Дипломная работа: Разработка инвестиционно-строительного проекта жилищно-коммерчкеского комплекса
|
Название: Разработка инвестиционно-строительного проекта жилищно-коммерчкеского комплекса Раздел: Рефераты по строительству Тип: дипломная работа | |||||||||||||||||||||||||||||||||||||||||||||||||||||||||||||||||||||||||||||||||||||||||||||||||||||||||||||||||||||||||||||||||||||||||||||||||||||||||||||||||||||||||||||||||||||||||||||||||||||||||||||||||||||||||||||||||||||||||||||||||||||||||||||||||||||||||||||||||||||||||||||||||||||||||||||||||||||||||||||||||||||||||||||||||||||||||||||||||||||||||||||||||||||||||||||||||||||||||||||||||||||||||||||||||||||||||||||||||||||||||||||||||||||||||||||||||||||||||||||||||||||||||||||||||||||||||||||||||||||||||||||||||||||||||||||||||||||||||||||||||||||||||||||||||||||||||||||||||||||||||||||||||||||||||||||||||||||||||||||||||||||||||||||||||||||||||||||||||||||||||||||||||||||||||||||||||||||||||||||||||||||||||||||||||||||||||||||||||||||||||||||||||||||||||||||||||||||||||||||||||||||||||||||||||||||||||||||||||||||||||||||||||||||||||||||||||||||||||||||||||||||||||||||||||||||||||||||||||||||||||||||||||||||||||||||||||||||||||||||||||||||||||||||||||||||||||||||||||||||||
КУРСОВАЯ РАБОТА “Разработка инвестиционно-строительного проекта жилищно-коммерческого комплекса” Выполнил: Проверил: Киев 2004 П Л А НI. Теоретические основы инвестиционно-строительного проектирования. 1.1. Сущность инвестиционно-строительного проекта и факторы, определяющие его эффективность. Выбор исполнителя проекта.................................................................стр. 3 1.2. Актуальность внедрения систем управления инвестиционно-строительными проектами. Фазы разработки и ход реализации проекта жилищно-коммерческого строительства, его особенности и аспекты реализации................................................стр.7 1.3. Жилищно-коммерческое строительство и его правовая экспертиза. Система экологического сопровождения проекта........................................................................стр.15 II. Разработка инвестиционно-строительного проекта ЖКК "Перекресток". 2.1. Характеристика объекта и условий строительства..............................................стр.21 2.2. Технико-экономические показатели по проекту. Расчет потребности в трудовых и материально-технических ресурсах.............................................................................стр.23 2.3. Строительный генеральный план и организация строительной площадки......стр.26 2.4. Финансирование проекта. Экономическая эффективность внедрения проекта и оценка риска..............................................................................................................................стр. 37 2.5. Решения по охране труда и противопожарной безопасности проекта. Экологические решения проекта..........................................................................................................стр. 42 2.6. Предполагаемая организационная структура управления проектом. Управление рисками и изменениями, контроль и мониторинг проекта......................................стр.44 Список использованной литературы......................................................................стр.49 I. Теоретические основы инвестиционно-строительного проектирования. 1.1. Сущность инвестиционно-строительного проекта и факторы, определяющие его эффективность. Выбор исполнителя проекта. В инвестиционно-строительный проект вкладываются денежные средства с целью получения прибыли и/или прироста капитала от его реализации (постройка строительных объектов). Для успешной реализации проекта в строительстве существуют множество факторов, в частности:·участники проекта и их структура их взаимоотношений . Как правило, "активными" участниками проекта являются: Инвестор, Заказчик, Проектировщик, Подрядчик - этим исчерпывается круг привычных для отечественного специалиста участников проекта. В последние годы реалии рыночной экономики и методы Управления Проектами заставляют дополнить состав участников проекта новыми лицами. Это Управляющая компания. Консультанты, Лицензиар (обладатель лицензий и "ноу-хау"), Банк и другие "пассивные" участники проекта. Для успешной реализации проекта важно заранее идентифицировать потребности и ожидания всех влиятельных участников проекта. Сделать это не всегда просто, но необходимо, так как без успешного управления потребностями и ожиданиями участников проекта рассчитывать на успешность проекта легкомысленно. Еще более важно правильно классифицировать и сгруппировать участников проекта по группам интереса и силовым полям. Часто возникают ситуации, когда такие группы пересекаются или интересы группы противоречат друг другу. Для Руководителя проекта важно при этом находить компромиссы между противоречащими требованиями участников и убеждать их принять найденные компромиссы. Но в любом компромиссе необходимо осознавать приоритет интересов Заказчика над всеми остальными интересами и ожиданиями. ·созданная организационная структура управления проектом . Выбор и разработка организационной структуры - это сложная, слабо формализуемая задача. Тем не менее, существует общая совокупность проблем, успешное разрешение которых приводит к созданию эффективной организационной структуры проекта. Прежде всего, созданная организационная структура проекта должна соответствовать содержанию проекта, системе взаимоотношений участников проекта и требованиям внешнего окружения. От этого зависит ход реализации проекта. · подбор команды проекта; · правильно выполненная структуризация проекта; · техническое совершенство нового объекта;· соответствие современным подходам;· продолжительность от инвестиционного идеи до сдачи в эксплуатацию;· общий управленческий и производственный опыт;· профессиональные знания исполнителя проекта;· техническая квалификация исполнителя;· степень ответственности при руководстве аналогичной деятельностью в прошлом и т.д.Для компании, которая намерена выполнить инвестиционно-строительный проект, всегда возникает первоочередной вопрос - нанять собственного руководителя проекта и команду, или воспользоваться услугами управляющей компании? Если компания намерена инвестировать средства в постоянно повторяемые объекты (например жилые дома, или кирпичные заводы и т. д.), и заниматься этим постоянно, то более целесообразным решением представлется найм собственного руководителя, создание соответствующих служб и структур, получение соответствующих лицензий. Но если компания намерена инвестировать средства в разовый проект, который будет характеризоваться неповторимостью условий его выполнения (это может быть любой строительный объект - от крупного производственного комплекса до загородного дома), при этом проект ограничен жесткими временными рамками и требует использования наиболее эффективной структуры управления, то однозначно нужно воспользоваться услугами Управляющей компании. В целом, ответ на этот вопрос зависит от множества факторов, и требует индивидуального подхода в каждом конкретном случае. Во многом успех реализации проекта во многом зависит от процедурных факторов. Это взаимоотношение Управляющей компании (или собственного руководителя проекта) с инвестирующей компанией (Заказчиком). Процедурные факторы главным образом касаются контроля за ходом реализации проекта, отбора команды проекта и ее самостоятельность в принятии решений, системы материального