Реферат: Пружні хвилі
|
Название: Пружні хвилі Раздел: Рефераты по физике Тип: реферат |
РЕФЕРАТ на тему:” Пружні хвилі ” План 1. Хвильові процеси. Подовжні і поперечні хвилі 2. Рівняння біжучої хвилі. Фазова швидкість. Сферична хвиля 3. Одномірне хвильове рівняння. Швидкість поширення хвиль 4. Енергія пружних хвиль. Потік і густина потоку енергії хвиль 5. Хвильові процеси. Подовжні і поперечні хвилі 6. Рівняння біжучої хвилі. Фазова швидкість. Сферична хвиля 7. Одномірне хвильове рівняння. Швидкість поширення хвиль 8. Енергія пружних хвиль. Потік і густина потоку енергії хвиль. 1. Хвильові процеси. Подовжні і поперечні хвилі Коливання, які збуджуються в будь-якій точці пружного середовища (твердому, рідкому або газоподібному), передаються від однієї точки середовища до іншої з кінцевою швидкістю, яка залежить від властивостей цього середовища. Чим дальше розташовані частинки середовища від джерела коливань, тим пізніше вони почнуть коливатися. Інакше кажучи, фази коливань частинок середовища і джерела тим більше відрізняються одна від одної, чим більша ця відстань. При вивченні поширення коливань в середовищі не враховується дискретний (молекулярний) характер будови самого середовища. В цьому випадку вважають що частинки середовища мають неперервне заповнення навколишнього простору і проявляють пружні властивості. Процес поширення коливань у суцільному пружному середовищі називається хвильовим процесом (або хвилею). При поширенні хвилі частинки середовища не рухаються разом із хвилею, а коливаються біля своїх положень рівноваги. Разом із хвилею від частинки до частинки середовища передається лише стан коливального руху і його енергія. Тому основною властивістю усіх хвильнезалежно від їхньої природи є перенос енергії без переносу речовини. Серед різноманітних хвиль, які зустрічаються в природі й техніці, можна виділити такі їх типи: хвилі на поверхні рідини, пружні і електромагнітні хвилі. Пружні механічні хвилі виникають і поширюються лише в пружному середовищі. Пружні хвилі ще діляться на подовжні й поперечні. У подовжніх хвилях частинки середовища коливаються в напрямку поширення хвилі, у поперечних – у площинах, перпендикулярних до напрямку поширення хвилі. Подовжні хвилі можуть поширюватися в середовищах, у яких виникають пружні сили при деформаціях стиску і розтягу. Це означає, що поздовжні хвилі поширюються у твердих, рідких і газоподібних середовищ. Поперечні хвилі можуть поширюватися в середовищах, у яких виникають пружні сили при деформаціях зсуву, тобто фактично тільки у твердих тілах. У рідинах і газах виникають лише подовжні хвилі, а у твердих тілах — як подовжні, так і поперечні хвилі. Пружна хвиля називається синусоїдальною (або гармонічною), якщо відповідні їй коливання частинок середовища є гармонічними. На рис. 21 показана синусоїдальна поперечна хвиля, яка поширюється зі швидкістю υ уздовж осі х, тобто показана залежність між зміщенням U(x,t) частинок середовища, у хвильовому процесі, і відстанню х цих частинок відджерела коливань для будь-якого фіксованого моменту часу t. Приведений графік функції U ( x , t ) несхожий на графік гармонічного коливання. Графік хвилі (рис.1) показує залежність зміщення всіх частинок середовища від відстані до джерела коливань у даний момент часу, а графік гармонічних коливань — залежність зміщення даної частинки від часу. Відстань між найближчими частинками, які коливаються в одній фазі, називається довжиною хвилі λ (рис. 1). Довжина хвилі дорівнює відстані, на яку поширюється фаза коливань за час в один період, тобто
