Дипломная работа: Моделирование процессов тепло- и массопереноса при закачке радиоактивных растворов в глубокозалегающие пласты
|
Название: Моделирование процессов тепло- и массопереноса при закачке радиоактивных растворов в глубокозалегающие пласты Раздел: Рефераты по физике Тип: дипломная работа | |||||||||||||||||||||||||||||||||||||||||||||||||||||||||||||||||||||||||||||||||||||||||||||||||||||||||||||||||||||||||||||||||||||||||||||||||||||||||||||||||||||||||||||||||||||||||||||||||||||||||||||||||||||||||||||||||||||||||||||||||||||||||||||||||||||||||||||||||||||||||||||||||||||||||||||||||||||||||||||||||||||||||||||||||||||||||||||||||||||||||||||||||||||||||||||||||||||||||||||||||||||||||||||||||||||||||||||||||||||||||||||||||||||||||||||||||||||||||||||||||||||||||||||||||||||||||||||||||||||||||||||||||||||||||||||||||||||||||||||||||||||||||||||||||||||||||||||||||||||||||||||||||||||||||||||||||||||||||||||||||||||||||||||||||||||||||||||||||||||||||||||||||||||||||||||||||||||||||||||||||||||||||||||||||||||||||||||||||||||||||||||||||||||||||||||||||||||||||||||||||||||||||||||||||||||||||||||||||||||||||||||||||||||||||||||||||||||||||||||||||||||||||||||||||||||||||||||||||||||||||||||||||||||||||||||||||||||||||||||||||||||||||||||||||||||||||||||||||||||||
ФЕДЕРАЛЬНОЕ АГЕНСТВО ПО ОБРАЗОВАНИЮ Государственное образовательное учреждение высшего профессионального образования Стерлитамакская государственная педагогическая академия на правах рукописи МИХАЙЛИЧЕНКО ИГОРЬ НИКОЛАЕВИЧ МОДЕЛИРОВАНИЕ ПРОЦЕСОВ ТЕПЛО- И МАССОПЕРЕНОСА ПРИ ЗАКАЧКЕ РАДИОАКТИВНЫХ РАСТВОРОВ В ГЛУБОКОЗАЛЕГАЮЩИЕ ПЛАСТЫ Диссертация на соискание ученой степени кандидата физико-математических наук 05.13.18 – математическое моделирование, численные методы и комплексы программ Научные руководители – доктор технических наук, профессор Филиппов А.И.; кандидат физико-математических наук, доцент Михайлов П.Н. Стерлитамак 2006 ОГЛАВЛЕНИЕ ВВЕДЕНИЕ. 4 СПИСОК ОБОЗНАЧЕНИЙ.. 12 Глава I. ПОСТАНОВКА ЗАДАЧИ ТЕПЛО- И МАССОПЕРЕНОСА ПРИ ФИЛЬТРАЦИИ ЖИДКОСТИ С РАДИОАКТИВНЫМ ЗАГРЯЗНИТЕЛЕМ В ГЛУБОКО ЗАЛЕГАЮЩИХ ПЛАСТАХ.. 14 1.1. Некоторые аспекты развития методов расчётов температурных и концентрационных полей в пластах. 14 1.2. Основные физические процессы при фильтрации жидкости в глубоко залегающих пластах. 16 1.3. Уравнение конвективной диффузии с учетом радиоактивного распада и обмена жидкости со скелетом. 17 1.4. Задача теплопереноса. 20 1.4.1.Математическая постановка задачи теплопереноса и её обезразмеривание 20 1.4.1. Разложение задачи теплопереноса по асимптотическому параметру. 26 1.4.3. Математическая постановка задачи теплопереноса в нулевом приближении 28 1.4.4. Постановка задачи теплопереноса в первом приближении. 31 1.5. Задача массопереноса. 32 1.5.1. Математическая постановка задачи массопереноса и её обезразмеривание 32 1.5.2.Разложение задачи массопереноса по асимптотическому параметру. 36 1.5.3. Математическая постановка задачи массопереноса в нулевом приближении 38 1.5.4. Математическая постановка задачи массообмена в первом приближении. 41 1.5.5. Дополнительное интегральное условие для первого приближения. 45 1.6. Выводы.. 48 Глава II. РЕШЕНИЕ ЗАДАЧИ МАССОПЕРЕНОСА В НУЛЕВОМ И ПЕРВОМ ПРИБЛИЖЕНИЯХ, СТАЦИОНАРНОЕ РЕШЕНИЕ. 50 2.1 Решение задачи массопереноса в нулевом приближении. 50 2.2. Анализ результатов расчетов в нулевом приближении. 63 2.3. Бездиффузионное приближение в задаче массообмена. 66 2.4. Решение задачи массообмена в первом приближении. 70 2.5. Анализ результатов расчетов в первом приближении. 77 2.6. Стационарное решение задачи массопереноса в нулевом и первом приближении 87 2.7. Анализ результатов расчёта стационарной задачи. 96 2.8. Выводы.. 100 Глава III. РЕШЕНИЕ ЗАДАЧИ ТЕПЛОПЕРЕНОСА В НУЛЕВОМ И ПЕРВОМ ПРИБЛИЖЕНИЯХ.. 102 3.1. Нулевое приближение. 102 3.2. Переход в пространство оригиналов для нулевого представления плотности загрязнителя. 111 3.3. Анализ результатов расчетов по нулевому приближению.. 114 3.4. Решение задачи теплообмена в пространстве изображений 3.5. Сопоставление радиусов зон химического и теплового возмущений. 122 3.6. Выводы.. 129 ЗАКЛЮЧЕНИЕ. 130 ЛИТЕРАТУРА.. 132 Актуальность проблемы. В настоящее время наиболее распространённым видом утилизации радиоактивных отходов предприятий атомной промышленности и химических производств является закачка их в виде жидких растворов в глубокозалегающие подземные пласты. Поэтому чрезвычайно важной экологической задачей является прогнозирование и контроль поведения зон, охваченных воздействием вредных примесей, особенно с учётом того, что глубокозалегающие пласты обычно имеют выходы на поверхность. Указанный прогноз осуществляется, в основном, расчётным путём, так как возможности экспериментального определения размеров глубоко залегающих зон загрязнения весьма ограничены. При закачке вредных примесей нарушается естественное температурное поле, что определяется как отличием температуры закачиваемой жидкости от пластовой, так и выделением тепла за счет радиоактивного распада и химических реакций. При этом поля концентраций примесей и температуры являются взаимосвязанными, поэтому на основе измерений температуры в контрольных скважинах, проведённых в зоне влияния закачки отходов, можно создать методы контроля за зоной заражения. Вопросы захоронения радиоактивных отходов в геологических формациях и возникающие при этом экологические проблемы подробно рассматривались многими исследователями, среди которых можно выделить Белицкого А.С., Орлову Е.И. [5], Рыбальченко, А.И., Пименова М.К. [64]. Исследованию полей концентрации радиоактивного загрязнителя в пористых пластах посвящено большое число работ Ф.М. Бочевера, Н.Н. Веригина, В.М. Гольдберга. Результаты исследования температурных полей представлены в статьях и монографиях научных школ Башкирского, Казанского, Латвийского госуниверситетов, научно-исследовательских и проектных институтов нефтегазовой промышленности, а также зарубежных ученых. В подавляющем большинстве в этих работах в основу исследований положена “схема сосредоточенной ёмкости”, которая предполагает, что поле температуры в интервале пласта не зависит от вертикальной координаты. Однако в последние годы, в связи с повышением разрешающей способности термометрической аппаратуры, встал вопрос о методах расчётов температуры с учётом зависимости от вертикальной координаты. Расчёт пространственно-временных распределений концентрации вредных примесей в глубоко залегающих пластах сводится к решению краевых задач конвективной диффузии в пористых средах. Соответствующие задачи обладают большим разнообразием, и решение их зачастую сопряжено со значительными трудностями. В настоящее время новые перспективы в исследовании динамики полей температур открывает использование модификации асимптотических методов, ориентированной на задачи скважинной термодинамики (А.И. Филиппов). Она была использована для создания теории температурных и массообменных процессов при закачке жидкости в пласты (О.И. Коркешко) и баротермического эффекта (Н.П. Миколайчук), при моделировании фильтрации газожидкостных смесей и аномальной жидкости (Е.М Девяткин, Г.Я. Хусаинова), движения жидкости по скважине (П.Н. Михайлов, О.В. Ахметова), термического воздействия на пласт на основе фильтрационно-волновых процессов (М.Р. Минлибаев, Г.Ф. Ефимова). Целью диссертационной работы является разработка методов расчёта полей температур и концентраций радиоактивных примесей при закачке растворов, содержащих радиоактивный загрязнитель, в глубоко залегающие проницаемые пласты на основе асимптотических разложений. Основные задачи исследования : - анализ вклада основных физических процессов, обуславливающих динамику распространения радиоактивных примесей и температурных полей, постановка соответствующих математических задач; - применение асимптотического метода к многослойным задачам, построение задач для коэффициентов разложения искомого решения в виде ряда по параметру; - получение аналитических решений задач для коэффициентов разложения нулевого и первого порядков; - проведение расчетов пространственно-временных распределений полей концентраций загрязнителя и температуры и изучение влияния различных физических параметров на эти распределения; - сопоставление полученных результатов с экспериментальными данными и результатами других исследователей. Научная новизна: – С помощью модификации асимптотического метода получены новые приближённые решения задач, описывающих динамику температурных полей и распространения радиоактивных примесей в проницаемых пластах с учетом их распада и осаждения на скелет. – Найдено стационарное решение задачи о распространении плотности радиоактивного загрязнителя, установлена область применимости задачи в бездиффузионном приближении для расчетов полей в реальных условиях. – Получено соотношение между размерами зон очищенной воды, загрязненной радиоактивными примесями и температурных возмущений. Установлено, что при больших коэффициентах Генри размеры последней во много раз превосходят размеры зоны загрязнения и поэтому регистрация температурных полей может быть использована для прогнозирования положения зоны радиоактивного заражения. Практическая значимость . На основе полученных решений созданы новые способы расчётов экологической безопасности природных глубоко залегающих объектов, используемых для захоронения радиоактивных отходов АЭС и промышленных предприятий. Определена зависимость величины и положения максимума температурного поля от параметров закачки, энергетической активности загрязнителя и теплофизических свойств пластов, что очень важно для предотвращения неблагоприятных последствий, в частности, «теплового взрыва». Достоверность полученных результатов обоснована тем, что в основу исследований положены уравнения, выведенные из фундаментальных законов сохранения. Полученные решения в частных случаях сопоставлены с результатами других исследователей, а также удовлетворительно согласуются с результатами экспериментальных исследований, опубликованными в печати. Основные положения, выносимые на защиту: 1. Построенная с использованием модификации асимптотического метода математическая модель температурного поля жидкости с радиоактивным загрязнителем, текущей по проводящему пласту, окружённому «кровлей» и «подошвой», в нулевом и первом приближениях. Обоснование утверждения, заключающегося в том, что дополнительное нелокальное интегральное условие приводит к построению в «среднем точного» асимптотического решения. 2. Аналитические выражения для расчётов полей температуры и концентрации вредных примесей при их закачке в подземные пласты, представленные в виде разложения по параметру асимптотического разложения для задач массо- и теплопроводности, содержащие слагаемые нулевого и первого порядков. 3. Результаты расчётов пространственно-временных распределений плотности и температуры загрязнителя (в частности, с помощью стационарного решения), которые показывают, что при отсутствии в пористом пласте естественной миграции жидкости имеются предельные размеры зоны загрязнения, определяемые периодом полураспада нуклида и темпами закачки; аналитические зависимости для размеров зон радиоактивного заражения, термического влияния и очищенной воды. Краткая характеристика содержания работы . Работа состоит из введения, трех глав, заключения и списка используемой литературы. Во введении обоснована актуальность проблемы, сформулированы цель и задачи диссертационной работы, обоснованы научная новизна и практическая значимость результатов исследования. В первой главе приведен краткий обзор литературы. Произведено описание основных физических процессов, происходящих при фильтрации жидкостей в глубокозалегающих пластах, проведена оценка вкладов этих физических процессов, и на этой основе осуществлена постановка задачи о фильтрации жидкости с радиоактивными примесями в глубоко залегающих пластах. Выписаны уравнения, определяющие изменение температурного поля. Произведено обезразмеривание задачи о распространении поля температур. Произведена оценка вклада радиальной температуропроводности в процессы теплопереноса, и сделан вывод о возможности пренебрежения соответствующими составляющими в уравнении теплопереноса. Введён параметр асимптотического разложения, определена математическая постановка задачи для нулевого и первого приближений. Сделан вывод о необходимости первоначального решения задачи, определяющей зависимость плотности загрязнителя от времени и координат. Выписаны уравнения массопереноса для радиоактивного загрязнителя. Произведено их обезразмеривание. Обоснована возможность пренебрежения слагаемыми, определяющими радиальную диффузию (в сравнении с конвективным переносом загрязнителя). Произведено асимптотическое разложение массопереносной задачи. Записана математическая постановка задачи в нулевом и первом приближениях. Вовторой главе решена задача массопереноса в нулевом и первом приближениях. Обоснована возможность пренебрежения радиоактивным распадом в «кровле» и «подошве». Рассмотрено бездиффузионное приближение, оценены границы его применимости. Найдено стационарное решение, определены максимальные размеры зоны заражения. Обосновано введение среднеинтегрального условия для первого коэффициента разложения. Третья глава посвящена решению задачи теплообмена в нулевом и первом приближении. При этом, как и во второй главе, использован метод интегральных преобразований Лапласа-Карсона. Построено решение в нулевом приближении, показано, что оно определяется только нулевым приближением поля загрязнителя. Проанализированы полученные решения. Для первого коэффициента разложения получено решение в пространстве изображений. Рассмотрены и сопоставлены радиусы зон химического и теплового влияния, найдены соотношения, определяющие относительные размеры этих зон. Построен алгоритм получения решения любого требуемого приближения. В заключении подводены итоги проведенного исследования. В процессе выполнения работы широко использованы асимптотические методы, методы интегральных преобразований Лапласа – Карсона. Численные расчеты тепловых полей осуществлены с помощью программного пакета MathCAD. Графические иллюстрации выполнены с использованием программы CorelDraw. Публикации . Основные результаты диссертации опубликованы в 9 научных работах. Постановка задачи в работах принадлежит профессору Филиппову А.