Курсовая работа: Решение обратной задачи динамики
|
Название: Решение обратной задачи динамики Раздел: Рефераты по физике Тип: курсовая работа |
Государственное образовательное учреждение высшего профессионального образования «Московский государственный технический университет имени Н.Э. Баумана» Калужский филиал Факультет электроники, информатики и управления Кафедра "Системы автоматического управления и электротехника" (ЭИУ3-КФ) Решение обратной задачи динамики Расчётно-пояснительная записка к курсовой работе по курсу «ТиСУ» Калуга 2009 Содержание Введение Постановка задачи Основные направления развития концепций обратных задач динамики Обратные задачи динамики в теории автоматического управления Применение спектрального метода для решения обратных задач динамики Практическая часть Результаты расчёта Приложения Введение Предлагаемая работа посвящена разработке на основе концепций обратных задач динамики математических методов и построенных на их основе алгоритмов синтеза законов управления и определения параметров настройки САУ из условия реализации на выходе системы законов максимально приближенных в известном смысле к эталонным. Основными в этих методах являются понятия спектральных характеристик функций и систем, под которыми понимаются совокупности коэффициентов Фурье процесса относительно выбранного ортонормированного базиса Постановка задачи Задана система автоматического управления (модель ЭГСП) в виде структурной схемы.
Числовые значения параметров математической модели ЭГСП Параметры в упрощенной структурной схеме на рис. 2 имеют следующие значения: • Параметры рабочей жидкости - Рабочая жидкость: масло АМГ-10 - Рабочее давление в гидросистеме: - Плотность рабочей жидкости: - Объемный модуль упругости жидкости: • Параметры ЭМП и ЭУ - Коэффициент усиления ЭУ по току: - Коэффициент усиления по напряжению выходного каскада электронного усилителя: - Сопротивление обмотки управления: - Сопротивление обратной связи по току: - Суммарное сопротивление: - Индуктивность обмотки управления: - Электрическая постоянная цепи управления ЭМП:
- Коэффициент, характеризующий жесткость силовой характеристики: - Коэффициент вязкого трения: - Коэффициент жесткости обобщенных характеристик: - Коэффициент пропорциональности диаметру сопл: - Масса якоря и заслонки: - Электромеханическая постоянная ЭМП:
- Коэффициент затухания колебательного звена:
• Параметры ГУ - Ширина окна золотника: - Длина окна золотника: - Диаметр штока золотника: - Диаметр рабочей поверхности золотника: - Коэффициент чувствительности ГУ по расходу: - Масса золотника: - Площадь торца золотника: - Максимальная проводимость рабочих окон при
- Площадь поперечного сечения золотника:
- Объем жидкости в междроссельных каналах и торцевой камере золотника:
- Коэффициент, характеризующий жесткость нагрузочных характеристик ГУ в области линеаризации:
- Суммарная жесткость пружин, на которые опирается золотник:
- Жесткость гидродинамической силы: - Коэффициент вязкого трения: - Постоянная
- Коэффициент затухания колебательного звена
• Параметры ДГП - Диаметр поршня (известен интервал значений):
- Диаметр штока: - Площадь поршня (известен интервал значений):
- Длина рабочей камеры цилиндра: - Объем жидкости, подвергающейся сжатию (расширению) в полости 1(2) гидроцилиндра при y = 0 (известен интервал значений):
- Масса поршня штока (известен интервал значений):
- Расстояние между штоком поршня и осью вращения элерона (известен интервал значений): - Коэффициент чувствительности золотникового распределителя по расходу:
- Коэффициент, характеризующий жесткость нагрузочных характеристик ДГП: - Гидравлическая постоянная времени ДГП:
- Коэффициент момента трения со смазочным материалом:
- Коэффициент передачи электрической обратной связи по перемещению поршня - Коэффициент передачи электрической обратной связи по углу руля: - Момент инерции всех подвижных частей привода, приведенный к оси руля: J - Момент аэродинамических сил, действующий на руль относительно его оси вращения Средствами simulink:
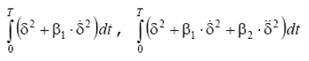
Данная задача относится к так называемым обратным задачам динамики. Основные направления развития концепций обратных задач динамики Динамика как раздел науки о движении рассматривает следующие задачи: – по заданным силам, действующим на систему, определить закон движения (траекторию) этой системы; – по заданному закону движения системы определить силы, под действием которых это движение происходит. Эти задачи являются в определенном смысле противоположными по своему содержанию. Поэтому их именуют прямой и обратной задачами. Хотя обратные задачи динамики имеют давнюю и богатую историю, в настоящее время можно встретить их различное толкование и понимание. Наиболее обобщенное определение понятия обратных задач динамики следующее. Обратными задачами динамики называются задачи об определении активных сил, действующих на механическую систему, параметров механической системы и связей, наложенных на систему, при которых движение с заданными свойствами является одним из возможных движений рассматриваемой механической системы.. Здесь под обратными задачами динамики понимаются задачи об определении законов управления движением динамических систем и их параметров из условия осуществления движения по назначенной траектории. На протяжении длительного времени первая задача являлась основной. В средние века предметом исследований классической механики оказалось, в основном, установление свойств движения заданной механической системы под действием полностью известных сил, т.