Учебное пособие: Физика
|
Название: Физика Раздел: Рефераты по физике Тип: учебное пособие | ||||||||||||||||||||||||||||||||||||||||||||||||||||||||||||||||||||||||||||||||||||||||||||||||||||||||||||||||||||||||
Міністерство освіти і науки України Машинобудівний технікум ПДІУ КОНСПЕКТ ЛЕКЦИЙ з дисципліни ФІЗИКА Спеціальність: 5.092304 «Зварювальне виробництво» Розробив викладач МТ ПД ТУ М.М. Бабич 200 8 МЕХАНИКАВведениеФизика изучает явления, наблюдаемые в реальном мире, и свойства материальных объектов. Эти явления и свойства мы характеризуем с помощью физических величин. Например, движение характеризуется скоростью и ускорением, свойства тел притягивать друг друга характеризуются массой или зарядом. Наблюдаемые нами явления и физические свойства тел возникают вследствие взаимодействия между телами либо между частицами — атомами и молекулами, из которых состоят материальные тела. В результате этих взаимодействий соответствующие физические величины не остаются постоянными, а испытывают всевозможные изменения. Эти изменения могут происходить как непрерывно, так и скачками, как по величине, так и по направлению. При наблюдении изменений физических величин возникает необходимость в их количественной и качественной оценке. Для этой цели физика использует математические методы. В отличие от математики, которая изучает количественные и пространственные отношения между рассматриваемыми объектами, физика изучает материальные свойства тел и частиц, из которых состоят эти тела. Как показывает опыт, материальные свойства обусловлены взаимодействиями между телами либо между частицами. В природе существуют разные взаимодействия. Каждое из них имеет свои особенности, и поэтому физика разделяется на ряд областей, изучающих отдельные виды взаимодействий. На первый взгляд физика состоит из целого ряда независимых разделов — механики, термодинамики, электродинамики, оптики и других. На самом деле эти области физики настолько связаны друг с другом, что не могут существовать друг без друга и, строго говоря, даже не могут быть разделены. Ведь сама природа не делит всевозможные взаимодействия на различные виды, в природе все происходит сразу и вместе. Возможность рассмотрения каждого вида взаимодействия по отдельности, как это делается в физике, связана с тем, что при изучении конкретного взаимодействия мы считаем, что другие взаимодействия отсутствуют или очень малы. Можно ли это делать или нельзя, в каждом отдельном случае показывает опыт. В этом заключается существо физического подхода к изучению явлений и свойств материальных объектов. Наши знания о различных видах взаимодействий возникли не сразу, а развивались последовательно и постепенно. Сначала постигались наиболее простые механизмы взаимодействий, при этом все, что не соответствовало опыту, отбрасывалось, а то, что было нужно и полезно, закладывалось в фундамент Нового знания. Так — от простого к сложному — возводилась конструкция огромного и связанного воедино здания современной физики. При изучении физики мы тоже будем следовать этому естественному принципу. Во многих случаях действие одного тела на другое или каких-либо частиц друг на друга мы, в конечном счете, обнаруживаем, наблюдая перемещение какого-либо макроскопического тела в пространстве. Макроскопическим мы называем тело, состоящее из большого числа микроскопических частиц — атомов и молекул. На опыте мы всегда имеем дело с макроскопическими телами, хотя результаты опыта позволяют нам часто судить о свойствах составляющих тело микрочастиц (именно так мы узнали о существовании атомов и молекул). Например, при столкновении одного шара с другим шар, который прежде находился в покое, переместился в пространстве. Изменение электрического тока в цепи мы отмечаем по перемещению стрёлки амперметра. Увеличение температуры мы обнаруживаем по перемещению ртутного столбика в термометре. Конечно, не всегда действие одного тела на другое обязательно приводит к перемещению последнего, во нас сейчас будет интересовать именно такой результат действия, поскольку он является наиболее простым из всех, которые встречаются в природе. Как показывает опыт, никакое следствие не возникает без причины. В частности, причиной указанных выше перемещений макроскопических тел являются действия на них других тел. Таким образом, измеряя перемещение тела вследствие его взаимодействия с другими телами, мы можем судить о характере и величине этого взаимодействия. Поэтому так важно уметь описывать всевозможные перемещения тела в пространстве и характеризовать состояние тела в процессе его перемещения. Перемещение тела в пространстве с течением времени представляет собой движение. Раздел физики, в котором изучается движение тел и его изменения в результате действия других тел, называется механикой. В свою очередь раздел механики, в котором изучают свойства движения тел, не рассматривая причин, приводящих к этому движению, называют кинематикой, а раздел механики, в котором изучается изменение движения под действием других тел называют динамикой. Изучая физику, мы будем иметь дело с физическими величинами. Необходимо ясно представлять себе, что такое физическая величина, чем она отличается от математической иди от величин, рассматриваемых в других науках. Физика — опытная наука. Все, что мы узнали о материальном мире, возникло из опыта. И любые заключения и предположения, которые мы делаем о свойствах материальных объектов, в конечном счете проверяются на опыте. Другими словами, опыт является окончательным критерием правильности наших представлений. В процессе опыта мы определяем те или иные физические величины, например скорость или температуру. Таким образом, определить физическую величину означает указать способ ее измерения. Физические величины являются наблюдаемыми. Напротив, если мы говорим о какой-либо величине и не можем указать способ ее измерения, то она не является наблюдаемой. Такие величины просто не рассматриваются в физике, не являются ее предметом. Далее, физические величины являются достоверными в том смысле, что физический опыт должен обладать свойством повторяемости. Это значит, что при повторении опыт, проведенный в равных условиях, должен приводить всякий раз к одинаковому результату. В других науках это не всегда так, и чем менее выполняется это требование, тем менее эта наука достоверна. Физические величины обладают свойством размерности. Под размерностью физической величины понимают совокупность параметров, необходимых для ее определения. Другими словами, указать размерность физической величины означает указать, какие измерения нужно произвести, чтобы ее определить. Самые простые физические величины — это длина, время и масса. Они имеют, как говорят, собственные размерности, обозначаемые соответственно буквами L , T и M , потому что для их определения никаких других измерений производить не нужно. Но уже, например, для определения скорости тела необходимо произвести два независимых измерения — длины L и времени T . Поэтому размерность скорости есть отношение L /T . Как мы увидим, размерность физической величины находится с помощью формулы, которая служит ее определением. Подчеркнем, что размерность физической величины и единицы ее измерения — это разные понятия. Например, скорость может измеряться в см/с, или в м/с, или в км/ч, а размерность ее при этом не меняется — она всегда есть L /T , потому что независимо от того, в каких единицах мы измеряем скорость, мы всегда производим измерения одних и тех же двух параметров — длины L , и времени T . Размерность физической величины представляет ее важнейшее свойство. Часто приходится сравнивать между собой различные величины. Физические величины можно сравнивать, только если они обладают одинаковой размерностью. Например, нельзя сравнивать между собой длину пути и отрезки времени: это бессмысленно — они обладают разной размерностью. Кинематика материальной точкиОдним из основных понятий механики является понятие материальной точки, что означает тело, обладающее массой, размерами которого можно пренебречь при рассмотрении его движения. Движение материальной точки — простейшая задача механики, которая позволит рассмотреть более сложные типы движений. Перемещение материальной точки происходит в пространстве и изменяется со временем. Реальное пространство трехмерно, и положение материальной точки в любой момент времени полностью определяется тремя числами — ее координатами в выбранной системе отсчета. Число независимых величин, задание которых необходимо для однозначного определения положения тела, называется числом его степеней свободы. В качестве системы координат выберем прямоугольную, или декартову, систему координат. Для описания движения точки, кроме системы координат, необходимо еще иметь устройство, с помощью которого можно измерять различные отрезки времени. Такое устройство назовем часами. Выбранная система координат и связанные с ней часы образуют систему отсчета.
Декартовы координаты X ,Y ,Z определяют в пространстве радиус-вектор z , острие которого описывает при его изменении со временем траекторию материальной точки. Длина траектории точки представляет собой величину пройденного пути S (t ). Путь S (t )— скалярная величина. Наряду с величиной пройденного пути, перемещение точки характеризуется направлением, в котором она движется. Разность двух радиус-векторов, взятых в различные моменты времени, образует вектор перемещения точки (рисунок). Для того чтобы характеризовать, как быстро меняется положение точки в пространстве, пользуются понятием скорости. Под средней скоростью движения по траектории за конечное время Dt понимают отношение пройденного за это время конечного пути DS ко времени:
Скорость движения точки по траектории — скалярная величина. Наряду с ней можно говорить о средней скорости перемещения точки. Эта скорость — величина, направленная вдоль вектора перемещения,
Если моменты времени t1 , и t2 бесконечно близки, то время Dt бесконечно мало и в этом случае обозначается через dt . За время dt точка проходит бесконечно малое расстояние dS . Их отношение образует мгновенную скорость точки
Производная радиус-вектора r по времени определяет мгновенную скорость перемещения точки.
Поскольку перемещение совпадает с бесконечно малым элементом траектории dr = dS , то вектор скорости направлен по касательной к траектории, а его величина:
На рисунке показана зависимость пройденного пути S от времени t . Вектор скорости v (t ) направлен по касательной к кривой S (t ) в момент времени t . Из рисунка видно, что угол наклона касательной к оси t равен
