РЕФЕРАТ
на тему:”Радіоактивність”
План
3.2.1. Радіоактивність. Закон радіоактивного розпаду.
3.2.2. Закономірності альфа і бета розпаду. Механізм альфа-розпаду.
3.2.3. Гамма-випромінювання. Взаємодії гамма-променів з речовиною.
3.2.1 Радіоактивність. Закон радіоактивного розпаду
Явище самочинного перетворення деяких нестійких ядер одних елементів в ядра інших елементів з випромінюванням різних типів елементарних частинок і електромагнітних хвиль надзвичайно малої довжини називається радіоактивністю.
Вперше це явище спостерігав французький фізик Анрі Беккерель ще в 1896 році. Подальші дослідження в цій області здійснювало подружжя Кюрі (П’єр Кюрі й Марія Кюрі, а також Резерфорд та ряд інших фізиків). Явище радіоактивності безпосередньо обумовлене лише внутрішньою будовою ядра і не залежить від зовнішніх умов (тиску, агрегатного стану, температури та ін.).Будь-якіспроби вплинути на хід радіоактивного розпаду не мали позитивних наслідків. Виявлені закономірності радіоактивного розпаду залишались незмінними. Радіоактивні ядра часто називають материнськими, а ядра, які утворюються при радіоактивному розпаді – дочірніми. Перед розпадом материнське ядро завжди має енергетичну невигідність, тобто маса вихідного ядра перевищує суму мас продуктів розпаду. Тому кожне радіоактивне перетворення відбувається із виділенням енергії.
За своєю природою явище радіоактивності не відрізняється від розпаду “компаунд”-ядер, утворених дією деяких елементарних частинок на стабільні ядра. Але лише ті “компаунд” – ядра відносяться до радіоактивних, час життя яких можна виміряти експериментально. В даний час до радіоактивних відносяться всі ядра з часом життя 10-9
– 1022
с.
Відмітимо, що радіоактивні ядра містять надлишок нейтронів або протонів порівняно із стабільними ядрами. В першому випадку стабільність ядра знижена підвищеною кількістю нейтрон-нейтронних взаємодій, а в другому випадку – протон-протонних взаємодій. Самочинно змінюючи свій склад, такі ядра переходять в стабільну область.
Радіоактивність може бути як природною так і штучною. Штучна радіоактивність була виявлена після синтезу необхідних ядер в 1936р. подружжям Ф. Жоліо-Кюрі і І. Жоліо-Кюрі.
Як і будь-який квантовий процес радіоактивність – явище статистичне. Однакові радіоактивні ядра в невеликій кількості розпадаються через різні проміжки часу. В цьому випадку будь-який прогноз розпаду є неможливим. Про середній час життя радіоактивних ядер судять лише для дуже великих кількостей однакових радіоактивних ядер. Те, що окремі радіоактивні ядра в системі мають дуже різний час життя, пояснюється такими причинами:
а) кулонівські сили протонів сильно протидіють вилітанню із ядер заряджених частинок ;
б) радіоактивні перетворення відбуваються не лише під дією сильних і електромагнітних взаємодій, але і під впливом слабких взаємодій, інтенсивність яких майже на два порядки нижча;
в) розпад відбувається тим повільніше, чим менша енергія при цьому звільнюється;
г) імовірність розпаду залежить від спінів материнського й дочірнього ядер. Чим більше їх спіни відрізняються, тим повільніше йде цей процес.
Імовірність протікання радіоактивного розпаду за одиницю часу визначається сталою розпаду l. З макроскопічного числа N
однакових радіоактивних ядер за одиницю часу розпадається lN
ядер. Цей добуток lN
називають активністю препарату. За одиницю активності взято один розпад за одну секунду. Цю величину називають Беккерелем.
1Бк = 1 розп./с.
Часто користуються несистемною одиницею активності Кюрі, яка відповідає активності 1г радію
1 Кюрі = 3,7 .
1010
Бк.
