Курсовая работа: Основные этапы статистического исследования явлений общественной жизни
|
Название: Основные этапы статистического исследования явлений общественной жизни Раздел: Рефераты по социологии Тип: курсовая работа | ||||||||||||||||||||||||||||||||||||||||||||||||||||||||||||||||||||||||||||||||||||||||||||||||||||||||||||||||||||||||||||||||||||||||||||||||||||||||||||||||||||||||||||||||||||||||||||||||||||||||||||||||||||||||||||||||||||||||||||||||||||||||||||||||||||||||||||||||||||||||||||||||||||||||||||||||||||||||||||||||||||||||||||||||||||||||||||||||||||||||||||||||||||||||||||||||||||||||||||||||||||||||||||||||||||||||||||||||||||||
|
Введение 1. Методика получения исходных данных 2. Статистическая сводка и группировка первичных данных 2.1 Группировка 2.2 Определение средней арифметической и структурных средних 2.3 Гистограмма и кумулята 2.4 Стоимость основных фондов 2.5 Объем продукции 3. Корреляционный анализ 3.1 Исследование связи между факторным и результативным признаками. Построение корреляционной таблицы 3.2 Определение степени тесноты связи 4. Регрессионный анализ 4.1 Моделирование 4.2 Прогнозирование Заключение Использованная литература и программы ВведениеСтатистическое исследование явлений общественной жизни начинается с этапа статистического наблюдения, в ходе которого, в соответствии с познавательными целями и задачами, формируется массив исходных данных об изучаемом объекте, т.е. формируется информационная база исследования, на которой осуществляется учет и контроль, планирование, статистический анализ и управление. На этом этапе используются методы массового наблюдения, основанные на "законе больших чисел", т.к. количественные закономерности массовых явлений отчетливо проявляются при изучении лишь достаточно большого числа социально-экономических явлений и процессов. Любое статистическое наблюдение должно подготавливаться и проводится по четко разработанному плану, который включает вопросы методологии, организации и техники сбора данных, контроля её качества и достоверности. Таким образом, статистическое наблюдение должно иметь программу и организационный план проведения. При этом необходимо решить вопросы о способе, форме, виде, средствах, сроках, месте организации и проведения наблюдения и т.д., чем, в свою очередь, и определяется его планомерность. Статистическое наблюдение должно проводиться не стихийно, от случая к случаю, а систематически: либо непрерывно, либо периодически - через равные промежутки времени. Это обуславливается пространственно-временной вариацией изучаемых социально-экономических явлений и процессов. Статистическое наблюдение может проводиться органами государственной статистики, научно-исследовательскими институтами, экономическими и аналитическими службами различных организационных структур. Вторым этапом статистического исследования является статистическая сводка и группировка данных статистического наблюдения. В результате статистического наблюдения получают сведения о каждой единице совокупности, которая обладает многочисленными признаками, изменяющимися во времени и пространстве. В этих условиях возникает необходимость в систематизации и обобщении результатов статистического наблюдения и получении на этой основе сводной характеристики всего объекта при помощи обобщающих показателей, с тем чтобы стало возможным выявить характерные особенности, специфические черты статистической совокупности в целом и отдельных её составляющих и обнаружить закономерности изучаемых социально-экономических явлений и процессов. Из сказанного следует необходимость сводки первичного статистического материала. Статистическая сводка проводится по специально разработанной программе, обеспечивающей полноту и достоверность получаемых результатов. Эта программа содержит перечень групп, на которые может быть разбита совокупность единиц наблюдения по отдельным признакам, а также систему показателей, характеризующих изучаемую совокупность явлений в целом и отдельных её частей. Третий этап статистического исследования - анализ статистической информации. На данном этапе по результатам статистического исследования получаются выводы, полезные для практических действий, а также проводится прогнозирование исследуемого явления или процесса. 1. Методика получения исходных данныхС целью изучения зависимости объема продукции от стоимости основных фондов за период 2006-2007гг. территориальным органом государственной статистики по Челябинской области организовано статистическое исследование приборостроительных предприятий. Произведена 20-ти процентная типическая выборка. Объект статистического наблюдения - совокупность приборостроительных предприятий г. Челябинск и Челябинской области. Отчетной единицей статистического наблюдения является приборостроительное предприятие. С целью совершенствования системы выборочных обследований приборостроительных предприятий Госкомстатом РФ разработана целевая Программа. Согласно Программе с целью экономии ресурсов будут исследованы 20% от общего числа предприятий Челябинской области, действующих на дату проведения работ. В состав мероприятий Программы включен ряд организационно-методологических и программно-технологических работ, обеспечивающих подготовку и проведение выборочных обследований приборостроительных предприятий, тематика которых охватывает такой вопрос как зависимость объема продукции от стоимости основных фондов. В целях обеспечения надлежащих процедур подготовки выборочных обследований предприятий в состав мероприятий Программы включены также вопросы обучения персонала по обследованию и проведению информационно-разъяснительной работы. Реализацию Программы предполагается осуществить в течение 2008-2009 гг. Результаты выборочного наблюдения приборостроительных предприятий г. Челябинск и Челябинской области по двум показателям (объем продукции и стоимость основных фондов) приведены в таблице 1. Таблица 1. Основные показатели деятельности приборостроительных предприятий г. Челябинск и Челябинской области за период 2006 - 2007 гг.
