РЕФЕРАТ
на тему:”
ПОСТІЙНИЙ ЕЛЕКТРИЧНИЙ СТРУМ
”
План
1. Провідники й ізолятори. Електричний струм. Умови існування струму. Сторонні сили.
2. Закон Джоуля-Ленца в інтегральній формі. Опір провідників. Потужність струму.
3. Закони Ома для ділянки кола, неоднорідної ділянки кола і замкнутого кола. Правила Кірхгофа.
4. Закони Ома й Джоуля-Ленца в диференціальній формі. Густина електричного струму в провідниках.
1. Провідники і ізолятори. Електричний струм. Умови існування струму. Сторонні сили
До провідників відносять будь-які речовини, які мають вільні електричні заряди незалежно від агрегатного стану і від умов оточуючого середовища. Деякі речовини стають провідниками лише при підвищенні температури, а при досить високих температурах практично всі речовини є провідниками.
Ізолятори – це речовини, які при звичайних умовах не мають вільних зарядів, або їх число можна вважати безмежно малим.
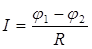
Електричний струм – це направлений рух електричних зарядів, які приводяться в рух електричним полем або рухаються на протидію електричному полю. Чисельно електричний струм характеризують швидкістю переміщення електричних зарядів, тобто
I = .
Електричний струм вимірюється в амперах (А). Струм в 1А відповідає заряду в 1Кл, який переноситься через поперечний переріз провідника за час в 1с.
Одиниця електричного струму в 1А є основною одиницею системи СІ, а тому має більш загальне визначення, яке буде розглянуте пізніше.
Для існування електричного струму необхідне виконання певних умов, серед яких:
а) наявність провідника;
б) наявність джерела електрорушійної сили;
в) наявність замкнутого кола.
Невиконання цих умов, або будь-якої із них, робить неможливим виникнення електричного струму в провіднику.
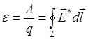
У джерелі струму перерозподіл зарядів на його клемах здійснюється за допомогою сторонніх сил, тобто сил неелектричного походження.
У випадку замкнутого провідника сили електричного походження роботи не виконують. Робота таких сил дорівнює нулю. Перерозподіл зарядів у джерелі здійснюється переважно силами хімічного, магнітного, механічного, й іншого походження. У цьому випадку в джерелі одночасно існують два електричні поля:
- зовнішнє поле , утворене різницею потенціалів між клемами джерела;
- внутрішнє, або поле сторонніх сил *
, яке діє лише у джерелі (рис.10.1).

Рис.10.1
Струм І існує у зовнішній ділянці кола і створюється полем . Струм існує у джерелі і створюється полем сторонніх сил .
На будь-який заряд у цьому випадку діятиме сила, величина якої дорівнює
= . (10.1.1)
Під дією цієї сили виконується елементарна робота
= . (10.1.2)
З урахуванням (10.1.1) елементарна робота буде дорівнювати:
, (10.1.3)
де - теорема про циркуляцію вектора .
Тому величину - називають електрорушійною силою джерела струму, тобто
. (10.1.4)
Електрорушійна сила джерела струму чисельно дорівнює роботі переміщення точкового електричного заряду сторонніми силами в замкнутому колі, включаючи і саме джерело, до величини цього заряду, тобто
(10.1.5)
Причиною виникнення е. р. с. джерела струму може бути також змінне в часі магнітне поле, що видно із одного із рівнянь Максвелла
, (10.1.6)
де - змінне в часі магнітне поле; - потік змінного в часі магнітного поля крізь довільну замкнуту поверхню в перпендикулярному напрямку до цієї поверхні. Це та інші рівняння Максвелла будуть розглянуті в наступній лекції.
2. Закон Джоуля-Ленца в інтегральній формі. Опір провідників. Потужність струму
Найпростішою формою дії струму в провіднику є його теплова дія. Дослідним шляхом установлено, що:
а) кількість теплової енергії, яка виділяється у провіднику, прямо пропорційна часу дії струму, тобто dQ ~ dt;
б) величина теплової енергії струму пропорційна квадрату струму в провіднику, тобто dQ ~ І2
.
З урахуванням цих двох дослідних фактів можна зробити висновок, що кількість теплової енергії, яка ввиділяється у провіднику завдяки дії електричного струму, пропорційна квадрату струму й часу його протікання, тобто
dQ ~ I2
dt . (10.2.1)
Якщо у співвідношення (10.2.1) ввести коефіцієнт пропорційності, то одержимо рівність
dQ = RI2
dt. (10.2.2)
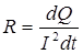
Рівність (10.2.2) називають законом Джоуля-Ленца в інтегральній формі. Коефіцієнт пропорційності в цьому законі називають електричним опором провідника.
З рівності (10.2.2) опір провідника буде дорівнювати
, (10.2.3)
де dQ – кількість теплової енергії, яка переноситься електричним струмом; І2
– квадрат величини електричного струму; dt – час проходження струму.
Розмірність електричного опору відповідно до (10.2.3) має значення
.
Опір провідників вимірюється в омах (Ом).
Встановимо фізичну суть опору провідника, який має вільні електричні заряди, що у випадку відсутності електричного поля рухаються хаотично між вузлами кристалічної гратки з досить великими швидкостями. Середнє значення швидкості хаотичного руху електронів у металевому провіднику приблизно дорівнює 106
м/с.
Температура на швидкість хаотичного руху носіїв струму в провіднику практично не впливає.

