Реферат: Простые механизмы
|
Название: Простые механизмы Раздел: Рефераты по физике Тип: реферат | ||
Министерство образования и науки Украины Простые механизмы. КПД. Двигатель внутреннего сгорания. Движение жидкостей и газов по трубам. Закон Бернулли. Подъемная сила крыла самолета. Развитие авиации. Экологические аспекты развития авиации и космонавтики. Реферат по физике учеников 9-А класса ООШ №3 г. Бердянска Зюзина Виталия Сарабеева Евгения Бердянск 2008 «Простые механизмы, их применение»Когда римские войска осадили Сиракузы, 75-летний Архимед возглавил оборону родного города. Сконструированные им механизмы поразили воображение современников. Огромный урон, наносимый римским войскам «железными лапами» и метательными машинами Архимеда, привел, по словам Плутарха, к тому, что «римляне стали так трусливы, что если замечали, что над стеной движется кусок каната или бревно, то кричали: «Вот, вот оно!» — и, думая, что Архимед хочет направить на них какую-нибудь машину, ударялись в бегство». Несколько месяцев длилась осада Сиракуз, и лишь благодаря предателям, открывшим ворота, римляне наконец смогли ворваться в город. «Немало примеров гнусной злобы и гнусной алчности можно было бы припомнить,— пишет Тит Ливии (I в. до н. э.) о разграблении Сиракуз,— но самый знаменитый между ними — убийство Архимеда. Среди дикого смятения, под крики и топот озверевших солдат, Архимед спокойно размышлял, рассматривая начерченные на песке фигуры, и какой-то грабитель заколол его мечом, даже не подозревая, кто это». Еще с древних времен для облегчения своего труда человек использовал Механические устройства, служащие для преобразования величины или направления силы, называют простыми механизмами. К таким механизмам относятся не только рассмотренные нами рычаги и блоки, но и ряд других приспособлений (например, клин, винт, наклонная плоскость, ворот). Обычно их применяют для того, чтобы получить выигрыш в силе, например, клин, вбиваемый в полено, распирает его с большей силой, чем молотобоец бьет по клину. Кроме того, обратите внимание, что молот бьет по клину сверху вниз, а половинки полена раздвигаются влево и вправо, т.е. происходит преобразование направления движения. Простые механизмы делятся на 2 вида: рычаг и наклонная плоскость. Давайте вспомним, что мы узнали о рычаге и об одной его разновидности – блоке. Другой разновидностью рычага является ворот. Чаще всего его применяли для подъема воды из колодцев. Ворот представляет собой цилиндр (барабан), к которому прикреплена рукоятка. Выигрыш в силе, который дает ворот, определяется отношением радиуса окружности, по которой движется рукоятка r 1 , к радиусу цилиндра, на который наматывается веревка r 2 . Если к рукоятке приложена сила F 1 , то сила напряжения веревки равна:
Современным типом ворота является лебедка. Лебедка представляет собой сочетание цилиндра и двух зубчатых колес разного радиуса. Общий выигрыш в силе, который дает лебедка, определяется из совокупного действия 2-х воротов. Современные лебедки дают выигрыш в силе в 40-100 раз. Часто для подъема тяжелых тел используют еще один простой механизм - наклонную плоскость. наклонная плоскость. Выигрыш в силе определяется отношением длины наклонной плоскости к ее высоте, при условии, что трение очень мало. Часто для того, чтобы создать большие силы (колка дров, работа ледокола) применяют клин, как разновидность наклонной плоскости. Работа клина основана на том, что при больших силах в направлении обуха, создаются много большие силы, которые перпендикулярны боковым поверхностям клина. Приспособления, служащие для преобразования силы, называют простыми механизмами.
В большинстве случаев простые механизмы применяют для того, чтобы получить выигрыш в силе, то есть увеличить силу, действующую на тело, в несколько раз. Рассмотрим наиболее распространённый простой механизм - рычаг. Рычаг - твёрдое тело, которое может вращаться вокруг неподвижной опоры.Кратчайшее расстояние между точкой опоры и прямой, вдоль которой действует на рычаг сила, называется плечом силы. Чтобы найти плечо силы, надо из точки опоры опустить перпендикуляр на линию действия силы. Длина этого перпендикуляра и будет плечом данной силы.
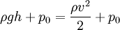
F1 , F2 - силы, действующие на рычаг. L1 L2 - плечи сил, действующих на рычаг. Рычаг находится в равновесии тогда, когда силы, действующие на него, обратно пропорциональны плечам этих сил. Это правило можно записать в виде формулы. F1 / F2 = L1 / L2 Правило равновесия рычага было установлено Архимедом. Из этого правила видно, что меньшей силой можно уравновесить при помощи рычага большую силу. Во сколько раз одно плечо больше второго, во столько раз силы приложенная к одному плечу больше силы, приложенной ко второму плечу. Простейший механизм — устройства, дающие выигрыш в силе. Представляют собой элементы более сложных механизмов. Некоторые из простейщих механизмов появились в глубокой древности. Принято выделять шесть простейших механизмов из которых четыре являются разновидностью двух основных: · Наклонная плоскость o Клин — позволяет увеличить давление за счет концентрации массы на малой площади. Используется в копье, лопате и пуле. o Винт — используется в шурупах, для подъема воды (Архимедов винт), в качестве сверла в дрелях и отбойных молотках. · Рычаг — описан Архимедом. Используется для подъема тяжестей, в качестве выключателей и спусковых крючков (Шатун-кривошип — используется в ткацком станке, паровой машине, двигателях внутреннего сгорания). o Ворот — используется для подъема воды в колодцах и для ременной передачи. o Блок · Колесо — используется в транспорте и в системе зубчатой передачи. Изобретено шумерами в III тыс. до н. э. · Поршень — позволяет использовать энергию расширяющихся нагретых газов или пара. Применяется в огнестрельном оружии и паровой машине Простые механизмы С древних времен для облегчения своего труда человек использует различные механизмы (греч. "механэ" - машина, орудие). Клин, вбиваемый в полено, действует на него сверху вниз. При этом он раздвигает образующиеся половинки влево и вправо. То есть клин изменяет направление действия силы. Кроме того, сила, с которой он раздвигает половинки бревна, гораздо больше силы, с которой молот воздействует на клин. Следовательно, клин изменяет и числовое значение приложенной силы. Клин - одна из разновидностей простого механизма под названием "наклонная плоскость". Ее применяют, чтобы получить выигрыш в силе, то