поощрения, и процессов финансирования проекта. И вот здесь, если сравнивать Управляющую фирму и собственного руководителя проекта, то как правило собственный руководитель проекта подпадает под жесткий корпоративный контроль, не обладает достаточной степенью самостоятельности, вынужден согласовывать каждое свое движение, не самостоятелен в принятии решений, что в большинстве случаев является губительным для всего проекта. Управляющая фирма же является более дистанцированной и самостоятельной в отношениях с Заказчиком. Основным критерием работы менеджеров Управляющей фирмы является инициативность, которая становится важнее исполнительности, целевой ориентир - работа для Заказчика, а не для начальника. В этом смысле управляющая фирма по своей природе имеет явное преимущество перед собственным руководителем проекта. Кроме того, существует важный структурный фактор, который дает преимущество Управляющей фирме - это организационная независимость. Для сотрудников Управляющей компании эффективной мотивацией может быть работа в независимых организационных условиях от Заказчика, которые позволяют им принимать многие решения быстро и самостоятельно, стимулируют инициативу. При этом эффективность продвижения проекта возрастает, что в итоге оптимально для проекта и для заказчика. Что касается факторов, относящихся непосредственно к создаваемому объекту (это техническое совершенство нового объекта, соответствие современным подходам, продолжительность от инвестиционного идеи до сдачи в эксплуатацию), - то для малых проектов и собственный руководитель и Управляющая фирма в принципе имеют равные возможности. Для больших проектов - Управляющая фирма имеет явное превосходство и преимущество прежде всего за счет имеющихся у нее ресурсов: систем коммуникации и информационных технологий. Если сравнить факторы, характеризующие опыт проект-менеджера или Управляющей компании (это общий управленческий и производственный опыт, профессиональные знания, техническая квалификация, степень ответственности при руководстве аналогичной деятельностью в прошлом); то здесь необходим индивидуальный подход в каждом отдельном случае. В моем представлении, Управляющая компания - это более высокий уровень, более эффективный инструмент для создания проектов недвижимости. Как правило Управляющая компания имеет обширный опыт участия в различных проектах, имеет профессионалов в области управления проектами. Какова разница в цене при этих 2-х подходах? Это зависит от задач, целей и приоритетов, на которые ориентируется Заказчик при выполнении проекта и которые он ставит перед Менеджером проекта или Управляющей компанией. Есть случаи, при которых Заказчик устанавливает следующий приоритет - "время дороже денег", или "качество принятых проектных решений, применяемых технологий и выполненных работ прежде всего", или - "только самые дешевые материалы и рабочая сила" и т. д. и т. п. Существуют также определенные опсания - не опасно ли для фирмы поручать свой проект Управляющей компании, которая возможно, в тоже время ведет проект конкурентов? Некоторые эксперты полагают, что в инвестиционно-строительных проектах это даже полезно. Чем больше практического опыта участия в различных проектах, тем выше эффективность и надежность в управлении данным проектом. Другое дело, если Управляющая компания участвует в венчурном или инновационном проекте (где используется "ноу-хау" в технологическом оборудовании и процессах, НИОКР и т.д.). В этом случае вопросы защиты информации должны решаться в отдельном порядке. Несомненно, вопросы управления проектами по созданию недвижимости требуют более глубокого и детального рассмотрения в другой плоскости: от чего зависит, и как Заказчику или Инвестору выбрать наиболее оптимальную, сбалансированную и эффективную организационную структуру управления проектом? Как выбрать менеджера проекта или Управляющую кампанию для реализации проекта? Чем при этом руководствоваться? Кто проведет консультации по этому вопросу? Управляющая компания и проект-менеджер должны обладать профессиональными знаниями по алгоритму необходимых шагов при создании для Заказчика эффективной организационной структуры. Только они, или один из них может квалифицированно консультировать заказчика по этим вопросам. Специалисты компаний исполнителя проекта обязательно имеют высшее строительное образование, опыт работы на строительных объектах (начиная от работы мастера, прораба, инженерного работника, главного инженера строительного подразделения и т. д.), а так же образование по дисциплине "Управление проектами", что помогает понять природу всех процессов на протяжении жизненного цикла проекта (методологию организации, планирования, руководства, координации человеческими и материальными ресурсами). 1.2. Актуальность внедрения систем управления инвестиционно-строительными проектами. Фазы разработки и ход реализации проекта жилищно-коммерческого строительства, его особенности и аспекты реализации. Прошло около 10 лет с начала реального использования в российской действительности концепции т.н. проектного управления. Сейчас в ряде крупных инвестиционно-строительных проектах в России используются профессиональные подходы к их осуществлению. Заказчикам (инвесторам), которые работают над реализацией даже малых инвестиционно-строительных проектов (реконструкция производства, строительство промышленных площадей), приходит понимание необходимости использования методологии УП и профессионалов в области управления проектами. Активно начали развиваться методы управления проектами в строительстве, с ориентацией на заказчика. В практику входят методы управления изменениями. Развивается управление качеством. Осознаются высокая роль и значение партнерства и слаженной работы команды проекта. Управление риском выделятся в самостоятельную дисциплину в рамках управления проектами. Новые информационные технологии дали широкие возможности проще и эффективнее использовать методы и средства управления проектами для таких целей, как планирование, составление графиков работ, контроль и анализ графиков работ, контроль и анализ времени, стоимости, ресурсов и др. Эти методы начинают широко использовать не только крупные, но и средние и мелкие фирмы в самых разнообразных сферах строительства. УП стало чем-то вроде корпоративного голоса заказчика, побуждающего оптимизировать все усилия по проекту предпринимаемые командами. Актуальность и насущность использования у нас методологии управления проектами в строительно-инвестиционной деятельности очевидна. Методы системного управления проектами позволяют: - разработать и обосновать концепцию проекта; - оценить эффективность с учетом фактора риска и неопределенности; - выполнить технико-экономическое обоснование проекта и разработать бизнес-план проекта; - осуществить системное планирование проекта на всех фазах жизненного цикла; разработать смету и бюджет проекта; - подобрать исполнительей проекта через процедуру конкурсов; - подготовить и заключить контракты и организовать реализацию проекта; - обеспечить эффективный контроль и регулирование, а так же управление изменениями и организовать системное управление качеством; - в полной мере учесть так называемый «человеческий фактор», оказывающий нередко решающее воздействие на эффективность проекта в целом. Управление инвестиционно-строительным проектом с целом происходит по стандартизированной схеме: Рис. 1 Общая схема управления инвестиционно-строительным проектом .