И. В остальном вклад авторов равный. Результаты, выносимые на защиту, принадлежат автору. 1. Михайличенко, И.Н. и др. Поле концентрации при закачке водных растворов радиоактивных примесей в глубокозалегающие пласты / А.И. Филиппов, П.Н. Михайлов, И.Н. Михайличенко // Современные проблемы физики и математики. Труды Всероссийской научной конференции (16 – 18 сентября 2004 г., г. Стерлитамак). – Уфа: Гилем, 2004. С. 89 – 97. 2. Михайличенко, И.Н. и др. Температурные поля при закачке водных растворов радиоактивных примесей в подземные горизонты / Филиппов А.И., Михайлов П.Н., Михайличенко И.Н. // Обозрение прикладной и промышленной математики / Тезисы докладов V Всероссийского симпозиума по прикладной и промышленной математике. – М., 2004. – Т. 11, – В.3. – С. 596 – 597. 3. Михайличенко, И.Н. и др.Поле концентрации при закачке водных растворов радиоактивных примесей в глубокозалегающие пласты / А.И. Филиппов, П.Н. Михайлов, И.Н. Михайличенко // Обозрение прикладной и промышленной математики / Тезисы докладов V Всероссийского симпозиума по прикладной и промышленной математике. – М., 2004. – Т. 11, – В.3. – С. 595 – 596. 4. Михайличенко, И.Н. и др.Оценка погрешности бездиффузионного приближения в задачах тепломассопереноса / А.И. Филиппов, П.Н. Михайлов, И.Н. Михайличенко // Математические модели в образовании, науке и промышленности: Сб. науч. трудов. – СПб.: Санкт-Петербургское отделение МАН ВШ, 2005. – С. 101 – 105. 5. Михайличенко, И.Н. Способ расчёта концентрации загрязнителя при захоронении растворённых веществ / И.Н. Михайличенко // ЭВТ в обучении и моделировании. Труды IV Региональной научно – методической конференции. (16 – 17 декабря 2005 г., г. Бирск). – Бирск: изд-во БГСПА, 2005. – С. 294 – 303. 6. Михайличенко, И.Н. и др. Определение зоны заражения при подземном захоронении растворённых радиоактивных веществ / А.И. Филиппов, П.Н. Михайлов, И.Н. Михайличенко // Вестник Херсонского национального технического университета. Вып. 2(25). – Херсон: ХНТУ, 2006. – С. 508 – 512. 7. Михайличенко, И.Н. и др. Расчет полей концентрации при подземном захоронении растворенных радиоактивных веществ / А.И. Филиппов, П.Н. Михайлов, А.Г. Крупинов, И.Н. Михайличенко // Экологические системы и приборы. – 2006. – №5. – С. 27 – 35. 8. Михайличенко, И.Н. Расчет полей концентрации при подземном захоронении растворенных радиоактивных веществ / Д.А. Гюнтер, И.Н. Михайличенко // Региональная школа – конференция молодых учёных: тезисы докладов. – Уфа: Гилем, 2006. – С. 44 – 45. 9. Михайличенко, И.Н, Погранслойное решение в задаче о закачке радиоактивных примесей в пористый пласт/ Е.М. Девяткин, И.Н. Михайличенко // VI Региональная школа – конференция для студентов, аспирантов и молодых учёных по математике, физике и химии. Тезисы докладов. – Уфа: РИО БашГУ, 2006. – С. 141 – 142. СПИСОК ОБОЗНАЧЕНИЙa – коэффициент температуропроводности, м2 /с;
h – полувысота пористого пласта, м;
m – пористость;
R p – положение фронта загрязнения, м; R w – положение фронта закачиваемой жидкости, м; R Т – положение фронта термического влияния, м;
Глава I. ПОСТАНОВКА ЗАДАЧИ ТЕПЛО- И МАССОПЕРЕНОСА ПРИ ФИЛЬТРАЦИИ ЖИДКОСТИ С РАДИОАКТИВНЫМ ЗАГРЯЗНИТЕЛЕМ В ГЛУБОКО ЗАЛЕГАЮЩИХ ПЛАСТАХ 1.1. Некоторые аспекты развития методов расчётов температурных и концентрационных полей в пластахЗакачка растворов радиоактивных примесей в глубоко залегающие пористые пласты создает необходимость расчёта взаимосвязанных полей концентрации и температуры, что сводится к решению задач конвективной теплопроводности и конвективной диффузии. Это приводит к системе уравнений, включающей в себя уравнения непрерывности, Навье-Стокса, энергии и состояния вещества. Получающиеся дифференциальные уравнения в частных производных, на которые накладываются начальные и граничные условия, не могут быть решены без введения упрощений. Одним из таких упрощений в задачах конвективной теплопроводности и диффузии является метод сосредоточенной ёмкости [50, 51, 52, 73], который заключается в выделении областей с мало изменяющейся вдоль одной или нескольких координат величиной, что позволяет заменять искомый параметр средним значением его в этих областях. Причем уравнения, описывающие физические процессы в указанных областях, заменяются соответствующим граничным условием в виде дифференциального уравнения в частных производных. Температурные поля в нефтегазовых пластах в приближении сосредоточенной емкости рассмотрены в большом числе работ научных школ Башкирского, Казанского, Латвийского госуниверситетов. Необходимо отметить работу Х.А. Ловерье [98], в которой рассмотрена термически анизотропная среда, обладающая следующими свойствами: пористый пласт, в который нагнетается вода, имеет бесконечно большую теплопроводность в вертикальном направлении и не проводит тепло посредством теплопроводности в горизонтальном направлении, породы, окружающие этот пласт, имеют конечную теплопроводность в вертикальном направлении и не проводят тепло в горизонтальном направлении. Как было показано Г.Е. Малофеевым [42] и Н.А. Авдониным [1], схема Ловерье даёт вполне удовлетворительные результаты, несмотря на упрощённые условия теплопереноса. Большой вклад в изучение температурных полей в нефтяных пластах внёс Л.И. Рубинштейн [64]. Он разработал схемы, названные “точной схемой” и “схемой сосредоточенной ёмкости”. В “точной схеме” пласт и окружающие его породы считаются термически изотропными, имеющими теплофизические характеристики, совпадающие с характеристиками реального пласта, его кровли и подошвы. “Схема сосредоточенной ёмкости” близка к схеме Ловерье. Считается, что пласт имеет бесконечно большую теплопроводность в вертикальном направлении, а теплопроводность пласта в направлении его простирания считается конечной, совпадающей с теплопроводностью реального пласта. Породы считаются термически изотропными с реальным значением коэффициента теплопроводности. Теоретические изучения температурных полей при нагнетании в пласт воды проводились также М.А. Пудовкиным [63]. Вопросы захоронения радиоактивных отходов в геологических формациях и возникающие при этом экологические проблемы подробно рассматривались многими исследователями, среди которых можно выделить А.С. Белицкого, Е.И. Орлову [5], А.И. Рыбальченко, М.К. Пименова [65]. Исследованию гидродинамики и массопереноса загрязнителя посвящено большое число научных работ сотрудников ВНИИВодгео. Наиболее ценные результаты получены при проведении численных расчётов на ЭВМ по методу конечных разностей. 1.2. Основные физические процессы при фильтрации жидкости в глубоко залегающих пластахПостроение механики смесей осуществлено на основе физических законов сохранения массы, импульса и энергии. Вместе с истинной скоростью движения жидкости
Здесь m
– коэффициент пористости (точнее эффективной пористости
), который обуславливает фильтрацию в породе жидкости или газа и зависит от объёма пор Скорость фильтрации безынерционного движения жидких фаз определяется законом Дарси
В большинстве встречающихся (и, что важно, “рассчитываемых”) фильтрационных процессов деформация пористого скелета, сжимаемость и связанные с этим изменения температур жидкостей являются малыми. Основными эффектами, определяющими движение системы, являются неравновесное совместное движение нескольких жидких фаз, молекулярная и конвективная диффузия растворённых в фазах компонент, поглощение твёрдой фазой или сорбция компонент, массообмен между фазами и т.д. Ограничимся рассмотрением задачи для одного загрязнителя, который является радиоактивным или химически активным. Стоит отметить, что концентрации загрязнителя в скелете пористой среды и в насыщающем её несжимаемом растворе быстро выравниваются в силу большой поверхности соприкосновения. Как было показано в работе О.И. Коркешко [30], время протекания массообмена между жидкостью и скелетом оказывается порядка 0.1 с. Растворы, рассматриваемые в работе, считаются идеальными, что соответствует случаю одинакового взаимодействия молекул между собой независимо от того, одинаковы они или различны. При рассмотрении температурной задачи считается, что нагнетание теплоносителя не сопровождается никакими процессами изменения фазового состояния пластовых жидкостей; теплофизические характеристики жидкости, насыщавшей пласт до начала нагнетания, совпадают с характеристиками нагнетаемой жидкости; начальная температура пласта и окружающих его пород стационарна. Полагаем, что температуры скелета пористой среды и насыщающей её несжимаемой жидкости одинаковы, так как теплообмен (наряду с массообменом) между скелетом и жидкостью осуществляется сравнительно быстро. Это допущение выполняется вследствие большой удельной поверхности пористых сред глубоко залегающих пластов (~ Жидкость считается несжимаемой, капиллярными силами, силой тяжести, а также температурными изменениями объёмов и тепловых свойств рассматриваемой системы пренебрегаем. 1.3. Уравнение конвективной диффузии с учетом радиоактивного распада и обмена жидкости со скелетомПостановка задачи о распределении концентрации вредных примесей при закачке растворов в глубоко залегающие пористые пласты основана на законе сохранения массы входящих в состав примесей. Для загрязнителя, находящегося в скелете пласта, справедливо уравнение неразрывности
где Для загрязнителя, находящегося в жидкости, уравнение неразрывности принимает вид
где
Равновесные концентрации примеси в скелете и в жидкости связаны между собой соотношением Будем считать, что зависимость концентрации примеси в скелете от концентрации её в жидкости линейна (изотерма Генри), что является хорошим приближением при сравнительно небольших концентрациях мигранта
где Тогда последнее уравнение принимает вид
Учитывая, что для несжимаемой жидкости
Здесь введено обозначение
– эффективный коэффициент диффузии в пласте. Из (1.3.6) следует, что в уравнении, описывающем миграцию загрязнителя, необходимо учитывать конвективный перенос загрязнителя, “осложнённый” наличием пористости в скелете и протекающими массообменными процессами между загрязнителем и скелетом. Уравнение (1.3.6) позволяет определить скорость конвективного переноса примесей в пористой среде по аналогии со скоростью конвективного переноса тепла и скоростью фильтрации
Скорость конвективного переноса примеси
Соответствующие радиусы зоны загрязнения и термических возмущений определяются в пунктах 2.1 и 3.1. 1.4. Задача теплопереноса1.4.1. Математическая постановка задачи теплопереноса и её обезразмериваниеРассмотрим задачу о распространении радиоактивных примесей в пористом глубоко залегающем пласте, в который закачивается жидкость с растворёнными радиоактивными веществами. Такая задача является фундаментальной для подземного захоронения радиоактивных отходов и отходов химических производств. Одним из способов прогнозирования динамики поведения радиоактивных и химических примесей в глубокозалегающих пластах, является исследование их температурных полей. Современные приборы и методики измерения температуры позволяют проводить оперативные измерения с точностью, превосходящей тысячные доли градуса. Температурные измерения в таких условиях можно использовать для контроля продвижения радиоактивной зоны. Соответствующие температурные аномалии возникают как за счет отличия температуры закачиваемой жидкости от естественной температуры пластов, так и за счет энергии, выделяющейся при распаде радиоактивных веществ. В результате одного акта радиоактивного распада выделяется энергия ~ 1 МэВ. Согласно действующим в России Нормам радиационной безопасности и санитарным правилам высокоактивными жидкими радиоактивными отходами (РАО) признаются отходы, активность которых > 1 Ки/л. Следовательно, для высокоактивных отходов выделяемая мощность оказывается порядка ~ На рис. 1.1 представлена геометрия задачи в цилиндрической системе координат, ось z которой совпадает с осью скважины. Среда представлена тремя областями с плоскими границами раздела z = ±h . Закачка примесей в область ‑h < z < h производится из скважины радиуса r 0 ; покрывающий (кровля) и подстилающий (подошва) пласты считаются непроницаемыми; средняя область толщины 2h является пористой; все пласты считаются однородными и анизотропными по теплофизическим свойствам.
Рис. 1.1. Геометрия задачи теплопереноса Через скважину малого (по сравнению с расстоянием до точки наблюдения) радиуса В поступающей в пласт жидкости (при В окружающих средах имеет место теплопроводность и диффузия вдоль Математическая постановка задачи теплопереноса для всех областей, таким образом, включает уравнение теплопроводности с учётом радиоактивного распада в покрывающем
и подстилающем
пластах, а также уравнение конвективного переноса с учётом радиоактивного распада в пористом пласте
Сомножитель при
Условия сопряжения включают в себя равенство температур
и потоков тепла на границах раздела пластов
В уравнениях (1.4.1) – (1.4.3) учтено, что плотность радиоактивного нуклида в данной точке пространства определяется суммой плотностей в носителе и в скелете, которые связаны соотношением (1.3.4). В начальный момент времени температура пластов
Температура загрязнителя в скважине, радиус которой мы считаем малым по сравнению с расстоянием до точки наблюдения, равна
Будем в дальнейшем искать превышение температуры в пластах над естественной температурой, выраженное в единицах геотермической температуры в пористом пласте При решении задачи удобно перейти к безразмерным координатам, определяемым соотношениями
Сразу заметим, что в силу (1.3.7)
Безразмерный параметр At представляет собой отношение времени тепловой релаксации слоёв к среднему времени жизни радиоактивного нуклида. Выражение Pt является аналогом параметра Пекле, поскольку определяется аналогично последнему, но через температуропроводность настилающего, а не несущего пласта. Величина Для больших В силу большого значения аналога параметра Пекле (Рt ~ Аналогично, для настилающего и подстилающего пластов изменение радиальной составляющей температурного поля будет в значительной мере определяться конвективным переносом тепла в пористом пласте, что позволяет пренебречь для них вкладом соответствующих радиальных теплопроводностей. Таким образом, во всех уравнениях, получающихся из (1.4.1) – (1.4.3) исчезнут слагаемые, содержащие
а условия сопряжения, граничные и начальные условия принимают вид