е. решались так называемые детерминированные прямые задачи динамики. В те времена это и было оправдано, так как соответствующий уровень развития производительных сил потребовал решения в первую очередь задач установления свойств движения механических систем различных конструкций под действием заданных нагрузок и сил. Кроме того, решение прямых задач привлекало еще и тем, что, казалось, оно может восстановить прошлое в движении механической системы и предсказать будущее, если известно состояние системы в данный момент времени. Правда, эта иллюзия детерминизма была вскоре развеяна, в основном, благодаря развитию одного из разделов самой классической механики, теории устойчивости движения. Было установлено, что ни один процесс в природе не происходит так, как он определяется решением соответствующих уравнений движения при заданных начальных условиях. Это объясняется, во-первых, тем, что сами уравнения движения не могут быть составлены точно с учетом всех явлений; во-вторых, любое движение механической системы сопровождается начальными, параметрическими и постоянно действующими возмущениями, они и вызывают отклонение действительного движения системы от движения, полученного решением детерминированной прямой задачи. Было установлено также, что для сохранения желательных свойств движения необходимо управлять движением рассматриваемой механической системы, добиваться устойчивости этого движения, требовать, чтобы оно было неподатливым ко всякого рода возмущениям. А для этого предварительно приходилось решать обратные задачи динамики, определять, при каких условиях осуществимо движение с заданными свойствами. С другой стороны, и само развитие теории управления движениями материальных систем вызвало необходимость решения обратных задач динамики в различных постановках. Все это привело к тому, что обратные задачи классической механики оказались своего рода направляющими и исходными задачами современной науки об управлении движениями материальных систем различной физической природы и конструкций. В настоящее время можно говорить о трех классах обратных задач динамики: – обратные задачи аналитической механики; – обратные задачи динамики управляемого полета; – обратные задачи динамики в теории автоматического управления. Обратные задачи динамики в теории автоматического управления Теория автоматического управления и регулирования развивалась независимо от возникновения и развития концепций обратных задач динамики. Начиная с первых простейших автоматических регуляторов, инженеры и конструкторы создавали автоматические системы, которые обеспечивали протекание управляемых процессов по желаемым законам. В результате в теории автоматического управления разработано большое число практических приемов и методов, которые успешно применяются при проектировании и создании автоматических систем различного назначения. В основе каждого метода заложены концепции обратных задач динамики управляемых систем. Действительно, частотные методы расчета и проектирования систем автоматического регулирования и управления основаны на приближении частотных характеристик проектируемой системы к соответствующим характеристикам желаемого вида, т.е. процессы в проектируемой системе должны быть близки к процессам, протекающим в некоторой эталонной системы, отвечающей требованиям технического задания на проектирования. Расчет параметров систем автоматического регулирования корневыми методами также основан на приближении динамических характеристик проектируемой системы к соответствующим характеристикам некоторой эталонной системы. Мера близости динамических характеристик в таких процедурах расчета определяет соответствие между распределениями корней характеристических уравнений проектируемой и эталонной систем. В теории автоматического управления широкое развитие получили методы синтеза замкнутых систем, основанные на решении оптимизационных задач с использованием различных функционалов, характеризующих качество процессов управления. Большое число процедур было разработано для параметрической оптимизации систем регулирования по критерию минимума интегральных квадратичных оценок, введенных А.А. Красовским еще в 40-е годы. По определению интегральными квадратичными оценками рассматриваемой системы являются:
где x
(t
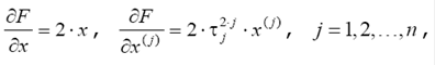