Рис. 1 Якщо розглянути хвильовий процес трохи докладніше, то стане ясно, що в хвильовому русі коливаються не лише частинки, розташовані уздовж осі х, а й сукупність частинок, розташованих у деякому об’ємі, тобто хвиля, поширюючись від джерела коливань, охоплює все нові і нові області простору. Геометричне місце точок, які коливаються в однаковій фазі, називається хвильовою поверхнею. Хвильових поверхонь можна провести безліч. Хвильова поверхня у будь який момент часу називається хвильовим фронтом. Для цього моменту часу хвильовий фронт може бути лише один. Хвильові поверхні можуть мати довільну форму. В найпростішому випадку хвильові поверхні є сукупністю площин, або сукупністю концентричних сфер. Відповідно хвиля називається плоскою або сферичною. 2. Рівняння біжучої хвилі. Фазова швидкість. Сферична хвиля Якщо хвилі, поширюючись в пружному середовищі з кінцевою швидкістю, переносять енергію, то вони називаються біжучими . Перенос енергії в хвильовому русі кількісно характеризується вектором густини потоку енергії. Вектор потоку енергії вперше для механічних пружних хвиль був введений російським фізиком Умовим і називається вектором Умова. Напрямок вектора Умова збігається з напрямком переносу енергії, а його модуль дорівнює енергії, яка переноситься хвилею через одиничну площадку, розташовану перпендикулярно до напрямку поширення хвилі, за одиницю часу. Для одержання рівняння біжучої хвилі ─ залежності зміщення коливної точки пружного середовища від координати і часу ─ розглянемо плоску синусоїдальну хвилю,
допустивши, що вісь х
збігається з напрямком поширення хвилі (рис. 21). У даному випадку хвильові поверхні, тобто поверхні однакової фази, перпендикулярні до осі х,
а тому всі точки пружного середовища на цих поверхнях коливаються однаково. Зміщення будь якої точки пружного середовища від положення рівноваги в цьому випадку залежить лише від координати х
і часу t
,
а його величина буде дорівнювати Розглянемо деяку точку В,
якаперебуває на відстані х
від джерела коливань (рис. 1).
Якщо коливання точок пружного середовища, які лежать у площині х = 0
, описуються функцією U
(0,t)
= A
cos
де А – максимальне зміщення виділеної коливної точки В від положення рівноваги; ω – циклічна частота генератора коливань джерела. Рівняння (2) є рівняння біжучої хвилі. Якщо плоска хвиля поширюється в протилежному напрямку, то
В загальному випадку рівняння плоскої синусоїдальної хвилі, яка поширюється без поглинання енергії уздовж позитивного напрямку осі х , має вигляд
де А –
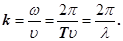
амплітуда хвилі; ω – циклічна частота хвилі; В рівнянні (3) синусоїдальний характер хвилі характеризують хвильовим числом, яке дорівнює
З врахуванням (4) рівняння (3) матиме вигляд
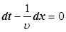
Рівняння хвилі, яка поширюється в сторону менших значень осі х, відрізняється від (5) тільки знаком члена k х. Розглянемо випадок, коли в процесі хвильового руху, фаза коливань не змінюється з часом, тобто
Диференціюємо вираз (6) за часом, одержимо
звідки
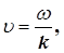
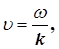
Отже, швидкість υпоширення хвилі в рівнянні (6) є не що інше, як швидкість переміщення фази хвилі, а тому її називають фазовою швидкістю . Сферичні хвилі утворюються в однорідному і ізотропному середовищі від точкових джерел коливань. Якщо повторити хід міркувань для плоскої хвилі, можна показати, що рівняння сферичної синусоїдальної хвилі – хвилі, хвильові поверхні якої мають вигляд концентричних сфер, записується так
деr – відстань від точкового джерела сферичних хвиль до виділеної точки пружного середовища. У випадку сферичної хвилі навіть у середовищі, яке не поглинає
енергії, амплітуда коливань не залишається постійною, а зменшується з відстанню за законом З рівняння (3) можна одержати, що
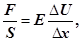
тобто фазова швидкість синусоїдальних хвиль залежить від їхньої частоти. Це явище називають дисперсією хвиль , а середовище, у якому спостерігається дисперсія хвиль, називається дисперсним середовищем . 3. Одномірне хвильове рівняння. Швидкість поширення хвиль Рівняння довільної хвилі є розв'язком рівняння, яке називається хвильовим. Для виведення цього рівняння скористаємось рівняння плоскої хвилі, яка поширюється в напрямку осі х. Розглянемо ділянку пружного середовища, яке характеризується модулем пружності Е (рис. 2). З рисунка видно, що виділений елемент має переріз S і довжину Δх. Під дією зовнішньої сили F виділена ділянка пружного середовища деформується на величину ΔU.
