Курсовая работа: Показатели и коэффициенты в системе управления инвестиционными проектами
|
Название: Показатели и коэффициенты в системе управления инвестиционными проектами Раздел: Рефераты по финансовым наукам Тип: курсовая работа | |||||||||||||||||||||||||||||||||||||||||||||||||||||||||||||||||||||||||||||||||||||||||||||||||||||||||||||||||||||||||||||||||||||||||||||||||||||||||||||||||||||||||||||||||||||||||||||||||||||||||||||||||||||||||||||||||||||||||||||||||||||||||||||||||||||||||||||||||||||||||||||||||||||||||||||||||||||||||||||||||||||||||||||||||||||||||||||||||||||||||||||||||||||||||||||||||||||||||||||||||||||||||||||||||||||||||||||||||||||||||||||||||||||||||||||||||||||||||||||||||||||||||||||||||||||||||||||||||||||||||||||||||||||||||||||||||||||||||||||||||||||||||||||||||||||||||||||||||||||||||||||||||||||||||||||||||||||||||||||||||||||||||||||||||||||||||||||||||||||||||||||||||||||||||||||||||||||||||||||||||||||||||||||||||||||||||||||||||||||||||||||||||||||||||||||||||||||||||||||||||||||||||||||||||||||||||||||||||||||||||||||||
ВведениеБез капиталовложений невозможно длительное существование никакого предприятия: тот, кто не делает инвестиций, не увеличивает и не совершенствует свои активы, не имеет будущего. От инвестиций, их объёма и структуры зависят перспективы предприятия, его возможности удержаться на рынке. Объёмы капиталовложений зависят не только от суммы средств, которыми располагает предприятие, но и, прежде всего от наличия у него перспективных экономически выгодных проектов для инвестирования. Появление таких проектов обычно является результатом повседневной деятельности руководителей производственных подразделений предприятия, предлагающих, как правило, проекты замены старого оборудования новым, снижающим производственные затраты или увеличивающим объём выпуска. Такого рода проекты чаще всего реализуются в рамках ранее выбранной стратегии развития предприятия. Другая часть проектов является результатом прогностической деятельности на предприятии, направленной на адаптацию к изменяющимся внешним условиям, поиск новых видов продукции, необходимой потребителям, и новых, кажущихся наиболее многообещающими, сфер деятельности. При этом должна учитываться специфика предприятия, его относительные (по сравнению с другими хозяйствующими субъектами) преимущества, а также вновь возникающие возможности. Способность предприятия оставаться конкурентоспособным зависит от постоянного притока новых идей, в том числе и в сфере инвестирования. Поэтому одним из аспектов правильного управления предприятием является создание системы, стимулирующей выдвижение идей по инвестированию и обеспечивающей отбор наиболее перспективных и эффективных. Целью курсового проекта – углубление понимания особенностей инвестирования в реальные активы, овладение навыками экономического анализа инвестиционных проектов и способа его финансирования с использованием соответствующих методов оценки, для подготовки управленческого решения о целесообразности включения проекта в инвестиционный план (бюджет капиталовложений) предприятия. Для большинства предприятий существует множество относительно доступных инвестиционных проектов. Каждый из них можно профинансировать, воспользовавшись одним из альтернативных вариантов привлечения денежных средств. Основными финансовыми альтернативами, доступными финансовым менеджерам предприятия, являются привлечение заёмного капитала (кредитов) и увеличение собственного капитала путём эмиссии акций. В предлагаемом курсовом проекте на основе заданного набора исходных данных требуется провести инвестиционный анализ капиталовложения в приобретение объекта основных фондов – автомобиля рефрижератора и оценить желание предприятия профинансировать этот проект частично за счет собственных свободных средств или заемного капитала. 1. Информационная база проведения анализа инвестиционного проекта.1.1 Технико-экономическая характеристика ООО «Балтрыба»Общество с ограниченной ответственностью «Балтрыба» образовано 27 марта 1997 г. С момента образования основным видом деятельности компании является оптовая торговля. Уставной капитал, сформированный за счет взносов физических лиц, составляет 8 850 рублей. Организация работает по общей системе налогообложения. Полное наименование Общества: Общество с ограниченной ответственностью «Балтийская рыба». Сокращенное наименование Общества: ООО «Балтрыба». Высшим органом управления организации является собрание участников, а текущее управление хозяйственным процессом осуществляет генеральный директор. Организационная структура ООО «Балтрыба» является линейно-функциональной, когда производственные звенья компании наделены только функциями организации, в то время как «штабные» функции управления реализуются на верхнем уровне. На данном этапе развития организации данная структура способна решать необходимые задачи. Персонал предприятия имеет высшее и среднее специальное образование, опыт работы в оптовой торговле и рыбной промышленности, обладает хорошими навыками решения текущих производственных задач. Управленческое звено предприятия, включающее в себя генерального директора, заместителя, менеджеров по продажам и финансового директора, помимо решения общих хозяйственных вопросов, осуществляет выработку корпоративной стратегии предприятия, её согласование с тактическими решениями, производственными и маркетинговыми задачами. Программой по развитию персонала ООО «Балтрыба» предусмотрено ежегодное повышение квалификации руководителей структурных подразделений. В соответствии с уставом общества предметами его деятельности являются: - производство товаров народного потребления и продукции производственно-технического назначения; - торгово-закупочная, посредническая деятельность; - оптовая, комиссионная, розничная торговля, - транспортные, экспедиторские, складские услуги, - купля-продажа, импорт и экспорт судов и плавсредств любых видов, судового оборудования, запчастей и деталей, проведение всех видов торговых сделок, включая организацию работы рыбопромыслового и транспортного флота; - проведение промысловых операций по добыче рыбы и других объектов промысла во внутренних водоемах, реках и морских водах, переработка рыбы, морепродуктов и изготовление конечной продукции и полуфабрикатов; - строительство, ремонтно-строительные, монтажно-наладочные работы, - маркетинг, менеджмент, инжиниринг, консалтинг, - организация общественного питания; - организация туристических, рекламных, консультационных и других услуг; - внешнеэкономическая деятельность. Но основным видом деятельности компании является оптовая торговля рыбной продукцией и продукцией из гофрированного картона. Имущество предприятия. Необходимым условием организации процесса обращения является наличие соответствующей инфраструктуры. ООО «Балтрыба» арендует офис по адресу Улица Дмитрия Донского, 10. Предприятие провело капитальный ремонт помещения, оборудовало рабочие места современными ПК, приобрело лицензированные программные продукты, обеспечило доступ в Интернет. Также предприятие располагает двумя складскими помещениями для хранение гофротары. Первое располагается в поселке Прибрежный, второе – непосредственно в городской черте, на территории АОЗТ «Дарита». Рассмотрим экономические показатели работы ООО «Балтрыба» в 2008–2009 гг. Основные показатели хозяйственной деятельности покажем в таблице №1.1.1. Данные для таблицы возьмем из балансов и отчетов о прибылях и убытках ООО за 2008–2009 гг., приведенных в приложениях. На конец 2009 года среднесписочная численность работников составила 151 человек. Их обслуживают: управленческий аппарат, финансовая служба и многие другие отделы, приведенные на рисунке №1. Как видно из таблицы №1.1.1. произошло уменьшение выручки на 4896 тыс. рублей. Сокращение сети в 2009 году стало причиной уменьшения доходов предприятия в сравнении с 2008 годом. Затраты также были сокращены. За счет роста цен на входящее сырье себестоимость увеличилась на 44 тыс. рублей. Первоначальная стоимость основных средств увеличилась на 9.01%. Прибыль от продаж резко снизилась, ее прирост имеет отрицательное значение и составляет -71.14%. Но сам факт наличия прибыли от продаж говорит о том, что выручка от продаж не просто покрыла, но и превысила расходы на продажу. Наблюдается увеличение производительности труда от 188.91 руб./чел. до 252.82 руб./чел. Фондоотдача основных средств – отражает сумму реализуемой продукции на рубль первоначальной стоимости основных средств, ее значение снизилось на 18.69%, из-за снижения выручки на 11.36%. Показатели хозяйственно-финансовой деятельности
Фондоемкость – показатель, характеризующий в рублях или других денежных единицах первоначальную стоимость основных производственных фондов, рассчитанную в среднем за рассматриваемый период, приходящуюся на 1 руб. выпуска продукции. Изменение фондоемкости в 2008 году по сравнению с 2007 составляет 25.64%. Из вышеприведенных показателей можно сделать предположение, что на предприятии нужно произвести некоторые изменения и тогда предприятие будет успешно функционировать. 1.2 Методы оценки эффективности инвестиционных проектов1.2.1 Метод чистой приведенной стоимости Методом, наиболее полноценно учитывающим не равноценность разновременных финансовых потоков, базирующимся на концепции потока наличности, а также позволяющим сравнивать различные по времени варианты реализации проекта является метод оценки проектов по критерию чистой приведённой стоимости. Его целесообразно применять, прежде всего, при оценке проектов, предусматривающих крупные денежные вложения. Значение чистого потока денежных средств за время жизни проекта, приведенное в сопоставимый вид в соответствии с фактором времени, есть показатель, называемый чистой приведенной стоимостью проекта (NPV–NetPresentValue). В общем виде формула расчета выглядит следующим образом: NPV = Величину PV можно определить по формуле: PV = Где В таком случае получим:
О степени эффективности вложения средств в данный проект говорит полученная величина NPV. Очевидно, что если: NPV > 0, то проект следует принять; NPV < 0, то проект следует отвергнуть; NPV = 0, то проект ни прибыльный, ни убыточный. Иными словами, критерий приемлемости таков: проект будет принят, если текущая стоимость притоков денежных средств превышает текущую стоимость их оттоков. При прогнозировании доходов по годам необходимо учитывать все виды поступлений и выплат по проекту как производственного, так и непроизводственного характера: амортизационные отчисления, высвобожденные оборотные средства, поступления от ликвидации либо продажи оборудования по окончанию проекта, которые должны включаться в доходы соответствующих периодов. В тех случаях, когда денежный поток поступает равномерно в течении реализации проекта, величину PV определяют так:
Где А – величина единовременного платежа
Тогда:
Если проект предполагает не разовую инвестицию, а последовательное инвестирование ресурсов в течении нескольких лет, формула расчета NPV примет следующий вид:
где m – число лет инвестирования Преимущества данного метода: – учитывает временную ценность денег (фактор времени); – даёт стоимостное выражение приращения (уменьшения) капитала, что позволяет оценивать не только отдельные проекты, но и их комбинации (свойство аддитивности). Недостатки метода: – при сравнении инвестиционных проектов с разными по объёмам инвестициям можно сделать неверный выбор. – NPV не учитывает период возврата вложенных средств, поэтому его расчет следует дополнять другими показателями – NPV в явном виде не показывает, какими инвестиционными усилиями достигнут результат. 1.2.2 Индекс рентабельности и коэффициент эффективности инвестиций Рентабельность инвестиций может быть измерена двумя способами – с учетом фактора времени (т.е. с дисконтированием членов потока платежей) и бухгалтерским. В обоих случаях доход сопоставляется с размером инвестиций. Индекс рентабельности (PI) проекта представляет собой отношение суммы всех дисконтированных денежных доходов от инвестиций к сумме всех дисконтированных расходов. Если индекс рентабельности равен или меньше 1, то проект следует отклонить; среди проектов, у которых больше 1, следует отдать предпочтение проекту, имеющему наибольший индекс рентабельности. Не всегда проект с самым высоким индексом рентабельности будет иметь и самую высокую чистую приведенную стоимость. Таким образом, индекс рентабельности не является однозначным критерием эффективности проекта, поэтому его использование при оценке взаимоисключающих проектов может привести к ошибочным результатам. Обычно расчет индексам рентабельности дополняет расчет чистой современной стоимости с целью выбора проекта, дающих максимальную стоимость дохода на единицу затрат. Для расчета индекса рентабельности при разовом вложении средств используются следующие формулы:
Если проект предполагает не разовую инвестицию, а последовательное вложение финансовых ресурсов в течении нескольких лет формула расчета модифицируется:
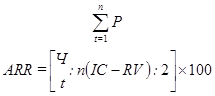
Использование индекса рентабельности бывает полезным, когда существует возможность финансирования нескольких проектов, но инвестиционные ресурсы предприятия ограничены. В подобных условиях оптимальный портфель инвестиций можно получить путем последовательного включения проектов в порядке убывания индексов рентабельности. Показатель бухгалтерской (учетной) нормы рентабельности (ARR), называемый коэффициентом эффективности инвестиций имеет две характерные черты: он не предполагает дисконтирования показателя дохода и инвестиций; доход характеризуется показателем чистой прибыли. Коэффициент эффективности инвестиций ARR рассчитывается как отношение среднегодовой суммы чистой прибыли к средней величине инвестиций. Средняя величина инвестиций составляет 50% исходной суммы капитальных вложений, если по истечении срока реализации проекта все капитальные затраты будут списаны; если допускается наличие остаточной или ликвидационной стоимости, то эту величину исключают. Формула расчета коэффициента эффективности инвестиций:
где RV – остаточная или ликвидационная стоимость оборудования Методика расчета коэффициент эффективности инвестиций достаточно проста, что обуславливает широкое использование его на практике. Однако он имеет определенные недостатки: учетная норма рентабельности игнорирует временную оценку денежных вложений; она основывается на учетной прибыли вместо денежных потоков. 1.2.3 Внутренняя норма доходности Важным показателем для оценки эффективности производственных инвестиций является внутренняя норма доходности (IRR), представляющая процентную ставку, при которой чистая современная стоимость инвестиционного проекта равна 0. Это означает, что современная стоимость проекта PV равна по абсолютной вличина первоначальным инвестициям IC, следовательно они окупаются. Реализация любого инвестиционного проекта требует привлечения финансовых ресурсов из различных источников, за которые необходимо платить. Например за заемные средства платят проценты, за привлеченный капитал – дивиденды. Предприятие всегда несет определенные расходы при осуществлении инвестиционного проекта. Показатель, характеризующий относительный уровень этих расходов определяет цену использованного (авансированного) капитала (CC). При финансировании проекта из различных источников этот показатель определяют как среднюю арифметически взвешенную величину. Экономический смысл этого показателя заключается в том, что предприятие может принимать любые решения инвестиционного характера, если уровень их рентабельности не ниже текущего значения показателя СС. Именно с ним сравнивается показатель IRR, рассчитанный для конкретного проекта. Если IRR > СС, то проект следует принять. Если IRR < СС, то проект следует отклонить, если Практическое применение данного метода сводится к последовательной итерации, с помощью находится ставка дисконтирования, обеспечивающая равенство между суммами дисконтированных доходов и инвестиций. (NPV = 0). Для этого с помощью расчетов или таблиц выбирают 2 значения коэффициента дисконтирования. r1 < r2, таким образом, чтобы в интервале между r1 и r2 функция NPV = f(r) меняла знаки на противоположные. Точность вычислений обратно пропорционально длине интервала (r1, r2), поэтому наилучший результат достигается, когда она минимальна (равна 1%), т.е. когда r1 и r2 ближайшие к друг другу значения. Показатель IRR, рассчитанный в процентах, позволяет выявить разницу между прогнозированной внутренней нормой окупаемости проекта и требуемой доходностью. Это разница представляет запас прочности, позволяющий сопоставить доходность инвестиций и риск. Если внутренняя норма окупаемости инвестиционного проекта равна 30%, а требуемая доходность составляет 15%, то большая разница позволяет сделать скидку на возможные ошибки. Вместе с тем показательно внутренней нормы доходности меет ряд недостатков. В отличие от NPV он предполагает реинвестирование получаемых доходов по ставке IRR, что вряд ли осуществимо в реальной практике. Кроме того, это показатель может иметь несколько значений чередований притоков и оттоков денежных средств по одному инвестиционному проекту, например в случае капитального ремонта или модернизации оборудования. 1.2.4 Определение срока окупаемости инвестиций Срок окупаемости инвестиций PP определяет продолжительность времени, необходимого для возмещения первоначальных инвестиционных затрат. Срок окупаемости может определяется в двух вариантах: на основе дисконтированных членов потока платежей (Пок), т.е. с учетом фактора времени, и без дисконтирования (Пу). Величина Пок характеризует число лет, необходимое для того, чтобы сумма дисконтирования на момент окончания инвестиций чистых доходов была равна размеру инвестиций. Показатель Пу не учитывает фактора времени, т.е. равные суммы дохода, получаемые в разное время, рассматривается как равноценные. В этом случае срок окупаемости определяется как отношение суммы инвестиций к средней ожидаемой величине поступаемых доходов: Пу =IC: CF Такой расчет оправдан при незначительных колебаниях годовых отходов в относительно средней. Если поступления заметно меняются во времени, срок окупаемости определяется последовательным суммированием дохода до тех пор пока суммы чистого дохода не окажется равной величине инвестиций. Более обоснованным является метод определения срока окупаемости с учетом фактора времени. Для данного момента под сроком окупаемости понимается продолжительность периода, в течении которого происходит полная компенсация инвестиций поступающими доходами с дисконтированием обоих потоков по определенной процентной ставке:
где m – срок завершения инвестиций Когда капитальные вложения единовременны, а поток поступлений постоянен и дискретен (постоянная ограниченная рента), из условий полной окупаемости за год за срок Пок при заданной процентной ставке r следует равенство суммы капитальных вложений и современной стоимости ренты:
Откуда:
Аналогичным образом находятся дисконтные сроки окупаемости для других видов регулярных поступлений дохода. В каждом случае капитальные вложения приравниваются к современной стоимости соответствующих финансовых рент. Так, для Р – срочной ренты постнумерандо получен:
Для непрерывного постоянного потока денежных доходов используют следующую формулу:
где е – основание натурального логарифма δ – ставка непрерывных процентов, или сила роста Основной недостаток показателя Пок, как меры эффективности проекта, заключается в том, что он не учитывает весь период функционирования инвестиций и, как следствие, на него не влияет та отдача, которая лежит за пределами срока окупаемости. В связи с этим, показатель срока окупаемости не должен служить критерием отбора инвестиционных проектов, а может лишь использоваться в виде ограничения при принятии решений. Например, когда руководство предприятия в большей степени озабочено решением проблемы ликвидности, а не прибыльностью проекта, т.е. тем, чтобы инвестиции окупились как можно скорее. Этот показатель пригоден в ситуации, когда инвестиции сопряжены с высокой степенью риска, поэму чем короче срок окупаемости, тем менее рискованным является проект. Если срок окупаемости больше, чем принятые ограничения, деятельности проекта, то его исключают из списка альтернативных. В отечественной практике до последнего времени используется следующие показатели оценки эффективности инвестиционных проектов, исчисляемых без учета фактора времени (не дисконтированные). 1) коэффициент сравнительной экономической эффективности Кэ, определяемой по формуле:
S1, S2 – себестоимость продукции до и после осуществления капиталовложений IC1, IC2 – старые и новые капитальные вложения Этот показатель применяется для обоснования нового строительства. В качестве базы сравнения используются данные аналогичного производства. Кэ используется в случае замены старого оборудования (IC1) более производительным новым оборудованием IC2. При этом предлагается, что себестоимость продукции на старом оборудовании больше, чем на новом (S1 > S2), а стоимость старого инвестирования меньше новых капитальных вложений (IC1 < IC2). Принято сравнивать значение Кэ с нормативной величиной эффективности Ен, которая меньше или равна коэффициента сравнительной экономической эффективности. Если решается проблема выбора альтернативных инвестиционных проектов, то принимается вариант с наибольшим Кэ превышающим норматив. 2) Показатель минимума произведенных затрат (Пз), представляющих сумму начальных инвестиционных затрат и текущих расходов, приведенных к одинаковой размерности в соответствии с нормативным показателем эффективности.
