Реферат: Склокерамічні матеріали на основі компонента з фазовим переходом метал-напівпровідник

Название: Склокерамічні матеріали на основі компонента з фазовим переходом метал-напівпровідник
Раздел: Рефераты по физике
Тип: реферат

ДНІПРОПЕТРОВСЬКИЙ НАЦІОНАЛЬНИЙ УНІВЕРСИТЕТ

ІВОН Олександр Іванович

УДК 536.425+536.764+666.266.6

СКЛОКЕРАМІЧНІ МАТЕРІАЛИ НА ОСНОВІ

КОМПОНЕНТА З ФАЗОВИМ ПЕРЕХОДОМ

МЕТАЛ - НАПІВПРОВІДНИК

01.04.07- фізика твердого тіла

АВТОРЕФЕРАТ

дисертації на здобуття наукового ступеня

доктора фізико-математичних наук

Дніпропетровськ - 2008


Дисертацією є рукопис.

Робота виконана в Дніпропетровському національному університеті,

Міністерство освіти і науки України.

Офіційні опоненти:

доктор фізико-математичних наук, член-кореспондент НАН України

Григорьєв Олег Миколайович

Інститут проблем матеріалознавства ім. І.М. Францевича НАН України,

завідувач відділу конструкційної кераміки та керметів;

доктор фізико-математичних наук, професор

Прокопенко Ігор Васильович

Інститут фізики напівпровідників ім. В.Є. Лашкарьова НАН України,

заступник директора

доктор фізико-математичних наук, професор

Волнянський Михайло Дмитрович

Дніпропетровський національний університет,

професор кафедри „Фізики твердого тіла і оптоелектроніки”.

Захист відбудеться “30“ травня 2008 р. о 1430 годині на засіданні спеціалізованої вченої ради Д 08.051.02 при Дніпропетровському національному університеті (49050, м. Дніпропетровськ 50, вул. Наукова, 10, корпус 11, ауд. 300).

З дисертацією можна ознайомитися у бібліотеці Дніпропетровського національного університету (49050, м. Дніпропетровськ 50, вул. Казакова, 8).

Відгук на автореферат дисертації надсилати на адресу: 49010, м. Дніпропетровськ, 10, пр. Гагаріна, 72.

Автореферат розісланий “9“ квітня 2008 р.

Вчений секретар

спеціалізованої вченої ради Спиридонова І. М.


ЗАГАЛЬНА ХАРАКТЕРИСТИКА РОБОТИ

Актуальність теми. Фазовий перехід метал-напівпровідник (ФПМН) є переходом першого роду, який спостерігається в оксидах та сульфідах перехідних металів і супроводжується перебудовою їх енергетичної структури. Ця перебудова відбувається завдяки електронно-електронній або електронно-фононній взаємодіям, які відіграють значну роль в формуванні енергетичної структури матеріалу через вузькість дозволених електронних зон. Питання про те, яка з цих взаємодій ініціює ФПМН, до цього часу є дискусійним і потребує подальших досліджень. Завдяки перебудові енергетичної структури при ФПМН спостерігається унікальне фізичне явище - різка зміна (стрибок) електричних, оптичних, магнітних та інших параметрів матеріалу. Це має значний прикладний інтерес для створення на основі матеріалів з ФПМН різноманітних електронних, оптоелектронних та оптичних приладів: критичних терморезисторів, електричних і оптичних перемикачів, елементів пам’яті та відображення інформації, болометрів, „інтелектуальних” вікон та інших. Тому дослідження матеріалів з ФПМН має важливе наукове і прикладне значення.

Незважаючи на широкі можливості практичного використання матеріалів з ФПМН, багато з них до цього часу не реалізовано. Причиною є незворотні зміни (деградація) фізичних параметрів кристалів з ФПМН при термоциклюванні через температуру фазового переходу Tt . Фізичні процеси, які призводять до деградації, досліджені мало, а шляхи її подолання невизначені. Більшість наукових праць, пов’язаних з дослідженням і використанням матеріалів з ФПМН, присвячена плівкам, що обумовлено їх досить стабільною поведінкою при термоциклюванні. Проте плівки, на відміну від об’ємних матеріалів, нездатні працювати при значних електричних струмах, і тому непридатні, наприклад, для використання в силовій електроніці. Перспективними для цього є об’ємні склокерамічні матеріали на основі компонента з фазовим переходом метал-напівпровідник. Відомостей про такі матеріали в науковій літературі мало, а фізичні процеси, які викликає в них ФПМН, практично не вивчались.

В зв’язку з цим синтез і комплексне дослідження об’ємних склокерамічних матеріалів на основі компонента з фазовим переходом метал-напівпровідник, які мають властивості, притаманні такому переходу, і не виявляють деградації при термоциклюванні є актуальною науковою і прикладною задачею .

Яскравим представником матеріалів з ФПМН є діоксид ванадію (VO2 ), який має зручну для багатьох практичних застосувань температуру переходу Tt ~341 K і стрибок електропровідності в її межах 102 - 105 . Це визначило вибір в роботі VO2 як основи склокерамічних матеріалів. Дослідження таких матеріалів дозволяє отримати наукові результати, які з урахуванням спільності фізичних процесів, притаманних різним сполукам з таким переходом, дозволяє узагальнити їх на весь клас склокерамічних матеріалів на основі компонента з ФПМН.

Зв’язок роботи з науковими програмами, планами, темами. Напрямок дисертаційної роботи пов’язаний з планами науково-дослідних робіт і держбюджетними темами, які виконувались і виконуються в Дніпропетровському національному університеті на факультеті „Фізики, електроніки та комп’ютерних систем”: координаційний план АН СРСР на 1981–1985 р. за темою „Исследование свойств материалов твердотельной электроники с целью их оптимального использования” (звіт з НДР за 1983 та 1985 р., № держреєстр. 81081755); № 24-94 „Дослідження електричних властивостей керамік, елементів захисту від перенапруги” (№ держреєстр. 0194U001000); № 06-83-98 „Дослідження впливу деградаційних факторів на електронні явища в неоднорідних оксидних системах” (Науково-технічний план Міністерства освіти України, наказ № 37 від 13.02.97 р., № держреєстр. 0198U003735); №7-093-05 „Дослідження оптичних та електричних властивостей напівпровідникових кристалів, кераміки, гетероепітаксиальних та квантоворозмірних структур” (Наказ Міністерства освіти і науки України № 960 від 22.12.04 р., № держреєстр. 0105U000375).

Мета і задачі досліджень. Метою даного дослідження є встановлення закономірностей впливу умов одержання, хімічного складу і зовнішніх чинників (температури, електричного поля, термоциклювання через температуру ФПМН) на формування мікроструктури, фазовий склад, фізико-хімічні параметри та електрофізичні властивості склокерамічних матеріалів на основі компонента з фазовим переходом метал-напівпровідник -VO2 , розробка модифікованих складів склокерамічних матеріалів, що мають властивості, притаманні ФПМН, і не виявляють деградації при термоциклюванні, а також можливості їх використання в електроніці і електротехніці для захисту від струмових та теплових перевантажень.

Для досягнення поставленої мети необхідно було вирішити наступні задачі :

1. Розвиток експериментальних методик одержання і дослідження кристалічного порошку VO2 та ванадієво-фосфатних стекол (ВФС), вивчення кристалізації ВФС та побудова фазової діаграми системи V2 O5 -P2 O5 , дослідження кінетики розчинення VO2 в розплавах V2 O5 та ВФС і побудова моделі цього процесу. Визначення і фізичне обґрунтування на основі отриманих даних оптимальних режимів синтезу кераміки на базі VO2 та ВФС, які забезпечують заданий комплекс електрофізичних властивостей, насамперед величину стрибка електропровідності склокераміки при ФПМН в VO2 не менше, ніж 102 .

2. Дослідження мікроструктури та фазового складу кераміки на базі VO2 та ВФС і впливу на них добавок металів та оксидів з метою встановлення особливостей побудови цього гетерогенного матеріалу і модифікації фазового складу і мікроструктури склокераміки добавками.

3. Подальший розвиток моделі термічного аналізу для встановлення кількісного зв’язку між параметрами ендотермічного піку, обумовленого фазовим переходом метал-напівпровідник і вмістом компонента з ФПМН. Розробка за результатами моделювання ефективного методу контролю вмісту компонента з ФПМН в гетерогенних матеріалах і визначення на його підставі вмісту VO2 в склокераміці різних складів для отримання інформації про участь VO2 в процесах утворення фаз при синтезі склокераміки.

4. Дослідження електропровідності кераміки на базі VO2 та ВФС і її модифікованих складів з добавками металів і оксидів з метою вивчення впливу добавок на електропровідність та величину її стрибка при ФПМН в VO2 і встановлення механізму електропровідності. Побудова моделі електропровідності склокераміки на основі компонента з ФПМН і розробка рекомендацій по керуванню електропровідністю такої склокераміки шляхом варіації її складу.

5. Встановлення механізму перемикання і відхилення від закону Ома в склокерамічних матеріалах на основі VO2 та розробка моделі, яка описує вольт-амперні характеристики (ВАХ) таких матеріалів.

6. Встановлення механізму впливу термоциклювання через температуру ФПМН на електропровідність і ВАХ об’ємних склокерамічних матеріалів на основі компонента з фазовим переходом метал-напівпровідник, розробка моделі деградації таких матеріалів при термоциклюванні та рекомендацій по подоланню деградацій шляхом варіації складу, мікроструктури та технології одержання. Розробка рекомендацій з практичного використання результатів досліджень.

Об’єктом дослідження є, процеси формування фазового складу та мікроструктури склокерамічних матеріалів на основі компонента з ФПМН і механізми явищ в таких матеріалах зв’язані з електропровідністю, відхиленням від закону Ома та термоциклюванням через температуру фазового переходу. Предмет дослідження - об’ємні гетерогенні склокерамічні матеріали на основі компонента з фазовим переходом метал-напівпровідник VO2 .Для розв’язання поставлених задач та досягнення мети дисертаційної роботи використовувались наступні експериментальні методи : рентгенофазовий, диференціальний термічний, термогравіметричний та хімічний аналізи, СЕМ, рентгенівський мікроаналіз і дилатометричний метод. Стандартні електрофізичні методи і прилади були використані для дослідження електропровідності і ВАХ зразків склокераміки.

Наукова новизна отриманих результатів. До найбільш суттєвих оригінальних результатів, що виносяться на захист, та отримані вперше особисто дисертантом, відносяться:

1. Розроблено наукові засади технології одержання склокерамічних матеріалів на основі компонента з фазовим переходом метал-напівпровідник – діоксиду ванадію і оптимізовано режими синтезу таких матеріалів.

2. Встановлено закономірності формування фазового складу і мікроструктури склокераміки в системах VO2 -ВФС, VO2 -ВФС-SnO2 , VO2 -ВФС -Cu, VO2 -ВФС-Cu-SnO2 , VO2 -ВФС-Zn-SnO2 , VO2 -ВФС-Cu-TiO2 і VO2 -ВФС -Cu-ZnO. Показана можливість цілеспрямованих змін фазового складу і мікроструктури кераміки на базі VO2 і ВФС шляхом її модифікування добавками металів та оксидів.

3. Встановлено закономірності впливу мікроструктури, добавок металів та оксидів на питому електропровідність s і величину її стрибка в межах температури Tt ~341 K в кераміці на базі VO2 та ВФС. Показано, що стрибок s, обумовлений ФПМН у VO2 , складає не менше 102 для склокераміки систем VO2 -ВФС, VO2 -ВФС-SnO2 , VO2 -ВФС-Cu і VO2 -ВФС-Cu-SnO2 при вмісті міді не більше 5 ваг. % і зникає, коли її вміст перевищує 10 ваг. % або склад склокераміки модифіковано добавками TiO2 , ZnO і Zn.

4. Розроблено модель електропровідності склокерамічних матеріалів на основі компонента з фазовим переходом метал-напівпровідник, згідно якій такі матеріали мають стрибок електропровідності в межах температури переходу, якщо в них при синтезі сформовано нескінченний кластер с протіканням крізь кристаліти компонента з ФПМН. Показано, що провідну роль для формування такого кластеру в склокераміці на основі VO2 грають провідникові містки між кристалітами VO2 , які виникають в процесі синтезу за рахунок зростання кристалітів VO2 , легування скла міддю і кристалізації фази V5 O9 .

5. Відкрито два нових явища, які зв’язані з фазовим переходом метал-напівпровідник - гістерезис і розмірний ефект ВАХ. Ці явища спостерігаються у зразку матеріалу з ФПМН після перемикання у стан з низьким опором, коли в ньому співіснують як металева фаза в шнурі струму, так і напівпровідникова за його межами. Гістерезис спостерігається як незбіг гілок ВАХ, виміряних в циклі збільшення-зменшення струму, і є наслідком температурного гістерезису ФПМН, який веде до встановлення різних рівновагових температур на межі шнура металевої фази при збільшенні і зменшенні струму. Розмірний ефект полягає в зміні знаку диференційного опору ВАХ від негативного до позитивного при збільшенні струму і є наслідком обмеження розширення шнура металевої фази розмірами зразка. В межах електротермічної моделі отримано аналітичний вираз для ВАХ, який адекватно описує гістерезис і розмірний ефект.

6. Встановлено закономірності впливу термоциклювання через температуру ФПМН на електропровідність і ВАХ кераміки на базі VO2 та ВФС. Доведено, що причиною деградації склокераміки при термоциклюванні, яка полягає в незворотному зменшенні електропровідності та її стрибка при ФПМН, є механічні напруження, що виникають на межі металевої і напівпровідникової фаз і внаслідок малої пластичності кристалів VO2 і ВФС ведуть до утворення мікротріщин, котрі розривають електричні зв’язки в нескінченному кластері з протіканням крізь кристаліти VO2 . Встановлено, що модифікування склокераміки міддю і SnO2 дозволяє подолати деградацію при термоциклюванні.