Рис. 2 Оскільки середовище є пружним, то для виділеної ділянки можна застосувати закон Гука
де Е
─ модуль Юнга; В граничному випадку при
Якщо збуджувати поздовжню хвилю в деякому пружному середовищі, яким є наприклад стержень перерізом S з модулем Юнга Е, то на виділену ділянку будуть діяти дві сили (рис.3). Запишемо для цієї ділянки другий закон Ньютона
Сили в рівнянні (10) є пружними силами, а тому відповідно до рівняння (9) запишуться так
Якщо підставити ці сили (11) в другий закон Ньютона (10), то після деяких перетворень одержимо
де m ─ маса виділеної ділянки пружного середовища. Масу виділеної ділянки пружного середовища можна виразити через об’єм і густину речовини стержня так m = ρ SΔx . (13)
Рис.3 З урахуванням значення маси (13) і нескладних перетворень рівняння (12) запишеться так
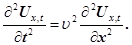
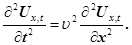
Розглянувши граничний випадок при якому
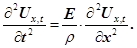
Рівняння (15) є лінійним диференціальним рівнянням другого порядку в частинних змінних. Розв’язком такого рівняння є уже відоме рівняння плоскої хвилі
Знайдемо другі частинні похідні за часом t і координатою х від рівняння (16)
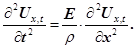
Після підстановки похідних (17) в рівняння (15) та необхідних скорочень одержимо
Але оскільки
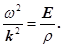
Таким чином швидкість поширення механічних хвиль у пружному середовищі залежить від пружних властивостей цього середовища і його густини
Оскільки модуль Юнга характеризує стиснення або розтягування пружного середовища, то одержана швидкість (20) є фазовою швидкістю лише поздовжніх хвиль. Фазова швидкість поперечних хвиль, які можуть існувати лише в твердому пружному середовищі, визначають заміною модуля Юнга в (20) на модуль зсуву G
Розрахунки показують, що в твердому середовищі модуль Юнга E майже на порядок перевищує модуль зсуву G, тому фазова швидкість поздовжньої хвилі тут більша за швидкість поперечної хвилі, тобто
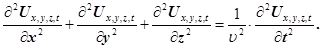
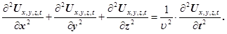
Важливо відмітити, що для механічних хвиль, які мають велику довжину λ рівняння (15) і (19) будуть нелінійними. Якщо механічна хвиля поширюється в однорідному ізотропному середовищі, то хвильове рівнянням буде мати вигляд:
Для механічних хвиль властивий принцип суперпозиції. Це означає, що при накладанні механічних хвиль відсутнє їх спотворення. 4. Енергія пружних хвиль. Потік і густина потоку енергії хвиль Нехай в деякому пружному середовищі в напрямі осі х поширюється плоска поздовжня хвиля
Виділимо в цьому середовищі елементарний об’єм ΔV, настільки малий, щоб швидкість хвилі його точках були однакові. Повну механічну енергію, локалізовану у виділеному об’ємі розраховують за формулою
де Кінетичну енергію, яку має виділений об’єм пружного середовища знаходимо за формулою
де ρ - густина середовища виділеного об’єму. Першу похідну за часом від (24) підставимо в (25), одержимо
де У відповідності з рис. 4 потенціальну енергію пружної деформації виділеного об’єму знаходимо так:
Рис. 4
де k
– коефіцієнт пружності середовища, який відповідно до закону Гука (8) дорівнює З урахуванням цих позначень (27) матиме вигляд
Помножимо й поділимо (28) на Δх2 , одержимо
В граничному випадку при Δх=0 одержуємо
Підставимо у формулу (30) значення модуля Юнга
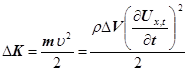
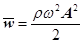
Повну енергію, локалізовану у виділеному об’ємі пружного середо-вища, одержимо при додаванні кінетичної енергії (26) і потенціальної енергії (31)
Якщо врахувати, що середнє значення квадрата синуса за час в один період дорівнює
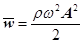
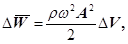