S – текущие затраты 3) Показатель максимума приведенной прибыли Р. Исчисляется по формуле:
Комплексное использование традиционных российских аналитических и дисконтных показателей позволяет свести к минимуму инвестиционный риск и снизить ошибки в принятии решений. Оптимизация управленческих решений, связанных с долгосрочным инвестирование основано на анализе капитальных вложений с учетом влияния инфляции на эффективность инвестиций. 1.3 Организация учетно-аналитической работы на ООО «Балтрыба»Учет на предприятии осуществляется бухгалтерией – самостоятельным структурным подразделением, которое возглавляет главный бухгалтер. Главный бухгалтер является организатором учета и контроля и призван обеспечить соответствие осуществляемых хозяйственных операций законодательству РФ, также осуществляет работу по следующим направлениям: контроль за работой подчиненных; защита интересов Общества во взаимоотношениях с юридическими и физическими лицами; принятие решений по оперативным вопросам, возникающим при исполнении служебных обязанностей; оценка эффективности работы подчиненных сотрудников. Кроме него в состав бухгалтерии входят: бухгалтер-кассир осуществляющий прием наличных денежных средств, ведение кассовых и банковских операций аналитическая работа проводится экономистом. Так на предприятии проводится горизонтальный анализ отчетности (сравнение каждой позиции с предыдущим периодом), вертикальный (структурный) анализ (определение структуры итоговых финансовых показателей с выявлением влияния каждой позиции отчётности на результат в целом) и анализ относительных показателей (коэффициентов) (расчет отношений между отдельными позициями отчета или позициями разных форм отчетности, определение взаимосвязи показателей). Так в частности рассчитываются показатели финансового состояния: коэффициенты абсолютной и текущей ликвидности, коэффициент обеспечения собственными средствами, коэффициент финансовой независимости и другие показатели. Определяется группа финансовой устойчивости, к которой относится предприятие. По результатам анализа оценивается текущее состояние предприятия, и отслеживаются те или иные тенденции в изменении основных финансовых показателей, выявляются слабые позиции и проводится целенаправленная работа, нацеленная на улучшение этих показателей. Сотрудники бухгалтерии руководствуется в своей деятельности Положением о бухгалтерии, а также должностными инструкциями сотрудников бухгалтерии. Учет на предприятии ведется с использованием программного продукта 1С: Предприятие версии 7.7. Учет осуществляется с помощью Рабочего плана счетов. Рабочий план счетов предусматривает счета, необходимые для ведения синтетического и аналитического учета в соответствии с требованиями своевременности и полноты учета и отчетности. 1.4 Информационная база анализа экономической эффективности инвестицийИнвестиционные проекты, анализируемые в процессе составления бюджета капитальных вложений, имеют определенную логику. ¨ С каждым инвестиционным проектом принято связывать денежный поток (CashFlow), элементы которого представляют собой либо чистые оттоки (NetCashOutflow), либо чистые притоки денежных средств (NetCashInflow). Под чистым оттоком в k-м году понимается превышение текущих денежных расходов по проекту над текущими денежными поступлениями (при обратном соотношении имеет место чистый приток). Денежный поток, в котором притоки следуют за оттоками, называется ординарным. Если притоки и оттоки чередуются, денежный поток называется неординарным. ¨ Чаще всего анализ ведется по годам, хотя это ограничение не является обязательным. Анализ можно проводить по равным периодам любой продолжительности (месяц, квартал, год и др.). При этом, однако, необходимо помнить о сопоставимости величин элементов денежного потока, процентной ставки и длины периода. ¨ Предполагается, что все вложения осуществляются в конце года, предшествующего первому году реализации проекта, хотя в принципе они могут осуществляться в течение ряда последующих лет. ¨ Приток (отток) денежных средств относится к концу очередного года. ¨ Коэффициент дисконтирования, используемый для оценки проектов с помощью методов, основанных на дисконтированных оценках, должен соответствовать длине периода, заложенного в основу инвестиционного проекта (например, годовая ставка берется только в том случае, если длина периода – год). Необходимо особо подчеркнуть, что применение методов оценки и анализа проектов предполагает множественность используемых прогнозных оценок и расчетов, которые необходимо брать из достоверных источников и законодательных актов. Государство применяет различные методы государственного регулирования инвестиционной деятельности. Прежде всего государство оказывает регулирующее влияние на инвестиционную деятельность в следующих формах: 1) посредством издания законов и подзаконных нормативных актов; 2) посредством прямого управления государственными инвестициями; 3) принятием государственных инвестиционных программ; 4) посредством особого регулирования государственной деятельности; 5) экономическими методами регулирования инвестиционной деятельности являются: ♦ налогообложение; ♦ участие государственных органов в инвестиционной деятельности; ♦ создание свободных экономических зон; ♦ распределение и перераспределение финансовых ресурсов; ♦ кредитно-финансовый механизм (предоставление кредитов, %). Инвестиционная деятельность в РФ регулируется системой законов и нормативных актов. В качестве законов, регулирующих инвестиционную деятельность, выступают: 1. Конституция Российской Федерации. 2. Градостроительный кодекс РФ. 3. Гражданский кодекс РФ, часть первая и вторая. 4. Закон о налогообложении: Налоговый кодекс, часть вторая (2001 г.). Основополагающее значение для регулирования инвестиций и инвестиционного процесса в России имеют следующие Законы: 1. Федеральный закон от 25 февраля 2003 г. №39-ФЗ «Об инвестиционной деятельности в Российской Федерации, осуществляемой в форме капитальных вложений». 2. Градостроительный кодекс РФ. 3. Гражданский кодекс РФ. 4. Федеральный закон «О лицензировании отдельных видов деятельности» от 25 сентября 1998 г. 5. Федеральный закон «Об ипотеке (залоге недвижимости)» №102-ФЗ. 7. Земельный кодекс Российской Федерации (2002 г.). Федеральный закон «Об инвестиционной деятельности в Российской Федерации, осуществляемой в форме капитальных вложений» №39-ФЗ определяет: ♦ основы градостроительной политики; ♦ порядок разработки градостроительных нормативов и градостроительной документации; ♦ права и обязанности субъектов (участников градостроительной деятельности). Градостроительный кодекс регулирует отношения в области системы расселения, градостроительного планирования, застройки, благоустройства городов и сельских поселений, сохранения объектов историко-культурного наследия и охраны окружающей среды в целях обеспечения благоприятных условий проживания населения. В Гражданском кодексе РФ установлен перечень юридических лиц, в том числе для инвестиционной деятельности. Регулируются вопросы строительного подряда, подрядных работ для государственных нужд, регулируются правила расчетов. Через налоговое законодательство государственные органы оказывают влияние на инвестиционную деятельность путем дифференцирования налоговых ставок и льгот. 2. Анализ экономической эффективности инвестиционного проекта.2.1 Анализ финансового состояния организации, как субъекта инвестицийАнализ ликвидности бухгалтерского баланса и уровня платежеспособности организации. Ликвидность баланса определяется как степень покрытия обязательств организации ее активами, срок превращения которых в деньги соответствует сроку погашения обязательств. Анализ ликвидности баланса заключается в сравнении средств по активу, сгруппированных по степени их ликвидности и расположенных в порядке убывания ликвидности, с обязательством по пассиву, сгруппированным по строкам их погашения и расположенными в порядке возрастания сроков. В зависимости от степени ликвидности, т.е. скорости превращения в денежные средства, активы предприятия разделяются на следующие группы: А1 – абсолютно ликвидные активы (∑ 260, 250) А2 – быстро реализуемые активы (∑240,270) А3 – медленно реализуемые активы (∑210, 220) А4 – трудно реализуемые активы (∑190, 230) Пассивы баланса группируются по степени срочности их оплаты. П1 – наиболее срочные обязательства (∑620, 630) П2 – краткосрочные обязательства (∑610, 650, 660) П3 – долгосрочные обязательства (590) П4 – постоянные пассивы (∑490, 640) Таблица №1.2.1. Баланс ликвидности на 2009 год