) – выходная переменная, характеризующая состояние системы Для вычисления интегральных квадратичных оценок разработаны различные приемы и способы, которые можно в учебной литературе по теории автоматического регулирования. Задача формулируется следующим образом. Задана структура динамической системы; некоторые параметры системы являются варьируемыми, а остальные должны оставаться неизменными. Требуется найти такие значения варьируемых параметров, при которых реализуется минимум какой-либо интегральной квадратичной оценки. Сформулированная задача является задачей параметрической оптимизации динамической системы. Найденные в результате ее решения параметры именуются оптимальными, а систему с такими параметрами называют оптимальной по переходному процессу. Схема решения задачи параметрической оптимизации в аналитической форме такова. Пусть Однако, как показано в работах А.А. Красовского и А.А. Фельдбаума, оптимальность системы по интегральному квадратичному критерию равносильна тому, что ошибка системы как функция времени подчиняется в процессе управления соответствующему дифференциальному уравнению. Действительно. Пусть состояние системы характеризуется выходной переменной x
(t
) и ее производными
Принимается, что собственное движение системы асимптотически устойчиво. Тогда при
Рассмотрим оценку
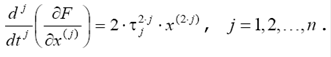
Это дифференциальное уравнение называется уравнением Эйлера-Пуассона. С учетом выражения для можно найти
и, кроме того,
Следовательно, уравнение (1.3) будет
Таким образом, экстремаль x (t ), на которой интеграл обращается в минимум, является решением дифференциального уравнения (1.4) порядка 2n . При этом x (t ) должна удовлетворять граничным условиям (1.1) и (1.2). Характеристическое уравнение, отвечающее (1.16), таково:
Оно обладает тем свойством, что его корни попарно симметричны относительно начала координат комплексной плоскости p
, т.е. корням
где постоянные Пусть для определенности корни таковы, что
В этом случае постоянные
Однако известно, что
Коэффициенты Отметим, что начальными условиями для уравнения (1.7) являются (1.1). Из приведенного анализа следует, что экстремаль Практически не всегда оказывается возможным провести параметрический синтез системы из условия, чтобы ее выходная переменная x
(t
) в точности была равна переменной
и другие. Здесь В прикладных задачах параметрической оптимизации не всегда используются интегральные квадратичные оценки, порядок которых равен порядку дифференциального уравнения оптимизируемой системы. Очень часто параметрический синтез проводят по квадратичным оценкам первого и второго порядка. В таких случаях параметры системы определяются из условия, чтобы выходная переменная x (t ) приближалась к решению дифференциального уравнения первого или соответственно второго порядка. Таким образом, требование оптимальности системы по переходному процессу в смысле минимума интегральной квадратичной оценки В последнее время при анализе и синтезе систем автоматического управления широкое применение нашли спектральные методы, которые базируются на спектральных характеристиках сигналов, что значительно упрощает решение задач теории управления с использованием ЭВМ. Ниже рассмотрим теоретические основы применения спектральных методов при решении задач теории управления. Применение спектрального метода для решения обратных задач динами Рассмотрим решение спектральным методом обратной задачи динамики в следующей постановке. Известна система автоматического управления (регулирования), которая может быть как стационарной, так и нестационарной, и работа которой описывается следующим дифференциальным уравнением:
где
При этом неизвестны некоторые параметры настройки системы управления, которые необходимо определить в процессе решения задачи. Обозначим множество этих параметров через
Задан эталонный сигнал
Для заданных дифференциального уравнения (2.2), эталонного выходного сигнала В качестве меры близости реального сигнала на выходе системы (2.2), (2.3) к эталонному сигналу
Неизвестный входной сигнал будем искать в форме его спектрального разложения в ряд по некоторому базису ортонормированных функций
где коэффициенты Следовательно входной сигнал будет зависеть от времени
Интегрируя уравнение
Воспользовавшись справедливым для любой непрерывной функции тождеством
равенство (2.6) можно переписать в виде
Интегрируя полученное равенство (2.7) по частям и применяя формулы
получим
где
Уравнение (2.8) представляет собой уравнение Вольтера 2-го рода. Преобразуем его к интегральному уравнению Фредгольма 2-го рода на интервале исследования
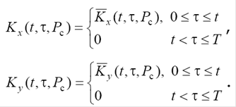
где
Таким образом, получены две эквивалентные формы описания системы: дифференциальное уравнение (2.2) с начальными условиями (2.3) и интегральное уравнение (2.9). Функция
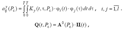
Введем следующие обозначения:
Тогда полином
где Рассмотрим левую часть уравнения (2.9). Представим функции, входящие в нее, в виде разложений в ряд по ортонормированному базису Имеем
где
где
Подставив полученные разложения (2.10) и (2.11) в левую часть уравнения (2.9) и учитывая, что
где Сделаем аналогичные преобразования для правой части уравнения (2.9).
