Контрольная работа: Основные понятия, определения и законы в теории электрических цепей
|
Название: Основные понятия, определения и законы в теории электрических цепей Раздел: Рефераты по физике Тип: контрольная работа | |||||||||||||||||
1. Основные понятия, определения и законы в теории электрических цепейЭлектрическая цепь представляет собой: Группа заранее изготовленных элементов, соединенных определенным образом и предназначенных для протекания по ним электрического тока. Разница между активными и пассивными элементами электрической цепи: Активные элементы способны самостоятельно создавать в цепи ток, а пассивные могут только потреблять или накапливать электрическую энергию; Электрический заряд это: Количество электричества, переносимое через поперечное сечение проводника за определенное время; Электрический потенциал это: Энергия, необходимая для перемещения единичного положительного заряда из бесконечности в точку цепи; Электрический ток это: Упорядоченное и направленное движение свободных носителей заряда; ЭДС (электродвижущая сила) это: напряжение, созданное в цепи за счет внешней энергии (часто неэлектрического характера); Напряжение на участке цепи это: Разность потенциалов на выводах этого участка цепи, возникающая вследствие потери части энергии на этом участке из-за перехода электрической энергии в другие формы; Падение напряжения на участке цепи это: напряжение создаваемое на выводах цепи за счет внешней энергии (часто неэлектрического характера); Электрическая мощность это: Мощность – это скорость изменения энергии. Узел электрической цепи это: Точка соединения трех и более элементов цепи; Контуром электрической цепи называют: Участок цепи, состоящий из отдельных ветвей, которые образуют замкнутый путь для протекания тока. Ветвью электрической цепи называется: Участок цепи, состоящий из отдельных элементов по которым протекает общий для них ток; Скорость изменения электрического заряда в единицу времени это: ток Разность потенциалов на выводах участка цепи это: напряжение Отношение энергии к величине перемещаемого заряда это: напряжение "Алгебраическая сумма напряжений на сопротивлениях участков замкнутого контура равна алгебраической сумме э. д. с. источников, входящих в этот контур" это: второй закон Кирхгофа Мгновенная мощность на участке цепи определяется соотношением: p=ui Мгновенная мощность положительна в любой момент времени на участке цепи: пассивном Средняя мощность равна нулю на участке цепи: реактивном Мгновенная мощность знакопеременна на участке цепи: реактивном Мгновенная мощность отрицательна в любой момент времени на участке цепи: активном За положительное направление напряжения принято направление: в сторону уменьшения потенциала. За положительное направление э. д. с. принято направление: в сторону возрастания потенциала. За положительное направление неизвестного напряжения или тока выбирают направление: По часовой стрелке Стрелка для положительного направления переменного тока, значения которого могут быть положительными и отрицательными, показывает: Настоящее положительное направление противоположно, показанному стрелкой. Состояние участка электрической цепи полностью характеризуют: Напряжение и ток Появление тока в электрической цепи обусловлено: Напряжением. Мгновенная мощность на участке цепи может иметь значения: Любого знака и ноль. Схемы (модели) реальных элементов, составленные из идеализированных элементов называют: схемы замещения или эквивалентная схема Схемы замещения состоят из элементов: идеализированных. Элементы, учитывающие не основные преобразования энергии в реальном элементе называют: 1. Неосновные. 2. Паразитные. 3. Разделительные. 4. Конструктивные. 5. Вспомогательные. Схемы, на которых с помощью УГО показаны все элементы, входящие в реальную цепь и порядок их соединения между собой называют: принципиальная схема Схемы, на которых отражаются только важнейшие части цепи и основные связи между ними называются: структурная схема Показать выражение для напряжения на участке цепи
Показать выражение мгновенной мощности Показать выражение для тока:
Показать выражение для первого закона Кирхгофа.
Показать выражение для второго закона Кирхгофа.
Показать выражение для падения напряжения на участке цепи: u=RiПоказать выражение закона Ома. u=Ri 2. Математические модели сигналовКомплексной амплитуды сигнала s(t) =Amcos(ωt+φ) записывается так:
Полная фаза колебаний синусоидальной величины определяются следующим выражением =wt+ j0 Записать комплексную амплитуду гармонического напряжения u(t) =311cos(2π100-π/4). u=311e-jπ/4. Записать выражение для гармонического напряжения с частотой 150Гц, комплексная амплитуда которого u=100e-jπ/4. u(t) =100cos(2π150-π/4). Записать комплексную амплитуду гармонического напряжения u(t) =3cos(2π100-π/4). u=3e-jπ/4. Записать выражение для гармонического напряжения с частотой 50Гц, комплексная амплитуда которого u=5e-jπ/4. 1. u(t) =5cos(2π50-π/4). Показать соотношение для синусоидального переменного тока, которое содержит ошибку:
Вещественная U1 и мнимая U11 части гармонического напряжения с амплитудой U связаны следующим соотношением: U=U1+jU11 Модуль комплексного коэффициента передачи электрической цепи определяется следующим выражением К(j) =а+jb; Сигнал, квантованный по уровню и существующий через заданные промежутки времени, т.е. – дискретный по времени, называется: Цифровым; Сигнал, непрерывный во времени и дискретный по величине, называется: Квантованный; Сигнал, непрерывный во времени и произвольный по величине, называется: Аналоговым; Сигнал, дискретный по времени и произвольный по величине, называется: Дискретным; Спектр периодического сигнала имеет характер: Линейчатый; Спектр непериодического сигнала имеет характер: Сплошной. При изменении масштаба сигнала по оси времени в a>1 раз, его спектр по оси частот: 1. Сдвигается влево; 2. Сжимается; 3. Растягивается; 4. Сдвигается вправо. Коэффициент, показывающий долю активной мощности от полной мощности, называется: КПД; Под шириной спектра сигнала понимают: Диапазон частот, в котором сосредоточена заданная часть мощности сигнала. Действующие значения переменного тока либо напряжения это: Это такое постоянное значение напряжения или тока, при которых на нагрузке выделяется мощность, равная среднепериодической мощности переменного сигнала; Активная мощность измеряется в: Вт Реактивная мощность измеряется в: вар Полная мощность измеряется в: ВА Между действующим (U) и амплитудным (Um) значениями гармонического сигнала справедливо соотношение: U=Um / Действующее значение переменного периодического напряжения u(t) определяется соотношением: 1. 2. 3. U=Um / 4. Как определяется среднепериодическое значение переменного напряжения u(t). . 1. U=Um/2 2. U= 3. U=Um / 4. Активная мощность в линейной цепи гармонического тока имеет максимум: Когда ток и напряжение находятся в одной фазе. Спектральную плотность S(jω) по известному операторному представлению S(p) сигнала находят из соотношения: S(jω) = S(p) │p= jω. В тригонометрический ряд Фурье могут быть разложены функции: Периодические. Активная мощность: Это мощность, которая совершает полезную работу. Реактивная мощность: Это мощность, которая не совершает полезной работы. Полную мощность на участке цепи рассчитывают по соотношению: Ps=UI. Реактивная мощность в линейной цепи гармонического тока имеет максимум: Когда амплитуды ток и напряжение сдвинуты по фазе на 900. 3. Математические модели элементов электрических цепей 1.Идеализированные элементы цепи способны: обладают одним из перечисленных свойств. Как характеризуют свойства элементов электрических цепей. Зависимость между токами и напряжениями на его выводах. Переменные во времени ток и напряжение на емкости связаны соотношением: i=C(du/dt) Переменные во времени ток и напряжение на индуктивности связаны соотношением: i=(∫udt) /L. Пассивными называют элементы схем, которые: способны поглощать и накапливать энергию. Активными называют элементы схем, которые: способные создавать энергию. Реактивными называют элементы схем, которые: способные накапливать энергию. Зависимость между током и напряжением на выводах элемента называют: · уравнением элемента. · уравнением соединения. · законом Кирхгофа. Что называют параметром элемента электрической цепи. Отношение отклика к воздействию. Как связаны гармонические ток и напряжение на индуктивности. Напряжение опережает ток на 900. Каким свойством обладают индуктивные элементы схем.
запасать энергию в виде магнитного поля. Каким свойством обладают резистивные элементы схем. поглощать энергию. Каким свойством обладают реактивные элементы схем. запасать энергию в виде электрического и магнитного поля. Подсчитать эквивалентное входное сопротивление цепи (рис.2). 5/3кОм. Сдвиг фаз между током и напряжением на активном сопротивлении при синусоидальном токе равен 0° Сдвиг фаз между током и напряжением на конденсаторе при синусоидальном токе равен: -90° Сдвиг фаз между током и напряжением на катушке индуктивности при синусоидальном токе равен +90° Чему равна энергия, запасенная сопротивлением. 0 Чему равна энергия, запасенная емкостью. СU2/2 Чему равна энергия, запасенная индуктивностью. LI2/2 Закон Ома в комплексной форме для сопротивления: Ům=Rİm Закон Ома в комплексной форме для емкости: 1. Ům=Rİm3. Ům=jωCİm Закон Ома в комплексной форме для индуктивности: Ům=jωLİm Среднее значение мгновенной мощности за период синусоидального тока в цепях с идеальными емкостями и индуктивностями равно uiВ идеальном источнике э. д. с. постоянное значение имеет напряжение Если напряжение на конденсаторе во времени постоянно, то ток через нее изменяется по закону: он равен нулю. Если напряжение на конденсаторе возрастает по квадратичному закону, то ток через нее изменяется по закону: Квадратичному Если напряжение на конденсатор возрастает во времени линейно, то ток через нее изменяется по закону: Линейному Если ток через конденсатор протекает во времени постоянный, то напряжение на нем изменяется по закону: Остается постоянным. Если ток через конденсатор возрастает во времени линейно, то напряжение на нем изменяется по закону: Линейному Если напряжение на индуктивности линейно возрастает во времени, то напряжение на ней изменяется по закону: Линейному Если ток через индуктивность линейно возрастает во времени, то напряжение на ней изменяется по закону: Линейному Если ток через индуктивность линейно возрастает во времени, то напряжение на ней изменяется по закону: Линейному Если ток через индуктивность линейно возрастает во времени, то напряжение на ней изменяется по закону: Линейному Если ток через индуктивность линейно возрастает во времени, то напряжение на ней изменяется по закону: Линейному Внутреннее сопротивление (Ri) идеального источника эдс равно: Ri = 0 Внутреннее сопротивление (Ri) идеального источника тока равно: Ri® ∞ Между индуктивно связанными элементами связь: магнитная. Реальный индуктивно связанный элемент называется: Трансформатор. Основное назначение трансформатора: Преобразование амплитуды напряжения переменного тока или напряжения. Мгновенный ток через конденсатор с емкостным сопротивлением Xc=10 Ом при мгновенном значении напряжения на нем uC=20sin(ωt+φ) равен: iC=2sin(ωt+φ - π/2). Комплексная амплитуда тока через конденсатор с емкостным сопротивлением Xc=10 Ом при мгновенном значении напряжения на нем uC=20sin(ωt+φ) равна: IC=2ejφ. Мгновенное напряжение на катушкe индуктивности с индуктивным сопротивлением XL =10 Ом при токе через индуктивность iL=12sin(ωt+φ) равно: 2. uL=120sin(ωt + φ+ π/2) Комплексная амплитуда напряжения на катушкe индуктивности с индуктивным сопротивлением XL =10 Ом при заданном токе через индуктивность iL=12sin(ωt+φ) равна: 2. uL=120ej(φ + π/2) 4. uL=120ej(φ - π/2). Мгновенное напряжение на сопротивлении R =10 Ом при заданном токе i=12sin(ωt+φ). 1. u=120sin(ωt + φ) Комплексная амплитуда напряжения на сопротивлении R =10 Ом при заданном токе i=15sin(ωt+φ) равна: 4. u=150ejφ. Мгновенное напряжение на проводимости G =10 Cм при заданном токе i=12sin(ωt+φ) равно: u=1,2sin(ωt + φ) 4. Электрические цепи при гармоническом воздействии в установившемся режимеОсновные свойства линейных цепей: Принципа суперпозиции. Независимыми называют узлы, которые: отличаются одной ветвью. Независимыми называются контура, которые: отличаются одной ветвью. Число независимых узлов определяется из соотношения: NУ= у-1 Число независимых контуров определяется из соотношения: Nк= в-у+1. Показать запись закона Ома в комплексной форме. Ům=Zİm. Показать запись первого закона Кирхгофа в комплексной форме:
Показать запись второго закона Кирхгофа в комплексной форме:
На каком законе основан метод контурных токов. 2-ой закон Кирхгофа. На каком законе основан метод узловых потенциалов. 1-ый закон Кирхгофа. Записать уравнения по методу токов ветвей (рис.1.5):
Запишите первый закон Кирхгофа (для узла А на рис.1). I2+I3-I4-I5=0 Запишите второй закон Кирхгофа (для контура J1 на рис.1). I3R2+I4R3 =E. Для элементов соединенных последовательно общим является: Ток. Для элементов соединенных параллельно общим является: Напряжение. Эквивалентное сопротивление трех параллельно соединенных резисторов с одинаковым сопротивлением, равным 3 Ома, равно: 3 Ом; Эквивалентное сопротивление цепи, состоящей из двух резисторов соединенных параллельно к которым подключены три последовательно соединенных резисторов по 10 Ом каждый, равно: 35 Ом. Общим для последовательного участка электрической цепи является: ток Для расчета электрической цепи по методу контурных токов необходимо и достаточно составить уравнений: N=NВ-NI Для расчета электрической цепи методом токов ветвей необходимо и достаточно составить уравнений: N=NВ-NI Для расчета электрической цепи методом узловых потенциалов необходимо и достаточно составить уравнений: 1) N=NВ-NI; 2) N=Nу-1; 3) N=NВ-NI - Nу+1. Прежде чем определить токи ветвей электрической цепи в методе контурных токов предварительно находят: контурные токи; Прежде чем определить токи ветвей электрической цепи в методе узловых потенциалов предварительно находят узловые потенциалы Метод расчета электрических цепей основанный на принципе суперпозиции называется: метод наложения. Входной сигнал электрической цепи называют: Воздействие. Выходной сигнал электрической цепи называют: отклик или реакция Под эквивалентными преобразованиями электрических цепей понимают: Замену одной цепи другой, в которой напряжения и токи на интересующих участках цепи остаются неизменными; Падение напряжения на участке цепи, содержащем два и более последовательно соединенных сопротивления, равно: Сумме падений напряжений на каждом сопротивлений; При последовательном соединении элементов суммарный ток через них равен: Постоянной величине; При параллельном соединении сопротивлений их суммарное сопротивление: равно алгебраической сумме всех сопротивлений. Задача анализа цепи состоит в отыскании: откликов, по известным воздействиям и схеме цепи. Обратная задача при анализе цепи состоит в отыскании: воздействия по заданной схеме цепи и известному отклику. Задача синтеза цепи состоит в отыскании: схемы цепи и параметров ее элементов, по известным откликам и воздействиям. 5. Частотные характеристики и операторные функции электрических цепейОткликом линейной цепи на гармоническое воздействие является: Гармонический сигнал с той же амплитудой; Комплексным параметром цепи называют: Отношение комплексных амплитуд отклика к воздействию; Двухполюсник представляет собой электрическую цепь, которая имеет: только два вывода; Четырехполюсник представляет собой электрическую цепь, которая имеет: два вывода на входе и два на выходе. Комплексное сопротивление двухполюсника есть… Отношение комплексных амплитуд напряжению к току на двухполюснике; Передаточными параметрами называют: 1. Коэффициенты передачи тока, напряжения, мощности и т.д. в прямом направлении (со входа на выход); Входные параметры четырехполюсника характеризуют: Они связывают значения тока и напряжения на входе четырехполюсника (входные сопротивление и проводимость); Параметры прямой передачи сигнала характеризуют. Передачу гармонического сигнала через четырехполюсник со входа на выход; Выходные параметры характеризуют: Они связывают значения тока короткого замыкания и напряжения холостого хода на выходе четырехполюсника (выходные сопротивление и проводимость); Параметры обратной передачи сигнала характеризуют: Передачу гармонического сигнала через четырехполюсник с выхода на вход; Под согласованием четырехполюсника по мощности по входу и выходу? 1. Это режим когда от источника сигнала на вход усилителя и с выхода усилителя в нагрузку отдается наибольшая мощность; 2. Это режим когда Rист >Rвх, Rвых <Rн; 3. Это режим когда Rист <Rвх, Rвых >Rн. Частотные характеристики цепи представляют собой: Зависимости параметров цепи от частоты гармонического сигнала. Амплитудно-частотная характеристика (АЧХ) комплексного параметра цепи это: Зависимость от частоты отношения гармонических амплитуд выходного и входного сигналов без учета начальных фаз; Годограф это: график комплексной функции, построенный в декартовой системе координат и представляющий собой геометрическое место точек, которые описывает конец вектора комплексной функции на комплексной плоскости при непрерывном изменении частоты от нуля до бесконечности. (АФХ); Годограф (АФХ) передаточной функции Ku(ω) = 1/(1 – jωRC) располагается на комплексной плоскости в четвертях: 1 Годограф (АФХ) передаточной функции Ku(ω) = 1 – jωRC располагается на комплексной плоскости в четвертях: 4 Годограф передаточной функции