Рис.10.2
На рис.10.2 схематично показано ділянку кристалічної структури. Простір між вузлами кристалічної гратки заповнений вільними електронами.
Електричний опір провідника чисельно дорівнює роботі, яка виконується сторонніми силами джерела струму для подолання хаотичності руху вільних електронів, взаємодії їх один з одним і з вузлами кристалічної гратки.
Слід відмітити, що найбільше енергії джерела струму витрачається на подолання взаємодії носіїв струму з позитивно зарядженими вузлами кристалічної гратки. В меншій мірі енергія джерела витрачається на подолання хаотичності руху й взаємодії носіїв між собою.
У масштабах країни на подолання електричного опору в лініях електропередач витрачається до 25% виробленої електричної енергії.
Опір провідників зростає при їх нагріванні. Пояснити це зростання опору можна збільшенням амплітуди коливань вузлів кристалічної гратки, і як наслідок, зростанням частоти захоплення вузлами кристалічної гратки вільних електричних зарядів. На хаотичність руху носіїв і взаємодію їх один з одним зростання температури практично не впливає (буде пояснено в 3-й частині курсу фізики).
Вираз для потужності електричного струму можна отримати із рівності (10.2.2).
У випадку нерухомого провідника робота струму дорівнює тепловій енергії, тому потужність струму буде дорівнювати
. (10.2.4)
З цієї рівності видно, що величина потужності струму пропорційна квадрату струму, що протікає в колі.
3. Закони Ома для ділянки кола, неоднорідної ділянки кола й замкнутого кола. Правила Кірхгофа
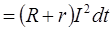
Розглянемо неоднорідну ділянку кола, опір якої дорівнює R + r (рис.10.3).

Рис.10.3
На кінцях такої ділянки створена різниця потенціалів 1
- 2
. Робота переміщення заряду dq вздовж цієї ділянки дорівнює
, (10.3.1)
де - електрорушійна сила джерела струму; - різниця потенціалів на кінцях провідника.
Якщо ж провідник нерухомий, то цю ж роботу можна виразити із закону Джоуля-Ленца, тобто
, (10.3.2)
де - загальний опір ділянки кола й джерела струму; І – величина струму в ділянці кола; dt – час проходження струму.
Прирівняємо праві сторони цих рівностей
 . (10.3.3)
Але заряд dq можна виразити через струм І і час проходження струму dt, тобто
. (10.3.4)
Підставимо вираз (10.3.4) у (10.3.3) і після відповідного скорочення одержимо:
= ,
звідки
. (10.3.5)
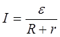
Рівність (10.3.5) називається законом Ома для неоднорідної ділянки кола, тобто ділянки кола , яка містить електрорушійну силу джерела .
У випадку відсутності електрорушійної сили у колі одержимо закон Ома для ділянки кола
. (10.3.6)
Якщо коло замкнуте, то 1
- 2
= 0, тому що початкова й кінцева точки збігаються. У такому випадку одержимо закон Ома для замкнутого кола, тобто
. (10.3.7)
Закономірності (10.3.5), (10.3.6) і (10.3.7) називаються законами Ома в інтегральній формі. Ці закони мають широке практичне використання для розрахунку електричних кіл в електротехніці.
Розглянемо ділянку розгалуженого кола, яке складається з трьох неоднорідних ділянок АВ, ВС і СА (рис.10.4)
На цьому рисунку точки А,В,С називаються вузловими точками. В ці точки входять і виходять не менше трьох струмів. Для вузлових точок у відповідності із законом збереження електричних зарядів, має виконуватись умова, згідно з якою
. (10.3.8)
Рівність (10.3.8) називають першим правилом Кірхгофа. Суть цього правила така:
Алгебраїчна сума всіх струмів будь-якої вузлової точки розгалуження дорівнює нулю.