Уравнения и равенства (1.4.10) – (1.4.17) представляют математическую постановку задачи теплопереноса. 1.3.1. Разложение задачи теплопереноса по асимптотическому параметруРассмотрим более общую задачу, получающуюся введением произвольного асимптотического параметра
Будем искать решение задачи (1.4.18) – (1.4.25), разлагая каждое
Решение исходной задачи будет получено из решения параметризованной задачи при
При этом плотность загрязнителя, входящая в (1.4.27) – (1.4.29), также будет разлагаться по параметру асимптотического разложения 1.3.2. Математическая постановка задачи теплопереноса в нулевом приближенииИз (1.4.29) для коэффициентов при
Сумму первых двух слагаемых в правой части этого уравнения, не зависящую от z
, обозначим через
Тогда
следовательно,
При z = 1, воспользовавшись (1.4.30)
при z = – 1
Вычитая и складывая два последних уравнения, получим для функций
Проинтегрировав (1.4.38), получим
здесь Подставив выражение
Окончательная постановка задачи в нулевом приближении наряду с (1.4.44) включает также уравнения для окружающих сред, начальные, граничные условия и условия сопряжения
Последнее слагаемое в правой части уравнения (1.4.44) устанавливает изменение температуры за счёт энергии, выделяющейся при радиоактивном распаде. Отметим, что температурное поле в нулевом приближении определяется не значениями плотностей радиоактивного загрязнителя в точках, а усреднёнными значениями по вертикальной координате в интервале пласта. Как будет показано ниже, усреднённое таким образом значение плотности совпадает с нулевым приближением соответствующей задачи массопереноса (см. пункт 1.5.3). Для определения в нулевом приближении поля температур в среде, как следует из (1.4.44) – (1.4.50), необходимо задание функции плотности радиоактивного загрязнителя. Постановка этой задачи осуществлена в пункте 1.5, а её решению посвящена глава II. 1.3.3. Постановка задачи теплопереноса в первом приближенииУравнения (1.4.27), (1.4.28) для коэффициентов при
Для коэффициентов при
Условия сопряжения, начальные и граничные условия
Решение Уравнения (1.4.51) – (1.4.58) определяют постановку задачи теплообмена в первом приближении. Здесь 1.5. Задача массопереноса1.5.1. Математическая постановка задачи массопереноса и её обезразмериваниеГеометрия задачи массопереноса практически ничем не отличается от температурной задачи и представлена на рис. 1.2.
Математическая постановка задачи массопереноса для всех областей включает уравнение диффузии с учётом радиоактивного распада в покрывающем
и подстилающем
пластах, а также уравнение конвективной диффузии с учётом радиоактивного распада в пористом пласте
При этом граничные условия включают в себя равенства плотностей и потоков растворённого вещества на границах раздела пластов
Плотность загрязнителя в скважине, радиус которой мы считаем малым по сравнению с расстояниями до точки наблюдения, равна
В начальный момент времени полагаем плотность загрязнителя равной нулю
Кроме того, на бесконечности выполняются условия регулярности
Перейдём к безразмерным координатам (1.4.8). При этом получим следующую постановку задачи: для покрывающего пласта
для пористого пласта
для подстилающего пласта
При этом во втором слагаемом в левой части уравнения (1.5.9) появляется отношение коэффициента диффузии к коэффициенту температуропроводности
величина которого оказывается порядка ~ Вновь, как и в задаче теплопереноса, последнее слагаемое в левой части уравнения (1.5.10) содержит сомножитель Рd который при существующих объёмах закачки имеет порядок ~ 102 , так что конвективная составляющая (вдоль координаты r ) для поля концентраций оказывается много значимей, чем диффузионная составляющая. Поэтому в уравнениях (1.5.9) – (1.5.11) пренебрежём молекулярной диффузией вдоль оси r . Вводя обозначения
выпишем окончательно интересующие нас уравнения:
Условия сопряжения, граничные и начальные условия при этом принимают вид
Уравнения (1.5.14) – (1.5.21) определяет математическую постановку задачи массопереноса. 1.5.2. Разложение задачи массопереноса по асимптотическому параметруРассмотрим более общую задачу, получающуюся введением произвольного асимптотического параметра
с условиями сопряжения, граничными и начальными условиями
Будем искать решение задачи (1.5.22) – (1.5.29), разлагая значение плотности
Решение исходной задачи получается из решения параметризованной задачи при
Анализ постановки задачи показывает, что условия сопряжения (1.5.34) позволяют связать между собой решения разных приближений в пласте проводимости, “подошве” и “кровле”. Это и определяет возможность “расцепления” получающихся уравнений, содержащих коэффициенты разложения соседних порядков. 1.5.3. Математическая постановка задачи массопереноса в нулевом приближенииПриравнивая коэффициенты при сомножителях
а, следовательно, после интегрирования
Таким образом, в нулевом приближении плотность загрязнителя является функцией только от r
и t
.
Далее, из условий сопряжения (1.5.34) получаем Приравнивая к нулю коэффициенты при
Левую часть этого уравнения, в силу вышеизложенного не зависящую от z
, обозначим через
тогда
Интегрируя это уравнение по z , получим
Повторное интегрирование позволяет представить первый коэффициент разложения в виде квадратного трехчлена относительно z , коэффициенты которого являются функциями от радиальной переменной и времени, но не зависят от z
Задача сводится к поиску функций Подставляя выражения (1.5.44) при z = 1
и при z = –1
в условия сопряжения (1.5.34) для
С учетом (1.5.48) выражение (1.5.42) принимает вид
(1.5.50) представляет искомое уравнение для определения нулевого приближения плотности примесей в пласте. Окончательная постановка задачи в нулевом приближении включает также уравнения в покрывающих и подстилающих породах
При этом условия сопряжения, начальные и граничные условия
Выражения (1.5.51) – (1.5.57) представляют смешанную краевую задачу в нулевом приближении. Отметим, что в отличие от исходной задачи, которая представляет задачу сопряжения для уравнений параболического типа, она является смешанной, так как уравнение для пористого пласта не является параболическим. Кроме того, это уравнение содержит следы производных из внешних областей. 1.5.4. Математическая постановка задачи массообмена в первом приближенииУравнения (1.5.31), (1.5.32) для коэффициентов первого приближения принимают вид
Коэффициенты при
Начальные, граничные условия и условия сопряжения
Причем, решение
где оператор
введён для более компактной записи получающихся соотношений и удобства преобразований. Отметим, что из (1.5.42) следует
Учитывая (1.5.45), (1.5.65), а также линейность оператора
Проинтегрировав последнее выражение по вертикальной координате z ,получим выражение производной для второго коэффициента разложения в виде кубического многочлена по вертикальной координате z
используя которое определим выражения для следов производных на границах сопряжения (1.5.63) через вспомогательные функции, не зависящие от вертикальной координаты z
Умножая левую и правую части (1.5.71) на
Уравнение для определения первого коэффициента разложения получается путем подстановки (1.5.68), (1.5.72), (1.5.48), (1.5.49) в (1.5.60)
В задачу для определения первого коэффициента разложения входят также уравнения для окружающей среды
Начальные условия, условия сопряжения и граничные условия
Уравнения (1.5.73) – (1.5.79) представляют собой математическую постановку задачи массопереноса для коэффициентов первого приближения. Как будет показано в процессе решения задачи для первого приближения, условие (1.5.79) является избыточным, и должно быть заменено среднеинтегральным условием, которое получено в следующем пункте. Такая замена возможна благодаря следующим соображениям. Решение в нулевом приближении, как показано в пункте 1.5.5 описывает средние значения и справедливо для больших и малых времён. Первое приближение является поправкой к нулевому. Эта поправка может быть изменена путём использования видоизменённых граничных условий. Область высокой точности расчётов при этом меняется. Однако, для определения «области высокой точности» необходимо решение задачи для остаточного члена, на основании которого и делается заключение о точности первого приближения. 1.5.5. Дополнительное интегральное условие для первого приближенияУсредним равенство (1.5.15) по z в пределах несущего пласта согласно
Последовательно для каждого слагаемого
Окончательно, после усреднения, получим следующую постановку задачи осреднённого по несущему пласту поля плотностей загрязнителя
Условия сопряжения, начальные и граничные условия при этом принимают вид
Полученная задача совпадает с задачей (1.5.51) – (1.5.57) для нулевого приближения плотности загрязнителя. В силу единственности решения следует, что Аналогичное соотношение получается при усреднении параметризованной задачи (1.5.22) – (1.5.29). Покажем это. Усреднение производных по времени и радиальной координате совпадает с предыдущим
Производная по вертикальной координате z
содержит дополнительный множитель
Окончательно после усреднения параметризованной задачи получим следующую постановку задачи
которая полностью совпадает с предыдущей и с задачей для нулевого приближения поля плотностей загрязнителя. Совпадение усредненных значений исходной и параметризованной задачи существенно выделяет используемую в данной работе параметризацию от произвольной, которая почти всегда приводит к зависимости усредненных значений от параметра асимптотического разложения. Совпадение задач для усредненных значений параметризованной и для нулевого приближения, как и выше, в силу единственности решения позволяет утверждать, что
Отсюда с учетом
Установление равенства нулевого приближения и средних значений исходной и параметризованной задачи При решении задачи массопереноса в первом приближении (1.5.73) – (1.5.79), возникает необходимость использования дополнительного интегрального условия (1.5.101), поскольку условие (1.5.79) является избыточным и должно быть заменено (1.5.101). Если потребовать выполнения этого интегрального условия при любых значениях r , то оно также оказывается избыточным. Для построения аналитического решения достаточно заданий интегрального условия на одной поверхности для заданного значения r . Ранее показано, что наилучшим первое приближение является в случае, когда поверхность осреднения совпадает с поверхностью, на которой заданы граничные условия. 1.6. ВыводыВ главе I на основе уравнения конвективной диффузии для несжимаемой жидкости с учетом радиоактивного распада и обмена загрязнителя со скелетом, осуществлена постановка термодиффузионной задачи о взаимосвязанных полях концентрации и температуры в глубокозалегающих горизонтах, возникающих при закачке в пористый пласт растворенных радиоактивных веществ. С использованием параметра асимптотического разложения температурная и диффузионная задачи представлены в виде бесконечной последовательности краевых задач для коэффициентов разложения искомого решения в асимптотический ряд. Произведено «расцепление» соответствующей цепочки уравнений и на этой основе осуществлена постановка краевых задач смешанного типа со следами производных из внешних областей для нулевого и первого коэффициентов разложения. При построении решения задачи для первого коэффициента использовано нелокальное граничное условие, заключающееся в том, что средние значения температуры и плотности примесей по толщине пласта на оси скважины равны нулю. Глава
II. РЕШЕНИЕ ЗАДАЧИ МАССОПЕРЕНОСА В НУЛЕВОМ 2.1. Решение задачи массопереноса в нулевом приближенииВ пространстве изображений Лапласа – Карсона
для нулевого приближения вместо (1.5.51) – (1.5.57) получим следующую задачу:
Решение уравнения (2.1.1) имеет вид
Учитывая второе из граничных условий (2.1.5), получим
Аналогично, для подстилающего пласта в пространстве изображений из (2.1.3) и (2.1.5) получим
Учитывая граничные условия (2.1.4), а также то, что в нулевом приближении плотность загрязнителя в пористом пласте не зависит от z и является функцией только от r и t , эти решения можно переписать в виде
Эти выражения позволяют определить значения следов производных из внешних областей, входящих в уравнение для пласта, через плотность примеси в нем
Подставляя найденные значения производных (2.1.11), (2.1.12) в уравнение (2.1.2), соответствующее (1.5.52) в пространстве изображений, получим
Группируя слагаемые и учитывая, что в последнем уравнении производная берётся только по одной переменной, перепишем (2.1.2) в виде
Решение уравнения (2.1.15)
Граничное условие (2.1.6) позволяет получить значение постоянной интегрирования
Введём обозначение для выражения, стоящего в квадратных скобках
при этом
С учетом (2.1.11) и (2.1.12) полное решение задачи в пространстве изображений представляется как
Для удобства перехода в пространство оригиналов, полученные решения с учётом (2.1.18) представим в форме
Переход в пространство оригиналов осуществим, используя формулы обратного преобразования Лапласа – Карсона [23]:
где
В нашем случае, совершив обратное преобразование Лапласа – Карсона, и перейдя в пространство оригиналов, решение задачи в нулевом приближении представим в виде
соответственно для пористого, настилающего и подстилающего пластов. Первый сомножитель в решении (2.1.28) – (2.1.30) описывает уменьшение плотности загрязнителя в результате радиоактивного распада, второй – функция Хевисайда, определяет радиус распространения зоны заражения и третий (выражение в фигурных скобках) учитывает изменение плотности из-за диффузии загрязнителя и радиоактивного распада продиффузирующего нуклида. Рассмотрим упрощённую модель в которой не учитывается радиоактивный распад в накрывающем и подстилающем пластах. В этом случае в правых частях уравнений (1.5.51), (1.5.53) будет стоять нуль, граничные условия и условия сопряжения не изменятся. Аналогично, в пространстве изображений равны нулю правые части (2.1.1) и (2.1.3). Математическая постановка соответствующей задачи в пространстве изображений
Ход решения идентичен решению задачи с учётом распада в «кровле» и «подошве». Учитывая граничные условия (2.1.34) и то, что в нулевом приближении плотность загрязнителя в пористом пласте не зависит от z и является функцией только от r и t , решения уравнений (2.2.31), (2.1.33) можно записать в виде
Тогда для следов производных, входящих в (2.1.32)
Подставляя найденные значения производных в уравнение (2.1.32), получим
Решение уравнения (2.1.41) с учётом граничного условия (2.1.36) имеет вид
Введём обозначение