2. Статистическая сводка и группировка первичных данных2.1 ГруппировкаПо данным статистического наблюдения видно, что вариация признаков проявляется в сравнительно узких границах и распределение носит равномерный характер. В этом случае строят группировку с равными интервалами. Количество групп зависит в первую очередь от степени колеблемости признака: чем больше колеблемость признака (размах вариации), тем больше можно образовать групп. Ниже приведены формулы для построения статистической группировки. Т. к. объем выборочной совокупности не большой, то для определения числа групп воспользуемся формулой:
Величина интервала h по формуле:
Полученную по формуле (1.2) величину, которая будет являться шагом интервала, округляют (округление не должно отличаться от исходного значения более, чем на 10-15%). При этом для первого интервала нижней границей будет являться Результаты группировки заносятся в таблицу. Далее определяются величины показателей, характеризующих группы, и разносятся по каждой группе. В этом случае идет речь о рядах распределения, т.е. об упорядоченном распределении единиц совокупности по определенному признаку. 2.2 Определение средней арифметической и структурных среднихДля характеристики среднего значения признака в вариационном ряду применяются: средняя арифметическая (взвешенная), мода и медиана. Расчет средней арифметической производится по сгруппированным данным, т.к некоторые значения признака повторяются. Средняя арифметическая взвешенная определяется по формуле:
Мода - наиболее часто встречающееся значение признака. В интервальном ряду определяется модальный интервал, т.е. интервал с наибольшим количеством повторений признака. Значение моды определяется по формуле:
Медиана соответствует варианту, стоящему в середине ранжированного ряда. Положение медианы определяется ее номером. Медианным является первый интервал, в котором сумма накопленных частот превысит половину общего числа наблюдений. Численное значение медианы определяется по формуле:
2.3 Гистограмма и кумулятаАнализ рядов распределения можно наглядно проводить на основе их графического представления. Гистограмма применяется для изображения интервального вариационного ряда. При построении на оси Х откладываются величины интервалов, а частоты изображаются прямоугольниками, построенных на соответствующих интервалах. В результате мы получаем столбиковую диаграмму. При помощи кумуляты изображается ряд накопленных частот. При построении на оси Х откладываются варианты ряда, а по оси У - накопленные частоты. Предельные ошибки определения средних арифметических и доли (ошибки репрезентативности) Предельная ошибка выборки ∆х определяется по формуле:
t зависит от вероятности, с которой гарантируется величина предельной ошибки. Выборка предприятий - случайная и бесповторная. При случайной бесповторной выборке величина средней квадратической ошибки рассчитывается по формуле:
Интервальная оценка генеральной средней
Доля (ошибка репрезентативности) вычисляется по формуле:
Доверительный интервал для генеральной доли:
2.4 Стоимость основных фондовПо формулам (1.1) и (1.2) определяем:
Результаты группировки приведены в таблице 2. При этом накопленные частоты определяются путем последовательного суммирования частот по группам. Таблица 2 Группировка приборостроительных предприятий по стоимости основных фондов в 2000 г.