где
где
где
Подставляя разложения (2.13), (2.14) и (2.15) в (2.9) и делая соответствующие преобразования, получим
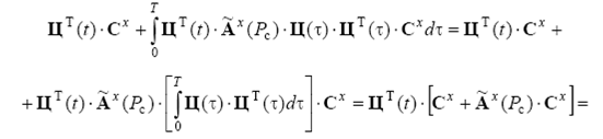
Таким образом, уравнение (2.9) с учетом (2.12) и (2.16) можно переписать в следующем виде
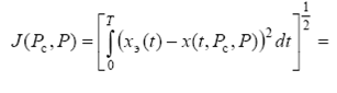
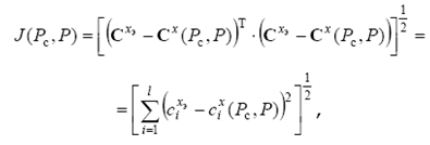
Рассмотрим теперь функционал (2.4). Имеем
Так как
или
где
Здесь спектральная характеристика эталонного сигнала
Таким образом, задача определения входного сигнала
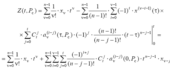
Практическая часть Результаты расчётов: 1. Интервал исследования tmin = 0.000000e+000, c; tmax = 7.000000e+000, c; Nt = 512; 2. Формирование системы функций Уолша Оператор интегрирования Ai Columns 1 through 6 3.5000 1.7500 0 0.8750 0 0 -1.7500 0 0.8750 0 0 0 0 -0.8750 0 0 0 0.4375 -0.8750 0 0 0 0.4375 0 0 0 0 -0.4375 0 0 0 0 -0.4375 0 0 0 0 -0.4375 0 0 0 0 -0.4375 0 0 0 0 0 Columns 7 through 8 0 0.4375 0.4375 0 0 0 0 0 0 0 0 0 0 0 0 0 Оператор дифференцирования Ad 0 0 0 0 0 0 0 0 0 0 0 0 0 0 0 0 0 0 0 0 0 0 0 0 0 0 0 0 0 0 0 0 0 0 0 0 0 0 0 0 0 0 0 0 0 0 0 0 0 0 0 0 0 0 0 0 0 0 0 0 0 0 0 0 3. Операторы левой линейной части Оператор Aw1 Columns 1 through 6 0.0046 0.0000 -0.0000 0.0000 -0.0000 0.0000 -0.0000 0.0046 0.0000 0.0000 -0.0000 -0.0000 -0.0000 -0.0000 0.0046 0.0000 -0.0000 0.0000 -0.0000 0.0000 -0.0000 0.0046 0.0000 0.0000 -0.0000 0.0000 -0.0000 -0.0000 0.0046 0.0000 -0.0000 -0.0000 -0.0000 0.0000 -0.0000 0.0046 -0.0000 -0.0000 0.0000 0.0000 -0.0000 -0.0000 -0.0000 0.0000 -0.0000 0.0000 -0.0000 0.0000 Columns 7 through 8 -0.0000 0.0000 0.0000 0.0000 0.0000 0.0000 -0.0000 0.0000 -0.0000 0.0000 0.0000 0.0000 0.0046 0.0000 -0.0000 0.0046 Оператор Aw2 Columns 1 through 6 0.0073 0.0000 -0.0000 0.0000 -0.0000 0.0000 -0.0000 0.0073 0.0000 0.0000 -0.0000 -0.0000 -0.0000 -0.0000 0.0073 0.0000 -0.0000 0.0000 -0.0000 0.0000 -0.0000 0.0073 0.0000 0.0000 -0.0000 0.0000 -0.0000 -0.0000 0.0073 0.0000 -0.0000 -0.0000 -0.0000 0.0000 -0.0000 0.0073 -0.0000 -0.0000 0.0000 0.0000 -0.0000 -0.0000 -0.0000 0.0000 -0.0000 0.0000 -0.0000 0.0000 Columns 7 through 8 -0.0000 0.0000 0.0000 0.0000 0.0000 0.0000 -0.0000 0.0000 -0.0000 0.0000 0.0000 0.0000 0.0073 0.0000 -0.0000 0.0073 Оператор Aw3 Columns 1 through 6 1.5139 0.0561 -0.0561 0.0561 -0.0537 0.0537 -0.0561 1.4016 0.1682 0.0561 -0.0537 -0.1610 -0.0561 -0.1682 1.2894 0.0560 -0.0536 0.2686 -0.0561 0.0561 -0.0560 1.1774 0.3758 0.0536 -0.0537 0.0537 -0.0536 -0.3758 1.0700 0.0513 -0.0537 -0.1610 -0.2686 0.0536 -0.0513 0.9674 -0.0537 -0.1612 0.1610 0.0537 -0.0514 -0.1541 -0.0537 0.0537 -0.0537 