Контрольная работа: Центр скоростей и ускорение плоскодвижущегося шатуна
|
Название: Центр скоростей и ускорение плоскодвижущегося шатуна Раздел: Рефераты по физике Тип: контрольная работа | |||||||||||||||||||||||||||||||||||||||||||||||
Определить реакции опор для способа закрепления бруса, при котором Ма имеет наименьшее числовое значение. Решение 1. Даны три исходные схемы закрепления бруса (а, б, в,) мысленно в схемах отбросим связи в точках опор, заменяя их реакциями связей. 2. Равномерно-распределённую нагрузку «q» заменяем равнодействующей «Q» и приложим её в центре действия нагрузки Q = q * L
3. Для каждой схемы составим минимальное число уравнений равновесия для определения исследуемой реакции. Cоставим уравнения равновесия: Схема а)
Ma(f к )=0; Ma-P*cos60-P*cos30-M+2Q=0 ОтсюдаMa будет Ma=P*cos60+P*cos30+M-2Q=5+8,6+4–8=9,6 кН * м cхемаб) Мa(Fk)=0; Ма– P*cos60-P*cos30-M+2Q+3Rв F(кy)=0; Rв-P*cos30=0 Rв=8,6кН ОтсюдаМабудет: Ма =P*cos60+P*cos30+M-2Q-3R в =5+8,6+4–8–25,8=16,2 кН * м Ма=16,2кН*м Схема в) Ma ( Fk )=0; Ма-М-Р* cos 60-Р* cos 30+2 Rc +2 Q =0 F (к y )=0; Rc - Pcos 30=0 Rc =8,6кН Отсюда Ма будет: Ма=М+ P * cos 60+Р* cos 30–2 Rc -2 Q =7,6кН*м Ма=7,6кН*м Таким образом, исследуемая наименьшая реакция будет при закреплении бруса по схеме в). Найдём все реакции. Составим для этой схемы три уравнения равновесия: F кх =0 Q-P*cos60+Xa=0 F к y=0 Rc-Pcos30=0 Rc=8,6 кН Ма (F к )=0 Ма - М - Р *cos60- Р *cos30+2Rc+2Q=0 Rc=8,6 кН Xa=1 кН Ма =7,6 кН * м Ответ: Ма=7,6кН. Д-19 Применение общего уравнения динамики к исследованию движения механической системы с одной степенью свободы. Дано:
Найти: Ускорение грузов 1 и 4 найти натяжение нитей 1–2 и 2–4 Схема:
Решение ådА (F, Ф)=0 общее уравнение динамики 1) Возможное перемещение dS1 dj2 =dS1/2r2 dj3 =dS1/2 r3 dSc=dS1/2 Ф1 = (G1 /g)*a1 М2 (Ф)=J2x *e2 =((G2 /2g)*r3 2 ))*a1 /r2 Ф4 = (G4 /g)*a4 Ф2 = (G2 /g)*a2 М3 (Ф)= J3x *e3 = ((G3 /2g)*r3 2 )*a1 /2r3 a1 = a2 = a3 a4 = a1 /2 Составимобщееуравнениединамики G1 dS1-Ф1 dS1-М2 (Ф) dj2 – Ф4 dS1–2 (Ф2 dSc + М3 (Ф)dj3 )=0
Для определения натяжения нити мысленно разрежем нить и заменим её действием на груз реакцией.
Ф dS G1 a1 G1 dS1-ФdS1-Т1-2 dS1=0 Т1-2 = G1 -Ф1 =1,6 G Т2-4 = Ф4 =1,6 G Дано: Va=0 α=30 f=0.2 l=10 м d=12 м Определить: τ и h Решение 1. Рассмотрим движение груза на участке АВ, считая груз материальной точкой. Проводим ось Az и составляем дифференциальное уравнение движения груза в проекции на эту ось:
Подставляя численные значения получаем:
Разделяя переменные, а затем интегрируя обе части, получим:
При начальных условиях (Z=0, V=V0 )
Тогда уравнение (9) примет вид:
Полагая в равенстве (14)
2. Рассмотрим теперь движение груза на участке ВС ; найденная скорость VB будет начальной скоростью для движения груза на этом участке (V0 =VB ). Проведем из точки В оси Вх и Ву и составим дифференциальное уравнение груза в проекции на ось Вх :
Разделим переменные:
Проинтегрируем обе части уравнения:
Будем теперь отсчитывать время от момента, когда груз находится в точке B. Тогда при t=0 V=V0 =VB =8,97 м/с. Подставляя эти величины в (20), получим
Тогда уравнение (20) примет вид:
Разделим переменные и проинтегрируем обе части уравнения:
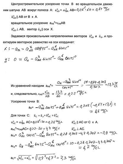
Задание К1 Дано: X=3–3t2 +1; Y=4–5t2 +5t/3; (1) t1 =1c; (X и Y-всм.); Решение Координаты точки:
Выразим t через X
Вектор скорости точки:
Вектор ускорения:
Модуль ускорения точки:
Модуль скорости точки:
Модуль касательного ускорения точки:
Модуль нормального ускорения точки:
Радиус кривизны траектории:
Результаты вычисления:
Дано: R2 =30; r2 =15; R3 =40; r3 =20 X=C2 t2 +C1 t+C0 При t=0 x0
=9 t2 =4x2 =105 см X0 =2C2 t+C1 C0 =9 C1 =8 105=C2 *42 +8*4+9 16C2 =105–24–9=72 C2 =4,5 X=4,5t2 +8t+9
a= V=r2
R2
Vm
=r3
* at
m
=r3
at
m
=R3
an
m
=R3
a= |
|||||||||||||||||||||||||||||||||||||||||||||||






Т1-2
(13)
(14)




