Контрольная работа: Некоторые аспекты правовой статистики
|
Название: Некоторые аспекты правовой статистики Раздел: Рефераты по государству и праву Тип: контрольная работа | |||||||||||||||||||||||||||||||||
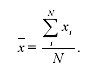
Содержание 1. Методы, приемы и способы исследования, применяемые в статистике 1.1 Сбор первичной статистической информации 1.2 Статистическая сводка и обработка первичной информации 1.3 Обобщение и интерпретация статистической информации 2. Количественная сторона как предмет правовой статистики 3. Первичный учет. Задачи, основные документы 4. Основные задачи статистической группировки 5. Величины степени и сравнения 6. Средняя арифметическая величина Практическая часть Список литературы 1. Методы, приемы и способы исследования, применяемые в статистике Для изучения своего предмета статистика разрабатывает и применяет разнообразные методы, совокупность которых образует статистическую методологию. Применение в статистическом исследовании конкретных методов предопределяется поставленными при этом задачами и зависит от характера исходной информации. Под статистической методологией понимается система приемов, способов и методов, направленных на изучение количественных закономерностей, проявляющихся в структуре, динамике и взаимосвязях социально - экономических явлений. Общей основой разработки и применения статистической методологии являются принципы диалектического подхода к изучению явлений жизни общества. Важнейшим положением диалектического метода познания является рассмотрение изучаемого явления в развитии, движении от возникновения до исчезновения. В соответствии с этим общим гносеологическим требованием статистика изучает динамику социально-экономических явлений в их исторической обусловленности. Статистические методы используются комплексно (системно), что обусловлено сложностью процесса экономико-статистического исследования, состоящего из трех основных стадий: 1. Сбор первичной статистической информации. На этой стадии применяется метод массового статистического наблюдения, обеспечивающий полноту и представительность (репрезентативность) полученной первичной информации об отдельных фактах изучаемого явления. 2. Статистическая сводка и обработка первичной информации. Метод статистических группировок позволяет выделить в изучаемой совокупности социально-экономические типы; совершается переход от характеристики единичных фактов к характеристике данных, объединенных в группы величин. На данной стадии осуществляется систематизация и классификация полученной информации. 3 Обобщение и интерпретация статистической информации. Анализ статистической информации проводится на основе применения обобщающих показателей: абсолютных, относительных и средних величин, вариации, тесноты связи и скорости изменения социально-экономических явлений во времени, индексов и др. 1.1 Сбор первичной статистической информацииСтатистическое наблюдение представляет собой планомерный, научно организованный сбор данных или сведений о массовых явлениях и процессах, который заключается в регистрации отобранных признаков у каждой единицы совокупности. Не всякий сбор сведений может называться статистическим наблюдением. О статистическом наблюдении можно говорить лишь тогда, когда изучаются статистические закономерности, проявляющиеся в массовых процессах, в большом количестве единиц совокупности. Поэтому наблюдение считается статистическим, если оно соответствует следующим условиям: · является планомерным; · является массовым; · является систематическим. Планомерность статистического наблюдения предполагает, что оно готовится и проводится по заранее разработанному плану, являющего частью общего плана проведения статистического исследования; в такой план включаются вопросы методологии, организации, техники сбора информации, контроля ее качества, его достоверности и оформления итоговых результатов. Массовый характер статистического наблюдения означает, что оно охватывает количество случаев проявления изучаемого явления, достаточное для получения достоверных статистических данных, характеризующих совокупность в целом. Систематичность наблюдения определяется тем, что оно должно проводиться либо непрерывно, либо систематически, либо регулярно, так как только такой подход позволяет изучать тенденции и закономерности социально-экономических явлений и процессов. Процесс проведения статистического наблюдения состоит из нескольких этапов: · подготовка наблюдения; · проведение массового сбора данных; · подготовка данных наблюдения к обработке; · разработка предложений по совершенствованию проведения · статистического наблюдения. 