Контрольная работа: Расчет трехфазных цепей
|
Название: Расчет трехфазных цепей Раздел: Рефераты по физике Тип: контрольная работа | ||||||||||||||||||||||||||||||||||||||||||||||||||||||||||||||
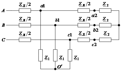
Южно-Уральский государственный университет Заочный инженерно - экономический факультет Семестровое задание №3,4 по Теоретическим основам электротехники Выполнил студент - заочник 3го курса Зайцев Игорь Петрович Шифр – ЭПА-04-588Группа – 347 Семестровое задание № 3 "Расчет трехфазных цепей" Вариант 331 Задача №1 Постановка задачи Необходимо рассчитать линейные и фазные токи симметричной 3-х фазной цепи Содержание работыНарисовать заданную вариантом схему замещения электрической цепи. Указать положительные направления токов линий и фаз; Нарисовать схему замещения фазы и выполнить расчет линейных и фазных токов и напряжений; Записать уравнения баланса мощностей для рассчитанной фазы и проверить его выполнение; Найти линейные и фазные токи и напряжения других фаз; Рассчитать активную, реактивную и полную мощность 3-х фазной цепи; Нарисовать схему включения двух ваттметров для измерения активной мощности 3-х фазной цепи, рассчитать их показания и активную 3-х фазную мощность; Нарисовать топографическую диаграмму напряжений и векторную диаграмму токов 3-х фазной цепи. Дано:
Решение: 1. Укажем положительные направления токов линий и фаз. Так как все нейтральные точки источника (0) и нагрузок (0¢ и 0²) имеют одинаковый потенциал, то, не нарушая режима, можно соединить их проводом с нулевым сопротивлением. После этого фазы не будут иметь никаких общих точек, кроме точек нулевого провода. В связи с этим они не будут оказывать
влияния друг на друга и можно рассмотреть каждую фазу в отдельности. 2. Выделяем фазу A.
Для полученной схемы находим соответствующие токи и напряжения: Напряжение каждой фазы будет:
(Расчеты в MathCad приведены в приложении1) Принимаем начальную фазу напряжения
Фазный и линейный ток
Остальные токи и напряжения:
3. Запишем уравнения баланса мощностей для рассчитанной фазы и проверим его выполнение;
4. По соотношениям симметричного режима определяем остальные линейные напряжения.
А токи и напряжения фазы "В" и "С" определяем с учетом сдвига фаз на 120°.
5. Активная, реактивная и полная мощность 3-х фазной цепи. В симметричной трехфазной системе активные, реактивные и полные мощности фаз одинаковы. И соответствующие мощности трехфазной системы равны утроенной мощности одной фазы. Соотношения между линейными и фазными величинами в симметричной системе, соединенной звездой:
соответственно получаем:
6. Схема включения двух ваттметров для измерения активной мощности 3-х фазной цепи, расчет их показаний и активной 3-х фазной мощности. Величина
7. Топографическая диаграмма напряжений:
Векторная диаграмма токов.
Семестровое задание № 3"Расчет трехфазных цепей"Задача №2Постановка задачи: Необходимо рассчитать линейные и фазные токи несимметричной 3-х фазной цепи. Содержание работы Нарисовать заданную вариантом схему замещения электрической цепи. Указать положительные направления токов линий и фаз; Рассчитать линейные, фазные токи и напряжения и ток в нейтральном проводе (если он есть); Записать уравнения баланса мощностей и проверить его выполнение; Рассчитать активную мощность 3-х фазной цепи. Нарисовать топографическую диаграмму напряжений и векторную диаграмму токов 3-х фазной цепи; Рассчитать симметричные составляющие линейных напряжений на нагрузке ( Дано:
Решение: 1. Схема замещения электрической цепи. Положительные направления токов линий и фаз;
2. Линейные, фазные токи и напряжения
3. Уравнение баланса мощностей и проверка Мощность нагрузок
Мощность источников
Топографическая диаграмма напряжений
Векторная диаграмма токов
|



10,35ej16A
106,4e – j9B
9,7 e – j25A