Баланс ликвидности составлен по данным бухгалтерского баланса (см. приложение) Исходя из указанной выше таблицы, можно сделать выводы о ликвидности предприятия: А1≥П1 А2≥П2 А3≥П3 А4≤П4 – абсолютная ликвидность А1+А2≥П1+П2 А3≥П3 А4≤П4 – нормальная ликвидность А1+А2+А3≥П1+П2+П3 А4≤П4 – критическая ликвидность А4≥П4 – абсолютная неликвидность бухгалтерского баланса Из баланса ликвидности видно, что суммы денежных средств, имеющихся на предприятии и краткосрочных финансовых вложений не достаточно для погашения кредиторской задолженности по различным видам услуг, а платежный недостаток по наиболее срочным обязательствам на начало периода составил 2608 тыс. руб., на конец периода уменьшился до 1798 тыс. руб. По второму показателю можно сказать, что платежный излишек на начало года составил 316 тыс. руб., а под конец периода превратился в недостаток (-176 тыс.). Это негативно влияет на деятельность предприятия и говорит о том, что кредитов и займов в конце года стало больше чем быстро реализуемых активов. Третий показатель показывает, что долгосрочных обязательств не имеется по отношению с медленно реализуемыми активами. Платежный излишек на начало периода составил 1329 тыс. руб., на конец – снизился до 742 тыс. руб. Собственный капитал, исходя из 4 – ого показателя, не покрывает внеоборотные активы. Излишек на начало года составил 963 тыс. руб., на конец – увеличился до 1232 тыс. руб. Кроме того, на предприятии ООО «Балтрыба» выполняется условие ликвидности: А4≥П4, что говорит об абсолютной неликвидности предприятия на данный момент. На начало периода: 1448≥485, на конец периода 1783≥551. Ликвидность баланса можно определить как характеристику теоретической учетной возможности предприятия обратить активы в наличность и погасить свои обязательства, а также степень покрытия обязательств активами на различных платежных горизонтах. Таким образом, можно сделать вывод, что предприятие ООО «Балтрыба» абсолютно неликвидное, т. к. ни одно условие ликвидности не выполняется. Анализ относительных показателей платежеспособности. Платежеспособность предприятия – моментная характеристика предприятия, отражающая наличие свободных расчетных средств в объеме, достаточном для немедленного погашения требований кредиторов, пролонгировать которые невозможно. Для анализа платежеспособности рассчитываются финансовые коэффициенты на начало и конец периода, и сопоставляются с нормальным ограничением, если фактическое значение коэффициента не соответствует нормативу, то данный показатель оценивается в динамике. Рассматривая показатели предприятия ООО «Балтрыба» можно сказать, что общее положение финансовой деятельности предприятия очень нестабильное, задолженностей гораздо больше чем денежных средств, платежеспособность низкая. Таблица №1.2.2. Коэффициенты уровня платежеспособности на ООО «Балтрыба»
Коэффициент текущей ликвидности (L1) на начало года – 0.65, к концу года снизился до 0.54, при нормальном ограничении более 2. Это говорит о том, что текущих активов не хватает для погашения краткосрочных обязательств, то есть оборотных средств, направленных на погашение кредиторской задолженности настолько мало, что образуется еще и их недостача. Коэффициент промежуточного покрытия (критической ликвидности L2) как на начало так и на конец периода не превышал рекомендуемого значения. Изменение его произошло в сторону увеличения (от 0.17 до 0.27), но не достаточного для нормального ограничения. Это говорит о крайне плохой платежеспособности и нехватки денежных средств для покрытия кредиторской задолженности. Коэффициент абсолютной ликвидности, также как и срочной, показывает, какая часть краткосрочных заемных обязательств может быть при необходимости погашена немедленно. Из таблицы видно, что на начало года показатель абсолютной ликвидности составил 0.056, при нормальном ограничении 0.2. Соответственно суммы денежных средств на начало года (154 тыс. руб.) не достаточно для покрытия всей суммы краткосрочной задолженности (2762 тыс. руб.). Но к концу года состояние нормализовалось и коэффициент абсолютной ликвидности составил 0.22, т.е. около 22% текущих обязательств на предприятии покрывается немедленно, как исходя из теории и должно происходить. Коэффициент платежеспособности (L5) на предприятии ООО «Балтрыба» как на начало, так и на конец периода превышал нормативное значение (правда не намного). На начало периода превышение составило 0.014, на конец – 0.003, соответственно. Что говорит о нормальной платежеспособности предприятия. К концу года показатель снизился на 0.011, но все-таки превышал нормативное ограничение. Коэффициент утраты платежеспособности показывает, насколько предприятие утратило свою платежеспособность. Он составляет 0.28375, при нормальном ограничении больше 1. Соответственно коэффициент восстановительной платежеспособности также меньше нормального ограничения, что характеризует предприятие с крайне худшей стороны. Таким образом, при оценки состояния ликвидности и платежеспособности предприятия ООО «Балтрыба» видно, что предприятие абсолютно неликвидное, суммы денежных средств не хватает для покрытия краткосрочных обязательств. Доля текущих обязательств, которые должны быть покрыты немедленно слишком мала, коэффициенты ликвидности и платежеспособности ниже нормального ограничения, что говорит об очень критическом состоянии организации. На основе полученных значений недостатков таблицы №1.2.1. сформируем трехкомпонентный показатель типа финансовой устойчивости на начало года S {0,0,0} и на конец года S {0,0,0}.Таким образом, на начало и конец анализируемого периода у организации было кризисное финансовое состояние, то есть для формирования запасов предприятию недостаточно общих источников финансирования и формирование запасов осуществляется за счет краткосрочной кредиторской задолженности. Следует отметить, что на конец года в организации произошло уменьшение собственных источников формирования оборотных средств на 269 тыс. руб. с -963 тыс. руб. на начало года до -1232 тыс. руб. на конец года. Оба этих показателя являются отрицательными, что говорит о том, что суммы собственного капитала недостаточно для покрытия внеоборотных активов. Уменьшение данного показателя обусловлено тем, что увеличение суммы собственного капитала организации шло более медленными темпами, чем увеличение суммы внеоборотных активов. Собственные и долгосрочные источники формирования оборотных средств уменьшились на 269 тыс. руб. с -963 тыс. руб. на начало года до -1232 тыс. руб. на конец года. Это говорит о том, что никаких долгосрочных обязательств предприятие не несет и темп роста внеоборотных активов опережал темп роста долгосрочного и собственного капитала. Общие источники формирования оборотных средств увеличились на конец года, с -963 тыс. руб. до -932 тыс. руб. Увеличение общих источников формирования оборотных средств на 31 тыс. руб. Отрицательные значения данных показателей связаны с тем, что темп роста общих источников финансирования был меньше темпа роста внеоборотных активов. Но изменение имеет положительный характер и при соблюдении такой тенденции предприятие может улучшить свое положение. Недостаток собственных источников формирования запасов уменьшился на 371 тыс. руб. с -2292 тыс. руб. на начало года до -1921 тыс. руб. на конец года и показывает, что на начало и конец года у организации было недостаточно собственных средств для формирования запасов. Динамика показателя положительная, при соблюдении данной тенденции состояние предприятия ООО «Балтрыба» наладится и в скором времени величина собственных средств будет покрывать запасы предприятия. Недостаток собственных и долгосрочных источников покрытия запасов уменьшился в анализируемом периоде на 371 тыс. руб. с -2292 тыс. руб. до -1921 тыс. руб. и говорит о том, что ни на начало анализируемого периода, ни на конец организация не имела достаточного количества собственных и долгосрочных источников для формирования запасов. Динамика показателя положительная. Недостаток общих источников для формирования запасов в анализируемом периоде уменьшился на 671 тыс. руб. с -2292 тыс. руб. до -1621 тыс. руб., что является отрицательным и свидетельствует о том, что ни начало, ни на конец анализируемого периода общих источников для формирования запасов было недостаточно. Но при соблюдении такой же тенденции на предприятии ООО «Балтрыба» в скором времени общих источников будет достаточно для формирования запасов. Таблица №1.2.4. Анализ относительных показателей финансовой устойчивости.