Розпад ядра завжди вважається подією випадковою, яка може відбутись в довільний момент часу. Це означає, що у відношенні до розпаду всі моменти часу є фізично еквівалентними. Тому радіоактивні ядра не мають природного віку, хоча і мають середній час життя.
Нехай в момент часу t
= 0
є N0
радіоактивних ядер. За час dt
відбувається dN
актів розпаду, пропорційного числу ядер N(t)
в момент часу t,
тобто
dN
= -
l
N(t)dt,
(3.2.1.1)
де l - стала радіоактивного розпаду в с-1
.
Диференціальне рівняння (3.2.1.1) має вигляд
N(t) = N0
e-
l
t
,
(3.2.1.2)
де N
0
– початкове число ядер на момент часу t=0
; N(t)
– число ядер, які ще не розпались на момент часу t
.
Рівняння (3.2.1.2) дістало назву закону радіоактивного розпаду
.
Закон радіоактивного розпаду дає можливість визначити період піврозпаду Т
і середній час життя радіоактивних ядер. За час півперіоду t = T
число радіоактивних ядер зменшується вдвоє порівняно з початковим числом N0
,,
тобто
.
Звідки одержуємо
(3.2.1.3)
В інтервалі часу t
і t + dt
розпадається l
Ndt
ядер , кожне із яких має час життя t .
Загальний час життя цих ядер дорівнює t
l
Ndt,
а сумарний час життя всіх цих N0
ядер дорівнює інтегралу від добутку t
l
Ndt
в межах від нуля до безмежності. Середній час життя радіоактивних ядер дорівнює відношенню інтеграла до N0
:
.
Після інтегрування одержуємо
(3.2.1.4)
Формула (3.2.1.4) показує, що чим більша стала розпаду l, тим швидше розпадаються радіоактивні ядра. Порівнюючи (3.2.1.3) і (3.2.1.4) , бачимо, що Т
і мають один і той же порядок, причому

3.2.2 Закономірності альфа - і бета – розпаду
а). Механізм альфа – розпаду
Явище альфа – радіоактивності було відкрите при вивченні радіоактивності природних елементів. Природні a - випромінювачі розміщуються в таблиці Менделєєва, починаючи з номера Z³
82 (Z=82
має свинець). Оскільки в a - частинці питома енергія зв’язку виявляється більшою, ніж у важких ядрах, a - розпад енергетично є завжди можливим. Наприклад, нуклід урану 238
U
випромінює a - частинки з періодом піврозпаду 4,5·109
років.
Самочинно відбувається ядерна реакція
МеВ. (3.2.2.1)
Різниця мас і продуктів розпаду складає 4,2 МеВ. (Маса материнського ядра перевищує суму мас продуктів розпаду на DМ = 0.0045 а.о.м.).
Правило зміщення для a- розпаду записують так:
, (3.2.2.2)
де - материнське ядро; - дочірнє ядро; частинка; g-гамма - квант, який звільняється дочірнім ядром при переході у менш збуджений або нормальний стан.
Процес a- розпаду має дві особливості, які були відкриті експериментально.
Між пробігом a-частинки, який може бути мірою її початкової енергії і сталою радіоактивного розпаду l є проста залежність, емпірично встановлена Гейгером і Неттолом ще у 1911 році і відома під назвою закону Гейгера-Неттола:
(3.2.2.3)
де А
і В
– сталі величини, причому стала В
є однаковою для всіх радіоактивних елементів; А
– є сталою лише в межах певного радіоактивного ряду.
Із закону Гейгера – Неттола випливає, що чим менш стабільні ядра, тим більша енергія у a-частинок, які при цьому випромінюються.
Наступною особливістю a- розпаду є досить низька енергія a- частинок у момент вилітання із ядра, яка змінюється в межах 4–9 МеВ.
