Реферат: Поляризація світла
|
Название: Поляризація світла Раздел: Рефераты по физике Тип: реферат | |
РЕФЕРАТ на тему:”Поляризація світла” План 1. Природне і поляризоване світло 2. Поляризація світла при відбиванні. Закони Брюстера й Малюса 3. Подвійне променезаломлення. Звичайний і незвичайний промені. Призма Ніколя 4. Штучна оптична анізотропія. Обертання площини поляризації 1. Природне і поляризоване світло В світлових хвилях вектори напруженості електричного поля Світлове випромінювання є сумарним електромагнітним випромінюванням величезної кількості атомів. Атоми випромінюють світлові хвилі незалежно один від одного, тому світлова хвиля, яка випромінюється тілом, характеризується різними напрямками коливання світлового вектора
Рис. 1 Розглянемо дві взаємно перпендикулярні монохроматичні хвилі, які поширюються вздовж додатного напрямку осі ОХ, де Щоб знайти траєкторію результуючого коливання світлового вектора при додаванні двох взаємно перпендикулярних коливань, визначимо
тоді
Оскільки
Піднесемо до квадрату рівняння (4), одержимо:
Отримане співвідношення (4) є рівнянням еліпса, довільно орієнтованого відносно осей ОУ
і OZ.
Отже, кінець вектора Якщо
Схематично на рис.2 зображено еліптично поляризовану хвилю. При
Рис.2 Якщо внаслідок яких-небудь зовнішніх впливів появляється переважаючий напрямок коливань вектора Площина, в якій відбувається коливання вектора За міру ступеня поляризації приймають вираз
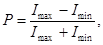
де Для природного світла Плоскополяризоване світло можна отримати з природного за допомогою приладів, які називаються поляризаторами. Ці прилади вільно пропускають коливання, паралельні до площини поляризації, яка називається головною площиною, і повністю або частково затримують коливання, які перпендикулярні цій площині. В ролі поляризаторів можуть бути лише анізотропні середовища в яких в різних напрямках проявляються різні оптичні властивості. Одним із природних кристалів, які використовуються як поляризатори, може бути турмалін. Прилади, за допомогою яких виявляють поляризацію світла, називають аналізаторами. Роль аналізаторів виконують прилади, за допомогою яких одержують лінійно поляризоване світло (рис.3). Будь-який поляризатор може бути аналізатором і навпаки.
Рис.3 2. Поляризація світла при відбиванні. Закони Брюстера й Малюса Якщо природне світло палає на межу поділу двох діелектриків (наприклад, повітря і скла), то частина його відбивається, а частина заломлюється і поширюється у другому середовищі. Якщо постановити на шляху відбитого і заломленого променів аналізатор, то буде видно, що відбитий і заломлений промені частково поляризовані: при повертанні аналізатора навколо осі інтенсивність світла періодично підсилюється і ослаблюється (повного затухання не спостерігається). Проведені дослідження показали, що у відбитих променях переважають коливання, перпендикулярні до площини падіння, в заломленому – коли-вання, паралельні до площини падіння (рис.4).
Рис. 4 Ступінь поляризації - ступінь виділення світлових хвиль з певною орієнтацією електричного вектора Шотландський фізик Брюстер встановив закон, згідно з яким відбитий промінь є повністю плоскополяризованим при куті падіння
де Якщо світло падає на границю поділу під кутом Брюстера, то відбитий і заломлений промені будуть взаємно перпендикулярними. Відбивання під кутом Брюстера дає змогу отримати лінійно поляризоване світло, однак його інтенсивність невелика і для скла (n=1,5)дорівнює близько 15%, тобто основна його частина поширюється у напрямку заломлення хвилі, яка поляризована не повністю. Для збільшення ступеня поляризацій заломлених хвиль їх треба пропустити крізь стопу скляних пластинок. Cтопа з десяти скляних пластинок дає змогу отримати майже стопроцентну поляризацію заломлених хвиль. Нехай на поляризатор падає природне світло (рис.5).