есть при помощи меньшей силы противодействовать большей силе. Взгляните на рисунок. Вкатывая бочки по наклонной плоскости, пираты прикладывают меньшую силу, нежели если бы они поднимали бочки на веревках. Другими словами, силы, прикладываемые пиратами, меньше веса бочек. Второй разновидностью наклонной плоскости является винт. Взгляните на рисунок. Вы видите картонный треугольник, расположенный рядом с цилиндром (рис. "б"). Наклонной плоскостью служит ребро картона. Обернув треугольник вокруг цилиндра, мы получим винтовую наклонную плоскость (рис. "в"). Подобно клину, винт может изменять направление и/или числовое значение приложенной силы. Поворачивая рукоятку штопора по часовой стрелке, мы вызываем продвижение винта штопора вниз. Другими словами, происходит преобразование движения: вращательное движение штопора приводит к его поступательному движению. В физике приспособления для преобразования движения и силы называют механизмами. Большинство из них были изобретены еще до Нашей эры. Например, блоки, вороты, кабестаны, полиспасты издревле применялись при кораблестроении и мореплавании. Используемые человеком механизмы могут быть устроены очень сложно, однако для понимания их работы достаточно изучить так называемые простые механизмы - рычаг и наклонную плоскость. Коэффициент полезного действияКоэффициент полезного действия (КПД) — характеристика эффективности системы (устройства, машины) в отношении преобразования или передачи энергии; определяется отношением полезно использованной энергии к суммарному количеству энергии, полученному системой; обозначается обычно h = Wпол /Wcyм . В электрических двигателях КПД — отношение совершаемой (полезной) механической работы к электрической энергии, получаемой от источника. В тепловых двигателях — отношение полезной механической работы к затрачиваемому количеству теплоты. В электрических трансформаторах — отношение электромагнитной энергии, получаемой во вторичной обмотке, к энергии, потребляемой первичной обмоткой. Для вычисления КПД разные виды энергии и механическая работа выражаются в одинаковых единицах на основе механического эквивалента теплоты, и других аналогичных соотношений. В силу своей общности понятие КПД позволяет сравнивать и оценивать с единой точки зрения такие различные системы, как атомные реакторы, электрические генераторы и двигатели, теплоэнергетические установки, полупроводниковые приборы, биологические объекты и т. д. Из-за неизбежных потерь энергии на трение, на нагревание окружающих тел и т. п. КПД всегда меньше единицы. Соответственно этому КПД выражается в долях затрачиваемой энергии, то есть в виде правильной дроби или в процентах, и является безразмерной величиной. КПД тепловых электростанций достигает 35-40%, двигателей внутреннего сгорания с наддувом и предварительным охлаждением — 40-50% , динамомашин и генераторов большой мощности — 95%, трансформаторов — 98%. КПД процесса фотосинтеза составляет обычно 6-8%, у хлореллы он достигает 20-25%. У тепловых двигателей в силу второго начала термодинамики КПД имеется верхний предел, определяемый особенностями термодинамического цикла (кругового процесса), который совершает рабочее вещество. Наибольшим КПД обладает цикл Карно. Различают КПД отдельного элемента (ступени) машины или устройства и КПД, характеризующий всю цепь преобразований энергии в системе. КПД первого типа в соответствии с характером преобразования энергии может быть механическим, термическим и т. д. Ко второму типу относятся общий, экономический, технический и другие виды КПД. Общий КПД системы равен произведению частных КПД, или КПД ступеней. В технической литературе КПД иногда определяют таким образом, что он может оказаться больше единицы. Подобная ситуация возникает, если определять КПД отношением Wпол /Wзатр , где Wпол — используемая энергия, получаемая на «выходе» системы, Wзатр — не вся энергия, поступающая в систему, а лишь та её часть, для получения которой производятся реальные затраты. Например, при работе полупроводниковых термоэлектрических обогревателей (тепловых насосов) затрата электроэнергии меньше количества теплоты, выделяемой термоэлементом. Избыток энергии черпается из окружающей среды. При этом, хотя истинный КПД установки меньше единицы, рассмотренный КПД h=Wпол /Wзатр может оказаться больше единицы. Например, тепловой КПД кондиционеров в среднем равен 300-400%. Коэффициент полезного действия (кпд), характеристика эффективности системы (устройства, машины) в отношении преобразования или передачи энергии; определяется отношением полезно использованной энергии к суммарному количеству энергии, полученному системой; обозначается обычно = Wпол /Wcyм . В электрических двигателях кпд — отношение совершаемой (полезной) механической работы к электрической энергии, получаемой от источника; в тепловых двигателях — отношение полезной механической работы к затрачиваемому количеству теплоты; в электрических трансформаторах — отношение электромагнитной энергии, получаемой во вторичной обмотке, к энергии, потребляемой первичной обмоткой. Для вычисления кпд разные виды энергии и механическая работа выражаются в одинаковых единицах на основе механического эквивалента теплоты , и др. аналогичных соотношений. В силу своей общности понятие кпд позволяет сравнивать и оценивать с единой точки зрения такие различные системы, как атомные реакторы, электрические генераторы и двигатели, теплоэнергетические установки, полупроводниковые приборы, биологические объекты и т. д. Из-за неизбежных потерь энергии на трение, на нагревание окружающих тел и т. п. кпд всегда меньше единицы. Соответственно этому кпд выражается в долях затрачиваемой энергии, т. е. в виде правильной дроби или в процентах, и является безразмерной величиной . Кпд тепловых электростанций достигает 35—40%, двигателей внутреннего сгорания — 40—50%, динамомашин и генераторов большой мощности—95%, трансформаторов—98%. Кпд процесса фотосинтеза составляет обычно 6—8%, у хлореллы он достигает 20—25%. У тепловых двигателей в силу второго начала термодинамики кпд имеет верхний предел, определяемый особенностями термодинамического цикла (кругового процесса ), который совершает рабочее вещество. Наибольшим кпд обладает Карно цикл . Различают кпд отдельного элемента (ступени) машины или устройства и кпд, характеризующий всю цепь преобразований энергии в системе. Кпд первого типа в соответствии с характером преобразования энергии может быть механическим, термическим и т. д. Ко