизации и ликвидации общества с ограниченной ответственностью, права и обязанности его участников определены в Федеральном законе Российской Федерации "Об обществах с ограниченной ответственностью». Порядок создания и правовое положение акционерных обществ, права и обязанности их участников (акционеров) регламентируются Федеральным законом Российской Федерации «Об акционерных обществах». Этот закон, кроме того, обеспечивает защиту прав и интересов акционеров.
Для некоммерческих организаций (потребительские кооперативы, общественные, религиозные и благотворительные организации, фонды и т. п.) извлечение и распределение прибыли не является основной целью их деятельности. Они вправе осуществлять предпринимательскую деятельность лишь постольку, поскольку это служит достижению целей, ради которых они созданы, и соответствующую этим целям.
Так, предпринимательскую деятельность могут осуществлять потребительские кооперативы. В частности, для организаций, действующих в соответствии с Законом «О потребительской кооперации (потребительских обществах, их союзах) в Российской Федерации", основными задачами являются:
- создание и развитие организаций торговли для обеспечения членов потребительских обществ товарами;
- закупка сельскохозяйственной и другой подобной продукции и сырья и их последующая переработка и реализация;
- производство продовольственных и непродовольственных товаров с последующей реализацией через организации розничной торговли;
- оказание производственных и бытовых услуг. [5; с.78]
Доходы потребительского общества, полученные от его предпринимательской деятельности, после внесения предусмотренных законодательством обязательных платежей, направляются в фонды потребительского общества для осуществления расчетов с кредиторами и кооперативных выплат.
Независимо от организационно-правовой формы все юридические лица осуществляют свою деятельность на основании учредительных документов. Это может быть устав, учредительный договор или и то и другое вместе. Учредительный договор заключается, а устав утверждается учредителями (участниками) юридического лица. Некоммерческие организации в предусмотренных законом случаях могут действовать на основании общего положения об организациях данного вида.
В учредительных документах указывают:
- наименование юридического лица (с обязательным указанием его организационно-правовой формы, а для коммерческих организаций — фирменного наименования, которое может быть зарегистрировано в установленном порядке);
- место нахождения юридического лица (оно, как правило, определяется местом его государственной регистрации);
- порядок управления деятельностью юридического лица (закрепляется порядок назначения или избрания высшего органа управления, представительного, исполнительного и других органов, круг решаемых ими вопросов и т. д.);
- другие сведения, предусмотренные законом для юридических лиц соответствующего вида.
Например, учредительными документами может быть установлен порядок ликвидации юридического лица. Основанием для этого может быть:
- добровольное решение участников либо уполномоченного учредительными документами органа юридического лица (например, в связи с истечением срока, на который оно создавалось; с достижением цели, ради которой оно создано и др.);
- решение суда (например, в случае осуществления деятельности без лицензии, дающей право на это, или деятельности, запрещенной законом; в случае признания банкротом и других, предусмотренных законодательством случаях) [5; с.28].
Как уже отмечалось выше, субъектами коммерческой деятельности могут являться не только юридические, но и физические лица. Гражданским кодексом Российской Федерации закреплено право граждан заниматься предпринимательской деятельностью без образования юридического лица с момента государственной регистрации в качестве индивидуального предпринимателя.
К такой деятельности применяются те же правила Гражданского кодекса, которыми регулируется деятельность коммерческих организаций, если иное не вытекает из закона, иных правовых актов или существа правоотношения.
2. Анализ потоварно-групповой издержкоемкости, доходоемкости, и рентабельности в торговле
В специальной монографической литературе упоминаются три следующих метода определения потоварной и потоварно-групповой издержкоемкости в оптовой и розничной торговле: 1) метод коэффициентов, 2) метод математического моделирования и 3) метод калькуляционных исчислений. [2; с.214]
Метод коэффициентов построен на использовании относительных показателей сравнения (коэффициентов) издержкоемкости товарных групп, которые рассчитываются по отдельным видам расходов. При этом издержкоемкость одной из товарных групп принимается за базу сравнения (т. е. равной единице). Коэффициент издержкоемкости рассчитывают по каждой статье номенклатуры издержек обращения. Общее количество коэффициентов, следовательно, равно произведению числа товарных групп на число распределяемых статей. Коэффициенты выражают соотношения между потоварно-групповыми уровнями издержек обращения (издержкоемкость одной какой-либо товарной группы приравнивается к единице).