Интегрируя выражение (1.5) в интервале времени от t0
до t
, получим формулу, позволяющую вычислить путь, пройденный телом за время t
-t0
если известна зависимость от времени его скорости v
(t
)
Геометрический смысл этой формулы ясен из рисунка. По определению интеграла пройденный путь представляет собой площадь, ограниченную кривой v =v (t ) в интервале от t0 до t .В случае равномерного движения, когда скорость сохраняет свое постоянное значение во все время движения, v =const ; отсюда следует выражение
где S0 ‑ путь, пройденный к начальному времени t0 . Производную скорости по времени, которая является второй производной по времени от радиус-вектора, называют ускорением точки:
Вектор ускорения а направлен вдоль вектора приращения скорости dv . Пусть а = const . Этот важный и часто встречаемый случай носит название равноускоренного или равнозамедленного (в зависимости от знака величины а) движения. Проинтегрируем выражение (1.8) в пределах от t = 0 до t :
и используем следующие начальные условия: Таким образом, при равноускоренном движении
В частности, при одномерном движении, например вдоль оси X
,
В общем случае движение точки может быть криволинейным. Рассмотрим этот тип движения. Если траектория точки произвольная кривая, то скорость и ускорение точки при ее движении по этой кривой меняются по величине и направлению. Выберем произвольную точку на траектории. Как всякий вектор, вектор ускорения можно представить в виде суммы его составляющих по двум взаимно перпендикулярным осям. В качестве одной из осей возьмем направление касательной в рассматриваемой точке траектории, тогда другой осью окажется направление нормали к кривой в этой же точке. Составляющая ускорения, направленная по касательной к траектории, носит название тангенциального ускорения at , а направленная ей перпендикулярно — нормального ускорения an . Получим формулы, выражающие величины at , и an через характеристики движения. Для простоты рассмотрим вместо произвольной криволинейной траектории плоскую кривую. Окончательные формулы остаются справедливыми и в общем случае неплоской траектории.
Благодаря ускорению скорость точки приобретает за время dt малое изменение dv . При этом тангенциальное ускорение, направленное по касательной к траектории, зависит только от величины скорости, но не от ее направления. Это изменение величины скорости равно dv . Поэтому тангенциальное ускорение может быть записано как производная по времени от величины скорости:
С другой стороны, изменение dvn
, направленное перпендикулярно к v
, характеризует только изменение направления вектора скорости, но не его величины. На рис. показано изменение вектора скорости, вызванное действием нормального ускорения. Как видно из рис. Найдем величину an . Проще всего это сделать, взяв наиболее простой случай криволинейного движения — равномерное движение по окружности. При этом at =0. Рассмотрим перемещение точки за время dt по дуге dS окружности радиуса R .
Скорости v
и v'
, как отмечалось, остаются равными по величине. Изображенные на рис. треугольники оказываются, таким образом, подобными (как равнобедренные с равными углами при вершинах). Из подобия треугольников следует
Формула для полного ускорения при криволинейном движении имеет вид:
Подчеркнем, что соотношения (1.12), (1.13) и (1.14) справедливы для всякого криволинейного движения, а не только для движения по окружности. Это связано с тем, что всякий участок криволинейной траектории в достаточно малой окрестности точки можно приближенно заменить дугой окружности. Радиус этой окружности, называемый радиусом кривизны траектории, будет меняться от точки к точке и требует специального вычисления. Таким образом, формула (1.14) остается справедливой и в общем случае пространственной кривой. Законы Ньютона и законы сохраненияПри рассмотрении кинематики использовалась неподвижная система отсчета. В природе не существует абсолютного движения, всякое движение имеет относительный характер: либо одного тела относительно другого, либо относительно выбранной системы отсчета. Возникает вопрос, все ли системы отсчета являются равноправными, а если нет, то какие являются предпочтительными. Единственное и естественное требование к системе отсчета состоит в том, что ее выбор не должен вносить усложнения в описание движения тел, т.е. законы движения в выбранной системе отсчета должны иметь наиболее простой вид. В частности, в такой системе должны оставаться неизменными свойства пространства и времени: пространство должно быть однородным и изотропным, а время однородным. Однородность пространства и времени означает, что наблюдаемые физические свойства и явления должны быть одинаковы в любой точке пространства и в любой момент времени. Не существует выделенных в каком-либо отношении точек пространства и моментов времени. Изотропность пространства означает, что все направления в пространстве равнозначны. Физические явления в замкнутой системе не должны изменяться при ее повороте в пространстве. Система отсчета, которая использовалась до сих пор, отвечала этим требованиям, но возникает вопрос, как ее реализовать, т.