Реферат: Ядерні реакції
|
Название: Ядерні реакції Раздел: Рефераты по физике Тип: реферат |
РЕФЕРАТ на тему: «Ядерні реакції» План 1. Природа ядерних реакцій. Поріг і механізм ядерних реакцій. 2. Реакції ділення. Ланцюгова реакція. Використання ядерної енергії. 3. Термоядерні реакції. Енергія зірок. Керований термоядерний синтез. 1. Природа ядерних реакцій. Поріг і механізм ядерних реакцій Ядерні реакції – це штучне перетворення ядер одних хімічних елементів в ядра інших хімічних елементів під дією на ядра – мішені частинок-снарядів. Вперше ядерну реакцію здійснив у 1919 році Резерфорд, діючи -частинками з енергією біля 7.5 МеВ на ядра азоту
Ядерні реакції відбуваються з виконанням законів збереження сумарного масового числа ( верхні індекси ) і сумарного електричного заряду ( нижні індекси ). При здійсненні ядерних реакцій виконуються також закон збереження енергії, імпульсу, моменту імпульсу тощо. Ядерні реакції можуть бути ендотермічними ( з поглинанням енергії ) і екзотермічними ( з виділенням енергії ). Найменша енергія частинки-снаряду при якій можлива ендотермічна ядерна реакція, називається енергетичним порогом ядерної реакції. Екзотермічні реакції не мають енергетичного порога і можуть відбуватись при будь-яких значеннях енергії частинок-снарядів. Однак імовірність ядерних перетворень зростає з ростом енергії частинок -снарядів. В ядерній реакції, яку спостерігав Резерфорд у 1919 році, вперше виявлено вільні протони, які до цього часу ще не реєструвались. Ця ядерна реакція відбувається протягом дуже малого часу В 1930 році здійснена пряма ядерна реакція взаємодії - частинки з ядром берилію і утворенням вільних нейтронів. Нейтронне випромінювання мало досить велику проникну здатність через відсутність електричного заряду.
З відкриттям нейтронів (Чедвік, 1932р.) розпочалась ера різноманітних ядерних реакцій. В основі переважної більшості ядерних реакцій є зіткнення частинок-снарядів ( до яких відносяться нейтрони, -частинки, протони, дейтрони ) з ядрами-мішенями. Частинка-снаряд повинна мати достатню енергію для подолання значного потенціального бар’єра кулонівських сил відштовхування ядра-мішені. Проникнувши в ядро-мішень частинка-снаряд застрягає в ньому, передаючи при цьому свою енергію значному числу нуклонів в радіусі дії ядерних сил. Якщо ядро-мішень, одержавши таку енергію, стає збудженим протягом часу Складене, або компаунд-ядро через час
або
де Серед ядерних реакцій, які відбуваються через складене ядро слід відмітити ядерні реакції відриву і ядерні реакції захоплення. При ядерних реакціях відриву частинки – снаряди (дейтрони) віддають ядру – мішені або один протон, або один нейтрон згідно з схемою:
При ядерних реакціях захоплення ядро – мішень поглинувши один протон, або один нейтрон випромінює дейтрон:
Прямі ядерні реакції, а також ті, які відбуваються через складене ядро, потребують досить великих енергій налітаючих частинок. Якщо складене ядро переходить в нормальний стан через час значно більший
Знайдемо тепловий ефект ядерної реакції, яка здійснюється за схемою
де індексами а і в позначені енергії відповідних частинок ЕА і ЕВ ; Е1 – кінетична енергія ядра-мішені; Е2 – кінетична енергія вихідного ядра. Згрупуємо енергії спокою в лівій частині, а кінетичні енергії – в правій:
Зміна кінетичної енергії в реакції дорівнює абсолютному значенню зміни енергії спокою і називається тепловим ефектом ядерної реакції Q.
