Реферат: Механічна енергія
|
Название: Механічна енергія Раздел: Рефераты по физике Тип: реферат |
| РЕФЕРАТ на тему: ”МЕХАНІЧНА ЕНЕРГІЯ” План1. Механічна робота, як міра зміни енергії. Потужність. Кінетична енергія. 2. Консервативні й неконсервативні сили. Потенціальна енергія. Зв’язок роботи й потенціальної енергії. 3. Сила й потенціальна енергія. Поняття градієнта. 4. Закон збереження й перетворення механічної енергії. 1. Механічна робота, як міра зміни енергії. Потужність. Кінетична енергіяЕнергія – це універсальна міра руху різних форм матерії. З різними формами руху матерії пов’язані різні форми енергії: механічна, теплова, електромагнітна, ядерна та ін. Будь-які зміни механічного руху викликаються силами, що діють із сторони інших тіл. Фізична величина, яка чисельно дорівнює скалярному добутку векторів сили
де У загальному випадку дія сили може змінюватись як за величиною, так і за напрямком, тому в таких випадках формулою (3.1.1) користуватися не можна. На безмежно малому переміщенні
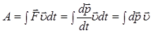
Робота змінної сили визначається за допомогою інтеграла:
Одиницею вимірювання роботи в системі СІ є джоуль (Дж)
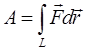
Розглянемо найбільш загальний випадок руху матеріальної точки уздовж криволінійної траєкторії L. Умовно поділимо пройдений шлях на безмежно малі ділянки шириною dx, на яких силу F може вважати сталою величиною (рис.3.1). Елементарна робота на таких безмежно малих переміщеннях може бути розрахована за формулою
Рис.3.1 Якщо скласти всі елементарні роботи, то одержимо вираз для знаходження повної роботи у вигляді криволінійного інтеграла уздовж криволінійної траєкторії
Робота сили, виконана за одиницю часу, називається потужністю. Потужність – це швидкість виконання механічної роботи. Тому
Одиницею вимірювання потужності є ват (Вт). Один Вт дорівнює 1Дж/с. Оскільки
то формулу для роботи можна переписати у вигляді
тобто роботу можна виразити через інтеграл від потужності й часу, а також через скалярний добуток вектора сили й вектора швидкості. В останньому випадку сила, перпендикулярна до вектора швидкості, роботи не виконує. З урахуванням другого закону Ньютона
Оскільки
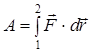
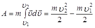
Якщо швидкість матеріальної точки в процесі руху змінюється від 1 до 2, то робота, яка виконується у цьому випадку, буде дорівнювати
Скалярна величина Слід також пам’ятати, що в цьому прикладі ми мали справу з повною силою, діючою на точку. Так, у випадку переміщення саней уздовж не дуже гладенької дороги, посипаної піском, виконується робота, відмінна від нуля. Приросту кінетичної енергії тут не буде. Вся справа в тому, що сила опору руху саней має протилежний напрям. Робота цієї сили має від’ємний знак. Сила тертя теж виконує роботу, але від’ємну. А в результаті повна сила і повна робота виявляються рівними нулю. 2. Консервативні й неконсервативні сили. Потенціальна енергія. Зв’язок роботи й потенціальної енергіїВсі сили, які зустрічаються в механіці макроскопічних тіл, прийнято поділяти на консервативні й неконсервативні. До консервативних сил відносяться такі сили, робота яких не залежить від форми шляху між двома точками 1 і 2 (рис.3.2). A1,2(a) =A1,2(b) =A1,2(c)
Рис. 3.2. Прикладом консервативних сил є сила тяжіння Землі. Робота сили тяжіння при перенесенні матеріальної точки із положення 1 в положення 2, уздовж прямолінійного відрізку
Рис.3.3.
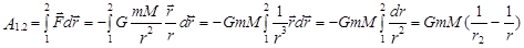
де h1 і h2 - висоти, на яких перебувала матеріальна точка на початку і в кінці шляху. Вираз роботи (3.2.1) справедливий для переміщення з точки 1 в точку 2 на будь-якому шляху. Ще одним прикладом консервативних сил є так звані центральні сили. Прикладом центральних сил можуть бути гравітаційні сили планет і зірок, кулонівські сили точкових зарядів обох знаків, ядерні сили (на дуже малих відстанях) тощо. Покажемо, що робота центральних сил не залежить від форми шляху. Знайдемо роботу сили гравітаційного притягання двох точкових мас m і М у випадку переміщення точкової маси m з точки 1 в точку 2 в гравітаційному полі точкової маси М (рис.3.4).
Рис.3.4.