второму типу относятся общий, экономический, технический и др. виды кпд. Общий кпд системы равен произведению частных кпд, или кпд ступеней. В технической литературе кпд иногда определяют т. о., что он может оказаться больше единицы. Подобная ситуация возникает, если определять кпд отношением Wпол /Wзатр , где Wпол — используемая энергия, получаемая на «выходе» системы, Wзатр — не вся энергия, поступающая в систему, а лишь та её часть, для получения которой производятся реальные затраты. Например, при работе полупроводниковых термоэлектрических обогревателей (тепловых насосов ) затрата электроэнергии меньше количества теплоты, выделяемой термоэлементом. Избыток энергии черпается из окружающей среды. При этом, хотя истинный кпд установки меньше единицы, рассмотренный кпд = Wпол /Wзатр может оказаться больше единицы. Двигатель внутреннего сгорания, тепловой двигатель , в котором химическая энергия топлива, сгорающего в рабочей полости, преобразуется в механическую работу. Первый практически пригодный газовый Д. в. с. был сконструирован французским механиком Э. Ленуаром (1860). В 1876 немецкий изобретатель Н. Отто построил более совершенный 4-тактный газовый Д. в. с. По сравнению с паромашинной установкой Д. в. с. принципиально более прост, т. к. устранено одно звено энергетического преобразования — парокотельный агрегат. Это усовершенствование обусловило большую компактность Д. в. с., меньшую массу на единицу мощности, более высокую экономичность, но для него потребовалось топливо лучшего качества (газ, нефть). В 1880-х гг. О. С. Костович в России построил первый бензиновый карбюраторный двигатель. В 1897 нем. инженер Р. Дизель , работая над повышением эффективности Д. в. с., предложил двигатель с воспламенением от сжатия. Усовершенствование этого Д. в. с. на заводе Л. Нобеля в Петербурге (ныне «Русский дизель») в 1898—99 позволило применить в качестве топлива нефть. В результате этого Д. в. с. становится наиболее экономичным стационарным тепловым двигателем. В 1901 в США был разработан первый трактор с Д. в. с. Дальнейшее развитие автомобильных Д. в. с. позволило братьям О. и У. Райт построить первый самолёт с Д. в. с., начавший свои полёты в 1903. В том же 1903 рус. инженеры установили Д. в. с. на судне «Вандал», создав первый теплоход. В 1924 по проекту Я. М. Гаккеля в Ленинграде был создан первый удовлетворяющий практическим требованиям поездной тепловоз. По роду топлива Д. в. с. разделяются на двигатели жидкого топлива и газовые. По способу заполнения цилиндра свежим зарядом — на 4-тактные и 2-тактные. По способу приготовления горючей смеси из топлива и воздуха — на двигатели с внешним и внутренним смесеобразованием. К двигателям с внешним смесеобразованием относятся карбюраторные, в которых горючая смесь из жидкого топлива и воздуха образуется в карбюраторе , и газосмесительные, в которых горючая смесь из газа и воздуха образуется в смесителе. В Д. в. с. с внешним смесеобразованием зажигание рабочей смеси в цилиндре производится электрической искрой. В двигателях с внутренним смесеобразованием (дизелях )топливо самовоспламеняется при впрыскивании его в сжатый воздух, нагретый до высокой температуры. Рабочий цикл 4-тактного карбюраторного Д. в. с. совершается за 4 хода поршня (такта), т. е. за 2 оборота коленчатого вала. При 1-м такте — впуске поршень движется от верхней мёртвой точки (в. м. т.) к нижней мёртвой точке (н. м. т.). Впускной клапан при этом открыт (рис. 1 ) и горючая смесь из карбюратора поступает в цилиндр. В течение 2-го такта — сжатия, когда поршень движется от н. м. т. кв. м. т., впускной и выпускной клапаны закрыты и смесь сжимается до давления 0,8—2 Мн/м2 (8—20 кгс/см2 ). Температура смеси в конце сжатия составляет 200—400°C. В конце сжатия смесь воспламеняется электрической искрой и происходит сгорание топлива. Сгорание имеет место при положении поршня, близком кв. м. т. В конце сгорания давление в цилиндре составляет 3—6 Мн/м2 (30—60 кгс/1см2 ), а температура 1600—2200°C. 3-й такт цикла — расширение называется рабочим ходом; в течение этого такта происходит преобразование тепла, полученного от сгорания топлива, в механическую работу. 4-й такт — выпуск происходит при движении поршня от н. м. т. к в. м. т. при открытом выпускном клапане. Отработавшие газы вытесняются поршнем. Рабочий цикл 2- тактного карбюраторного Д. в. с. осуществляется за 2 хода поршня или за 1 оборот коленчатого вала (рис. 2 ). Процессы сжатия, сгорания и расширения практически аналогичны соответствующим процессам 4-тактного Д. в. с. При прочих равных условиях 2-тактный двигатель должен быть в 2 раза более мощным, чем 4-тактный, т. к. рабочий ход в 2-тактном двигателе происходит в 2 раза чаще, однако на практике мощность 2-тактного карбюраторного Д. в. с. часто не только не превышает мощность 4-тактного с тем же диаметром цилиндра и ходом поршня, но оказывается даже ниже. Это обусловлено тем, что значительная часть хода (20—35% ) поршень совершает при открытых окнах, когда давление в цилиндре невелико и двигатель практически не производит работы; продувка цилиндра требует затрат мощности на сжатие воздуха в продувочном насосе; очистка пространства цилиндра от продуктов сгорания газов и наполнение его свежим зарядом значительно хуже, чем в 4-тактном Д. в. с. Рабочий цикл карбюраторного Д. в. с. может быть осуществлен при очень большой частоте вращения вала (3000—7000 об/мин ). Двигатели гоночных автомобилей и мотоциклов могут развивать 15 000 об/мин и более. Нормальная горючая смесь состоит примерно из 15 частей воздуха (по массе) и 1 части паров бензина. Двигатель может работать на обеднённой смеси (18 : 1) или обогащенной смеси (12 : 1). Слишком богатая или слишком бедная смесь вызывает сильное уменьшение скорости сгорания и не может обеспечить нормального протекания процесса сгорания. Регулирование мощности карбюраторного Д. в. с. осуществляется изменением количества смеси, подаваемой в цилиндр (количественное регулирование). Большая частота вращения и выгодные соотношения топлива и воздуха в смеси обеспечивают получение большой мощности в единице объёма цилиндра карбюраторного двигателя, поэтому эти двигатели имеют сравнительно небольшие габариты и массу [ 1—4 кг/квт ( 0,75—3 кг/л. с.)]