По мере прохождения различных стадий реализации инвестиционно-строительного проекта ЖКК, его участники отвечают за конкретные фазы. Так, заказчик обычно выполняет следующие инвестиционные исследования: · Формирование инвестиционного замысла; · Его предварительное согласование; · Разработка обоснования инвестиций; · Оценка жизнеспособности проекта; · Выбор и согласование места размещения объекта; · Предварительное инвестиционное решение; · Разработка предварительного плана проекта; Проект-менеджер, проектировщик, подрядчик привлекаются к проекту на следующих стадиях: · Разработка проектно-сметной документации, планирование проекта и подготовка к строительству; · Проведение торгов и заключение контрактов, организация поставок, подготовительные работы; · Строительно-монтажные работы; · Завершение строительной фазы проекта (пусконаладочные работы, сдача-приемка объекта, закрытие контрактов, анализ результатов). Проектировщик: наряду с типовыми функциями (эскизное проектирование, рабочее проектирование, авторский надзор) выполняет дополнительные функции (подготовку к торгам, проектный анализ, разработка ТЭО, участие в управлении проектом). Когда процессы рабочего проектирования и строительства совмещены, а цель и стратегия технологии проекта не была определена и сформулирована Заказчиком окончательно до начала рабочего проектирования, Заказчик часто лично участвует в процессах проектирования, планирования проекта, принятия решений, бюджетирования, управления контрактами и т.д. по ходу выполнения проектных и строительных работ. Также большой удельный вес времени Заказчика уделяется управлению содержанием, изменениями и рисками. Становление организационной структуры часто происходит уже в ходе реализации проекта. Наиболее часто она выглядит так:
Рис.2 Общая схема организационной структуры инвестиционно-строительного проекта Структура массива знаний по управлению проектами имеет несколько измерений: · По фазам жизненного цикла; · По функциям управления; · По подсистемам управления; · По процессам и прочее. Наиболее фундаментальной является структуризация по функциям управления проектами. Обычно принято выделять следующие функции управления проектами: · Управление содержанием и объемами работ; · Управление временем; · Управление стоимостью; · Управление качеством; · Управление материально-техническими ресурсами; · Управление персоналом; · Управление рисками; · Интеграционное управление; · Управление информацией и коммуникациями. Из подсистем управления ИС-проектом можно выделить следующие: · Планирование; · Контроль проекта; · Принятие решений; · Составление и сопровождение бюджета проекта; · Организация осуществления; · Мониторинг; · Отчетность; · Проверка и приемка;
Особое место при выполнении проекта занимают вопросы изменений в проекте (так как удельный вес вносимых изменений обычно высок). Для общего контроля изменений Проект-менеджером используется набор формальных процедур, которые определяют регламент изменений ранее принятых официальных документов проекта и порядок их утверждения. Сложность управления изменениями состоит в том, что решения по изменениям необходимо было принимать быстро и в тоже время все изменения в обязательном порядке надо было задокументировать и провести процесс согласования с участниками проекта. На это требовуется время. Вдостаточно общем виде этот процесс проходит через пять основных стадий: · Обсуждение; · Оценка; · Одобрение (принятое решение документируется); · Реализация; · Подтверждение исполнения. При выполнении инвестиционно-строительного проекта, Проект-менеджер контролирует три основные комплексные характеристики: время, объем работ и стоимость. Менеджером ведётся постоянный мониторинг проекта: · Контроль; · Слежение за выполненными работами; · Учет; · Анализ; · Составление отчетов о фактическом выполнении проекта в сравнении с планом. Подрядчик и Исполнители периодически составляют и утверждают у Проект-менеджера отчеты установленного образца. Менеджер производит анализ полученных данных, оценивает состояние работ по проекту относительно пороговой даты, производит оценку фактических затрат, оценку оставшегося объема работ. Процессы контроля данного проекта подразделяются Менеджером на следующие этапы: · Общий контроль изменений по проекту; · Ведение отчетности по проекту (отчеты о выполненных работах, прогноз с учетом имеющихся результатов); · Контроль за изменением содержания проекта; · Контроль за изменением рассписания проекта; · Контроль затрат по работам; · Контроль качества; · Контроль риска - реагирование на изменение уровня риска в ходе реализации проекта. 1.3. Жилищно-коммерческое строительство и его правовая экспертиза. Система экологического сопровождения проекта. Жилищно-коммерческое строительство является наиболее перспективным в процессе реализации инвестиционно-строительных проектов, поскольку отражает современные запросы заказчика и выполняет требования к стилю и архитектуре создаваемых объектов. Повышенный спрос на объекты жилищно-коммерческого строительства в последние годы обусловлен исключительным удобством совмещения коммерческих объектов, располагаемых на первых этажах (супемаркетов, парикмахерских и салонов красоты, пунктов обмена и проката, ателье и др), и жилых квартир на верхних этажах. За счет профессионализма и высокого творческого потенциала архитекторов, создаются уникальные жилищно-коммерческие комплексы. К объективным требованиям к объектам ЖКК можно отнести: - долговечность и срок службы жилого здания; - наличие всех необходимых удобств; - достаточная площадь и удобная планировка квартир; - наличие объектов социально-бытового и культурного назначения; - экологическая и физическая безопасность проживания в данном районе. Любой инвестиционно-строительный проект в жилищном строительстве включает следующие виды деятельности: - отвод земли и сбор финансовых средств; - изыскания; - проектирование; - поставки (материально-техническое снабжение); - строительство жилого здания; - регистрация прав собственности; - эксплуатация объекта. На каждом этапе реализации инвестиционно-строительного проекта важное значение имеет правовая экспертиза, выполняемая экспертом или группой экспертов по анализу и оценке выполненных этапов и соответствия их существующему законодательству. В задачу правовой экспертизы входит оценка экологических, экономических, социальных и других последствий выполненного этапа строительства. Выводы и предложения правовой экспертизы используют при проектировании, строительстве и эксплуатации жилых зданий, а также при реконструкции и ремонте их и при совершении сделок с жильем. Отвод земельного участка для строительства производится в соответствии с требованиями Гражданского, Земельного и Градостроительного кодексов РФ. В соответствии со ст.263 Гражданского кодекса РФ собственник земельного участка (физическое или юридическое лицо) может возводить на нем здания и сооружения, осуществлять их перестройку и снос на основе градостроительного планирования. При этом основным юридическим документом, определяющим застройку и благоустройство территории, является генеральный план поселения. Собственник земельного участка может разрешить строительство на своем земельном участке другим лицам с выдачей разрешения в письменной форме. Ст.30 Земельного Кодекса РФ регламентирует порядок предоставления земельных участков для строительства из земель, находящихся в государственной или муниципальной собственности. Предоставление земельных участков осуществляется как с предварительным согласованием мест размещения объектов, так и без него. Предоставление земельных участков для строительства в собственность без предварительного согласования мест размещения объектов осуществляется исключительно на торгах (конкурсах, аукционах). После торгов заключают договор купли-продажи земельного участка. Переход права собственности на земельный участок подлежит государственной регистрации, удостоверяемой Свидетельством о государственной регистрации. Предметом торгов может быть также право на заключение договора аренды. В этом случае заключают договор аренды земельного участка. Предоставление земельных участков для строительства с предварительным согласованием мест размещения объектов осуществляется не в собственность, а в аренду юридическим и физическим лицам. По этой же статье такое предоставление земельных участков допускается в постоянное (бессрочное) пользование государственным и муниципальным учреждениям, федеральным казенным предприятиям, органам государственной власти и органы местного самоуправления. Предоставление земельных участков для реализации инвестиционно-строительных проетов производится обычно в две стадии: - предварительное согласование мест размещения объекта (расширения, реконструкции), являющееся основанием для проведения изыскательных и проектных работ; - предоставление земельного участка в пользование на основании утвержденного проекта. В соответствии со ст.62 Градостроительного кодекса РФ собственнику земельного участка, владельцу, пользователю и арендатору земли требуется получить разрешение на строительство. Для получения такого разрешения требуется подтверждение права на земельный