е. с какими объектами, реально существующими в природе, можно ее связать. Оказывается, что выбор подобной системы отсчета является непростым делом, так как требуемым условиям отвечает специальный класс физических объектов. Если «привязать» неподвижную систему координат к какому-либо произвольно движущемуся объекту, например к вагону поезда, можно заметить, что в данной системе отсчета сразу произойдут странные явления, например груз, подвешенный на нити, будет время от времени отклоняться от вертикали (что связано с действием различных ускорений вагона: при торможении или ускорении и при поворотах). В результате для описания этих явлений в данной системе координат придется прибегнуть к представлениям о взаимодействиях, внешних по отношению к системе, и включить их в рассмотрение. В то же время ясно, что в другой системе координат, не испытывающей указанных ускорений, описание механических явлений будет гораздо проще. Другой пример не очень подходящей системы отсчета — неподвижная система, связанная с Землей. В этой системе можно, например, обнаружить вращение плоскости колебаний физического маятника (на самом деле связанное с вращением Земли вокруг своей оси), для объяснения которого нам также придется привлекать физические причины, являющиеся посторонними по отношению к данной системе отсчета. Вместе с тем, как показывает опыт, по отношению к Солнцу и звездам маятник будет вести себя стабильно, т.е. Солнце и звезды являются подходящими физическими объектами для выбора указанной системы отсчета.
Как показывает опыт, нужным требованиям удовлетворяют системы отсчета, которые связаны с физическими объектами, не испытывающими внешних воздействий, т.е. не подвергающимися каким-либо ускорениям. В таких системах отсчета тела находятся в состоянии покоя или равномерного прямолинейного движения до тех пор, пока на них не действуют другие тела. Свойство тела сохранять такое состояние называется инерцией, и поэтому системы отсчета, о которых "идет речь, носят название инерциальных. Если наряду с выбранной инерциальной системой, рассмотреть другую, движущуюся относительно первой прямолинейно и равномерно, то свободное движение тела в новой системе будет также происходить с постоянной скоростью. Таким образом, существует бесконечное множество инерциальных систем отсчета. Во всех этих системах свойства пространства и времени одинаковы и одинаковы законы механики. Не существует никакой абсолютной системы отсчета, которую можно было бы предпочесть другим системам. В этом состоит принцип относительности Галилея. Его можно сформулировать и так: никакими механическими опытами невозможно установить, движется ли данная инерциальная система или покоится: оба состояния эквивалентны. Координаты точки в двух системах отсчета, одна из которых K' движется равномерно и прямолинейно относительно другой (K ) со скоростью V , связаны соотношением (рис.)
При этом считается, что время абсолютно, т.е. течет одинаково в обеих системах: t' = t . Скорость точки в системе К связана со скоростью в системе К' формулой:
Математически принцип относительности Галилея можно сформулировать как требование инвариантности (неизменности) уравнений механики по отношению к преобразованию (1.23) Законы НьютонаЗаконы Ньютона образуют основу динамики — раздела механики, рассматривающего взаимодействие тел. Первый закон Ньютона отражает свойство инерции, тел и часто называется законом инерции. Он утверждает, что всякое тело сохраняет состояние покоя или равномерного прямолинейного движения, пока воздействие со стороны других тел не заставит его изменить это состояние. Ясно, во-первых, что этот закон выполняется только в инерциальных системах отсчета. Во-вторых, отсюда следует важное заключение, что, поскольку изменение состояния покоя или равномерного движения связано с наличием в системе ускорения, последнее, в свою очередь, возникает как результат воздействия других тел. Это утверждение создает предпосылки для формулирования второго закона Ньютона. Воздействие одного физического тела на другое характеризуется физической величиной, называемой силой. Сила, действующая на тело, сообщает ему ускорение. Величина полученного ускорения пропорциональна приложенной силе. Но разные тела под влиянием одинаковых сил приобретают разные ускорения. Данный опытный факт есть проявление уже упоминавшегося свойства инерции тела. Это свойство количественно характеризуется инертной массой тела — коэффициентом пропорциональности между приложенной к телу силой и полученным им ускорением.
Таким образом, второй закон Ньютона может быть записан в форме:
где фигурируют вновь введенные физические величины: вектор силы F и инертная масса тела m . В таком виде его можно сформулировать следующим образом: ускорение, приобретаемое телом, прямо пропорционально силе, действующей на тело, и обратно пропорционально массе тела. Третий закон Ньютона имеет дело со взаимодействующими, телами. Он утверждает, что силы, с которыми действуют друг на друга взаимодействующие тела, равны по величине и противоположны по направлению. Важно подчеркнуть, что силы, о которых идет речь, приложены к разным взаимодействующим друг с другом телам. Законы сохраненияЗапишем уравнение (1.24) в виде
