Курсовая работа: Состояние и прогнозирование рождаемости населения Российской Федерации
|
Название: Состояние и прогнозирование рождаемости населения Российской Федерации Раздел: Рефераты по социологии Тип: курсовая работа | ||||||||||||||||||||||||||||||||||||||||||||
Состояние и прогнозирование рождаемости населения РФ Москва 2007 СодержаниеСодержание. 2 Введение. 3 Показатели рождаемости населения. 5 Общие показатели рождаемости. 5 Специальный и возрастной коэффициенты рождаемости. 6 Суммарный и кумулятивный коэффициенты рождаемости, 11 средний возраст матерей при рождении детей. 11 Прогнозирование рождаемости. 13 Заключение. 20 Литература. 22 ВведениеРождаемость это процесс деторождения в населении. Она может рассматриваться только как массовое явление, как совокупность единичных актов рождения детей. При этом имеются в виду только живорождения. Мертворождения в показателях рождаемости не учитываются. Следует различать понятия рождаемость и плодовитость (в старой литературе еще можно встретить смешение двух этих категорий). Плодовитость это биологическая способность к деторождению, а рождаемость относится к фактическому деторождению, т.е. реализации этой способности [1]. Если рождаемость представляет собой совокупность деторождений, то сами они являются результатами репродуктивного поведения (об этом понятии речь пойдет ниже). На уровне семьи, индивидуума результатом является число рожденных детей. Важно, кстати, всегда уточнять, какое число детей в семье, у индивида имеется в виду. Это может быть: число рожденных детей, число живых детей, число живущих в семье детей, число детей определенного возраста, например, до 18 лет и др. Понятно, что эти показатели различаются по смыслу и по величине. Принято в зависимости от числа детей, различать малодетность, среднедетность и многодетность. Под малодетностью понимается наличие 1-2 детей, под среднедетностью – 3-4 детей, под многодетностью – 5 детей и более. Нужно обратить внимание на то отличие, которое имеет место здесь по сравнению с практикой, например, социальной защиты населения. Там к многодетным семьям относятся те, кто имеет 3 и более детей. Рождаемость, наряду со смертностью, является основным демографическим процессом. Именно она в настоящее время в нашей стране и других индустриальных странах оказывает решающее влияние на характер воспроизводства населения. От нее, главным образом, зависит то, как в обществе осуществляется процесс замещения поколений. Достаточно сказать, что если число детей, рожденных в среднем одной женщиной, независимо от ее брачного состояния, не будет превышать примерно 2,1 или число детей в среднем у одной плодовитой (т.е. способной к деторождению) супружеской пары не будет превышать примерно 2,3-2,4, то сколь низким не был бы при этом уровень смертности, замещения поколений в обществе происходить не будет и численность населения от поколения к поколению будет сокращаться (следует, правда иметь в виду, что это сокращение может тормозиться или откладываться на некоторое время под влиянием сложившейся благоприятной возрастной структуры населения, но только на некоторое время) [3]. О соотношении влияния рождаемости и смертности на воспроизводство населения свидетельствует следующее. При существующем сейчас в России уровне смертности для обеспечения простого воспроизводства населения, т.е. чтобы от поколения к поколению численность населения не сокращалась, необходимо, чтобы в среднем на одну женщину приходилось 2,11 рожденных детей. Если же удалось бы сократить уровень смертности в 1,5 раза, то этот показатель сократился бы всего лишь до 2,09. В этой связи рождаемости отводится особое место в демографической политике. От того, удастся ли существенно изменить ее уровень и тенденции, решающим образом зависят перспективы демографической динамики, изменения численности населения и его состава, будущее нашей страны. Для того чтобы повышалась рождаемость, надо очень хорошо представлять себе, от чего зависит её уровень, число детей в семьях, что определяет то или иное репродуктивное поведение. Это, в свою очередь, предполагает всесторонний и глубокий анализ рождаемости и репродуктивного поведения с использованием различных показателей и источников информации. Показатели рождаемости населенияОбщие показатели рождаемости
К общим показателям рождаемости относятся абсолютное число родившихся и общий коэффициент рождаемости. Иногда рождаемость отождествляют с числом родившихся. Например, говорят или пишут, что повысился уровень рождаемости или что в одной территории он выше, чем в другой. В подтверждение этого приводятся абсолютные числа родившихся. На самом деле этот показатель совершенно не информативен и сам по себе не пригоден для анализа рождаемости. Понятно, что чем больше численность населения, тем больше, при прочих равных условиях, будет и количество тех или иных событий в этом населении. В большей совокупности населения будет больше случаев деторождений, больше абсолютное число родившихся [10]. Абсолютное число родившихся может быть использовано лишь для расчета других показателей рождаемости или для определения абсолютной величины естественного прироста (в этом случае из числа родившихся вычитается число умерших) [5]. Общий коэффициент рождаемости лучше, чем абсолютное число родившихся. Однако и этот показатель для серьезного анализа рождаемости непригоден. Дело в том, что реально в процессе деторождения принимает участие не все население, а только женщины репродуктивного (детородного, фертильного) возраста[1] . Специальный и возрастной коэффициенты рождаемости.