участок и наличие утвержденной проектной документации. Органы архитектуры и градостроительства готовят документы для выдачи разрешений на строительство органом местного самоуправления. Разрешение на строительство и утвержденная проектная документация регистрируют в органах местного самоуправления. При выполнении правовой экспертизы важно выявить законность и соблюдение лицензионной политики для всех видов строительной деятельности. Все инвестиционные проекты независимо от форм собственности и от источников финансирования до их утверждения подлежат экспертизе в соответствии с Градостроительным кодексом РФ (ст.29). Целью экспертизы является предотвращение создания объектов, использование которых нарушает права физических и юридических лиц и интересы государства, а также оценка эффективности капитальных вложений. В задачи правовой экспертизы входят также проверка правильности сметной стоимости объекта строительства, которое является основой для определения капитальных вложений, финансирования строительства и формирования договорных цен. Используя расчеты сметной стоимости, определяют балансовую стоимость вводимых в действие построенных объектов. В соответствии со ст.9 Градостроительного кодекса РФ запрещается разработка, согласование, утверждение и реализация градостроительной документации без учета материалов комплексных инженерных изысканий. Порядок проведения инженерных изысканий регламентируется СНиП 11-02-96 «Инженерные изыскания для строительства. Основные положения». В соответствии с требованиями Градостроительного кодекса РФ и Закона «Об охране окружающей среды» проектирование, строительство и эксплуатация зданий и сооружений должны соответствовать требованиям существующего законодательства и обеспечивать благоприятные экологические условия для жизни, труда и отдыха граждан. Разработанный в соответствии с требованиями СНиП 11-01-95 «О порядке разработки согласования и составе проектной документации на строительство предприятий, зданий и сооружений» проект на строительство объектов жилищно-гражданского назначения подлежит экспертизе как обязательному этапу инвестиционного процесса в строительстве. Порядок проведения экспертизы проектов строительства и составления заключения по экспертизе приведены в РДС 11-201-95 «Инструкция о порядке проведения государственной экспертизы проектов строительства». Приказом Госкомэкологии РФ от 16 мая 2000 года №372 утверждено «Положение об оценке воздействия намечаемой хозяйственной и иной деятельности на окружающую среду в Российской Федерации». Положение регламентирует процесс проведения оценки воздействия намечаемой хозяйственной и иной деятельности на окружающую среду и подготовки материалов, являющихся основанием для разработки обосновывающей документации по объектам государственной экологической экспертизы. Проект на строительство объектов жилищно-коммерческого назначения должен включать раздел «Охрана окружающей среды», который может состоять из подразделов: «Охрана и рациональное использование водных ресурсов», «Охрана земельных ресурсов, растительного и животного мира», «Защита от шума и других физических факторов воздействия». Для придания конкретизации системе процедур экологического сопровождения инвестиционно-строительных проектов, то есть учета помимо положений общепринятых нормативных актов Федерального значения, следует делать поправку на региональные и районные экологические условия проекта. Общая методология введения региональных (районных) показателей основывается на базовых принципах, являющихся неотъемлемой частью мероприятий по оценке воздействия на окружающую среду: · интеграция (рассмотрение во взаимосвязи) технических, экологических, социальных и экономических показателей; · вариантность решений, обеспечивающих выполнение экологических требований; · учет региональных особенностей. Результатом выполнения настоящих дополнительных условий является максимальная актуализация (конкретизация) воздействия инвестиционно-строительного процесса на все компоненты окружающей среды, возможность долговременного прогноза и обеспечение репрезентативности последующего контроля за техногенным воздействием. Порядок и последовательность действий по введению дополнительных требований к экологическому сопровождению инвестиционно-строительных проектов определяют Рекомендации по экологическому сопровождению инвестиционно-строительных проектов. Н/Д ГП “Центринвестпроект” Госстроя России, (согласование “Управления по государственной экологической экспертизе Госкомэкологии России” от 01.06.1998г.). Данные рекомендации определяют: 1. Действия по первому этапу экологического сопровождения проектов (декларация о намерениях). Для проектируемых предприятий структура природно-экологической оценки района размещения имеет вид: - размещение по признаку экологического районирования территории; - оценка общего воздействия проектируемого предприятия на все элементы окружающей среды (атмосферный воздух, воды, почвы); - расчетный метод по моделированию технологических процессов и техническим характеристикам предполагаемого проектом оборудования; - обоснование соответствия (существенного различия) расчетного и фактического воздействия, разработка системы компенсирующих мероприятий (в общем виде). По результатам расчетов проводится оценка экологического риска по региональным критериям. 2. Действия по второму этапу экологического сопровождения проектов (обоснование строительства). Для проектируемого предприятия определение возможных экологических последствий при реализации инвестиционно-строительного проекта при различных вариантах размещения и функционирования предприятия, оценка инвестиционных затрат на обеспечение экологической безопасности прилегающей к объекту территории. По результатам расчетов проводится оценка экологического риска по районным (экологические районы) критериям. 3. Действия по третьему этапу экологического сопровождения проектов (ТЭО – раздел ООС в проектной документации). Для проектируемого предприятия оценка экологического риска при принятых строительных решениях, учет природных ресурсов, используемых в процессе строительства, определение структурных изменений на прилегающей территории. 4. Действия по четвертому этапу экологического сопровождения проектов (Экологический мониторинг окружающей среды при строительстве и эксплуатации ЖКК). Действия по созданию репрезентативной системы контроля за состоянием окружающей среды зависят от масштабов воздействия проектируемого предприятия (размеров горного отвода под инвестиционно-строительный проект). В зависимости от расчетной зоны влияния предполагается региональная, районная или местная система контроля: По результатам эколого-экономической экспертизы деятельности предприятия устанавливается приоритетность (рейтинговая шкала) предприятия для социально-экономической инфраструктуры региона. II. Разработка инвестиционно-строительного проекта ЖКК "Перекресток". 2.1. Характеристика объекта и условий строительства. Инвестиционно-строительный проект “Жилищно-коммерческий комплекс “Перекресток” разработан на строительство 6-этажного (5 верхних этажей – жилье) крупнопанельного 1-секционного жилищно-коммерческого комплекса в соответствии с требованием СНиП “Организация строительного производства”. Исходными данными являются: 1. Объёмно-планировочные параметры здания: · длина - 45,60 м; · ширина - 22,0 м; · высота - 18,52 м; · общая площадь – 6800,3 м2 2. Основные природные условия: · географический пункт строительства - г. Киев; · инженерно-геологические условия - обычные; Климатический район строительства имеет следующие характеристики: · средняя температура наиболее холодной пятидневки равна -22 С; · преобладающее направление ветра - восточное; · скорость ветра: летом - 2,6 м/с; зимой - 6 м/с; · среднемесячная амплитуда колебания температуры летом - 11,5%; Строящийся объект - 6-этажный односекционный жилищно-коммерческий комплекс на 20 квартир и 4 коммерческих объекта. Строительные конструкции и изделия: Фундаменты - свайные безростверковые с низким расположением опор сваи по ГОСТ 19804.1-79*. Стены наружные - однослойные керамзитобетонные панели толщиной 400 мм. Стены внутренние - сборные железобетонные панели толщиной 160 мм. Перекрытия - сборные железобетонные плоские панели толщиной 160мм. Перегородки - железобетонные панели толщиной 60 мм. Вентблоки - сборные железобетонные толщиной 300 мм. Санузлы - объемные санкабины по серии 1.188-5 вып. 5. Лестницы - сборные железобетонные плоские марши и площадки. Лоджии - сборные железобетонные плоские плиты толщиной 160 мм. Ограждение лоджий - железобетонные сборные. Шахта лифтовая - железобетонные блоки по серии 75 часть 10 разд. 10.4-36. Покрытие - трехслойные железобетонные панели с эффективным утеплителем толщиной 350 мм. Крыша - сборная железобетонная с теплым чердаком. Кровля - безрулонная. Двери наружные - по серии 1.136.5-19. Двери внутренние - щитовой конструкции по серии 1.136-10. Встроенное оборудование - шкафы и антресоли по серии 75.88. Полы - линолеум, керамическая плитка, паркет, бетонные. Инженерное оборудование : Водопровод - хозяйственно-питьевой от внешних сетей. Расчетный напор у основания стояка 20 м. Канализация - хозяйственно-бытовая, в городскую сеть. Водосток внутренний с выпуском на отмостку. Отопление - центральное, водяное, система однотрубная с радиаторами. Вентиляция - естественная. Горячее водоснабжение - централизованное от скоростного водоподогревателя. Расчетный напор у основания стояка 32 м. Газоснабжение - от внешней сети к кухонным плитам. Электроснабжение - от внешней сети, напряжение - 380/220 В. Освещение - лампами накаливания. Устройство связи - радиотрансляция, коллективные телеантенны, телефонные вводы. Оснащение здания: Оборудование кухонь и санузлов - газовые плиты, мойки, унитазы, ванны, умывальники. Строительство ЖКК на правах генподрядчика будет осуществлять строительная организация «КиевГорстрой». Для осуществления специальных работ (малярных, санитарно-технических, электромонтажных и т. д.) привлекаются субподрядные организации. Обеспечение строительства конструкциями, полуфабрикатами и материалами осуществляется с предприятий г. Киева и Киевской области. Доставка строительных материалов, конструкций, изделий и полуфабрикатов будет производиться автотранспортом. 