Курсовая работа: Фізичні основи квантової электроніки
|
Название: Фізичні основи квантової электроніки Раздел: Рефераты по физике Тип: курсовая работа |
Зміст Вступ. 3 Розділ 1. Передумови створення квантової електроніки. 4 Розділ 2. Основні поняття квантової електроніки (фізичні основи квантової електроніки) 8 2.1. Спонтанні та вимушені переходи, 8 2.2. Імовірність переходу під впливом зовнішньої дії, 10 2.3. Інтенсивність та ширина спектральних ліній випромінювання. 13 2.4. Кут розбіжності лазерного пучка. 14 Розділ 3. Методи створення інверсного заселення рівнів. 15 Розділ 4. Принципова блок-схема квантового генератора. Оптичні резонатори. 19 Розділ 5. Характеристика основних типів квантових генераторів. 22 Розділ 6. Параметричні підсилювачі. 29 Розділ 7. Основні області застосування квантових генераторів. 33 Висновки. 38 Список використаної літератури. 39 Квантова електроніка вивчає взаємодію електромагнітного поля з речовиною в різних діапазонах – від радіохвиль до рентгенівського та γ-випромінювання. Пізнання основних закономірностей цієї взаємодії привело близько 25 років тому до створення лазерів – джерел когерентного (тобто монохроматичного й направленого) випромінювання з високою інтенсивністю. Завдання оптимізації існуючих лазерів і створення нових типів лазерів, а також успіхи експериментальної техніки у свою чергу стимулювали подальший розвиток квантової електроніки. Цей характерний для сучасної науки лавинний процес привів до появи нових напрямків в оптиці (нелінійна й квантова оптика, голографія, оптоелектроніка) і спектроскопії (нелінійна й когерентна спектроскопія), до численних застосувань лазерів у технології, зв'язку, медицині. Сьогодні близькі до свого вирішення проблеми лазерного термоядерного синтезу й лазерного поділу ізотопів. Не настільки різноманітні, але важливі застосування знайшли також і «старші брати» лазерів – мазери, що працюють у радіодіапазоні на довжинах хвиль порядку 0,1 – 10см. і використовуються в якості над стабільних еталонів частоти й: надчутливих парамагнітних підсилювачів. Термін «квантова електроніка» виник із протиставлення класичній електроніці, що має справу в основному з вільними електронами, які володіють безперервним енергетичним спектром й, як правило, досить добре описуються класичною механікою. Однак деякі квантові прилади (наприклад, засновані на ефекті Джозефсона) за сформованою традицією не відносять до сфери впливу квантової електроніки. Інша назва - «квантова радіофізика» - також не зовсім адекватна, оскільки не охоплює оптичний діапазон. Тому для користування прийняли термін квантова електроніка. Розглянемо основні питання квантової електроніки. Розділ 1. Передумови створення квантової електроніки. Квантову електроніку можна вважати новим розділом теорії світла й взагалі теорії взаємодії електромагнітного поля з речовиною. Квантова епоха в оптику й взагалі у фізику прийшла в перші роки XX століття із теорії рівноважного випромінювання М. Планка, ввела поняття фотона. Квантова теорія дисперсії була сформульована у двадцяті роки Крамерсом і Гейзенбергом. У цей же час Дірак, Гейзенберг і Паулі заснували квантову електродинаміку. Досить цікава й повчальна історія самої квантової електроніки. У принципі, ще на початку цього століття рівень лабораторної технікибув достатньо високий для створення, наприклад, газорозрядного лазера, однак ця потенційна можливість не могла бути реалізована до встановлення ряду понять і закономірностей, що лежать в основі ідеї квантового генератора (8). Перший крок на цьому шляху, що зайняв кілька десятиліть, зробив в 1916 р. А. Ейнштейн, увівши поняття вимушеного випромінювання. Кількісна теорія явища була створена приблизно через 10 років П. Діраком. З теорії випливало, що виникаючі при вимушеному випромінюванні фотони по всіх своїх параметрах (енергії, напрямку поширення й поляризації) збігаються з вихідними фотонами. Ця властивість називається когерентністю вимушеного випромінювання. Перші експерименти, що виявили вплив вимушеного випромінювання були описані в 1928 році Ладенбургом та Копферманом.. У цих експериментах досліджувалася дисперсія показника заломлення неону, збудженого електричним розрядом. У роботі Ладенбурга й Копфермана чітко сформульована умова інверсії населеності і необхідність вибіркового збудження рівнів для її одержання. В 1940 р. В. А. Фабрикант уперше відзначив, що інтенсивність світла в середовищі з інверсією населеності повинна зростати (цей ефект розглядався ним лише як доказ існування вимушеного випромінювання, а не як явище, що має прикладне значення). На жаль, ця робота, як і подана в 1951 р. В. А. Фабрикантом зі співробітниками авторська заявка на винахід, не була вчасно опублікована в розповсюджених наукових виданнях і тому не вплинула на подальший розвиток квантової електроніки. Перші прилади квантової електроніки – мазери, що одержали надалі важливе практичне застосування для генерації й підсилення сантиметрових хвиль, - були створені лише в середині п'ятидесятих років. Характерно, що спершу квантовою електронікою був освоєний радіодіапазон, лазери ж з'явилися на початку шістдесятих років. Це почасти зв'язано, очевидно, з тим, що у звичайних оптичних експериментах Велику роль зіграло також та обставина, що в сорокові роки радіоспектроскопія досягла