Тогда полное решение задачи в пространстве изображений
Для удобства перехода в пространство оригиналов, решения с учётом (2.1.43) запишем в виде
Перейдем в пространство оригиналов, используя формулы обратного преобразования Лапласа – Карсона [23]
В нашем случае имеем
Совершив обратное преобразование Лапласа – Карсона, и перейдя в пространство оригиналов, решение задачи в нулевом приближении представим в виде
Учтём, что наиболее важные физические результаты обусловливаются нулевым приближением асимптотического разложения, первый и последующий коэффициенты определяют «поправки». Кроме того, в силу малости коэффициента диффузии ( На рис. 2.1 показана зависимость разности между плотностями загрязнителя в пористом пласте без учёта и с учетом радиоактивного распада в водоупорных пластах от координаты r
. График 1
соответствует периоду полураспада Т
1/2
=100 лет, 2
– 10 лет, 3
– 1 год. Вычисления проведены для времени
Из рис. 2.2 следует, что возникающая при замене (2.1.28) на (2.1.52) относительная разность
На рис. 2.3 видно, что и сами абсолютные значения плотностей короткоживущих загрязнителей для указанного момента времени на границе зоны загрязнения практически обращаются в ноль. При увеличении периода полураспада нуклида до ~ 30 лет абсолютное значение плотности его на границе зоны загрязнения остаётся весьма значительным (рис. 2.3), но относительная разность между результатами (2.1.28) и (2.1.52) составляет несколько процентов (рис. 2.2). Уменьшение при расчётах коэффициента δ на порядок (
Всё это позволяет для практических расчётов пренебречь радиоактивным распадом в водоупорных пластах, что существенно упрощает расчётные формулы. Поэтому в дальнейшем мы и в массо- и в теплообменной задаче будем игнорировать этот распад. Поскольку вклад радиоактивного распада описывается сомножителем Полученное решение содержит функцию Хевисайда, которая позволяет указать, что плотность радиоактивных изотопов обращается в ноль при r
≥
При Аt = 0 из (2.1.52) – (2.1.54) следуют решения без учета радиоактивного распада
Пренебрежение влиянием массообмена с окружающей средой на плотность примесей в пласте в (2.1.52) – (2.1.54), позволяет получить приближение, которое можно с высокой точностью использовать для расчета тепловых полей в подземных горизонтах
Устремляя δ → 0 в (2.1.59) – (2.1.61), получим так называемое «бездиффузионное приближение»
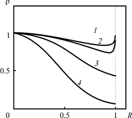
границы применимости которого обсуждается в 2.3. 2.2. Анализ результатов расчетов в нулевом приближенииНа рис.2.4 показаны расчёты зависимости в нулевом приближении плотности радиоактивного загрязнителя от расстояния до оси скважины. С увеличением времени возрастает радиус зоны загрязнения.
На рис. 2.5 приведены результаты расчётов плотности радиоактивных примесей в нулевом приближении в зависимости от безразмерной пространственной координаты, отнесённой к радиусу зоны загрязнения (
Несмотря на то, что обычно вклад диффузионных процессов очень мал, в рассматриваемом случае происходят значительные изменения концентрации на фронте зоны возмущений (кривая 1
на обоих рисунках). Главными причинами этого эффекта являются повышенные градиенты концентрации между пластом и окружающими породами и большие времена закачки, которая осуществляется обычно десятки лет. При постоянных распада At >0.01 становится существенным вклад радиоактивного распада. При At > 0.1 процесс радиоактивного распада является преобладающим и практически полностью определяет распределение концентрации радиоактивных примесей. Отметим, что при больших временах в пласте устанавливается стационарное поле, определяемое соотношением Графики, представленные на рис. 2.6 аналогичны предыдущим (рис. 2.5). однако вклад диффузионных процессов в данном случае становится меньшим в силу уменьшения d. При этом общие тенденции остаются прежними.
На рис 2.7 представлена зависимость вклада диффузионного массообмена с окружающей средой от расстояния до оси скважины, отнесенного к радиусу зоны загрязнения R d . Из рисунка следует, что влияние диффузионного массообмена для больших времён (~10 лет) вблизи фронта загрязнения является весьма существенным. В расчетах приято Pd = 100, δ = 10-3 , At = 0. Последнее соответствует пренебрежению радиоактивным распадом.
На рис 2.8 приведена зависимость плотности радиоактивного загрязнителя в нулевом приближении от расстояния до оси скважины, отнесенного к радиусу зоны загрязнения R d для различных времён закачки и постоянных распада. Причём, значения t и At выбраны таким образом, что t ∙At=1. При этом графики плотностей оказываются весьма близкими друг к другу. Различие между ними определяется лишь наличием диффузионных процессов. Это подчёркивает физическую разумность выбранной системы обезразмеривания.
Если строить зависимость 2.3. Бездиффузионное приближение в задаче массообменаВ силу того, что отношение коэффициентов диффузии ( Преимущество такого подхода в значительном упрощении процедуры построения решения тепломассообменной задачи. Однако, при использовании бездиффузионного приближения необходимо разрешение вопросов, связанных с оценкой его применимости. Рассматривая найденное нами выражение для
Из (2.2.1), учитывая, что
Далее, вычислив производную
и подставляя (2.3.2) и (2.3.3) в (2.3.1), окончательно получим
В случае бездиффузионного приближения в уравнении (1.5.41) сразу пренебрегаем диффузионной составляющей, и оно принимает вид
или, проведя преобразование Лапласа – Карсона, в пространстве изображений
Решение этого уравнения (в пространстве оригиналов)
что совпадает с нулевым приближением (по Относительная погрешность, возникающая при пренебрежении вторым слагаемым в квадратных скобках в выражении (2.3.4), и определяет погрешность бездиффузионного приближения
Анализ рис.2.9, на котором показана зависимость относительной погрешности бездиффузионного приближения от расстояния до оси скважины, отнесенного к радиусу зоны загрязнения, показывает, что за время
Если при расчётах полагать, что Расстояние от скважины, на котором можно пользоваться бездиффузионным приближением, естественно назвать «радиусом бездиффузионного приближения». Аналогично можно ввести понятие «время бездиффузионного приближения». На рис. 2.10 приведены результаты расчётов плотности
Кривые, приведённые на рис. 2.11 рассчитаны для значения безразмерного времени t
= 10.При отсутствии диффузии уменьшение концентрации загрязнителя происходит только в результате радиоактивного распада. Поэтому в случае Аt = 0 плотность
2.4. Решение задачи массообмена в первом приближенииВыпишем ещё раз полученную в разделе 1.5.4 математическую постановку задачи массообмена для коэффициентов первого приближения, пренебрегая радиоактивным распадом в водоупорных пластах
начальные условия, условия сопряжения и граничные условия
Напомним, что решение
где
Определение
где введён оператор
Перейдём далее к пространству изображений (преобразование Лапласа – Карсона). При этом оператор
Выражение (2.4.11) в пространстве изображений
Имеет смысл сначала найти в пространстве изображений выражения
Далее
Выражение (1.10.7), в пространстве изображений представляется как
Решения уравнений (2.4.2) и (2.4.3) почти ничем не отличаются от решений соответствующих уравнений в нулевом приближении, поэтому в пространстве изображений справедливы соотношения
Заметим, что в первом приближении Из (2.4.19) получим для первого коэффициента разложения
Подставляя в (2.4.14) выражения (2.4.15) – (2.4.18) и (2.4.20) – (2.4.22), после упрощений получим
Общее решение соответствующего однородного уравнения имеет вид
Подставляя найденное значение в (2.4.23) и считая, что
решение которого
Из (2.4.24) и (2.4.26) выражение для
Для нахождения
Здесь
Тогда в пространстве изображений получим
или, с учётом (2.4.15)
Сравнивая с (2.4.27), определим
окончательно для
Наконец, подставив (2.4.15), (2.4.16) и (2.4.33) в (2.4.19) получим выражение для первого коэффициента в пространстве изображений
Скомпонуем последнее выражение удобным образом (учитывая необходимость перехода в пространство оригиналов)
Раскрывая
В нашем случае
Наконец, справедливо следующее соотношение
Воспользовавшись (2.3.36) – (2.3.39), из (2.3.35) получим выражение для первого коэффициента разложения в форме
При этом в первом приближении плотность загрязнителя представится как
где Оценим теперь вклад второго слагаемого в фигурных скобках выражения (2.4.40) по сравнению с первым. Полагая коэффициенты диффузии надстилающего и подстилающего пластов равными, для отношения этих слагаемых получим
Анализ рис. 2.12 позволяет сделать вывод о возможности пренебрежения вторым слагаемым в фигурных скобках (2.4.40) по сравнению с первым для всех практически значимых времён на расстояниях до 0.95R
d
. Графики на рис. 2.12 построены для z
= 0, но аналогичные результаты получаются и при других z
, за исключением точек
Однако из рис. 2.13 видно, что и в этом случае (в силу абсолютной малости соответствующего слагаемого) им можно пренебречь для расстояний меньших 0.98R
d
. поэтому в дальнейшем при рассмотрении первого коэффициента асимптотического разложения
Выражение (2.4.43) с высокой степенью точности определяет первый коэффициент модифицированного асимптотического разложения плотности радиоактивного загрязнителя. 2.5. Анализ результатов расчетов в первом приближенииНа рис. 2.14 и 2.15 представлены графики зависимости первого коэффициента разложения
Сравнивая графики, представленные на рис. 2.15 и 2.16, приходим к выводу, что с увеличением времени, прошедшего с момента закачки, вклад
Об этом же говорит и анализ рис. 2.17, на котором приведена зависимость первого коэффициента плотности радиоактивного загрязнителя от времени закачки на различных расстояниях от оси скважины. Причём, на бóльших расстояниях от оси уменьшение
Однако из рис. 2.18 следует, что для нерадиоактивных примесей
На рис. 2.19 представлена зависимость
Анализ рис. 2.20, определяющего зависимость
Этот вывод подтверждается и анализом рис. 2.21, на котором представлена зависимость
На рис. 2.22 представлена картина зависимости
Рисунок 2.23 показывает зависимость Из рис. 2.24 следует, что при малых постоянных распада различие между первым и нулевым приближениями остаётся практически постоянным, в то время, как при больших Atуменьшение плотности загрязнителя за счёт распада становится преобладающим и разница между нулевым и первым приближениями уменьшается.
Анализ рис. 2.25 показывает, что с увеличением времени кривые, отвечающие плотности загрязнителя в различных горизонтальных плоскостях, приближаются друг к другу, что вызвано, прежде всего, уменьшением На рис. 2.26 представлена зависимость плотности загрязнителя при отсутствии радиоактивного распада от времени. При этом уменьшение
При наличии радиоактивного загрязнителя картина в большей степени определяется процессами радиоактивного распада, что хорошо видно на рис. 2.27. Особенно существенна разница в масштабе оси времени между 2.26 и 2.27, что вызвано большим временем «диффузионной релаксации» в сравнении со средним временем жизни нуклида. Из рис. 2.28, 2.29 следует, что увеличение времени закачки приводит к «сглаживанию» плотности загрязнителя в первом приближении на границе зоны загрязнения, что позволяет в этом приближении получать хорошие результаты для всех постоянных распада и на всех расстояниях.
Как видно из рис. 2.30 и 2.31, увеличение времени закачки уменьшает вертикальную составляющую градиента плотности радиоактивного загрязнителя в первом приближении.
Существенное влияние на распределение загрязнения вдоль вертикальной оси оказывает δ – увеличение коэффициента диффузии несущего пласта (или уменьшение его коэффициента температуропроводности) приводят к более значительному изменению плотности загрязнителя по высоте пласта.
Различия в физических свойствах «кровли» и «подошвы» приводит к смещению максимума графика Итак, на основе асимптотического метода создана методика расчетов концентрации примесей радиоактивных и химически активных веществ при их захоронении в подземных горизонтах. 2.6. Стационарное решение задачи массопереноса в нулевом и первом приближенииОтметим, что чрезвычайно важным является нахождение стационарного решения, позволяющего установить максимальные размеры зоны загрязнения. Положим в уравнениях (1.5.14) – (1.5.16), описывающих распространение загрязнителя в пластах, первое слагаемое
Поделив левые и правые части всех уравнений на
Будем искать решение задачи (2.6.4) – (2.6.10) в виде асимптотического ряда по параметру
Подставив выражения (2.6.11) в (2.6.4) – (2.6.10) и сгруппировав слагаемые по степеням параметра разложения
Приравнивая коэффициенты при
Левую часть этого уравнения, не зависящую от z
, обозначим через
Тогда
Здесь Из условий сопряжения (2.6.15) при сомножителе
Тогда уравнение (2.6.20) примет вид
Для нулевого приближения из (2.6.12) и (2.6.13) с учётом условий сопряжения (2.6.16)
Продифференцировав последние выражения и подставив результат в (2.4.25), получим
Решение этого уравнения представим как
где
Полученные уравнения (2.6.26), (2.6.28) и определяют решение стационарной задачи в нулевом приближении. Найдём теперь коэффициенты при
Условия сопряжения представляются как
причем, решение
где оператор
Интегрируя последнее выражение и используя условия сопряжения (2.6.34), перейдём к уравнению
Решения уравнений для первых коэффициентов асимптотического разложения для настилающего и подстилающего пластов почти не отличаются от решений соответствующих уравнений в нулевом приближении, поэтому справедливы соотношения
Воспользовавшись (2.6.23), (2.6.26) и (2.6.28), получим
Уравнение (2.6.37) с учетом (2.6.38) – (2.6.42), запишется как
Решение этого уравнения
Для нахождения постоянной интегрирования С необходимо воспользоваться граничным условием (2.6.17) для коэффициента при
в параметризованную задачу, получим
с граничными условиями и условиями сопряжения
Усредним задачу по толщине пласта. При усреднении второй производной по вертикальной координате воспользуемся условиями сопряжения (2.6.49)
Окончательно постановка усредненной задачи для остаточного члена с учетом (2.6.54) представится как
с граничными условиями и условиями сопряжения
Усредненная задача для остаточного члена (2.6.55) – (2.6.61) имеет тривиальное решение тогда и только тогда, когда
и