2.2. Технико-экономические показатели по проекту. Расчет потребности в трудовых и материально-технических ресурсах. Основные технико-экономические показатели, характеризующие рассматриваемый объект строительства. Таблица 1 Основные технико-экономические показатели проекта “ЖКК “Перекресток”
Потребность в материальных ресурсах определена на основании объемов работ и норм расхода материалов, принимаемым по СНиП часть IV. Срок и завоза материалов увязаны с календарным планом производства работ. Материалы и конструкции доставляют на строительную площадку автотранспортом. Запас материалов и конструкций принят на 5-12 дней работы. Бетонную смесь подают к моменту укладки. Расчет потребности в материалах, конструкциях и полуфабрикатах приведен в табл. 2. Таблица 2. Расчёт потребности в материалах, конструкциях и полуфабрикатах
Основанием для составления графика движения рабочих кадров по объекту служит календарный план производства работ. Планируемая потребность рабочих по профессии, выраженную в чел.-дн., определяют как произведение принятой численности рабочих каждой профессии на сменность и продолжительность работы. Среднесуточное число рабочих по профессиям в соответствующем месяце определяют путем деления месячной трудоемкости на число дней работы бригады в данном месяце. Полученную величину округляют до целого числа. Форма графика по проекту строительства ЖКК “Перекресток” представлена в таблице 3. В соответствии с календарным планом производства работ составлен график движения основных строительных машин по объекту. Потребность в строительных маш инах и механизмах определена исходя из объемов работ. Таблица 3. График движения рабочей силы по объекту.
Количество машино-смен по месяцам распределено с учетом продолжительности выполнения механизированного процесса. Результаты расчета приведены в табл. 4. Таблица 4. График движения основных строительных машин по объекту
Помимо приведенной выше документации по реализации данного инвестиционно-строительного проекта, будут оформлены следующие документы: - Акт на испытания конструкций здания и сооружения - Акт освидетельствования скрытых работ (общая форма) - Акт промежуточной приемки ответственных конструкций (общая форма) - Документация при выполнении электромонтажных работ - Журнал антикоррозионной защиты сварных соединений - Журнал выполнения монтажных соединений - Журнал работ по монтажу строительных конструкций - Журнал сварочных работ - Календарный план производства работ по объекту (виду работ) - Наряд-допуск на производство работ повышенной опасности 2.3. Строительный генеральный план и организация строительной площадки. Разработанный строительный генеральный план предусматривает максимальное использование для нужд строительства постоянных дорог, водопроводных и электрических сетей. В нём указаны основные строительные механизмы, с помощью которых возводится здание. Регулирование и безопасность движения автотранспорта по территории строительства обеспечено устройством временных дорог , установкой знаков ограничения скорости движения, указателей движения по строительной площадке. Временные дороги устраиваются из щебня шириной 4 м. Движение машин двустороннее. Изделия заводского изготовления, детали и конструкции складируются в зоне действия крана. Площадки открытого хранения обеспечивают складирование нормативного запаса для бесперебойного производства работ. Раскладка материалов предусматривает проходы шириной не менее 1,0 м для рабочих с целью обеспечения удобства строповки конструкций. Для освещения строитель ной площадки в вечернее и ночное время предусмотрена система временного освещения. Подача электроэнергии монтажным механизмам осуществляется по изолированным кабелям. Бытовые, временные помещения находятся вне зоны действия крана. Внутриплощадочное временное водоснабжение осуществляется путем присоединения к действующей системе водоснабжения. Временный водопровод рассчитан на удовлетворение хозяйственно-бытовых и производственных потребностей. Временное трансформаторная подстанция осуществляет подачу электроэнергии путем подсоединения ее к действующей электросети. Вся территория строитель ной площадки будет ограждаться временным забором. Расчет объемов и трудоемкости строительных работ по жилищно-коммерческому комплексу “Перекрёсток” произведен в таблице 4 Таблица 4 Расчет объемов и трудоемкости строительных работ по жилищно-коммерческому комплексу “Перекрёсток”.
При реализации инвестиционно-строительного проекта ЖКК важным этапом является непосредственно организация работы строительной площадки. Она включает в себя следующие этапы:·Определение расчетной численности работников на строительной площадке· Состав и площади временных мобильных зданий и сооружений· Расчет потребности в складских площадях · Расчет потребности в воде на строительной площадке· Расчет потребности в сжатом воздухе· Расчет потребности в тепло - и электроэнергии Определение расчетной численности работников на строительной площадкеОсновой для определения численности работников на строительной площадке является максималь ное количество рабочих основного произ водства, занятых в одну смену. Оно определяется по графику движения рабочих: Nmax осн. = 42 чел. Ч исленность рабочих неосновного производства принимается в размере 20% от количества рабочих, принятого по графику. Данные суммируются, и полученный результат используется в дальнейших расчетах: Количество инженерно-технических работников (ИТР) в одну смену принимается в размере 11-14% от суммарной численности работников основного и неосновного производства : Nитр = 50 * 0,12 = 6 чел. Общее расчетное количество работников, занятых на строительной площадке в смену, определяется как сумма всех категорий работников с коэффициентам 1,06 (из которых 4% - работники, находящиеся в отпуске, и 2% - невыходы по болезни): Nрасч. в 1 смену = (42+ 8 + 6) * 1,06 = 60 чел. Численность женщин принимается равной примерно 20% общего числа работающих: Nжен. = 60 * 0,2 = 12 чел. Состав и площади временных мобильных зданий и сооруженийСостав и площади временных зданий и сооружений определяют на момент максимального разворота работ на стройплощадке по расчетному количеству работников, занятых в одну смену. Тип временного сооружения принимается с учетом срока его пребывания на стройплощадке: при продолжительности строительства объекта 6-18 месяцев - здания контейнерного типа. На строительном объекте с числом работающих в наиболее многочисленной смене менее 60 человек должны быть, как минимум, следующие санитарно-бытовые помещения: гардеробные с умывальниками; душевые; для сушки и обеспыливания одежды; для обогрева, отдыха и приема пищи; прорабская; туалет. При численности работающих до 150 человек в прорабских должны быть медицинские аптечки. Результаты расчета потребности во временных мобильных зданиях приводится в табличной форме, см. табл. 5. Таблица 5 Расчет потребности во временных мобильных зданиях
Расчет потребности в складских площадяхПлощади складов определяются для материалов, подлежащих хранению на строительной площадке, по номенклатуре, представленной в графике поступл ения на объект строительных конструкций, деталей, полуфабрикатов, материалов и оборудования ( см. табл. 2). Запас материалов на складе рассчитывается по формуле:
где Роб - количество материалов ( деталей, конструкций), необходимых для производства строительно-монтажных работ; Т - продолжительность выполнения работ по календарному плану, дн.; n - норма запаса материала, дн. ( при перевозке материала автотранспортом принимается равным от 5 до 12 дней); К1 - коэффициент, учитывающий неравномерность поступления материалов на склад, принимается равным 1,1; К2 - коэффициент неравномерности потреблени я материалов, принимается равным 1,3. Требуемая площадь склада определяется по формуле:
где Рск - количество материалов, подлежащих хранению; r - норма хранения материала на 1 м 2 площади; Кп - коэффициент, учитывающий проходы. Расчет выполняется в табличной форме (табл. 6). Таблица 6. Расчет потребности в складских помещениях.