високого рівня розвитку як у теоретичному, так й в експериментальному плані (експериментальна база радіоспектроскопії НВЧ- діапазону була забезпечена успіхами радіолокаційної техніки). На той час була добре розроблена теорія взаємодії радіохвиль із молекулами в газах, детально розрахована структура обертальних спектрів, вивчена роль процесів релаксації й ефекту насичення. Важливе значення мали дослідження із пучковими радіоспектроскопами. Серед робіт, що передували появі мазерів, треба відзначити роботи Кастлера у Франції, що розробив в 1950 р. метод оптичного накачування газів для збільшення різниці населеності близько розташованих підрівнів. Крім газової і пучкової радіоспектроскопії велику роль зіграла також магнітна радіоспектроскопія, що виникла в сорокових роках, та вивчала взаємодію радіохвиль із феромагнетиками й із ядерними або електронними парамагнетиками. Саме досягнення теорії й техніки магнітного резонансу привели до створення парамагнітних підсилювачів, що мають рекордно низький рівень власного шуму. Ідея використання вимушеного випромінювання в середовищі із інверсією населеності для підсилення й генерації електромагнітних хвиль НВЧ – діапазону була висловлена на початку п'ятидесятих років Н. Г. Басовим й А. М. Прохоровим (Фізичний інститут АН СРСР), Таунсом (Колумбійський університет, США) і Вебером (Мерілендский університет, США). Перша кількісна теорія квантового генератора була опублікована Басовим і Прохоровим в 1954 р. У цій роботі була визначена гранична різниця населеності, необхідна для самозбудження генератора, і був запропонований метод одержання інверсії в молекулярному пучку за допомогою неоднорідного електростатичного поля. Згодом заслуги Басова, Прохорова й Таунса в розвитку квантової електроніки були відзначені Нобелівською премією. В 1954 р. з'явився опис першого діючого мазера, створеного Гордоном, Цайгером і Таунсом. Робочою речовиною був аміак в вигляді молекулярного пучка, сфокусованого за допомогою електричного поля. Другий основний тип мазера – парамагнітний підсилювач – був створений в 1957 році Сковілом, Феєром і Зайделем. Робоча речовина парамагнітних підсилювачів – діамагнітний кристал з невеликим (порядку 10-3 ) домішкою парамагнітних атомів (тобто атомів з непарним числом електронів) – охолоджують до температури рідкого гелію. Охолодження необхідне для зменшення власних шумів й послаблення процесів релаксації, що перешкоджають інверсії населеності (у парамагнетиках релаксація населеності зумовлена взаємодією між коливаннями кристалічної решітки й магнітних моментів некомпенсованих електронів). Перехід від радіодіапазону до оптичного забрав близько п'яти років – перший діючий лазер, що випромінював когерентне червоне світло, був описаний Мейманом в 1960 р. Робочою речовиною в ньому слугував кристал рожевого рубіна (окис алюмінію з домішкою хрому), інверсія здійснювалася за допомогою синього й зеленого світла імпульсної лампи-спалаху. Створення лазера стало можливим тоді, коли виявили, що два плоско паралельних дзеркала – є високо добротним резонатором, тобто коливальною системою для світлових хвиль. Це явище відкрили в 1958 році Прохоров та Дікс. Почалася лазерна епоха фізики. Незабаром після створення твердо тільних лазерів з оптичним накачуванням був розроблений цілий ряд інших типів лазерів: газорозрядні (1961 р.), напівпровідникові на р-п-переходах (1962 р.), рідинні на розчинах органічних барвників (1966 р.). Досить швидко був перекритий діапазон довжин хвиль: від далекого інфрачервоного (ІЧ) до далекого ультрафіолетового (УФ). Безупинно поліпшувалися параметри лазерів (потужність, монохроматичність, напрямленість, стабільність) і розширювалися границі їх застосування. Після перших експериментів по подвоєнню частоти світла (Франкен й ін., 1961 р.) почала бурхливо розвиватися нелінійна оптика, що вивчає й використовує нелінійність речовини на оптичних частотах. Друге народження пережили голографія й оптична спектроскопія, виникли оптоелектроніка, когерентна спектроскопія й квантова оптика. Розробляються лазери рентгенівського й γ-діапазонів. Потрібно підкреслити, що бурхливий розвиток квантової електроніки був забезпечено величезним запасом ідей і конкретної інформації, яка була накопичена до п'ятидесятих років у радіочастотній й оптичній спектроскопії і які згодом отримали своє використання у квантовій електроніці. Розділ 2. Основні поняття квантової електроніки (фізичні основи квантової електроніки) Принцип дії лазера або мазера заснований на трьох «китах» – головних поняттях квантової електроніки, а саме на поняттях вимушеного випромінювання, інверсного заселення та зворотнього зв’язку. Розглянемо більш детально дані основні поняття квантової електроніки. 2.1. Спонтанні та вимушені переходи,Згідно законам класичної електродинаміки джерелом випромінювання світла може бути заряд, який рухається з прискоренням, причому величина випромінюваної енергії дорівнює:
де Якщо джерелом випромінювання є одномірний гармонічний осцилятор
то частота випромінювання буде співпадати з механічною частотою коливання осцилятора, а інтенсивність випромінювання пропорційна квадрату амплітуди. У квантовій механіці підхід до процесу випромінювання інший, оскільки саме випромінювання по квантовій теорії має місце тоді, коли частинка (система) переходить із одного квантового стану в інший, енергетично більш низький, тобто «зверху вниз». Основні ідеї квантової теорії випромінювання полягають у наступному. Нехай один із електронів якої-небудь атомної системи знаходиться в збудженому стані m з енергією Еm