7. Вперше в рамках підходу, який базується на теорії протікання, уявленнях про енергію пружної деформації, викликаної ФПМН, та енергію формування мікротріщини розроблено модель деградації склокераміки на основі VO2 . В межах моделі обгрунтовано значне зменшення деградації при модифікуванні склокераміки міддю і SnO2 і визначені рекомендації з подолання деградації при термоциклюванні шляхами зменшення розмірів кристалітів VO2 і їх об’ємної долі, а також створення розвиненої сітки електричних зв’язків між кристалітами VO2 за рахунок модифікування складу склокераміки добавками металів.

Практичне значення отриманих результатів.

1. Розроблено новий спосіб виготовлення VO2 шляхом відновлення V2 O5 вуглецем, який дозволяє отримати VO2 зі стрибком електропровідності при ФПМН близько 103 , відрізняється від відомих способів невеликими часовими затратами і може бути легко адаптований до промислового виробництва.

2. Розроблено спосіб виготовлення кераміки на базі VO2 і ВФС, а також її складів, модифікованих добавками металів і оксидів.

3. Розроблено нову методику визначення за даними ДТА вмісту VO2 в гетерогенних матеріалах з відносною похибкою не більше ± 5% при вмісті VO2 від 20 до 100 ваг. % і ± 10% при вмісті VO2 від 1 до 10 ваг. %.

4. В системі VO2 -ВФС-Cu-SnO2 одержано об’ємні склокерамічні матеріали, які здатні працювати при струмі до десятка ампер, не проявляють суттєвої деградації електрофізичних параметрів після 104 термоциклів через температуру ФПМН і можуть служити основою для створення порогових перемикачів та критичних терморезисторів зі стрибком опору близько 102 в межах температури 343 K. Розроблено схеми та рекомендації з вибору оптимальних параметрів таких терморезисторів для ефективного захисту процесора комп’ютера від перегріву і освітлювальних ламп розжарювання від струму увімкнення.

Достовірність. Основні положення і висновки дисертації базуються на значному експериментальному матеріалі, одержаному із застосуванням комплексу взаємодоповнюючих, апробованих сучасних методів дослідження, широкому колі складів склокерамічних матеріалів на основі VO2 , які досліджувались, відтворюванні і статистичній обробці результатів вимірів, співставленні результатів моделювання і розрахунку з експериментальними даними, а також на порівнянні результатів, отриманих в роботі, з даними інших дослідників.

Сукупність отриманих в роботі даних і розвинутих моделей складає основу для розвитку нового, перспективного напрямку фізики твердого тіла, а саме: розробка наукових засад синтезу та модифікування нового класу матеріалів – склокераміки на основі компонента з фазовим переходом метал-напівпровідник .

Особистий внесок здобувача. Експериментальні і теоретичні дослідження за темою дисертації, написання наукових статей, патентів, підготовка доповідей та їх тез виконані автором особисто або за його безпосередньою участю. Авторові особисто належать основні ідеї, покладені в основу дисертації, загальна постановка задачі, розробка та реалізація способів одержання об’єктів та методів їх досліджень, аналіз та інтерпретація результатів, розробка теоретичних моделей, формулювання наукових положень та висновків. Зокрема автором персонально: - з’ясовано механізм електрокристалізації VO2 в розплавах V2 O5 і ванадієво-фосфатних стекол і побудовано модель цього явища [1, 5, 8, 29]; - методом ДТА досліджені ВФС різних складів після їх кристалізації і побудована фазова діаграма системи V2 O5 -b-VOPO4 [2-4]; - запропоновано механізм розчинення VO2 в розплавах V2 O5 і ВФС та побудована модель цього процесу [6]; - запропоновано способи синтезу VO2 шляхом відновлення V2 O5 вуглецем [18, 27] та одержання склокераміки на базі VO2 і ВФС [7, 28, 30], розроблено методику визначення вмісту VO2 в гетерогенних матеріалах [19]; - на підставі даних рентгенофазового аналізу, СЕМ та рентгенівського мікроаналізу запропоновано механізм формування мікроструктури і фазового складу склокераміки на основі VO2 при синтезі [24]; - досліджені температурні залежності електропровідності склокераміки різних складів і побудовано моделі для опису електропровідності [11, 13, 15, 16, 23, 33, 37]; - досліджені ВАХ склокераміки на основі компонента з ФПМН і виконано їх теоретичний опис [14, 34]; - відкриті явища гістерезису і розмірного ефекту ВАХ і запропоновано механізми цих явищ [20, 26, 36]; - виконані дослідження впливу термоциклювання на електропровідність та ВАХ склокераміки на базі VO2 і ВФС, з’ясовано механізм такого впливу, запропоновано модель деградації склокераміки і шляхи боротьби з нею [9, 10, 12, 22, 31, 35]; - досліджені можливості практичного використання склокерамічних матеріалів на основі VO2 для захисту процесора комп’ютера від перегріву і освітлювальних ламп розжарювання від струму увімкнення [21, 25, 38].

Апробація результатів дисертації. Основні результати дисертації доповідались і обговорювались на: VII-ойВсесоюзной конференции по стеклообразному состоянию (Ленинград, 1981); Всесоюзной конференции „Новые электронные приборы и устройства” (Москва, 1982); Всесоюзной конференции „Физические основы надежности и деградации полупроводниковых приборов” (Кишинев, 1982); Всесоюзной конференции „Новые процессы и оборудование для получения веществ реактивной квалификации” (Днепропетровск, 1982); I-ой Всесоюзной конференции по электрохимии (Москва, 1982); XNationalScientificandTechnicalConferencewithinternationalparticipation „Glassandfineceramics” (Varna, Bulgaria, 1990); InternationalConferenceonElectronicCeramics & Applications (Aveiro, Portugal, 1996); InternationalConferenceoftheEuropeanCeramicSociety „EuroCeramicsVI” (Brighton, UK, 1999); XIII-ой научно-технической конференции „Датчики и преобразователи информации систем измерения, контроля и управления «Датчик-2001»” (Судак, 2001); 1-й Українській науковій конференції з фізики напівпровідників УНКФН-1 (Одеса, 2002); IV-й Міжнародній школі-конференції “Актуальні проблеми фізики напівпровідників” (Дрогобич, 2003); V-й Міжнародній школі-конференції “Актуальні проблеми фізики напівпровідників” (Дрогобич, 2005); Всеукраїнському з’їзді „Фізика в Україні” (Одеса, 2005); 2-й Міжнародній науково-технічній конференції „Сенсорна електроніка та мікросистемні технології” (Одеса, 2006); I-й Міжнародній науково-практичній конференції „Електромагнітна сумісність на залізничному транспорті” (Дніпропетровськ, 2007).

Публікації. Основні результати роботи опубліковані в 38 працях, з них 26 статей у фахових вітчизняних та зарубіжних виданнях, 2 патенти, 10 публікацій у збірниках матеріалів конференцій і тезах доповідей на конференціях.

Структура і обсяг дисертації. Дисертація складається із вступу, восьми розділів, висновків і списку використаних джерел. Вона містить 357 сторінок, 146 рисунків, 40 таблиць, список використаних джерел із 225 найменувань.


ОСНОВНИЙ ЗМІСТ РОБОТИ

У вступі обгрунтовано актуальність теми дисертації, сформульовано мету і задачі досліджень, визначено наукову новизну і практичне значення одержаних результатів, особистий внесок здобувача, наведено відомості про апробацію результатів роботи та публікації, а також про структуру дисертації.

У першому розділі проаналізовано теоретичні моделі фазового переходу метал-напівпровідник, особливості ФПМН у діоксиді ванадію, ефекти, пов’язані з ФПМН, та їх практичне використання, відомі дані про деградацію матеріалів з ФПМН при термоциклюванні через температуру переходу, а також дані про керамічні та композиційні матеріали, які містять компонент з ФПМН.

Всі існуючі моделі ФПМН базуються на ідеях Мотта і Хаббард, які пов’язують такий перехід з електронно-електронною взаємодією і ідеях Пайерлса, в яких такий перехід пов’язується з електронно-фононною взаємодією. В моделях ФПМН, які базуються на електронно-електронній взаємодії, перебудова енергетичної структури матеріалу від металевої до напівпровідникової відбувається, коли енергія кулонівського відштовхування між електронами, розташованими на одному атомі, перевищує ширину дозволеної електронної зони. Моделі ФПМН, котрі базуються на електронно-фононній взаємодії, пов’язують перебудову енергетичної структури матеріалу при ФПМН зі змінами в кристалічній гратці, що призводять до додаткового розщеплення енергетичних рівнів електронів кристалічним полем. Слід зазначити, що завдяки тому, що обидва типи взаємодій завжди присутні в твердих тілах, часто при ФПМН спостерігаються ознаки, які характерні як для моделі Мотта-Хаббарда, так і для моделі Пайерлса. Так, наприклад, антиферомагнітний стан напівпровідникової фази в VO2 і різка зміна в електронній підсистемі при переході у металевий стан є характерними ознаками моделі Мотта-Хаббарда, з іншого боку викривлення кристалічної гратки при ФПМН, яке супроводжується подвоєнням її періоду, є типовим для моделі Пайерлса. Тому питання про те, яка з взаємодій ініціює ФПМН в VO2 до цього часу зостається дискусійним.

Різка зміна при ФПМН завдяки перебудові енергетичної структури електричних, оптичних магнітних та інших фізичних властивостей матеріалу має значний прикладний інтерес. Найбільш широко в науково-технічній літературі подано практичне використання діоксиду ванадію, який має температуру фазового переходу Tt ~ 341 К. Нещодавні дослідження показали, що ФПМН у нанокристалах VO2 відбувається за час менший, ніж 10-13 с. Це відкриває нові перспективи для створення на базі VO2 надшвидких оптичних і електричних перемикачів, використання яких, наприклад, в елементній базі обчислювальної техніки дозволить суттєво збільшити продуктивність комп’ютерів. Слід відмітити, що більшість відомих практичних використань пов’язано з плівками VO2 , які ведуть себе стабільно при термоциклюванні через температуру фазового переходу. Монокристали VO2 руйнуються при термоциклюванні. Це пов’язано з тим, що перебудова кристалічної гратки при ФПМН викликає значні механічні напруження в області межі металевої і напівпровідникової фаз, завдяки яким і малій пластичності монокристалів, відбувається їх розтріскування і руйнування. Так, наприклад, руйнування монокристалів V2 O3 і VO2 на окремі фрагменти відбувається вже після декількох термоциклів через температуру ФПМН.

Аналіз літературних даних показує, що систематичні дослідження фізичних процесів, які відбуваються в матеріалі при термоциклюванні через температуру ФПМН, практично не проводились, хоча такі дослідження є актуальними, тому що дозволяють отримати інформацію важливу як для розуміння механізму впливу термоциклювання на фізичні властивості матеріалу, так і для вирішення проблеми деградації об’ємних матеріалів з ФПМН. Такі матеріали, на відміну від плівок, здатні працювати при сильних електричних струмах, що має значний практичний інтерес для створення елементів силової електроніки. Об’ємні композиційні і керамічні матеріали на основі компонента з ФПМН у науковій літературі подані значно менше, ніж плівки. Як правило, для таких матеріалів не наводяться відомості про деградацію їх фізичних параметрів при термоциклюванні, а саме ця особливість є принциповою для практичного використання.

Перспективними для вирішення проблеми деградації об’ємних матеріалів з ФПМН є склокерамічні матеріали на основі компонента з фазовим переходом метал-напівпровідник. Такі матеріали можна отримати за керамічною технологією. Важливою вимогою до них, окрім стабільної поведінки при термоциклюванні, є забезпечення домінуючого внеску компонента з ФПМН в фізичні властивості матеріалу, інакше важливі для практичного використання ефекти, пов’язані з ФПМН, будуть втрачені.

Другий розділ присвячено базовим компонентам склокераміки на основі VO2 . В ньому описані розроблені в роботі наукові засади технології одержання VO2 методами електрокристалізації і відновлення V2 O5 вуглецем, результати дослідження електропровідності VO2 та ванадієво-фосфатних стекол, на підставі вивчення кристалізації ВФС побудована фазова діаграма системи V2 O5 -b-VOPO4 , наведені результати дослідження розчинення VO2 в розплаві V2 O5 і побудована модель розчинення VO2 в розплавах V2 O5 та стекол на його основі.

Електрокристалізацію VO2 (температура плавлення 1818 К) здійснювали при температурах 980 К – 1100 К шляхом пропускання електричного струму через розплав V2 O5 або ВФС. Кристали VO2 виростали на платиновому катоді і відокремлювались травленням у 30 % розчині KOH. Механізм електролітичного вирощування кристалів VO2 пов’язаний з реакцією термічної дисоціації V2 O5 «V2 O4 q + + Oq - і катодною електрохімічною реакцією V2 O5 + qe®V2 O4 + Oq - (q = 1 чи 2). Пропускання струму за рахунок катодної реакції веде до збагачення прикатодної області розплаву V2 O4 і, коли його вміст перевищує межу розчинності твердого діоксиду ванадію в розплаві, в прикатодній області створюються умови для росту кристалів VO2 із розчину в розплаві. Швидкість росту кристалів VO2 добре описується формулою, яка випливає з закону Фарадея:

.(1)

Вона складає ~ 2,53 мг/с при струмі 5 А (тут ko – число переносу іонів Oq - , kv – число переносу іонів V2 O4 q + , Mv – молярна маса VO2 , q – заряд іону кисню, NA – число Авогадро, I – сила електричного струму). Монокристали VO2 , вирощені методом електрокристалізації, мають форму голок з довжиною 5 – 15 мм і поперечним перетином 0,5 – 1,5 мм2 . В розплавах скла системи V2 O5 -P2 O5 оксид ванадію (V) грає вирішальну роль для електросинтезу кристалів VO2 , тому для їх вирощування найбільш придатні ВФС складів (мол. %) (10-20)P2 O5 –(90-80)V2 O5 .