де Δ V = SΔx ─ елементарних об’єм пружного середовища. Середнє значення густини енергії легко одержати, якщо (33) поділити її на величину виділеного об’єму пружного середовища
Нехай через площадку S(рис.4), яка є перпендикулярною до напрямку поширення хвилі, за час Δtпереноситься енергія ΔW. Тоді вектор густини енергії буде дорівнювати
де 5. Хвильові процеси. Подовжні і поперечні хвилі Коливання, які збуджуються в будь-якій точці пружного середовища (твердому, рідкому або газоподібному), передаються від однієї точки середовища до іншої з кінцевою швидкістю, яка залежить від властивостей цього середовища. Чим дальше розташовані частинки середовища від джерела коливань, тим пізніше вони почнуть коливатися. Інакше кажучи, фази коливань частинок середовища і джерела тим більше відрізняються одна від одної, чим більша ця відстань. При вивченні поширення коливань в середовищі не враховується дискретний (молекулярний) характер будови самого середовища. В цьому випадку вважають що частинки середовища мають неперервне заповнення навколишнього простору і проявляють пружні властивості. Процес поширення коливань у суцільному пружному середовищі називається хвильовим процесом (або хвилею). При поширенні хвилі частинки середовища не рухаються разом із хвилею, а коливаються біля своїх положень рівноваги. Разом із хвилею від частинки до частинки середовища передається лише стан коливального руху і його енергія. Тому основною властивістю усіх хвильнезалежно від їхньої природи є перенос енергії без переносу речовини. Серед різноманітних хвиль, які зустрічаються в природі й техніці, можна виділити такі їх типи: хвилі на поверхні рідини, пружні і електромагнітні хвилі. Пружні механічні хвилі виникають і поширюються лише в пружному середовищі. Пружні хвилі ще діляться на подовжні й поперечні. У подовжніх хвилях частинки середовища коливаються в напрямку поширення хвилі, у поперечних – у площинах, перпендикулярних до напрямку поширення хвилі. Подовжні хвилі можуть поширюватися в середовищах, у яких виникають пружні сили при деформаціях стиску і розтягу. Це означає, що поздовжні хвилі поширюються у твердих, рідких і газоподібних середовищ. Поперечні хвилі можуть поширюватися в середовищах, у яких виникають пружні сили при деформаціях зсуву, тобто фактично тільки у твердих тілах. У рідинах і газах виникають лише подовжні хвилі, а у твердих тілах — як подовжні, так і поперечні хвилі. Пружна хвиля називається синусоїдальною (або гармонічною), якщо відповідні їй коливання частинок середовища є гармонічними. На рис. 21 показана синусоїдальна поперечна хвиля, яка поширюється зі швидкістю υ уздовж осі х, тобто показана залежність між зміщенням U(x,t) частинок середовища, у хвильовому процесі, і відстанню х цих частинок відджерела коливань для будь-якого фіксованого моменту часу t. Приведений графік функції U ( x , t ) несхожий на графік гармонічного коливання. Графік хвилі (рис.1) показує залежність зміщення всіх частинок середовища від відстані до джерела коливань у даний момент часу, а графік гармонічних коливань — залежність зміщення даної частинки від часу. Відстань між найближчими частинками, які коливаються в одній фазі, називається довжиною хвилі λ (рис. 1). Довжина хвилі дорівнює відстані, на яку поширюється фаза коливань за час в один період, тобто