Коэффициент обеспеченности оборотных активов собственными средствами на начало года составил -0,54, а на конец года снизился на 0,31 и составил -0,85. Он показывает, сколько оборотных активов профинансировано за счет собственного капитала предприятия. Нормальное ограничение по данному коэффициенту говорит о том, что не менее 10% оборотных активов должно быть профинансировано за счет собственного капитала организации. На начало и на конец года в организации коэффициент обеспеченности оборотных активов собственными средствами ниже нормального ограничения. Снижение данного коэффициента свидетельствует о снижении доли маневренного собственного капитала. Данное снижение связано с тем, что темпы роста собственного и долгосрочного заемного капитала были ниже, чем темпы роста внеоборотных и оборотных активов. Коэффициент постоянного (внеоборотного) актива с учетом долгосрочных заемных источников финансирования имеет большое значение при формировании финансового стандарта предприятия о соотношении внеоборотных и оборотных активов. Данный коэффициент показывает, какая доля внеоборотных активов приходится на 1 руб. долгосрочных источников финансирования. Таким образом, на начало года на 1 руб. долгосрочных источников финансирования приходилось 2.99 руб. внеоборотных активов, а на конец года 3.24 руб. Данный коэффициент должен иметь тенденцию к снижению, однако в организации он увеличился на 25 копеек. Данное увеличение обусловлено тем, что увеличение внеоборотных активов шло более быстрыми темпами, чем увеличение собственного и перманентного капитала. Коэффициент автономии показывает степень зависимости предприятия от внешних инвесторов. Считается нормальным, если данный коэффициент не менее, чем 0,5–0,6. На начало года организация была независима от внешних инвесторов на 15%, а на конец года на 17%, что является не достаточным для нормального ограничения, т.е. темп роста собственного капитала был меньше, чем темп роста валюты баланса. Увеличение коэффициента автономии произошло на 2%, т.е. тенденция положительная, при дальнейшем соблюдении данной тенденции этот показатель может увеличится до нормального состояния. Коэффициент финансовой зависимости – это коэффициент, обратный коэффициенту автономии. Он показывает степень зависимости от внешних инвесторов. На начало периода в организации на 1 руб. собственного капитала приходилось 6,69 руб. авансированного капитала, а на конец 5,89 руб. На конец года произошло снижение данного показателя на 0,8. Коэффициент финансовой устойчивости (обеспеченности долгосрочными источниками финансирования) показывает, сколько долгосрочных источников финансирования приходится на 1 руб. авансированного капитала. На начало года в организации на 1 руб. авансированного капитала приходилось 0,15 руб. авансированного капитала, а на конец года 0,17 руб. Увеличение коэффициента финансовой устойчивости произошло на 0,02. Коэффициент маневренности собственного капитала с учетом долгосрочных заемных источников финансирования показывает долю собственного капитала, направленного на финансирование оборотных активов. С точки зрения финансового состояния предприятий, чем выше этот коэффициент, тем лучше. Считается, что данный коэффициент не должен снижаться. Альтернативная ситуация свидетельствует о повышении кредиторской задолжности или краткосрочных кредитов и займов в финансировании оборотных активов. В организации на начало и на конец периода этот коэффициент имеет отрицательное значение, т.е. на финансирование оборотных активов не было направлено собственного капитала. Сокращение данного коэффициента на 0,25 связано с тем, что в анализируемом периоде имело место более быстрое увеличение суммы внеоборотных активов по сравнению с собственным капиталом. Коэффициент маневренности собственного капитала показывает долю перманентного капитала, направленного на финансирование оборотных активов. Уменьшение коэффициента на 0,25 отражает более высокий темп роста внеоборотных активов по сравнению с темпами роста перманентного капитала. Коэффициент финансовой активности показывает, какая доля заемных источников приходится на 1 руб. собственного капитала. Так, на начало анализируемого периода на 1 руб. собственного капитала в организации приходилось 5.69 руб. заемных источников, а на конец 4.89 руб., т.е. на конец года данный коэффициент уменьшился на 0,8 руб. Значения данного коэффициента на начало и на конец анализируемого периода крайне высокие, что отражает высокий риск, ассоциируемый с данной организацией. Но тенденция к снижению данного показателя способствует в скором времени наладить соотношение заемных средств к собственному капиталу и улучшить состояние организации ООО «Балтрыба». Анализ деловой активности Показатели оборачиваемости характеризуют деловую активность организации. Под оборачиваемостью средств понимается продолжительность прохождения средствами отдельных стадий производства и обращения. Оценка оборачиваемости осуществляется с помощью следующих показателей. Коб. = Выручка ср. величина Отражает количество оборотов, совершенных оборотными активами (основным капиталом, дебиторской задолженностью и т.д.) за анализируемый период. Период оборота в днях П = Т/Коб. (Т=360) Таблица №1.2.5. Анализ уровня деловой активности организации ООО «Балтрыба»
1) Коэффициент оборачиваемости активов говорит об эффективности, с которой предприятие использует свои ресурсы для выпуска продукции и показывает, сколько рублей выручки от реализации приходится на один рубль вложений в активы. Так в 2008 году на 1 рубль вложений в активы приходилось 14,79 рубля выручки от реализации, а в 2009 году уже 11,76 рубля выручки. Период оборота всех активов в 2008 году составил 24 дня, в 2009 увеличился на 7 дней и составил 31 день, что отражает увеличение длительности кругооборота средств предприятия на 7 дней и не может оцениваться положительно. 2) Коэффициент оборачиваемости оборотных активов показывает количество оборотов активов предприятия за анализируемый период. В 2008 году оно составило 28,36 оборота, а в 2009 году – 23,43 оборота. Сокращение коэффициента оборачиваемости оборотных активов на 4,93 оборота является отрицательным, т. к. характеризует замедление скорости оборота всех оборотных средств. Период оборота оборотных активов увеличился на 2 дня и говорит о том, что в 2008 году по сравнению с 2007 в среднем оборотные активы совершали 1 полный оборот на 2 дня дольше, что является негативным фактом. 3) Коэффициент оборачиваемости материальных оборотных средств показывает количество оборотов запасов и затрат за анализируемый период. В 2008 году он составил 37,05 оборота, а в 2008 году – 37,84 оборота. При этом длительность 1 оборота запасов и затрат, т.е. скорость превращения запасов и затрат из материальной формы в денежную, составила в 2008 году 10 дней, а в 2009 году – 9,5 дней. Наблюдаемое снижение длительности 1 оборота запасов и затрат на 0,5 дней – является благоприятной тенденцией. 4) Коэффициент оборачиваемости готовой продукции показывает количество оборотов готовой продукции за период. В 2008 году оно составило 42,23 оборота, а в 2009 году – 42,7 оборотов. При этом длительность в днях полного оборота готовой продукции составила в 2008 году – 9 дней, а в 2009 году – 8 дней, что свидетельствует о повышении спроса на готовую продукцию предприятия. 5) Коэффициент оборачиваемости краткосрочной дебиторской задолженности показывает число оборотов, совершенных краткосрочной дебиторской задолженностью за анализируемый период. В 2008 году оно составило 156.34 оборота, а в 2009 году – 173.53 оборота. При этом длительность 1 оборота краткосрочной дебиторской задолженности, т.е. количество дней, за которое дебиторы предприятия рассчитываются с ним, составила в 2008 году 2.3 дня, а в 2009 году – 2.07 дней. Снижение значения данного показателя на 0,23 дня является благоприятной тенденцией и свидетельствует об улучшении расчетов с дебиторами. 6) Коэффициент оборачиваемости общей дебиторской задолженности показывает число оборотов, совершенных дебиторской задолженностью за анализируемый период. В 2007 году оно составило 156.34 оборота, а в 2008 году – 173.53 оборота. При этом длительность 1 оборота краткосрочной дебиторской задолженности, т.е. количество дней, за которое дебиторы предприятия рассчитываются с ним, составила в 2007 году 2.3 дня, а в 2008 году – 2.07 дней. Снижение значения данного показателя на 0,23 дня является благоприятной тенденцией и свидетельствует об улучшении расчетов с дебиторами. 7) Коэффициент оборачиваемости денежных средств показывает количество оборотов денежных средств предприятия за анализируемый период. В 2008 году оно составило 531,75 оборотов, а в 2009 году – 102,07 оборота.Снижение коэффициента оборачиваемости денежных средств на 429,68 оборотов на конец года является отрицательным моментом, т. к. это уменьшение отражает замедление оборачиваемости денежных средств в 2009 году по сравнению с 2008. При этом длительность в днях полного оборота денежных средств, т.е. количество дней нахождения денег в обороте, составила в 2008 году 0,68 дней, а в 2009 году – 3,53 дня. Замедление оборачиваемости денежных средств является отрицательной тенденцией. 