При синтезі VO2 шляхом відновлення V2 O5 згідно реакції 2V2 O5 +C®4VO2 +CO2 ­ потрібно забезпечити такий режим відновлення, який виключає утворення інших оксидів ванадію. Тому в роботі були досліджені різні режими відновлення, яке виконували в нейтральній газовій атмосфері гелію або аргону. Вміст іонів V4+ і V5+ у кінцевому продукті визначали методом окисно-відновлювального титрування, а для контролю фазового складу використовували рентгенофазовий і диференціальний термічний аналізи. За результатами досліджень запропоновано спосіб, що складається з наступних етапів: 1) приготування шихти із розрахунку 1 моль C на 2 моля V2 O5 ; 2) гомогенізація шихти та пресування з неї заготовок; 3) перший випал заготовок у нейтральній газовій атмосфері протягом 2,5 – 3 годин при температурі ~ 930 К; 4) подрібнення продукту першого випалу і пресування з нього заготовок; 5) повторний випал заготовок в нейтральній атмосфері протягом 1,5 – 2 годин при температурі, обраній в інтервалі 1170 К – 1220 К. Кінцевим продуктом методу є порошок з середнім розміром часток ~ 20 мкм і вмістом кристалічного VO2 не менше 98 ваг. %.

Питома електропровідність s, величина її стрибка при ФПМН і енергія активації s для VO2 , одержаного різними методами, наведені у табл. 1.

Таблиця 1

Електропровідність VO2 , одержаного різними методами

Метод одержання VO2

s

T=293 К

Ом-1 м-1

s

T=393К

Ом-1 м-1

Величина стрибкаs

при ФПМН

Енергія активаціїs, еВ
T < Tt T > Tt
Електрокристалізація 5,01 7580 680 0,19 -
Відновлення V2 O5 вуглецем 1,34 2500 400 0,21 0,08

На підставі дослідження кристалізації стекол системи V2 O5 -P2 O5 , з використанням методів рентгенофазового і диференціального термічного аналізів, встановлено, що при вмісті P2 O5 не більше 50 мол. % вони кристалізуються з виділенням фаз V2 O5 і b-VOPO4 . Побудована фазова діаграма системи V2 O5 -b-VOPO4 , яка має простий евтектичний тип з точкою евтектики ~ 60 мол. % V2 O5 . На підставі фазової діаграми системи V2 O5 -b-VOPO4 і результатів дослідження електрокристалізації VO2 в розплавах V2 O5 і ВФС, згідно яким вирішальну роль в процесі росту кристалів VO2 відіграє V2 O5 , обгрунтовано вибір скла (мол. %) 80V2 O5 –20P2 O5 для склокераміки на основі VO2 . Таке скло відповідає евтектиці в системі V2 O5 -b-VOPO4 і в його розплаві слід очікувати близько 60 мол. % V2 O5 .

Згідно загальним положенням теорії фізики спікання (Гегузін, Скороход), рідка фаза при рідкофазному спіканні керамічних матеріалів полегшує дифузійні процеси, які пов’язані з ростом кристалітів. В кераміці на основі VO2 і ВФС функцію рідкої фази при синтезі виконує розплав ВФС. Для з’ясування механізму взаємодії твердого VO2 з рідкою фазою в роботі були виконані дослідження кінетики розчинення VO2 у розплаві V2 O5 . Дослідження виконували при фіксованій температурі в повітряній газовій атмосфері над поверхньою розплаву. Діоксид ванадію, який після заданого часу витримки не розчинився в розплаві, виділяли травленням у 30 % розчині КОН. Реєстрували залежності від часу приросту маси системи „розплав -VO2 ” Dmo і маси розчиненого VO2 , яку визначали із вихідної маси VO2 та маси VO2 , який не розчинився. Такі залежності наведені на рис. 1. Інтенсивне розчинення VO2 на початковому етапі і його сповільнення із зростанням часу (рис. 1б) свідчить про насичення розплаву діоксидом ванадію. При достатньо великих проміжках часу швидкості розчинення VO2 і приросту маси системи „розплав-VO2 ” є постійними величинами, що залежать від висоти розплаву Lнад поверхнею VO2 . Це свідчить про те, що кінетика розчинення VO2 визначається процесом взаємодії розплаву з киснем повітря. З урахуванням результатів експерименту запропонована модель, в якій процес розчинення VO2 розглядається як перехід комплексів V2 O4 з твердої фази в розплав з подальшою їх дифузією до поверхні розплаву, де відбувається окислювальна реакція: V2 O4 +1/2O2 «V2 O5 .

Розв’язування системи рівнянь, які описують дифузію комплексів V2 O4 в розплаві, кінетику їх переходу з VO2 в розплав і окислення на його поверхні дає наступні вирази для швидкості розчинення VO2 і приросту маси системи:

, (2)

, (3)

де t- час, Dv і Nv – коефіцієнт дифузії і вихідна концентрація комплексів V2 O4 в розплаві; nv o – концентрація комплексів V2 O4 , що відповідає границі розчинності VO2 ; NА – число Авогадро; Mv - молярна маса VO2 ; S – площа стикання розплаву з поверхнею VO2 ; Ao – атомна маса кисню.

Зворотно пропорційна залежність швидкостей Dmo /Dt, від висоти розплаву L добре виконується на практиці, що засвідчує адекватність моделі експерименту. В межах моделі отримані співвідношення, які дозволяють визначити низку параметрів процесу розчинення VO2 в розплаві V2 O5 . Такі параметри наведені в табл. 2.

Процес дифузії V2 O4 в розплавах V2 O5 і ВФС можна розглядати як естафетний обмін киснем між комплексами V2 O4 і V2 O5 , котрі співіснують в таких розплавах. Тоді процес розчинення VO2 в розплавах, які містять V2 O5 , можна схематично описати реакціями:

V2 O4 (т) + V2 O5 (р) «V2 O5 (т) + V2 O4 (р); V2 O5 (т) ®V2 O5 (р),

де (т) і (р) відповідають твердій і рідкій фазам. Оскільки температура перевищує температуру плавлення V2 O5 , V2 O5 (т), який утворюється на поверхні твердого VO2 , переходить до розплаву, на що вказує друга з наведених вище реакцій.

Таким чином, процес взаємодії розплавів V2 O5 і ВФС з твердим VO2 полягає у незначному його розчиненні, яке при температурах синтезу склокераміки на основі VO2 не перевищує 11 % від маси рідкої фази (табл. 2). Комплекси V2 O4 , які з’являються в рідкій фазі завдяки розчиненню VO2 , мають суттєве значення для масообміну між твердими частками VO2 при синтезі склокераміки на його основі.

Таблиця 2

Границя розчинності VO2 , коефіцієнт дифузії комплексів V2 O4 і вміст іонів V4+ в розплаві оксиду ванадію (V)

Температура,

К

Границя розчинності VO2 врозплаві V2 O5 , мас.% Коефіцієнт дифузії комплексів V2 O4 , см2 с-1 Вміст іонів V4+ в розплаві V2 O5 , мас.%
1030 ± 3 7,4 ± 0,7 (8,97 ± 0,45) × 10-5 2,90 ± 0,15
1080 ± 3 8,2 ± 0,8 (10,22 ± 0,51) × 10-5 3,04 ± 0,15
1130 ± 3 9,0 ± 0,9 (10,97 ± 0,55) × 10-5 3,25 ± 0,16
1180 ± 3 10,0 ± 1,0 (14,17 ± 0,71) × 10-5 3,42 ± 0,16
1230 ± 3 11,6 ± 1,1 (15,02 ± 0,75) × 10-5 3,60 ± 0,17

У третьому розділі з метою пошуку оптимального режиму синтезу виконані дослідження різних режимів синтезу склокерамічних матеріалів на основі VO2 , методами рентгенофазового аналізу, СЕМ і рентгенівського мікроаналізу досліджені фазовий склад і мікроструктура кераміки на базі VO2 і ВФС та її складів, модифікованих добавками металів і оксидів.

Для виготовлення склокераміки використовували VO2 , одержанийметодом відновлення V2 O5 вуглецем і ВФС складу (мол. %) 80V2 O5 -20P2 O5 . Режими синтезу були досліджені на базових складах склокераміки (ваг. %) c VO2 -(100-c )ВФС (70 ≤ c ≤ 95) (тут і далі склад за вмістом компонентів до синтезу склокераміки). Величину стрибка електропровідності склокераміки при ФПМН в VO2 використовували як основний критерій при аналізі режимів синтезу. На підставі результатів таких досліджень визначені наступні етапи виготовлення склокераміки на основі VO2 : 1) виготовлення шихти шляхом змішування компонентів склокераміки згідно складу; 2) гомогенізація шихти; 3) пресування з шихти заготовок під тиском ~ 1¸5 МПа; 4) нагрів заготовок у нейтральній газовій атмосфері протягом 10¸20 хвилин до температури, обраної в інтервалі 1170¸1220 К з наступним охолодженням. Одержана таким чином склокераміка c VO2 -(100-c )ВФС (70 ≤ c ≤ 90) має стрибок електропровідності в межах температури ФПМН не менше, ніж 102 . В модифікованих складах склокераміки фіксували вміст ВФС ~ 15 ваг. %, а добавки металів (M) і оксидів (MO, MO2 ) вводили за рахунок зменшення вмісту VO2 . Були синтезовані склади склокераміки з загальними формулами: (85-a)VO2 –15ВФС–aM (0 ≤ a ≤ 15), (85-b)VO2 –15ВФС–bMO, (85-b)VO2 –15ВФС–bMO2 , (85-a-b)VO2 –15ВФС–aM-bMO2 і (85-a-b)VO2 –15ВФС–aM-bMO. В якості добавок використовували Cu, Zn, ZnO, SnO2 і TiO2 .

Встановлено, що в склокераміці c VO2 –(100 – c )ВФС (70 ≤ c ≤ 95) існує лише кристалічна фаза VO2 , а компонентами її мікроструктури є кристаліти VO2 , ВФС і пори. Кристаліти VO2 переважно розділені прошарками ВФС і мають розміри в межах 10¸50 мкм. Рідка фаза при синтезі склокераміки сприяє росту кристалітів VO2 , що підтверджує наявність окремих кристалітів, які зрослись між собою. Для склокераміки c VO2 –(100 – c )ВФС характерна досить висока пористість ~ 31 %.

За даними РФА у склокераміці (85-a)VO2 –15ВФС–aCu (a£ 15) при a£ 5 присутня лише кристалічна фаза VO2 . При a~ 7 з’являються лінії нової фази, відносна інтенсивність яких зростає із збільшенням a, а відносна інтенсивність ліній VO2 зменшується. За даними ДТА при a³ 7 у склокераміці (85-a)VO2 –15ВФС–aCu відбувається зменшення вмісту VO2 із зростанням вмісту міді. Це свідчить про те, що нова фаза утворюється за рахунок VO2 . При a > 12 в рентгенівському спектрі переважають лінії нової фази, яка ідентифікована за даними ASTM як фаза Магнелі V5 O9 . Ця фаза має ФПМН при температурі 125 К і в дослідженому інтервалі температури 273¸403 К знаходиться у металевому стані.

Встановлено, що при a£ 5 мікроструктура склокераміки (85-a)VO2 –15ВФС–aCu складається з кристалітів VO2 (середній розмір lc ~ 35 мкм), переважно розділених прошарками ВФС, і пор. При a³ 6 поряд з цими компонентами в мікроструктурі спостерігаються кристаліти V5 O9 (розміром 1¸5 мкм), які розташовані на поверхні кристалітів VO2 і локалізовані в ВФС. Кількість таких кристалітів збільшується із зростанням вмісту міді і при a³ 12 вони домінують в мікроструктурі. З результатів дослідження склокераміки на основі VO2 методом рентгенівського мікроаналізу (рис. 2.) випливає, що атоми ванадію (рис. 2б) локалізовані в кристалітах VO2 та V5 O9 , прошарках ВФС між кристалітами і включеннях та шарах скла на їх поверхні. Атоми міді (рис. 2в) локалізовані в проміжках між кристалітами і включеннях та шарах скла на їх поверхні. Сигнали від атомів фосфору (рис. 2г) слабкі, однак, конфігурація їх розташування повторює конфігурацію розташування атомів міді, що свідчить про розчинення міді у рідкій фазі при синтезі склокераміки. Таким чином, в складах склокераміки з добавкою міді вона входить до складу ВФС, яке утворюється з рідкої фази на етапі охолодження від температури синтезу склокераміки.