Насправді a- частинки у момент вилітання із ядра повинні мати значно більшу енергію, рівну висоті потенціального бар’єра. В реакції потенціальна енергія відштовхування a- частинки на межі ядра торію складає біля 30 МеВ
. Відповідно a- частинка після подолання такого бар’єра повинна прискоритися до 30 МеВ
. Експериментально ж виявлені a- частинки з енергією 4.2 МеВ
.
Чому енергія a- частинок порівняно невисока, та як можна пояснити закон Гейгера-Неттола? Відповідь на ці запитання дає квантова механіка.
Перед початком a- розпаду в багатьох ядрах уже існує по одній a-частинці. Енергія такої частинки . Якби не було потенціального бар’єра, a- частинка вилітала б із ядра з енергією  (рис. 3.2.1).

На рис. 3.2.1 V0
–
глибина потенціальної ями; - енергія a- частинок після вилітання із ядра.
Таке враження, що, залишаючи ядра, a- частинки не помічають існування потенціального бар’єра.
Згідно з законами квантової механіки a- частинки проявляють хвильові властивості. При попаданні на стінку потенціального бар’єра вони відбиваються від неї як хвилі. Але не всі a- частинки відбиваються від стінки. Частина із них проникає крізь стінку і залишає ядро з енергією Еa
. Ефект проникнення a- частинок крізь потенціальний бар’єр при енергіях значно нижчих його висоти називається тунельним ефектом
.
Імовірність проникнення a- частинок крізь потенціальний бар’єр визначається його прозорістю Д
. При цьому стала радіоактивного розпаду l, яка визначає імовірність розпаду за одиницю часу, дорівнює добутку “ прозорості “ бар’єра на число зіткнень n
a- частинки з внутрішніми стінками бар’єра, тобто
l
= Д n
, (3.2.2.3)
, (3.2.2.4)
де m
a
- маса частинки, r
– ширина потенціального бар’єра; n – число ударів a- частинки об стінку потенціального бар’єра; Д
– прозорість бар’єра у цьому місці.
Мала прозорість Д
бар’єра для проникнення крізь нього a- частинки пояснює малу імовірність a- перетворення (мала стала розпаду l) і великий період піврозпаду. Це і є пояснення закону Гейгера – Неттола.
При a- розпаді дочірнє ядро, як правило, перебуває у збудженому стані і енергетично є нестабільним. Перехід з такого збудженого стану в нормальний стан супроводжується випромінюванням g-квантів. Середній час збудженого стану не перевищує 10-13
с.
Дискретний спектр a- випромінювання характеризує енергетичну структуру ядра атома. Пояснити дискретний спектр a- випромінювання можна, виходячи лише із оболонкової моделі будови атомного ядра.
б). Закономірності b- розпаду
Бета-розпад ядер радіоактивних елементів почали вивчати незабаром після відкриття радіоактивності. Відомі три види b-розпаду. Серед них b-
-розпад, b+
- розпад і К-захват. Експериментально було встановлено, що b- випромінювання складається з електронів або позитронів і що ці види випромінювання супроводжуються випусканням нейтрино або антинейтрино. Нейтрино – це елементарна частинка з нульовим електричним зарядом і масою спокою рівною нулю. Нейтрино має півцілий спін подібно до електрона. Аналогічні характеристики має антинейтрино.
Правила зміщення для різних видів b- розпаду можна записати так:
а). електронний b- розпад
(3.2.2.5)
б). позитронний b- розпад
(3.2.2.6)
в). К-захват, або захват ядром електрона з К-оболонки
(3.2.2.7)
де материнське ядро; дочірнє ядро; електрон; позитрон; антинейтрино; нейтрино.
Для пояснення різних видів β-радіоактивності прийшлось подолати значні труднощі. Перш за все слід було обґрунтувати походження електронів в процесі b-розпаду. Протонно-нейтронна будова ядра усуває вилітання з ядра електронів оскільки їх там немає.