0.0537 -0.0514 0.0514 Columns 7 through 8 -0.0537 0.0537 0.1612 0.0537 0.1610 0.0537 -0.0537 0.0537 -0.0514 0.0514 0.1541 0.0514 0.8646 0.0514 -0.0514 0.7617 Оператор Aw4 0 0 0 0 0 0 0 0 0 0 0 0 0 0 0 0 0 0 0 0 0 0 0 0 0 0 0 0 0 0 0 0 0 0 0 0 0 0 0 0 0 0 0 0 0 0 0 0 0 0 0 0 0 0 0 0 0 0 0 0 0 0 0 0 Оператор левой части Aw_l 1.0e-004 * Columns 1 through 6 0.5089 0.0190 -0.0189 0.0189 -0.0181 0.0181 -0.0190 0.4710 0.0568 0.0189 -0.0181 -0.0544 -0.0189 -0.0568 0.4331 0.0189 -0.0181 0.0907 -0.0189 0.0189 -0.0189 0.3952 0.1269 0.0181 -0.0181 0.0181 -0.0181 -0.1269 0.3590 0.0173 -0.0181 -0.0544 -0.0907 0.0181 -0.0173 0.3243 -0.0182 -0.0545 0.0544 0.0181 -0.0174 -0.0521 -0.0182 0.0182 -0.0181 0.0181 -0.0174 0.0174 Columns 7 through 8 -0.0182 0.0182 0.0545 0.0182 0.0544 0.0181 -0.0181 0.0181 -0.0174 0.0174 0.0521 0.0174 0.2896 0.0174 -0.0174 0.2548 4. Операторы правой линейной части Оператор Aw5 1.0e+005 * Columns 1 through 6 7.7999 0.0001 -0.0001 0.0001 -0.0001 0.0001 -0.0001 7.7997 0.0003 0.0001 -0.0001 -0.0002 -0.0001 -0.0003 7.7994 0.0001 -0.0001 0.0004 -0.0001 0.0001 -0.0001 7.7992 0.0006 0.0001 -0.0001 0.0001 -0.0001 -0.0006 7.7991 0.0001 -0.0001 -0.0002 -0.0004 0.0001 -0.0001 7.7989 -0.0001 -0.0003 0.0002 0.0001 -0.0001 -0.0002 -0.0001 0.0001 -0.0001 0.0001 -0.0001 0.0001 Columns 7 through 8 -0.0001 0.0001 0.0003 0.0001 0.0002 0.0001 -0.0001 0.0001 -0.0001 0.0001 0.0002 0.0001 7.7988 0.0001 -0.0001 7.7987 Оператор Aw6 Columns 1 through 6 0.4328 0.3246 0.0812 0.1623 0.0203 0 -0.3246 -0.2164 0 -0.0812 0 0.0203 0.0812 0 -0.0541 0 0 0 -0.1623 -0.0812 0 -0.0541 0 0 0.0203 0 0 0 -0.0135 0 0 0.0203 0 0 0 -0.0135 0.0406 0 -0.0203 0 0 0 -0.0812 -0.0406 0 -0.0203 0 0 Columns 7 through 8 0.0406 0.0812 0 -0.0406 -0.0203 0 0 -0.0203 0 0 0 0 -0.0135 0 0 -0.0135 Оператор Aw7 0 0 0 0 0 0 0 0 0 0 0 0 0 0 0 0 0 0 0 0 0 0 0 0 0 0 0 0 0 0 0 0 0 0 0 0 0 0 0 0 0 0 0 0 0 0 0 0 0 0 0 0 0 0 0 0 0 0 0 0 0 0 0 0 Оператор Aw8 0 0 0 0 0 0 0 0 0 0 0 0 0 0 0 0 0 0 0 0 0 0 0 0 0 0 0 0 0 0 0 0 0 0 0 0 0 0 0 0 0 0 0 0 0 0 0 0 0 0 0 0 0 0 0 0 0 0 0 0 0 0 0 0 Оператор правой части Aw_r 1.0e+004 * Columns 1 through 6 5.7888 3.1355 0.0242 1.5557 0.0216 -0.0216 -3.1355 -0.4822 1.5073 -0.0242 0.0216 0.0647 0.0242 -1.5073 -0.4338 -0.0241 0.0214 0.6817 -1.5557 -0.0242 0.0241 -0.3856 0.6388 -0.0214 0.0216 -0.0216 0.0214 -0.6388 -0.3425 -0.0191 0.0216 0.0647 -0.6817 -0.0214 0.0191 -0.3043 0.0217 -0.7248 -0.0647 -0.0216 0.0192 0.0576 -0.7683 -0.0217 0.0216 -0.0216 0.0192 -0.0192 Columns 7 through 8 0.0217 0.7683 0.7248 -0.0217 -0.0647 -0.0216 0.0216 -0.0216 0.0192 -0.0192 -0.0576 -0.0192 -0.2659 -0.0193 0.0193 -0.2272 5. Спектральная характеристика входного сигнала Оператор Cu 1 0 0 0 0 0 0 0 6. Расчет выходного сигнала Нулевое приближение Eeps = 3.400702e+000; 14-ое приближение: Eeps = 4.293157e-010; Elapsed time is 120.625000 seconds.>>