Потоварные уровни издержек по той или иной статье определяют следующим образом. Коэффициенты издержкоемкости умножают на удельные веса отдельных товарных групп в общем товарообороте. Сложив произведения и разделив их сумму на 100, получают средневзвешенный коэффициент по всему товарообороту. Разделив затем общий средний уровень торговых расходов поданной статье на средневзвешенный коэффициент, исчисляют частный уровень той же статьи, но по товарной группе, коэффициент которой равен единице.
Поочередно умножая этот частный уровень на соответствующие коэффициенты издержкоемкости, вычисляют частные уровни по всем остальным товарным группам. Множественность различных коэффициентов и многократное их перемножение далеко уводят от истинной картины.
Поэтому серьезным недостатком метода коэффициентов следует считать недостоверность, крайнюю условность получаемых данных о потоварной издержкоемкости, а следовательно, и о потоварной доходности и рентабельности. К тому же для применения этого метода требуется значительная совокупность однородных торговых предприятий, что в настоящих условиях крайне затруднено.
Метод математического моделирования основан на построении однофакторной модели (парная корреляция) и многофакторной модели (множественная корреляция).
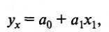
Однофакторная модель строится на основе уравнения прямой
![]()
где у - общий уровень издержек обращения;
а0, а1 — параметры уравнения прямой;
х1 - удельный вес определенной товарной группы в общем товарообороте.
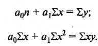
Для исчисления параметров а0 и а1х1 используется система нормальных уравнений:

Определяя параметры уравнения регрессии по методу наименьших квадратов на основе данных об эмпирических значениях результатного (у) и факторного (х) признаков по всему кругу предприятий, полагают, что весь товарооборот состоит из продажи только данного товара, т.е. х = 100. Подставляя это значение х в уравнение прямой, находят величину, которую считают уровнем издержек обращения по данному товару.
Многофакторная модель строится на основе следующего уравнения регрессии:
![]()
где у — общий уровень издержек обращения;
а1 (i = 0, 1, 2,..., n) — параметры уравнения регрессии;
x1 (i = 1, 2,..., n) — удельный вес i-го товара в общем товарообороте,
причем n = т — 1,
где т — количество наименований товаров.
Всесторонняя экспериментальная проверка метода математического моделирования для определения потоварной издержкоемкости показала его непригодность, хотя заметная группа видных ученых в свое время его усиленно пропагандировала. При применении рассматриваемого метода уровень издержек обращения по некоторым товарам получал отрицательное значение, что противопоказано данному показателю, по другим товарам выпадали несуразные положительные величины. И здесь, как и с использованием метода коэффициентов, требуется определенная совокупность однотипных предприятий.
Наконец, третий метод изучения потоварной, потоварногрупповой издержкоемкости, доходоемкости и рентабельности — метод калькуляции. Суть его заключается в ведении бухгалтерского учета издержек обращения не только по статьям, но и в членении их по товарным группам. Этот метод экспериментально проверен на значительной совокупности торговых предприятий.