Ku(ω) = 1 + jωRC располагается на комплексной плоскости в четвертях: 1 Годограф (АФХ) передаточной функции Ku(ω) = 1/(1 + jωRC) располагается на комплексной плоскости в четвертях: 4 Комплексным параметром электрической цепи называют: Отношение комплексной амплитуды отклика к комплексной амплитуде воздействия. Частотной характеристикой электрической цепи называют: Отношение комплексной амплитуды отклика к комплексной амплитуде воздействия. Амплитудно-частотной характеристикой электрической цепи называют: Отношение амплитуды отклика к амплитуде гармонического воздействия, без учета начальных фаз. Фазово-частотной характеристикой электрической цепи называют: Зависимость от частоты сдвига по фазе между откликом и гармоническим воздействием. Амплитуды токов через реактивные элементы в последовательном колебательном контуре на резонансной частоте находятся в соотношении: 2. ImL>ImC.3. ImL<ImC. Амплитуды токов через реактивные элементы в параллельном колебательном контуре на резонансной частоте находятся в соотношении: ImL=ImC Амплитуды напряжений на реактивных элементах в последовательном колебательном контуре на резонансной частоте находятся в соотношении: UmL=UmC Число частотных характеристик электрической цепи: равно, числу параметров электрической цепи. Амплитуды напряжений на реактивных элементах в параллельном колебательном контуре на резонансной частоте находятся в соотношении: 2. UmL>UmC.3. UmL<UmC. Число параметров и частотных характеристик двухполюсника равно: два Число параметров и частотных характеристик четырехполюсника равно: двенадцать Фазовый сдвиг между напряжением и током на резонансной частоте на входе последовательного колебательного контура: j=0 Характеристическое сопротивление колебательного контура показывает: 1. сопротивление источника сигнала. 2. сопротивление реактивного элемента на резонансной частоте. 3. сопротивление реактивного элемента на частоте воздействующего сигнала. 4. сопротивление резистивных потерь контура: Напряжение на реактивных элементах последовательного колебательного контура на резонансной частоте равно: Ux=Imr Фазовый сдвиг между напряжением и током на резонансной частоте на входе параллельного колебательного контура: 1. j=0.2. j>0.3. j<0. При подключении резистора параллельно с конденсатором последовательного колебательного контура его добротность: увеличится. При подключении резистора последовательно с элементами последовательного колебательного контура его добротность: уменьшится. При подключении резистора параллельно с конденсатором параллельного колебательного контура его добротность: уменьшится. Для максимальной добротности последовательного контура сопротивление источника сигнала Ri и сопротивление нагрузки Rн должны удовлетворять условиям: Ri=0, Rн→∞. Для максимальной добротности параллельного контура сопротивление источника сигнала Ri и сопротивление нагрузки Rн должны удовлетворять условиям: Ri=→∞, Rн→∞. Добротность Q, полоса пропускания S и резонансная частота f0 контура связаны соотношением: Q=f0/S Собственные колебания медленнее затухают в колебательном контуре: 1. Узкополостном. 2. Широкополостном. 3. Затухание не зависит от полосы пропускания колебания контура. Большей добротностью обладает колебательный контур: 1. узкополосный. 2. широкополосный. 4. их добротность одинакова. Сопротивление последовательного колебательного контура на резонансной частоте: резистивное, минимальной величины. Резонанс в последовательном колебательном контуре называется резонансом: напряжений Резонанс в параллельном колебательном контуре называется резонансом: токов Характер сопротивления последовательного контура на частоте меньше резонансной: емкостной. Характер сопротивления последовательного контура на частоте равной резонансной: резистивный. Сопротивления последовательного контура на частоте больше резонансной имеет характер: Индуктивный. Сопротивления параллельного контура на частоте меньше резонансной имеет характер: Индуктивный. Сопротивления параллельного контура на частоте больше резонансной имеет характер: Емкостное. Сопротивление параллельного контура на резонансной частоте: Резистивное, максимальной величины. Каково назначение колебательных контуров частотная избирательность. Избирательность колебательного контура определяется: полосой пропускания. В электротехнике под резонансом понимают не амплитудный, а фазовый потому что: Амплитуды напряжений на реактивных элементах достигают максимума на разных частотах. Под фазовым резонансом для цепи с комплексным сопротивлением Z=R+jX понимают: условие, при котором напряжение и ток находятся в одной фазе. Под термином амплитудный резонанс понимают: Резкое увеличение амплитуды тока или напряжения на резонансной частоте на элементах цепи по отношению к амплитуде на других частотах; В колебательном контуре обязательно присутствуют: конденсатор и катушка индуктивности. Термин "обобщенная расстройка колебательного контура" означает: а= (ωL – 1/(ωC)) /R ≈ Q2Δω/ω0. Термин "абсолютная расстройка колебательного контура" означает: Δω=ω – ω0. Термин "относительная расстройка колебательного контура" означает: δω=(ω – ω0) /ω0. . = Δω/ω0. 6. Импульсные сигналы в линейных цепяхПереходной процесс в электрической цепи связан: с изменением энергетического состояния энергоемких элементов. 2. Показать запись законов коммутации для реактивных элементов: IL(-0) = IL(+0),. Uc(-0) = Uc(+0). 3. Переходная характеристика электрической цепи это: Отклик на единичное ступенчатое воздействие. Колебательным контуром называется цепь: 1. в которой параметры элементов изменяются по гармоническому закону. 2. переходная характеристика которой, изменяется по гармоническому закону. 3. на которую воздействует гармонический сигнал. От чего зависит характер переходной характеристики (апериодический, колебательный, критический). 1. Добротности. 2. Резонансной частоты.