. Тоді для такого електрона існує певна ймовірність Amn
спонтанного переходу у більш низький енергетичний стан n з енергією En
. При цьому відбувається випромінювання фотона з енергією
Якщо атоми зазнаватимуть дії зовнішнього електромагнітного випромінювання, то виникатимуть вимушені переходи зверху вниз, і знизу вгору, причому переходи знизу вгору будуть відбуватися з поглинанням фотонів. Позначимо імовірність вимушеного (індукованого) переходу з стану mв стан n через Bmn
, а з стану n в стан mчерезBnm
. Оскільки число вимушених переходів пропорційне спектральній густині
де Nm – число станів у стані n. Розглянемо випадок термодинамічної рівноваги між нагрітими атомами і випромінюваним ними світлом (чорне випромінювання). Тоді:
Покладемо, що розподіл електронів по станам задаються розподілом Максвелла. Тоді маємо:
У результаті математичних перетворень одержимо:
Тоді з порівняння знаходимо:
Звідси видно, що імовірності вимушених переходів як зверху вниз, так і знизу вгору виявляються рівними і пропорційними коефіцієнту спонтанного переходу Amn . Тому для описання випромінювання атомів або молекул достатньо визначити лише один із цих коефіцієнтів. У загальних рисах квантова теорія випромінювання зводиться до наступного. В рамках теорії Шредінгера можна пояснити лише вимушені переходи, що відбуваються у результаті взаємодії електронів атома із зовнішньою електромагнітною хвилею. Спонтанні переходи із збуджених енергетичних станів у більш низькі залишаються у цьому випадку фактично не поясненими, оскільки відсутня зовнішня дія, яка б могла привести до цих переходів. Відповідь на це питання було знайдено тільки після створення квантової теорії випромінювання, у якій був використаний апарат квантування електромагнітного поля. При цьому електрони і поле випромінювання розглядаються як дві взаємодіючі квантові системи, причому ця взаємодія не зникає навіть при відсутності реальних фотонів. 2.2. Імовірність переходу під впливом зовнішньої дії,Розглянемо атом, який з деякого моменту t=0 зазнає дії поля світлової хвилі. Покладемо, що хвиля строго монохроматична, лінійно поляризована по осі x і поширюється вздовж осі z. Електричне поле цієї хвилі діє на електрон атома з силою:
де Е – напруженість електричного поля монохроматичної хвилі, Виберемо початок координат у центрі атома. Тому відношенням
Дій силі відповідатиме потенціал:
Це і буде зовнішнє збурення, що діє на атом. Нехай, як ми і припускали, в момент t=0 атом знаходиться у стаціонарному стані з енергією En
.
Під впливом збурення буде буде здійснюватися перехід в інші стани. Знайдемо імовірність переходу En
– Em
за проміжок часу 0 – t. Для цього потрібно розв’язати нестаціонарне рівняння Шредінгера: Розв’язок будемо шукати у вигляді: Підставивши (2.13) у рівняння (2.12) і провівши нескладні викладки отримаємо:
Підставляючи в цю рівність замість φm функції φ1 , φ2 ,…отримаємо систему рівнянь, за яких можна знайти всі коефіцієнти С1 , С2 ,…, тобто значення ймовірностей. Ці рівняння є тотожними, поскільки ніяких наближень не робилося. Практично знайти коефіцієнти Cm з точного рівняння (2.14) неможливо, оскільки рівняння утворюють систему з нескінченним числом невідомих. Для отримання першого наближення можна скористатися тим, що коефіцієнти Ск (t) змінюються з часом повільно, а тому можна прийняти, що в час, близький до t=0, коефіцієнти Ск зберігають ті значення, які вони мали при t=0. Наприклад, якщо пр t=0 атом знаходиться у стаціонарному стані з енергією En , то для t=0 коефіцієнт Cn рівний одиниці, а решта рівні
Оскільки для цього моменту з достовірністю відомо, що атом знаходиться у стані
Переходи, які здійснюються в атомі під впливом поля випромінювання, можуть ати двоякий характер. Якщо Em
> En
, то атом буде поглинати енергію із поля, якщо Em
<En
– то атом віддає енергію полю – відбувається вимушене випромінювання. В першому випадку Розглянемо випадок поглинання, тоді з (2.15) матимемо:
Квадрат модуля Сm характеризує імовірність переходу, тому
(Сm
)2
пропорційно квадрату дипольного моменту переходу Імовірність матиме максимальне значення при Розглянутий випадок є ідеалізованим. Дійсно, ми розглядали стани з різко визначеними значеннями енергії Em
і En
, а отже і
Знайдена повна імовірність переходу за t секунд пропорційна часу, а тому імовірність переходу за одиницю часу є величиною постійною. 2.3. Інтенсивність та ширина спектральних ліній випромінювання.Якщо атом знаходиться у збудженому стані m, то можливий спонтанний перехід на рівень піз випромінюванням кванта світла. У загальному випадку для інтенсивності випромінювання можна записати формулу:
Для довільної точки ми можемо записати для інтенсивності випромінювання формулу: Перетворюючи попередній вираз для напівширини спектральної лінії одержимо, що: Ширина спектральної лінії визначається формулою (2.22) та носить назву природної ширини спектральної лінії випромінювання. Вона залежить тільки від затухання коливань атома внаслідок коливання та не залежить від інших причин, які можуть викликати розширення спектральних ліній випромінювання. Розрахунок дає значення Необхідно також відмітити, що на ширину спектральної лінії впливає густина частинок у випромінюваному об’ємі та ефект Доплера. Ширина спектральних ліній зумовлена ефектом Доплера в багато разів більша за величину природної ширини лінії. 2.4. Кут розбіжності лазерного пучка.У лазерах для створення зворотного зв’язку використовують системи дзеркал. Нехай коефіцієнти відбивання для них рівні R1
та R2
. сучасні багатошарові покриття дзеркал дозволяють одержати Як правило одне із дзеркал має нижчий показник відбивання для виводу випромінювання назовні. Лазерний промінь має здатність розфокусовуватися, але якщо виміряти кутову відстань для променя лазера, то вона виявиться рівною близько Розділ 3. Методи створення інверсного заселення рівнів. Створення в активній речовині інверсії населеності проводиться різноманітними методами (11). Найчастіше використовують вплив на речовину електромагнітного випромінювання (оптична накачка), електричного розряду, електронних пучків із енергією від кількох десятків еВ до МеВ, (електронний удар), високотемпературний нагрів речовини із наступним швидким охолодженням (теплова накачка), екзотермічні хімічні процеси в речовині, інжекцію носіїв заряду в р-п-область в напівпровідниках під дією електричного поля. Оптичну накачку здійснюють із допомогою газорозрядних ламп в імпульсному чи неперервному режимах роботи. Оскільки їх випромінювання має широкий спектр, то в якості активного середовища слід використовувати матеріали із широкою смугою поглинання. Однак із зростанням ширини спектральної лінії зменшується переріз σ і тому важко досягти порогових значень Аналогічна схема накачки і для лазерів на основі скла та ітрій-алюмінієвого граната, активованого неодимом Ndта деяких твердо тільних лазерів, в яких для створення інверсної населеності використовують енергетичні рівні домішкових атомів. Оптичну накачку використовують також в лазерах на органічних барвниках (рідкі активні середовища). Інша схема оптичної накачки заснована на тому, що при поглинанні широкополосного спектру випромінювання відбувається фотоліз із появою радикалів та збуджених атомів, останні й утворюють активне середовище лазерів. Наприклад при фотолізі молекули
При переході атома йоду І в стан
Електронний удар використовують для накачки, як правило, газових лазерів. Накачка заснована на збуджені атома при його співударі із електроном, що володіє достатньо великою кінетичною енергією. Наприклад в He – Ne - лазері відбуваються наступні процеси:
де Рис. 3.1. Схема електронних рівнів в збуджені атоми гелію Heта Ne, що використовуються для накопичуються на метастабільних накачки He – Ne – лазера електронним рівнях 2s1 та 2s3 . Інверсна ударом в газовому розряді. населеність отримується при передачі енергії збудження від гелію до неону, рівні енергії якого 2s та 3sблизькі по енергії до 2s1 та 2s3 рівнів гелію (рис. 3.1):
Переходи 3s → 3p, 3s → 2pта 2s → 2pв неоні використовуються для генерації когерентного випромінювання на довжинах хвиль 3,39, 0,63 та 1,15 мкм відповідно. Електронний удар використовують також для накачки СО2 - та СО – лазерів, лазерів на парах металів, ексимерних (точніше ексиплексних), а також деяким напівпровідникових лазерів. Теплова накачка відбувається при швидкому охолодженні сильно нагрітих газових сумішей при підборі компонентів газових сумішей вдається знайти такі системи енергетичних рівнів частинок в яких розташовані нижче рівні «охолоджуються», швидше чим ті, що розташовані вище. Це приводить до утворення інверсної заселеності рівнів. Практично найбільш вживаний метод – надзвукове витікання газів через отвір, найбільш вдалі активні середовища – суміші Інжекція носіїв струму через р-п-перехід – основний спосіб накачування напівпровідникових лазерів. Активне середовище являє собою кристал напівпровідника, що складається з областей р- і п-типу (рис. 3.2). Між цими областями виникає контактна різниця потенціалів, що урівноважує потоки носіїв з однієї частини в іншу.
Рис. 3.2. Інжекційний напівпровідниковий лазер. Область потенціального бар’єра заштрихована. (+) та (–) – контакти для прикладення напруги. Лазерне випромінювання направлене перпендикулярно площині малюнка (хвиляста стрілка). Електричний струм через контакт дорівнює нулю. Якщо до зразка прикласти електричну напругу, рівну по величині контактній різниці потенціалів, виникнуть потоки носіїв назустріч один одному і їхня рекомбінації з випроміненням фотонів. Дзеркалами оптичного резонатора в такому типі лазерів служать добре відполіровані плоскопаралельні грані самого кристала напівпровідника. Найбільш досконалі зразки напівпровідникових інжекційних лазерів являють собою більше складну структуру (гетероструктуру). Важлива особливість інжекційних лазерів – їхня мініатюрність, довжина активної зони звичайно рівна кільком міліметрам, робоча частина р-п-переходу має розміри в напрямку протікання струму ~1 мкм, поперечний розмір звичайно 1мм. Розділ 4. Принципова блок-схема квантового генератора. Оптичні резонатори. Принципова схема лазера містить такі компоненти як активне середовище, яке підсилює (генерує) випромінювання, резонатор, що складається із двох дзеркал, одне із яких напівпрозоре і пристрій накачування енергії в активне середовище (4), (рис. 4.1).