. Применение низких степеней сжатия обусловливает умеренные давления в конце сгорания, вследствие чего детали можно делать менее массивными, чем, например, в дизелях. При увеличении диаметра цилиндра кароюраторного Д. в. с. возрастает склонность двигателя к детонации , поэтому карбюраторные Д. в. с. не делают с большими диаметрами цилиндров (как правило, не более 150 мм ). Примером карбюраторного Д. в. с. может служить двигатель ГАЗ-21 «Волга». Это 4-цилиндровый 4-тактный двигатель, развивающий мощность 55 квт (75 л . с. )при 4000 об/мин и степени сжатия 6,7. Удельный расход топлива на наиболее экономичном режиме составляет 290 г ; (квт. ч ). Наибольшая мощность 4-тактного карбюраторного Д. в. с. 600 квт (800 л. с.). Мотоциклетные карбюраторные 2-тактные и 4-тактные Д. в. с. имеют мощность от 3,5 до 45 квт (от 5 до 60 л. с.). Авиационные поршневые двигатели с непосредственным впрыском бензина и искровым зажиганием развивают до 1100 квт (1500 л. с.) и более. Карбюраторные Д. в. с. представляют собой сложный агрегат, включающий ряд узлов и систем. Остов двигателя — группа неподвижных деталей, являющихся базой для всех остальных механизмов и систем. К остову относятся блок-картер, головка (головки) цилиндров, крышки подшипников коленчатого вала, передняя и задняя крышки блок-картера, а также масляный поддон и ряд мелких деталей. Механизм движения — группа движущихся деталей, воспринимающих давление газов в цилиндрах и преобразующих это давление в крутящий момент на коленчатом валу двигателя. Механизм движения включает в себя поршневую группу (поршни, шатуны, коленчатый вал и маховик). Механизм газораспределения служит для своевременного впуска горючей смеси в цилиндры и выпуска отработавших газов. Эти функции выполняют кулачковый (распределительный) вал, приводимый в движение от коленчатого вала, а также толкатели, штанги и коромысла, открывающие клапаны. Клапаны закрываются клапанными пружинами. Система смазки — система агрегатов и каналов, подводящих смазку к трущимся поверхностям. Масло, находящееся в масляном поддоне, подаётся насосом в фильтр грубой очистки и далее через главный масляный канал в блок-картере под давлением поступает к подшипникам коленчатого и кулачкового валов, к шестерням и деталям механизма газораспределения. Смазка цилиндров, толкателей и других деталей производится масляным туманом, образующимся при разбрызгивании масла, вытекающего из зазоров в подшипниках вращающихся деталей. Часть масла отводится по параллельным каналам в фильтр тонкой очистки, откуда сливается обратно в поддон. Система охлаждения может быть жидкостной и воздушной. Жидкостная система состоит из рубашек цилиндров и головок, заполненных охлаждающей жидкостью (водой, антифризом и т. п.), насоса, радиатора, в котором жидкость охлаждается потоком воздуха, создаваемым вентилятором, и устройств, регулирующих температуру воды. Воздушное охлаждение осуществляется обдувом цилиндров и головок вентилятором или потоком воздуха (на мотоциклах). Система питания осуществляет приготовление горючей смеси из топлива и воздуха в пропорции, соответствующей режиму работы, и в количестве, зависящем от мощности двигателя. Система состоит из топливного бака, топливоподкачивающего насоса, топливного фильтра, трубопроводов и карбюратора, являющегося основным узлом системы. Система зажигания служит для образования в камере сгорания искры, воспламеняюшей рабочую смесь. В систему зажигания входят источники тока — генератор и аккумулятор, а также прерыватель, от которого зависит момент подачи искры. В систему включается распределитель тока высокого напряжения по соответствующим цилиндрам. В одном агрегате с прерывателем находятся конденсатор, улучшающий работу прерывателя, и катушка зажигания, с которой снимается высокое напряжение (12—20 кв ). В то время, когда Д. в. с. не имели электрического зажигания, применялись запальные калоризаторы. Система пуска состоит из электрического стартёра, шестерён передачи от стартёра к маховику, источника тока (аккумулятора) и элементов дистанционного управления. В функции системы входит вращение вала двигателя для пуска. Система впуска и выпуска состоит из трубопроводов, воздушного фильтра на впуске и глушителя шума на выпуске. Газовые Д. в. с. работают большей частью па природном газе и газах, получаемых при производстве жидкого топлива. Кроме того, могут быть использованы: газ, генерируемый в результате неполного сгорания твёрдого топлива, металлургические газы, канализационные газы и пр. Применяются как 4-тактные, так и 2-тактныс газовые Д. в. с. По принципу смесеобразования и воспламенения газовые двигатели разделяются на: Д. в. с. с внешним смесеобразованием и искровым зажиганием, в которых рабочий процесс аналогичен процессу карбюраторного двигателя; Д. в. с. с внешним смесеобразованием и зажиганием струей жидкого топлива, воспламеняющегося от сжатия; Д. в. с. с внутренним смесеобразованием и искровым зажиганием. Газовые двигатели, использующие природные газы, применяются на стационарных электростанциях, компрессорных газоперекачивающих установках и т. п. Сжиженные бутано-пропановые смеси используются для автомобильного транспорта (см. Газобаллонный автомобиль ). Экономичность работы Д. в. с. характеризуется эффективным кпд, который представляет собой отношение полезной работы к количеству тепла, выделяемого при полном сгорании топлива, затраченного на получение этой работы. Максимальный эффективный кпд наиболее совершенных Д. в. с. около 44%. Основным преимуществом Д. в. с., так же как и др. тепловых двигателей (например, реактивных двигателей ), перед двигателями гидравлическими и электрическими является независимость от постоянных источников энергии (водных ресурсов, электростанций и т. п.), в связи с чем установки, оборудованные Д. в. с., могут свободно перемещаться и располагаться в любом месте. Это обусловило широкое применение Д. в. с. на транспортных средствах (автомобилях, с.