3. Характеристического сопротивления. Операторная функции цепи К(р) связана с комплексной частотной характеристике К(jω) с помощью: Замены р на jω. Нарисовать схему замещения цепи (рис.3) при ω→0. 2 Нарисовать схему замещения цепи (рис.3) при ω→∞. 1 Нарисовать схему замещения цепи (рис.3) при ступенчатом входном сигнале когда t→∞. 2 Нарисовать схему замещения цепи (рис.3) при ступенчатом входном сигнале когда t→0. 1 На вход цепи (рис.3) воздействует гармоническое напряжение Ecosωt. Рассчитать амплитуду выходного напряжение при ω→∞: 0 На вход цепи (рис.3) воздействует гармоническое напряжение Ecosωt. Рассчитать амплитуду выходного напряжение при ω→0: ER2/(R1+R2) На вход цепи (рис.3) воздействует ступенчатое напряжение. Рассчитать выходное напряжение при t→0: 0 На вход цепи (рис.3) воздействует ступенчатое напряжение. Рассчитать вы ходное напряжение при t→∞:
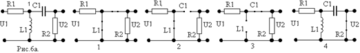
ER2/(R1+R2) Нарисовать схему замещения цепи (Рис.6а) при ω→0: 2 Нарисовать схему замещения цепи (Рис.6а) при ω→∞: 3 Нарисовать схему замещения цепи (Рис.6а) при t→∞. 2 Нарисовать схему замещения цепи (Рис.6а) при t→0. 3 На вход цепи (Рис.6а) воздействует ступенчатое напряжение. Рассчитать выходное напряжение при t→0: ER1/(R1+R2) На вход цепи (Рис.6а) воздействует ступенчатое напряжение. Рассчитать выходное напряжение при t→∞: ER2/(R1+R2) На вход цепи (Рис.6а) воздействует гармоническое напряжение Ecosωt. Рассчитать амплитуду выходного напряжение при ω→0 ER2/(R1+R2) На вход цепи (Рис.6а) воздействует гармоническое напряжение Ecosωt. Рассчитать амплитуду выходного напряжение при ω→∞ ER1/(R1+R2)
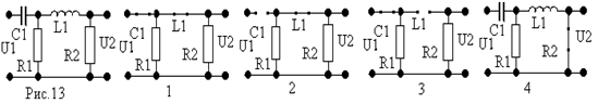
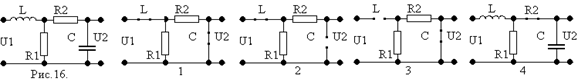
Нарисовать схему замещения цепи (рис.13) при ω→0. 2 Нарисовать схему замещения цепи (рис.13) при ω→∞. 3 Нарисовать схему замещения цепи (рис.13) при t→∞. 2 Нарисовать схему замещения цепи (рис.13) при t→0: 3 На вход цепи (рис.13) воздействует ступенчатое напряжение. Рассчитать выходное напряжение при t→0: ER1/(R1+R2) На вход цепи (рис.13) воздействует ступенчатое напряжение. Рассчитать выходное напряжение при t→∞: ER2/(R1+R2) На вход цепи (рис.13) воздействует гармоническое напряжение Ecosωt. Рассчитать амплитуду выходного напряжение при ω→0: ER2/(R1+R2) На вход цепи (рис.13) воздействует гармоническое напряжение Ecosωt. Рассчитать амплитуду выходного напряжение при ω→∞: ER1/(R1+R2) Нарисовать схему замещения цепи (рис.16) при ω→0. 2 Нарисовать схему замещения цепи (рис.16) при ω→∞. 3 Нарисовать схему замещения цепи (рис.16) при t→∞. 2 Нарисовать схему замещения цепи (рис.16) при t→0. 3 На вход цепи (рис.16) воздействует ступенчатое напряжение. Рассчитать выходное напряжение при t→0. ER1/(R1+R2) На вход цепи (рис.16) воздействует ступенчатое напряжение. Рассчитать вы ходное напряжение при t→∞.
ER2/(R1+R2) На вход цепи (рис.16) воздействует гармоническое напряжение Ecosωt. Рассчитать амплитуду выходного напряжение при ω→∞. ER1/(R1+R2) На вход цепи (рис.16) воздействует гармоническое напряжение Ecosωt. Рассчитать амплитуду выходного напряжение при ω→0 ER2/(R1+R2) Нарисовать схему замещения цепи (рис.14) при ω→0. 3
Нарисовать схему замещения цепи (рис.14) при ω→∞. 2 Нарисовать схему замещения цепи (рис.14) при t→∞. 3 Нарисовать схему замещения цепи (рис.14) при t→0. 2 На вход цепи (рис.14) воздействует ступенчатое напряжение. Рассчитать выходное напряжение при t→0. ER2/(R1+R2) На вход цепи (рис.14) воздействует ступенчатое напряжение. Рассчитать вы ходное напряжение при t→∞. ER1/(R1+R2) На вход цепи (рис.14) воздействует гармоническое напряжение Ecosωt. Рассчитать амплитуду выходного напряжение при ω→∞. ER2/(R1+R2) На вход цепи (рис.14) воздействует гармоническое напряжение Ecosωt. Рассчитать амплитуду выходного напряжение при ω→0 ER1/(R1+R2) Переходные процессы в линейных электрических цепях первого порядка описываются: нелинейными дифференциальными уравнениями первого порядка; Закон коммутации в электрической цепи с индуктивностью записываются в виде: 1) iL(0+) = iL(0-); Закон коммутации в электрической цепи с емкостью имеет следующий вид: uс(0+) = uс(0-) Переходный процесс установления тока в электрической цепи первого порядка описывается выражением 1) i=A1eP1 t + A2eP2 t; 2) i=iуст. + Ae P t +; 3) i= A1e P1 t Постоянная времени интегрирующей RC-цепи определяется выражением t=RC Постоянная времени интегрирующей RL-цепи определяется выражением t=L/R. Переходные процессы в линейных электрических цепях второго порядка описываются:
нелинейными дифференциальными уравнениями первого порядка; Операторный (операционный) метод анализа электрических цепей основан на: Преобразование Лапласа; Если для дифференцирующей RC-цепи длительность импульса много меньшей, чем постоянная времени цепи, то цепь называется: 1. Дифференцирующая цепь; 2. Укорачивающая цепь; 3. Разделительная цепь; 4. Интегрирующая цепь; Какой характер будет иметь дифференцирующая RC-цепь при длительности импульса много большей, чем постоянная времени цепи? а) Дифференцирующая цепь; в) Разделительная цепь Какой характер будет иметь дифференцирующая RC-цепь при длительности импульса больше (соизмеримой), чем постоянная времени цепи? Укорачивающая цепь Для анализа сигналов с бесконечно большой энергией обычно применяют: Преобразование Фурье При спектральном анализе электрических цепей и сигналов применяется: Преобразование Фурье Показать диаграмму напряжения на выходе RC-цепи (рис.7а), при подаче на вход последовательности прямоугольных импульсов напряжения: 4 Показать диаграмму тока в RC-цепи (рис.7а), при подаче на вход последовательности прямоугольных импульсов напряжения: 1.2.3.4.