Рис.10.4
Запишемо закон Ома для кожної окремої неоднорідної ділянки кола (рис. 10.4):
, (10.3.9)
, (10.3.10)
. (10.3.11)
Зведемо рівності (10.3.9) – (10.3.11) до спільного знаменника й додамо їх
І1
(R1
+r1
) + I2
(R2
+r2
) + I3
(R3
+r3
) = 1
+ 2
+ 3
,
або
, (10.3.12)
де - алгебраїчна сума всіх спадів напруг в замкнутому колі; - алгебраїчна сума електрорушійних сил в цьому колі.
Рівність (10.3.12) називається другим правилом Кірхгофа. Правила Кірхгофа значно полегшують розрахунки розгалужених кіл і широко використовуються в електротехнічних дисциплінах.
4. Закони Ома й Джоуля-Ленца в диференціальній формі. Густина електричного струму в провіднику
Розглянемо елемент провідника перерізом S і довжиною . Концентрація вільних електронів у такому провіднику дорівнює n (рис.10.5)

Рис.10.5
Нехай в такому елементі за допомогою сторонньої сили джерела створений струм І. Величина струму в провіднику буде дорівнювати:
, (10.4.1)
де - число зарядів у елементі провідника з об’ємом ; n – концентрація вільних електронів; qo
– елементарний електричний заряд; - середня швидкість направленого руху носіїв струму.
Розрахунки показують, що наближено кілька міліметрів за секунду. Це дуже мала швидкість. Швидкість хаотичного руху електронів у металевому провіднику при звичайних умовах має порядок 106
м/с.
Густину струму провідності в провіднику легко знайти, поділивши (10.4.1) на переріз провідника S
. (10.4.2)
Розрахунки показують, що у кабелі з двох жил перерізом 1 мм2
безпечним є струм, який не перевищує величини (12,5 15)А. Якщо цей струм, а також концентрацію вільних носіїв струму, яка для більшості провідників не перевищує 1029
м-3
, підставити у формулу (10.4.2), то одержимо значення швидкості направленого руху електронів. Ця швидкість буде дорівнювати лише кілька міліметрів за секунду. В процесі направленого руху носії струму більшість часу перебувають у вузлах кристалічної решітки.
Знайдемо середню швидкість направленого руху носіїв струму у провіднику, які рухаються під дією сторонніх сил джерела струму.
Будемо вважати, що між двома сусідніми взаємодіями з вузлами кристалічної решітки носії струму рухаються з прискоренням a. Нехай між двома сусідніми взаємодіями кожен з електронів вільно рухається протягом часу . Перед взаємодією швидкість електрона досягає максимального значення max
Вириваючись із вузла решітки швидкість електрона дорівнює нулю.
Тому середня швидкість направленого руху електрона між двома сусідніми взаємодіями буде дорівнювати
. (10.4.3)

Оскільки рух рівноприскорений, то
max
= a.
Прискорення руху носіїв струму простіше знаходити із 2-го закону Ньютона, тобто
qо
E = ma,
звідки
а = .
Тому
max
= , (10.4.4)
де qo
– елементарний заряд; Е – напруженість електричного поля у провіднику; - час вільного руху між двома взаємодіями; m – маса електрона.
Підставимо (10.4.4) у (10.4.3), одержимо
. (10.4.5)
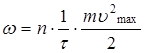
Значення середньої швидкості підставимо у формулу (10.4.2), одержимо закон Ома у диференціальній формі
, (10.4.6)
де n – концентрація вільних носіїв струму у провіднику; q0
– величина елементарного заряду; τ – час вільного руху носіїв струму між двома сусідніми взаємодіями; m- маса носія струму у провіднику (у більшості випадків це маса електрона).
Величину = називають питомою електропровідністю провідника.
Знайдемо енергію, яка переноситься вільними електричними зарядами у провіднику одиничного об’єму, за одиницю часу, тобто
, (10.4.7)
де - енергія, яка переноситься електронами одиниці об’єму провідника за одиницю часу.
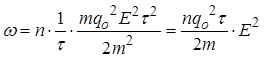
Оцінити цю енергію можна так. За одиницю часу кожен з електронів захоплюється вузлами кристалічної гратки разів, щоразу передаючи гратці кінетичну енергію . Оскільки в одиниці об’єму провідника міститься n вільних електронів, то енергія, яка переноситься всіма електронами одиниці об’єму провідника за одиницю часу буде дорівнювати
, (10.4.8)
де n – концентрація вільних електронів у провіднику; - число взаємодій кожного із електронів протягом 1с з вузлами кристалічної гратки провідника; - кінетична енергія, яка щоразу передається кожним із електронів в процесі взаємодії з вузлами кристалічної гратки.
Підставивши в (10.4.8) значення max
із (10.4.4), одержимо закон Джоуля-Ленца в диференціальній формі
, (10.4.9)
|