Выражение (1.25) представляет собой уравнение движения частицы. Если его проинтегрировать, то можно найти траекторию частицы r = r (t , F ). Однако часто это не является необходимым. Оказывается, уравнения Ньютона обладают тем свойством, что некоторые величины, характеризующие движение частицы, остаются неизменными во все время движения. О таких величинах принято говорить, что они сохраняются. Их также называют интегралами движения. Знание интегралов движения позволяет получить ряд важных следствий без фактического решения уравнений движения. Получим некоторые сохраняющиеся величины. Перепишем уравнение (1.25) в виде
Величина
Физический смысл импульса становится очевидным, если уравнение (1.27) проинтегрировать на конечном интервале времени от 0 до t :
Изменение импульса служит мерой величины силы, действующей на тело в течение конечного промежутка времени. Численно величина импульса
Рассмотрим тело или систему тел в отсутствие внешних сил. Система тел, на которую не действуют внешние силы (или векторная сумма этих сил равна нулю), является замкнутой. В этом случае F =0; как видно из уравнений (1.26) или (1.27),
остается постоянной во все время движения. Полученный результат представляет собой закон сохранения импульса, который имеет место как для одного тела, так и для системы тел в отсутствие внешних сил. В отсутствие внешних сил сохраняется еще одна скалярная величина. Если умножить уравнение (1.26) одновременно слева и справа на вектор скорости, в левой части окажется производная от полного дифференциала, и уравнение примет вид
Пусть F = 0. Тогда постоянной во время движения является величина
Она называется кинетической энергией частицы. При отсутствии внешних сил, т. е. в замкнутой системе, сохраняется кинетическая энергия как в случае одного тела, так и для системы тел. Когда на частицу действует внешняя сила F
, кинетическая энергия не остается постоянной. В этом случае согласно (1.31) приращение кинетической энергии за время dt
равно скалярному произведению Проинтегрируем соотношение (1. 31) вдоль некоторой траектории от точки 1 до точки 2:
Левая часть представляет собой приращение кинетической энергии на пути между точками 1 и 2, а величина
есть работа силы на пути 1—2. Таким образом, работа сил, действующих на частицу, расходуется на изменение ее кинетической энергии:
Соответственно, изменение кинетической энергии частицы служит мерой работы, произведенной над частицей. Если частица в каждой точке пространства подвержена действию других тел, то говорят, что эта частица находится в поле сил. В случае силового поля действие силы распределено по всему пространству. Рассмотрим такое поле сил, действие которого на частицу зависит только от положения частицы в пространстве. Такое поле можно описать с помощью некоторой скалярной функции φ(r ), зависящей, а соответствии со сказанным, только от координат. Это случай специального, но часто встречаемого в природе потенциального поля, а функция φ(r ), характеризующая поле, является потенциалом поля. Сила связана с потенциалом в каждой точке соотношением
где постоянная определяется свойствами частицы, взаимодействующей с полем сил. Подставим соотношение (1.35) в (1.33) и опять проинтегрируем вдоль траектории от точки 1 до точки 2. Получим T2 - T1 +const (φ2 - φ1 ) = О, т.е. величинаT2 +const· φ2 = T1 +const· φ1 остается постоянной при движении вдоль траектории. Таким образом, для частицы в потенциальном поле внешней силы сохраняется, т. е. является интегралом движения, величина E = T +const ·φ(r ). (1.36) Величина U = const ·φ(r ) называется потенциальной энергией частицы в поле φ(r ), а выражение (1.36) представляет собой полную механическую энергию частицы E = T + U . (1.37) ЭЛЕКТРИЧЕСТВОПостоянное электрическое полеЭлектрический заряд Электрический заряд – определение: Электрический заряд - характеристика частиц, определяющая интенсивность их электромагнитного взаимодействия. Существует два вида электрических зарядов, условно называемых положительными и отрицательными . Взаимодействие зарядов разных знаков
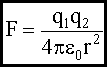
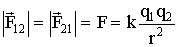
Элементарные частицы - носители заряда Носителями заряда являются элементарные частицы, заряд элементарных частиц, если они заряжены, одинаков по абсолютной величине e = 1.6·10-19 Кл. Электрон имеет отрицательный заряд (-е), протон - положительный (+е) , заряд нейтрона равен нулю . Из этих частиц построены атомы любого вещества. Суммарный заряд атома равен нулю . Закон сохранения заряда утверждает В электрически изолированной системе суммарный заряд не может изменяться. Релятивистская инвариантность заряда означает, что его величина, измеренная в различных инерциальных системах отсчета, оказывается одинаковой. Или: Величина заряда не зависит от скорости, с которой он движется. Взаимодействие точечных зарядов Точечный заряд - модель заряженного тела, сохраняющая три его свойства: положение в пространстве, заряд и массу. Или: точечный заряд - это заряженное тело, размерами которого можно пренебречь. Закон Кулона Взаимодействие двух точечных неподвижных зарядов в вакууме описывается законом Кулона:
В системе СИ
ε0 = 8.85 ·10-12 Ф/м. Закон Кулона в системе СИ
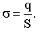
Единица заряда в системе СИ - кулон Один кулон (1 Кл) определяется через единицу силы тока, см. (10.1). Принцип суперпозиции