Сучасна теорія b- розпаду ґрунтується на теорії, розробленій Фермі в 1931 р. Фермі у цій теорії стверджує, що протон або нейтрон можуть взаємно перетворюватись в пару частинок позитрон-нейтрино або електрон-антинейтрино. Така пара частинок породжується в ядрі дякуючи слабким взаємодіям подібно тому, як випромінюється фотон за рахунок електромагнітних взаємодій. При цьому слід мати на увазі, що до процесу b-розпаду всередині ядра немає ні електрона ні нейтрино.
Найпростішим прикладом b- розпаду є перетворення вільного нейтрона в протон з періодом піврозпаду 12 хв.:
(3.2.2.8)
де антинейтрино; електрон.
Такі перетворення нейтронів в протони були виявлені ще у 1950 році при дослідженні потужних нейтронних пучків атомних реакторів.
Процес перетворення нейтрона в протон в ядрах атомів супроводжується виконанням законів збереження електричних зарядів, імпульсу, масових чисел, лептонних зарядів та ін. Крім того, таке перетворення енергетично можливе, тому що маса нейтрона в спокої перевищує масу атома водню, тобто протона і електрона разом узятих. Різниця в масах нейтрона й протона з електроном дорівнює 0.782 МєВ
. За рахунок цієї енергії може відбуватись самочинне перетворення нейтрона в протон.
При позитронному розпаді, тобто процесі перетворення одного із протонів ядра в нейтрон, недостаток енергії для такого перетворення доповнюється ядром
(3.2.2.9)
де нейтрино, відрізняється від антинейтрино лише знаком лептонного заряду (для нейтрино –1, а для антинейтрино +1).
Випадків перетворення вільного протона в нейтрон з випромінюванням нейтрино й позитрона поки що не спостерігалось. Такі перетворення заборонені законом збереження маси ( баріонного заряду ).
Третій вид b- радіоактивності – електронне захоплення було відкрите ще у 1937 році американськими фізиками. Цей вид радіоактивності полягає в тому, що ядром можуть бути захоплені електрони з електронної оболонки власного атома. При цьому це можуть бути K-, L-, M- електрони. Те, що такий процес можливий, пояснюється в квантовій механіці. З квантової точки зору електронних орбіт в атомах не існує через хвильові властивості електронів. Перебування електронів на оболонках має імовірнісний характер. Перебування електронів біля ядра і навіть у ядрі законами квантової механіки не забороняється. Тому в тих випадках, коли материнське ядро дещо перенасичене протонами, можливий електронний захват згідно з схемою:
(3.2.2.10)
Електронний захват завжди супроводжується рентгенівським випромінюванням.
Енергетичний спектр b- випромінювання є завжди суцільним з різкою межею для деякої максимальної енергії Еmax
(рис.3.2.2.).

Гіпотеза про те, що b- частинки народжуються лише певних енергій, а потім частину її втрачають при вилітанні з ядер, не підтверджується експериментально. Все пояснюється дуже просто: це перш за все процес народження двох частинок – електрона й антинейтрино або позитрона й нейтрино. У випадку, коли електрон має енергію Еmax
, антинейтрино має енергію рівну нулю. Між двома частинками в процесі радіоактивного розпаду енергія розподіляється довільно.
3.2.3 Гамма-випромінювання. Взаємодії
g
- променів з речовиною
Якщо ядро збуджене і знаходиться в стані з більш високою енергією, то воно може самочинно перейти на більш низький енергетичний рівень, випустивши при цьому фотон. Відстані між енергетичними рівнями ядер складають величину порядку 1-2 МеВ
. Тому енергії фотонів, які випускаються ядрами, в сотні і тисячі разів перевищують енергію фотонів атомних оболонок. Такі високо енергетичні фотони, які випускаються ядрами атомів, називаються гамма-фотонами або гамма-квантами.
Установлено, що гамма-випромінювання ядер не є самостійним видом радіоактивності. Цей вид випромінювання завжди супроводжується a- і b- випромінюванням. Гамма-кванти є продуктом випромінювання не материнських а дочірніх ядер. За проміжок часу 10-13
– 10-14
с дочірнє ядро переходить у нормальний або у менш збуджений стан, випромінюючи при цьому g- кванти строго відповідних енергій. Тому спектр g- випромінювання має дискретний характер.