За результатами досліджень запропоновано механізм формування мікроструктури і фазового складу склокераміки на основі VO2 . При температурах синтезу 1170¸1220 К рідка фаза розчиняє мідь і частково VO2 (границя розчинності VO2 ~ 10¸11 мас. % для розплаву V2 O5 (табл. 2)). Вона проникає у проміжки між твердими частками VO2 , що сприяє росту кристалітів VO2 , за рахунок чого при зростанні сусідніх кристалітів формуються прямі зв’язки між ними. На етапі охолодження рідка фаза трансформується в скло, яке скріплює між собою кристаліти VO2 і формує прошарки між ними товщиною ~ 1¸2 мікрони (рис. 2а). Враховуючи фазову діаграму системи V2 O5 -b-VOPO4 і розчинення Cu та VO2 , рідку фазу при синтезі склокераміки (85-a)VO2 –15ВФС–aCu можна розглядати як систему V2 O5 -Cu-V2 O4 -b-VOPO4 . Її особливістю є наявність комплексів V2 O5 та V2 O4 , з якими мідь може взаємодіяти, що викликає їх поновлення до нижчих ступенів окислення V2 O4 і V5 O9 відповідно. Зокрема утворення V5 O9 може відбуватися згідно реакції:

5V2 O4 + 2Cu« 2V5 O9 + 2CuO. (4)

При a£ 5 розчинення VO2 в рідкій фазі обмежено границею розчинності при температурі синтезу склокераміки, тому при охолодженні за рахунок зменшення границі розчинності (табл. 2) комплекси V2 O4 із розплаву повертаються у тверду фазу VO2 і помітної зміни складу склокераміки не відбувається. При a > 5, завдяки реакції (4), мідь порушує рівновагу між рідкою і твердою фазами, що викликає кристалізацію V5 O9 . Розчинений в рідкій фазі VO2 переходить у тверду фазу V5 O9 , що ініціює подальше розчинення твердого VO2 . Як наслідок вміст VO2 зменшується, а вміст V5 O9 збільшується із зростанням вмісту міді. За даними рентгенофазового аналізу кристалічна фаза CuO у складі склокераміки не виявлена, що може свідчити про те, що вона входить до складу скла.

В склокераміці (85-b)VO2 –15ВФС–bSnO2 і (80-b)VO2 –15ВФС–5Cu-bSnO2 (b ≤ 70) встановлена наявність тільки кристалічних фаз VO2 і SnO2 , що свідчить про ідентичність процесів, які відбуваються при синтезі склокераміки в системах VO2 -ВФС-SnO2 та VO2 –ВФС–Cu-SnO2 з подібними процесами для систем VO2 -ВФС та VO2 -ВФС-Cu при вмісті міді не більше 5 ваг. %. Ідентичність полягає у відсутності взаємодії між рідкою фазою і твердими фазами VO2 і SnO2 , тому фазовий склад склокераміки цих систем такий самий, як до синтезу. Компонентами мікроструктури склокераміки (85-b)VO2 –15ВФС–bSnO2 і (80-b)VO2 –15ВФС–5Cu-bSnO2 є кристаліти VO2 (середній розмір lc ~ 35 мкм), частки SnO2 (lc < 1 мкм), ВФС і пори. Частки SnO2 дисперговані в ВФС, що дає підставу розглядати ці компоненти як склокераміку системи SnO2 -ВФС. Кристаліти VO2 переважно розділені прошарками і областями склокераміки SnO2 -ВФС, але прямі зв’язки між ними також мають місце. Пористість склокераміки (80-b)VO2 –15ВФС–5Cu-bSnO2 зменшується із зростанням вмісту SnO2 і складає 22¸24 % при вмісті діоксиду олова в інтервалі 35¸50 ваг. %.

Встановлено, що при синтезі склокераміки на основі VO2 , модифікованої добавками ZnO, TiO2 і Zn, відбувається взаємодія цих добавок з рідкою фазою і VO2 , що веде до зменшення вмісту VO2 у складі склокераміки і утворення кристалічних фаз, які не мають фазового переходу метал-напівпровідник.

В четвертому розділі наведені результати дослідження методами диференціального термічного аналізу і дилатометричним методом кераміки на базі VO2 і ВФС та її модифікованих складів.

В межах методу ДТА розроблено спосіб визначення вмісту компонента з ФПМН в гетерогенному матеріалі, який відрізняється від відомих способів простотою, оскільки використовує не площу ендотермічного піка, а його висоту і параметри основи, які легко визначити з кривої ДТА. Спосіб базується на порівнянні параметрів ендотермічних піків, обумовлених ФПМН у гетерогенному матеріалі і в зразку порівняння (в якості зразка порівняння використовували VO2 , що був отриманий поновленням V2 O5 вуглецем). Математичне моделювання кривих нагрівання і ДТА, виконане в межах спрощеної моделі термічного аналізу, дозволяє отримати наступний вираз для вмісту компонента з ФПМН в гетерогенному матеріалі:

(5)

Величини DTm , Dtm , Dt2 (DTm С , Dtm С , Dt для зразка порівняння) легко знайти з ендотермічного піка, як показано на рис. 3. Параметр tS (tS С для зразка порівняння) можна знайти з не заштрихованої частки піка, яка відповідає релаксації до рівновагового режиму нагрівання після завершення фазового переходу в усьому об’ємі зразка (рис. 3). Перевірка способу на сумішах порошків VO2 и Al2 O3 показала, що він має відносну помилку, яка у інтервалі вмісту компонента з ФПМН від 20 до 100 ваг. % не перевищує ±5% і в інтервалі від 1 до 10 ваг. % складає ±10%.

Встановлено, що в склокераміці (85-a)VO2 –15ВФС–aCu (a ≤ 15) при a > 7 відбувається різке зменшення вмісту VO2 із зростанням вмісту міді, яке супроводжується різким збільшенням відносної інтенсивності I/I0 головної рентгенівської лінії фази V5 O9 (рис. 4). При a > 12 у складі склокераміки VO2 майже відсутній, а відносна інтенсивність головної лінії V5 O9 досягає 80 ¸ 100 %. У цьому разі в дослідженому діапазоні температури 293 К ¸ 403 К теплові ефекти на кривій ДТА не виявлені, тому що фаза Магнелі V5 O9 має ФПМН при 125 К. Результати ДТА знаходяться у повній відповідності з даними рентгенофазового аналізу і дають додаткове підтвердження, що фаза V5 O9 формується за рахунок VO2 . Таким чином, при модифікуванні складу склокераміки на основі VO2 міддю її вміст не повинен перевищувати 7 ваг. %, інакше склокераміка втрачає фізичні властивості, притаманні ФПМН в VO2 і насамперед стрибок електропровідності в межах температури Tt ~ 341 К.

Показано, що у склокераміці складів c VO2 -(100-c )ВФС (70 ≤ c ≤ 95), (85-b)VO2 –15ВФС-bSnO2 і (80-b)VO2 –15ВФС–5Cu-bSnO2 (b ≤ 70) вміст діоксиду ванадію, в межах помилки способу його визначення за даними ДТА, співпадає з вмістом VO2 в шихті для виготовлення склокераміки таких складів. Таким чином, процес синтезу склокераміки в системах VO2 -ВФС, VO2 -ВФС-SnO2 , VO2 -ВФС-Cu і VO2 -ВФС-Cu-SnO2 не змінює вмісту VO2 , якщо вміст добавки міді не перевищує 5 ваг. %.

Ендотермічний пік на кривих ДТА, обумовлений фазовим переходом метал-напівпровідник в VO2 , слабко виражений для склокераміки, модифікованої добавками TiO2 , ZnO і Zn. Його висота зменшується із зростанням вмісту цих добавок. Визначення вмісту VO2 за даними ДТА дає значення ~ 9,3±0,7 ваг. % для склокераміки 60VO2 -15ВФС-5Cu-20TiO2 і ~ 2,7±0,3 ваг. % для 40VO2 -15ВФС- 5Cu-40TiO2 , що набагато менше вихідного вмісту. Це узгоджується з даними рентгенофазового аналізу і доводить, що при модифікуванні кераміки на базі VO2 і ВФС добавками TiO2 , ZnO і Zn, діоксид ванадію утворює з ними сполуки, які не мають фазового переходу метал-напівпровідник.

За результатами дилатометричних досліджень при нагріванні в межах температури ФПМН VO2 відбувається різке розширення зразка склокераміки 85VO2 -15ВФС, а при охолодженні – різке стиснення. На кривих залежності відносної зміни довжини зразка від температури при ФПМП спостерігається гістерезис, притаманний такому переходу. Відносна зміна довжини dt = (1,35 ± 0,09)×10-3 при фазовому переході практично однакова при нагріванні і охолодженні зразка склокераміки 85VO2 -15ВФС. За межами ФПМН нижче і вище його температури Tt величини коефіцієнтів лінійного розширення складають відповідно ~5,1×10-6 К-1 і ~ 6,6×10-6 К-1 , а в межах Tt при нагріванні зразка ~ 6,15 10-5 К-1 і при його охолодженні~ 1,47×10-4 К-1 . Причиною різкої зміни лінійних розмірів зразка склокераміки при ФПМН в VO2 є перебудова кристалічної гратки, що відбувається в кристалітах VO2 . Перехід від напівпровідникової до металевої фази відбувається зі зміною симетрії гратки від моноклінної до тетрагональної. Оскільки при такому переході має місце розширення зразка, це свідчить, що VO2 в моноклінній фазі займає дещо менший об’єм, ніж у тетрагональній. Причина цього, ймовірно, пов’язана зі спарюванням 3d1 електронів сусідніх атомів ванадію в моноклінній фазі, яке супроводжується зменшенням відстані між атомами ванадію в парах.

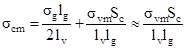
П’ятий розділ присвячено вивченню механізму провідності на постійному струмі склокераміки на основі VO2 і встановленню закономірностей зміни її питомої електропровідності s і величини стрибка s, обумовленого ФПМН, при варіації складу склокераміки.

Слід зазначити, що базові компоненти склокераміки -VO2 і ванадієво-фосфатне скло мають електронний тип провідності. Провідність VO2 в металевій і напівпровідниковій фазах забезпечується переносом носіїв заряду в вузьких дозволених електронних зонах. Механізм провідності ВФС поляронний і здійснюється стрибками електронів між іонами V4+ і V5+ . Питомий електричний опір ВФС не менше, ніж в 102 разів, перевищує питомий електричний опір VO2 у напівпровідниковий фазі, тому при аналізі електропровідності склокераміки як гетерогенного матеріалу, діоксид ванадію можна розглядати як провідниковий, а ВФС – як непровідниковий компонент. З урахуванням цього слід очікувати, що електропровідність склокерамічних матеріалів на основі VO2 в значній мірі визначається мікроструктурними факторами, а вплив на неї процесів на електронному рівні може бути пов’язаний з контактними явищами або із змінами складу чи дефектності компонентів при синтезі склокераміки.

Встановлено, що в склокераміці базових складів (ваг. %) c VO2 -(100 -c )ВФС (70£c £95) стрибок s при ФПМН у VO2 складає 2¸3 декади. Його наявність свідчить про те, що в склокераміці сформовано нескінченний кластер з протіканням крізь VO2 , який дає домінуючий внесок в електропровідність. Нижче температури ФПМН Tt енергія активації sDE при c = 95 близька до DEVO2 у напівпровідниковій фазі ~ 0,20 эВ і зростає зі зменшенням c до значення ~0,32 эВ, яке співпадає з енергією активації s ВФС. Останнє не узгоджується з протіканням тільки крізь VO2 і обумовлено внеском прошарків ВФС, що згідно мікроструктурним даним формує скло між кристалітами VO2 . Ширина петлі температурного гістерезиса електропровідності в межах Tt складає ~7¸8 К. Спостерігається незворотна зміна s і величини її стрибка при термоциклюванні через температуру ФПМН (рис. 5). Стрибок питомої електропровідності в зразках склокераміки 85VO2 –15ВФС зникає після 15¸20 термоциклів, але практично відновлюється як і вихідне значення s після їх нагрівання до температур 1120¸1170 К. Причиною нестабільної поведінки s при термоциклюванні є перебудова кристалічної гратки VO2 при ФПМН. Вона викликає в кристалітах VO2 на межі металевої і напівпровідникової фаз значні механічні напруження. Наслідком цих напружень і малої пластичності кристалів VO2 і ВФС є мікротріщини, які спостерігаються в цих компонентах після термоциклювання (рис. 6). Мікротріщини розривають електричні зв’язки між кристалітами VO2 в перколяційному кластері, як наслідок відбувається зменшення s і величини її стрибка при ФПМН. ВФС переходить в рідку фазу при нагріванні склокераміки до 1120¸1170 К, що сприяє заліковуванню мікротріщин і поновленню прямих електричних зв’язків між кристалітами VO2 за рахунок процесу їх росту, який відбувається так само, як і при синтезі склокераміки.

Незворотну зміну фізичних параметрів слід враховувати при дослідженні електропровідності склокераміки на основі компонента з ФПМН. Тому наведені нижче результати дослідження s для склокераміки на основі VO2 , модифікованої добавками, одержані на зразках, які після синтезу не нагрівались вище Tt , а температурні залежності s були зареєстровані лише при нагріванні.

Дослідження s склокераміки (85-a)VO2 -15ВФС-aCu показали, що її стрибок при ФПМН складає не менше 102 при a£ 7, падає до ~4 в інтервалі 7 £a£ 8 і практично відсутній при a > 10 (рис. 7). При a > 12 склокераміка має високу електропровідність, яка слабко залежить від температури, що є наслідком домінуючого вкладу до електропровідності склокераміки фази V5 O9 , яка має металевий тип провідності в досліджуваній області температури. При зростанні вмісту міді в інтервалі 0 £a£ 8 енергія активацій s змінюється від 0,32 еВ до 0,059 еВ нижче температури ФПМН Tt і від 0,16 еВ до 0,021 еВ вище Tt . Різке падіння DE відбувається в інтервалі 7 £a£ 8, що разом з різким збільшенням s і падінням її стрибка при ФПМН (рис. 7) свідчить про виникнення протікання крізь фазу V5 O9 . Це узгоджується з даними рентгенофазового аналізу і ДТА (рис. 4) про інтенсивне утворення V5 O9 при a > 7. Тому при модифікуванні кераміки на базі VO2 і ВФС міддю її вміст не повинен перевищувати 7 ваг. %, інакше електропровідність такої склокераміки втрачає стрибок в межах температури фазового переходу метал-напівпровідник в VO2 Tt = 341 К.