Рис.5 Виберемо хвилю, вектор напруженості електричного поля якої
Перше коливання пройде через поляризатор, друге буде затримане. Інтенсивність хвилі, що пройшла через поляризатор, пропорційна квадрату амплітуди хвилі, тобто дорівнює
де В природному світлі всі значення φ
рівно імовірні. Тому частина світла, яке про Якщо обертати поляризатор навколо напрямку проходження природного світла, то інтенсивність світла, яке пройшло через поляризатор, залишається не змінною, при цьому змінюється лише орієнтація площини поляризації світла. Розглянемо випадок проходження лінійно поляризованого світла через аналізатор. При вході в аналізатор світлового променя з напрямком амплітуди вектора Е
під кутом
Інтенсивність променів, які пройдуть через аналізатор пропорційна квадрату амплітуди, тому
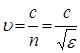
Отримане співвідношення називається законом Малюса. 3. Подвійне променезаломлення. Звичайний і незвичайний промені. Призма Ніколя Усі прозорі кристали (крім кристалів кубічної системи, які оптично ізотропні) є оптично анізотропні, їх відносна діелектрична проникність і показник заломлення залежать від напрямку електричного вектора В оптично анізотропних кристалах спостерігається явище подвійного променезаломления, яке полягає в тому, що промінь світла, падаючи на поверхню кристала, роздвоюється в ньому на два промені, що дальше поширюються з різними швидкостями. Кристали, які дають подвійне променезаломлення, діляться на одновісні і двовісні. В одновісних кристалів для одного із променів виконується закон заломлення, зокрема заломлений промінь лежить в одній площині з падаючим променем і нормаллю до заломлюючої поверхні. Цей промінь називається звичайним (о). Для другого променя, який називається незвичайним (е), закон заломлення світла не виконується. Незвичайний промінь не лежить в одній площині з падаючим променем і нормаллю до поверхні кристала. На рис.6 показане явище подвійного променезаломлення в одновісному кристалі, коли пучок світла падає на кристал перпендикулярно до поверхні кристала. Звичайний промінь (о) є продовженням падаючого, а незвичайний (е) при проникненні в кристал відхиляється на якийсь кут. Одновісними кристалами є ісландський шпат, кварц, турмалін, а двовісними - слюда, гіпс. У двовісних кристалів обидва промені незвичайні. В одновісних кристалах існує єдиний напрямок, вздовж якого подвійне променезаломлення не спостерігається. Напрямок в кристалі, по якому поширюються звичайний і незвичайний промені не розділяючись і з однаковою швидкістю, називається оптичною віссю кристала.
Рис.6 Оптична вісь - це не пряма лінія, яка проходить через ту чи іншу точку в кристалі, а певний напрямок в кристалі. Довільна пряма, паралельна до цього напрямку, є оптичною віссю кристала. Площина, яка проходить через промінь і оптичну вісь кристала, називається головною площиною, або головним перерізом кристала Через кристал можна провести безмежну множину паралельних оптичних осей і безмежну множину паралельних головних перерізів. Лінія перетину двох довільних головних перерізів завжди є оптичною віссю. На рис.5 оптична вісь співпадає з напрямком 00, апромінь, який падає на кристал в цьому напрямку не роздвоюється. Дослідження звичайного і незвичайного променів показує, що обидва промені повністю поляризовані у взаємно перпендикулярних напрямках. Електричний вектор у звичайному промені перпендикулярний до площини головного перерізу, а в незвичайному промені лежить у площині головного перерізу (рис.5), тобто площина поляризації звичайного променя перпендикулярна до площини головного перерізу, а незвичайного збігається з площиною головного перерізу. Після виходу з кристала, якщо не брати до уваги поляризацію у двох взаємно перпендикулярних напрямках (площинах), ці два промені нічим один від одного не відрізняються. Подвійне променезаломлення пояснюється анізотропією кристалів. У кристалах не кубічної системи діелектрична проникність ε
є залежною від напрямку дії електричного поля Явище подвійного променезаломлення лежить в основі роботи поляризаційних пристроїв, які використовують для отримання поляризованого світла. Найчастіше для цього застосовуються призми і поляроїди. Типовий представник поляризаційних призм - призма Ніколя (ніколь) подвійна призма з ісландського шпату, склеєна вздовж лінії АВ канадським бальзамом (живиця канадського кедра) з п=1,55 (рис.7). Оптична вісь 00 спрямована під кутом 48° до вхідної грані АС. Природний промінь L при падінні на грань АС ділиться на звичайний о і незвичайний промінь е .