При g- випромінюванні масове число А і зарядове число Z не змінюються, тому таке випромінювання не описується жодним правилом зміщення. При радіоактивних розпадах різних ядер g- кванти можуть мати енергію від 10 кеВ до 5 МеВ
.
Гамма-кванти мають нульову масу спокою, а тому не сповільнюються середовищем. При проходженні g- квантів через середовище вони можуть або поглинатись, або розсіюватись.
Гамма-промені відносяться до сильно проникаючого випромі-нювання в речовині. Проходячи крізь речовину γ- кванти взаємодіють з атомами, електронами і ядрами, у результаті чого їх інтенсивність зменшується.
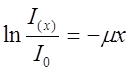
Знайдемо закон ослаблення паралельного моноенергетичного пучка γ- квантів у плоскій мішені. Нехай на поверхню плоскої мішені перпендикулярно до неї падає потік γ- квантів Іо
(рис.2.3). Ослаблення пучка в речовині викликається поглинанням і розсіюванням γ- квантів.

Рис.2.3
Розсіяний γ- квант втрачає частину своєї енергії при зіткненні з електронами і змінює напрямок свого поширення. На відстані х від зовнішньої поверхні потік γ- квантів ослабляється до величини І(
х)
. У тонкому шарі мішені товщиною dx з потоку виводиться dІ γ- квантів. Величина dІ пропорційна потоку І(х)
на поверхні шару і товщині шару dx:
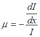
. (3.2.3.1)
Знак мінус у правій частині рівняння показує, що в шарі потік зменшується на dІ
γ- квантів. Перепишемо це рівняння у вигляді:
. (3.2.3.2)
Коефіцієнт пропорційності μ називають повним лінійним коефіцієнтом ослаблення. Він має розмірність см-1
і чисельно дорівнює долі моноенергетичних γ- квантів, які вибувають з паралельного пучка на одиниці шляху випромінювання в речовині. Повний лінійний коефіцієнт ослаблення залежить від густини, порядкового номера речовини, а також від енергії γ- квантів:
. (3.2.3.3)
Помножимо ліву і праву частини рівняння (3.2.3.2) на dx, а потім проінтегруємо його в межах від 0 до х , одержимо:
. (3.2.3.4)
Після потенціювання одержимо закон Бугера ослаблення паралель-ного моно енергетичного пучка γ - квантів у речовині:
. (3.2.3.5)
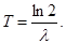
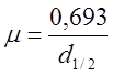
При проходженні товщини речовини, рівної шару половинного ослаблення d1/2
, потік γ- квантів зменшиться у два рази. Повний лінійний коефіцієнт ослаблення і шар половинного ослаблення пов'язані між собою рівнянням:
. (3.2.3.6)
Повний лінійний коефіцієнт ослаблення пропорційний густини речовини. Якщо розділити його на густину, то одержимо масовий коефіцієнт ослаблення:
. (3.2.3.7)
Величину μm
вимірюють у квадратних сантиметрах на грам (см2
/г)
. Він чисельно дорівнює частині моноенергетичних γ- квантів, які вибувають з пучка при проходженні шару мішені товщиною 1г/см2
.
Коефіцієнт μm
залежить від порядкового номера хімічного елемента речовини й енергії γ- квантів:
. (3.2.3.8)
Речовини з однаковими
ефективними порядковими номерами мають рівні
масові коефіцієнти ослаблення. Так, масові коефіцієнти ослаблення води, кисню, азоту, повітря, вуглецю і живої тканини мало відрізняються один від одного, тому що їх ефективні порядкові номери близькі за величиною.
Після заміни закон ослаблення (3.2.3.5) перепишеться у вигляді:
(3.2.3.9)
де - маса в грамах шару речовини товщиною х
і площею поперечного перерізу 1 см2
.