Показать диаграмму напряжения на выходе RC-цепи (рис.8а), при подаче на вход последовательности прямоугольных импульсов напряжения: 1.2.3.4. Показать диаграмму тока в RC-цепи (рис.8а), при подаче на вход последовательности прямоугольных импульсов напряжения: 1.2.3.4. Показать диаграмму напряжения на выходе RL-цепи (рис.11), при подаче на вход последовательности прямоугольных импульсов напряжения:
1.2.3.4. Показать диаграмму тока в RL-цепи (рис.11), при подаче на вход последовательности прямоугольных импульсов напряжения: 1.2.3.4. Показать диаграмму напряжения на выходе RL-цепи (рис.12), при подаче на вход последовательности прямоугольных импульсов напряжения: 1.2.3.4. Показать диаграмму тока в RL-цепи (рис.12), при подаче на вход последовательности прямоугольных импульсов напряжения: 1.2.3.4. Показать входной ток в цепи (Рис.10) при подаче на вход единичного ступенчатого напряжения.
1.2.3.4.
Показать отклик U2 цепи (Рис.9) при подаче на вход единичного ступенчатого напряжения. 1.2.: 3.4. Показать отклик U2 цепи (Рис.10) при подаче на вход единичного ступенчатого напряжения. 1.2.3.4.
Показать ток в цепи (Рис.13) при подаче на вход единичного ступенчатого напряжения. 1.2.3.4.
Показать выходное напряжения цепи (Рис.13) при подаче на вход единичного ступенчатого напряжения. 1.2.3.4. 7. Основы теории четырехполюсниковТеория четырехполюсников позволяет проводить анализ цепи, если известны: воздействия и параметры четырехполюсника определенные в режиме холостого хода и или короткого замыкания; Основными уравнениями четырехполюсника называют уравнения, которые устанавливают связь, между: откликами и воздействиями; Основными параметрами четырехполюсника называют: коэффициенты, входящие в основные уравнения четырехполюсника; Число пар основных уравнений четырехполюсника: шесть Четырехполюсники называются пассивными, если они: не содержат источников сигнала. Четырехполюсники считают эквивалентными, если они: при замене одного другим не изменяют входных и выходных токов и напряжений. Четырехполюсники называются симметричными, если при перемене местами входных и выходных зажимов он будут функционировать так же, как и раньше; Четырехполюсники называются автономными если они: не содержат источников сигнала. Четырехполюсники называются неавтономными если они: содержат только зависимые источники сигнала. Максимальная амплитуда напряжения на нагрузке выделяется в режиме согласования: по напряжению Записать условие согласования источника сигнала с нагрузкой по критерию выделения в нагрузке максимальной мощности (Рис.6). Ri = Rн.
Записать условие согласования источника сигнала с нагрузкой по критерию получения на нагрузке максимального напряжения (Рис.6). 1. Ri = Rн. 2. Ri < Rн. 3. Ri > Rн. 4. Ri << Rн. Записать условие согласования источника сигнала с нагрузкой по критерию получения на нагрузке максимальной мощности напряжения (рис.7). Ri = Rн.
Записать условие согласования источника сигнала с нагрузкой по критерию получения на нагрузке максимальной мощности (рис.7). Ri = Rн. Условие режима холостого хода четырехполюсника на выходе: I2=0. Условие режима холостого хода четырехполюсника на входе: I1=0. Условие режима короткого замыкания четырехполюсника на выходе: U2=0. Условие режима короткого замыкания четырехполюсника на входе U1=0. Показать Т-образную схему замещения:
1 Показать П-образную схему замещения: 2 Показать Г-образную схему замещения: 3 Показать последовательно-параллельное соединение четырехполюсников:
3 Показать последовательно-последовательное соединение четырехполюсников: 1 Показать параллельно-параллельное соединение четырехполюсников: 2 Показать параллельно-последовательное соединение четырехполюсников: 4 Показать каскадное соединение четырехполюсников: 5 8. Фильтры электрических сигналовФильтры электрических сигнала предназначены для: Выделение сигналов в заданном диапазоне частот и подавление в остальном диапазоне. Передачу сигнала через фильтр характеризуют: коэффициентом передачи сигнала; Коэффициент передачи фильтра вида 10lgK дБ характеризует передачу сигнала по: напряжению Диапазон частот, в котором коэффициент передачи по напряжению и коэффициент затухания в идеальных фильтрах равны единице, называют: Полоса пропускания; Полосой пропускания для идеального фильтра называют диапазон частот в котором: Ku(ω) =1, αu(ω) =1. Полосой затухания для идеального фильтра называют диапазон частот в котором: Ku(ω) =0, αu(ω) =∞. Частота среза (граничная частота) фильтра это: Условная частота, разделяющая полосы пропускания и заграждения, на которой коэффициент пропускания составляет 0.707 от максимального значения; Скорость спада в полосе задержания фильтра определяется как: –20lgKu(fгр) /Ku(10fгр). Фильтры, которые выделяют низкочастотные составляющие сигнала, называются: ФНЧ Фильтры, которые выделяют сигнал только в определенном диапазоне частот, называются: ППФ; Фильтры, которые выделяют высокочастотные составляющие сигнала, называются: ФВЧ; Фильтры, которые подавляют сигналы в заданном диапазоне частот, называются: ПЗФ. Показать АЧХ ФНЧ (идеального).