График выходного сигнала при нагрузке
На рисунках 1 и 2 представлены результаты анализа системы с использованием метода матричных операторов и с использованием функций Уолша для входного сигнала и для сравнения приведены графики требуемого выходного сигнала, а также сигнала, который может обеспечить данная система при значении нагрузки Листинг программ: Программа анализа электрогидравлического следящего привода (рулевой машинки как отдельного элемента системы самонаведения) с использованием спектрального метода (базис функций Уолша) close all; clear all; clc; warning off; tic; 1. Параметры системы и интервал исследования egsp_data; fprintf('-------------------------------------------------------------\n'); fprintf('1. Интервал исследования \n'); fprintf('------------------------\n'); fprintf('tmin = %e, c;\n',tmin); fprintf('tmax = %e, c;\n',tmax); fprintf('Nt = %i;\n',Nt); fprintf('\n'); 2. Формирование системы базисных функций settime(T); setsize(Nt); Ai = mkint; Ad = inv(Ai); Ae = eye(Nt); fprintf('-------------------------------------------------------------\n'); fprintf('2. Формирование системы функций Уолша \n'); fprintf('-------------------------------------\n'); %pr_matrix(Ai,'Оператор интегрирования Ai'); disp('Оператор интегрирования Ai'); disp(Ai(1:8,1:8)); %pr_matrix(Ad,'Оператор дифференцирования Ad'); disp('Оператор дифференцирования Ad'); disp(Ad(1:8,1:8)); 3. Расчет операторов левой линейной части fprintf('-------------------------------------------------------------\n'); fprintf('3. Операторы левой линейной части \n'); fprintf('---------------------------------\n'); % оператор ПФ W1(s) - электрической части Aw1 = inv(RS*(Ty*Ae+Ai))*(Ky1*KU*Ai); %pr_matrix(Aw1,'Оператор Aw1 '); disp('Оператор Aw1 '); disp(Aw1(1:8,1:8)); % оператор ПФ W2(s) - электромагнитного преобразователя и часть расходов Aw2 = inv(CS*(Tem^2*Ae+2*Tem*dzem*Ai+Ai^2))*(KFi*Kqh*Ai^2); %pr_matrix(Aw2,'Оператор Aw2' ); disp('Оператор Aw2' ); disp(Aw2(1:8,1:8)); % оператор ПФ W3(s) - движения золотника и часть расходов Aw3 = inv(Kqp1*(Cp+Cg)*(Tz^2*Ae+2*Tz*dzz*Ai+Ai^2))*(Az*Ai^2); %pr_matrix(Aw3,'Оператор Aw3' ); disp('Оператор Aw3' ); disp(Aw3(1:8,1:8)); % оператор ПФ W4(s) - местной обратной связи Aw4 = Az*Ad; %pr_matrix(Aw4,'Оператор Aw4' ); disp('Оператор Aw4' ); disp(Aw4(1:8,1:8)); % оператор левой линейной