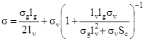
При a<7 якісний аналіз s склокераміки (85-a)VO2 –15ВФС–aCu можна виконати в межах простої моделі гетерогенної структури, яка не враховує пористість і припускає, що кристаліти VO2 у формі кубу з довжиною ребра lv , розташовані упорядковано. Кристаліти VO2 розділяє прошарок ВФС товщиною lg << lv , а середня площа прямого (низькоомного) електричного контакту між ними дорівнює Sс . Розрахунок s у межах такої моделі приводить до співвідношення:

, (6)

де sv і sg питомі електропровідності VO2 і ВФС, відповідно.

При відсутності низькоомних електричних контактів між кристалітами VO2 (Sс = 0) або коли sg lv 2 >> svS Sс , sg lv 2 >> svm Sc (svS і svm питомі електропровідності VO2 у напівпровідниковій і металевій фазах, відповідно) і виконані умови sv lg >> sg lv із співвідношення (6) випливає:

, (7)

тобто sg ванадієво-фосфатного скла визначає s склокераміки як вище, так і нижче температури Tt , а, отже, стрибок s при ФПМН відсутній.

За умови sg lv 2 >> svS Sc , sg lv 2 << svm Sc , коли T < Tt для електропровідності s = sс S дійсне співвідношення (7), а коли T > Tt для s = sс m з (6) випливає

. (8)

Тому при ФПМН у VO2 електропровідність склокераміки має стрибок, величина якого згідно (7) і (8), дорівнює:

. (9)

Наявність стрибка s і збіг енергії активації s склокераміки при T < Tt з DE ВФС при a < 2 підтверджує виконання умов sg lv 2 >> svS Sc , sg lv 2 << svm Sc .

Співвідношення (9) на підставі експериментальних даних дозволяє оцінити відносну площу Sc /lv 2 електричного контакту між кристалітами VO2 (рис. 8). Ця площа за рахунок ізолюючої дії прошарків ВФС, які розділяють кристаліти VO2 в склокераміці, складає малу частку від площі контактної поверхні кристалітів lv 2 і зростає зі збільшенням вмісту міді. Це свідчить про збільшення кількості провідникових електричних зв’язків між кристалітами VO2 , що обумовлено як зростанням s ВФС за рахунок збільшення концентрації іонів V4+ внаслідок легування скла міддю, так і кристалізацією провідникової фази V5 O9 . Отже модифікування склокераміки на основі VO2 міддю, якщо її вміст не перевищує 7 ваг. %, сприяє збільшенню внеску VO2 в електропровідність склокераміки.

Стрибок s при ФПМН у VO2 для склокераміки (ваг. %) (85-b)VO2 - 15ВФС-bSnO2 (0 £b£ 60) складає 300 ¸ 500, а відносна середня площа Sс /(lv )2 низькоомних електричних контактів між кристалітами VO2 ~ 10-3 ¸ 10-2 . Для збільшення внеску VO2 в електропровідність такої склокераміки шляхом збільшення величини Sс /(lv )2 , її склад було модифіковано міддю.

Встановлено, що в модифікованій міддю склокераміці (80-b)VO2 -15ВФС -5Cu-bSnO2 стрибок s при ФПМН складає 100 – 400 і зменшується при b > 55 (рис. 9). Він не спостерігається, коли b > 65. В інтервалі 0 £b£ 40 нижче Tt s має енергію активації DE~ 0,11 – 0,12 еВ, вище Tt -DE~ 0,08 ¸ 0,1 еВ. Коли b > 55, як вище так і нижче Tt , значення DE однакові і в інтервалі 55 £b£ 70 зростають від 0,26 еВ до 0,43 еВ. Широкий діапазон зміни s склокераміки (80-b)VO2 -15VPG-Cu-bSnO2 (в межах п’яти декад) при варіації вмісту SnO2 (рис. 9) адекватно описується результатами теорії ефективного середовища і теорії протікання для невпорядкованої суміші провідникового і діелектричного компонентів. Стосовно склокераміки (80-b)VO2 -15VPG-5Cu-bSnO2 , провідниковим компонентом є VO2 , а діелектричними - склокераміка системи ВФС-SnO2 і пори. Оскільки після синтезу склокераміки вміст VO2 в ній не змінюється, його об’ємну долю x можна знайти з густини склокераміки. Аналіз залежності s(x) показав, що вона задовольняє теорії ефективного середовища для x > 0,4, а в інтервалі 0,26 £x£ 0,36 відповідає відомому результату теорії протікання s~ (х – xc )t з порогом протікання xc = 0,25 і значенням критичного індексу t~ 1,6. VO2 дає основний внесок до s склокераміки, коли x >xc ~ 0,25 (b~ 55). В цьому випадку стрибок s в області температури Tt складає не менше 102 .

В модифікованій діоксидом титану склокераміці (80-b)VO2 -15ВФС-5Cu-bTiO2 s зростає, а її стрибок при ФПМН різко падає із збільшенням b. Він не спостерігається, коли b³ 40. Така поведінка узгоджується з даними ДТА і РФА, які показали, що в цьому випадку спостерігається зменшення вмісту VO2 у склокераміці за рахунок утворення з’єднань, які не мають ФПМН. Подібна поведінка s спостерігається також при модифікуванні добавками ZnO і Zn.

У шостому розділі наведено результати дослідження вольт-амперних характеристик склокераміки на основі VO2 , та їх залежності від складу склокераміки, режиму реєстрації, розмірів зразка і температури.

ВАХ вимірювали на постійній напрузі при фіксованій температурі навколишнього середовища. Точки ВАХ реєстрували після досягнення теплової рівноваги, коли струм зразка досягав стаціонарної величини. ВАХ склокераміки на основі VO2 (рис. 10), як і плівки VO2 , виявляють порогове перемикання, але на відміну від плівок зразки склокераміки у стані з низьким опором здатні працювати при значних електричних струмах. Порогове перемикання відбувається між ділянкою ВАХ, яка відповідає високому опору зразка (стан „вимкнено”) і ділянкою, яка відповідає низькому опору зразка (стан „увімкнено”). У стані „вимкнено” всі VO2 кристаліти в зразку склокераміки у напівпровідниковій фазі, тому ця ділянка ВАХ має вигляд, типовий для напівпровідникових терморезисторів. В стані „увімкнено” зразок склокераміки містить шнур електричного струму, в межах якого кристаліти VO2 знаходяться у металевій фазі, а за його межами – у напівпровідниковій фазі. Цей шнур утворюється, коли джоулева потужність у зразку забезпечує його нагрів до температури ФПМН Tt . Поперечні розміри шнура визначаються балансом між енергією, що виділяє струм у шнурі і енергією, що розсіюється у середовище навколо шнура. Аналіз, виконаний в межах електротермічної моделі для тонкого зразка циліндричної форми, який містить шнур струму з радіусом R, дає за умови R << (2llm /H)1/2 наступний вираз для ВАХ матеріалу з ФПМН у стані „увімкнено”:

, (10)

де E – напруженість електричного поля, lm , ls – теплопровідності матеріалу вище і нижче температури ФПМН Tt , DTt = Tt -Q (Q – температура навколишнього середовища), E0 =[6HDTt /(lsm )]1/2 , H – питомий коефіцієнт теплового розсіювання, l – товщина зразка, sm – питома електропровідність матеріалу вище температури Tt .

Вперше виявлено явище гістерезиса ВАХ матеріалів з ФПМН на ділянці, що відповідає стану „увімкнено”. Гістерезис спостерігається як незбіг гілок ВАХ, виміряних в режимі збільшення і зменшення електричного струму.

Гістерезис ВАХ обумовлений температурним гістерезисом фазового переходу метал-напівпровідник. Його причина полягає в тому, що фазовий перехід потребує додаткових енергетичних затрат на утворення зародків нової фази і забезпечення їх росту, тому потрібен відступ від енергії термодинамічної рівноваги фаз, а отже від рівновагової температури переходу Тt о . Цей відступ характеризують коерцитивною температурою DT, яка показує, наскільки треба відійти від Тt о для того, щоб ФПМН почав інтенсивно розвиватися. При переході від напівпровідникової до металевої фази потрібен деякий перегрів, тому температура такого переходу Tt 1 = Тt о + DT, зворотний перехід потребує переохолодження і його температура Tt 2 = Тt о -DT. Межа шнура металевої фази є міжфазною межею, температуру якої визначає температура ФПМН. Розширення шнура при зростанні струму обумовлено переходом із напівпровідникового в металевий стан, тому температура на його межі Tt 1 більша за відповідну температуру Tt 2 , коли шнур звужується при зменшенні струму за рахунок зворотного переходу. Оскільки для утримання теплової рівноваги шнура з температурою межі Tt 1 потрібна більша джоулева потужність, ніж з температурою Tt 2 , це пояснює зміщення гілки ВАХ, яка реєструється при збільшенні струму в бік більших значень напруженості електричного поля (рис. 12). Вираз (10), в який входить температура ФПМН Tt , описує гістерезис ВАХ у стані „увімкнено”. Розраховані на його підставі з ВАХ (рис. 10) значення ширини петлі температурного гістерезиса ФПМН dTt =Tt 1 -Tt 2 ~6,2 К і 4,6 К близькі до відповідних значень ~5 К і 4 К, знайдених з температурних залежностей s.

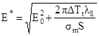
Вперше у зразках матеріалів з ФПМН виявлено розмірний ефект ВАХ у стані „увімкнено”, який полягає в зміні знака диференціального опору ВАХ від негативного (НДО) до позитивного (ПДО) при зростанні струму (рис. 13). Величина струму, при якому відбувається зміна знака диференціального опору, залежить від площі електродної поверхні зразка S (рис. 13). Причина розмірного ефекту полягає в обмеженні розширення шнура металевої фази при зростанні струму розмірами зразка. У зразку циліндричної форми з площею електродної поверхні S, яка дорівнює площі основи зразка, таке обмеження виникає, коли радіус шнура металевої фази зрівнюється з радіусом зразка. В цьому разі весь матеріал зразка переходить у металеву фазу, а оскільки її питома електропровідністьsm слабо залежить від температури, відбувається перехід від НДО до ПДО. Вираз (10), одержаний для зразка циліндричної форми в припущенні S®¥, з урахуванням кінцевої величини S має вигляд:

, (11)

Перехідна напруженість E* визначається співвідношенням:

, (12)

з якого випливає її лінійність в координатах E*2 ~ 1/S, що підтверджено спрямленням в таких координатах експериментальних значень E* , знайдених з точок ВАХ на рис. 13, в яких dI/dE®¥. Густина електричного струму в шнурі металевої фази J визначена на підставі S і перехідного струму в точках ВАХ, де dI/dE®¥ складає J» 8,5 А/см2 для склокераміки 45VO2 -15ВФС-5Cu-35SnO2 .

Встановлено, що напругою порогового перемикання ВАХ можна цілеспрямовано управляти шляхом модифікування складу склокераміки на базі VO2 і ВФС добавками міді і SnO2 . Це обумовлено насамперед зміною питомої електропровідності склокераміки, що відбувається при такому модифікуванні.

Вплив температури Q на ВАХ у стані „увімкнено” виявляється у її зміщенні при зростанні Q до менших напруженостей електричного поля та зменшенні діапазону струму, в якому ВАХ має НДО (рис. 14). Така поведінка знаходиться у відповідності із співвідношеннями (11) і (12 ), в яких вплив Q на ВАХ і перехідну напруженість E* виявляється через параметр DTt =Tt -Q. При Q > Tt , коли всі кристаліти VO2 зразка склокераміки у металевій фазі, порогове перемикання на ВАХ відсутнє, і вона має ПДО в усьому діапазоні електричного струму.

Ділянка ВАХ у стані „вимкнено” виявляє типову для напівпровідникових терморезисторів поведінку, оскільки всі кристаліти VO2 склокераміки у напівпровідниковій фазі. Коли джоулева потужність достатня для розігріву зразка до температури Tt , відбувається порогове перемикання. Якщо у пороговій точці ВАХ напруженість ES , а густина струму JS , то для тонких зразків склокераміки на основі VO2 в моделі „критичної температури” дійсне рівняння:

ES JS = 2H(Tt -Q)/l, (13)

з якого випливає, що питома джоулева потужність PS =ES JS , що викликає порогове перемикання, лінійно зменшується із зростанням Q. Експериментальні значення PS , знайдені з ВАХ, виміряних при різних температурах, добре укладаються на пряму лінію, яка перетинає температурну вісь в точці, близької до температури ФПМН VO2 Tt = 68 o С (341 К) (рис. 15), що доводить правомірність моделі „критичної температури” для опису порогового перемикання в склокераміці на основі VO2 у дослідженому інтервалі температур.

Сьомий розділ присвячено вивченню впливу термоциклювання через температуру ФПМН Tt на електропровідність і ВАХ кераміки на базі VO2 і ВФС та її складів, модифікованих добавками міді і SnO2 .

Для кількісної оцінки незворотної зміни електричних параметрів склокераміки при термоциклюванні використовували величину стрибка s в межах температури ФПМН lg(sm /sS ) і відносні величини RS /RS 0 і Rm /Rm 0 , які вимірювали при температурах 293 К і 393 К (RS 0 , Rm 0 є вихідними значеннями електричних опорів зразка склокераміки; RS , Rm - опори після заданої кількості термоциклів).