Полученные материалы, как указывалось выше, практически использовались в свое время для установления торговых скидок (накидок) на отдельные товары в процессе регулирования розничных цен. Его можно применять как на отдельно взятом торговом предприятии, так и в любой их совокупности. Метод прямого счета выводит непосредственно на позиции торговой калькуляции, которая в условиях рыночной экономики приобретает исключительное значение. Выстоять в конкурентной борьбе может только тот предприниматель, который тщательнейшим образом ведет учет своих затрат. Для справки можно здесь сообщить, что до революции в торговом товариществе закрытого типа
Таким образом, значение рассматриваемой проблемы в условиях рыночной экономики значительно возрастает. Если в дореформенной торговле убыточность торговли многими продовольственными товарами перекрывалась путем внутриведомственного регулирования за счет высокорентабельных непродовольственных товаров (убыточность, скажем, товаров детского ассортимента возмещалась высокими доходами по продаже других непродовольственных товаров), то сейчас это исключено.
Показатели доходоемкости и рентабельности в торговле и их анализ приобретают в условиях рыночных отношений возрастающее значение.
В торговле общепринятым является показатель, отражающий доходоемкость (валовую прибыльность) и рентабельность (чистую прибыльность) лишь к объему розничного (и оптового) товарооборота, что является явно недостаточным. Основной недостаток состоит в том, что совсем не учитываются сдвиги в структуре товарооборота, а они весьма существенны. В универсальной розничной торговле показатель рентабельности по отношению к розничному товарообороту иногда имеет не только положительное, но и отрицательное значение.
Увеличение объема товарооборота сопровождается при прочих равных условиях снижением уровня издержек обращения, повышением уровня валовой доходоемкости и рентабельности. Однако сдвиги в структуре товарооборота эту закономерность могут сильно поколебать. Реализация некоторых товаров обеспечивает повышенную прибыльность, а других, наоборот, завершается убытком. Это особенно проявляется при использовании единой, усредненной торговой наценки. А установление торговой наценки, дифференцированной по товарным группам, без выявления потоварной издержкоемкости невозможно. Потоварные издержки служат основой для установления торговых наценок. Последние призваны, во-первых, полностью покрывать затраты овеществленного и живого труда и, во-вторых, обеспечивать нормальную прибыльность (рентабельность) при реализации каждого товара. Отсюда возникает целесообразность исчисления уровня рентабельности не только к объему товарооборота, но и к сумме издержек обращения.
Используя метод прямого счета, т.е. приемы торговой калькуляции, нами выявлены относительные величины издержек обращения, торговых наценок и рентабельности (к объему товарооборота и к сумме затрат) по 22 группам продовольственных товаров и 33 группам товаров непродовольственных.
К используемым в процессе анализа рентабельности показателям (к объему товарооборота и сумме затрат) с полным основанием можно добавить и показатели, применяемые в промышленности (прибыль по отношению к основным средствам и в целом к внеоборотным активам; прибыль к оборотным активам и особенно к запасам готовой продукции, сырья, товаров, материалов и аналогичным ценностям).
Кроме исчисленного уровня рентабельности к товарообороту и издержкам обращения, большую аналитическую ценность представляют уровни рентабельности к фонду заработной платы (сколько денежных единиц прибыли приходится на 1 д.е. зарплаты); уровни рентабельности к численности работающих (сколько денежных единиц прибыли падает на одного работающего).
Список использованной литературы
1. Бовыкин В. Новый менеджмент: (управление предприятиями на уровне высших стандартов; теория и практика эффективного управления). - М.: Экономика, 2007. — 368 с.
2. Виханский О.С. “Стратегическое управление”, Издательство Московского Университета, 1998.-431с.
3. Гибсон Дж. Л., Иванцевич Д.М., Доннелли Д.Х. -мл. Организации: поведение, структура, процессы: Перс с англ. - 3-е изд. - М.: ИНФРА-М, 2005. -XXVI, 662 с.
4. Казанцев А.К., Подлесных В.И., Серова Л.С. Практический менеджмент: В деловых играх, хозяйственных ситуациях, задачах и тестах: Учебное пособие. -М.: ИНФРА-М, 2008. - 367 с.
5. Кравченко В.Ф., Кравченко Е.Ф., Забелин П.В. Организационный инжиниринг: Учебное пособие. - М.: "Изд-во ПРИОР", 2009. - 256 с.