1 Показать АЧХ ФНЧ (реального).
2 Показать АЧХ режекторного фильтра.
5 Показать АЧХ идеального ФВЧ.
3 Показать АЧХ реального ФВЧ.
4 Рассчитывается комплексный коэффициент передачи N-звенного фильтра, если звенья одинаковы, обладают комплексным коэффициентом передачи Ki(jω) и согласованы по напряжениям: 1. KN(jω) = 2. KN(jω) = 3. KN(jω) =F [Ki(jω)] Как рассчитывается комплексный коэффициент передачи N-звенного фильтра если звенья одинаковы, обладают комплексным коэффициентом передачи Ki(jω), но не согласованы по напряжениям. 1. KN(jω) = 2. KN(jω) = 3. KN(jω) =F [Ki(jω)] К какой группе фильтров относятся схемы, приведенные на рисунках:
ФНЧ К какой группе фильтров относятся схемы, приведенные на рисунках:
ФВЧ К какой группе фильтров относятся схемы, приведенные на рисунках:
ПФ К какой группе фильтров относятся схемы, приведенные на рисунках:
РФ 9. Цепи с распределенными параметрамиПод термином "цепи с распределенными параметрами" понимают: 1. Цепи, геометрические размеры элементов которых соизмеримы или больше длины электромагнитной волны сигнала, проходящего по ним; 2. цепи, геометрические размеры отдельных элементов которых много меньшие длины электромагнитной волны сигнала, проходящего по ним; 3. цепи, в которых отдельные элементы могут выполнять ряд различных функций; 2. Под термином "цепи с сосредоточенными параметрами" понимают: 1. Цепи, геометрические размеры элементов которых соизмеримы или больше длины электромагнитной волны сигнала, проходящего по ним; 2. цепи, геометрические размеры отдельных элементов которых много меньшие длины электромагнитной волны сигнала, проходящего по ним; 3. цепи, в которых отдельные элементы могут выполнять ряд различных функций; 3. Волна от источника сигнала в бесконечной длинной линии распространяется в: 1. В обе стороны от источника; 2. в направлении перпендикулярном длинной линии; 3. в одну сторону от источника сигнала; Волна от источника сигнала в полубесконечной длинной линии распространяется в: 1. В обе стороны; 2. в направлении перпендикулярном длинной линии; 3. в одну сторону; Под термином "длинная линия" понимают: 1. линию связи, которую необходимо рассматривать как цепь с распределенными параметрами. 2. линию связи, которую необходимо рассматривать как цепь с сосредоточенными параметрами. 3. цепи, геометрические размеры отдельных элементов которых много меньшие длины электромагнитной волны сигнала, проходящего по ним; Длинную линию называют однородной если: 1. погонные параметры зависят от координаты х; 2. погонные параметры не зависят от координаты х; 3. погонные параметры зависят от времени; 4. погонные параметры не зависят от времени. Длинную линию называют неоднородной если: 1. погонные параметры зависят от координаты х; 2. погонные параметры не зависят от координаты х; 3. погонные параметры зависят от времени; 4. погонные параметры не зависят от времени. В длинной линии без потерь погонные параметрыe удовлетворяют условиям: 1. L0=G0=0, 2. C0=R0=0, 3. R0=G0=0, 4. R0 >0, G0. >0, В длинной линии с потерями погонные параметры удовлетворяют условиям: 1. L0=G0=0, 2. R0=G0=0, 3. R0 >0, G0. >0, 4. L0=C0=0. В бесконечной длинной линии возникает: 1. Две волны: падающая и отраженная; 2. Две волна: прямая и обратная; 3. Одна волна – падающая; 4. Одна волна – отраженная. В полубесконечной длинной линии возникает: 1. Две волны: падающая и отраженная; 2. Две волна: прямая и обратная; 3. Одна волна – падающая; 4. Одна волна – отраженная. В длинной линии конечной длины возникает: 1. Две волны: падающая и отраженная; 2. Две волна: прямая и обратная; 3. Одна волна – падающая; 4. Одна волна – отраженная. К волновым параметрам длинной линии относятся: 1. Погонные. 2. Волновое число, волновое сопротивление, коэффициент распространения. 3. Коэффициент бегущей волны и коэффициент стоячей волны. 4. Коэффициенты отражения К первичным параметрам длинной линии относятся: 1. Погонные. 2. Волновые. 3. Коэффициент бегущей волны и коэффициент стоячей волны. 4. Коэффициенты отражения. К вторичным параметрам длинной линии относятся: 1. Погонные. 2. Волновые. 3. Коэффициент бегущей волны и коэффициент стоячей волны. 4. Коэффициенты отражения. К погонным параметрам длинной линии относятся: 1. параметры, отнесенные к единице длины линии. 