-х. и строительно-дорожных машинах, самоходной военной технике и т. п.). Совершенствование Д. в. с. идёт по пути повышения их мощности, надёжности и долговечности, уменьшения массы и габаритов, создания новых конструкций (см., например, Ванкеля двигатель ). Можно наметить также такие тенденции в развитии Д. в. с., как постепенное замещение карбюраторных Д. в. с. дизелями на автомобильном транспорте, применение многотопливных двигателей , увеличение частоты вращения и др. Двигатель внутреннего сгорания (ДВС) Один из самых распространенных двигателей — двигатель внутреннего сгорания (ДВС). Его устанавливают на автомобили, корабли, тракторы, моторные лодки и т. д., во всем мире насчитываются сотни миллионов таких двигателей. Существует два типа двигателей внутреннего сгорания — бензиновые и дизели. Бензиновые двигатели внутреннего сгорания работают на жидком топливе (бензине, керосине и т. п.) или на горючем газе (сохраняемом в сжатом виде в стальных баллонах или добываемом сухой перегонкой из дерева). Проектируют двигатели, где горючим будет водород. Основная часть ДВС — один или несколько цилиндров, внутри которых происходит сжигание топлива. Отсюда и название двигателя. Внутри цилиндра скользит поршень — металлический стакан, опоясанный пружинящими кольцами (поршневые кольца), вложенными в канавки на поршне. Поршневые кольца не пропускают газов, образующихся при сгорании топлива, в промежутки между поршнем и стенками цилиндра. Поршень снабжен металлическим стержнем — пальцем, он соединяет поршень с шатуном. Шатун передает движения поршня коленчатому валу (см. рис.). Верхняя часть цилиндра сообщается с двумя каналами, закрытыми клапанами. Через один из каналов — впускной подается горючая смесь, через другой — выпускной удаляются продукты сгорания. В верхней части цилиндра помещается свеча — приспособление для зажигания горючей смеси посредством электрической искры. Наибольшее распространение в технике получил четырехтактный двигатель. Рассмотрим его работу. 1-й такт — впуск (всасывание). Открывается впускной клапан. Поршень, двигаясь вниз, засасывает в цилиндр горючую смесь. 2-й такт — сжатие. Впускной клапан закрывается. Поршень, двигаясь вверх, сжимает горючую смесь, при сжатии она нагревается. 3-й такт — рабочий ход. Поршень достигает верхнего положения. Смесь поджигается электрической искрой свечи. Сила давления газов — раскаленных продуктов горения — толкает поршень вниз. Движение поршня передается коленчатому валу, вал поворачивается, производится тем самым полезная работа. Производя работу и расширяясь, продукты сгорания охлаждаются, давление в цилиндре падает почти до атмосферного. 4-й такт — выпуск (выхлоп). Открывается выпускной клапан, отработанные продукты сгорания выбрасываются через глушитель в атмосферу. Из 4 тактов двигателя только один, третий — рабочий. Поэтому двигатель снабжают маховиком, инерционным двигателем, запасающим энергию, за счет которой коленчатый вал (см. Валы и оси машин) вращается в течение остальных тактов. Отметим, что одноцилиндровые двигатели устанавливают главным образом на мотоциклах. На автомобилях, тракторах и т. п. для более равномерной работы ставят 4,6,8 и более цилиндров на общем валу. Двигатели с цилиндрами, установленными в виде звезды вокруг одного вала, получили название звездообразных. Мощность звездообразных двигателей достигает 4 МВт. Используют их главным образом в авиации. Дизель — другой тип двигателя внутреннего сгорания. В отличие от бензинового воспламенение в его цилиндрах происходит при впрыскивании топлива в воздух, предварительно сжатый поршнем и, следовательно, нагретый до высокой температуры. Этот двигатель назвали по имени немецкого инженера Р. Дизеля, построившего в 1897 г. первый двигатель с воспламенением от сжатия — в этом и заключается его отличие от бензинового двигателя внутреннего сгорания, использующего особое устройство для воспламенения топлива. Конструктивно дизель мало чем отличается от бензинового двигателя внутреннего сгорания. На рисунке видно, что у него есть цилиндр, поршень, клапаны. Да и принцип действия дизеля такой же. Но есть и отличия: в головке цилиндра находится топливный клапан — форсунка. Назначение ее — в определенные фазы вращения коленчатого вала впрыскивать топливо в цилиндр. Клапаны, топливный насос, питающий форсунку, получают движение от распределительного вала, который, в свою очередь, приводится в движение от коленчатого вала двигателя. Пусть начальным положением поршня будет верхняя мертвая точка. При движении поршня вниз (первый такт) открывается впускной клапан, через который в цилиндр засасывается воздух. Впускной клапан при обратном ходе поршня закрывается и в продолжение всего второго такта остается закрытым. В цилиндре дизеля происходит сжатие воздуха (в бензиновом двигателе внутреннего сгорания на этой фазе сжимается горючая смесь). Степень сжатия в дизелях в 2—2,5 раза больше, вследствие чего температура воздуха в конце сжатия поднимается до температуры, достаточной для воспламенения топлива. В момент подхода поршня в верхнюю мертвую точку начинается подача топлива в цилиндр из форсунки. Попадая в горячий воздух, мелкораспыленное топливо самовозгорается. Сгорание топлива (в третьем такте) происходит не сразу, как в бензиновых двигателях внутреннего сгорания, г постепенно, в продолжение некоторой части хода поршня вниз; объем пространства в цилиндре, где топливо сгорает, увеличивается. Поэтому давление газов во время работы форсунки остается постоянным. Когда поршень возвращается в нижнюю мертвую точку, открывается выпускной клапан 8 давление газов сразу падает, после чего заканчивается четвертый такт, поршень возвращается в верхнюю мертвую точку. Цикл далее повторяется. Дизель экономичнее бензинового двигателя внутреннего сгорания, он работает на дешевых видах топлива. Дизель относится к наиболее экономичным тепловым двигателям; tro кпд достигает 44%. Сконструированы и построены двигатели мощностью до 30 000 кВт. Дизели используются главным образом в качестве главных и вспомогательных судовых двигателей, на передвижных электростанциях, на тепловозах, тракторах, грузовиках. Будете ли вы трактористом, машинистом, шофером или просто автолюбителем, вы обязательно познакомитесь с работой двигателей внутреннего сгорания. Но уже более детально. ДВИГАТЕЛИ ВНУТРЕННЕГО СГОРАНИЯВ настоящее время существует большое количество устройств, использующих тепловое расширение газов. К таким устройствам относится карбюраторный двигатель, дизели, турбореактивные двигатели и т.д. Тепловые двигатели могут быть разделены на две основные группы. 1. Двигатели с внешним сгоранием - паровые машины, паровые турбины, двигатели Стирлинга и т.