По формулам (2.1), (2.2) и (2.3) рассчитываем среднюю стоимость основных фондов в целом по 37 предприятиям:
Модальный интервал (см. табл.2) - пятый (6,3-7,3], т.к он имеет наибольшую частоту (10). Медианный интервал - четвертый (5,3-6,3], т.к это первый интервал, в котором величина накопленных частот больше
Построим гистограмму (рис.1), на которой отразим распределение предприятий по признаку х . Выделим на ней модальный интервал.
Рис. 1 Распределение приборостроительных предприятий по стоимости основных фондов Анализируя диаграмму на рис.1, видно, что в рассматриваемой совокупности приборостроительных предприятий Челябинской области наиболее часто встречаются предприятия со стоимостью основных фондов 6,63 млн. руб. Величина медианы свидетельствует о том, что 50% предприятий имеют основных фондов на сумму 6,05 млн. руб. Построим график кумуляты по данным таблицы 2.
Рис.2 Кумулята распределения предприятий по стоимости основных фондов Рассчитаем предельную ошибку средней арифметической и ошибку репрезентативности по формулам (3.1 - 3.6). При вероятности 0, 99 t= 2,68 (по таблице Удвоенная нормированная функция Лапласа):
Интервальная оценка генеральной средней
Таким образом, с вероятностью 0,99 можно утверждать, что средняя стоимость основных фондов по 37 предприятиям находится в интервале от 5,36 до 6,44 млн. руб. Решим задачу определения доли предприятий, стоимость основных фондов которых лежит в модальном интервале [6,3; 7,3). Согласно таблице 2 численность таких предприятий составляет
Тогда ошибка репрезентативности согласно (3.5) равна:
Найдем доверительный интервал для данного показателя: 2.5 Объем продукцииАналогично проведенным выше расчетам (пункт 2.5) произведем расчеты необходимых величин по результативному признаку. Результаты группировки оформим в виде таблицы 3. По формулам (1.1) и (1.2) определяем: Таблица 3 Группировка приборостроительных предприятий по объему продукции в 2000г.
По формулам (2.1), (2.2) и (2.3) рассчитываем средний объем продукции в целом по 37 предприятиям:
Модальным и медианным интервалом является третий [5,2; 7,1) (см. табл.3) - т.к. он имеет наибольшую частоту (10) и является первым интервалом, в котором величина накопленных частот больше 18,5.
Построим гистограмму (рис.3), на которой отразим распределение предприятий по признаку у . Выделим на ней модальный интервал.
Рис.3 Распределение приборостроительных предприятий по объему продукции Анализируя диаграмму на рис.3, видно, что в рассматриваемой совокупности приборостроительных предприятий Челябинской области наиболее часто встречаются предприятия с объемом выпускаемой продукции на 5,52 млн. руб. Величина медианы свидетельствует о том, что 50% предприятий имеют объем продукции на сумму 5,58 млн. руб. Построим график кумуляты по данным таблицы 3.
Рис.3 Кумулята распределения предприятий по объему продукции Рассчитаем предельную ошибку средней арифметической и ошибку репрезентативности по формулам (3.1 - 3.6):
Интервальная оценка генеральной средней
Таким образом, с вероятностью 0,99 можно утверждать, что средняя стоимость в целом по 37 предприятиям находится в интервале от 5,23 до 7,37 млн. руб. Ошибка репрезентативности: Решим задачу определения доли предприятий, объем продукции которых лежит в модальном интервале [5,2; 7,1]. Согласно таблице 3 численность таких предприятий составляет
Тогда ошибка репрезентативности согласно (3.5) равна:
Найдем доверительный интервал для данного показателя: 3. Корреляционный анализ3.1 Исследование связи между факторным и результативным признаками. Построение корреляционной таблицыСгруппируем предприятия по двум признакам одновременно, считая, что объем продукции является результативным признаком, а стоимость основных фондов - факторным. Результаты отразим в таблице 4 - наглядно представляем статистическую зависимость объема продукции от стоимости основных фондов (т.е. каждому отдельному значению х соответствует не одно, а несколько значений у ). Таблица 4 Взаимозависимость факторного и результативного признаков
Графически такая зависимость объема продукции от стоимости основных фондов может быть представлена с помощью поля корреляции, изображенного на рис.3.