1.2 Статистическая сводка и обработка первичной информацииСтатистические данные, собранные в процессе наблюдения не позволяют получить обобщающие характеристики изучаемой совокупности, выявить закономерности ее развития, так как в процессе наблюдения фиксируются характеристики только отдельных единиц совокупности. Для получения обобщающих характеристик собранную информацию необходимо систематизировать, превратить ее в упорядоченную систему статистических показателей. Систематизация полученной информации и обобщение наблюдаемых факторов является содержанием второй стадии статистического исследования, называемой сводкой и группировкой. Статистическая сводка представляет собой комплекс последовательных операций по обобщению конкретных единичных фактов, образующих совокупность, для выявления типичных черт и закономерностей, присущих изучаемому явлению. Таким образом, целью сводки является получение итоговых данных путем подсчета единичных сведений. По глубине проработки материала различают простые и сложные сводки. Простой сводкой называется операция по подсчету общих итогов по совокупности единиц наблюдения, то есть определение размера исследуемого явления. Сложной сводкой называется комплекс операций, включающих группировку единиц наблюдения, подсчет итогов по каждой группе и совокупности в целом, а также представление результатов группировки в табличной форме. По форме обработки материала сводки делятся на централизованные и децентрализованные. Программа статистической сводки включает в себя: · выбор группировочных признаков; · определение порядка формирования групп; · разработка системы статистических показателей для характеристики выделенных групп и совокупности в целом; · разработка макетов таблиц для представления результатов сводки. Научной основой сводки является статистическая группировка, которая представляет собой процесс образования однородных групп на основе расчленения (разделения) статистической совокупности на части или объединение изучаемых статистических единиц в частные совокупности по существенным для них признакам. Группировка является методом исследования содержания изучаемого явления. На ее основе рассчитываются обобщающие показатели по группам, выявляется строение совокупности, взаимосвязи между изучаемыми признаками, а затем проводится анализ полученных результатов. 1.3 Обобщение и интерпретация статистической информации Результаты статистических сводок и группировок могут быть представлены в виде статистических рядов – упорядоченных совокупностей значений показателей (статистического признака). По своему содержанию статистические ряды подразделяются на ряды динамики и ряды распределения. Рядом динамики называют систематизированную совокупность числовых данных, характеризующих изменения изучаемых явлений во времени. Ряд распределения, представляет собой систематизированную последовательность статистических единиц, сгруппированных по конкретному признаку. Он характеризует состав изучаемого явления, позволяет судить об однородности совокупности, закономерности распределения статистических единиц. Обычно ряд распределения представляет собой результат структурной группировки. Ряд распределения считается построенным, если известно, каким образом меняются в совокупности значения признака и как часто встречаются отдельные значения признака. Для различных статистических признаков строятся ряды распределения разного типа: атрибутивные – строятся по описательным признакам в порядке возрастания или убывания наблюденных значений признака; примером атрибутивных рядов могут служить распределения населения по национальности, по профессиям, по полу; распределение предприятий по формам собственности; вариационные - строятся по количественным признакам, например, распределение рабочих по уровню квалификации, по заработной плате, распределение студентов по успеваемости. Вариационные ряды делятся на дискретные и интервальные. В дискретных рядах признак принимает только целые значения, например, размер семьи, тарифный разряд. Интервальные ряды основаны на непрерывных признаках, принимающих любые, в том числе и дробные значения. В зависимости от того, какая структурная группировка лежит в основе интервального ряда, различают равноинтервальные и неравноинтервальные ряды. Описание вида данных и механизма их порождения — начало любого статистического исследования. Для описания данных применяют как детерминированные, так и вероятностные методы. С помощью детерминированных методов можно проанализировать только те данные, которые имеются в распоряжении исследователя. Например, с их помощью получены таблицы, рассчитанные органами официальной государственной статистики на основе представленных предприятиями и организациями статистических отчетов. Перенести полученные результаты на более широкую совокупность, использовать их для предсказания и управления можно лишь на основе вероятностно-статистического моделирования. Я не считаю возможным противопоставлять детерминированные и вероятностно-статистические методы, а рассматриваю их как последовательные этапы статистического анализа. На первом этапе необходимо проанализировать имеющие данные, представить их в удобном для восприятия виде с помощью