8) Коэффициент оборачиваемости собственного капитала в 2008 году составил 86.84 оборота, а в 2009 году – 73,69 оборотов. Уменьшение коэффициента оборачиваемости собственного капитала на 13,15 оборотов является отрицательным моментом, т. к. означает уменьшение суммы выручки, приходящейся на 1 руб. собственного капитала. Увеличение периода оборота собственного капитала на 0,74 дней можно рассматривать отрицательно, т. к. это отражает уменьшение активности собственного капитала на 0,74 дня. 9) Коэффициент оборачиваемости краткосрочных заемных источников финансирования показывает количество оборотов краткосрочных заемных источников финансирования. В 2008 году оно составило 17.83 оборота, а в 2009 году – 13.99 оборота. При этом длительность в днях полного оборота краткосрочных заемных источников финансирования, составила в 2008 году 20.19 дней, а в 2009 году – 25.73 дней. Замедление оборачиваемости краткосрочных заемных источников финансирования является благоприятной тенденцией для предприятия. 10) Коэффициент оборачиваемости краткосрочных кредитов и займов показывает количество оборотов краткосрочных кредитов и займов. В 2008 году краткосрочных кредитов и займов не было, а в 2009 году коэффициент составил 254,5 оборота. При этом длительность в днях полного оборота краткосрочных кредитов и займов, т.е. средний срок возврата предприятием краткосрочных кредитов и займов составил в 2007 году – 1 день. Данное увеличение является неблагоприятной для предприятия тенденцией. 11) Коэффициент оборачиваемости кредиторской задолженности показывает скорость расчетов с кредиторами. В 2008 году длительность оборачиваемости кредиторской задолженности составила 17,83 оборота, а в 2009 году – 14,81 оборот. При этом скорость 1 оборота кредиторской задолженности, т.е. средний срок возврата долгов предприятием, составила в 2008 году 20 дней, а в 2009 году – 24 дня. Замедление в оборачиваемости кредиторской задолженности является положительным явлением, так как благоприятно сказывается на ликвидности предприятия. 12) Коэффициент оборачиваемости задолженности поставщикам и подрядчикам показывает скорость расчетов с поставщиками и подрядчиками. В 2008 году длительность оборачиваемости задолженности поставщикам и подрядчикам составила 26,07 оборотов, а в 2009 году – 22,76 оборотов. При этом скорость 1 оборота задолженности поставщикам и подрядчикам, т.е. средний срок возврата долгов предприятием поставщикам и подрядчикам, составил в 2008 году 14 дней, а в 2009 году – 16 дней. Данное увеличение является благоприятной для предприятия тенденцией. Факторный анализ прибыли от продаж на предприятии ООО «Балтрыба» Данные таблицы №1.2.6. взяты из отчета о прибылях и убытках торгового предприятия ООО «Балтрыба» (приложение). Анализ показателей, приведенных в таблице №1.2.6, свидетельствует о том, что хозяйствующий субъект в отчетном году ухудшил свои позиции по сравнению прошлым периодом. Так, величина доходов и поступлений в отчетном году составила 39 618 000 рублей, что является меньше, чем аналогичный показатель предыдущего года на 3 989 000 рублей или на 9,15%. Выручка от продаж, полученная в отчетном году, также меньше показателя предыдущего года. Она составила 38 176 000 рублей, что на 11,37% (на 4 896 000 руб.) ниже аналогичного показателя в 2006 году. В отчетном периоде наблюдался значительный рост внереализационных доходов. Этот показатель вырос по сравнению с предыдущим годом на 629 000 рублей и составил 1 158 000 рублей. Однако положительным моментом в деятельности предприятия ООО «Балтрыба» явилось сокращение в отчетном периоде на 8,64% или на 3 720 000 рублей, общих расходов, связанные с финансово-хозяйственной деятельностью предприятия в отчетном периоде. Их снижение обусловлено снижением коммерческих расходов на 4 489 000 рублей, что оказало главное влияние при определении данного показателя. Из-за роста себестоимости в отчетном периоде на 0.19%, произошло существенное снижение прибыли от продаж на 451000 рублей (на 71.14%). Анализ структуры прибыли отчетного года свидетельствует о том, что доля прибыли от основной деятельности в отчетном периоде снизилась на 1% и составила лишь 0,5%. При этом, основную часть прибыли отчетного года составили доходы от внереализационной деятельности 0,7% (2,9%-2,2%). Таким образом, предприятие ООО «Балтрыба» в 2008 году получило прибыль в размере 416 000 руб., а в 2009 году – 66 тыс. руб., хотя произошло снижение данного показателя на 350 000 руб., т.е. на 84.13%. Такая динамика является отрицательной и может привести к убыточным последствиям для предприятия. Таблица №1.2.7. Показатели, учитываемые при факторном анализе на предприятии ООО «Балтрыба»
Рентабельность продаж базисного года: R0 = 634 000/43072 000 = 0,015 Данный показатель говорит о том, что в 2008 году предприятие получало 1.5 коп. прибыли от продаж с каждого рубля выручки. 1) Расчет влияния на прибыль от продаж изменения продажных цен на продукцию. Индекс цен = (100%+13%)/100% = 1,13 Выручка отчетного периода в базисных ценах: В1 (ц0) = 38176 000 / 1,13 = 33 784 (тыс. руб.) Изменение прибыли за счет изменения цен: ∆Приб(ц) = (38176 – 33784)*0,015 =66 тыс. руб. Таким образом, за счет роста продажных цен прибыль в 2008 году увеличилась на 66 000 рублей. 2) Расчет влияния на прибыль от продаж изменения объема реализации: ∆ Приб(в) = (33784 – 43072)*0,015 = -139 (тыс. руб.) Таким образом, за счет изменения физического объема реализации прибыль в 2009 году снизилась на 139 000 рублей. 3) Расчет влияния на прибыль от продаж изменения уровня себестоимости продукции ∆ Приб(усс) = -38176*(0,593 – 0,525) = -2595 (тыс. руб.) Таким образом, за счет возрастания уровня себестоимости продукции, прибыль 2009 года снизилась на 2595000 рублей. 1) Расчет влияния на прибыль от продаж изменения уровня коммерческих расходов: ∆ Приб(укр) = -38176*(0.402–0.461)= 2252 (тыс. руб.) Таким образом, за счет снижения уровня коммерческих расходов, прибыли 2009 года увеличилась на 2252000 рублей 2) Расчет влияния на прибыль от продаж изменения уровня управленческих расходов: ∆ Приб(уур) = 0 Таблица №1.2.8. Баланс факторов
Таким образом, за счет суммарного влияния всех факторов, прибыль от продаж снизилась на 4 920 000 рублей. 1) Порог рентабельности Порог рентабельности в отчетном году равен: ПР1=(КР1+УР1)/КМД = 15354.407 тыс. руб. КМД= 15537 тыс. руб./38176 тыс. руб.=0,407 Порог рентабельности в отчетном периоде составляет 15354.407 тыс. руб. и означает, что чтобы не получить убыток, объем реализации не должен составлять меньше 15354.407 тыс. руб. 2) Запас финансовой прочности ЗФП (в стоимостном выражении) в отчетном году = В-ПР = 38176 тыс. руб. – 15354.407 тыс. руб.=22821,593 тыс. руб. ЗФП (в долях единицы) = ЗФП/В= 22821.593 тыс. руб./38176 тыс. руб.=0,6 Запас финансовой прочности в отчетном периоде равен 22821,593 тыс. руб. или 60% и говорит о том, что фактическая выручка от реализации превышает порог рентабельности на 22821,593 тыс. руб. или 60%. 3) Эффект операционного рычага ЭОР= Валовая прибыль / Прибыль от продаж =15537 тыс. руб./183 тыс. руб.=84.9% Эффект операционного рычага в отчетном периоде равен 84.9% и показывает, что при изменении выручки на 1% прибыль от продаж изменится на 84.9%.ме а за счет изменениявленческих расходов умеличилась \ Анализ рентабельности деятельности предприятия ООО «Балтрыба» По данным таблицы №1.2.9. рентабельность продаж по прибыли от реализации в 2008 году составила 1,47%. К концу 2009 года ее значение снизилось на 0,99%, и она составила 0,48%. Это означает, что в 2008 году на 1 рубль реализованной продукции приходилось 1,47 коп. прибыли от реализации. А в 2009 году – только 0,48 коп. Таким образом, динамика данного показателя отрицательна. Снижение рентабельности продаж по прибыли от реализации обусловлено снижением значения прибыли от реализации и одновременным снижением значения выручки от продаж. Таблица №1.2.9. Трехкомпонентный анализ рентабельности
Рентабельность продаж по прибыли до налогообложения в 2008 году составила 1,39%. К концу 2009 года ее значение снизилось на 0,34%, и она составила 1,05%. Это означает, что в 2008 году 1 рубль реализованной продукции приходилось 1,39 коп. прибыли до налогообложения. А в 2009 году 1,05 коп. прибыли до налогообложения. Снижение рентабельности продаж по прибыли до налогообложения является неблагоприятной тенденцией, связанной со снижением прибыли до налогообложения. Рентабельность производства по прибыли от реализации в 2008 году составила 2,8%. К концу 2009 года ее значение снизилось на 2%, и она составил 0,8%. Это означает, что в 2008 году на 1 рубль себестоимости продукции приходилось 2,8 коп. прибыли от реализации. А в 2009 году 0,8 коп. прибыли от реализации. Снижение рентабельности производства по прибыли от реализации обусловлено сокращением прибыли от реализации при одновременном уменьшении себестоимости проданной продукции. Рентабельность производства по прибыли до налогообложения в 2008 году составила 2,66%. К концу 2009 года ее значение снизилось на 0,9%, и она составила 1,76%. Это означает, что в 2008 году на 1 руб. себестоимости проданной продукции приходилось 2,66 коп. прибыли до налогообложения, а в 2009 году 1,76 коп. прибыли до налогообложения. Снижение рентабельности производства по прибыли до налогообложения является негативным моментом и связано с уменьшением себестоимости проданной