Курсовая работа: Расчет усилителя напряжения низкой частоты
|
Название: Расчет усилителя напряжения низкой частоты Раздел: Рефераты по коммуникации и связи Тип: курсовая работа |
Министерство сельского хозяйства и продовольствия Республики Беларусь Белорусский Государственный Аграрный Технический Университет Кафедра АСУП Курсовая работа "Расчет усилителя напряжения низкой частоты" Вариант №22 Выполнил студент 1эа группы второго курса АЭФ Тарасевич П. Г. Минск 2009 Задание №1 1. Рассчитать усилитель напряжения низкой частоты (каскад предварительного усиления), работающую на входную цепь следующего каскада, выполненного на таком же транзисторе. Транзисторы включены по схеме с общим эмиттером и имеют эмиттерную стабилизацию точки покоя. 2. Смоделировать и исследовать рассчитанную схему на ПЭВМ, уточнить параметры элементов схемы, получить временные диаграммы, амплитудно-частотные и фазо-частотные характеристики с помощью программы "Microcap". Исходные данные для расчета приведены в таблице 1, где последовательно приведены следующие параметры усилительного каскада: 1. Тип транзистора и его зарубежный аналог. 2. Uвх – входное напряжение, В. 3. KU – коэффициент усиления по напряжению. 4. EK – напряжение питания, В. 5. fн – низшая рабочая частота, Гц. В результате расчета определить (Приложение А, рисунок 1): 1. Параметры элементов схемы: Rk, Rэ, R1, R2. 2. Определить емкости разделительных конденсаторов C1, C2, и блокировочного конденсатора Cэ. В результате моделирования и исследования на ПЭВМ: 1. Создать принципиальную электрическую схему усилителя. 2. Уточнить параметры элементов схемы для получения заданного коэффициента усиления. 3. Получить временные диаграммы для входного и выходного напряжений (зависимость Uвх от времени t и зависимость Uвых от времени t). 4. Получить АЧХ и ФЧХ. Исходные данные: 1. КТ3108В (2N3250A) 2. Uвх = 200mB; 3. KU = 3.5; 4. Ek = 14B; 5. fн= 200Гц; 6. 7. Производим выбор режима работы транзистора по постоянному току. Находим амплитуду тока коллектора Ikm , для этого определяем: −значение выходного напряжения: Uвых =Uвх ⋅KU=0,2∙3,5=0,7 В; − сопротивление коллектора выбираем из условия: Rk ≈ (0.5 ÷2)kOм Выбираем Rk ≈ 1kOм .
где RH– сопротивление на выходе усилительного каскада (сопротивление нагрузки или по-другому, входное сопротивление следующего каскада); При определении RH исходим из условия: Rk >> RH. Определив ориентировочно RH , проводим проверку правильности выбранного значения: RH=0,05∙ Rk=0,05∙1000=50 Ом. Ikm=0.7/50=14 мА. Определим постоянную составляющую тока коллектора:
Iko≥14 мА∕0,7=20 мА. Значение Uкэ0 принимаем равным типовому значению Uкэ0 = −5В. На выходных характеристиках (Приложение А, рисунок 2) отмечаем точку покоя П с координатами Ik0, Uкэ0 и находим Iб0 Эту точку П переносим на семейство входных характеристик (Приложение А, рисунок 3) и определяем при данных Iб0 и Uкэ0 значения напряжения база-эмиттер Uбэ0. Определяем входное сопротивление транзистора с ОЭ переменному току по входной характеристике транзистора. Для этого проводим касательную в рабочей точке (на семействе входных характеристик касательная проводится ближе к прямолинейному участку, рисунок 3) и находим тангенс угла наклона в этой точке, т.е. ΔUбэ и ΔIб. Rвх э= ΔUбэ∕ΔIб=0,06 В∕0,2 мА=300 Ом. Определяем общее сопротивление коллекторной цепи постоянному току:
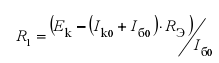
Rk+ R э=(14В-5В)/20мА=450 Ом Произведем расчет схемы УНЧ по переменному току: - определяем коэффициент усиления каскада без ООС:
К без ООС=50∙50/300=8,3 КООС= KU=3,5 - коэффициент передачи цепи ОС усилителя с ООС:
γ=(8,3-3,5)/8,3•3,5=0,167 - определяем сопротивление, стоящее в цепи эмиттера и обеспечивающее ООС в усилителе:
R э=(0,167•50•50)/(50+1)=8,2 Ом Уточняем сопротивление коллектора: Rk=( Rk+ R э)- R э=450-11=439 Ом Находим сопротивление резисторов в цепи базы:
R1=R2=14-20,2∙8.2/0.0002=70 кОм Определяем емкость блокировочного конденсатора Cэ: Cэ≥h21/(2Π fн(Rи+Rвхэ) MCэ-1 )= =50/(2∙3.14∙200(433.7+300)∙1.18-1=87мкФ - где RИ внутреннее сопротивление источника усиливаемого сигнала RИ=1/439+1/70000+1/70000=433.7Ом Коэффициент частотных искажений учитывает влияние блокировочного конденсатора на частотные искажения: MCэ=1,18 Тогда, Cэ≥87 мкФ Определяем емкости разделительных конденсаторов С1 и С2: С2≥1/(2Π fн(RH +Rk) Мс2-1 )=1/200∙2∙3.14(1000+50)∙1.09-1=1.7мкФ Тогда С2≥1.7 мкФ С1≥1/(2Π fн(Rвх+ Rвых) Мс1-1 )=1/200∙2∙3.14∙300∙1.09-1=3мкФ -где Rвых выходное сопротивление делителя. Если Rвых неизвестно, то обычно полагают Rвых=0, в этом случае С1 берут с некоторым запасом. С1≥3мкФ Общее входное сопротивление УНЧ: Rвхус= Rвхэ+ Rэ(h21э+1)=300+8.186(50+1)=717.5 Ом Принципиальная электрическая схема усилителя с рассчитанными параметрами элементов с помощью программы "Microcap"
Полученные временные диаграммы для входного и выходного напряжений
Полученные АЧХ и ФЧХ рассчитанного УК:
|