таблиц и диаграмм. Затем статистические данные целесообразно проанализировать на основе тех или иных вероятностно-статистических моделей. Отметим, что возможность более глубокого проникновения в суть реального явления или процесса обеспечивается разработкой адекватной модели. Теория статистических методов нацелена на решение реальных задач. Поэтому в ней постоянно возникают новые постановки математических задач анализа статистических данных, развиваются и обосновываются новые методы. Обоснование часто проводится математическими средствами, то есть путем доказательства теорем. Большую роль играет методологическая составляющая — как именно ставить задачи, какие предположения принять с целью дальнейшего математического изучения. Велика роль современных информационных технологий, в частности, компьютерного эксперимента. 2. Количественная сторона как предмет правовой статистики Предметом статистики выступают размеры и количественные соотношения массовых общественных явлений в неразрывной связи с их качественной стороной с целью выявления закономерностей их развития. Предметом статистики выступают размеры и количественные соотношения качественно определенных социально-экономических явлений, закономерности их связи и развития в конкретных условиях места и времени. В определении предмета статистики подчеркивается несколько характерных особенностей статистики как науки. Статистика изучает: массовые общественные явления при помощи статистических показателей (численность населения, количество произведенной в стране конкретной промышленной, сельскохозяйственной, строительной и другой продукции за определенный период времени) и их динамику (изменение уровня жизни населения и т.д.); количественную сторону массовых общественных явлений и дает количественное, цифровое освещение общественных явлений; количественную сторону общественных явлений в неразрывной связи с их качественным содержанием; наблюдает в обществе процесс перехода количественных изменений в качественные (так, количественные изменения структуры экспорта и импорта товаров свидетельствуют о качественных изменениях в экономике страны); количественную сторону общественных явлений в конкретных условиях места и времени (динамику численности населения, занятости его по секторам экономики, объема производства, распределения доходов, потребления и т.д.); характеризует явления общественной жизни в конкретных пространственных и временных границах; количественные связи между общественными явлениями, с помощью специальной методологии, использует математические методы при исчислении ряда статистических показателей (ошибок выборки, тесноты связи и т.д.), в свою очередь гуманитарные и естественные науки широко используют в своих исследованиях статистические методы сбора, обработки и анализа данных. Общим принципом, лежащим в основе формирования статистических закономерностей, выступает закон больших чисел. Закон больших чисел в наиболее простой формулировке звучит следующим образом: количественные закономерности массовых явлений отчетливо проявляется только лишь в достаточно большом их числе. 3. Первичный учет. Задачи, основные документы Первичный учет – это регистрация различных фактов, событий, производимая по мере их совершения, как правило, на особом документе, называемом первичным учетным документом. Первичный учёт преступлений — это упорядоченная система сбора, регистрации и обобщения информации о преступности и государственных мерах социального контроля над ней и их движения путём сплошного, непрерывного и документального учёта преступлений, лиц, их совершивших, и процессуальной деятельности органов уголовной юстиции на этом направлении. Основные задачи первичного учёта: - формирование полной и достоверной информации об объектах статистического наблюдения; - обеспечение информацией, необходимой внутренним и внешним пользователям статистической отчётности для решения практических и научных задач в области социального контроля над правонарушениями. Совместным Указанием от 5-6 ноября 1996г. Прокуратуры РФ и МВД России “О введении в действие документов первичного учёта преступлений и лиц, их совершивших” введены в действие следующие документы первичного учёта: - на выявленное преступление (форма №1); - о результатах расследования преступления (форма №1.1); - на преступление, по которому лицо, его совершившее, установлено (форма №1.2); - на лицо, совершившее преступление (форма №2); - о движении уголовного дела (форма №3); - о результатах возмещения материального ущерба и изъятия предметов преступной деятельности (форма №4); - о результатах рассмотрения дела в суде (форма №6). В документах первичного учёта содержится обширная информация по разнообразным признакам, характеризующая в большей или меньшей мере, с одной стороны, все элементы состава преступления: субъект преступления, объект посягательства, объективную и субъективную стороны преступления, с другой — процессуальные, криминалистические аспекты деятельности органов уголовной юстиции по обнаружению, раскрытию и расследованию преступлений. Вместо составления статистических карточек допускается перенос аналогичной информации по ним на магнитные носители с обязательной регистрацией преступления. 