то есть, когда в усредненной задаче для остаточного члена отсутствует источник и средние значения нулевого коэффициента разложения на поверхности задания граничных условий обращается в нуль. В справедливости последнего уравнения легко убедиться, усреднив (2.6.35) с учетом условий сопряжения (2.6.34). Следовательно, если заменить граничное условие для
то рассматриваемый метод решения обеспечивает возможность обращения в нуль решения усреднённой задачи для остаточного члена асимптотического разложения. Это, естественно, повышает ценность решения для практических приложений. В силу этого целесообразно в асимптотических решениях выделить соответствующий класс решений. Асимптотическое приближение параметризованной задачи, полученной из (2.6.4) – (2.6.10), построенное при условии, что решение усредненной задачи для остаточного члена является тривиальным, назовем точным в среднем асимптотическим решением. Для точного в среднем решения из дополнительного граничного условия (2.6.64) и выражения для первого коэффициента разложения (2.6.22) получим
Откуда
Подставляя полученное таким образом выражение
В первом приближении решение стационарной задачи имеет вид
где 2.7. Анализ результатов расчёта стационарной задачиНа рис.2.34 представлены графики зависимости стационарного распределения примесей в нулевом приближении от расстояния до оси скважины. Нулевое приближение в данном случае является наиболее значимым, оно определяет общий вид зависимости
На рис 2.35 отражена картина распределения поля радиоактивного загрязнителя в стационарном случае вдоль вертикальной координаты (нулевое приближение). «Срезы» приведены для расстояний 0, 100h и 200h от оси скважины. Видно, что для среднеживущих нуклидов (Т 1/2 ~ 30 лет) в настилающем и подстилающем пластах плотности загрязнителя быстро спадают, и уже на расстояниях 0,5h становятся ничтожно малыми.
В общем случае, увеличение параметра Pd приводит к «вытянутости» графика вдоль радиального направления, уменьшение At (что соответствует увеличению среднего времени жизни нуклида) – к «расширению» графика вдоль осей r и z . При этом поле загрязнителя остаётся ограниченным в пространстве. 2.8. Сравнение результатов аналитического решенияс численными и с экспериментомНа рис. 2.36 приведены результаты, полученные с помощью модифицированного метода асимптотического разложения и результаты решения задачи массопереноса методом сеток. При этом численным методом решалась задача (1.5.14) – (1.5.21), т.е. также в пренебрежении радиальной диффузией. Разностные схемы задачи:
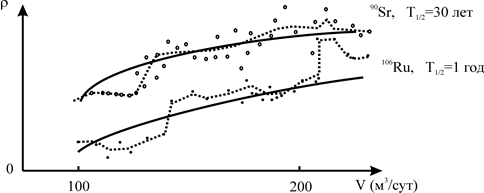
Сравнения кривых, приведённых на рис. 2.36 позволяет сделать вывод о хорошем соответствии результатов, полученных численными методами и аналитическими вычислениями. На рис. 2.37 приведено сравнение теоретических результатов (сплошные линии) и экспериментальных данных (из кн. Рыбальченко А.И. и др. [64] Глубинное захоронение жидких радиоактивных отходов. – М.: ИздАТ, 1994; пунктирные линии).
Рис. 2.37. Сопоставление зависимости плотности радиоактивных нуклидов от интенсивности закачки на расстоянии 200 м до оси скважины для момента времени t = 5 лет. V – интенсивность закачки Сравнение экспериментальных и теоретических кривых позволяет сделать вывод о неплохом качественном совпадении имеющихся результатов. 2.9. ВыводыВо второй главе нами найдены решения задачи массопереноса в нулевом и первом приближениях.Анализ результатов расчётов пространственно-временных зависимостей полей концентраций вредных примесей и температур в глубоко залегающих пластах позволяет установить следующее: нулевое приближение может быть успешно использовано для расчёта средних значений концентраций вредных веществ и температуры в проницаемых пластах и с достаточной точностью описывает поля концентраций и температур в окружающих породах и зону возмущений концентрации и температуры в среде; первое приближение удовлетворительно описывает поля концентраций как в пласте, так и в окружающих породах и позволяет устранить главный недостаток нулевого приближения, то есть учесть зависимость от Построенные решения для полей концентрации загрязнителя в нулевом и первом приближениях свидетельствуют о наличии погранслоев на малых расстояниях от оси скважины и малых времен, откуда возникает задача построения соответствующих погранслойных функций. Решение стационарной задачи позволило установить соотношения для предельных размеров зоны заражения. Введённое среднеинтегральное граничное условие для первого коэффициента разложения позволило получить точное в среднем асимптотическое решение задачи, для которого в пористом пласте значение остаточного члена усреднённой задачи равно нулю. На основании расчетов показано, что в большинстве практических случаев влиянием радиоактивного распада в окружающих пластах на плотность радиоактивных примесей в пласте и инициируемым этим распадом тепловым эффектом можно пренебречь. В то же время вклад диффузионных процессов обмена с окружающими пластами является преобладающим на диффузионном фронте, что объясняется большими градиентами концентрации и значительными временами закачки. Показано, что для относительно малых времен при практических расчетах с высокой точностью может быть использовано так называемое «бездиффузионное» приближение, при построении которого вклад конвекции предполагается преобладающим. Произведена оценка погрешности бездиффузионного приближения, позволяющего значительно упростить выполняемые расчёты. Сопоставление теории и эксперимента позволило подтвердить удовлетворительную точность при применении расчётных формул, полученных по методу пространственного усреднения на основе формального параметра, для практических расчётов. Построено стационарное решение для массопереносной задачи, позволяющее установить предельные размеры зоны заражения при закачке радиоактивных отходов в глубокозалегающие горизонты. Полученные выражения позволяют приступить к решению приоритетной для нас задачи теплопереноса, что и сделано в главе III. Глава III . РЕШЕНИЕ ЗАДАЧИ ТЕПЛОПЕРЕНОСА В НУЛЕВОМ И ПЕРВОМ ПРИБЛИЖЕНИЯХ3.1. Нулевое приближениеПостановка задачи теплопереноса для нулевого приближения представлена в разделе 1.4 в виде (1.4.44) – (1.4.50). Учитывая, обоснованную в 2.1 возможность пренебрежения радиоактивным распадом в «кровле» и «подошве», в пространстве преобразований Лапласа – Карсона по времени t задача представляется как
условия сопряжения, граничные и начальные условия
Последнее слагаемое в правой части уравнения (3.1.1) содержит сомножитель, определяемый плотностью радиоактивного загрязнителя, нахождение которой описано в главе II. В разделе 1.5.5 показано, что интеграл
Решение уравнения (3.1.2), с учётом граничных условий (3.1.6):
Аналогично, для подстилающего пласта в пространстве изображений
Учитывая условия сопряжения (3.1.4), эти решения можно переписать в виде
С помощью (3.1.10) и (3.1.11) выразим значения следов производных из внешних областей через температуру пласта в нулевом приближении
Подставляя найденные значения производных (3.1.12) в уравнение (3.1.7), получим обыкновенное дифференциальное уравнение для определения температурного поля в пласте в нулевом приближении
Введём обозначение для выражения, стоящего в квадратных скобках
тогда
Решение однородного уравнения, соответствующего (3.1.15) имеет вид
Методом вариации произвольной постоянной определим
Для нахождения постоянной
Выражение для
а решение задачи в пласте в пространстве изображений представляется в форме
С учётом (3.1.10), (3.1.11) температурное поле в окружающей среде описывается выражениями ( в пространстве изображений)
Для удобства перехода в пространство оригиналов перепишем (3.1.20) – (3.1.22) в виде
Перейдем в пространство оригиналов, используя формулы обратного преобразования Лапласа – Карсона [23]
где
В нашем случае имеем
Для случая стационарного поля примесей
При этом радиус зоны термического влияния закачиваемой жидкости
Для случая, когда плотность источников загрязнения нестационарна, наряду с указанными выше соотношениями необходимо использовать следующие:
поскольку подынтегральное выражение в этом случае может быть представлено в виде
Осуществив переход в пространство оригиналов в (3.1.37), получим
Для пласта
для кровли (3.1.40) и подошвы (3.1.41)
При пренебрежении радиоактивным распадом At = 0, полученные решения совпадают с известными для температурного поля при закачке холодной или горячей воды в пласт [30]
Если пренебречь влиянием теплообмена с окружающей средой на температуру в пласте, то вместо (3.1.42) – (3.1.44) получим квазиадиабатическое приближение
Для малых времен применимо адиабатическое приближение
3.2. Переход в пространство оригиналов для нулевого представления плотности загрязнителяВ данном пункте осуществлён переход в пространство оригиналов для случая , когда выражение для плотности в (3.1.23) – (3.1.25) представлено зависимостью (2.1.47)
Воспользовавшись приведенными выше соотношениями (3.1.26) – (3.1.28), получим следующие выражения для температурного поля в нулевом приближении:
Таким образом, нами получены выражения (3.2.4) – (3.2.6), определяющие в нулевом приближении температурное поле в пористом пласте и окружающих его породах. 3.3. Анализ результатов расчетов по нулевому приближениюНа рис.3.1 показаны расчёты зависимости в нулевом приближении температуры в несущем пласте от времени для безразмерного расстояния r =20 (что соответствует размерному расстоянию ~ 200 м) от оси скважины. Период полураспада изотопа полагается ~ 30 лет. При расчётах считается, что объёмы закачки составляют ~ 100 м3 /сут. Графики построены для загрязнителя с различной активностью: 1 ~ 0.1 Ки/л, 2 ~ 0.05 Ки/л, 3 ~ 0.01 Ки/л, 4 ~ 0 Ки/л. С увеличением времени температура возрастает. Величина температуры в данной точке в каждый фиксированный момент времени тем выше, чем больше активность препарата, причём для высокоактивных загрязнителей рост температуры в основном определяется энергией, выделяющейся при радиоактивном распаде.
На рис.3.2 показаны расчёты зависимости в нулевом приближении температуры в несущем пласте от расстояния до оси скважины для момента времени t = 0.3, что соответствует размерному времени ~ 1 года. Период полураспада Т 1/2 = 30 лет. Из анализа кривых следует, что при различных значениях активности загрязнителя 1 ~ 0.5 Ки/л, 2 ~ 0.3 Ки/л, 3 ~ 0.1 Ки/л на некотором расстоянии от скважины наблюдается значительный рост температуры пласта по сравнению температурой, определяемой теплофизическими свойствами закачиваемой жидкости без загрязнителя – 4 . Причём этот рост тем более значим, чем больше активность нуклида.
На рис. 3.3 показаны расчёты зависимости в нулевом приближении температуры от вертикальной координаты для безразмерного времени t = 10, что соответствует размерному времени ~ 30 лет. Период полураспада Т 1/2 = 30 лет. Графики построены для загрязнителя, активность которого ~ 0.1 Ки/л на различных расстояниях от оси скважины 1 – 0 , 2 – h , 3 – 5h , 4 – 10h , 5 – 20h , 6 – 30h , 7 – 40h . Максимальное значение температуры достигается примерно на расстоянии 10h от оси скважины. Для выбранного временного промежутка возмущение температурного поля в вертикальном направлении на расстоянии большем 10h являются несущественными.
3.4. Решение задачи теплообмена в пространстве изображений
|
|||||||||||||||||||||||||||||||||||||||||||||||||||||||||||||||||||||||||||||||||||||||||||||||||||||||||||||||||||||||||||||||||||||||||||||||||||||||||||||||||||||||||||||||||||||||||||||||||||||||||||||||||||||||||||||||||||||||||||||||||||||||||||||||||||||||||||||||||||||||||||||||||||||||||||||||||||||||||||||||||||||||||||||||||||||||||||||||||||||||||||||||||||||||||||||||||||||||||||||||||||||||||||||||||||||||||||||||||||||||||||||||||||||||||||||||||||||||||||||||||||||||||||||||||||||||||||||||||||||||||||||||||||||||||||||||||||||||||||||||||||||||||||||||||||||||||||||||||||||||||||||||||||||||||||||||||||||||||||||||||||||||||||||||||||||||||||||||||||||||||||||||||||||||||||||||||||||||||||||||||||||||||||||||||||||||||||||||||||||||||||||||||||||||||||||||||||||||||||||||||||||||||||||||||||||||||||||||||||||||||||||||||||||||||||||||||||||||||||||||||||||||||||||||||||||||||||||||||||||||||||||||||||||||||||||||||||||||||||||||||||||||||||||||||||||||||||||||||||||||
, |
(3.4.1) |
, |
(3.4.2) |
. |
(3.4.3) |
Граничные условия и условия сопряжения
, , |
(3.4.4) |
| (3.4.5) | |
| (3.4.6) | |
| (3.4.7) | |
| (3.4.8) |
Решение
отыскивается в виде квадратного многочлена относительно z
, |
(3.4.9) |
причём
, |
(3.4.10) |
, |
(3.4.11) |
а значение
нам ещё предстоит найти.
Система (3.4.1) – (3.4.8) и определяет постановку задачи теплообмена в первом приближении. Здесь
также зависит от плотности загрязнителя, что определяется выражениями для
,
.
Для нахождения
перепишем (3.4.3) в виде
, |
(3.4.12) |
где введён оператор
. |
(3.4.13) |
Учитывая (3.4.9) и (3.4.12), а также линейность оператора
, получим
![]() |
(3.4.14) |
Проинтегрируем последнее выражение
![]() |
(3.4.15) |
Как видно из (3.4.15), в первом приближении задача теплопереноса в общем случае уже зависит от первого приближения плотности радиоактивного загрязнителя. В силу громоздкости получающихся выражений ограничимся решением этой задачи в общем случае в пространстве изображений (преобразование Лапласа – Карсона).
Перейдём сразу в пространство изображений, воспользовавшись преобразованием Лапласа – Карсона. При этом последнее уравнение принимает вид
![]() |
(3.4.16) |
Причём оператор
в пространстве изображений представится как
, |
(3.4.17) |
а
определяется выражением (2.1.47).
Учитывая условия сопряжения (3.4.4), остающиеся справедливыми и в пространстве изображений, получим из (3.4.16)
![]() |
(3.4.18) |
и
![]() |
(3.4.19) |
Умножая (3.4.18) на
и вычитая (3.4.19), получим
![]() |
(3.4.20) |
Выразим из (3.4.20) ![]()
![]() |
(3.4.21) |
В пространстве изображений (3.4.9) принимает вид
![]() |
(3.4.22) |
где
![]() |
(3.4.23) |
![]() |
(3.4.24) |
Решения уравнений
, |
(3.4.25) |
, |
(3.4.26) |
соответствующих (3.4.1), (3.4.2) в пространстве изображений, с учётом условий регулярности и сопряжения, принимают вид
| (3.4.27) | |
| (3.4.28) |
При этом следы производных из внешних областей представятся как
, , |
(3.4.29) |
что позволяет переписать (3.4.21) в виде
![]() |
(3.4.30) |
Из (3.3.9) в пространстве изображений определены граничные значения первого коэффициента
![]() |
(3.4.31) |
![]() |
(3.4.32) |
Подстановка (3.4.31), (3.4.32) в (3.4.30) даёт уравнение для определения
.