2. Волновые. 3. Коэффициент бегущей волны и коэффициент стоячей волны. 4. Коэффициенты отражения. Вследствие интерференции падающей и отраженной волн возникает: 1. Изменение частоты отраженной волны; 2. Узлы и пучности; 3. Изменение направления распространения отраженной волны. В полубесконечной длинной линии возникает режим: 1. бегущих волн; 2. отраженных волн; 3. поглощенных волн; 4. стоячих волн; В линии конечной длины при работе на согласованную нагрузку возникает режим: 1. бегущих волн; 2. Режим отраженных волн; 3. Режим поглощенных волн; 4. Режим стоячих волн; В линии конечной длины, работающей на короткозамкнутую нагрузку, возникает режим: 1. бегущих волн; 2. отраженных волн; 3. поглощенных волн; 4. стоячих волн; В нагрузке максимальная мощность сигнала выделяется в режиме: 1. бегущих волн; 2. отраженных волн; 3. поглощенных волн; 4. стоячих волн; В каком режиме в длинной линии отсутствуют отражения 1. В режиме стоячих волн. 2. В режиме бегущих волн. 3. В режиме смешанных волн. 4. В режиме стоячих волн и бегущих волн. В длинной линии без потерь конечной длины режим бегущих волн возникает, когда нагрузка: 1. Резистивная и равна волновому сопротивлению линии. 2. Комплексная. 3. Индуктивная. 4. Резистивная, меньшей волнового сопротивления линии. 5. Резистивная, большей волнового сопротивления линии. В длинной линии без потерь конечной длины возникает режим смешанных волн, когда нагрузка: 1. Резистивная и равна волновому сопротивлению линии. 2. Комплексная или резистивная не равная волновому сопротивлению. 3. Реактивная. В длинной линии без потерь конечной длины возникает режим стоячих волн, когда нагрузка: 1. Резистивная и равна волновому сопротивлению линии. 2. Комплексная. 3. Реактивная. 4. Резистивная, меньшей волнового сопротивления линии. 5. Резистивная, большей волнового сопротивления линии. Коэффициентом отражения по напряжению называется: 1. рu=Ủотр/Ủпад. 2. К = Ummin/ Ummax 3. рu= Ủпад/ Ủотр. 4. К = Ummax /Ummin Коэффициентом бегущей волны называется: 1. рu=Ủотр/Ủпад. 2. К = Ummin/ Ummax 3. рu= Uпад/ Uотр. 4. К = Ummax /Ummin Коэффициентом стоячей волны называется: 1. рu=Ủотр/Ủпад. 2. К = Ummin/ Ummax 3. рu= Uпад/ Uотр. 4. К = Ummax /Ummin Коэффициент бегущей волны (КБВ) и коэффициент отражения по напряжению рu в линии нагруженной на волновое сопротивление равны: 1. КБВ=1, рu=1. 2. КБВ=0, рu=0. 3. КБВ=0, рu=1. 4. КБВ=1, рu=0. Коэффициент бегущей волны (КБВ) и коэффициент отражения по напряжению рu в линии в режиме бегущих волн равны: 1. КБВ=1, рu=1. 2. КБВ=0, рu=0. 3. КБВ=0, рu=1. 4. КБВ=1, рu=0. Коэффициент бегущей волны (КБВ) и коэффициент отражения по напряжению рu в линии разомкнутой на конце равны: 1. КБВ=1, рu=1. 2. КБВ=0, рu=0. 3. КБВ=0, рu=1. 4. КБВ=1, рu=0. 5. КБВ=0, рu=-1. Чему равны коэффициент бегущей волны (КБВ) и коэффициент отражения по напряжению рu в линии в режиме стоячих волн. 1. КБВ=1, рu=1. 2. КБВ=1, рu=0. 3. КБВ=0, рu=1. 4. КБВ=1, рu=0. 5. КБВ=1, рu=-1. Чему равны коэффициент бегущей волны (КБВ) и коэффициент отражения по напряжению рu в линии короткозамкнутой на конце. 1. КБВ=1, рu=1. 2. КБВ=0, рu=0. 3. КБВ=0, рu=1. 4. КБВ=1, рu=0. 5. КБВ=0, рu=-1. Чему равны коэффициент бегущей волны (КБВ) и коэффициент отражения по напряжению рu в линии нагруженной на реактивное сопротивление. 1. КБВ=1, рu=1. 2. КБВ=1, рu=1. 3. КБВ=0, рu=1. 4. КБВ=0, рu= а+ jb. Чему равны коэффициент бегущей волны (КБВ) и коэффициент отражения по напряжению рu в линии в режиме смешанных волн. 1.0<КБВ<1, | рu | <1. 2. КБВ=1, рu=1. 3. КБВ=1, рu=1. 4. КБВ=0, рu=а+ jb Чему равны коэффициент бегущей волны (КБВ) и коэффициент отражения по напряжению рu в линии нагруженной на резистивное сопротивление больше волнового. 1.0<КБВ<1, | рu | <1. 2. КБВ=1, рu=1. 3. КБВ=1, рu=1. 4. КБВ=0, рu=а+ jb Чему равны коэффициент бегущей волны (КБВ) и коэффициент отражения по напряжению рu в линии нагруженной на резистивное сопротивление меньше волнового. 1.0<КБВ<1, | рu | <1. 2. КБВ=1, рu=1. 3. КБВ=1, рu=1. 4. КБВ=0, рu=а+ jb Чему равны коэффициент бегущей волны (КБВ) и коэффициент отражения по напряжению рu в линии нагруженной на комплексное сопротивление. 1.0<КБВ<1, | рu | <1. 2. КБВ=1, рu=1. 3. КБВ=1, рu=1. 4. КБВ=0, рu=а+ jb |

;
. 
