Рис. 4.1. Принципова схема лазера. Активне середовище може бути газоподібним, рідким, твердотільним або являти собою плазму, релятивістський електронний потік, тощо. Важливо, щоб активне середовище мало інверсну населеність, тобто більшість випромінювачів повинна перебувати в збудженому стані. Відповідно до розподілу Больцмана число випромінювачів, що перебувають у збудженому стані N2 в інвертованому середовищі, дорівнює:
а в основному (не збудженому) стані де N=N1 +N2 - загальне число випромінювачів, E1 < E2 - енергія випромінювачів. При N2
> N1
Первинний світловий (або мікрохвильовий, рентгенівський) потік генерується випромінювачами в активному середовищі в результаті спонтанного випромінювання. Фотони, що поширюються уздовж осі резонатора, відбиваються від дзеркал багаторазово проходять через активне середовище. При цьому вони стимулюють випромінювання збуджених фотонів. Випроменені в результаті індукованих процесів фотони мають таку ж частоту (енергію), хвильовий вектор (імпульс) і поляризацію, як і первинні фотони. Світловий потік частково проходить через напівпрозоре дзеркало. Лазерне випромінювання має високий ступінь когерентності, тому що частота випромінювачів однакова, а різниця фаз залишається постійної в часі. Останнє пояснюється тим, що в резонаторі формується стояча хвиля, яка виникає при інтерференції прямої й зворотної хвиль. Таким чином, резонатор здійснює зворотний зв'язок. Фотони, випромінювані під більшими кутами до осі резонатора залишають активне середовище. Ця частина випромінювання активного середовища некогерентна. При відбитті від дзеркал випромінювання частково ослаблюється, крім цього є втрати в результаті розсіювання в середовищі й дифракції. Для роботи лазера в режимі когерентної генерації необхідно, щоб пілсилення випромінювання за один прохід перевищувало втрати, включаючи випромінювання. Цикл роботи лазера включає два послідовних відбиття від дзеркал з ефективними коефіцієнтами відбиття ρ1
та ρ2
, що враховують всі втрати. Ослаблення потоку пропорційно ρ1
ρ2
на шляху 2L за один цикл. Відповідно до закону Бугера-Ламберта інтенсивність світлового потоку, що пройшов шар L у середовищі, дорівнює: Для середовища, що перебуває в термодинамічній рівновазі, коефіцієнт
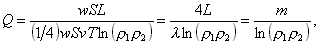
Генерація лазерного випромінювання виникає при Знайдемо добротність лазера:
Звідси знаходимо добротність:
Виразимо поріг генерації через добротність лазера: Добротність лазера тим вище, чим менше втрати. Поріг генерації обернено пропорційний добротності. Тому для параксіальних променів поріг генерації досягається раніше, ніж для не параксіальних і потужність випромінювання лазера доводиться, в основному, на паралельні параксіальні промені. Розділ 5. Характеристика основних типів квантових генераторів. На даний час створено надзвичайно велику кількість різноманітних систем лазерів. Вони відрізняються між собою робочим тілом, а саме створено лазери на основі рубіна та алюміній – ітрієвого граната, на напівпровідникових матеріалах, газах та розчинах барвників. Вони відрізняються між собою будовою, довжиною хвилі випромінюваного світла, але сам принцип їх роботи залишається незмінний. Розглянемо основні системи цих пристроїв. а) будова та принцип роботи рубінового лазера. Рубіновий лазер був першим оптичним квантовим генератором світла (3). Його створили в 1960 році. Робочою речовиною є рубін – кристал оксиду алюмінію Al2 O3 (корунд), у який при вирощуванні введена домішка – оксид хрому Cr2 O3 . Червоний колір кристала рубіна обумовлений випромінюванням іона хрому Cr3+ , що у кристалічній решітці заміщає іон Al3+ . Густота червоного кольору рубіна залежить від концентрації іонів Cr3+ , у темно-червоному рубіні концентрація Cr3+ досягає 1%.
Рис. 5.1 Схема енергетичних рівнів у кристалі рубіна. Кристал рубіна має дві смуги поглинання: у зеленій й у блакитній частині спектра. Крім цих смуг є два вузьких енергетичних рівні E1
й E'1
, при переході з яких на основний рівень атом випромінює світло з довжинами хвиль Кристал рубіна вирощують у вигляді круглого циліндра довжиною близько 5 сантиметрів та діаметром близько одного міліметра.
Рис. 5.2 Будова кристала рубіна та поширення світлових променів у ньому. Ксенонова лампа, що має форму циліндра й кристал рубіна містяться в дзеркальній порожнині з еліптичним перетином у фокусі еліпса. Завдяки цьому забезпечується практично повне фокусування випромінювання накачки. Один з торців кристала рубіна зрізують так, щоб забезпечити повне внутрішнє відбиття в рубіні, а інший торець – під кутом Брюстера. Такий зріз забезпечує вихід із кристала випромінювання з відповідною лінійною поляризацією. Далі по ходу променів розташовують напівпрозоре дзеркало. б) будова та принцип роботи газових лазерів У гелій-неоновому He-Ne лазері активним середовищем є газоподібна суміш гелію й неону. Генерація здійснюється при переходах між енергетичними рівнями Ne, а He відіграє роль посередника, через який енергія накачування передається атомам Ne. Атом неону може генерувати більше 130 різноманітних енергетичних переходів. Однак найбільш інтенсивними є лінії випромінювання 632,8 нм, 1.15 мкм та 3.39 мкм. При пропусканні струму через суміш газів гелію та неону атоми гелію в результаті електронних ударів збуджуються до станів
Рис. 5.3. Правила переходу для гелій-неонового лазера. Коли збуджений атом гелію зіштовхується з незбудженим атомом неону, то енергія переходить від He до Ne. Цей перехід відбувається досить ефективно, тому що енергетичні рівні 3S й 2S атома неону збігаються з відповідними енергетичними рівнями атома гелію. Внаслідок цього на рівнях 3S й 2S у неону утвориться інверсна населеність щодо рівнів 3P й 2P. He-Ne лазер працює в неперервному режимі. На торці лазерної трубки наклеєні багатошарові дзеркала під кутами Брюстера до осі. Це забезпечує лінійну поляризацію випромінювання. У газовій трубці тиск гелію рівний 332 Па, а неону 66 Па, постійна напруга на електродах у трубці 4кВ, коефіцієнти відбиття дзеркал 0,999 й 0,990. в) будова та принцип роботи напівпровідникових лазерів. При взаємодії електрона із зовнішнім впливом у напівпровідниках, електрон, поглинаючи енергію, переходить зі стану з низьким енергетичним рівнем у стан з високим енергетичним рівнем. Розглянемо p-n-перехід, який зображено на рис. 5.4. Якщо до нього прикласти пряма напруга UR
, те в p-області буде відбуватися інжекція електронів, а в n-області - дірок (у результаті дифузії неосновних носіїв зарядів). Ці неосновні носії, зустрічаючись із основними, будуть рекомбінувати, випромінюючи світло з довжиною хвилі, що відповідає ширині забороненої зони