![]() |
(3.4.33) |
Действительно, значения всех величин и выражения для всех переменных, входящих в (3.4.33), за исключением
нам известны. При решении этого уравнения появится постоянная интегрирования, значение которой может быть найдено с использованием нелокального интегрального условия
аналогично нахождению первого коэффициента разложения в задаче массопереноса.
3.5. Сопоставление радиусов зон химического и теплового возмущений
При распространении загрязнителя возникает несколько фронтов, определяемых различными физическими процессами, протекающими в закачиваемой жидкости и скелете. Один из них – тепловой фронт, обусловленный конвективным переносом тепла, другой – определяется теплотой, выделяемой в результате радиоактивного распада. Наконец, из-за сорбции загрязнителя на скелете, возникает зона чистой воды, уширяющаяся с течением времени.
Отличительная особенность предлагаемой модели заключается в том, что она позволяет сопоставить размеры зон теплового, химического и гидродинамического влияния. Это сопоставление и сопутствующие оценки очень важны для практических приложений. Как указывалось выше скорость конвективного переноса примеси
определяет положение фронта загрязнения R
p
подобно тому, как скорость фильтрации
определяет положение фронта закачиваемой жидкости R
w
. Положение фронта закачиваемой жидкости определяется для случая закачки с постоянной скоростьюv0
‘
в пласт через скважину радиуса r
0
согласно (1.3.8) имеет вид
. |
Для достаточно больших времен τ можно пренебречь
в подкоренном выражении, тогда вместо (3.3.1) получим
. |
(3.5.1) |
Радиус зоны радиоактивного заражения определяется согласно зависимости (2.1.55) в виде
| R
p
= |
(3.5.2) |
Соотношение между скоростями фильтрации
на входе в пористую среду при r
= r
0
и конвективного переноса примеси
в той же точке определяется соотношением (1.3.7)
, |
(3.5.3) |
поэтому для радиуса зоны радиоактивного заражения из (3.3.3) получим
R
p
= . |
(3.5.4) |
Если постоянная равновесия Генри
равна нулю, то размеры зон закачиваемой жидкости и загрязнения совпадаютR
w
= R
p
. При ненулевых значениях константы равновесия Генри
≠ 0 фронт радиоактивного заражения отстает от фронта закачиваемой жидкости. Образуется кольцевая зона очищенной от радиоактивных примесей закачиваемой жидкости R
p
< r
<R
w
, размеры которой растут пропорционально корню из времени закачки
:
R
p
= . |
(3.5.5) |
Наличие такой зоны является благоприятствующим экологическим фактором. Если подбирать для закачки горизонты с высокими значениями постоянной равновесия, то таким способом можно очищать воду от радиоактивных и химических примесей. Такие горизонты могут служить естественными фильтрами, очищающими воду от различных примесей. Нечто аналогичное, видимо, происходит в некоторых родниковых питьевых источниках.
Наряду с отмеченными выше фронтами в задаче возникает фронт термического влияния закачиваемой жидкости, который определяется выражением (3.1.34)
R
T
= . |
(3.5.6) |
Наличие такого фронта обусловлено величиной скорости конвективного переноса тепла, которая связана со скоростью конвективного переноса примесей на входе в пористую среду
соотношением
. |
(3.5.7) |
В общем случае скорость конвективного переноса тепла связана со скоростью фильтрации соотношением
. |
(3.5.8) |
Величина скорости конвективного переноса тепла u
при
больше скорости фильтрации v΄. При фильтрации воды с теплоемкостью сw
= 4100 Дж/(кг∙К) и плотностью ρw
= 1000 кг/м3
в песчанике с пористостью m
= 0.2, теплоемкостью сs
= 840 Дж/(кг∙К) и плотностью ρs
= 2500 кг/м3
отношение скоростей конвективного переноса тепла и фильтрации составит ![]()
![]()
![]()
. При фильтрации нефти с теплоемкостью со
= 2000 Дж/(кг∙К) и плотностью ρо
= 850 кг/м3
скорость конвективного переноса тепла больше скорости фильтрации, поскольку их отношение меньше единицы и составляет
![]()
![]()
![]()
.
Скорость конвективного переноса тепла может превышать скорость конвективного переноса примеси. В этом случае фронт термических возмущений опережает фронт радиоактивного загрязнения. Условие, при котором это происходит, имеет вид
, . |
(3.5.9) |
Поскольку постоянная Генри представляет отношение плотности примеси в скелете и растворе
, то условие опережения температурного фронта представится как
. |
(3.5.10) |
Последнее означает, что температурный фронт опережает фронт загрязнения при достаточно большом содержании примеси в скелете, что возможно при высокой адсорбирующей способности скелета. Напомним, что величины со звездочкой означают истинную плотность среды, а без звездочки – плотность примеси в среде. Условие (3.5.9) означает, что отношение плотности примеси в скелете к плотности примеси в растворе должно превышать отношение соответствующих объемных теплоемкостей.
При малой адсорбирующей способности скелета, напротив, температурный фронт отстает от фронта загрязнения, что осуществляется при выполнении условия
. |
(3.5.11) |
В этом случае формируется зона R p < r < R T , в которой температурное поле определяется влиянием распада радиоактивных примесей. Размеры этой зоны растут со временем согласно зависимости
. |
(3.5.12) |
Приведенные выше зависимости позволяют утверждать, что критические значения коэффициента Генри, когда фронты загрязнения и температурного влияния совпадают, не зависят от пористости. Указанные выше значения теплоемкостей и плотностей позволяют оценить критические значения коэффициента Генри: для воды –
0.52, для нефти –
1.2.
Отношения соответствующих радиусов определяется соотношениями, следующими из (3.5.1), (3.5.4) и (3.5.6)
,. , . |
(3.5.13) |
На практике величина коэффициента Генри определяется многими факторами и сильно зависит, в том числе, от солесодержания и pH среды, имея общую тенденцию возрастания с увеличением pH и уменьшением солесодержания.
Некоторые типичные значения коэффициентов Генри приведены в табл. 1 (из книги «Охрана подземных вод от радиоактивных загрязнений» Белицкий А.С., Орлова Е.И.)
Таблица 1
| № п/п | Наименование породы | Коэффициент распределения | |||
| Стронций 89 Sr | Цезий137 Cs | Рутений105 Ru | Церий144 Ce | ||
| 1 | Песок среднезернистый, четвертичный, древнеаллювиальный | 10 | 700 | 20 | 900 |
| 2 | Песок мелкозернистый, слюдистый, глуаконитовый, верхнеюрский | 12 | 1150 | 20 | 1100 |
| 3 | Песок среднезернистый, аллювиальный | 8 | 760 | 460 | 480 |
| 4 | Песчаник чёрный, мелкозернистый, верхнеюрский с фосфоритами | 6 | 2200 | 35 | 65 |
и в таблице 2 (коэффициент межфазного распределение нуклидов в песчано-глинистых породах) (из книги «Глубинное захоронение жидких радиоактивных отходов» Рыбальченко А.И. и др.)
Таблица 2
| №№ п/п | Нуклид | Поровый раствор | ||
| pH= 2÷3 | pH= 4÷5 | pH ~ 8 | ||
1. 2. 3. 4. 5. |
Стронций-90 Рутений-106 Цезий-137 Церий-144 Плутоний-239 |
3 – 11 1 – 3 3 – 6 2 – 3 2 – 3 |
20 – 70 15 – 30 20 – 40 80 – 200 100 – 250 |
40 – 60 9 – 15 40 – 100 20 – 40 30 – 70 |
Столь высокие значения
позволяют говорить, что в реальных условиях размеры зоны заражения всегда значительно меньше размеров зоны термического влияния, что позволяет использовать результаты измерений температурного поля в качестве «опережающего прогнозирования» распространения зоны заражения.
На рис. 3.3 приведены характерные зависимости от времени размеров зон загрязнения – Rp , теплового влияния – RТ и чистой воды – Rw . При этом область шириной ΔRw=Rw–RТ заполнена чистой водой, имеющей температуру, равную естественной температуре пласта. С течением времени ширина этой области увеличивается.
|
Рис 3.3. Зависимость максимальных размеров зон от времени для объёмов закачки 100 м3 /сут. Полуширина пористого пласта, h = 10 м, состав – песчаник, пористость m = 0.4, фильтрирующаяся жидкость – вода, К Г = 15 |
Схематично картину расположения зон для некоторого момента времени можно представить в виде схематичного рисунка 3.4, на котором учтено, что в реальных пластах всегда наибольшие размеры имеет зона очищенной воды, а наименьшие – зона радиоактивного загрязнения. При этом вполне возможна ситуация, когда плотность загрязнителя (в силу радиоактивного распада) становится ничтожно малой далеко до границы зоны.
![]() |
Рис 3.4. Схематично представлена картина зон загрязнения – Rp , термического влияния – RТ и чистой воды – Rw для некоторого момента времени |
3.6. Выводы
В нулевом и первом приближениях решена задача о температурном поле, вызванном закачкой радиоактивного раствора в глубокозалегающие пласты. На основании полученного решения установлены расчетные формулы для полей температуры, вызванных энергией распада и различием температур пласта и закачиваемой жидкости. В частности, построена зависимость температуры от пространственных координат r , z и времени t для стационарного распределения плотности радиоактивных примесей, имеющее важное значение для описания полей короткоживущих изотопов.
На основании найденных выражений для положения конвективного, диффузионного и температурного фронтов установлено, температурный фронт как минимум в несколько раз превышает размер диффузионного, соответствующего радиусу зоны радиоактивного заражения. Поскольку температурный фронт значительно отстает от конвективного, соответствующего размерам области закачанной жидкости, то образуется зона очищенной от загрязнителя воды, причем размеры этой зоны растут с увеличением коэффициента Генри, что может служить ориентиром для выбора объектов при захоронении радиоизотопов, удовлетворяющих более высоким экологическим требованиям.
В работе, на основе уравнения конвективной диффузии для несжимаемой жидкости с учетом радиоактивного распада и обмена загрязнителя со скелетом, осуществлена постановка термодиффузионной задачи о взаимосвязанных полях концентрации и температуры в глубокозалегающих горизонтах, возникающих при закачке в пористый пласт растворенных радиоактивных веществ. С использованием параметра асимптотического разложения температурная и диффузионная задачи представлены в виде бесконечной последовательности краевых задач для коэффициентов разложения искомого решения в асимптотический ряд. Произведено «расцепление» соответствующей цепочки уравнений и на этой основе осуществлена постановка краевых задач смешанного типа со следами производных из внешних областей для нулевого и первого коэффициентов разложения и остаточного члена.
При построении решения задачи для первого коэффициента использовано нелокальное граничное условие, заключающееся в том, что средние значения температуры и плотности примесей по толщине пласта на оси скважины равны нулю. Показано, что использование такого условия обеспечивает построение «в среднем точного» асимптотического решения, означающего, что при этом среднее по высоте пласта значение остаточного члена равно нулю.
Построенные решения для полей концентрации загрязнителя в нулевом и первом приближениях свидетельствуют о наличии погранслоев на малых расстояниях от оси скважины и малых времен, откуда возникает задача построения погранслойных функций. Решение стационарной задачи позволило установить соотношения для предельных размеров зоны заражения.
В нулевом и первом приближениях решена задача о температурном поле, вызванном закачкой радиоактивного раствора в глубокозалегающие пласты. На основании полученного решения установлены расчетные формулы для полей температуры, вызванных энергией распада и различием температур пласта и закачиваемой жидкости. В частности, построена зависимость температуры от пространственных координат r , z и времени t для стационарного распределения плотности радиоактивных примесей, имеющее важное значение для описания полей короткоживущих изотопов.
На основании расчетов показано, что в большинстве практических случаев влиянием радиоактивного распада в окружающих пластах на плотность радиоактивных примесей в пласте и инициируемым этим распадом тепловым эффектом можно пренебречь. В то же время вклад диффузионных процессов обмена с окружающими пластами является преобладающим на диффузионном фронте, что объясняется большими градиентами концентрации и значительными временами закачки.
Показано, что для относительно малых времен с высокой точностью для практических расчетов может быть использовано так называемое «бездиффузионное» приближение, при построении которого вклад конвекции предполагается преобладающим. Определены границы применимости этого приближения для расчетов температурных полей.
На основании найденных выражений для положения конвективного, диффузионного и температурного фронтов установлено, температурный фронт как минимум в несколько раз превышает размер диффузионного, соответствующего радиусу зоны радиоактивного заражения. Поскольку температурный фронт значительно отстает от конвективного, соответствующего размерам области закачанной жидкости, то образуется зона очищенной от загрязнителя воды. Замечательно, что размеры этой зоны растут с увеличением коэффициента Генри, что может служить ориентиром для выбора объектов при захоронении радиоизотопов, удовлетворяющих более высоким экологическим требованиям.
1. Авдонин Н.А. О некоторых формулах для расчёта температурного поля пласта при тепловой инжекции // Изв. вузов. Нефть и газ. – 1964. – № 3. – С.32 – 39.
2. Арсенин В.Я. Методы математической физики и специальные функции.– М.: Наука, 1984.– 384 с.
3. Бармин А.А., Гарагаш Д.И. О фильтрации раствора в пористой среде с учётом адсорбции примеси на скелет // Механика жидкости и газа. – 1994. – № 4. – С.97–110.
4. Бартман А.Б., Перельман Т.Л. Новый асимптотический метод в аналитической теории переноса. Под ред. д. физ-мат. наук С. И. Анисимова.– Минск: Наука и техника, 1975. – 271 с.
5. Белицкий А.С., Орлова Е.И. Охрана поземных вод от радиоактивных загрязнений. – М., Медицина, 1969. – 209 с.
6. Бондарев Э.А., Николаевский В.Н. Конвективная диффузия в пористых средах с учётом явления адсорбции // ПМТФ. – 1962. – № 5. – С.128–134.
7. Бочевер Ф.М., Лапшин Н.Н., Орадовская А.Е. Защита подземных вод от загрязнения.– М.: Недра, 1979.– 254 с.
8. Бэтчелор Дж. Введение в динамику жидкости. – М.: Мир, 1973.– 757 с.