Рис.3 Корреляционное поле 3.2 Определение степени тесноты связиДля установления самого факта наличия (или отсутствия) статистически значимой зависимости между объемом продукции и стоимостью основных фондов приборостроительного предприятия воспользуемся двумя измерителями статистической связи: эмпирическое корреляционное отношение и линейный коэффициент корреляции. Эмпирическое корреляционное отношение вычисляется по формуле:
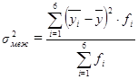
Межгрупповая дисперсия
Для нахождения эмпирического корреляционного отношения рассчитаем эти показатели: 1)
2)
3) 4)
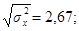
5) Тогда эмпирическое корреляционное отношение будет равно:
Такое значение корреляционного отношения говорит о том, что изменение объема продукции во многом объясняется вариацией стоимости основных фондов. Линейный коэффициент корреляции вычисляется по формуле:
Степень тесноты связи зависит от близости |r
| к единице 4. Регрессионный анализ4.1 МоделированиеПосле выявления наличия связей между х и у, оценки степени их тесноты, можно перейти к математическому описанию статистической зависимости с использованием регрессионного анализа. Проанализировав полученные данные (пункты 3.1 и 3.2), можно сделать вывод о том, что с возрастанием стоимости основных фондов объем продукции в целом увеличивается. Таким образом, остановим свой выбор на линейной модели:
О возможности применения линейной модели для описания зависимости объема продукции от стоимости основных фондов можно говорить, если выполняется следующее неравенство:
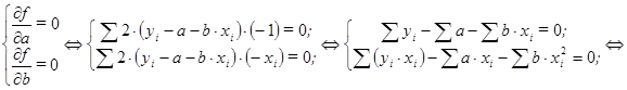
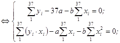
Следовательно, гипотеза о линейной модели связи принимается. Для нахождения параметров a иb воспользуемся методом наименьших квадратов:
Составим таблицу 5 для вычисления значений
Таблица 5 Расчет показателей
Получим систему:
Подставив найденные параметры в уравнение (6.1), получим:
Из уравнения следует, что при увеличении стоимости основных фондов на 1 млн. руб. объем продукции в среднем увеличивается на 1,0925 млн. руб. 4.2 ПрогнозированиеНа основе уравнения регрессии можно прогнозировать изменения объема продукции в зависимости от определенного значения стоимости основных фондов. Изобразим на корреляционном поле (рис.4) прямую линию полученного нами уравнения регрессии. Эта линия характеризует функциональную зависимость между переменной стоимостью основных фондов (х) и средним значением объема продукции (у ). В целом при последующем росте стоимости основных фондов на предприятии будет наблюдаться рост объема продукции. Например, если стоимость основных фондов приборостроительного предприятия будет равна 10 млн. руб., то в среднем объем произведенной им продукции составит на сумму 10,76 млн. руб.
Рис.3 График уравнения регрессии ЗаключениеПо проведенному статистическому исследованию зависимости объема продукции от стоимости основных фондов на приборостроительных предприятиях необходимо сделать выводы. Во-первых, анализ средних величин показал, что стоимость основных фондов и объем продукции в рассматриваемой совокупности приборостроительных предприятий Челябинской области в среднем составляют 5,9 и 6,3 млн. руб. соответственно. Наиболее часто встречается предприятия, стоимость основных фондов которых находится в пределах от 6,3 до 7,3 млн. руб., а объем продукции - от 5,2 до 7,1 млн. руб. Доля таких предприятий лежит в пределах 11-46% от общей совокупности. Во-вторых, с помощью корреляционного анализа было установлено, что рассматриваемые признаки взаимосвязаны, причем каждому значению стоимости основных фондов соответствует не одно, а несколько значений объема продукции. Более того, расчет показателей степени тесноты связи показал, что связь между двумя признаками носит прямая - при увеличении стоимости основных фондов увеличивается объем произведенной продукции. В-третьих, методами регрессионного анализа мы установили модель регрессии и для описания зависимости объема продукции от стоимости основных фондов вывели линейное уравнение Использованная литература и программы1. Статистика: Учебник / Под ред. В.С. Мхитаряна. - М.: Экономистъ, 2005. 2. Практикум по теории статистики: Учеб. пособие / Под ред. Р.А. Шмойловой. - М.: Финансы и статистика, 2000. 3. Пакетная программа ExcelMicrosoftOffice. |
; (2.1)
; (2.3)
; (3.2)
; (3.3)
(3.5)



;
(5.1)
; (5.3)
; (5.4)
; (5.5)
; (5.6)

;