д. 2. Двигатели внутреннего сгорания. В качестве энергетических установок автомобилей наибольшее распространение получили двигатели внутреннего сгорания, в которых процесс сгорания топлива с выделением теплоты и превращением ее в механическую работу происходит непосредственно в цилиндрах. На большинстве современных автомобилей установлены двигатели внутреннего сгорания. Наиболее экономичными являются поршневые и комбинированные двигатели внутреннего сгорания. Они имеют достаточно большой срок службы, сравнительно небольшие габаритные размеры и массу. Основным недостатком этих двигателей следует считать возвратно-поступательное движение поршня, связанное с наличием криво шатунного механизма, усложняющего конструкцию и ограничивающего возможность повышения частоты вращения, особенно при значительных размерах двигателя. А теперь немного о первых ДВС. Первый двигатель внутреннего сгорания (ДВС) был создан в 1860 г. французским инженером Этвеном Ленуаром, но эта машина была еще весьма несовершенной. В 1862 г. французский изобретатель Бо де Роша предложил использовать в двигателе внутреннего сгорания четырехтактный цикл: 1)всасывание; 2) сжатие; 3) горение и расширение; 4) выхлоп. Эта идея была использована немецким изобретателем Н.Отто, построившим в 1878 г. первый четырехтактный двигатель внутреннего сгорания. КПД такого двигателя достигал 22%, что превосходило значения, полученные при использовании двигателей всех предшествующих типов. Быстрое распространение ДВС в промышленности, на транспорте, в сельском хозяйстве и стационарной энергетике была обусловлена рядом их положительных особенностей. Осуществление рабочего цикла ДВС в одном цилиндре с малыми потерями значительным перепадом температур между источником теплоты и холодильником обеспечивает высокую экономичность этих двигателей. Высокая экономичность - одно из положительных качеств ДВС. Среди ДВС дизель в настоящее время является таким двигателем, который преобразует химическую энергию топлива в механическую работу с наиболее высоким КПД в широком диапазоне изменения мощности. Это качество дизелей особенно важно, если учесть, что запасы нефтяных топлив ограничены. К положительным особенностям ДВС стоит отнести также то, что они могут быть соединены практически с любым потребителем энергии. Это объясняется широкими возможностями получения соответствующих характеристик изменения мощности и крутящего момента этих двигателей. Рассматриваемые двигатели успешно используются на автомобилях тракторах, сельскохозяйственных машинах, тепловозах, судах ,электростанциях и т.д., т.е. ДВС отличаются хорошей приспособляемостью к потребителю. Сравнительно невысокая начальная стоимость, компактность и малая масса ДВС позволили широко использовать их на силовых установках, находящих широкое применение и имеющих небольшие размеров моторного отделения. Установки с ДВС обладают большой автономностью. Даже самолеты с ДВС могут летать десятки часов без пополнения горючего. Важным положительным качеством ДВС является возможность их быстрого пуска в обычных условиях. Двигатели, работающие при низких температурах, снабжаются специальными устройствами для облегчения и ускорения пуска. После пуска двигатели сравнительно быстро могут принимать полную нагрузку. ДВС обладают значительным тормозным моментом, что очень важно при использовании их на транспортных установках. Положительным качеством дизелей является способность одного двигателя работать на многих топливах. Так известны конструкции автомобильных многотопливных двигателей, а также судовых двигателей большой мощности, которые работают на различных топливах – от дизельного до котельного мазута. Но наряду с положительными качествами ДВС обладают рядом недостатков. Среди них ограниченное по сравнению, например с паровыми и газовыми турбинами агрегатная мощность. Высокий уровень шума, относительно большая частота вращения коленчатого вала при пуске и невозможность непосредственного соединения его с ведущими колесами потребителя, Токсичность выхлопных газов, возвратно-поступательное движение поршня, ограничивающие частоту вращения и являющиеся причиной появлений не уравновешенных сил инерции и моментов от них. Но невозможно было бы создание двигателей внутреннего сгорания, их развития и применения, если бы не эффект теплового расширения. Ведь в процессе теплового расширения нагретые до высокой температуры газы совершают полезную работу. Вследствие быстрого сгорания смеси в цилиндре двигателя внутреннего сгорания, резко повышается давление, под воздействием которого происходит перемещение поршня в цилиндре. А это-то и есть та самая нужная технологическая функция, т.е. силовое воздействие, создание больших давлений, которую выполняет тепловое расширение, и ради которой это явление применяют в различных технологиях и в частности в ДВС. Именно этому явлению я хочу уделить внимание в следующей главе. ПОРШНЕВЫЕ ДВИГАТЕЛИ ВНУТРЕННЕГО СГОРАНИЯКак было выше сказано, тепловое расширение применяется в ДВС. Но каким образом оно применяется и какую функцию выполняет мы рассмотрим на примере работы поршневого ДВС. Двигателем называется энергосиловая машина, преобразующая какую-либо энергию в механическую работу. Двигатели, в которых механическая работа создается в результате преобразования тепловой энергии, называются тепловыми. Тепловая энергия получается при сжигании какого-либо топлива. Тепловой двигатель, в котором часть химической энергии топлива, сгорающего в рабочей полости, преобразуется в механическую энергию, называется поршневым двигателем внутреннего сгорания. (Советский энциклопедический словарь) Бернулли уравнение, основное уравнение гидродинамики , связывающее (для установившегося течения) скорость текущей жидкости v, давление в ней р и высоту h расположения малого объёма жидкости над плоскостью отсчёта. Б. у. было выведено Д. Бернулли в 1738 для струйки идеальной несжимаемой жидкости постоянной плотности , находящейся под действием только сил тяжести. В этом случае Б. у. имеет вид: v2 / 2 + pl + gh = const, где g — ускорение силы тяжести. Если это уравнение умножить на , то 1-й член будет представлять собой кинетическую энергию единицы объёма жидкости, а др. 2 члена — его потенциальную энергию, часть которой обусловлена силой тяжести (последний член уравнения), а др. часть — давлением p. Б. у. в такой форме выражает закон сохранения энергии. Если вдоль струйки жидкости энергия одного вида, например кинетическая, увеличивается, то потенциальная энергия на столько же уменьшается. Поэтому, например, при сужении потока, текущего по трубопроводу, когда скорость потока увеличивается (т.к. через меньшее сечение за то же время проходит такое же количество жидкости, как и через большее сечение), давление соответственно в нём уменьшается (на этом основан принцип работы расходомера Вентури). Из Б. у. вытекает ряд важных следствий. Например, при истечении жидкости из открытого сосуда под действием силы тяжести (рис. 1 ) из Б. у. следует: v2 /2g = h или