У випадку, коли відповідні маси спокою взяті у а.о.м., тепловий ефект реакції Q дорівнює:
2. Реакції ділення. Ланцюгова реакція. Використання ядерної енергії Взаємодія ядер важких елементів (уран, торій) з нейтронами може привести до поділу цих ядер на приблизно рівні осколки. Ядерні реакції такого типу називають реакціями поділу. Механізм ділення важкого ядра після його взаємодії з нейтроном можна пояснити, виходячи з краплинної моделі будови ядра. В такому ядрі діють ядерні й кулонівські сили. Припустимо, що ядро поглинуло один нейтрон. Таке ядро, перебуваючи в збудженому стані, здійснює відповідну пульсацію, довільно змінюючи свою форму. Серед великої кількості різноманітних пульсацій, форма ядра може випадково стати еліпсоїдною. Завдяки дії поверхневих ядерних сил, а також кулонівських сил відштовхування є велика імовірність, що еліпсоїдне ядро стане гантелеподібним і після цього буде розірване на дві частини. Схематично це виглядить так:
В середній частині “гантелі” буде підвищена концентрація нейтронів. Ці нейтрони не перебувають під дією кулонівських сил, а тому як правило 23 з них не встигають попасти у відповідні осколки ділення. Отже, реакція ділення починається з поглинання важким ядром одного теплового нейтрона і закінчується розривом його на два приблизно рівні осколки з виділенням ще двох-трьох теплових нейтронів. Зупинимось на реакціях ділення урану. Природний уран складається з двох основних ізотопів Теплові нейтрони ділять крім ядра
Торій і Ізотопи Для практичного застосування поділу важких ядер масу матеріалів ділення підбирають такою, щоб нейтрони після першого акту ділення змогли зустрітись з іншими ядрами і спричинити їх ділення. Процес наростання числа актів поділу буде лавиноподібним, а реакція ділення в такому випадку буде називатись ланцюговою. Ланцюгова реакція може бути керованою при розміщенні в активній зоні реактора сповільнювача нейтронів (як правило це графіт, або важка вода) і поглинача нейтронів (кадмій). За допомогою цих матеріалів досягають коефіцієнта розмноження нейтронів К=1; У випадку коли К1 ланцюгова реакція може стати надкритичною і спричинити вибух. Якщо К1,то ланцюгова реакція є підкритичною і може зменшитись до нуля. В будь-якому реакторі відповідна система автоматики підтримує коефіцієнт розмноження нейтронів в критичному стані К=1. Об’єм активної зони стане набагато меншим, якщо використовувати збагачений Некерована ланцюгова реакція може здійснюватись в ядерній бомбі, розміри якої тим менші, чим вища концентрація ділящогося матеріалу. 3. Термоядерні реакції. Енергія зірок. Керований термоядерний синтез Оскільки у гелію
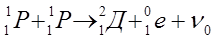
В обох випадках частинка-снаряд має позитивний заряд. Проникнення такої частинки в ядро-мішень потребує величезної енергії. Температура плазми, в якій можливі подібні реакції, повинна досягати мільйонів градусів. Такі реакції називаються термоядерними. Термоядерні реакції відбуваються в зірках і є джерелом їх енергії. Некерована термоядерна реакція здійснюється у водневій бомбі, джерелом енергії в якій є вибух ядерної бомби. Керований термоядерний синтез пов’язаний з надзвичайно великими технічними труднощами, які ряд учених надіються подолати у 21 сторіччі. Якщо температура зірки в її центральній частині не перевищує 107 К, то імовірно, що в її надрах здійснюється протон-протонний термоядерний цикл
Повний енергетичний вихід такого процесу складає біля 28.3 МеВ. Час, за який відбувається повний протон-протонний цикл складає мільйони років. На більш гарячих зірках, температура в надрах яких t 108 К імовірно, що відбувається вуглецево - азотний цикл, або цикл Бете.
Весь цикл Бете відбувається в середньому за 13 мільйонів років. Енергія, яка виділяється при цьому, становить 26.8 МеВ. Хоч термоядерні реакції на Сонці й зірках приводять до зменшення водню, розрахунки показують, що кількості водню на Сонці вистачить ще на мільярди років. |