Рис. 7 При певному виборі кутів призми звичайний промінь падає на шар бальзаму під кутом 76о , який більший за граничний, а тому зазнає повного внутрішнього відбивання й поглинається зафарбованою гранню СВ. Незвичайний промінь виходить з призми паралельно до грані СВ . Площина його поляризації збігається з площиною головного перерізу. Всі анізотропні кристали тією чи іншою мірою поглинають світло. Коефіцієнт поглинання неоднаковий для звичайного і незвичайного променів і залежить від напрямку поширення світла в кристалі. Це явище називається дихроїзмом. Значний дихроїзм у видимій області спектра мають кристали турмаліну , в якому коефіцієнт поглинання для звичайного променя в багато разів більший, ніж для незвичайного. Пластинка турмаліну завтовшки 1мм практично повністю поглинає звичайний промінь, і світло, яке проходить крізь неї, буде лінійно поляризованим. Плівка завтовшки 0,1 мм , на яку нанесено кристалики гепатиту, повністю поглинає звичайний промінь видимої області спектра. Поляризатори, для створення яких використане явище дихроїзму, називаються поляроїдами. Якщо на одновісний кристал падає лінійно поляризоване світло, то звичайні і незвичайні хвилі, які при цьому виникають є когерентні. Розглянемо взаємодію двох когерентних лінійно поляризованих хвиль, які поширюються в одному напрямі, площини поляризації яких взаємно перпендикулярні. Це реалізується за допомогою призми Ніколя Ν, на яку падає природне світло від джерела S і кристалічної пластинки, вирізаної з одновісного кристала, бокова грань якої паралельна оптичній осі (рис.8).
Рис.8 Площина поляризації світла, яке виходить з поляризатора, утворює з оптичною віссю пластинки кут
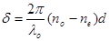
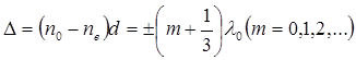
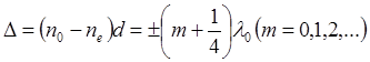
Після проходження пластинки завтовшки d
між звичайним і незвичайним променями виникає різниця ходу
Рис. 9 Коливання електричних векторів звичайного і незвичайного променів здійснюються за законом
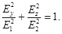
При додаванні цих коливань отримуємо рівняння еліпса, довільно орієнтованого відносно осей ОХ і OY :
Отже, отримуємо еліптично поляризовану хвилю. Якщо
називається пластинкою у чверть хвилі. Знак "+" відповідає негативним кристалам, а знак "-" - позитивним. Пластинка, для якої
називається пластинкою у півхвилі. В цьому випадку зсув фаз 4. Штучна оптична анізотропія. Обертання площини поляризації Подвійне променезаломлення спостерігається в природних анізотропних середовищах. Існують різні способи отримання штучної оптичної анізотропії, тобто надання оптичної анізотропії природно ізотропним речовинам. Оптично ізотропні речовини стають оптично анізотропними під дією: одностороннього стиску або розтягу (дослідження проводив Брюстернакристалах кубічної системи, склі та ін.); електричного поля (рідини, аморфні тіла, гази) (Керр); магнітного поля (рідини, скло, колоїди) (Коттон, Мутон). У згаданих випадках речовина набуває властивості одновісного кристала, оптична вісь якого збігається з напрямком, відповідно, деформації, електричного чи магнітного полів. Мірою оптичної анізотропії служить різниця показників заломлення звичайного і незвичайного променів у напрямку, перпендикулярному до оптичної осі. Оптичну анізотропію, яка виникає під впливом деформації, можна виявити, якщо помістити досліджуване тіло А між поляризатором ρ і аналізатором а, які схрещені між собою (рис.10). Доки тіло не деформоване, така система світла не пропускає.
Рис 10 При односторонньому стиску або розтязі тіла вздовж напрямку ОО в ньому виникає оптична анізотропія, яка еквівалентна анізотропії одноосного кристала з оптичною віссю ОО. Звичайний і незвичайний промені будуть поширюватися в напрямку, який перпендикулярний до ОО, із різними швидкостями υ0 іυ е . Якщо головний переріз поляризатора не паралельний і не перпендикулярний до ОО, то світло, яке пройшло через деформоване тіло, стане еліптично поляризованим і його не можна погасити аналізатором. Різниця коефіцієнтів заломлення
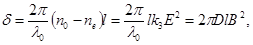
де
де Явище штучної оптичної анізотропії при деформаціях використовують для виявлення внутрішніх залишкових деформацій, які можуть виникати у виробах зі скла та інших прозорих ізотропних матеріалів внаслідок порушення технології їх виготовлення. Оптичний метод вивчення на прозорих моделях розподілу внутрішніх напруг у різних деформованих частинах машин і споруд широко застосовують у сучасній техніці. Для цього використовують моделі, виготовлені з целулоїду або іншої ізотропної речовини. Оскільки величина оптичної анізотропії пропорційна напрузі σ , то за виглядом смуг однакового кольору, які виникають при спостереженні моделі між схрещеними ніколями, можна зробити висновок про величину залишкових деформацій. Оптична анізотропія може виникнути також і в рідині під впливом зовнішніх динамічних впливів. Виникнення оптичної анізотропії в потоці рідини може бути використане для вивчення властивостей полімерів і пластмас. У 1875р. Д. Керр виявив, що рідкий або твердий ізотропний діелектрик, вміщений у дуже сильне однорідне електричне поле, стає оптично анізотропним. Це явище називають ефектом Керра. Принципову схему спостереження цього явища в рідинах зображено на рис.10, де Р і а - поляризатор і схрещений з ним аналізатор (рис.11). Між ними розміщена кювета з конденсатором (комірка Керра), між пластинами якого знаходиться досліджувана рідина. За відсутності електричного поля світло через систему не проходить.