зони напівпровідника Оскільки дифузійна довжина електронів багато більше, ніж дифузійна довжина дірок, то світлове випромінювання виникає, в основному, в p-області. Прилад, що використовує p-n-перехід, який рівний ширині забороненої зони Eg, називають напівпровідниковим лазером з гомоструктурным переходом. Напівпровідниковий лазер є "граничним приладом". Якщо збільшити струм інжекції (тобто збільшувати UR - пряму напругу), то при перевищенні деякого граничного значення Iпор виникає різке лінійне збільшення потужності лазера на виході. Поблизу Iпор спостерігається якісна зміна процесу: повільний ріст потужності випромінювання переходить стрибком у режим насичення при генерації випромінювання. При I < Iпор випромінювання лазера являє собою суму фотонів з випадковими фазами – некогерентне випромінювання. В області I > Iпор при переході в режим генерації відбувається впорядкування фази й виникає когерентне випромінювання. Напівпровідниковий лазер, також як і лазери інших типів, являє собою резонатор з поміщеним у його середину активним середовищем. Оскільки коефіцієнт заломлення напівпровідникових матеріалів великий, то площини спайності лазерного кристала (кристалографічні площини росту) служать відбивними дзеркалами резонатора. Слабке світло, що виникає в лазері під дією спонтанних переходів, підсилюється активним середовищем при багаторазовому відбитті від резонаторних дзеркал, розташованих на торцях кристала. В остаточному підсумку утвориться лавина вимушено індукованих фотонів, що й утворить лазерний промінь. Лазерна генерація виникає тоді, коли оптичне підсилення компенсує втрати енергії в середині резонатора, що складаються із втрат в активному середовищі й втрат на відбиття. Це відповідає граничному струму Iпор інжекції. При подальшому збільшенні струму інжекції підсилення рівне граничному підсиленню й супроводжується різким збільшенням потужності оптичного випромінювання лазера. Крім лазерів на p-n-переході широко використаються лазери на гетеропереходах (подвійних гетероструктурах). Робота напівпровідникового лазера на гомо-p-n-переході вперше спостерігалася Жоресом, Івановичем та Алфьоровим у лабораторії напівпровідників ФТИ ім. А. Ф. Іоффе в 1962 році на кристалах GaAs (рис. 5.5.). Це був гомолазер GaAs, виготовлений за допомогою дифузії акцепторної домішки. Граничне значення струму було
Рис. 5.5. принципова схема лазера на гомо-p-n-переході. Практична реалізація Зниження граничного струму в гетеролазерах досягається за рахунок каналювання інжектованих носіїв у вузькій області, обмеженої потенційними бар’єрами гетеро структури, а також за рахунок каналювання спонтанного випромінювання в цій же області під дією хвилевого ефекту, що виникає із-за розходження в показниках заломлення матеріалів гетероструктури. Якщо позитивна напруга живлення прикладена до p-області, а негативна до n-області, то в активний шар інжектуються дірки та електрони, де вони рекомбінують з випромінюванням енергії. Світло досягає площин резонатора й відбиваючись від них, не виходить в інші шари структури через різницю показників заломлення. когерентне лазерне випромінювання виникає коли надання енергії перевищує певні межі. Довжина хвилі лазерного випромінювання визначається матеріалом активного шару. Наприклад, якщо активний шар виготовлений з GaAs, то Оптичні волокна для волоконно-оптических ліній зв'язку (ВОЛС) мають мінімальні втрати на довжинах хвиль Напівпровідникові лазери використаються в оптичних накопичувачах, CD-дисководах для запису й зчитування інформації в оптичних пристроях. Крім того, лазери використовуються в пристроях обробки інформації інтегральної оптики, а також в оптичних комп'ютерах, де відбувається паралельна й послідовна обробка цифрової й аналогової інформації. Розділ 6. Параметричні підсилювачі. Волоконно-оптичні параметричні підсилювачі (FOPA – fiberopticalparametricamplifiers) викликають останнім часом великий інтерес дослідників (5). Оскільки у недавніх експериментах були продемонстровані широка полоса пропускання та високий коефіцієнт підсилення. Теоретичний аналіз також вказує на те. Що параметричні підсилювачі володіють потенційно кращими чим інші підсилювачі шумовими характеристиками. Однак до цього часу параметричні підсилювачі не вийшли за межі дослідних центрів. Для розуміння принципів роботи FOPA, факторів, що впливають на ефективність їх робот, а також труднощів, що виникають при їх створенні, розглянемо фізичну природу процесу параметричного підсилення у волокні. Параметричне підсилення основане на використанні явища, яке отримало назву чотири хвильового змішування. Чотири хвильове змішування – один із нелінійних оптичних ефектів, який полягає в наступному: хвилі, що поширюються в нелінійному середовищі, крім лінійної поляризації середовища, пропорційної першій степені напруженості електричного поля Е, наводять поляризацію, пропорційну другій, третій і т. п степеням Е. процес параметричного підсилення пов'язаний із нелінійністю третього порядку. При взаємодії трьох хвиль із частотами ω1
, ω2
та ω3
народжується четверта хвиля із частотою В випадку частково виродженого чотири хвильового змішування роль перших двох хвиль виконує хвиля накачки, третьою хвилею являється сигнальна хвиля, в процесі підсилення якої виникає, так звана, холоста хвиля. Рівняння у цьому випадку матиме вигляд: Схема параметричного підсилювача зображена на рис. 6.1. хвилі накачки та сигнала вводяться у високо нелінійне волокно за допомогою волоконно-оптичного подовжувача. В волокні відбувається параметричне підсилення сигналу та збудження холостої хвилі, тому спектр випромінювання на виході підсилювача містить три компоненти: не поглинуту хвилю накачки, сигнал та холосту хвилю.
Рис. 6.1. Експериментальна схема волоконно-оптичного підсилювача. Для отримання тільки підсиленого сигналу без інших складових спектра в даній схемі використано оптичний фільтр. Фізично механізм параметричного підсилення полягає в наступному. При одночасному поширенню по світловоді хвилі накачки Е (ωр
) та сигнальної хвилі Е (ωs
)виникають биття на частоті ωр
- ωs
. В результаті утворюється біжуча фазова решітка змінного показника заломлення із частотою ωр
- ωs
. Друга хвиля накачки із Е (ωр
) отримує фазову модуляцію із вказаною частотою. Внаслідок цього виникають дві бічні частоти Коефіцієнт підсилення в параметричному процесі для сигнальної хвилі Gs
рівний: Спектральна залежність коефіцієнта підсилення параметричного підсилювача приведена на рисунку 6.2.