9. Ван-Дайк М. Методы возмущений в механике жидкости. Перевод с англ. – М.: Мир, 1967. – 426 с.
10. Варгафтик Н.Б. Справочник по теплофизическим свойствам газов и жидкостей. – М.: Наука, 1972. – 720 с.
11. Венецианов Е.В., Рубинштейн Р.Н. Динамика сорбции из жидких сред. – М.: Наука, 1983.– 237 с.
12. Владимиров В.С. Уравнения математической физики. – М.: Наука, 1981.– 512 с.
13. Волков И. К. О некоторых формулах для расчёта температурного поля пласта при нагнетании в него воды с учётом дроссельного эффекта (плоско-параллельная фильтрация) // Вопросы экспериментальной геотермологии: Сб. / КГУ. Казань, 1973. – С. 3–9.
14. Герасимов Я.И. Курс физической химии. – М.: Химия, 1970.– 592 с.
15. Гидрогеологические исследования для захоронения промышленных сточных вод в глубокие водоносные горизонты. – М., Недра, 1976. – 325 с.
16. Годунов С.К. Уравнения математической физики. – М.: Наука, 1971.– 416 с.
17. Годунов С.К. Элементы механики сплошной среды. – М.: Наука, 1978.– 304 с.
18. Градштейн И.С., Рыжик И.М. Таблицы интегралов, рядов и произведений. – М.: Наука, 1963. – 426 с.
19. Гюнтер Д.А., Михайличенко И.Н. Расчет полей концентрации при подземном захоронении растворенных радиоактивных веществ // Региональная школа – конференция молодых учёных: тезисы докладов. – Уфа: Гилем, 2006, С. 44 – 45.
20. Девяткин Е.М., Михайличенко И.Н. Погранслойное решение в задаче о закачке радиоактивных примесей в пористый пласт // VI Региональная школа – конференция для студентов, аспирантов и молодых учёных по математике, физике и химии: тезисы докладов. – Уфа: БашГУ, 2006, С. 141 – 142.
21. Диткин В.А., Прудников А.П. Интегральные преобразования и операционное исчисление. – М.: Наука, 1974. – 382 с.
22. Диткин В.А., Прудников А.П. Операционное исчисление. – М.: Высшая школа, 1975. – 383 с.
23. Диткин В.А., Прудников А.П. Справочник по операционному исчислению. – М.: Высшая школа, 1965.– 465 с.
24. Зельдович Я.Б. Химическая физика и гидродинамика. – М.: Наука, 1980.– 479 с.
25. Зельдович Я.Б., Мышкис А.Д. Элементы математической физики. – М.: Наука, 1973.– 352 с.
26. Ильюшин А.А. Механика сплошной среды. – М.: МГУ, 1979.– 288 с.
27. Карслоу Г., Егер Д. Теплопроводность твёрдых тел. – М.: Наука, 1964.– 488 с.
28. Кедровский О.Л., Рыбальченко А.И., Пименов М.К. и др. Глубинное захоронение жидких радиоактивных отходов в пористые геологические формации // Атомная энергия – 1991. – Т. 70. – вып.5. – С.42 – 49.
29. Коркешко О.И. Разработка программного обеспечения для решения обратных экологических задач конвективной диффузии // Экономический рост: проблемы развития науки, техники и совершенствования производства: Тез. докл. межвуз. науч.-практ. конф. 22 марта 1996 г. – Уфа: УГНТУ, 1996. – С. 79–80.
30. Коркешко О.И. Применение асимптотических методов для решения задач тепло- и массопереноса: Дисс. канд. физ.-мат. наук. – Стерлитамак, 2000. – 158 с.
31. Коркешко О.И., Костомаров Ю.В. Новые подходы к экологическим задачам конвективной диффузии в сложных средах // 1 науч. конф. молодых учёных-физиков республики Башкортостан 21–23 ноября 1994 г.: Тез. докл. – Уфа: Баш. гос. ун-т, 1995.– С. 17.
32. Коркешко О.И., Котельников В.А., Тарасов А.Г. Обратные задачи конвективной диффузии // 1 науч. конф. молодых учёных-физиков республики Башкортостан 21–23 ноября 1994 г.: Тез. докл. – Уфа: Баш. гос. ун-т, 1995.– С. 16.
33. Корн Г., Корн Т. Справочник по математике для научных работников и инженеров. – М.: Наука, 1984. – 632 с.
34. Коул Дж. Методы возмущений в прикладной математике. – М.: Мир, 1972. – 342 с.
35. Кэйс В.М. Конвективный тепло- и массообмен. – М.: Энергия, 1972. – 364 с.
36. Ландау Л.Д., Лифшиц Е.М. Механика сплошных сред. – М.: Гостехиздат, 1954.– 795 с.
37. Ландау Л.Д., Лифшиц Е.М. Теоретическая физика: Учебное пособие. В 10 т. Т. 5: Гидродинамика. – М.: Наука, 1988.– 736 с.
38. Лебедев А.В. Оценка баланса подземных вод. – М., Недра, 1989, – 178 с.
39. Лебедев Н.Н. Специальные функции и их приложения. – М.-Л.: Физматгиз, 1963.– 358 с.
40. Лукнер Л., Шестаков В.М. Моделирование миграции подземных вод. – М., Недра, 1986, – 209 с.
41. Лялько В.И., Митник М.М. Исследование процессов переноса тепла и вещества в земной коре. – Киев, Наукова думка, 1972. – 234 с.
42. Малофеев Г.Е., Толстов Л.А. и Шейнман А.Б. Исследование распространения тепла в пласте при радиальном течении горячей жидкости // Нефтяное хозяйство. – 1966. – № 8. – С.57 – 69.
43. Мартыненко О.Г., Березовский А.А., Соковишин Ю.А. Асимптотические методы в теории свободно-конвективного теплообмена. – Минск: Наука и техника, 1979. – 325 с.
44. Мартыненко О.Г., Соковишин Ю.А. Теплообмен смешанной конвекцией. – Минск: Наука и техника, 1975. – 263 с.
45. Маслов В.П. Теория возмущений и асимптотические методы. – М.: МГУ, 1965.– 553 с.
46. Математический энциклопедический словарь. – М.: Большая Российская энциклопедия, 1995.– 847 с.
47. Мироненко В.А. Динамика подземных вод. – М., Недра, 1983. – 422 с.
48. Михайлов В. П. Дифференциальные уравнения в частных производных. – М.: Наука, 1983.– 424 с.
49. Мошинский А. И. Граничное условие “Тепловая ёмкость” как предельное соотношение // ИФЖ. – 1991. – Т. 61. – № 3. – С. 458.
50. Мошинский А. И. О граничных условиях типа тепловой ёмкости в задачах теплообмена // ТВТ. – 1989. – Т. 27. – № 4. – С. 708.
51. Мошинский А. И. Об уточнении условия типа “Тепловая ёмкость”, применяемого в задачах тепломассопереноса // ТВТ. – 1997. – Т. 35. – № 1. – С. 160–162.
52. Найфэ А. Х. Методы возмущений. Перевод с англ. – М.: Мир, 1976. – 426 с.
53. Наумов Г.Б., Рыженко Б.Н., Ходарковский И.Л. Справочник термодинамических величин. – М., Атомиздат, 1971. – 432 с.
54. Некоторые особенности применения метода малого параметра в экологических задачах конвективной диффузии / Филиппов А.И., Коркешко О.И., Чиганов П.А., Ярославцев Е.Ю. / Спектральная теория дифференциальных операторов и смежные вопросы: Сб. науч. тр. Международной науч. конф. 22–25 сентября 1998 г. Стерлитамак: – Стерлитамак. гос. пед. ин-т, 1998.– Ч. 2.– С. 69–76.
55. Нигматулин Р.И. Методы механики сплошной среды для описания многофазных смесей // ПММ. – 1970. – Т.34. – №6. – С.1097–1112.
56. Нигматулин Р. И. Основы механики гетерогенных сред. – М.: Наука, 1978.– 336 с.
57. Никифоров А.Ф., Уваров В.Б. Специальные функции математической физики. – М.: Наука, 1978.– 320 с.
58. Николаевский В.Н. Конвективная диффузия в пористых средах // ПММ. – 1959. – Т. 23. – № 6. – С. 1042–1050.
59. Николаевский В.Н., Басниев К.С., Горбунов А.Т., Зотов Г.А. Механика насыщенных пористых сред. – М.: Недра, 1970.– 336 с.
60. Николаевский В.Н. Механика пористых и трещиноватых сред. – М.: Недра, 1984.– 232 с.
61. Пискунов Н.С. Дифференциальное и интегральное исчисления для втузов: Учебное пособие для втузов. – М.: Наука, 1985. – Т. 2.– 560 с.
62. Пудовкин М.А. Теоретические расчёты поля температур пласта при нагнетании в него воды // Вопросы усовершенствования разработки нефтяных месторождений Татарии: – Сб. КГУ. Казань, 1962. – С.62 – 67.
63. Рубинштейн Л.И. Температурные поля в нефтяных пластах.– М.: Недра, 1971. – 387 с.
64. Рыбальченко А.И., Пименов М.К., Костин П.П. и др. Глубинное захоронение жидких радиоактивных отходов. – М.: ИздАТ, 1994. – 256 с.
65. Свешников А.Г., Тихонов А.Н. Теория функций комплексной переменной.– М.: Наука, 1967.– 304 с.
66. Седов Л.И. Методы подобия и размерности в механике.– М.: Недра, 1978.– 216 с.
67. Седов Л.И. Механика сплошной среды.– М.: Наука, 1994. Т. 1, 2.
68. Сидоров Ю.В., Федорюк М.В., Шабунин М.И. Лекции по теории функций комплексного переменного.– М.: Наука, 1982.– 488 с.
69. Смирнов В.И. Курс высшей математики.– М.: Наука, 1967. Т. 1. – 480 с.
70. Тихонов А. Н., Самарский А. А. Уравнения математической физики.– М.: Наука, 1972.– 376 с.
71. Филиппов А.И. Методические указания по спецкурсу “Гидродинамика”. – Уфа, 1992. – 82 с.
72. Филиппов А.И., Коркешко О.И. Исследование пространственно-временных распределений концентрации веществ на основе “схемы сосредоточенной ёмкости” // ИФЖ. 1997. – Т. 70. – № 2. – С. 205–210.
73. Филиппов А.И., Коркешко О.И. Метод малого параметра в моделировании процессов переноса в многофазных пористых средах // Проблемы физико-математического образования в педагогических вузах России на современном этапе: Материалы Всерос. науч.-практ. конф. 16–18 марта 1999 г.– Магнитогорск. – Магнитогорск. гос. пед. ин-т, 1999. – Ч. 2. – С. 92–93.
74. Филиппов А.И., Коркешко О.И. Применение “схемы сосредоточенной ёмкости” к экологическим задачам конвективной диффузии // Прикладная физика и геофизика: Межвуз. сб. науч. тр.– Уфа: Баш. гос. ун-т, 1995.– С. 124–130.
75. Филиппов А.И., Коркешко О.И., Шатов А.А., Ревунова А.А. Об одном способе определения экологических параметров рек на основе задачи конвективной диффузии // Биолого-химические науки в высшей школе. Проблемы и решения: Сб. науч. тр. Всерос. науч.-практ. конф., 19–20 июня 1998 г.– Бирск: Бирск. гос. пед. ин-т, 1998. – С.124.
76. Филиппов А.И., Коркешко О.И., Шатов А.А., Ревунова А.А. Применение обратных задач для расчёта характеристик водных бассейнов // Экологические проблемы бассейнов крупных рек – 2: Тез. докл. Международной конф., Россия, Тольятти, 14–18 сентября 1998 г. – Тольятти: ИЭВБ РАН, 1998.– С. 168–169.
77. Филиппов А.И., Коркешко О.И., Чиганов П.А. Моделирование процессов диффузии вредных примесей в глубокозалегающих пластах на основе метода малого параметра // Физические проблемы экологии (Физическая экология): Тез. докл. второй Всерос. науч. конф. 18–21 января 1999 г.– М: МГУ, 1999.– С. 98.
78. Филиппов А.И., Коркешко О.И., Чиганов П.А. Моделирование процессов диффузии вредных примесей в глубокозалегающих пластах на основе метода малого параметра // Физическая экология (Физические проблемы экологии). – М.: МГУ, 1999. – № 5. – С. 153–161.
79. Филиппов А.И., Михайлов П.Н., Ахметова О.В. Радиальное распределение температурных полей в скважине // Нефть и газ Западной Сибири. Материалы международной научно-технической конференции. Т. 1.– Тюмень. 2005. – С. 90–91.
80. Филиппов А.И., Михайлов П.Н., Михайличенко И.Н. Поле концентрации при закачке водных растворов радиоактивных примесей в глубокозалегающие пласты. // Современные проблемы физики и математики. Труды Всероссийской научной конференции (16 – 18 сентября 2004 г., г. Стерлитамак) – Уфа: Гилем, 2004. – С. 89–97.
81. Филиппов А.И., Михайлов П.Н., Михайличенко И.Н. Поле концентрации при закачке водных растворов радиоактивных примесей в подземные горизонты // Обозрение прикладной и промышленной математики / Тезисы докладов V Всероссийского симпозиума по прикладной и промышленной математике. – М., 2004. – Т. 11, – В.3. – С. 595–596.
82. Филиппов А.И., Михайлов П.Н., Михайличенко И.Н. Температурные поля при закачке водных растворов радиоактивных примесей в подземные горизонты // Обозрение прикладной и промышленной математики / Тезисы докладов V Всероссийского симпозиума по прикладной и промышленной математике. – М., 2004. – Т. 11, – В.3. – С. 596–597.
83. Филиппов А.И., Михайлов П.Н., Михайличенко И.Н. Оценка погрешности бездиффузионного приближения в задачах тепломассопереноса. // Математические модели в образовании, науке и промышленности: Сб. науч. трудов. – СПб.: Санкт-Петербургское отделение МАН ВШ, 2005. – С. 101–105.
84. Филиппов А.И., Михайлов П.Н., Михайличенко И.Н. Определение зоны заражения при подземном захоронении растворённых радиоактивных веществ // Вестник Херсонского национального технического университета. Вып. 2(25). – Херсон: ХНТУ, 2006. – С. 508–512.
85. Филиппов А.И., Михайлов П.Н., Михайличенко И.Н., Крупинов А.Г.Расчет полей концентрации при подземном захоронении растворенных радиоактивных веществ // Экологические системы и приборы, 2006. – №5. – С. 27–35
86. Франк-Каменецкий Д.А. Диффузия и теплопередача в химической кинетике.– М.: Наука, 1967. – 328 с.
87. Шейдеггер А.Э. Физика течения жидкости через пористые среды. Пер. с англ.– М.: Гостоптехиздат, 1960. – 249 с.
88. Эрдейи А. Асимптотические разложения. Перевод с англ.– М.: Физматгиз, 1962. – 382 с.
89. Bachmat Y and Bear J. Mathematical formulation of transport phenomena in porous media. Proc. Int. Symp. of IAHR on the Fundamentals of Transport Phenomena in Porous Media, Guelph, Canada, 1972. P. 174–197.
90. Bear J. a. o. Flow through porous media. New York – London: Academic Press, 1969.
91. Bear J. Dynamics of fluids in porous media. New York: American Elsevier publ. co., 1967. 764 pp.
92. Bear J. Hydraulics of groundwater. New York etc.: McGraw-Hill intern. book co., cop. 1979. XIII, 567 pp.
93. Bear J., Bachmat Y. Introduction to modeling of transport phenomena in porous media. Dordrecht et al.: Kluwer, 1990. 533 pp.
94. Brooks R.H. and Corey A.T. Properties of porous media affecting fluid flow. Proc. Am. Soc. civ. Engrs, 92 (IR2), 61–87, 1966.
95. Filippov A.I., Korkeshko O.I., and Chiganov P.A. The use of a small parameter method to solve problems of convective diffusion // Russ. J. Eng. Thermophys., 1999, Vol. 9, No. 3, P. 161–182.
96. Gershon N.D. and Nir A. Effects of boundary conditions of models on tracer distribution in flow through porous mediums. Wat. Resour. Res., 5 (4), 830–839, 1969.
97. Lauwerier H.A. The transport of heat in an oil layer caused by the injection of hot fluid. Applied Scientific Research, Section A, 1955, vol. 5, No 2–3, pp. 145–150.
98. Morel-Seytoux H.J. Two-phase flows in porous media, in Advances in Hydroscience (V. T. Chow, Ed.), 9, 119-202. New York: Academic Press, 1973.
99. Ogata A. and Banks R.B. A solution of the differential equation of longitudinal dispersion in porous media. U.S. Geol. Survey, Prof. Paper no. 411–A, 1961.
100. Parlange J.Y. and Babu D.K. On solving the nonlinear diffusion equation – a comparison of perturbation, iterative and optimal techniques for an arbitrary diffusivity. Wat. Resour. Res., 13 (1), 213–214, 1977.
101. Philip J.R. Flow through porous media. Ann. Rev. Fluid Mechan., 2, 177–204, 1970.
102. Verruijt A. Steady dispersion across an interface in a porous medium. J. Hydrol., 14, 337–347, 1971.
.