т. е. скорость жидкости в выходном отверстии такова же, как при свободном падении частиц жидкости с высоты h. Если равномерный поток жидкости, скорость которого v0 и давление p0 , встречает на своём пути препятствие (рис. 2 ), то непосредственно перед препятствием происходит подпор — замедление потока; в центре области подпора, в критической точке, скорость потока равна нулю. Из Б. у. следует, что давление в критической точке p 1 = p 0 + v 2 0 /2. Приращение давления в этой точке, равное p 1 - p 0 = v 2 0 /2, называется динамическим давлением, или скоростным напором. В струйке реальной жидкости её механическая энергия не сохраняется вдоль потока, а расходуется на работу сил трения и рассеивается в виде тепловой энергии, поэтому при применении Б. у. к реальной жидкости необходимо учитывать потери на сопротивление. Б. у. имеет большое значение в гидравлике и технической гидродинамике: оно используется при расчётах трубопроводов, насосов, при решении вопросов, связанных с фильтрацией, и т.д. Бернулли уравнение для среды с переменной плотностью р вместе с уравнением неизменяемости массы и уравнением состояния является основой газовой динамики . Движение жидкости по трубам. Зависимость давления жидкости от скорости ее теченияСтационарное течение жидкости. Уравнение неразрывности Рассмотрим случай, когда невязкая жидкость течет по горизонтальной цилиндрической трубе с изменяющимся поперечным сечением. Течение жидкости называют стационарным , если в каждой точке пространства, занимаемого жидкостью, ее скорость с течением времени не изменяется. При стационарном течении через любое поперечное сечение трубы за равные промежутки времени переносятся одинаковые объемы жидкости. Жидкости практически несжимаемы , т. е. можно считать, что данная масса жидкости всегда имеет неизменный объем. Поэтому одинаковость объемов жидкости, проходящих через разные сечения трубы, означает, что скорость течения жидкости зависит от сечения трубы. Пусть скорости стационарного течения жидкости через сечения трубы S1 и S2 равны соответственно v1 и v2 . Объем жидкости, протекающей за промежуток времени t через сечение S1 , равен V1 =S1 v1 t, а объем жидкости, протекающей за то же время через сечение S2, равен V2 =S2 v2 t. Из равенства V1 =V2 следует, что S1 V1 =S2 V2 . (5.10) Соотношение (5.10) называют уравнением неразрывности . Из него следует, что v1 /v2 =S2 /S1 . Следовательно, при стационарном течении жидкости скорости движения ее частиц через разные поперечные сечения трубы обратно пропорциональны площадям этих сечений. Давление в движущейся жидкости. Закон Бернулли Увеличение скорости течения жидкости при переходе из участка трубы с большей площадью поперечного сечения в участок трубы с меньшей площадью поперечного сечения означает, что жидкость движется с ускорением. Согласно второму закону Ньютона, причиной ускорения является сила. Этой силой в данном случае является разность сил давления, действующих на текущую жидкость в широкой и узкой частях трубы. Следовательно, б широкой части трубы давление жидкости должно быть больше, чем в узкой. Это можно непосредственно наблюдать на опыте. На рис. показано, что на участках разного поперечного сечения S1 и S2 в трубу, по которой течет жидкость, вставлены манометрические трубки. Как показывают наблюдения, уровень жидкости в манометрической трубке у сечения S1 трубы выше, чем у сечения S2 . Следовательно, давление в жидкости, протекающей через сечение с большей площадью S1 , выше, чем давление в жидкости, протекающей через сечение с меньшей площадью S2 . Следовательно, при стационарном течении жидкости в тех местах, где скорость течения меньше, давление в жидкости больше и, наоборот, там, где скорость течения больше, давление в жидкости меньше. К этому выводу впервые пришел Бернулли, поэтому данный закон называется законом Бернулли. Закон Бернулли является следствием закона сохранения энергии для стационарного потока идеальной (то есть без внутреннего трения) несжимаемой жидкости:
Здесь ρ — плотность жидкости, v — скорость потока, h — высота, на которой находится рассматриваемый элемент жидкости, p — давление. Константа в правой части обычно называется напором , или полным давлением. Размерность всех слагаемых - единица энергии, приходящейся на единицу объёма жидкости. Это соотношение называют уравнением Бернулли . Величина в левой части имеет отношение к интегралу Бернулли. Для горизонтальной трубы h
= const
и уравнение Бернулли принимает вид
Согласно закону Бернулли полное давление в установившемся потоке жидкости остается постоянным вдоль этого потока. Полное давление состоит из весового, статического и динамического давления. Из закона Бернулли следует, что при уменьшении сечения потока, из-за возрастания скорости, то есть динамического давления, статическое давление падает. Закон Бернулли справедлив и для ламинарных потоков газа. Явление понижения давления при увеличении скорости потока лежит в основе работы различного рода расходомеров, водо- и пароструйных насосов. Закон Бернулли справедлив в чистом виде только для жидкостей, вязкость которых равна нулю, то есть таких жидкостей, которые не прилипают к поверхности трубы. На самом деле экспериментально установлено, что скорость жидкости на поверхности твердого тела всегда в точности равна нулю. Закон Бернулли можно применить к истечению идеальной несжимаемой жидкости через малое отверстие в боковой стенке или дне широкого сосуда. Согласно закону Бернулли приравняем полные давления на верхней поверхности жидкости и на выходе из отверстия:
где p 0 — атмосферное давление, h — высота столба жидкости в сосуде, v — скорость истечения жидкости. Отсюда: Глайдирующий летательный аппаратМы уже указали, какие четыре силы действуют на моторный самолет в процессе устойчивого горизонтального полета: его вес тянет вниз, равная противоположная подъемная сила крыльев поддерживает его, вперед толкает мотор, назад тянет равное сопротивление воздуха. Но что же есть такое на земле, а вернее в воздухе, что толкает вперед глайдер? Это часть или компонента веса летательного аппарата, т. е. та же сила, которая заставляет шарик скатываться по наклонной поверхности. Еще одно отступление: Расчет сил: Нам уже известно, что две одинаковых силы, действующие в противоположном направлении (подъемная сила и вес, тяга двигателя и сопротивление воздуха в случае с самолетом), уравновешивают друг друга, оставляя тело в состоянии покоя или равномерного движения с постоянной скоростью в заданном направлении.