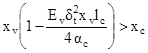
Встановлено, що найбільшу незворотну зміну опору при термоциклюванні виявляють зразки склокераміки 85VO2 -15ВФС (рис. 16). Модифікування склокераміки добавками міді і SnO2 значно зменшує ці зміни, тобто сприяє подоланню деградації електричних параметрів при термоциклюванні. Найбільший ефект в подоланні деградацій забезпечує спільне використання цих добавок в склокераміці (80-b)VO2 -15ВФС-5Cu-bSnO2 (рис. 17). Деградація електричних параметрів такої склокераміки при термоциклюванні зменшується при збільшенні вмісту SnO2 і практично відсутня при b > 65. Однак при b > 65 електропровідність склокераміки не виявляє стрибка при ФПМН у VO2 (lg(sm /sS ) ~ 0) оскільки, згідно результатам розділу 5, при такому вмісті SnO2 відсутнє протікання крізь компонент VO2 . Тому для забезпечення стрибка s при ФПМН не менше 102 , при значному зменшенні деградації, вміст SnO2 в склокераміці (80-b)VO2 -15ВФС- 5Cu-bSnO2 доцільно вибрати в інтервалі 35¸50 ваг. %.

Оскільки протікання крізь VO2 визначає електрофізичні властивості склокераміки, обумовлені ФПМН, незворотна їх зміна при термоциклюванні є наслідком дії на нескінченний кластер з протіканням крізь кристаліти VO2 , який сформовано при синтезі склокераміки. Ця дія пов’язана зі зміною симетрії кристалічної гратки, що супроводжує перебудову енергетичної структури VO2 при ФПМН. Зміна симетрії завдяки викривленню гратки в межах міжфазних границь веде до виникнення механічних напружень, які внаслідок малої пластичності кристалітів VO2 і ВФС сприяють утворенню мікротріщин, що розривають електричні зв’язки між кристалітами VO2 в перколяційному кластері. В склокераміці складу 85VO2 -15ВФС вже після 20 термоциклів нескінченний перколяційний кластер розпадається на ізольовані скінченні кластери, в яких зберігається протікання крізь VO2 . Оскільки розміри цих кластерів менші за відстань між електродами зразка, VO2 не дає внесок до s склокераміки і її стрибок при ФПМН відсутній. Існування скінченних кластерів з протіканням крізь VO2 доведено відновлюванням стрибка s в зразках склокераміки 85VO2 -15ВФС після термоциклювання, якщо їх товщину зменшити до величини (£ 0,3 мм), що дорівнює або менша за розміри скінченних кластерів.

Встановлено, що найбільшу деградацію при термоциклюванні виявляють склади склокераміки з малою середньою площею Sс електричного контакту між кристалітами VO2 . В такій склокераміці сітка нескінченного кластеру з протіканням крізь компонент VO2 має рідку структуру, тому легко руйнується мікротріщинами. Добавка міді збільшує Sс (рис. 8) за рахунок утворення додаткових низькоомних електричних зв’язків між кристалітами VO2 . Як наслідок густина сітки перколяційного кластеру збільшується, що сприяє зменшенню деградації електропровідності склокераміки при термоциклюванні (рис. 16).

Виходячи з загальних уявлень про співвідношення між енергією пружної деформації, яка накопичується у матеріалі при ФПМН, і енергією формування мікротріщини в межах теорії перколяції знайдено умову збереження після термоциклювання внеску VO2 до електропровідності склокераміки:

, (14)

тут Ev – модуль Юнга VO2 , dt – деформація кристалітів VO2 при ФПМН, lc – середній розмір кристалітів VO2 , xv – об’ємна доля VO2 у склокераміці, ac – поверхневий натяг склокераміки, xc – поріг протікання.

Ліва частина (14) визначає об’ємну долю x кристалітів VO2 , крізь які зберігається протікання після термоциклювання, а отже деградація склокераміки на основі VO2 при термоциклюванні буде відсутня, коли x@xv , тобто при умові:

. (15)

Згідно (14), зменшення деградації склокераміки (80-b)VO2 -15ВФС-5Cu-bSnO2 при термоциклюванні із зростанням вмісту SnO2 обумовлено зменшенням об’ємної долі діоксиду ванадію xv . Фізична причина цього полягає в тому, що при зменшенні xv в склокераміці зменшується питома енергія пружної деформації, викликаної ФПМН в кристалітах VO2 , що обмежує утворення мікротріщин. Надійне виконання умови (15), а отже повне подолання деградації склокерамічних матеріалів на основі VO2 забезпечується при значному зменшенні розмірів lc кристалітів VO2 . Це один з найбільш ефективних шляхів подолання деградації, що підтверджує стабільна поведінка при термоциклюванні плівок VO2 , розміри кристалітів в яких не перевищують 1 мкм.

З урахуванням викладеного визначені наступні шляхи боротьби з деградацією об’ємних склокерамічних матеріалів на основі VO2 при термоциклюванні через температуру фазового переходу метал-напівпровідник:

- зменшення об’ємної долі xv VO2 в матеріалі шляхом введення добавок оксидів, які при синтезі не взаємодіють з VO2 і рідкою фазою. Слід зазначити, що значення xv обмежене знизу порогом протікання xс = 0,25;

- використання добавок металів, зокрема міді, для створення розвиненої сітки провідникових електричних зв’язків між кристалітами VO2 в склокераміці;

- зменшення розмірів кристалітів VO2 , для чого перспективними є нанотехнології отримання VO2 і шихти для синтезу склокераміки.

Встановлено, що деградацію склокераміки (45-a)VO2 -15ВФС-aCu-40SnO2 при термоциклюванні можна практично подолати першими з двох шляхів, якщо вміст міді обрано в інтервалі 6¸7 ваг. %, коли провідникова фаза V5 O9 починає утворюватись, але протікання крізь неї відсутнє. Такі склади склокераміки після 104 термоциклів зберігають величину стрибка s при ФПМН, а їх електропровідність нижче Tt змінюється не більше, ніж у два рази.

Встановлено, що деградація ВАХ склокераміки на основі VO2 при циклічному перемиканні між станами „вимкнено” і „увімкнено” виявляється як незворотне зростання порогової напруженості ES і опору зразка RS у стані „вимкнено”. Причиною збільшення ES є збільшення RS . Із зростанням кількості перемикань ВАХ у стані „увімкнено”, зсувається до більших напруженостей і на ній при менших струмах з’являється область з ПДО. При збільшенні кількості перемикань відношення опорів RS /RS 0 спочатку зростає, а потім зменшується. Зменшення RS /RS 0 супроводжується зменшенням стрибка s при ФПМН у VO2 . Причиною такої поведінки є провідниковий канал, що утворюється в зразку склокераміки внаслідок теплового електричного пробою. Пробій виникає за рахунок неоднорідного розподілу локальних електричних струмів, який створюють мікротріщини. Це призводить до значного перегріву областей матеріалу з високою густиною струму і, як наслідок, розвитку теплового електричного пробою. Із збільшенням струму пробій виникає при меншій кількості перемикань. Вольт-амперні характеристики склокераміки (80-b)VO2 -15ВФС-5Cu-bSnO2 (35 £b£ 45) при циклічному перемиканні між станами „вимкнено” і „увімкнено” практично не деградують і в зразках такої склокераміки не виникає тепловий електричний пробій, якщо середня густина струму у стані „увімкнено” не перевищує 2 А/см2 .

Восьмий розділ присвячено питанням практичного застосування досліджуваних матеріалів.

Склокерамічні матеріали (85-b-a)VO2 -15ВФС-aCu-bSnO2 (35 £b£ 45, 5£a£7), що практично не деградують при термоциклюванні, стрибком в 102 раз змінюють електропровідність в межах температури ~ 341 К і здатні працювати при електричних струмах до десятка ампер, мають практичний інтерес як матеріал для створення терморезисторів, порогових перемикачів і термічних реле.

Зокрема, критичні терморезистори на основі таких матеріалів можуть бути використані для захисту освітлювальних ламп розжарювання від струму увімкнення, який в десять разів перевищує робочий струм ламп і є основною причиною виходу їх з ладу. Для захисту від струму увімкнення послідовно з лампою вмикають терморезистор з негативним температурним коефіцієнтом опору. Після подачі мережевої напруги терморезистор через теплову інерційність деякий час зберігає досить високий опір, що обмежує амплітуду струму увімкнення. Різка зміна опору склокерамічних терморезисторів на основі VO2 при Tt ~ 343 К вигідно відрізняє їх від звичайних напівпровідникових терморезисторів, тому що при значно меншій температурі розігріву вони забезпечують ефективне обмеження струму увімкнення і в стані з низьким опором не впливають на робочий струм освітлювальної лампи розжарювання.

Для практичної мети слід визначити, при яких параметрах склокерамічного терморезистора на основі VO2 відносна амплітуда струму увімкнення g = Im /Ip буде мінімальною (Im і Ip – амплітуда струму увімкнення і робочий струм освітлювальної лампи розжарювання). При відсутності терморезистора в колі лампи g = g0 = U0 2 /(RQ ×Pp ) (U0 – мережева напруга, RQ – холодний опір спіралі лампи при температурі навколишнього середовища Q, Pp – потужність лампи), а при його наявності g1 =g0 /(1 + RSQ /RQ ), де RSQ – холодний опір терморезистора при температурі Q. Після подачі мережевої напруги терморезистор розігрівається і при температурі ФПМН Tt перемикається у стан з низьким опором. Це викликає в колі вторинний стрибок струму з відносною амплітудою g2 . Розрахункові залежності g1 і g2 від відношення опорів RSQ /RQ наведені на рис. 20. З них випливає, що обмеження первинного g1 і вторинного g2 стрибків струму на рівні g1 , g2 £ 1,3 забезпечується при виборі відношення опорів в інтервалі 8 £RSQ /RQ £ 14. Розрахунковий результат підтверджують експериментальні дані, наведені на рис. 21 для освітлювальної лампи розжарювання з робочою напругою U0 = 26 В і струмом Ip = 0,12 А. З них випливає, що при обранні величини RSQ /RQ в наведеному вище інтервалі можна практично повністю побороти стрибок електричного струму увімкнення і тим самим значно збільшити термін безвідмовної роботи освітлювальних ламп розжарювання.

Іншою можливістю практичного використання склокерамічних матеріалів на основі VO2 є захист процесору комп’ютера від перегріву. Відомо, що у штатному режимі роботи процесор нагрівається до 30–40 о С, а при температурі вище 180 о С відбувається незворотна зміна параметрів його НВІС. Згідно вимогам виробників процесорів апаратні і програмні засоби захисту від перегріву залучаються до дії при температурах ~ 80–90 о С. Для цієї мети процесори обладнують датчиками на термісторах і термодіодах, а також схемами контролю температури, які при досягненні граничної температури виробляють сигнали, що вмикають засоби захисту від перегріву. Склокераміка на основі VO2 з різкою зміною електропровідності при температурі ~ 70 о С, яка є близькою до вказаних вище граничних температур, перспективна для використання в системі захисту процесора від перегріву. Показана можливість реалізації на її основі сенсора, який поєднує властивості датчика температури і термічного реле з температурою спрацьовування, яку можна цілеспрямовано змінювати в межах 45¸70 о С шляхом пропускання крізь сенсор електричного струму. На основі такого сенсора запропоновані схеми захисту процесора від перегріву шляхом управління кулером, модуляції тактової частоти процесора і вироблення сигналів для запуску програмних засобів захисту від перегріву, передбачених в BIOS. Запропоновані схеми відрізняються від відомих схем простотою. Показана можливість створення на їх основі багаторівневої системи захисту процесора від перегріву шляхом обладнання його декількома сенсорами з різною температурою спрацювання.


ВИСНОВКИ

В дисертації розроблені наукові засади синтезу та модифікування нового класу склокерамічних матеріалів, основою яких є компонент з фазовим переходом метал-напівпровідник – VO2 , з’ясовані механізми фізичних процесів в таких матеріалах, зв’язані з електропровідністю, відхиленням від закону Ома і термоциклюванням через температуру фазового переходу, вирішена проблема подолання деградації об’ємних матеріалів з ФПМН при термоциклюванні, що має принципове значення для їх цілеспрямованого застосування в елементах електронної техніки.

До основних результатів та висновків дисертаційної роботи можна віднести:

1. Розроблено високопродуктивний метод одержання VO2 , що забезпечує у кінцевому продукті не менш 98 ваг. % VO2 зі стрибком електропровідності близько 103 в межах температури ФПМН ~ 341 К. Встановлено, що розплави V2 O5 і ванадієво-фосфатних стекол (ВФС) хімічно нейтральні до VO2 (взаємодія з ними полягає в незначному розчиненні твердого VO2 в рідкій фазі). Побудовано модель, яка розглядає розчинення VO2 і дифузію комплексів V2 O4 в розплавах, що містять V2 O5 як естафетний обмін киснем між комплексами V2 O4 і V2 O5 . На основі одержаних результатів обгрунтовано технологію синтезу кераміки на базі VO2 і ВФС. Визначені оптимальні режими синтезу такої склокераміки та її складів, модифікованих добавками металів та оксидів.

2. На основі рентгенофазових досліджень встановлено, що коли вміст міді не перевищує 5 ваг. %, фазовими компонентами склокераміки в системах VO2 -ВФС, VO2 -ВФС-Cu є VO2 та ВФС, в системах VO2 -ВФС-SnO2 , VO2 -ВФС-Cu-SnO2 -VO2 , SnO2 та ВФС. За даними рентгенівського мікроаналізу мідь входить до складу ВФС, що свідчить про її розчинення в рідкій фазі при синтезі склокераміки. На підставі даних ДТА доведено, що вміст VO2 не змінюється в процесі синтезу склокераміки, якщо вміст міді не перевищує 5 ваг. %. Встановлено, що коли вміст міді більше 5 ваг. %, кристалізується фаза Магнелі V5 O9 . Вона утворюється внаслідок взаємодії між складовими рідкої фази V2 O4 , і Cu як наслідок поновлення V2 O4 за рахунок окислення міді. При зростанні вмісту міді вміст VO2 зменшується, а V5 O9 зростає. При вмісті міді більше 12 ваг. % у складах склокераміки системи VO2 -ВФС-Cu переважає фаза V5 O9 . Оскільки V5 O9 має ФПМН при температурі 125 К в дослідженому інтервалі температури 293¸403 К вона перебуває у металевому стані. Встановлено, що модифікування склокераміки добавками TiO2 , ZnO і Zn веде до зменшення вмісту VO2 за рахунок утворення сполук, які не мають ФПМН.