Расчет потребности в воде на строите льной площадкеВременное водоснабжение на строительной площадке предназначено для обеспечения производственных, хозяйственно-бытовых нужд и пожаротушения. Потребный расход воды, л/с, определяется по формуле: где Рб , Рпр , Рпож - расход воды соответственно на бытовые и производстве нные нужды, и на пожаротушение, л/с. Расход воды на пожаротушение зависит от площади застройки составляет 10 л/с. Расход воды на бытовые нужды слагается из: Р’ б - расход воды на умывание, принятие пищи и другие бытовые нужды и Р” б - расход воды на принятие душа. Расход воды на бытовые нужды определяется по формулам:
где N - расчетное число работников в смену; b - норма водопотребления на 1 человека в смену (при отсутствии канализации принимается 10-15 л , при наличии канализации 20-25 л);
К1 - коэффициент неравномерности потребления воды (принимают в размере от 1,2-1,3); К2 - коэффициент, учитывающий число моющихся от наибольшего числа работающих в смену (принимают в размере от 0, 3-0,4); 8 - число часов работы в смену; t - время работы душевой установки в часах (принимают 0,75 часа).
Расход воды на производственные нужды определяется по формуле:
где 1, 2 - коэффициент на неучтенные расходы воды; Кз - коэффициент неравномерности водопотребления ( принимается равн ым 1,3-1,5); n - число часов работы в смену;
В табл. 8 приводятся нормы расхода воды на производственные нужды. P пр Потребный расход воды равен: Q = 0,5 + 0,53 + 0,2432 + 10 = 11,273 л/с. Расчет потребности в э лектроэнергииЭлектроэнергия в строительстве расходуется на силовые потребители; технологические процессы; внутреннее освещение временных зданий; наружное освещение мест производства работ, складов, подъездных путей и территории строительства. Мощности потребителей по их видам определяем в табличной форме ( табл. 7). Таблица 7 Мощности потребителей
Потребная электроэнергия и мощность трансформатора рассчитываются по формуле:
где
- общая мощность осветительных приборов внутреннего освещения, кВт; - общая мощность осветительных приборов наружного освещения, кВт; -
соответственно коэффициенты мощности зависящие от загрузки силовых и технологических потребностей; принимаются К1 , К2 , К3 , К 4 - соответственно коэффициенты спросов, учитывающие несовпадение нагрузок потребителей и принимаемые: К 1 = 0, 5; К2 = 0,4; К3 = 0,8; К4 = 1,0.
В соответствии с полученным значением мощности подбираем трансформатор. Выбираем трансформаторную подстанцию КТП СКБ Мосстроя, мощьностью 180 кВт. Расчет потребности в сжатом воздухеСжатый воздух на строительной площадке необходим для обеспечения работы аппаратов (в т. ч. отбойных молотков, перфораторов, пневмотрамбовок, ручного пневматического инструмента для очистки поверхности от пыли и т. д.). Источниками сжатого воздуха являются стационарные компрессорные станции, а чаще всего передв ижные компрессорные установки. Расчет потребности в сжатом воздухе производится из условий работы минимального количества аппаратов, подсоединенных к одному компрессору. Мощность потребной компрессорной установки рассчитывается по формуле:
где 1,3 - коэффициент учитывающий потери в сети;
К - коэффициент одновременности работы аппаратов, принимаемый при работе 4-6 аппаратов - 0,8. Таблица 8 Расход воздуха приборами
Емкость рессивера определяется по формуле: где К - коэффициент, зависящий от мощности компрессора и принимаемый для передвижных компрессоров - 0,4; Q - мощность компрессорной установки, м3 /мин. Принимается компрессорная установка КС-9. Диаметр разводящего трубопровода определяется по формуле:
где Q - расчетный расход воздуха, м3 /мин. D = 10 мм. Расчет потребности в теплеНа строительной площадке тепло расходуется на отопление строящегося здания, обогрев временных зданий и на технологические нужды. Расход тепла в кДж/ч на отопление строящегося здания и обогрев временных зданий определяют по формулам: Q 1 = q* V1* (tв - tн )* а* К1* К 2 ; Q2 = q* V2* (tв - tн )* а* К1* К2 , где q - удельная тепловая характеристика зданий, кДж/м3 ч. град; для жилых и общественных зданий q принимают равным 2,14; для временных зданий - 3,36; для временных общественных и административных зданий - 2,73 кДж/ м3 ч.град; V1 -объем отапливаемой части строящегося здания по наружному обмеру, м3 ; V2 - объем временных зданий по наружному обмеру, м 3 ; tв - расчетная внутренняя температура, град.; tн - расчетная наружная температура, град.; а - коэффициент, учитывающий влияние расчетной наружной температуры на q ( 1,1); К 1 - коэффициент, учитывающий потери тепла в сети, принимаемый равным 1,15; К 2 - коэффициент, предусматривающий добавку на неучтенные расходы тепла, п ринимается равным 1,10. Q1 = 2,14 * 8288 * (16 + 22) * 1,1 * 1,15 * 1,1 = 937843 кДж/ч; Q2 = 3,36 * 597,6 * (16 + 22) * 1,1 * 1,15 * 1,1 = 106173 кДж/ч. Расход тепла на технологические нужды определяется каждый раз специаль ными расчетами, исходя из заданных объемов работ, сроков работ, принятых режимов и др. Источниками временного теплоснабжения является существующая теплосеть котельных. 2.4. Финансирование проекта. Экономическая эффективность внедрения проекта и оценка риска. Финансирование проекта планируется к осуществлению c первоначальными инвестициями заказчика (инвестора), соответствующим сметной стоимости проекта – 18090,55 тыс. руб. Предполагаемая окупаемость проекта – 1 год (коммерческие предприятия начнут функционировать непосредственно после сдачи объекта в эксплуатацию – заказчик планирует продажу коммерческих площадей и квартир и получение единовременного дохода, предполагается также 100% заселенность жилого фонда – покупка новых квартир жильцами – в течение 6 мес. после сдачи объекта). Жилищный отдел ЖКК “Перекресток” спроектирован на 20 квартир – 10 двух-комнатных и 10 - трех-комнатных общей жилой площадью 1540,98 м2. Общая жилая площадь 3-комнатных квартир – 924,90 м2, 2-комнатных квартир – 616,08 м2. Общая площадь коммерческих помещений – 290, 56 м2. Прогнозная стоимость: 2-комн. квартира – 31,9 тыс. руб 3-комн. квартира – 38,1 тыс.руб. Коммерческие площади – 36,7 тыс.руб. Итого, выручка от реализации заказчиком жилищно-коммерческого комплекса по планируемым ценам, в прогнозе составит: Выр. = 31,9 * 616,08 + 38,1 * 924,9 + 36,7 * 290,56 = 65 661,9 тыс. руб. Рассчитаем финансовые показатели проекта (табл. 9) Таблица 9. Расчет финансовых показателей проекта.