4. Основные задачи статистической группировки Метод группировок применяется для решения задач, возникающих в ходе научного статистического исследования: - выделение социально-экономических типов явлений; - изучение структуры явления и структурных сдвигов, происходящих в нем; - изучение связей и зависимостей между отдельными при знаками явления. Для решения этих задач применяют (соответственно) три вида группировок: типологические, структурные и аналитические (факторные). Типологическая группировка решает задачу выявления и характеристики социально-экономических типов (частных подсовокупностей) путем разделения качественно разнородной совокупности на классы, социально-экономические типы, однородные группы единиц в соответствии с правилами научной группировки. Примерами типологической группировки могут служить группировки секторов экономики, хозяйствующих субъектов по формам собственности (группы предприятий государственной собственности, федеральной собственности, муниципальной собственности, частной собственности и смешанной собственности). Признаки, по которым производится распределение единиц изучаемой совокупности на группы, называются группировочными признаками, или основанием группировки. Выделить типичное можно не по любому признаку, а только по определенному, который должен изменяться в зависимости от условий места и времени. Для правильного выбора группировочных признаков необходимо предварительно выявить возможные типы, четко формулировать познавательную задачу. Если группировочными признаками выступают признаки атрибутивные (форма собственности, отрасль производства и т.д.), то образовать группы сравнительно просто. Выделение типов на основе количественного признака состоит в определении групп с учетом границ перехода количественного признака в новое качество, в новый тип явления. Однако во всех случаях типологических группировок выбор группировочных признаков всегда должен быть основан на анализе качественной природы исследуемого явления. Экономический анализ сущности и закономерности развития явления должен быть направлен на то, чтобы в соответствии с целью и задачами исследования положить в основание группировки существенные признаки. При этом следует иметь ввиду, что один и тот же материал при различных приемах группировки может привести к диаметрально противоположным выводам. Раскрыть закономерности экономического развития помогут те группировки, которые исходят из реально существующих закономерностей. Структурной группировкой называется группировка, в которой происходит разделение выделенных с помощью типологической группировки типов явлений, однородных совокупностей на группы, характеризующие их структуру по какому-либо варьирующему признаку. К структурным относится группировка населения по размеру среднедушевого дохода, группировка хозяйств по объему продукции, структура депозитов по сроку их привлечения. Анализ структурных группировок, взятых за ряд периодов или моментов времени, показывает изменение структуры изучаемых явлений, т. е. структурные сдвиги. В изменении структуры общественных явлений отражаются важнейшие закономерности их развития. Аналитические (факторные) группировки, в частности, исследуют связи и зависимости между изучаемыми явлениями и их признаками. В основе аналитической группировки лежит факторный признак и каждая выделенная группа характеризуется средними значениями результативного признака. Так, группируя достаточно большое число рабочих по факторному признаку x – квалификации (разряду) с указанием их заработной платы, можно заметить прямую зависимость результативного признака у – средней месячной заработной платы рабочих от квалификации: чем выше квалификация, тем выше и средняя месячная зарплата (хотя у отдельных рабочих с более высоким разрядом она может быть ниже). Используя в аналитических группировках методы математической статистики, можно определить показатель тесноты (силы) связи между изучаемыми признаками. В зависимости от степени сложности массового явления и от задач анализа группировки могут производиться по одному или нескольким признакам. Если группы образуются по одному признаку, группировка называется простой (например, распределение населения по возрастным группам, а семей – по уровню доходов и т.д.). Группировка по двум или нескольким признакам называется сложной. Если группы, образованные по одному признаку, делятся на подгруппы по второму, а последние - на подгруппы по третьему и т.