Реферат: Механічні й електромагнітні коливання
|
Название: Механічні й електромагнітні коливання Раздел: Рефераты по физике Тип: реферат |
| РЕФЕРАТ
на тему:” Механічні й електромагнітні коливання ” План 1. Гармонічні коливання і їх характеристики 2. Механічні гармонічні коливання 3. Гармонічний осцилятор. Пружинний, фізичний і математичний маятники 4. Вільні гармонійні коливання в коливальному контурі
1. Гармонічні коливання і їх характеристики Коливаннями називаються рухи або процеси, які характеризуються певною повторюваністю в часі. Коливальні процеси широко поширені в природі й техніці, наприклад, коливання маятника годинника, змінний електричний струм і т.д. При коливальному русі маятника змінюється координата його центра мас, у випадку змінного струму - коливаються напруга й струм у ланцюзі. Фізична природа коливань може бути різною, тому розрізняють коливання механічні, електромагнітні й ін. Однак різні коливальні процеси описуються однаковими характеристиками й однаковими рівняннями. Звідси випливає доцільність єдиного підходу до вивчення коливань різної фізичної природи. Коливання будуть вільними (або власними), якщо вони відбуваються за рахунок деякої енергії, переданої коливальній системі в початковий момент часу, при відсутності в наступні моменти часу будь-яких зовнішніх впливів на цю систему. Найпростішими коливаннями є гармонічні коливання, при яких коливна величина змінюється з часом за законом косинуса або синуса. Вивчення гармонічних коливань важливе з двох причин: 1) коливання, які зустрічаються у природі й техніці, при певних наближеннях є гармонічними; 2) різні періодичні процеси (процеси, які повторюються через рівні проміжки часу), можна подавати як суперпозицію гармонічних коливань. Гармонічні коливання деякої фізичної величини х описуються таким рівнянням
де А-
максимальне значення коливної величини x
, яке називається амплітудою коливань
; Певні стани системи в процесі гармонічних коливань повторюються через однаковий проміжок часу Т, який називається періодом коливань . За цей час фаза коливання зростає на 2π, тобто
звідки
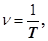
Величина, обернена до періоду коливань
виконана коливною системою за одиницю часу, називається частотою коливань. Прирівнюючи (2) і (3), одержимо ω0
= 2 Одиницею частоти є герц (Гц), це частота такого періодичного процесу, при якому за 1 с відбувається одне повне коливання. Запишемо першу й другу похідні фізичної величини х гармонічного коливання, тобто визначимо швидкість і прискорення коливання:
тобто маємо гармонічні коливання тієї ж циклічної частоти. Амплітуди величин (4) і (5) відповідно дорівнюють Отже, у моменти часу, коли х =
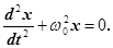
0, З рівняння (5) одержуємо диференціальне рівняння гармонічних коливань (де враховано, що х = A cos (ωο t + φ)),
Рис. 1 Таким чином, розв’язком диференціального рівняння (6) є вираз (1). Гармонічні коливання можна зобразити графічно за допомогою методу обертання вектора амплітуди, або методу векторних діаграм. Для цього з довільної точки О,
взятої на осі х,
під кутом φ, який дорівнює початковій фазі коливання, відкладається вектор
Рис. 2 Якщо цей вектор привести до обертання з кутовою швидкістю
де
Права частина рівняння (8) є рівнянням гармонічних коливань. 2. Механічні гармонічні коливання Нехай матеріальна точка виконує прямолінійні гармонічні коливання уздовж осі координат x біля положення рівноваги, прийнятого за початок координат. Тоді залежність координати x від часу t задається рівнянням (1),
Відповідно до виразів (4) і (5) швидкість
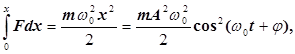
Сила F = ma , що діє на коливну матеріальну точку масою т, у відповідності з рівнянням (1) дорівнює
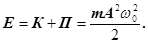
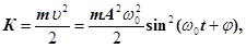
Отже сила, яка діє на матеріальну точку при гармонічних коливаннях, пропорційна зміщенню матеріальної точки від положення рівноваги і спрямована в протилежну сторону. Кінетична енергія матеріальної точки, яка здійснює прямолінійні гармонійні коливання, дорівнює
або К
= Потенціальна енергія матеріальної точки, яка здійснює гармонічні коливання під дією пружної сили F, дорівнює
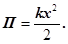
П
= - або
П
=
Рис. 3 Додавши (13) і (14), одержимо формулу для повної енергії гармонічного коливання:
З формул (12) і (14) видно, що К і Π змінюються в часі з частотою, яка у два рази перевищує частоту гармонічного коливання. На рис. 3 показані графіки залежності х, К і Π від часу. Оскільки середні значення
3. Гармонічний осцилятор. Пружинний, фізичний і математичний маятники Гармонічним осцилятором називається система, яка описується диференціальним рівнянням виду (6):
Коливання гармонічного осцилятора є важливим прикладом періодичного руху і служать точною або наближеною моделлю в багатьох задачах класичної і квантової фізики. Прикладами гармонічного осцилятора є пружинний, фізичний і математичний маятники, коливальний контур (для струмів і напруг настільки малих, щоб елементи контуру можна було вважати лінійними). Пружинний маятник. Пружинний маятник – невеличке тіло масою т, яке підвішене до абсолютно пружної пружині і здійснює гармонічні коливання під дією пружної сили F = - kx , де k - коефіцієнт пружності, у випадку пружини, названий жорсткістю (рис. 4).
