Курсовая работа: Расчет распределительных сетей
|
Название: Расчет распределительных сетей Раздел: Рефераты по физике Тип: курсовая работа | |||||||||||||||||||||||||||||||||||||||||||||||||||||||||||||||||||||||||||||||||||||||||||||||||||||||||||||||||||||||||||||||||||||||||||||||||||||||||||||||||||||||
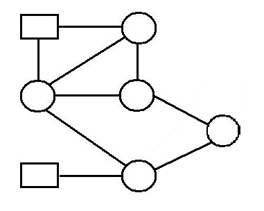
МОСКОВСКИЙ ГОСУДАРСТВЕННЫЙ УНИВЕРСИТЕТ ПУТЕЙ И СООБЩЕНИЯ (МИИТ) Кафедра: теплоэнергетика железнодорожного транспорта Курсовая работа на тему: РАСЧЕТ РАСПРЕДЕЛИТЕЛЬНЫХ СЕТЕЙ ВЫПОЛНИЛ: Студент гр. ТЭН-412 Драбкин П.Д. Проверил Конаков Ю.П. Москва – 2008г. Данные курсового проекта Схема системы:
Потребление энергоносителя.
Длины участков сети.
Расчет системы водоснабжения График нагрузки сети Строится как сумма графиков потребления воды всеми потребителями. Режим максимального водопотребления соответствует часам максимальной нагрузки сети. В режиме максимального транзита нагрузка сети - минимальна.
Среднесуточная нагрузка системы определяется интегрированием графика нагрузки сети по времени:
Эта величина равна производительности насосной станции при условии, что в течение суток вода подается насосами равномерно:
Поток воды в водонапорную башню при минимальной нагрузке сети
В часы максимального водопотребления башня отдает воду в сеть в количестве:
Выбор диаметров труб для участков сети Режим максимального транзита является определяющим для выбора диаметров. Вначале задается начальное потокораспределение, которое удовлетворяет первому закону Кирхгофа. Далее по расходу Дальнейший расчет выполняется с помощью программирования. Создается программа, которая вычисляет увязки по методу Лобачева-Кросса. В ней рассчитываются гидравлические характеристики, вычисляются невязки, определяющие меру несоответствия потоков в сети; исходя из этого выполняется контурная поправка для коррекции значений потоков воды на участке. Данные после работы программы приведены в таблицах: Qcmin
Qcmax
REM Драбкин П.Д. CLS n = 9: dhmin = .01 d(1) = 450 d(2) = 350 d(3) = 250 d(4) = 450 d(5) = 250 d(6) = 300 d(7) = 300 d(8) = 300 d(9) = 150 l(1) = 1000 l(2) = 1150 l(3) = 750 l(4) = 600 l(5) = 650 l(6) = 1000 l(7) = 1300 l(8) = 650 l(9) = 300 q(1) = .185 q(2) = .080 q(3) = .020 q(4) = .185 q(5) = .065 q(6) = .115 q(7) = .075 q(8) = .08 q(9) = .02 FOR i = 1 TO n s(i) = .001735 * 1.1 * l(i) / ((d(i) / 1000) ^ 5.3) NEXT i 10 dh1 = s(1) * q(1) * ABS(q(1)) - s(3) * q(3) * ABS(q(3)) - s(2) * q(2) * ABS(q(2)) dh2 = s(4) * q(4) * ABS(q(4)) + s(3) * q(3) * ABS(q(3)) + s(5) * q(5) * ABS(q(5)) dh3 = -s(7) * q(7) * ABS(q(7)) + s(8) * q(8) * ABS(q(8)) - s(6) * q(6) * ABS(q(6)) - s(5) * q(5) * ABS(q(5)) IF ABS(dh1) < dhmin AND ABS(dh2) < dhmin AND ABS(dh3) < dhmin THEN GOTO 100: dq1 = .5 * dh1 / (s(1) * ABS(q(1)) + s(9) * ABS(q(9)) + s(2) * ABS(q(2))) dq2 = .5 * dh2 / (s(2) * ABS(q(2)) + s(3) * ABS(q(3)) + s(8) * ABS(q(8))) dq3 = .5 * dh3 / (s(4) * ABS(q(4)) + s(7) * ABS(q(7)) + s(8) * ABS(q(8)) + s(5) * ABS(q(5))) q(1) = q(1) - dq1 q(3) = q(3) + dq1 - dg2 q(2) = q(2) + dq1 q(4) = q(4) - dq2 q(5) = q(5) - dq2+ dq3 q(6) = q(6) - dq3 q(7) = q(7) + dq3 q(8) = q(8) - dq3 GOTO 10 100 : FOR i = 1 TO n p(i) = s(i) * (q(i)) ^ 2 NEXT i PRINT "Q=min" PRINT "L(i)", "D(i)", " q(i)", "p(i)" FOR i = 1 TO n PRINT l(i), d(i), q(i), p(i) NEXT i PRINT "dh1="; dh1, "dh2="; dh2, "dh3="; dh3 q(1) = .185 q(2) = .08 q(3) = .055 q(4) = .05 q(5) = .02 q(6) = .025 q(7) = 0.85 q(8) = 0.07 20 dh1 = s(1) * q(1) * ABS(q(1)) + s(3) * q(3) * ABS(q(3)) + s(2) * q(2) * ABS(q(2)) dh2 = s(5) * q(5) * ABS(q(5)) - s(3) * q(3) * ABS(q(3)) - s(4) * q(4) * ABS(q(4)) dh3 = s(7) * q(7) * ABS(q(7)) - s(8) * q(8) * ABS(q(8)) + s(7) * q(7) * ABS(q(7)) + s(5) * q(5) * ABS(q(5)) IF ABS(dh1) < dhmin AND ABS(dh2) < dhmin AND ABS(dh3) < dhmin THEN GOTO 200 dq1 = .5 * dh1 / (s(1) * ABS(q(1)) + s(9) * ABS(q(9)) + s(2) * ABS(q(2))) dq2 = .5 * dh2 / (s(2) * ABS(q(2)) + s(3) * ABS(q(3)) + s(8) * ABS(q(8))) dq3 = .5 * dh3 / (s(4) * ABS(q(4)) + s(7) * ABS(q(7)) + s(8) * ABS(q(8)) + s(5) * ABS(q(5))) q(1) = q(1) - dq1 q(2) = q(2) + dq1 q(3) = q(3) + dq2 - dg1 q(4) = q(4) - dq2 q(5) = q(5) + dq3-dq3 q(2) = q(2) + dq1 q(6) = q(6)+ dq3 q(7) = q(7) - dq3 q(8) = q(8) + dq3 GOTO 20 200 FOR i = 1 TO n p(i) = s(i) * (q(i)) ^ 2 NEXT i PRINT "Q=max" PRINT "L(i)", "D(i)", " q(i)", "p(i)" FOR i = 1 TO n PRINT l(i), d(i), q(i), p(i) NEXT i PRINT "dh1="; dh1, "dh2="; dh2, "dh3="; dh3 END Список литературы 1. Конаков Ю. П. Расчет распределительных сетей, Методические указания к курсовому проекту,МИИТ,М.,2000г. |
|||||||||||||||||||||||||||||||||||||||||||||||||||||||||||||||||||||||||||||||||||||||||||||||||||||||||||||||||||||||||||||||||||||||||||||||||||||||||||||||||||||||