д. признакам, т. е. в основании группировки лежит несколько признаков, взятых в комбинации, то такая группировка называется комбинационной (например, дополнив простую группировку населения по возрастным группам группировкой по полу, получим комбинационную группировку). Комбинационная группировка позволяет выявить и сравнить различия и связи между исследуемыми признаками, которые нельзя обнаружить на основе изолированных группировок по ряду группировочных признаков. Однако при изучении влияния большого числа признаков применение комбинационных группировок становится невозможным, поскольку чрезмерное дробление информации затушевывает проявление закономерностей. Даже при наличии большого массива первичной информации приходится ограничиваться двумя - четырьмя признаками. Использование в статистических исследованиях ЭВМ и статистической теории распознавания образов позволило разработать метод группировки совокупности единиц одновременно по множеству характеризующих признаков. Такие группировки получили название многомерных. Многомерная группировка или многомерная классификация основана на измерении сходства или различия между объектами (единицами): единицы, отнесенные к одной группе (классу), различаются между собой меньше, чем единицы, отнесенные к различным группам (классам). Мерой близости (сходства) между объектами могут служить различные критерии. Самой распространенной мерой близости является евклидово расстояние между объектами, представленными точками в n-мерном пространстве. Чем меньше это расстояние, тем больше близость. Задача многомерной группировки сводится к выделению сгущений точек (объектов) в n-мерном пространстве. Группы (кластеры) формируются на основании близости объектов одновременно по всему комплексу признаков, описывающих объект. Нахождение этих групп осуществляется методами кластерного анализа на ЭВМ. Многомерные группировки позволяют решать целый ряд таких важных задач экономико-статистического исследования, как формирование однородных совокупностей, выбор существенных признаков, выделение типичных групп объектов и др. В зависимости от вида группировочных признаков различают группировки по атрибутивным и количественным признакам. Если атрибутивный признак имеет мало разновидностей, то количество групп определяется числом этих разновидностей. Таковы, например, группировки населения по полу, семейному положению, образованию; распределение населения на городское и сельское. Определение числа групп при группировке по варьирующему количественному признаку (например, распределение населения по уровню доходов, потреблению отдельных продуктов питания и др.) требует специальных расчетов. 5. Величины степени и сравненияОтносительные величины степени и сравнения позволяют сопоставлять различные показатели в целях выявления, какая величина и на сколько больше другой, в какой мере одно явление отличается от другого или схоже с ним, что имеется общего и отличительного в наблюдаемых статистических процессах и т.д. Сравнительный анализ количественных показателей – один из важных приемов в юридической практике статистических обобщений. Он сопровождает все виды относительных и средних величин. В той или иной мере мы апеллировали к методам сравнения при рассмотрении аналитических возможностей относительных величин распределения, интенсивности, динамики. 1 Показатели распределения или структуры совокупности обычно измеряются в процентах удельных весов и открывают большие возможности для сопоставлений. 2 Показатели отношения части к целому, или отношения интенсивности, чаще всего измеряются в коэффициентах (в числе преступлений, осужденных, дел, исков и т.д.) на 100 тыс. населения. Этот относительный показатель был разработан не только для более объективной оценки массовых явлений, но и для сравнения несопоставимых абсолютных величин. Несопоставимые сведения о деятельности юридических учреждений, гражданском и уголовном судопроизводстве, судимости, преступности, правонарушаемости, зафиксированные в разных странах, регионах, районах и населенных пунктах, после пересчета на население становятся более или менее сопоставимыми и сравнимыми. 6. Средняя арифметическая величина Средняя арифметическая является наиболее распространенным видом степенных средних, используется в случаях, когда объём усредняемого признака является аддитивной величиной, т.е. образуется как сумма его значений по всем единицам статистической совокупности. При этом если индивидуальные значения признака у статистических единиц заменить средней арифметической, то суммарный объем признака по совокупности в целом сохраняется неизменным. Это означает, что средняя арифметическая есть среднее слагаемое. Средняя арифметическая простая используется при работе с несгруппированными данными и рассчитывается по формуле:
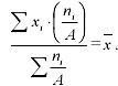
Если в исходных данных отдельные значения усредняемого признака повторятся, то расчет средней проводится по сгруппированным данным или вариационным рядам. В подобных случаях для расчета необходимо применять среднюю арифметическую взвешенную – среднюю сгруппированных величин.