3. За даними СЕМ при вмісті міді не більше 5 ваг. % мікроструктура склокераміки систем VO2 -ВФС, VO2 -ВФС-Cu складається з кристалітів VO2 , переважно розділених прошарками ВФС (товщина ~ 1¸2 мкм) і пор. Між кристалітами VO2 мають місце окремі прямі зв’язки, що формуються за рахунок зростання кристалітів в процесі синтезу. Пористість склокераміки складає 29¸32 %. Встановлено, що при модифікуванні складу склокераміки добавкою SnO2 його частки (середній розмір близько 1 мкм) утворюють з ВФС склокераміку системи SnO2 -ВФС. Мікроструктура склокераміки з добавкою SnO2 складається з кристалітів VO2 , переважно розділених прошарками склокераміки SnO2 -ВФС, областей такої склокераміки і пор. В склокераміці (80-b)VO2 -15ВФС-5Cu-bSnO2 (0 ≤b≤ 70) пористість зменшується від 30% до 20 % із зростанням вмісту SnO2 . Середній розмір кристалітів VO2 ~35 мкм не залежить від вмісту Cu і SnO2 . При вмісті міді близько 6 ваг. % в мікроструктурі з’являються кристаліти фази V5 O9 (~ 1¸5 мкм), які локалізовані на поверхні кристалітів VO2 і у ВФС. Кристаліти VO2 не спостерігаються в мікроструктурі, коли вміст міді перевищує 12 ваг. %.

4. Встановлено, що питому електропровідність s кераміки на базі VO2 і ВФС можна цілеспрямовано змінювати в межах п’яти декад шляхом варіації вмісту добавки міді в інтервалі 0¸15 ваг. %. Зміну s склокераміки (80-b)VO2 - 15ВФС-5Cu-bSnO2 в межах п’яти декад забезпечує варіація вмісту SnO2 в інтервалі 0≤b≤70. Для склокераміки систем VO2 -ВФС, VO2 -ВФС-SnO2 , VO2 - ВФС-Cu і VO2 -ВФС-Cu-SnO2 стрибок s в межах температури Tt ~ 341 К складає не менше 102 при вмісті міді не більше 5 ваг. % і SnO2 55 ваг. %. Стрибок s має місце, якщо в склокераміці при синтезі сформовано нескінченний кластер з протіканням крізь кристаліти компонента з ФПМН. Показано, що провідну роль в формуванні такого кластеру відіграють провідникові містки між кристалітами VO2 , що утворюються в процесі синтезу за рахунок зростання кристалітів та розчинення міді в рідкій фазі. Розчинення міді сприяє формуванню провідникових містків, як наслідок легування ВФС міддю і кристалізації V5 O9 . Розроблено модель електропровідності склокераміки, в межах якої знайдено, що середня площа електричного контакту між кристалітами VO2 складає ~ 0,1 % від повної контактної площі кристалітів в склокераміці систем VO2 -ВФС, VO2 -ВФС-SnO2 і зростає до 8 % при додаванні до її складу 4-5 ваг. % міді. Мала площа контакту між кристалітами VO2 обумовлена ізолюючою дією прошарків ВФС. Встановлено, що стрибок s склокераміки в межах Tt ~ 341 К зникає при вмісті міді більше 10 ваг. %, як наслідок домінуючого внеску V5 O9 до провідності або при використанні добавок TiO2 , ZnO і Zn, як наслідок утворення сполук, що не мають ФПМН.

5. Вперше виявлено явище гістерезиса вольт-амперної характеристики зразку матеріалу з ФПМН після його перемикання у стан з низьким опором (стан „увімкнено”), коли в зразку співіснують як металева фаза в шнурі струму, так і напівпровідникова за його межами. Гістерезис виявляється як незбіг гілок ВАХ, зареєстрованих в режимі збільшення і зменшення струму. Доведено, що його причиною є притаманний ФПМН температурний гістерезис, який приводить до встановлення різних рівновагових температур на межі шнура металевої фази при збільшенні і зменшенні струму, наслідком чого є різна джоулева потужність, яка потрібна для утримання теплової рівноваги шнура, що викликає незбіг гілок ВАХ.

6. Вперше виявлено розмірний ефект, який полягає в зміні знаку диференційного опору ВАХ у стані „увімкнено” від негативного до позитивного при збільшенні струму. Встановлено, що причиною розмірного ефекту є обмеження розширення шнура металевої фази при зростанні струму розмірами зразка. В межах електротермічної моделі отримано аналітичний вираз для ВАХ у стані „увімкнено”, який адекватно описує гістерезис і розмірний ефект.

7. Встановлено закономірності впливу термоциклювання через температуру ФПМН на електропровідність і ВАХ кераміки на базі VO2 і ВФС та її складів, модифікованих добавками. Показано, що причина такого впливу обумовлена тим, що перебудова енергетичної структури VO2 при ФПМН, яка супроводжується зміною симетрії кристалічної гратки, веде до виникнення в межах міжфазних границь механічних напружень, які внаслідок малої пластичності кристалітів VO2 і ВФС приводять до формування мікротріщин, що розривають електричні зв’язки в нескінченному кластері з протіканням крізь кристаліти VO2 . Як наслідок відбувається деградація, що полягає в незворотному зменшенні s та її стрибка при ФПМН і збільшенні порогової напруги ВАХ. Найбільшу деградацію виявляє склокераміка системи VO2 -ВФС, в якій нескінченний кластер з протіканням крізь кристаліти VO2 розпадається на ізольовані скінченні кластери (розміри ~ 0,3 – 0, 4 мм) вже після 15¸20 термоциклів і склокераміка втрачає електрофізичні властивості, притаманні ФПМН. Встановлено, що модифікування такої склокераміки міддю і SnO2 дозволяє подолати деградацію при термоциклюванні.

8. Вперше в рамках підходу, який базується на теорії протікання, уявленнях про енергію пружної деформації, викликаної ФПМН, та енергію формування мікротріщини розроблено модель деградації склокераміки на основі VO2 . В межах моделі знайдено умову, яка дозволяє визначити наступні шляхи подолання деградації: 1) зменшення об’ємної долі VO2 в склокераміці і, як наслідок, питомої енергії пружної деформації при ФПМН шляхом модифікування оксидами, які не взаємодіють з VO2 і рідкою фазою при синтезі склокераміки; 2) модифікування складу склокераміки добавками металів для створення розвиненої системи низькоомних електричних зв’язків між кристалітами VO2 ; 3) зменшення розмірів кристалітів VO2 . Встановлено, що деградацію склокераміки (45-a)VO2 -15ВФС -aCu-40SnO2 при термоциклюванні можна подолати першими з двох шляхів при вмісті міді в інтервалі 5¸7 ваг. %. Така склокераміка після 104 термоциклів зберігає незмінним стрибок електропровідності при ФПМН, а величина s нижче Tt зменшується не більше, ніж у два рази.

9. На основі склокераміки системи VO2 -ВФС-Cu-SnO2 створено порогові перемикачі та критичні терморезистори зі стрибком опору близько 102 в межах температури 343 К, які здатні працювати при струмах до десятка ампер і не виявляють суттєвої деградації після 104 термоциклів. Розроблено схеми та рекомендації з вибору оптимальних параметрів таких критичних терморезисторів для ефективного захисту процесора комп’ютера від перегріву і освітлювальних ламп розжарювання від струму увімкнення.


ОСНОВНІ ПОЛОЖЕННЯ ДИСЕРТАЦІЇ ОПУБЛІКОВАНІ В НАСТУПНИХ РОБОТАХ

1. Ивон А.И., Черненко И.М. Электрокристаллизация расплавов оксидно-ванадиевых соединений, используемых в пороговых переключателях// Письма в ЖТФ. – 1981. – Т. 7, № 2. – С. 108–111.

2. Ивон А.И., Ивон Е.Г., Катков В.Ф., Черненко И.М. Фазовые равновесия в стеклообразующей системе V2 O5 –VOPO4 // ЖФХ. – 1982. - Т. LVI – С. 2866–2867.

3. Ивон А.И., Ивон Е.Г., Черненко И.М. Синтез и ход кристаллизации стекол системы V2 O5 –P2 O5 // Физика и химия стекла.– 1983.- Т.9, №3– С. 284– 286.

4. Ивон А.И., Катков В.Ф., Черненко И.М. Кристаллизация оксидных ванадиево-фосфатных стекол // Известия АН СССР. Неорганические материалы. – 1983. - Т. 19, №3 – С. 503–505.

5. Василенко В.Я., Ивон А.И., Черненко И.М. Электросинтез монокристаллов V2 O4 в оксидных ванадиево-фосфатных расплавах // Кристаллография. - 1983. – Т. 28, №4. – С. 830–831.

6. Ивон А.И., Черненко И.М., Кудзина А.П. Кинетика растворения кристаллов диоксида ванадия в расплаве оксида ванадия (V) // ЖФХ. - 1988. - Т. 62, №3. – С.611–616.

7. Ивон А.И., Колбунов В.Р., Черненко И.М. Керамика на основе диоксида ванадия // Неорганические материалы – 1996. – Т. 32, №5.– С. 624–626.

8. Черненко И.М., Ивон А.И. Переключающие и запоминающие элементы электроники на основе диоксида ванадия и оксидных ванадиевых стекол // Вісник Дніпропетровського університету. – 1998. – Т. 2,В. 3. – С. 3–14.

9. IvonA.I., KolbunovV.R., ChernenkoI.M. StabilityofElectricalPropertiesofVanadiumDioxideBasedCeramics // J. Eur. Ceram. Soc. – 1999. –V. 19. – P. 1883-1888.

10. Ивон А.И., Колбунов В.Р., Черненко И.М. Влияние термоциклирования и последующей термообработки на электропроводность керамики на основе диоксида ванадия // Неорганические материалы – 2000. – Т. 36, № 1. – С. 101 –103.

11. Ивон А.И. Электропроводность неупорядоченной поликристаллической структуры с межкристаллическими барьерами // Вісник Дніпропетровського університету«Фізика, радіоелектроніка»- 2000. - В. 6. -С. 129–135.

12. Колбунов В.Р., Ивон А.И., Черненко И.М. Деградация электрических свойств диоксиднованадиевой керамики // Вісник Дніпропетровського університету«Фізика, радіоелектроніка»- 2000. - В. 6.- С. 135–140.

13. Kolbunov V.R., Ivon A.I., Chernenko I.M. Influence of a high conductivity additive on the electrical properties of vanadium dioxide-based ceramics // J. Eur. Ceram. Soc. – 2003 –V.23. – P. 1435-1439.

14. Ivon A.I., Kolbunov V.R., Chernenko I.M. Voltage-current characteristics of vanadium dioxide based ceramics // J. Eur. Ceram. Soc. – 2003 – V. 23. – P. 2113 –2118.

15. Колбунов В.Р., Ивон А.И., Черненко И.М. Полупроводниковая керамика на основе VO2 , содержащая проводящую компоненту // Фотоэлектроника. - Одеса: Астропринт. - 2003. - В. 12. - С. 59-61.

16. Ивон А.И. Анализ электропроводности керамики на основе VO2 в рамках теории эффективной среды // Вісник Дніпропетровського Університету «Фізика і радіоелектроніка». - 2003. - В. 10. - С. 160–163.

17. Lavrov R.I., Ivon A.I., Chernenko I.M. Comparative characteristics of silver and copper electrodes on ZnO varistor ceramics // J. Eur. Ceram. Soc. – 2004 –V.24, №9. – P. 2591-2595.

18. Ивон А.И., Колбунов В.Р., Бубель Т.А., Черненко И.М. Получение кристалллического оксида ванадия (IV) восстановлением оксида ванадия (V) углеродом // Вопросы химии и химической технологии. - 2004. - № 2. - С. 68-72.

19. Ивон А.И., Бубель Т.А. Определение содержания кристаллического диоксида ванадия в материалах на его основе // Заводская лаборатория. Диагностика материалов. - 2005. - Т. 71, № 8. - С. 31–35.

20. Ivon A.I., Kolbunov V.R., Chernenko I.M. The influence of temperature hysteresis at metal-semiconductor phase transition on current-voltage characteristic of VO2 -based ceramics // J. Mater. Sci.: Materials in Electronics. - 2005. - V. 16, №9. - P. 611–615.

21. Андреев А.А., Ивон А.И., Можаровский Л.А. Моделирование защиты электрической цепи от тока включения// Системні технології: Зб. наук. праць. - Дніпропетровськ, 2005. - В. 6’ (41). - С. 3-9.

22. IvonA.I., KolbunovV.R., ChernenkoI.M. ConductivitystabilizationbymetalandoxideadditivesinceramicsonthebasisofVO2 and glass V2 O5 -P2 O5 // J. Non-Cryst. Solids. - 2005. -V. 351, № 46-48. -P. 3649-3654.

23. Kolbunov V.R., Ivon A.I., Chernenko I.M. Conductivity of VO2 -based ceramics // J. Mater. Sci.: Materials in Electronics.- 2006- V. 17, №1.- P. 57–62.

24. Ivon A.I., Chernenko I.M., Kolbunov V.R. Phase composition, microstructure and conductivity of (85-a)VO2 -15(Vanadium-Phosphate-Glass)-aCu glass-ceramics // J. Non-Cryst. Solids. - 2007. - V. 353, № 24-25. - P. 1521-1528.