Когда мы имеем дело с неравными силами, действующими в противоположном направлении, все по-прежнему просто: мы вычитаем из более длинной стрелки длину короткой и остаемся с результирующей силой, которая по величине меньше: < Но что если две неравных силы действуют под углом? Есть совершенно простой путь нахождения результирующей, который выглядит следующим образом: Сначала мы рисуем две наших силы, обозначенные через F1 и F2, из точки 0. Затем из конца F1 рисуем вспомогательную линию, параллельную F2 , а из конца F2 — другую, параллельную F1. Теперь из точки 0 проводим линию в точку пересечения двух вспомогательных прямых. Вот это и есть наша результирующая сила:
Шарик имеет определенный вес, который тянет его вниз. Если бы он был на плоском столе, он оставался бы на месте, оказывая давление на точку прямо под собственным центром тяжести, и никуда бы не катился. На Будем считать вес (стрелка W) результирующей силой. Тогда рисуем эту силу из центра шарика вертикально вниз в масштабе, отражающем истинный вес. Нам уже известны направления двух сил, которые мы ищем: первое, отвечающее за давление на наклонную плоскость, проходит через точку контакта с ней, а второе — скатывающее шарик — параллельно наклону плоскости. Теперь из конца силы веса проводим две прямых параллельно двум силам, направления которых мы только что отметили, и эти прямые отсекут по длине от указанных направлений две величины, определяющие силу скатывания к давления на плоскость. Проделаем теперь то же самое с планером, который, хотя и "скользит вниз" по тонкому воздуху вместо жесткой поверхности, однако, подчиняется тем же правилам. Вес планера действует в направлении прямо вниз. Разлагая его на две компоненты, одна из которых противоположна подъемной силе крыла, а вторая тянет вперед в направлении планирования, мы приходим к балансу всех сил. (В случае, если вас интересует, откуда взялась энергия, заменяющая работу двигателя самолета, ответ прост: вы сами запасли ее, взбираясь или (В хорошую погоду есть возможности и средства подняться гораздо выше, чем точка взлета, и оставаться там часами — одно их самых больших удовольствий этого спорта, но там вы используете силу входящих потоков воздуха. Это больше подходит под определение "парения", а не "глайдирования", и мы рассмотрим эти возможности позже в этой книжке). Угол атакиМы видели, что, когда наше крыло или надутый купол параглайдера планирует вперед, поток воздуха создает разницу давлений под крылом и над ним, в результате чего появляется подъемная сила, поддерживающая нас, кроме того, создается меньшая сила сопротивления, которую необходимо преодолеть "тянущей" компонентой нашего веса. В предыдущих иллюстрациях мы рисовали поток воздуха под крылом параллельно его плоскому днищу, как на рисунке выше. Угол между этой плоской нижней поверхностью крыла и потоком воздуха, с которым оно встречается, называется УГЛОМ АТАКИ. (Это не совсем верно для всех профилей, но мы примем, что это так для того, чтобы упростить наши иллюстрации). Когда нижняя поверхность крыла параллельна потоку воздуха, угла атаки нет, т. е. он равен нулю. (Пожалуйста, отметьте, что крыло при этом уже создает подъемную силу за счет кривизны своей поверхности). Теперь посмотрим, что произойдет, если мы постепенно будем увеличивать угол атаки, наклоняя крыло вверх и заставляя поток воздуха ударяться не только в переднюю кромку, но и отчасти снизу.
Это чудесно. Используя наши возможности управления, мы наклоняем крыло до угла атаки в пять градусов, и наша подъемная сила увеличивается. Десять градусов — и она еще больше. Пятнадцать градусов — и мы получаем ужасающую подъемную силу от нашего крыла. Двадцать градусов и ... Вся подъемная сила пропала и мы резко ныряем вниз! Что случилось? Это называется ПОТЕРЯ СКОРОСТИ. Пока мы наклоняли наш профиль все к большим углам атаки, воздух должен был проходить через вершину крыла все больший и больший путь, и путь этот должен был становиться все более кривым. В какой-то точке, обычно между 15 и 20 градусов, воздух уже не в состоянии двигаться так, он разбивается на турбулентные вихри — это явление называется турбуленцией — и прекращает обеспечивать подъемную силу, оставляя нас наедине с силой сопротивления воздуха. На практике, если потеря скорости происходит на большой высоте, вы вновь набираете ее в результате погружения и возвращаетесь опять к нормальному полету, потеряв часть высоты и испытав учащенное сердцебиение. Но на более низких высотах вы можете нырнуть в землю прежде, чем наберется подъемная сила. Потеря скорости — это одна из первых вещей, которых вас научат избегать на курсах параглайдинга.
Чтобы осознать все эти изменения подъемной силы, введем в рассмотрение еще одно уравнение и один график. Уравнение (которое выглядит аналогичным уравнению для силы сопротивления, записанному несколькими страницами раньше) описывает ПОДЪЕМНУЮ СИЛУ для данного крыла: ПОДЪЕМНАЯ СИЛА = 1/2 х р х cl х А х V2 Мы уже встречали р (плотность воздуха) и V (квадрат нашей скорости). "А" — это площадь или поверхность нашего парашюта (обычно между 20 и 30 м ). Новое обозначение здесь — это cl — КОЭФФИЦИЕНТ ПОДЪЕМНОЙ СИЛЫ. Он зависит всегда от конкретной формы вашего профиля, но, кроме того, как мы только что видели, от угла атаки. Если мы нарисуем график, где на горизонтальной оси показаны различные углы атаки, а на вертикальной — коэффициент подъемной силы, то получим примерно следующий вид кривой: При нулевом угле атаки на вертикальной оси мы видим, что уже существует некоторая подъемная сила. (Кривая начинается со значения около 0,2). На 5 градусах мы получаем по кривой коэффициент подъема 0,4. Подъемная сила крыла удвоилась! При 10 градусах коэффициент равен 0,6, а при 15 — чуть больше, но кривая выравнивается, мы не получаем большой подъемной силы. Где-то между 15 и 20 градусами она полностью падает; больше нет подъемной силы, и крыло падает. |



более сил действуют в одном направлении, мы просто складываем их. Если лошадь может тащить экипаж с силой, скажем, 50 кг, то две лошади приложат усилие в 100 кг, а три лошади (Русская "тройка") в 150 кг. На нашем рисунке мы просто рисуем силы на шкале одну за другой, потом стираем стрелки, кроме последней. Результат (который называется результирующей силой) — это просто более длинная одиночная стрелка:
Мы можем использовать данный метод не только для сложения двух сил в результирующую, но и для разложения одной силы на две, действующие в любых направлениях, которые мы выбираем. Попробуем применить это на примере шарика, катящегося по наклонной плоскости.
наклонной плоскости, однако, его вес по-прежнему направлен прямо вниз в то время, как точка поддержки, т.е. точка соприкосновения с плоскостью смещена назад. Здесь имеет место отсутствие равновесия, и мы можем разложить вес W на две силы: одна проходит через точку контакта с плоскостью, а вторая тянет шарик вдоль направления наклона.
въезжая на холм, а теперь используете ее, возвращаясь по воздуху к подножию холма).
Разумеется, при той же скорости воздуха подъемная сила (а также сопротивление воздуха) возрастут. Это происходит из-за того, что воздух, идущий поверх крыла, теперь должен пройти больший путь до воссоединения с потоком под крылом, и падение давления (всасывание вверх) на вершине крыла больше. Что еще важнее, поток воздуха снизу крыла оказывает давление на его нижнюю наклонную поверхность, увеличивая общее давление и выталкивая крыло вверх еще больше.