Зменшення гамма-квантів в пучку обумовлюється трьома основними, незалежними процесами: фотоефектом, комптон-ефектом і ефектом утворення електрон-позитронної пари. Кожний з цих ефектів характеризує взаємодію γ- квантів відповідно з атомами, електронами і ядрами. Унаслідок цього і повний лінійний коефіцієнт ослаблення дорівнює сумі трьох незалежних лінійних коефіцієнтів - фотоефекта μф
, комптон-ефекту μк
й ефекту утворення пара μп
:
. (3.2.3.10)
Кожний із коефіцієнтів по-різному залежить від порядкового номера елемента в таблиці Менделєєва й енергії гамма-квантів.
Фотоефект
. Фотоефектом називається така взаємодія γ- кванта з атомом, при якому γ - квант поглинається повністю (зникає), а з атома виривається електрон. Одна частина енергії γ- кванта Ej
витрачається на розрив зв'язку електрона з ядром εе-
, інша частина перетворюється в кінетичну енергію електрона Eе-
:
. (3.2.3.11)
Перша особливість
фотоефекта полягає в тому, що він відбувається тільки тоді, коли енергія γ - кванта більша за енергію зв'язку електрона в оболонці атома.
Фотоелектрон рухається майже перпендикулярно до напрямку поширення поглинутого γ- кванта (рис. 2.3). Рух фотоелектрона збігається з напрямком коливання електричної напруженості електромагнітного поля. Це показує, що фотоелектрон виривається з атома електричними силами.
Друга особливість
фотоефекту - збільшення фотоелектричного поглинання γ- квантів з ростом енергії зв'язку електронів в атомі. Фотоефект практично не спостерігається на слабко зв'язаних електронах атома. При енергії γ- кванта >>εe-
їх можна вважати вільними. Такий електрон не може поглинати γ- квант. Це випливає із законів збереження енергії й імпульсу:
 . (3.2.3.12)
Фотоефект в основному відбувається на К -
і L -
оболонках атомів. Згідно з другим рівнянням вільний електрон, поглинувши γ- квант, повинен був би рухатися зі швидкістю, у два рази більшою за швидкість світла, що заперечує теорія відносності.
Лінійний коефіцієнт ослаблення фотоефекту μф
різко зменшується із збільшенням енергії, і при енергіях понад 10 МеВ у свинці практично не виникають фотоелектрони.
Комптон-ефект
. На слабко зв'язаних атомних електронах відбувається розсіювання γ-квантів, яке називається комптон- ефектом
. Взаємодія γ-кванта з електроном у комптон-ефекті це пружне зіткнення двох кульок з масами і mе
(див. рис.3.2.3).
У кожному пружному зіткненні γ - квант передає частину своєї енергії електрону і розсіюється. Оскільки розсіювання γ - квантів залежить від концентрації атомних електронів Ne
~z, то і комптон - ефект визначається порядковим номером речовини z
. Розсіювання γ – квантів відбувається головним чином на слабо зв’язаних електронах зовнішніх оболонок атомів.

Рис. 3.2.3
Лінійний коефіцієнт ослаблення комптон - ефекту μк
пропорційний відношенню z/Ej
. Тому зі збільшенням енергії доля розсіяних γ - квантів зменшується.
У свинці комптон - ефект починає переважати над фотоефектом в енергетичній області Ej
> 0.5 МеВ
(див. рис.2.4). Зменшення коефіцієнта μк
із збільшенням енергії γ - квантів більш плавне, ніж коефіцієнта μф
. Тому в області енергії Ej
> 0.5
МеВ у свинці утвориться більше комптон - електронів, ніж фотоелектронів. Комптон - ефект стає незначним
при енергіях понад 50 - 100 МеВ.