25. Ивон А.И., Кузьменко Е.Н. Использование критических терморезисторов для защиты процессора от перегрева // Системні технології: Зб. наук. праць. - Дніпропетровськ, 2007. - В. 2’ (49). - С. 25-32.

26. Ivon A.I., Chernenko I.M., Kolbunov V.R., Mozharovsky L.A. The size effect in current-voltage characteristic of VO2 -based ceramics in the on-state // J. Mater. Sci.: MaterialsinElectronics. - 2007 -V. 18, № 10.-P.1009-1012.

27. Деклараційний пат. 40041А Україна, МКИ C 01 G 31/02. Спосіб одержання діоксиду ванадію: Деклараційний патент 40041А Україна, МКИ C 01 G 31/02 О.І. Івон, І.М. Черненко, В.Р. Колбунов (Україна); Дніпропетровський державний університет. - № 99010384; Заявл. 26.01.99; Опубл. 16.07.2001. Бюл. №6. - 2 с.

28. Деклараційний патент 40748А Україна, МКИ C 04 В 35/495, H 01 B 01/08. Спосіб одержання напівпровідникової кераміки на основі діоксиду ванадію: Деклараційний патент 40748А Україна, МКИ C 04 В 35/495, H 01 B 01/08 О.І. Івон, В.Р. Колбунов, І.М. Черненко (Україна); Дніпропетровський державний університет. - № 99031402; Заявл. 16.03.99; Опубл. 15.08.2001. Бюл. №7. - 2 с.

29. Ivon A.I., Chernenko I.M. Threshold switching and electrocrystallization of oxide vanadium glasses // Glass and Fine Ceramics: X National Scientific and Technical Conf. with International Participation. Varna, Bulgaria, 18 – 20 Oct. 1990.-Varna, 1990.-Vol. 1. – P. 99-101.

30. Ivon A.I., Kolbunov V.R., Chernenko I.M. Vanadium dioxide based ceramics // Electroceramics V: International Conf. on Electronic Ceram. & Applications. Aveiro, Portugal, 2-4 Sept. 1996.-Aveiro, 1996. - Book 2. - P. 569-571.

31. Ivon A.I., Kolbunov V.R., Chernenko I.M. Phase transition in VO2 and stability of VO2 –based ceramics // Euro Ceramics VI: International Conf. of the Europ. Ceram. Society. Brighton, UK, 20-24 June 1999.-Brighton, 1999. -P.103-105.

32. Колбунов В.Р., Ивон А.И., Черненко И.М. Влияние электропроводящей добавки на электрические свойства термочувствительной керамики на основе диоксида ванадия // Датчики и преобразователи информации систем измерения, контроля и управления “ДАТЧИК-2001”: XIII научно-технич. конфер. с участ. заруб. спец. Судак, 24-31 мая 2001 г.-Судак, 2001.- С. 116.

33. Колбунов В.Р., Ивон А.И., Черненко И.М. Полупроводниковая керамика на основе VO2 , содержащая проводящую компоненту // УНКФН-1: 1-а Українська наук. конф. з фізики напівпровідників (з міжнарод. участю). Одеса, 10 - 14 верес. 2002 р. - Одеса, „Астропринт”, 2002. - С. 212-213.

34. Колбунов В.Р., Ивон А.И., Черненко И.М. Особенности поведения вольтамперных характеристик керамики на основе диоксида ванадия, содержащей высокопроводящую компоненту // Актуальні проблеми фізики напівпровідників: IV міжнарод. школа-конф. Прикарпаття, Дрогобич, 24-27 черв. 2003 р. - Дрогобич, Україна, 2003. - С. 202.

35. Колбунов В.Р., Ивон А.И., Черненко И.М. Влияние термоциклирования на электропроводность керамики (85-y-x)VO2 -xCu-15ВФС-ySnO2 // Актуальні проблеми фізики напівпровідників: V міжнарод. школа-конф. Прикарпаття, Дрогобич, 27-30 черв. 2005 р. - Дрогобич, Україна, 2005. - С. 150 – 151.

36. Колбунов В.Р., Ивон А.И., Черненко И.М. Гістерезис вольт-амперної характеристики кераміки на основі діоксиду ванадію // Фізика в Україні: Всеукраїнський з’їзд, Одеса, 3-6 жовт. 2005р. - Одеса, „Астропринт”, 2005. - С. 98.

37. Колбунов В.Р., Ивон А.И., Черненко И.М. Электропроводность стеклокерамики системы VO2 -ВФС-Cu-SnO2 // Сенсорна електроніка та мікросхемні технології СЕМСЕТ – 2: 2-а Міжнарод. наук.-технич. конф. Одеса, 26-30 черв. 2006 р. - Одеса, „Астропринт”, 2006. - С. 196.

38. Ивон А.И., Черненко И.М., Колбунов В.Р. Защита осветительных ламп накаливания с помощью критических терморезисторов на основе диоксиднованадиевой стеклокерамики// Електромагнітна сумісність на залізничному транспорті (EMC-R 2007): I Міжнар. наук.-практ. конф. Дніпропетровськ, 24-26 трав. 2007 р.-Дніпропетровськ, 2007. - С. 67 – 68.


АНОТАЦІЯ

Івон О.І. Склокерамічні матеріали на основі компонента з фазовим переходом метал-напівпровідник. – Рукопис .

Дисертація на здобуття наукового ступеня доктора фізико-математичних наук за спеціальністю 01.04.07 – фізика твердого тіла. Дніпропетровський національний університет, Дніпропетровськ, 2008.

Дисертація присвячена синтезу нового класу твердотільних склокерамічних матеріалів на основі компонента з фазовим переходом метал-напівпровідник (ФПМН) – VO2 та дослідженню їх фазового складу, мікроструктури, електропровідності, вольт-амперних характеристик (ВАХ) та впливу термоциклювання на електрофізичні властивості таких матеріалів. Розроблені нові методи отримання VO2 і визначення вмісту компонента з ФПМН в гетерогенних матеріалах, визначено оптимальні режими синтезу склокераміки.

Показано, що фазовий склад склокераміки (ваг. %) с VO2 -(100-с )ВФС (70 £с £ 95), (85-a)VO2 –15ВФС–aCu (a£ 5), (85-b)VO2 –15ВФС–bSnO2 і (80-b)VO2 –15ВФС–5Cu-bSnO2 (ВФС – ванадієво-фосфатне скло) не змінюється в процесі синтезу, а компонентами її мікроструктури є кристаліти VO2 , кристаліти SnO2 , скло і пори. В склокераміці з добавками ZnO, TiO2 і Zn за рахунок їх взаємодії з VO2 і ВФС утворюються з’єднання, які не мають ФПМН. Визначено склади склокераміки, які мають стрибок питомої електропровідності при ФПМН в VO2 не менше 102 . Розроблено модель електропровідності такої склокераміки. Вперше виявлено гістерезис і розмірний ефект ВАХ в матеріалах з фазовим переходом метал-напівпровідник. Отримано аналітичний вираз для ВАХ, який адекватно описує ці ефекти. Виконані дослідження впливу термоциклювання через температуру ФПМН на електропровідність і ВАХ склокераміки на основі VO2 . Побудована модель деградації електрофізичних властивостей склокераміки при термоциклюванні і визначені шляхи подолання деградації. В системі VO2 -ВФС -Cu-SnO2 отримано склокераміку, яка здатна працювати при струмах до десятка ампер і не виявляють суттєвої деградації після 104 термоциклів. Розглянуто можливості використання такої склокераміки в електроніці і електротехніці.

Ключові слова: фазовий перехід метал-напівпровідник, діоксид ванадію, VO2 , склокераміка, мікроструктура, електропровідність, вольт-амперна характеристика, термоциклювання.


АННОТАЦИЯ

Ивон А.И. Стеклокерамические материалы на основе компонента с фазовым переходом металл-полупроводник. – Рукопись.

Диссертация на соискание ученой степени доктора физико-математических наук по специальности 01.04.07 – физика твердого тела. – Днепропетровский национальный университет, Днепропетровск, 2008.

Диссертация посвящена синтезу нового класса твердотельных стеклокерамических материалов на основе компонента с фазовым переходом металл-полупроводник (ФПМП) – VO2 и исследованию их фазового состава, микроструктуры, электропроводности, вольт-амперных характеристик (ВАХ) и влияния термоциклирования через температуру ФПМП на электрофизические свойства. Разработаны новые методы получения VO2 и определения содержания компонента с ФПМП в гетерогенных материалах, определены оптимальные режимы синтеза стеклокерамики. Метод получения VO2 отличается от известных методов высокой производительностью и обеспечивает в конечном продукте не менее 98 вес. % VO2 со скачком удельной электропроводности в области температуры ФПМП Tt ~ 68 o C около трех порядков.

Методами рентгенофазового, дифференциального термического анализов и сканирующей электронной микроскопии исследованы различные составы стеклокерамики на базе VO2 и ванадиево-фосфатных стекол (ВФС). Показано, что фазовый состав стеклокерамики (вес. %) с VO2 -(100-с )ВФС (70 £с £ 95), (85-a)VO2 –15ВФС–aCu (a£5), (85-b)VO2 –15ВФС–bSnO2 и (80-b)VO2 –15ВФС–5Cu-bSnO2 не изменяется при синтезе. Компонентами микроструктуры являются кристаллиты VO2 , кристаллиты SnO2 , стекло и поры. Медь растворяется в жидкой фазе при синтезе и входит в состав ВФС. При ее содержании более 5 вес. % за счет восстановленияVO2 в стеклокерамике формируется фаза V5 O9 , имеющая ФПМП при температуре 125 К. В стеклокерамике с добавками ZnO, TiO2 и Zn за счет их взаимодействия с VO2 и ВФС образуются соединения, не имеющие ФПМП.

Наибольший скачок удельной электропроводности s в области температуры ФПМП VO2 Tt ~ 341 К (не менее 102 ) проявляет стеклокерамика составов: с VO2 -(100-с )ВФС, (85-a)VO2 –15ВФС–aCu при a£ 5; (85-b)VO2 -15ВФС-bSnO2 при b£ 60 и (80-b)VO2 -15ВФС-5Cu-bSnO2 при b£ 55. Разработана модель электропроводности стеклокерамики на основе компонента с ФПМП, определены условия, при которых такая стеклокерамика имеет скачок удельной электропроводности в области температуры Tt .

Впервые обнаружены гистерезис и размерный эффект вольт-амперных характеристик (ВАХ) образцов материалов с ФПМП. Получено аналитическое выражение для ВАХ,адекватно описывающее эти эффекты.

Изучено влияния термоциклирования через температуру ФПМП на электропроводность и ВАХ стеклокерамики на основе VO2 . Впервые, исходя из природы физических процессов, происходящих при термоциклировании, базируясь на идеях теории протекания и модели электропроводности стеклокерамики, построена модель деградации электрофизических параметров стеклокерамических материалов на основе компонента с ФПМП и определены пути преодоления деградации. В системе VO2 -ВФС-Cu-SnO получена стеклокерамика, которая имеет скачок s~ 102 в области температуры ~343 К, способна работать при токе до десятка ампер и не проявляет существенной деградации после 104 термоциклов. Рассмотрены возможности использования такой стеклокерамики для защиты процессора от перегрева и осветительных ламп накаливания от тока включения.

Ключевые слова: фазовый переход металл-полупроводник, диоксид ванадия, VO2 , стеклокерамика, микроструктура, электропроводность, вольт-амперная характеристика, термоциклирование.


ABSTRACT

Ivon A.I. Glass-ceramic materials on the basis of component with the metal-semiconductor phase transition. – Manuscript .

Thesis for a Doctor's degree by speciality 01.04.07 - solid state physics. - Dnepropetrovsk National University, Dnepropetrovsk, 2008.

The dissertation is devoted to the synthesis of glass-ceramic materials based on component with metal-semiconductor phase transition (MST) - VO2 and to the investigation of theirsphase composition, microstructure, electric conductivity, current-voltage characteristics (CVC) and effect of temperature cycling on electrophysical properties of such materials. The new methods for VO2 making and for content’s determination of component with MST in heterogeneous materials are developed. The optimal regimes of glass-ceramics synthesis are defined.

As shown, the composition of glass-ceramics (wt. %) с VO2 -(100-c )VPG (70 £c £ 95), (85-a)VO2 -15VPG-aCu (a£ 5), (85-b)VO2 -15VPG-bSnO2 and (80-b)VO2 -15VPG-5Cu-bSnO2 (VPG-vanadium-phosphate glass) does not changeat the synthesis, and such ceramics have microstructure components: VO2 crystallites, SnO2 crystallites, VPG and pores.The phase V5 O9 is observed in glass-ceramics when copper content more than 5 wt. %. Inglass-ceramics with the additives of Zn, ZnO and TiO2 thecompounds which do not have MST are forming as a result of interaction of these additives with VO2 and VPG. The glass-ceramic compositions which show the conductivity jump not less than 102 at phase transition in VO2 are found. The model of electric conductivity in such glass-ceramic materials is developed. The hysteresis and the size effect in current-voltage characteristic of materials with metal-semiconductor phase transition are discovered. The analytical expression for CVC which describes these effects adequately is obtained. The effect of temperature cycling on electrical conductivity and CVC in VO2 -based glass-ceramics was studied. The model of glass-ceramics degradation is developed and the ways to overcome of degradation are specified. The glass-ceramic compositions in system VO2 -VPG-Cu-SnO2 which show the stable behaviour at temperature cycling, have the conductivity jump not less than 102 at temperature ~343 К and can work with the currents up to ten ampere are obtained. The using of such glass-ceramics for the processor protection from overheating and for electrical engineering devices protection from switching current are considered.

Keywords: metal-semiconductor phase transition, vanadium dioxide, VO2 , glass-ceramics, microstructure, electrical conductivity, current-voltage characteristic, temperature cycling.