.
.
.



.
.
,
,
,
,
,
,
,
,
,
.
.
,
,
,
,
,
,
,
,
,
,


,
,
.
.
,
.
,
.
,
.
,
,
,
,
.
.
,
,








,
,


,
,
,
,
,
,




,
.
.
,
.
.
.

,
.
.
,
.
.
.
,
,
,
.
.
,
,
.
.
,
.
.
,
,


.

,
,
, z
> 1, r
>0,
,
,z
< – 1, r
>0,
.
.
.
,
.
,
.
.
.
.
.
,
.
,
,
.
,
,
.
,




, z
> 1, r
>0,
,z
< – 1, r
>0,
,
.
,
.
.
.
.
.
,
.
,
,
.
.
.

















.
.
.
.
,
.



,
,
,
,
.
,
.
,
.
.
,
.
,
.
.
.
.
,
.
.
.

.
,
.






















,
,
.
,
,
,
,
,
,


.
.
,
,
.
.
,
.
.
,
,
,
.
,
,
,
.
.
,
.
,
,
,
.
.
.
,
,
,
,
,
,
,
.
.
,
.

,



,
,
совпадает с нулевым приближением плотности 
,
.
.
,
.
.
.
.
,
.
.


,
,
,
,
,


.
,
,
.
.





















,
,
.
,
,
,
,
,
,
.


,






,
,
,
,



.
.
,
.
.
.
.
.
,
.
.
.
.
,.
,
.