части Aw34 = inv(Ae+Aw4*Aw3)*Aw3; Aw_1 = Aw34*Aw2*Aw1; %pr_matrix(Aw_l,'Оператор левой части Aw_l'); disp('Оператор левой части Aw_l'); disp(Aw_1(1:8,1:8)); 4. Расчет операторов правой линейной части fprintf('-------------------------------------------------------------\n'); fprintf('4. Операторы правой линейной части \n'); fprintf('----------------------------------\n'); % оператор ПФ W5(s) - уравнения расходов Aw5 = inv(Kqp*(Tg*Ae+Ai))*(Ap*l*Ai); %pr_matrix(Aw5,'Оператор Aw5' ); disp('Оператор Aw5' ); disp(Aw5(1:8,1:8)); % оператор ПФ W6(s) - нагрузка Aw6 = J*Ai^2; %pr_matrix(Aw6,'Оператор Aw6' ); disp('Оператор Aw6' ); disp(Aw6(1:8,1:8)); % оператор ПФ W7(s) - трение Aw7 = Kf*Ad; %pr_matrix(Aw7,'Оператор Aw7' ); disp('Оператор Aw7' ); disp(Aw7(1:8,1:8)); % оператор ПФ W8(s) - местная обратная связь Aw8 = Ap*l*Ad; %pr_matrix(Aw8,'Оператор Aw8' ); disp('Оператор Aw8' ); disp(Aw8(1:8,1:8)); % оператор правой линейной части Aw67 = inv(Ae+Aw7*Aw6)*Aw6; Aw671 = inv(Ae+Ksh*Aw67)*Aw67; Aw_r = Kz*inv(Ae+Aw8*Aw671*Aw5)*(Aw671*Aw5); %pr_matrix(Aw_r,'Оператор правой части Aw_r' ); disp('Оператор правой части Aw_r' ); disp(Aw_r(1:8,1:8)); 5. Спектральная характеристика входного сигнала fprintf('-------------------------------------------------------------\n'); fprintf('5. Спектральная характеристика входного сигнала \n'); fprintf('-----------------------------------------------\n'); u = zeros(1,Nt)+1; Cu = fwht(u'); %pr_matrix(Cu,'Cu'); disp('Оператор Cu' ); disp(Cu(1:8)); 6. Расчет выходного сигнала методом последовательных приближений fprintf('-------------------------------------------------------------\n'); fprintf('6. Расчет выходного сигнала \n'); fprintf('---------------------------\n'); Cd_old = zeros(Nt,1); Ce = Cu-Cd_old; Cx = Aw_1*Ce; x = iwht(Cx)'; xf = egsp_f(x,xm); Cxf = fwht(xf'); Cd_new = Aw_r*Cxf; Ceps = Cd_new-Cd_old; Eeps = sqrt(Ceps'*Ceps); fprintf('Нулевое приближение \n'); fprintf('Eeps = %e;\n',Eeps); d = iwht(Cd_new)'; figure; clf; plot(t,d); xlabel('t, c'); ylabel('delta(t)'); Niter = 0; while Eeps >= 1e-8 Niter = Niter+1; Cd_old = Cd_new; Ce = Cu-Cd_old; Cx = Aw_1*Ce; x = iwht(Cx)'; xf = egsp_f(x,xm); Cxf = fwht(xf'); Cd_new = Aw_r*Cxf; Ceps = Cd_new-Cd_old; Eeps = sqrt(Ceps'*Ceps); end fprintf('%i-ое приближение :\n',Niter); fprintf('Eeps = %e;\n',Eeps); d = iwht(Cd_new)'; %my_plot2(t,d,'t, c','delta(t)'); plot(t,d); xlabel('t, c'); ylabel('delta(t)'); grid on; toc; |



(1.3)

(1.7)
(2.2)
(2.4)
(2.5)
(2.6)
(2.7)
(2.8)

(2.9)





, где 
(2.14)
(2.15)

(2.16)

, то последние выражение можно записать в следующем виде
(2.18)
, 