продукции. Рентабельность основной деятельности по прибыли от реализации в 2008 и в 2009 годах снизилась на 1,92% (3,1 и 1,18 соответственно). Это свидетельствует о том, что в 2008 году на 1 руб. валовой прибыли приходился 3,1 коп. прибыли от реализации, а в 2009 году на 1 руб. валовой прибыли приходится 1.18 коп. прибыли от реализации. Рентабельность основной деятельности по прибыли до налогообложения в 2008 году была равна – 2,9% и означала, что на 1 руб. валовой прибыли в 2009 году приходилось 2,9 коп. прибыли до налогообложения. За анализируемый период рентабельность основной деятельности по прибыли до налогообложения снизилась на 0,3% и составила 2,6%. Это говорит о том, что в 2009 году на 1 руб. валовой прибыли приходилось 2,6 коп. прибыли до налогообложения. Рентабельность собственного капитала по чистой прибыли в 2008 году составляла 83,87%, а в 2009 году –12,74% и показывала, что на 1 руб. собственного капитала в 2008 году приходилось 83,87 коп. чистой прибыли, а в 2009 году 12,74 коп. чистой прибыли. Динамика показателя отрицательна, т. к. за анализируемый период значение рентабельности собственного капитала по чистой прибыли снизилось на 71,13%. Рентабельность собственного капитала по прибыли до налогообложения в 2008 году составила 121,17% и означала, что на 1 руб. собственного капитала приходилось 1 руб. 21 коп. прибыли до налогообложения. За анализируемый период рентабельность собственного капитала по прибыли до налогообложения снизилась на 44,14%, что является неблагоприятной тенденцией, и в 2009 году составила 77,03%. Это говорит о том, что в 2009 году на 1 руб. собственного капитала стало приходится 77,03 коп. прибыли до налогообложения. Снижение показателя обусловлен снижением прибыли до налогообложения. Рентабельность инвестиций по чистой прибыли в 2008 составляла –14,29%, а в 2009 году –2,03% и означала, что в 2008 году на 1 руб. собственного капитала, долгосрочных и краткосрочных займов и кредитов приходилось 14,29 коп. чистой прибыли, а в 2008 году 2,03 коп. Динамика показателя отрицательна, т. к. за анализируемый период значение рентабельности инвестиций по чистой прибыли снизилось на 12,26%. Рентабельность инвестиций по прибыли до налогообложения в 2008 году составила 20,64% и показывала, что на 1 руб. собственного капитала, долгосрочных и краткосрочных займов и кредитов приходилось 20,64 коп. прибыли до налогообложения. За анализируемый период данный показатель снизился на 8,35%, что является отрицательным моментом, и в 2009 году составил 12,29%. Это означает, что в 2008 году на 1 руб. собственного капитала, долгосрочных и краткосрочных займов и кредитов стало приходиться 12,29 коп. прибыли до налогообложения. Рентабельность активов по чистой прибыли в 2008 году составляла 14,29%, а в 2009 году –2,03% и означала, что в 2007 году на 1 руб. всех активов приходилось 14,29 коп. чистой прибыли, а в 2009 году 2,03 коп. Динамика показателя отрицательна, т. к. за анализируемый период рентабельность активов по чистой прибыли снизилась на 12,26%. Рентабельность активов по прибыли до налогообложения была равна в 2008 году 20,64%, а в 2009 году 12,29% и показывала, что на 1 руб. всех активов в 2008 году приходилось 20,64 коп. прибыли до налогообложения, а в 2009 году 12,29 коп. прибыли до налогообложения. Значение рентабельности фондов по чистой прибыли в 2008 году составляло –29,86%, а в 2009 году –4,47% и свидетельствовало о том, что в 2008 году на 1 руб. среднегодовой стоимости основных средств приходилось 29,86 коп. чистой прибыли, а в 2009 году 4,47 коп. Динамика показателя отрицательна, т. к. в 2007 году по сравнению с 2008 рентабельность фондов по чистой прибыли уменьшилась на 25,39%. Значение рентабельности фондов по прибыли до налогообложения в 2008 году составило 43,14%, а в 2009 году 27,01% и показывало, что в 2008 году на 1 руб. среднегодовой стоимости основных средств приходилось 43,14 коп. прибыли до налогообложения, а в 2009 году 27,01 коп. прибыли до налогообложения. Динамика данного показателя отрицательна и обусловлена тем, что в анализируемом периоде снижение суммы прибыли до налогообложения произошел более высокими темпами, чем рост суммы основных средств. Рентабельность текущих активов по чистой прибыли в 2008 году составляла –27,39%, а в 2009 году –4,05% и означала, что в 2008 году на 1 руб. оборотных активов приходилось 27,39 коп. чистой прибыли, а в 2009 году 4,05 коп. Снижение показателя рентабельности текущих активов по чистой прибыли на 23,34% отражает крайне отрицательную динамику и обусловлен снижением чистого прибыли в отчетном периоде и одновременным ростом суммы оборотных активов. Рентабельность текущих активов по прибыли до налогообложения в 2008 году составила 39,57%, а в 2009 году 24,49% и показывала, что в 2008 году на 1 руб. оборотных активов приходилось 39,57 коп. прибыли до налогообложения, а в 2009 году 24,49 коп. прибыли до налогообложения. Снижение показателя рентабельности текущих активов по прибыли до налогообложения на 15,08% отражает отрицательную динамику и обусловлен резким снижением прибыли до налогообложения и одновременным ростом суммы оборотных активов. Анализ ROE по факторной модели Дюпона. ROE = ЧП/СК= (ЧП/В)*(В/А)*(А/СК) Где, ЧП – чистая прибыль соответствующего периода; В-выручка; А – сумма активов предприятия; СК – собственный капитал I подстановка (базисный период) : ROE = (ЧП/В)*(В/А)*(А/СК) = (416/43072)* *(43072/2912)*(2912/496)*100% = 84,21% II подстановка : ROE = (ЧП1/В1)*(В/А)*(А/СК) = (66/38176)*(43072/2912)*(2912/496)* 100% = 15% IIп – Iп = 15%-84,21% = -69,21% (ΔROE (ЧП/В)) – под влиянием рентабельности продаж. III подстановка : ROE = (ЧП1/В1)*(В1/А1)*(А/СК) = (66/38176)*(38176/3245)* (2912/496)*100% = 11,74% IIIп – IIп = 11,74% -15% = -3,26% (ΔROE (В/А)) – под влиянием ресурсоотдачи IV подстановка (отчетный период): ROE1 = (ЧП1/В1)*(В1/А1)*(А1/СК1) = =(66/38176)*(38176/3245)* (3245/518) *100% = 12,52% IVп-IIIп =12,52%-11,74% = 0,78% (ΔROE (А/СК)) – под влиянием коэффициента финансовой зависимости. +-ΔROE (ЧП/В) + – ΔROE (В/А) + – ΔROE (А/СК) = ROE1 – ROE = -71,69% (ΔROE) Δ (ЧП/В) = -0.8% Δ (В/А) = -30,25% Δ (А/СК) = 39% Таким образом, на предприятии ООО «Балтрыба» в анализируемом периоде рентабельность собственного капитала снизилась на 71,69%. При этом за счет снижения рентабельности продаж на 0,8%, рентабельность собственного капитала снизилась на 69,21%; в результате спада ресурсоотдачи на 30,25% рентабельность собственного капитала уменьшилась на 3,26%; снижение коэффициента финансовой зависимости на 39% оказало влияние на увеличение рентабельность собственного капитала на 0,78%. Таблица №1.2.10. Показатели чистых активов на ООО «Балтрыба»
Расчет таблицы №1.2.10. производится исходя из данных бухгалтерского баланса за 2009 год (приложение). Таким образом на торговом предприятии ООО «Балтрыба», в анализируемом периоде показатель чистых активов на начало 2009 года был больше суммы уставного и резервного капитала, а к концу 2009 года сумма чистых активов увеличилась на 66 тыс. руб. (551 тыс. руб. –485 тыс. руб.), и этот показатель также превышает уставный и резервный капитал. Динамика показателя положительная. 2.2 Краткая характеристика инвестиционного проектаФинансовый анализ показал, что предприятие работает с прибылью, но структура средств ООО «Балтрыбы» такова, что осуществить инвестиционный проект за счет собственных средств не представляется возможным. Поэтому для реализации инвестиционного проекта требуется привлечение долгосрочных кредитов банка. Привлечение кредитных ресурсов также позволит улучшить финансовое состояние, потому как дополнительно привлекаемые для реализации проекта оборотные средства будут привлекаться за счет долгосрочных источников финансирования, тогда как в настоящее время оборотные средства оплачиваются в основном за счет привлеченного капитала. Сферой деятельности ООО «Балтрыба» является оптовая торговля свежемороженой рыбой и продукцией из гофрированного картона, также предоставление услуг по перевозке и экспедированию грузов. У компании налажены постоянные торговые связи с фирмами Белоруссии и Калининградской области. Для организации поставок используются как собственные транспортные средства, так и услуги сторонних грузоперевозчиков. Фирма рассматривает вариант приобретения грузового автомобиля рефрижератора. Это позволит увеличить регулярные поставки свежемороженой рыбы в республику Беларусь. По оценкам экономистов компании использование автомобиля, оборудованного холодильником емкостью 108 м3, позволит увеличить продажи свежемороженой рыбы на 918 тонн ежегодно, то есть почти на 10% от оборота фирмы. Сумма кредита будет направлена на приобретение автомобиля у литовской фирмы ЗАО «ТРАНСИМПЕКСАС» (UAB «TRANSIMPEKSAS»), а также на финансирование дополнительных поставок рыбы, приобретаемой у калининградских производителей ОАО «Атлантрыбфлот», ЗАО «Вестрыбфлот», ООО «Морская звезда», ОАО «Пионерская база океанрыбфлота», ОАО «Запрыба». Такой проект вписывается в общекорпоративные цели фирмы – достижение максимальной прибыли и обеспечение рентабельности продаж на уровне не менее 3%, достижение которой делает возможным решение основных маркетинговых задач, реализацию базисной ценовой стратегии, использование преимуществ в издержках и организацию контроля основных показателей финансово-хозяйственной деятельности предприятия в процессе принятия управленческих решений. 