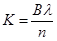
Рис 11 Досліди показали, що під дією однорідного електричного поля в плоскому конденсаторі рідина набуває властивостей одновісного двозаломлюючого кристала, оптична вісь якого збігається з напрямком вектора
де Якщо довжина шляху променів між обкладками конденсатора l, то різниця фаз між звичайним і незвичайним променями буде дорівнювати
де У 1930 р. було виявлено існування ефекту Керра і в газах. Трудність спостереження цього явища пов'язана з тим, що значення В для газів на кілька порядків менше ніж для рідин. Для більшості речовин Ефект Керра пояснюється різною поляризацією молекул за різними напрямками. За відсутності поля молекули орієнтовані довільно, тому рідина в цілому не виявляє анізотропії. Під дією поля молекули повертаються так, щоб в напрямі поля були орієнтовані або їх дипольні електричні моменти (у полярних молекул), або напрям найбільшої поляризації (у неполярних молекул). В результаті речовина стає оптично анізотропною. Ефект Керра практично без інерційний, тобто перехід речовини з ізотропного стану в анізотропний (і назад) при вмиканні поля становить Штучну анізотропію можна створити теж дією магнітного поля, яка спостерігається в речовинах, молекули яких анізотропні, тобто в парамагнетиках. За відсутності зовнішнього магнітного поля молекули розміщуються хаотично, результатом чого є статистична анізотропія. Якщо таку речовину помістити в досить сильні магнітні поля, то відбудеться напрямлена орієнтація власних магнітних моментів молекул. Це зумовлює анізотропію речовини, що приводить до подвійного заломлення променів. Таке середовище поводить себе як одновісний кристал, оптична вісь якого паралельна вектору індукції поля
де
де У кристалічних тілах, а також у деяких ізотропних рідинах, крім подвійного заломлення променів, спостерігається явище, яке полягає в тому, що площина коливань електричного вектора світлової хвилі повертається на деякий кут при проходженні світла крізь такі речовини. Це явище називається обертанням площини поляризації або оптичною активністю . Якщо речовина не знаходиться у зовнішньому магнітному полі, то оптична активність буде природною. Природна оптична активність була відкрита в 1811 р. Д.Араго на пластинках кварцу, вирізаних перпендикулярно до оптичної осі. Прийнято визначати напрям обертання площини поляризації відносно спостерігача, погляд якого спрямований назустріч падаючому променю. Обертання називають правим (додатним), якщо площина поляризації повертається вправо (за годинниковою стрілкою) для спостерігача, і лівим (від'ємним), якщо вона повертається вліво. Експериментально встановлено, що в природі існує два типи кристалів кварцу, які є дзеркальним відображенням один одного. Перші обертають площину поляризації вправо, другі - вліво і відповідно називаються право- і лівообертаючим кварцем. Кут обертання площини поляризації пропорційний товщині шару оптично активної речовини і для монохроматичного світла, довжина світлової хвилі якого
де l - довжина шляху променя в оптично активному середовищі; а - коефіцієнт пропорційності, який називають обертальною здатністю, або питомим обертанням. Він залежить від природи речовини, від температури та довжини хвилі і дорівнює величині кута, на який повертається площина поляризації монохроматичного світла при проходженні шару завтовшки l м. Для оптично активних рідин та розчинів Ж.Біо у 1831 р. встановив, що кут повороту площини поляризації
де Біо також експериментально встановив наближену залежність величини
1. Властивості оптичної активності розчинів дають змогу визначити їх концентрації. Прилади, за допомогою яких проводять такі вимірювання, називаються поляриметрами. Оскільки для розчину цукру питоме обертання |

(3)
то




, то з анізотропії ε
випливає, що світловим хвилям з різними напрямками коливання вектора 


. (12)
(13)
(14)