Рис. 1 Якщо розглянути хвильовий процес трохи докладніше, то стане ясно, що в хвильовому русі коливаються не лише частинки, розташовані уздовж осі х, а й сукупність частинок, розташованих у деякому об’ємі, тобто хвиля, поширюючись від джерела коливань, охоплює все нові і нові області простору. Геометричне місце точок, які коливаються в однаковій фазі, називається хвильовою поверхнею. Хвильових поверхонь можна провести безліч. Хвильова поверхня у будь який момент часу називається хвильовим фронтом. Для цього моменту часу хвильовий фронт може бути лише один. Хвильові поверхні можуть мати довільну форму. В найпростішому випадку хвильові поверхні є сукупністю площин, або сукупністю концентричних сфер. Відповідно хвиля називається плоскою або сферичною. 6. Рівняння біжучої хвилі. Фазова швидкість. Сферична хвиля Якщо хвилі, поширюючись в пружному середовищі з кінцевою швидкістю, переносять енергію, то вони називаються біжучими . Перенос енергії в хвильовому русі кількісно характеризується вектором густини потоку енергії. Вектор потоку енергії вперше для механічних пружних хвиль був введений російським фізиком Умовим і називається вектором Умова. Напрямок вектора Умова збігається з напрямком переносу енергії, а його модуль дорівнює енергії, яка переноситься хвилею через одиничну площадку, розташовану перпендикулярно до напрямку поширення хвилі, за одиницю часу. Для одержання рівняння біжучої хвилі ─ залежності зміщення коливної точки пружного середовища від координати і часу ─ розглянемо плоску синусоїдальну хвилю,
допустивши, що вісь х
збігається з напрямком поширення хвилі (рис. 21). У даному випадку хвильові поверхні, тобто поверхні однакової фази, перпендикулярні до осі х,
а тому всі точки пружного середовища на цих поверхнях коливаються однаково. Зміщення будь якої точки пружного середовища від положення рівноваги в цьому випадку залежить лише від координати х
і часу t
,
а його величина буде дорівнювати Розглянемо деяку точку В,
якаперебуває на відстані х
від джерела коливань (рис. 1).
Якщо коливання точок пружного середовища, які лежать у площині х = 0
, описуються функцією U
(0,t)
= A
cos
де А – максимальне зміщення виділеної коливної точки В від положення рівноваги; ω – циклічна частота генератора коливань джерела. Рівняння (2) є рівняння біжучої хвилі. Якщо плоска хвиля поширюється в протилежному напрямку, то
В загальному випадку рівняння плоскої синусоїдальної хвилі, яка поширюється без поглинання енергії уздовж позитивного напрямку осі х , має вигляд
де А –
амплітуда хвилі; ω – циклічна частота хвилі; В рівнянні (3) синусоїдальний характер хвилі характеризують хвильовим числом, яке дорівнює
З врахуванням (4) рівняння (3) матиме вигляд
Рівняння хвилі, яка поширюється в сторону менших значень осі х, відрізняється від (5) тільки знаком члена k х. Розглянемо випадок, коли в процесі хвильового руху, фаза коливань не змінюється з часом, тобто
Диференціюємо вираз (6) за часом, одержимо
звідки
Отже, швидкість υпоширення хвилі в рівнянні (6) є не що інше, як швидкість переміщення фази хвилі, а тому її називають фазовою швидкістю . Сферичні хвилі утворюються в однорідному і ізотропному середовищі від точкових джерел коливань. Якщо повторити хід міркувань для плоскої хвилі, можна показати, що рівняння сферичної синусоїдальної хвилі – хвилі, хвильові поверхні якої мають вигляд концентричних сфер, записується так
деr – відстань від точкового джерела сферичних хвиль до виділеної точки пружного середовища. У випадку сферичної хвилі навіть у середовищі, яке не поглинає
енергії, амплітуда коливань не залишається постійною, а зменшується з відстанню за законом З рівняння (3) можна одержати, що
тобто фазова швидкість синусоїдальних хвиль залежить від їхньої частоти. Це явище називають дисперсією хвиль , а середовище, у якому спостерігається дисперсія хвиль, називається дисперсним середовищем . 7. Одномірне хвильове рівняння. Швидкість поширення хвиль Рівняння довільної хвилі є розв'язком рівняння, яке називається хвильовим. Для виведення цього рівняння скористаємось рівняння плоскої хвилі, яка поширюється в напрямку осі х. Розглянемо ділянку пружного середовища, яке характеризується модулем пружності Е (рис. 2). З рисунка видно, що виділений елемент має переріз S і довжину Δх. Під дією зовнішньої сили F виділена ділянка пружного середовища деформується на величину ΔU.