Рис.4 Диференціальне рівняння коливання маятника буде мати вигляд
або
З виразів (16) і (1) випливає, що пружинний маятник виконує гармонічні коливання за законом
Формула (17) справедлива для пружних коливань у межах, для яких виконується закон Гука, тобто коли маса пружини мала в порівнянні з масою тіла. В цьому випадку потенціальна енергія пружинного маятника, згідно (13) дорівнює
Фізичний маятник. Фізичний маятник – тверде тіло, яке під дією сили тяжіння виконує гармонічні коливання відносно нерухомої горизонтальної осі або підвісу, що не збігається з центром мас С тіла (рис. 5). Якщо маятник відхилений від положення рівноваги на деякий кут
де J
- момент інерції маятника відносно осі, яка проходить через точку О, l -
відстань між точкою підвісу і центром мас маятника,
Рис. 5 Рівняння (19) можна записати у вигляді
або
Приймаючи, що
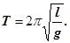
З виразу (20) випливає, що при малих коливаннях фізичний маятник виконує гармонічні коливання з циклічною частотою
де Точка 0' на продовженні прямої 0С, яка відстоїть від осі підвісу на відстані приведеної довжини L, називається центром коливань фізичного маятника (рис. 5). Застосовуючи теорему Штейнера, можна показати, що 00' завжди більше 0С = l. Точка підвісу 0 і центр коливань 0' мають властивість взаємозамінності, якщо вісь підвісу перенести в центр коливань, то точка 0, в якій розміщувалась раніше вісь підвісу стане новим центром коливань і період коливань фізичного маятника не зміниться. Математичний маятник. Математичний маятник – ідеалізована система, яка складається з матеріальної точки масою т, підвішеної на нерозтяжній невагомій нитці, і коливається під дією сили тяжіння (рис.6). Гарним наближенням математичного маятника є невелика важка кулька, підвішений на тонкій довгій нитці. Момент інерції математичного маятника дорівнює
де l - довжина маятника.
Рис. 6 Так як математичний маятник можна подати як окремий випадок фізичного маятника, припустивши, що вся маса фізичного маятника зосереджена в одній точці – центрі мас, то, підставивши вираз (22) у формулу (21), одержимо знайомий вираз для малих коливань математичного маятника:
Порівнюючи формули (23) і (21), бачимо, що якщо приведена довжина L фізичного маятника дорівнює довжині l математичного маятника, то їх періоди коливань збігаються. Отже, приведена довжина фізичного маятника – це довжина такого математичного маятника, період коливань якого збігається з періодом коливань даного фізичного маятника. 4. Вільні гармонійні коливання у коливальному контурі Серед різних електричних явищ особливе місце займають електромагнітні коливання, при яких фізичні величини (заряди, струми, електричні і магнітні поля) періодично змінюються. Для виникнення і підтримування електромагнітних коливань необхідні певні системи, найпростішою з який є коливальний контур – ланцюг, який складається з увімкнених послідовно котушки індуктивністю L , конденсатора ємністю С і резистора опором R. Розглянемо послідовні стадії коливального процесу в ідеалізованому контурі, опір якого безмежно малий
Замкнувши конденсатор на котушку індуктивності, він почне розряджатися й у контурі потече зростаючий з часом струм I . У результаті енергія електричного поля буде зменшуватися, а енергія магнітного поля котушки – зростати. Так як
тому що енергія на нагрівання провідників у такому коливальному контурі не витрачається. У момент часу Якби втрат енергії не було, то в контурі відбувалися б періодичні незатухаючі коливання, тобто періодично змінювалися (коливалися) б заряд Q на обкладках конденсатора, напруга U на конденсаторі і сила струму I , яка тече через котушку індуктивності. Отже, у контурі виникають електричні коливання з періодом Т , причому протягом першої половини періоду струм тече в одному напрямку, протягом другої половини – у протилежному. Коливання супроводжуються перетвореннями енергій електричних і магнітних полів. Електричні коливання у коливальному контурі можна зіставити з механічними коливаннями маятника (рис. 7), які супроводжуються взаємними перетвореннями потенціальної і кінетичної енергій маятника. У даному випадку потенціальна енергія маятника
Рис.7 Роль інерції маятника буде зводитися до самоіндукції котушки, а роль сили тертя, яке діє на маятник – до опору контуру. Відповідно до другого правила Кірхгофа, для контуру, який містить котушку індуктивністю L , конденсатор ємністю С и резистор опором R маємо
де IR –
спад напруги на резисторі, Отже,
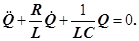
Розділивши (24) на L і підставивши
У даному коливальному контурі зовнішні е. р. с. відсутні, тому розглянуті коливання є вільними коливаннями. Якщо опір R = 0, то вільні електромагнітні коливання у контурі є гармонічними. Тоді з (25) одержимо диференціальне рівняння вільних гармонічних коливань заряду Q в контурі:
З виразу (26) випливає, що заряд Q в коливальному контурі виконує гармонічні коливання за законом
де Qm — амплітуда коливань заряду конденсатора з циклічною частотою ω0 , яка називається власною частотою контуру:
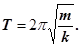
і періодом
Формула (29) вперше була отримана Томсоном і називається формулою Томсона. Сила струму в коливальному контурі буде дорівнювати
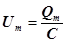
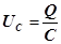
де Напруга на конденсаторі
де З виразів (30) і (31) випливає, що коливання струму I випереджають по фазі коливання заряду Q на π/2, тобто коли струм досягає максимального значення, заряд (а також і напруга звертаються в нуль і навпаки. Цей взаємозв'язок був установлений при розгляді послідовних стадій коливального процесу в контурі і на підставі енергетичних міркувань. Вільні електромагнітні коливання в контурі є незатухаючими. |


(13)