Более адекватную характеристику уровня рождаемости дает использование специального и возрастных коэффициентов рождаемости. Специальный коэффициент рождаемости существенно лучше общего коэффициента. Он адекватнее характеризует истинный уровень рождаемости, в меньшей степени зависит от особенностей возрастного состава населения. Однако все же зависит. Дело в том, что даже внутри возрастной группы 15-49 лет интенсивность деторождения, естественно, различается по возрастам. В зависимости от уровня рождаемости и, особенно, возраста вступления в брак максимальные показатели рождаемости имеют место у женщин в возрастных группах 20-24 года или 25-29 лет. Дальше с возрастом интенсивность деторождения у женщин уменьшается. В связи с этим понятно, что чем больше среди женщин детородного возраста будет тех, кому 20-29 лет, тем выше, при прочих равных условиях, будет величина специального коэффициента рождаемости. Еще точнее, по сравнению со специальным коэффициентом рождаемости, характеризуют рождаемость возрастные коэффициенты. По сути дела, специальный коэффициент рождаемости можно рассматривать как частный случай возрастного. Просто возрастная группа здесь очень велика. Она составляет 35 лет, тогда как обычно возрастные коэффициенты рождаемости рассчитываются по пятилетним или однолетним возрастным группам. Использование возрастных коэффициентов при динамических или территориальных сопоставлениях уровня рождаемости позволяет устранить влияние возрастного состава женщин репродуктивного возраста, оценить различия или изменения в возрастной модели рождаемости. Кроме того, на их основе рассчитываются суммарный коэффициент рождаемости и показатели воспроизводства населения, о которых речь пойдет в дальнейшем. Больший прирост показателей рождаемости в более старших возрастах сохранился и после 1999 г., когда уровень рождаемости в России несколько увеличивался. У 15–19-летних женщин в 2003 г. коэффициент рождаемости был ниже, чем в 1999 г., на 6,4%. Во всех остальных возрастах рождаемость в 2003 г. была выше, чем в 1999 г.: 20–24 года – на 2,1%, 25–29 лет – на 20,1%, 30–34 года – на 34,9%, 35–39 лет – на 41,6%, 40–44 года – на 22,7%. Таким образом, у 30–39-летних женщин показатель рождаемости в 2003 г. вырос более чем на треть по сравнению с 1999 г. и вернулся к уровню начала 1990-х гг. То же имело место и в возрастной группе 25–29 лет, тогда как у женщин моложе 25 лет коэффициенты рождаемости сейчас существенно ниже тех, которые были 10 лет назад. Столь различная динамика показателей рождаемости у женщин разных возрастов привела к существенному изменению формы кривой возрастных коэффициентов рождаемости, смещению значительной доли рождений к более старшим возрастам. Если в 1994 г. коэффициент рождаемости в возрастной группе 25–29 лет составлял 55,9% от величины этого показателя в возрасте 20–24 года, то в 2003 г. – 82,3%. Возрастная модель рождаемости существенно различается сейчас по регионам России. В ряде регионов (например, Москва, Санкт-Петербург, Томская область) коэффициенты рождаемости у 25–29-летних женщин выше, чем в возрасте 20–24 года, тогда как есть регионы, где показатель рождаемости в возрасте 25–29 лет составляет менее 70% от его величины в возрасте 20–24 года (например, Республика Мордовия, Курская и Тамбовская области). Остановимся на возможностях использования индексного метода при динамических или территориальных сопоставлениях уровня рождаемости. Этот метод, используемый в отношении общих коэффициентов рождаемости, позволяет определить, в какой степени изменение общих коэффициентов рождаемости в динамике или отличие величины этого показателя для одного населения от его величины для другого населения связано с изменением или различием собственно интенсивности деторождения, а в какой степени – с изменением или различием поло-возрастной структуры населения. Расчет производится по следующей формуле [7]: n1 Sfх 1 *wх 0 n1 --- = ----------- * ----------- n0 n0 Sfх 1 *wх 0 где n1 – общий коэффициент рождаемости текущего периода (для динамических индексов) или анализируемого населения (для территориальных индексов); n0 – общий коэффициент рождаемости базисного периода (для динамических индексов) или населения, используемого в качестве базы сравнения (для территориальных индексов); fх 1 – возрастные коэффициенты рождаемости текущего периода (для динамических индексов) или анализируемого населения (для территориальных индексов) (в ‰); wх 0 – доля женщин каждой возрастной группы в общей численности населения базисного периода (для динамических индексов) или населения, используемого в качестве базы сравнения (для территориальных индексов) (в долях единицы). Общие коэффициенты рождаемости доступны практически всегда и нужно произвести дополнительный расчет только по формуле: Sfх 1 *wх 0 . Для такого расчета необходимы возрастные коэффициенты рождаемости текущего периода или анализируемого населения, а половозрастная структура населения, наоборот, базисного периода или населения, используемого для сравнения. Теперь о том, что показывают данные индексы [8]. Первый индекс (n1 / n0 ) показывает изменение общего коэффициента рождаемости (для динамических индексов) или отличие величины этого показателя для анализируемого населения от его величины для населения, используемого в качестве базы сравнения (для территориальных индексов). Второй индекс ((Sfх 1 *wх 0 ) / n0 ) свидетельствует о вкладе возрастных коэффициентов рождаемости в различие общих коэффициентов. Он показывает, каким было бы изменение общего коэффициента рождаемости (для динамических индексов) или отличие его от показателя для другого населения (для территориальных индексов), если бы менялась или различалась только собственно интенсивность деторождения, а половозрастная структура населения оставалась неизменной или была бы одинаковой у обоих населений. Третий индекс (n1 / (Sfх 1 *wх 0 )) свидетельствует о вкладе половозрастной структуры в различие общих коэффициентов рождаемости. Он показывает, каким было бы изменение общего коэффициента рождаемости (для динамических индексов) или отличие его от показателя для другого населения (для территориальных индексов), если бы менялась или различалась только половозрастная структура населения, а собственно интенсивность деторождения оставалась неизменной или была бы одинаковой у обоих населений. Используя индексный метод, определим вклад изменения возрастных коэффициентов рождаемости и половозрастного состава населения в повышение общего коэффициента рождаемости в России. В 2003 г. по сравнению с 1999 г. общий коэффициент рождаемости увеличился на 22,9%. Свыше половины этого прироста вызвано ростом возрастных коэффициентов рождаемости (табл.1). Таблица 1 Индексы динамики общего коэффициента рождаемости в Российской Федерации в 1999–2003 гг.
Суммарный и кумулятивный коэффициенты рождаемости,средний возраст матерей при рождении детей
Одним из самых важных показателей рождаемости является суммарный коэффициент. По сравнению с достаточно адекватно характеризующими уровень рождаемости возрастными коэффициентами, суммарный коэффициент рождаемости обладает, по меньшей мере, тремя достоинствами [9]. Во-первых, в отличие от возрастных коэффициентов, которых оказывается 7 при пятилетних возрастных группах или 35 при однолетней возрастной группировке, суммарный коэффициент характеризует уровень рождаемости одним числом. Во-вторых, он более понятен по смыслу, так как показывает не, зачастую плохо осознаваемое, число рождений в расчете на 1000 женщин определенного возраста, а среднее число детей рожденных одной женщиной. В-третьих, этот коэффициент характеризует не только уровень рождаемости, но и воспроизводство населения. Выше уже отмечалось, что суммарный коэффициент рождаемости равный примерно 2,1, по сути дела, отделяет простое воспроизводство населения (когда численность населения от поколения к поколению не меняется) от суженного (при котором каждое новое поколение по численности оказывается меньше предыдущего). Для общей характеристики уровня рождаемости, в первую очередь, целесообразно использовать суммарный коэффициент рождаемости[2] . Прогнозирование рождаемостиДля прогнозирования используют регрессионный анализ. На сайте http://www.labourmarket.ru/Pages/Levels/f_demogr.htm найдем статистику числа рождаемости.
Построим график
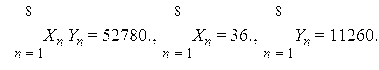
В 2004 году видим выброс. Хотя в целом видим линейную зависимость от времени. Поэтому сгладим этот выброс, взяв вместо него среднее арифметическое значений в 2003 и 2005 годах. Построим регрессию по времени начиная с 1999 года, когда начался подъем в экономике и произошел перелом в тенденции рождаемости. Будем вычислять в тыс.человек. Для регрессии вида
Вычислим
Тогда
Откуда Смысл коэффициента beta заключается в том, что при изменении значения X на 1 единицу Y меняется на 50 единиц. Нарисуем точки и регрессию:
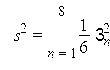
Найдем оценки дисперсий коэффициентов регрессии по формулам
Получим
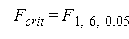
уровень доверия Доверительный интервал [6] для beta
равен
показывает, что связь сильна. Коэффициент детерминации Средняя ошибка аппроксимации
Колеблемость - это отклонения уровней динамического ряда от тренда, т.е. остатки регрессии. Найдем остатки регрессии (т.е. очищаем признак от тренда)
Нарисуем график остатков
Среднее линейное отклонение уровней ряда от тренда описывается показателем
т.е. среднее абсолютное отклонение от тренда равно Амплитуда колебаний есть разность максимального и минимального отклонения и показывает максимальный разброс отклонений.