утверждает, что сила взаимодействия двух зарядов не изменится, если к ним добавить еще какие либо заряды. Для зарядов на рисунке это значит, что
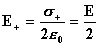
Электрическое поле Заряд - источник поля . Всякий покоящийся заряд создает в пространстве вокруг себя только электрическое поле. Движущийся - еще и магнитное. Заряд - индикатор поля . О наличии электрического поля судят по силе, действующей на неподвижный положительный точечный заряд, помещенный в это поле (пробный заряд) . Напряженность - силовая характеристика электрического поля. Если на неподвижный точечный заряд qпр. действует сила, то значит, в точке нахождения этого заряда существует электрическое поле, напряженность которого определяется так:
Единица напряженности в системе СИ имеет название вольт на метр (В/м), при такой напряженности на заряд в 1 Кл действует сила в 1 Н. Происхождение размерности В/м . Знаем напряженность - найдем силу Если в каждой точке пространства нам известна напряженность электрического поля
Принцип суперпозиции электрических полей
Напряженность поля точечного заряда
Решение:
а) поместим в точку
б) воспользуемся определением напряженности электрического поля (3.3):
Для модуля напряженности:
Ответ:
напряженность поля, созданного в точке !!! Пробный заряд в ответ не входит!
Линии напряженности Для графического изображения электрического поля используются линии напряженности (силовые линии). Их строят по следующим правилам: 3.9 Линии напряженности точечных зарядов
Теорема Гаусса Поток вектора напряжeнности электрического поля Поток вектора Для
Здесь Поток вектора
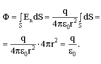
Поток вектора
Поток пропорционален числу силовых линий Ф пропорционален числу линий напряженности, проходящих через площадь S (3.3) и (3.8) Поток вектора Заряд - в центре сферы На поверхности сферы поле постоянно по величине (3.7):
В любой точке сферы поле направлено перпендикулярно ее поверхности, т.е.
Мы получили, что:
Заряд в произвольном месте внутри сферы
Поток Ф пропорционален числу силовых линий, проходящих через сферу, а их число не изменяется при изменении положения заряда внутри сферы, т.е. поток тоже будет постоянным:
Поток вектора Число проходящих через "измятую" сферу силовых линий не изменилось, т.е.
Эта формула верна для потока вектора Е поля точечного заряда, расположенного ВНУТРИ замкнутой поверхности произвольной формы. "Измятая" сфера:
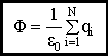
Поток вектора Е поля системы зарядов, находящихся внутри замкнутой поверхности
Поток вектора Е для поля, созданного зарядами, находящимися вне замкнутой поверхности
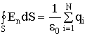
Формулировка теоремы Гаусса
Из (4.1.3)
Применение теоремы Гаусса для вычисления полей Теорема Гаусса:
S - любая замкнутая поверхность, а) САМИ выбрать конкретную гауссову поверхность S, такую, чтобы интеграл по этой поверхности легко считался. Затем найти б) посчитать сумму зарядов внутри выбранной нами S; в) приравнять результат полученный в пункте а), к результату, полученному в пункте б), деленному на ε0 . Поле равномерно заряженной бесконечной плоскости
а) выбор гауссовой поверхности: куда может быть направлено Этим условиям удовлетворяет, например, "гауссов ящик", изображенный на рисунке.
б) считаем Σqi внутри "гауссова ящика": очевидно,
в) приравниваем результат, полученный в пункте а), к результату пункта б), деленному на ε0 :
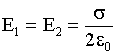
Выражаем E: Поле равномерно заряженной бесконечной плоскости однородно. Поле плоского конденсатора По 3.6. Т.к.
Поле однородно заряженного бесконечного цилиндра
Применяя теорему Гаусса, получим:
Поле однородно заряженной сферы
Поле объемного заряженного шара
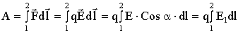
Работа электростатического поля
Из (5.3.2), (5.3.3):
Работа электрического поля точечного заряда Пусть Е создается точечным зарядом q, тогда из (3.7)
из (5.3.3):
Потенциал - энергетическая характеристика поля Потенциал электростатического поля в точке r равен отношению потенциальной энергии пробного точечного заряда q', помещенного в данную точку, к величине этого заряда q'.
φ - не зависит от q'! Единица потенциала - 1 вольт (1 В)
Разность потенциалов, связь с работой
φ1
- φ2
- разность потенциалов, Потенциал поля точечного заряда Из (5.1)
Из (.6.2)
Значит, потенциал поля, создаваемого точечным зарядом q:
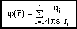
здесь мы полагаем, что на бесконечности потенциал φ равен нулю. Потенциал поля системы точечных зарядов
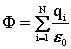
В общем случае:
здесь qi - алгебраические величины. Электрон-вольт - внесистемная единица работы
Проводник в электрическом поле Проводник. Заряды в проводнике способны перемещаться по его объему под действием сколь угодно малой силы (свободные заряды). Чаще всего эти заряды - электроны, у них:
Масса электрона очень мала, поэтому электроны перемещаются очень быстро. Так, при Е = 1 В/м расстояние S = 1 м электрон пройдет в вакууме за
В проводнике, из-за столкновений с ионами, средняя дрейфовая скорость электронов порядка 1мм/с, но скорость распространения электрического поля с=3·108 м/с. Условия равновесия зарядов на проводнике Равновесие - Внутри проводника