частость, т. е. удельный вес статистических единиц, обладающих определенным значением признака в общем объеме совокупности. Средняя арифметическая обладает рядом полезных свойств, к важнейшим из которых относятся: 1. Средняя арифметическая постоянной величины равна этой величине:
2. Алгебраическая сумма отклонений вариант от их средней арифметической равно нулю:
3. Если все варианты уменьшить (увеличить) на постоянное число А, то средняя арифметическая из них уменьшится (увеличится) на это же число:
4. Если все варианты одинаково увеличить (уменьшить) в одно и то же число раз, то средняя арифметическая увеличится (уменьшится) во столько же раз:
5. Если все веса средней одинаково увеличить (уменьшить) в несколько раз, то средняя арифметическая не изменится
Задание 7
Задание 8 Сроки рассмотрения уголовных дел, рассматриваемых одним судом характеризуются следующим образом: До 3 дней – 360 дел От 3 до 5 дней – 90 дел От 5 до 10 дней – 70 дел От 10 до 20 дней – 170 дел Сведем все вышеперечисленные показатели в таблицу:
В данном случае применим расчет средней арифметической взвешенной, которая определяется по формуле: S хf х = ¾¾¾¾, Sf Тогда, средний срок рассмотрения дела составляет: 4120 х = ¾¾¾¾ = 6 дней 690 1. Ефимова М.Р. и др. Общая теория статистики. Учебник. М.:, Финансы и статистика, 2002. 2. Теория статистики: Учебник / Под ред. Р.А. Шмойловой. М.:, Финансы и статистика, 2001. 3. Практикум по теории статистики. Учебное пособие / Под ред. Р.А. Шмойловой. М.:, Финансы и статистика, 2006. 4. Елисеева И.И., Юзбашев М.М. Общая теория статистики, М.: Финансы и статистика, 2002. 5. Статистика. Учебник для вузов / Под ред. И.И. Елисеевой. М.: Проспект. 2002 6. Курс социально-экономической статистики /Под ред. Назарова М.П. – М.: Финстатинформ, 2002. 7. Практикум по социальной статистике / Под ред. И.И. Елисеевой. М.: Финансы и статистика. 2006. 8. Ефимова М.Р., Бычкова А.Ю. Социальная статистика. Учебное пособие. М.: Финансы и статистика. 2002. 9. Харченко Л.П. Статистика: Учебное пособие для вузов. М.: Инфра – М. 2005. 10. Годин А.М. Учебник для вузов. М.: ИД Дашков и К,2002 11. Общая теория статистики /Под ред. Спирина А.А., Башиной О.Э., - М.: Финансы и статистика, 2007. 12. Методологические положения по статистике – М.: Госкомстат РФ, 1996 |
|||||||||||||||||||||||||||||||||