Рис. 6.2. підсилення параметричного підсилювача із Рр =1,4 Вт, L = 500м, λ0 =1559 нм, λр =1560,7 нм. Із графіка слідує, що крива містить два горби, що відповідають согласуванню фаз в результаті взаємної компенсації лінійної дисперсії та нелінійного набігу фази. В кожному конкретному процесі один горб відповідає підсиленню сигнальної хвилі. А інший підсиленню холостої хвилі. Однією із позитивних рис параметричних підсилювачів є можливість створення підсилювачів із смугою підсилення в декілька сотень нанометрів і накачкою потужністю декілька Вт. В наш час отримані волоконні параметричні підсилювачі із шириною смуги підсилення від 200 до 400 нм. Ще однією характеристикою FOPA, котра обумовлює їх перевагу перед іншими видами підсилювачів, це шум-фактор. FOPAволодіють шум-фактором близько 3 децибел. Однак при роботі параметричного підсилювача в фазочутливому режимі, шум-фактор може досягати 0 Дб. Правда такий режим роботи достатньо складний у реалізації. Розділ 7. Основні області застосування квантових генераторів. Поява лазерів зразу ж вплинула й продовжує впливати на різноманітні галузі науки й техніки, де стало можливим застосування лазерів для вирішення конкретних наукових і технічних завдань. Проведені дослідження підтвердили можливість значного поліпшення багатьох оптичних приладів і систем при використанні як джерела світла лазерів і привели до створення принципово нових пристроїв (підсилювачі яскравості, квантові пірометри, швидкодіючі оптичні схеми й ін.). На очах одного покоління відбулося формування нових наукових і технічних напрямків – голографії, нелінійної й інтегральної оптики, лазерних технологій, лазерної хімії, використання лазерів для керованого термоядерного синтезу й інших завдань енергетики. Нижче наведений перелік застосувань лазерів у різних галузях науки й техніки, де унікальні властивості лазерного випромінювання забезпечили значний прогрес або привели до цілком нових наукових і технічних рішень. Висока монохроматичність і когерентність лазерного випромінювання забезпечують успішне застосування лазерів у спектроскопії, ініціюванні хімічних реакцій, у поділі ізотопів, у системах виміру лінійних й кутових швидкостей, у системах зв'язку й локації. Особливо потрібно виділити використання лазерів у голографії. Висока щільність енергії й потужність лазерних пучків, можливість фокусування лазерного випромінювання в точку малих розмірів використовуються в лазерних системах термоядерного синтезу, у таких технологічних процесах, як лазерне різання, зварювання, свердління, поверхневе загартовування й обробка різних деталей. Ці ж властивості лазерного випромінювання забезпечують успішне застосування лазерів у військової техніці. Зі створенням лазерів відбувся колосальний прогрес у розвитку нелінійної оптики, дослідженні й використанні таких явищ, як генерація гармонік, самофокусування світлових пучків, багато фотонне поглинання, різного типу розсіювання світла, викликаних полем лазерного випромінювання. Лазери успішно використаються в медицині: у хірургії (у тому числі хірургії ока) і терапії різних захворювань, у біології, де фокусування лазерного променя в точку дозволяє діяти на окремі клітини або навіть на їх частини. Більшість із перерахованих вище областей застосування лазерів являються самостійними та досить великими розділами науки або техніки й вимагають самостійного розгляду. Ціль наведеного тут короткого й неповного переліку застосувань лазерів - проілюструвати той величезний вплив, що зробила поява лазерів на розвиток науки й техніки, на життя сучасного суспільства. В останні роки намітилася тенденція розширення застосування лазерів в ювелірної галузі. Найбільш широке поширення одержали верстати для обробки із твердотільними лазерами на алюміній-ітрієвому гранаті, випромінювання якого досить добре поглинається основними матеріалами ювелірної промисловості – дорогоцінними металами й каменями. Частина технологічних процесів лазерної обробки повністю відпрацьована й впроваджена в ювелірної галузі, деякі процеси й технології перебувають у стадії розробки, і можливо, незабаром можуть бути застосовані для обробки виробів ювелірної промисловості. Тому постараємося розглянути всі можливі варіанти застосування лазерів у технологічних процесах ювелірної промисловості. Одним з перших застосувань лазерів була пробивання отворів у годинникових каменях. Свердління отворів завжди було надзвичайно трудомісткою операцією. Сучасна лазерна технологія дозволяє отримувати отвори необхідної форми в каменях різних типів з високою швидкістю і якістю. Одним з цікавих методів обробки дорогоцінних металів є маркування й гравірування. Сучасні лазери, оснащені комп'ютерним керуванням, дозволяють наносити на метал методом лазерного маркування й гравірування (модифікації поверхні під впливом лазерного випромінювання) практично будь-яку графічну інформацію - малюнки, написи, вензелі, логотипи. Причому зображення можна наносити як у растровому, так й у контурному зображенні. Сучасне устаткування дозволяє переміщати лазерний промінь зі швидкістю більше двох метрів у хвилину й забезпечувати високу роздільну здатність. Також цікавим застосуванням лазерної технології гравірування є нанесення лазером різних логотипів, вензелів, товарних марок і знаків на елементи столового посуду, як з дорогоцінних металів, так і недорогоцінних металів, наприклад для позначення «нерж.» на лезах ножів. Лазерна техніка отримала використання і у військовій галузі До теперішнього часу склалися основні напрямки, по яких іде впровадження лазерної техніки у військову справу. Цими напрямками є: 1. Лазерна локація (наземна, бортова, підводна). 