На поверхности проводника на заряд может действовать сила, направленная по нормали к поверхности, т.е.
Проводник во внешнем электрическом поле Мысленный опыт:
Электроемкость уединенного проводника
Значит,
Таким образом:
С - электроемкость уединенного проводника.
Единица емкости - фарада, Ф. Электроемкость конденсатора Конденсатор - это два проводника, обычно плоской цилиндрической или сферической формы, расположенные на небольшом расстоянии друг от друга. Проводники, обкладки конденсатора , заряжают разноименными зарядами, равными по абсолютной величине:
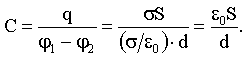
Емкость конденсатора:
Электроемкость плоского конденсатора Плоский конденсатор - это две плоские пластины расположенные на небольшом расстоянии друг от друга. Поле плоского конденсатора было рассмотрено в разделе (4.4.2)
Из (11):
Энергия электрического поля
q+
= q-
= q, Напряженность поля пластины q+ :
Работа по перемещению пластины q- (5.3.1): См. (3.5) Поле
В единице объема поля запасена энергия:
где
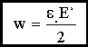
Плотность энергии электрического поля в вакууме
В случае неоднородного поля:
Энергия заряженного конденсатора Энергия электрического поля плоского конденсатора, как следует из (12), равна
здесь V=Sd - объем конденсатора. Из (7) для однородного поля следует, что
здесь разность потенциалов φ1 - φ2 обозначена буквой U. В результате для энергии электрического поля получим:
Эта формула верна для конденсаторов любой формы. Таким образом, энергия заряженного конденсатора :
здесь С - емкость конденсатора, U - разность потенциалов на его обкладках. Электрическое поле в диэлектрике Диэлектрик Заряды, входящие в состав молекул диэлектрика, прочно связаны друг с другом и под действием внешнего поля могут лишь немного смещаться в противоположные стороны. Два типа диэлектриков - полярные и неполярные Полярные - центры "+" заряда и центры "-" заряда смещены, например, в молекуле воды H2 O. Модель полярного диэлектрика жесткий диполь:
Дипольный момент молекулы:
Неполярные диэлектрики - центры распределения "+" и "-" зарядов совпадают, молекула (атом) симметричны. Например, атом водорода. У него в отсутствии поля центр распределения отрицательного заряда совпадает с положением положительного заряда. При включении поля положительный заряд смещается в направлении поля, отрицательный - против поля:
Дипольный момент этого диполя пропорционален электрическому полю
Поляризованность диэлектрика (вектор поляризации) - это дипольный момент единицы объема:
У диэлектриков любого типа
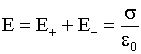
α - диэлектрическая восприимчивость (безразмерная величина). Пластина диэлектрика в плоском конденсаторе На следующих рисунках изображен плоский конденсатор без диэлектрика (рис. а) и с диэлектриком (рис. б). В конденсаторе без диэлектрика поле E0 создается свободными зарядами, т. е. зарядами, находящимися на пластинах конденсатора. В конденсаторе с диэлектриком поле E в объеме, занятом диэлектриком, является разностью двух полей: поля свободных зарядов (E0 ) и поля связанных зарядов (E'):
Поле в диэлектрике
Выразим σ' через вектор поляризации
Тогда
С другой стороны (13.2),
В результате
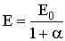
откуда: поле в однородном и изотропном диэлектрике
в 1 + α раз меньше, чем поле в вакууме Е0 . Обозначим
В однородном изотропном диэлектрике, свойства которого не зависят от направления в пространстве (изотропность), электрическое поле ослабляется в ε раз:
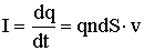
Эта формула справедлива для аморфных, некристаллических диэлектриков. В кристаллах ситуация значительно сложнее. Постоянный электрический ток Электрический ток - это упорядоченное движение электрических зарядов, в металле - электронов. Ток, не изменяющийся со временем, называют постоянным. Сила тока
За время dt переносится заряд dq.
Единица силы тока - ампер. Плотность тока
Связь плотности тока и скорости упорядоченного движения зарядов
Сила тока:
Плотность тока (2):
Вектор ЭДС источника Для поддержания постоянного замкнутого тока при наличии сил, тормозящих движение носителей, необходимо компенсировать носителям заряда потери энергии, т.е. совершать над ними работу. Работа электростатического поля (6.2) по замкнутой траектории:
φ1 = φ2 , если траектория замкнута . Следовательно, эту работу должны совершать силы неэлектрического происхождения, сторонние силы . ЭДС - это
где q - заряд, над которым сторонние силы совершили работу Aст.сил.
Единица ЭДС - такая же, как и единица потенциала - вольт. Закон Ома для участка цепи
R - сопротивление проводника.
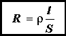
Единица сопротивления - Ом. Для однородного проводника длиной l и сечением S:
ρ - удельное сопротивление (из таблиц).
Закон Ома в дифференциальной форме
Закон Ома (4) для элементарного объема проводника.
См. (7) Используя (2) получим:
Закон Джоуля-Ленца в дифференциальной форме
Количество тепла, выделяемое в элементарном объеме с сопротивлением R при прохождении тока I в течении времени dt:
См. (2), (4), (5). Закон Ома для неоднородного участка цепи Неоднородный участок - участок, содержащий ЭДС.
dA12 переходит в джоулево тепло I2 Rdt (6):
Закон Ома для неоднородного участка цепи:
МАГНЕТИЗММагнитное поле в вакуумеДвижущийся заряд - источник магнитного поля, индикатор магнитного поля - другой движущийся заряд
Проводник с током создает только магнитное поле, другой проводник с током реагирует только на магнитное поле
Рамка с током как регистратор магнитного поля. Вектор магнитной индукции
Вращающий момент (1)
Направление вектора Вектор
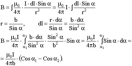
Линии магнитной индукции: а) замкнуты, т.к. в природе нет магнитных зарядов; Закон Био-Савара-Лапласа
Направление
Модуль вектора
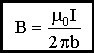
Применение закона Био-Савара-Лапласа для нахождения магнитного поля прямого тока
Независимо от положения Из 4:
Для бесконечного проводника α1
= 0, α2
= π, Сos α1
- Сos α2
= 2
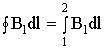
Теорема о циркуляции вектора В Циркуляция вектора В по произвольному контуру равна алгебраической сумме токов, охватываемых контуром, помноженной на μ0 . Циркуляция вектора
Циркуляция для плоского контура, охватывающего бесконечный прямой проводник с током
Ток за контуром
Формулировка теоремы о циркуляции Пусть контур произвольной формы охватывает произвольное число токов. В этом случае теорема о циркуляции утверждает, что циркуляция вектора
Например:
Ток I4 в сумму не входит! Применение теоремы о циркуляции для вычисления магнитного поля бесконечно длинного соленоида Соленоид - провод, навитый на цилиндрический каркас. На один метр длины - n витков.
Выберем такой контур, как на рисунке, т.к. из соображений симметрии вектор Тогда
1) В интервалах от точки 2 до точки 3 и от точки 4 до точки 1 2) Тогда:
3) Можно показать, что вне бесконечного соленоида B=0, т.е.
Значит:
т.к. внутри соленоида B = Bl = const, то
По теореме о циркуляции (5.4)
Откуда магнитное поле бесконечного соленоида:
Направлено Магнитное поле тороида
Магнитное поле тороида:
Вне тора поле При r/R ≈ 1, B = μ0 nI, (сравните с 5.5). Закон Ампера
Сила Лоренца - это сила, действующая со стороны магнитного поля на движущийся в нем заряд
См. (2), (2.1) n-концентрация носителей. Сила Ампера (6) есть сумма сил Лоренца.
Сила Лоренца
Направление силы Лоренца для положительного заряда совпадает с направлением векторного произведения
Движение заряженной частицы в однородном магнитном поле 7.1.1
Линии индукции направлены за чертеж, В = const. Ускорение, по (6)
Из (10.1)
Частица движется по окружности такого радиуса: Время одного оборота:
Т не зависит от v! Поток вектора магнитной индукции (магнитный поток) Повторить (4.1) Для однородного
Поток вектора
Поток вектора Явление электромагнитной индукции состоит в том, что любое изменение магнитного потока Ф, пронизывающего замкнутый контур, вызывает появление индукционного тока в контуре.
Закон Фарадея - Ленца Закон Фарадея-Ленца утверждает, что ЭДС индукции равна скорости изменения магнитного потока, взятой с обратным знаком .
Знак минус напоминает о правиле Ленца: индукционный ток имеет такое направление, чтобы создаваемое им магнитное поле препятствовало изменению магнитного потока . Электронный механизм ЭДС индукции
На рисунке изображена рамка с подвижной стороной. Магнитное поле Тянем подвижную сторону со скоростью
перемещающая заряд на расстояние l и совершающая работу (5.3.1):
ЭДС ε (3):
Найдем e по закону Фарадея (10.1):
Подвижная сторона рамки "заметает" за время dt площадь dS = lvdt, тогда
Результат тот же, значит: Электронный механизм возникновения ЭДС индукции - это работа компоненты силы Лоренца . Самоиндукция Контур с током I по (4) создает В ~ I, по (9.3) - магнитный поток Ф через контур пропорционален току I.
Можно записать связь между потоком и током:
здесь L - индуктивность контура, [L] = Гн (генри). Если I ≠ const, I = I(t), то Ф = Ф(t), и возникает ЭДС индукции, по (10.1)
если L = const, то
Магнитное поле в веществеМагнитная проницаемость - это отношение магнитной индукции B в веществе к магнитной индукции в вакууме B0 .
Классификация магнетиков
Диамагнетики
- по закону Фарадея-Ленца при внесении в магнитное поле
Парамагнетизм
проявляется у веществ, атомы которых имеют собственный магнитный момент. Магнитные моменты
Ферромагнетизм - объясняется самопроизвольным упорядочением спиновых магнитных моментов электронов в пределах областей спонтанного намагничивания (доменов). В пределах одного домена магнитные моменты электронов ориентированы в одном направлении. Магнитные моменты разных доменов в отсутствии внешнего поля ориентированы по разному, так, чтобы энергия созданного ими поля была минимальная:
При включении внешнего поля расширяются за счет соседей те домены, которые ориентированы по полю:
В результате этого зависимость поля в ферромагнетике
Вектор
|
||||||||||||||||||||||||||||||||||||||||||||||||||||||||||||||||||||||||||||||||||||||||||||||||||||||||||||||||||||||||

. (1.1)
. (1.2)
. (1.6)
. (1.8)
(1.10)
. (1.11)
. Случай прямолинейного движения изображен на рис. При больших временах зависимость координаты от времени представляет собой параболу.



. (1.13)
. (1.14)

, (1.24)
. (1.25)
. (1.28)
. (1.31)
. (1.32)
.
(1.33)
. (1.34)

,
.


.
.
.
.








.









.
.
. 


, при r > R.



;
,
.
,
.
,
,





.
.


в объеме ΔV исчезло, значит работа A12
совершена за счет убыли энергии поля:
,
.
,
.
.


.

.
.
,
.
,
,
.
.



,




.

.





.
.
.





.
. 





.
.