По показателю рентабельности проект занял высокую позицию. Рассчитаем валовую маржу проекта, а также найдем точку безубыточности. 1) Валовая маржа (ВМ) является мерой эффективности производственной деятельности компании.
Очевидно, что, чем выше ВМ, тем лучше. В нашем случае, расчет дал следующие результаты:
По этому показателю проект может быть рекомендован к реализации. 2) Точка безубыточности (ТБ) Исходными данными для расчета являются такие минимальные значения суммарного объема производства и реализации продукции, при которых выпуск продукции начинает приносить прибыль:
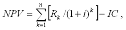
Для данного инвестиционно-строительного проекта: ТБ = 10458,2 / (65661.9 – 7632.35) * 65661.9= 11 819, 14 тыс. руб. То есть даже при ощутимом снижении выручки, проект обладает определенным запасом прочности. При оценке инвестиционной эффективности обычно рассчитываются данныепоказатели NPV (чистого приведенного дохода), IRR (внутренней нормы доходности) и PI (индекса доходности инвестиций). Методика расчета NPV заключается в суммировании современных (пересчитанных на текущий момент) величин чистых эффективных денежных потоков по всем интервалам планирования на всем протяжении периода исследования. При разовой инвестиции расчет чистого приведенного дохода можно представить следующим выражением:
где Rk – годовые денежные поступления в течение n лет, k = 1, 2, …, n; IC – стартовые инвестиции; i – ставка дисконтирования (0% - окупаемость проекта не больше года, дисконт не применяется). Для данного варианта проекта: IC = 18 090.55 R1 = 65661.9 i = 0 (0 %) NPV = (65661,9/1) – 18090.55 = + 47 571.35 (Значение показателя совпало с показателем балансовой прибыли в связи с отсутствием дисконтирования в краткосрочном периоде) Индекс доходности инвестиций (PI) т есно связан с показателем чистой современной ценности инвестиций, но, в отличие от последнего, позволяет определить не абсолютную, а относительную характеристику эффективности инвестиций. Индекс доходности инвестиций (PI) при разовом инвестировании рассчитывается по следующей формуле:
Индекс рентабельности инвестиций отвечает на вопрос: каков уровень генерируемых проектом доходов, получаемых на одну единицу капитальных вложений. При разовых инвестициях данный показатель равен: PI раз = 65 661,9 / 18 090,55 = 3,63 Внутренняя ставка доходности инвестиций (IRR) Интерпретационный смысл внутренней ставки доходности заключается в определении максимальной стоимости капитала, используемого для финансирования инвестиционных затрат, при котором собственник (держатель) проекта не несет убытков. Расчет внутренней ставки доходности (IRR) осуществляется методом итеративного подбора такой величины ставки дисконтирования, при которой чистая современная ценность инвестиционного проекта обращается в ноль. Выбираются два значения коэффициента дисконтирования, при которых функция NPV меняет свой знак, и используют формулу: IRR = i1 + NPV(i1 ) / [NPV(i1 ) - NPV(i2 )] • (i2 - i1 ) [3] Где: i1 – ставка дисконтирования, при которой чистая приведенная стоимости имеет отрицательнео значение i2 - последняя ставка дисконтирования, при которой NPV имеет положительное значение В данном случае расчет IRR нецелесообразен, поскольку не предполагается изменения дисконтной ставки в течение года реализации проекта. При реализации проекта возможны экономические и политические риски. Поправка на риск проекта определяется по данным следующей таблицы: Таблица 10 Поправки на риск проекта.
В силу того, что жилищно-коммерческий комплекс – новое строительное производство, величина риска должна быть принята в размере 13-15% (высокая величина риска). Примем P = 15 % Ставка дисконтирования, учитывающая риски при реализации проектов, определяется по формуле: d = i + P/100 где в = 0 + 15/100 = 0.15 (то есть проект по-прежнему имеет большой запас прочности при возникновении рисков) . 2.5. Решения по охране труда и противопожарной безопасности проекта. Экологические решения проекта. В соответствии со СНиП III-4-8 0 “Техника безопасность в строительстве” должен своевременно проводиться инструктаж, изучение и проверка знаний рабочих и технического персонала в области техники безопасности с обязательным документальным оформлением. Вновь поступившие на строительство рабочие могут быть допущены к работе после прохождения вводного инструктажа по технике безопасности и инструктажа непосредственно на рабочем месте. Кроме того, в течение не более 3 месяцев со дня поступления на работу они должны пройти обучение безопасным методам работы по утвержденной программе. Инструктаж по технике безопасности будет проводиться при переводе на новую работу, а также при изменении условий труда. К работе на особо опасных и вредных производствах (монтаж конструкций на высоте, огнеупорные, кислотоупорные и изоляционные работы, процессы с применением радиоактивных веществ и т. д.) рабочие будут допускаться лишь после соответствующего обучения и сдачи ими экзамена. Работающим в опасных и вредных условиях будут выдаваться инди видуальные защитные средства, предупреждающие возможность возникновения несчастных случаев. Проект предполагает обеспечение высокого качества применяемых материалов, изделий, конструкций, строительных машин и механизмов, эффективную звуковую или световую сигнализацию. Используемый строительные устройства и монтажная оснастка должны отвечать всем требованиям техника безопасности. Будет организован систематический и строгий контроль за соблюдениям правил техники безопасности. Будут предусмотрены ограждения, си гнальные знаки и освещение объекта. Противопожарная безопасность . На строительной площадке предполагается обеспечение правильного складирования материалов и изделий с тем, чтобы предотвратить загорание легковоспламеняющихся и горючих материалов, ограждать места производства сварочных работ, своевременно убирать строительный мусор, разрешать курение толь ко в строго отведенных местах, содержать в постоянной готовности все средства пожаротушения (линии водопровода с гидрантами, огнетушители, сигнализационные устройства, пожарный инвентарь). В первой ступени контроля будут участвовать бригадир, мастер и общественный инспектор по охране труда бригады. Ежедневно перед началом смены ими будет проверяться обеспеченность безопасного ведения строительно-монтажных работ и соблюдение санитарно-гигиенического обслуживания рабочих. Особое внимание должно уделяться организации работ с повышенной опасностью. Во второй ступени, проводимой раз в неделю, будут участвовать начальник участка и председатель комиссии по охране труда, механик и электромонтер. В их компетенции будут вопросы проверки: · состояния техники безопасности и производственной санитарии; работы первой ступени; выполнение проекта производства работ; · исправности и безопасности используемых машин, механизм ов , энергетических установок и транспортных средств; своевременность выдачи спецодежды и защитных приспособлений; выполнение обяз ательств по охране труда, предложений и замечаний, записанных в журнал проверок на первой ступени. Все выявленные нарушения и отступления будут зарегистрированы в журнале. В третьей ступени, проводимой раз в месяц, будут участвовать главный инженер, главный механик, главный энергетик и инженер по технике безопасности. В их компетенции будеит: · выполнение запланированных мероприятий, постановлений и приказов по обеспечению безопасных условий труда и быта; · правильнос ть регистраци и и отчетности по несчастным случаям; · соблюдение установленных сроков и организацию проведения испытаний индивидуальных средств защиты, приспособлений и других устройств, подлежащих периодическим испытаниям; работы первой и второй ступени. Результаты проверки будут обсуждаться на совещании. Принятые решения - оформляться в виде приказа. Охрана окружающей природной среды . Не должно допускаться сжигание на строительной площадке отходов и остатков материалов, ин тенсивно загрязняющих воздух. Сбрасывание с этажей здания отходов и мусора возможно только с применением бункеров-накопителей. Для предотвращения загрязнения поверхностных и надземных вод необходимо улавливать загрязненную воду. Все производственные и бытовые стоки должны быть очищены и обезврежены. Не допускается выпуск воды со строительной площадки непосредственно на склоны без надлежащей защиты от размыва. На территории площадки не допускается не предусмотренное проектной документацией сведение древесно-кустарниковой растительности и засыпка грунтом корневых шеек и стволов растущих деревьев и кустарников. 