Точечный прогноз для 2007 Интервальный прогноз с вероятностью 95%
Точечный прогноз для 2008 Интервальный прогноз с вероятностью 95%
Построенный тренд оказался значимым и обладает хорошими прогнозными свойствами. ЗаключениеТемпы депопуляции населения России приобрели угрожающие черты — количество россиян ежегодно сокращается и по различным прогнозам к 2050 году может составить 100 млн. человек (против сегодняшних 142 млн.). Низкая рождаемость, только одна из причин демографического кризиса в России. В Тверской области самой острой проблемой является сверхвысокая смертность населения — как от естественных причин, так и от неестественных (ДТП, алкогольные отравление, убийства и т.п.). На сегодняшний день в области подготовлена концепция демографической политики, которая содержит в себе целый ряд мероприятий, направленных на исправление ситуации. С проблемой естественной убыли населения столкнулись сегодня все регионы Центра России, независимо от уровня их экономического развития. Повышение рождаемости, увеличение продолжительности жизни, качества и доступности услуг здравоохранения и социальной защиты - стали главными направлениями государственной политики. Некоторые демографические показатели в области требуют более пристального внимания, более разнообразных, глубоких мер по их исправлению. Тысячи людей трудоспособного возраста умирают в самом расцвете сил от алкоголизма, неправильного образа жизни, гибнут в производственных авариях и дорожно-транспортных происшествиях. Особенно много мы теряем мужчин до шестидесяти лет, смертность которых составляет почти пятьдесят процентов от общего числа умерших мужского пола. В демографии прогнозы строятся по аналогии с опытом других стран. Этот опыт однозначно свидетельствует: депопуляция населения преодолима. По предварительным оценкам, убыль может сократиться на несколько промилле в обозримом будущем. Демографические процессы по своей сути очень инерционны, и повернуть маховик депопуляции в одночасье невозможно. Однако все вышеприведенные расчеты выполнены статистиками без учета реализации мер, направленных на демографическое развитие Российской Федерации и реализацию приоритетного национального проекта в области здравоохранения. В целом статистические показатели по рождаемости и смертности населения, полученные в прошлом году и в январе 2007 года, свидетельствуют о возможности положительного изменения тенденций демографического развития. Литература1. Елисеева И.И. Общая теория статистики: Учебник для ВУЗов. – М.: Финансы и статистика, 1999. 2. Ефимова М.Р. Общая теория статистики: Учебник.- М.: Финансы и статистика, 1999. 3. Ефимова М.Р. Практикум по общей теории статистики: Учебн. пособие.- М.: Финансы и статистика, 1999. 4. Козлов В.С., Эрлих Я.М., Долгушевский Ф.Г. Общая теория статистики: Учебник.- М.: Статистика, 1975. 5. Общая теория статистики: Статистическая методология в изучении коммерческой деятельности. Учебник для ВУЗов.- М.: Финансы и статистика, 1999. 6. Общая теория статистики: Учебник/ Под ред. А.А. Спирина, О.Э. Башиной.- М.: Финансы и статистика, 1996. 7. Общая теория статистики: Учебник/ Под ред. А.М. Гольдберга, В.С. Козлова.- М.: Финансы и статистика, 1985. 8. Ряузов Н.Н. Общий курс статистики.- М.: Статистика, 1979. 9. Ряузов Н.Н. Практикум по общей теории статистики.- М.: Финансы и статистика, 1981. 10. Теория статистики: Учебник для ВУЗов/ Под ред.Шмойловой Р.А.- М.: Финансы и статистика, 1996. 11. Теория статистики: Учебник/ Под ред. проф. Р.А. Шмойловой.- М.: Финансы и статистика, 1996. [1] Поэтому, чем выше будет доля этих женщин в общей численности населения, тем, при прочих равных условиях, будет выше и общий коэффициент рождаемости. [2] При возникновении же необходимости углубления анализа рождаемости, выявления компонентов изменений суммарного коэффициента рождаемости во времени или различий его у разных населения, следует обратиться к возрастным показателям рождаемости. |
