В даних перетвореннях
Введемо поняття потенціальної енергії, як частини механічної енергії, яка залежить від взаємного розміщення матеріальних точок (тіл) у силовому полі. Силове поле називається потенціальним, якщо робота переміщення точки в цьому полі не залежить від форми шляху. В потенціальних полях діють лише консервативні сили. Потенціальна енергія чисельно дорівнює роботі переміщення матеріальної точки (тіла) з даної точки простору в деяке фіксоване або нульове положення. Точка ”О” на рис.3.5. є фіксованою. Знайдемо роботу переміщення матеріальної точки з положення М1 в положення М2. Для цього спочатку знайдемо роботу переміщення точки (тіла) з точки “М1” в точку “О” і з точки “М2” в точку “О”.
Рис.3.5.
В цих розрахунках П1 і П2, згідно з визначенням, є потенціальними енергіями матеріальної точки (тіла) в точках М1 і М2 простору. Тому робота консервативних сил в потенціальних полях може бути виражена через втрату (зменшення) потенціальної енергії
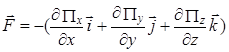
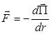
При заміні одного нульового положення іншим, потенціальна енергія змінюється на постійну величину. Таким чином, потенціальна енергія визначається неоднозначно, а з точністю до деякої константи. Однак це не впливає на кінцеві результати, так як в цьому випадку є важливою лише різниця потенціальних енергій dП. Прикладами потенціальної енергії у деяких найпростіших випадках є: П=mgh – потенціальна енергія однорідного поля тяжіння; П= П= 3. Сила й потенціальна енергія. Поняття градієнтаЗв’язок сили й потенціальної енергії знайдемо із співвідношення (3.2.6)
Потенціальна енергія є скалярною величиною. Однак її зміна в певному напрямі є векторною величиною. Зміна потенціальної енергії в певному напрямі називається градієнтом, тобто
В рівності (3.2.8) вектором є градієнт. Для руху матеріальної точки (тіла) в тривимірному просторі градієнт потенціальної енергії повинен враховувати проекції на осі координат х, у, z, тобто
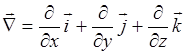
де Вираз (3.2.9) також можна записати через оператор набла, тобто
де - В формулі (3.2.10) потенціальна енергія є скалярною величиною, а ось диференціювання скалярної величини по координатним осям дає вектор. Вирази оператора набла
Градієнт скалярної величини П є вектор, який направлений вздовж нормалі в сторону зростання функції Пz (рис.3.6).
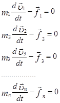
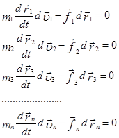
Рис.3.6. Поверхні однакової потенціальної енергії називаються еквіпотенціальними поверхнями. 4. Закон збереження й перетворення механічної енергії Сума кінетичної і потенціальної енергії всіх тіл, які складають замкнуту систему і взаємодіють між собою лише консервативними силами, залишається незмінною. Це твердження виражає собою закон збереження й перетворення енергії в механічних процесах. Якщо між тілами, які входять до замкнутої системи, будуть діяти сили тертя, то механічна енергія не зберігається. Частина її перетворюється у внутрішню енергію нагрівання тіл. Розглянемо замкнуту систему матеріальних точок масами m1, m2, m3,..., mn, які рухаються з швидкостями відповідно v1, v2, v3, …,vn під дією внутрішніх консервативних сил f1, f2, f3,…, fn. Запишемо для всіх тіл цієї системи ІІ-й закон Ньютона:
Нехай за час dt кожна із точок системи здійснює відповідне переміщення Помножимо рівності (3.4.1) на відповідні їм переміщення, одержимо:
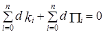
Склавши всі ці рівняння в одно, одержимо
В рівності (3.4.3) під знаками сум є безмежно малі зміни відповідно кінетичної і потенціальної енергій, тобто
В рівності (3.4.4) враховано, що робота консервативних сил виконується за рахунок зменшення потенціальної енергії (рівність 3.2.6), або
де
З урахуванням цих зауважень одержуємо: d(К+П) =0, звідки К+П=const. (3.4.6) Повна механічна енергія всіх тіл замкненої системи з часом не змінюється. В межах замкнутої системи відбувається перетворення енергії з одного виду в інший. Системи тіл, в яких спостерігається перетворення енергії в інші, не механічні види енергії, називаються дисипативною. Однак і в цьому випадку відповідна еквівалентність між енергіями обов’язково зберігається. Короткий висновок: Таким чином, енергія ніколи не зникає безслідно і не виникає, вона лише перетворюється із одного виду в інший у рівновеликих кількостях. У цьому твердженні полягає основна фізична суть закону збереження і перетворення механічної енергії – суть не зникнення матерії та її руху. |
. (3.1.3) 
. (3.1.5)
. (3.1.6)
, (3.1.8)
вираз для механічної роботи набуде вигляду:
. (3.1.11)

. (3.2.3) 
,
. (3.2.4)
. (3.2.5)
, (3.2.9)
- оператор набла. 
(3.4.1) 
(3.4.2)
. (3.4.4)