2.6. Предполагаемая организационная структура управления проектом. Управление рисками и изменениями, контроль и мониторинг проекта. В процессе реализации проекта строительства ЖКК “Перекрёсток” ставится задача в режиме реального выполнения проекта в условиях нашей действительности радикально повысить эффективность организации и управления проектом; интенсивно использовать объем накопленных участниками проекта профессиональных знаний и умений; использовать интеграцию и координацию выполняемых ими работ. Заказчиком может быть выбрана "основная" система управления проектом - это, когда руководитель (менеджер) проекта является представителем Заказчика, но финансовой ответственности за принимаемые решения не несет. В этом случае менеджер проекта отвечает за координацию и управление ходом разработки и реализации проекта. Преимущестенно, чтоба менеджер проекта не состоял в контрактных отношениях с другими участниками проекта (кроме Заказчика). Преимущество такого подхода - объективность менеджера, недостаток - риск за судьбу проекта лежит на Заказчике. При реализации представленной в теоретической части работы организационной струтктуры проекта, работа над проектом не может быть эффективна. Все нити от участников проекта вели к Проект-менеджеру. Понятно, что подрядные организации занимали пасивную позицию, направленную на реализацию своих узких задач (выполнить по контракту свои работы и уйти с объекта). Эффективное продвижение в целом всего проекта, Подрядчиков не интересует. Поэтому, как правило, на стыках работ, выполняемых разными участниками может возникать много вопросов (технических, технологических, организационных и т.д.), которые должен решать Проект-менеджер. В связи с этим, предлагаемая организационная структура проекта по строительству жилищно-коммерческого комплекса “Перекрёсток” будет ориентрироваться на разделение функций между проект-менеджером (решение стратегических задач) и генеральным подрядчиком (решение оперативных задач по ходу строительства) – рис. 3.
Рис. 3 Предполагаемая организационная структура управления инвестиционно-строительным проектом “ЖКК “Перекрёсток” Реализация любого проекта происходит, как правило, в условиях наличия той или иной меры неопределенности и рисков. Управление рисками - новое для нашей экономики явление. Поэтому, в стадии реализации данного проекта, менеджер может использовать самые элементарные методы снижения рисков. Для защиты от риска роста капитальных затрат предполагаются к использованию гибкие подходы при заключении контрактов и дополнений к ним с исполнителями. В отдельных случаях с исполнителями могут заключаться контракты по фиксированным ценам, в других случаях - с возмещением издержек или с ценой за единицу объема. Это может дать возможность Заказчику не понести дополнительных затрат. В ряде случаев Проект-менеджер будет использовать метод передачи риска исполнителю. При заключении контракта, все процедуры, связанные с этими работами (привлечение экспертов, технология выполнения, гарантии) будут переданы исполнителю. Особое место при выполнении проекта будут занимать вопросы управления изменениями (хотя предполагается, что удельный вес вносимых изменений будет невысок). Для общего контроля изменений Проект-менеджером может использоваться набор формальных процедур, которые определяют регламент изменений ранее принятых официальных документов проекта и порядок их утверждения. В достаточно общем виде этот процесс будет проходить через пять основных стадий: · Обсуждение; · Оценка; · Одобрение (принятое решение документируется); · Реализация; · Подтверждение исполнения. При выполнении данного проекта, Проект-менеджер должен контролировать три основные комплексные характеристики: время, объем работ и стоимость. Менеджером должен вестись постоянный мониторинг проекта: · Контроль; · Слежение за выполненными работами; · Учет; · Анализ; · Составление отчетов о фактическом выполнении проекта в сравнении с планом. Подрядчик и Исполнители с периодичностью в две недели обязаны составлять и утверждать у Проект-менеджера отчеты установленного образца, а менеджер - производить анализ полученных данных, оценивать состояние работ по проекту относительно пороговой даты, производить оценку фактических затрат, оценку оставшегося объема работ. Процессы контроля данного проекта будут подразделены на следующие этапы: · Общий контроль изменений по проекту; · Ведение отчетности по проекту (отчеты о выполненных работах, прогноз с учетом имеющихся результатов); · Контроль за изменением содержания проекта; · Контроль за изменением рассписания проекта; · Контроль затрат по работам; · Контроль качества; · Контроль риска - реагирование на изменение уровня риска в ходе реализации проекта. Фактическое выполнение работ Подрядчиками будет контролироваться с помощью метода детального контроля. Этот метод предусматривает промежуточные оценки состояния выполнения работы. Данный метод требует от Менеджера оценивать процент завершенности для работ, находящихся в процессе выполнения в каждом отчете Подрядчиков. Для этого, Менеджером, с каждым из Подрядчиков будет утверждаться график выполнения работ с разбивкой в процентном отношении каждой из укрупненных работ в соответствии с их плановой стоимостью. Такой же порядок отражения выполненных работ будет предусмотрен в отчетах Подрядчиков. Этот подход принят потому, что, как правило, плановая стоимость укрупненной работы является достаточно надежным показателем значимости работы. Используя метод детального контроля, будет разработана интегрированная система контроля, которая позволит сосредоточить внимание на степени завершенности работ, а не только на временных и объемных параметрах проекта, а так же явится критерием обоснования финансирования . Такой подход позволит производить финансирование Подрядчиков и участников проекта плавно, корректно, без рывков и скачков. Это очень важно и для Заказчика и для Подрядчика. Подрядчик сможет получать обоснованное и необходимое количество финансовых средств в ходе реализации проекта. А Заказчик эффективно использовать финансовые средства. |
|||||||||||||||||||||||||||||||||||||||||||||||||||||||||||||||||||||||||||||||||||||||||||||||||||||||||||||||||||||||||||||||||||||||||||||||||||||||||||||||||||||||||||||||||||||||||||||||||||||||||||||||||||||||||||||||||||||||||||||||||||||||||||||||||||||||||||||||||||||||||||||||||||||||||||||||||||||||||||||||||||||||||||||||||||||||||||||||||||||||||||||||||||||||||||||||||||||||||||||||||||||||||||||||||||||||||||||||||||||||||||||||||||||||||||||||||||||||||||||||||||||||||||||||||||||||||||||||||||||||||||||||||||||||||||||||||||||||||||||||||||||||||||||||||||||||||||||||||||||||||||||||||||||||||||||||||||||||||||||||||||||||||||||||||||||||||||||||||||||||||||||||||||||||||||||||||||||||||||||||||||||||||||||||||||||||||||||||||||||||||||||||||||||||||||||||||||||||||||||||||||||||||||||||||||||||||||||||||||||||||||||||||||||||||||||||||||||||||||||||||||||||||||||||||||||||||||||||||||||||||||||||||||||||||||||||||||||||||||||||||||||||||||||||||||||||||||||||||||||||





,