Рис. 2 Оскільки середовище є пружним, то для виділеної ділянки можна застосувати закон Гука
де Е
─ модуль Юнга; В граничному випадку при
Якщо збуджувати поздовжню хвилю в деякому пружному середовищі, яким є наприклад стержень перерізом S з модулем Юнга Е, то на виділену ділянку будуть діяти дві сили (рис.3). Запишемо для цієї ділянки другий закон Ньютона
Сили в рівнянні (10) є пружними силами, а тому відповідно до рівняння (9) запишуться так
Якщо підставити ці сили (11) в другий закон Ньютона (10), то після деяких перетворень одержимо
де m ─ маса виділеної ділянки пружного середовища. Масу виділеної ділянки пружного середовища можна виразити через об’єм і густину речовини стержня так m = ρ SΔx . (13)
Рис.3 З урахуванням значення маси (13) і нескладних перетворень рівняння (12) запишеться так
Розглянувши граничний випадок при якому
Рівняння (15) є лінійним диференціальним рівнянням другого порядку в частинних змінних. Розв’язком такого рівняння є уже відоме рівняння плоскої хвилі
Знайдемо другі частинні похідні за часом t і координатою х від рівняння (16)
Після підстановки похідних (17) в рівняння (15) та необхідних скорочень одержимо
Але оскільки
Таким чином швидкість поширення механічних хвиль у пружному середовищі залежить від пружних властивостей цього середовища і його густини
Оскільки модуль Юнга характеризує стиснення або розтягування пружного середовища, то одержана швидкість (20) є фазовою швидкістю лише поздовжніх хвиль. Фазова швидкість поперечних хвиль, які можуть існувати лише в твердому пружному середовищі, визначають заміною модуля Юнга в (20) на модуль зсуву G
Розрахунки показують, що в твердому середовищі модуль Юнга E майже на порядок перевищує модуль зсуву G, тому фазова швидкість поздовжньої хвилі тут більша за швидкість поперечної хвилі, тобто
Важливо відмітити, що для механічних хвиль, які мають велику довжину λ рівняння (15) і (19) будуть нелінійними. Якщо механічна хвиля поширюється в однорідному ізотропному середовищі, то хвильове рівнянням буде мати вигляд:
Для механічних хвиль властивий принцип суперпозиції. Це означає, що при накладанні механічних хвиль відсутнє їх спотворення. 8. Енергія пружних хвиль. Потік і густина потоку енергії хвиль Нехай в деякому пружному середовищі в напрямі осі х поширюється плоска поздовжня хвиля
Виділимо в цьому середовищі елементарний об’єм ΔV, настільки малий, щоб швидкість хвилі Повну механічну енергію, локалізовану у виділеному об’ємі розраховують за формулою
де Кінетичну енергію, яку має виділений об’єм пружного середовища знаходимо за формулою
де ρ - густина середовища виділеного об’єму. Першу похідну за часом від (24) підставимо в (25), одержимо
де У відповідності з рис. 4 потенціальну енергію пружної деформації виділеного об’єму знаходимо так:
Рис. 4
де k
– коефіцієнт пружності середовища, який відповідно до закону Гука (8) дорівнює З урахуванням цих позначень (27) матиме вигляд
Помножимо й поділимо (28) на Δх2 , одержимо
В граничному випадку при Δх=0 одержуємо
Підставимо у формулу (30) значення модуля Юнга
Повну енергію, локалізовану у виділеному об’ємі пружного середо-вища, одержимо при додаванні кінетичної енергії (26) і потенціальної енергії (31)
Якщо врахувати, що середнє значення квадрата синуса за час в один період дорівнює
де Δ V = SΔx ─ елементарних об’єм пружного середовища. Середнє значення густини енергії легко одержати, якщо (33) поділити її на величину виділеного об’єму пружного середовища
Нехай через площадку S(рис.4), яка є перпендикулярною до напрямку поширення хвилі, за час Δtпереноситься енергія ΔW. Тоді вектор густини енергії буде дорівнювати
де Вектор потоку енергії |

(3) 

(12)
(17)
, (25)
(26)
(30)
(3) 

(12)
(17)
, (25)
(26)
(30)