Утворення електрон-позитронних пар
. Гамма - квант у полі ядра може утворити пару частинок: електрон і позитрон (див. рис.3.2.4). Вся енергія γ - кванта перетворюється в енергію спокою електрона й позитрона 2mе
c2
і в кінетичні енергії цих частинок Eе
і Eе
-
. Умова утворення електрон-позитронної пари знаходиться із закону збереження енергії:
hv =2me
c2
+Ee-
+Ee+
.
(3.2.3.13)
Пари частинок виникають тільки в тому випадку, якщо енергія γ - кванта перевищує подвоєну масу спокою електрона, рівну 1.02 МеВ. Поза полем ядра або, скажимо електрисним полем зарядженої частинки, γ - кванту заборонено перетворюватися в пару частинок, тому що в цьому випадку порушується закон збереження імпульсу. Це випливає, наприклад, із граничної умови утворення пари. Гамма - квант з енергією 1.02 МеВ енергетично може породити електрон і позитрон. Однак їх імпульс буде дорівнювати нулю, тоді як імпульс γ - кванта дорівнює hv/c,
тобто не може дорівнювати нулю.
У полі ядра імпульс і енергія γ - кванта розподіляються між електроном, позитроном і ядром без порушень законів збереження енергії й імпульсу. Маса ядра незрівнянно більша маси електрона і позитрона, тому воно одержує дуже малу частку енергії. В цьому випадку вся енергія γ – кванта перетворюється в енергію електрона й позитрона. Лінійний коефіцієнт ослаблення, пов’язаний з утворенням електрон-позитронної пари μп
пропорційний z2
/lnEj
. Цей ефект помітний у важких речовинах при великих енергіях. Коефіцієнт μп
стає відмінним від нуля при граничній енергії Ej
= 1.02 МеВ.
Починаючи з енергії 10 МеВ
основне поглинання γ - квантів відбувається в полі ядра. Повний лінійний коефіцієнт ослаблення μ як сума трьох коефіцієнтів із збільшенням енергії спочатку зменшується (див. рис.3.2.4) приймаючи мінімальне значення при енергії 3 МеВ
, а потім збільшується.
Такий хід кривої пояснюється тим, що при низьких енергіях залежність μ(Ej)
обумовлюється фотоефектом і комптон- ефектом, а вже при енергіях більших за 3 МеВ
, у коефіцієнт μ основний внесок дає ефект утворення електрон-позитронної пари. Свинець найбільш прозорий для γ - квантів з енергією близько 3 МеВ
.

Рис. 3.2.4
Взаємодія випромінювання з речовиною відбувається в одних ефектах поглинанням γ - квантів (фотоефект, утворення пар), в інших розсіюванням (комптон - ефект). Тому повний лінійний коефіцієнт часто поділяють на дві складові:
, (3.2.3.14)
де μа
= μф
+μп
- лінійний коефіцієнт поглинання; μs
= μк
- лінійний коефіцієнт розсіювання.
Використовуючи лінійний коефіцієнт поглинання легко розрахувати енергію випромінювання Е
, поглинену в одиниці об'єму речовини. Якщо потік моноенергетичних γ - квантів з енергією Ej
дорівнює Ф
, то:
. (3.2.3.15)
Процес перетворення g-кванта в електрон-позитронну пару записують так:
(3.2.3.16)
де - електрон; - позитрон.
Зворотний процес взаємодії позитрона й електрона називаються анігіляцією
(3.2.3.17)
При проходженні g- променів у речовині наряду із фотоефектом, комптонівським розсіюванням і утворенням електрон-позитронних пар, спостерігаються також резонансні явища. Якщо ядро опромінювати g- квантами з енергією, яка дорівнює різниці одного із збуджених нуклонних рівнів і основного енергетичного стану ядра, то спостерігається резонансне поглинання g-випромінювання ядрами. Ядра здатні поглинати енергію g-квантів в тих випадках, коли вони можуть випромінювати такі ж g-кванти у випадку збудженого стану. Це явище вперше спостерігав у 1958 році Мессбауер, яке на його честь було названо ефектом Мессбауера. Явище Мессбауера має досить широке використання в медичній діагностиці.
|