2. Лазерний зв'язок. 3. Лазерні навігаційні системи. 4. Лазерна зброя. 5. Лазерні системи ПРО й ПКО. Зараз, отримані такі параметри випромінювання лазерів, які здатні істотно підвищити тактико-технічні дані різних зразків військової апаратури. Лазерною локацією називають область оптоелектроніки, що займається виявленням і визначенням місця розташування різних об'єктів за допомогою електромагнітних хвиль оптичного діапазону, випромінюваного лазерами. Об'єктами лазерної локації можуть бути танки, кораблі, ракети, супутники, промислові й військові споруди. Лазерна локація здійснюється активним методом. Оптична локація часто використовується, особливо в космосі (де немає поглинаючого впливу атмосфери) і під водою (де для ряду хвиль оптичного діапазону існують вікна прозорості). В основі лазерної локації, так само як і радіолокації, лежать три основні властивості електромагнітних хвиль: 1. Здатність відбиватися від об'єктів. 2. Здатність поширюватися прямолінійно. Використання вузько направленого лазерного променя дозволяє визначити напрямок на об'єкт (пеленг цілі). 3. Здатність лазерного випромінювання поширюватися з постійної швидкістю дає можливість визначати дальність до об'єкта. Лазерна дальнометрія є однією з перших областей практичного застосування лазерів у військової техніці. Перші досвіди відносяться до 1961 року, а зараз лазерні далекоміри використаються й у наземній військовій техніці (артилерійські), і в авіації (далекоміри, висотоміри), і на флоті. Основним прикладом роботи напівпровідникових лазерів у комп’ютерній техніці є магнітооптичний накопичувач (МО). МО накопичувач побудований на основі сполучення магнітного й оптичного принципу зберігання інформації. Запис інформації проводиться при допомозі променя лазера й магнітного поля, а зчитування за допомогою одного тільки лазера. У процесі запису на МО-диск лазерний промінь нагріває певні точки на диску, і під впливом температури опірність зміні полярності, для нагрітої точки різко падає, що дозволяє магнітному полю змінити полярність точки. Після закінчення нагрівання опірність знову збільшується але полярність нагрітої точки залишається пропорційною до величини магнітного поля застосованої до неї в момент нагрівання. Область застосування МО- дисків визначається його високими характеристиками по надійності, об'єму. Магнітооптичні диски необхідні для процесів, що вимагають великого дискового об'єму, це такі завдання, як САПР, обробка зображень, звуку та відеоінформації. Однак невелика швидкість доступу до даних, не дає можливості застосовувати МО диски для завдань із критичною швидкістю. Лазерні системи отримали застосування у голографії, за їх допомогою проводять запис та зберігання інформації. І перелік галузей використання лазерних систем зростає. Останнім часом в Україні та за кордоном були проведені значні дослідження в області квантової електроніки, були створені різноманітні лазери, які побудовані на нових матеріалах, створено прилади, які використовують лазери під час свого функціонування. Лазери тепер застосовуються у локації й у зв'язку, у космосі й на землі, у медицині й будівництві, в обчислювальній техніці й промисловості, у військовій техніці. З'явився новий науковий напрямок цілком і повністю зобов’язаний своїй появі цим пристроям – голографія. Обмежений об'єм роботи не дозволив розглянути такий важливий аспект квантової електроніки, як лазерний термоядерний синтез, розглянути використання лазерного випромінювання для одержання термоядерної плазми. Не розглянуті такі важливі аспекти, як лазерний поділ ізотопів, лазерне одержання чистих речовин, лазерна хімія й багато чого іншого. У підсумку слід відзначити, що лазери та мазери отримали широке використання у багатьох галузях промисловості, науці та побуті. І їх використання тільки зростатиме. Ще років 15 назад лазер був чимось недосяжним, побачити його можна було тільки по телебаченню у науково-популярних передачах. Тепер лазери стали буденною річчю, звісно мова йде про прості лазери, лазерні указки тощо. Тому передбачити наскільки зросте використання цих пристроїв у майбутньому досить важко. Але можна бути впевненим у одному їх використання тільки зростатиме. Список використаної літератури. 1. Донина Н.М. Возникновение квантовой электроники. М.: Наука, 1974, 345 с. 2. Реди Дж. Промышленное применение лазеров. М.: Мир, 1991, 256 с. 3. Приезжев А. В., Тучин В. В., Шубочкин Л. П. Лазерная диагностика в биологии и медицине. М.: Наука, 1989, 278 с. 4. Тарасов Л. В. Лазеры действительность и надежды. М.: Наука, 1985, 178 с. 5. Воронин В. Г., Наний О. Е., Полиектова Н. А. Перспективы практического применения волоконно-оптических параметрических усилителей. Lightwave. Russian Edition. №1, 2007, ст. 51 – 56. 6. Василевский А. М. Оптическая электроника Л.: Энергоатомиздат, 1990, 344 с. 7. Верещагин И. К. Введение в оптоэлектронику М.: Высшая школа, 1991, 320 с. 8. Клышко Д. Н. Физические основы квантовой электроники М.: Наука, 1986, 287 с. 9. Кондиленко И. И. Физика лазеров. К.: Высшая школа. 1984. 256 с. 10. Лисиця М. П., Халімонова І. М. Лазери в науці та техніці. К.: Наукова думка, 1986, 244 с. 11. Химическая энциклопедия в 5 т. / под ред. И. Л. Кнунянца. – М.: Советская энциклопедия, 1990. |
(2.6)
(2.12), де гамільтоніан
(2.15)
(2.20), де 





, де 


Рис. 5.4 Будова забороненої 
безперервного режиму була вперше досягнута в США в "BellLaboratories" Н. Хаясі й М. Б. Панішем в 1970р. Ними був виготовлений лазер на подвійній гетеро структурі 
, де 