2.3 Оценка экономической эффективности инвестиционного проектаРасчет денежных потоков и прибылей возникающих в результате реализации инвестиционного проекта. Центральное место в оценке инвестиций занимает оценка финансовой состоятельности проектов, которую часто называют капитальным бюджетированием. Качество любого принятого решения будет зависеть от правильности оценок затрат и поступлений, представленных в виде денежных потоков. В ходе оценки сопоставляют ожидаемые затраты и возможные выгоды, (оттоки и притоки) и получают представление о потоках денежных средств. Под денежным потоком (cash flow) инвестиционного проекта понимают поступления и выплаты денежных средств, связанные исключительно с реализацией этого проекта. Денежный поток проекта всегда разбивается по временным периодам. Информация о денежных потоках по проекту обычно представляется в виде плана. План денежного потока, состоит из денежных потоков от: – операционной (текущей) деятельности предприятия (поступления денежных средств от реализации товаров, работ и услуг, а также авансов от покупателей и заказчиков, платежи за сырье, материалы, коммунальные платежи, выплаты заработной платы, уплаченные налоги и сборы и т.д.), – от инвестиционной деятельности (денежные потоки, связанные с приобретением и продажей имущества долгосрочного пользования) – и связанные с финансовой деятельностью (предполагает притоки и оттоки денежных средств по кредитам, займам, эмиссии ценных бумаг и т.д.) Чистый денежный поток это разница между суммой всех поступлений денежных средств и суммой всех платежей за один и тот же период. Именно чистые денежные потоки различных периодов дисконтируются при оценке эффективности проекта. Оценка ожидаемых доходов: Приобретение автомобиля увеличит товарооборот компании на 918 тонн ежегодно, что приведет к росту выручки на 13179275 рублей (по модели EOQ) (включая выручку от реализации рыбной продукции в условной оценке в средних ценах 2008 года, а также услуг по транспортировке и экспедированию этих поставок, стоимость которых рассчитана по данным сайта RVDTRANS «Информационная система по грузоперевозкам» для направления республика Беларусь г. Минск). Оценка размера первоначальных инвестиций: Стоимость грузовика VolvoFH12 GLOBETROTTER 1999 года впуска, оборудованного холодильником «THERMO KING» емкостью 108 м3 составляет 34500 EUR. Организация собирается приобрести его у литовской фирмы ЗАО «ТРАНСИМПЕКСАС» (UAB «TRANSIMPEKSAS»). Для ввоза в Россию организации придется заплатить таможенные платежи. Расчет таможенных платежей произведем по следующим данным: Таблица №2.1.1
Таблица №2.1.2
Налог на добавленную стоимость при ввозе автомобиля не учитывался в расчетах, поскольку его сумму организация может принять к вычету. Транспортные расходы: выезд в Литву, перегон в Калининград – это 500 евро (18779,85 руб.). Дополнительное финансирование приобретения оборотных средств составит 669354,6 рублей. Итого сумма первоначальных инвестиций составит 2500000 руб . Фирма планирует привлечь кредит на финансирование приобретения автомобиля и дополнительного финансирования на приобретения оборотных средств в сумме 2500000 рублей под 25% годовых на 3 года. Ежегодные расходы: 1 Заработная плата с отчислениями Для осуществления грузоперевозок потребуется привлечь на работу двух водителей с заработной платой 9 тысяч рублей в месяц. Вместе с отчислениями во внебюджетные фонды (ЕСН – и обязательное страхование от несчастных случаев) эта сумма составит 24462 рубля в месяц для 2х человек или 293544 рубля в год. 2 Амортизация и ликвидационная стоимость Компания планирует эксплуатировать автомобиль в течение 6 лет, а по окончании этого срока продать его за 494207 рублей; учитывая налог на прибыль который фирма заплатит с этой суммы организация получит 377597 рублей. (Срок 6 лет (72 месяца) установлен исходя из классификации основных средств, включаемых в амортизационные группы для автомобиля грузоподъемностью более 15 тонн (6 группа) с учетом его эксплуатации у предыдущего владельца в течение 6 лет). Для начисления амортизации используется линейный метод, сумма ежегодной амортизации 305108 (1830648 руб./6 лет) 3. Страхование Стоимость страховки АВТОКАСКО (от всех рисков) на год составляет 84804 рубля. Обязательное страхование автогражданской ответственности 4212 рублей в год. Стоимость страхования грузов 3200 рублей (тариф 2% стоимости груза) за поставку или 272000 в год исходя из норматива 85 поставок. 4. Расход ГСМ в год по нормам принятым на предприятии составит 340000 руб. (в соответствии со средним километражем) 5. Стоимость ежегодных расходов на текущий ремонт планируется в размере 30000 рублей. 6. Себестоимость товаров в год (свежезамороженная рыба) составит 9707729 рублей. 7. Размер непредвиденных расходов составит 30000 рублей в год. Ставка налога на прибыль составляет 24%. Ставка налога на имущество 2,2% от среднегодовой стоимости имущества, рассчитанной по формуле средней хронологической. Расчет проведем в таблице №2.1.3. Таблица №2.1.3
Составим план денежных потоков и прибылей, возникающих в результате реализации проекта в таблице на основе представленных выше данных. Таблица №2.1.4. План движения денежных средств
Таким образом, денежный поток положителен во все годы осуществления проекта, кроме 2011 года – года выплат кредита. Накопленный денежный поток к концу срока реализации проекта составит 7762581 рублей, что свидетельствует о финансовой состоятельности проекта. Отметим, что денежные потоки являются исходными данными для расчета и анализа эффективности инвестиционного проекта. 2.4 Оценка экономической эффективности методом расчета чистой приведенной стоимости ( NPV ) Методом, наиболее полноценно учитывающим неравноценность разновременных финансовых потоков, базирующимся на концепции потока наличности, а также позволяющим сравнивать различные по времени варианты реализации проекта является метод оценки проектов по критерию чистой приведённой стоимости. Его целесообразно применять, прежде всего, при оценке проектов, предусматривающих крупные денежные вложения. Значение чистого потока денежных средств за время жизни проекта, приведенное в сопоставимый вид в соответствии с фактором времени, есть показатель, называемый чистой приведенной стоимостью проекта (NPV–NetPresentValue). В общем виде формула расчета выглядит следующим образом:
NPV = CFt - объем генерируемых проектом денежных средств в периоде t r – ставка дисконтирования n – продолжительность периода действия проекта в годах С0 – первоначальные инвестиционные затраты О степени эффективности вложения средств в данный проект говорит полученная величина NPV. Очевидно, что если: NPV > 0, то проект следует принять; NPV < 0, то проект следует отвергнуть; NPV = 0, то проект ни прибыльный, ни убыточный. Иными словами, критерий приемлемости таков: проект будет принят, если текущая стоимость притоков денежных средств превышает текущую стоимость их оттоков. Преимущества данного метода: – учитывает временную ценность денег (фактор времени); – даёт стоимостное выражение приращения (уменьшения) капитала, что позволяет оценивать не только отдельные проекты, но и их комбинации (свойство аддитивности). Недостатки метода: – при сравнении инвестиционных проектов с разными по объёмам инвестициям можно сделать неверный выбор. – NPV не учитывает период возврата вложенных средств, поэтому его расчет следует дополнять другими показателями – NPV в явном виде не показывает, какими инвестиционными усилиями достигнут результат. Расчет NPV проведем в таблице №2.2.1. Таблица №2.2.1. Расчет NPV
Чистый дисконтированный доход (NPV) представляет собой оценку сегодняшней стоимости потока будущих доходов. Это величина положительна и составляет 3436253 руб. Следовательно, выполняется необходимое условие эффективности проекта (NPV>0), означающее превышение приведенных результатов над приведенными затратами. Таким образом, в результате реализации проекта ценность фирмы возрастает, а проект считается приемлемым. Оценка экономической эффективности методом расчета рентабельности инвестиций PI Индекс рентабельности PI показывает какая величины современного денежного потока приходится на единицу предполагаемых первоначальных затрат. PI = ∑ CFt /(1+ r ) t C0 Или в обобщенном виде:
PVP (PresentValueofPayments) – дисконтированный положительный поток денежных средств (от операционной и инвестиционной деятельности); PVI (PresentValueofInvestment) – дисконтированная стоимость инвестиционных затрат. Если: PI > 1, то проект следует принять; PI < 1, то проект следует отвергнуть; PI = 1, то проект ни прибыльный, ни убыточный. В отличие от чистого приведенного эффекта индекс доходности инвестиций является относительным показателем. Таблица №2.3.1
PVP равно 3436253 рублей – рассчитано как сумма денежных потоков проекта без учета потоков по финансовой деятельности (получение и выплата кредита) PVIравно 2500000 рублей – первоначальные инвестиции Тогда PI = 3436253 / 2500000 = 1,375 Значение показателя оказалось больше 1 следовательно стоимость денежных потоков проекта превышает инвестиции. Оценка экономической эффективности методом внутренней нормы доходности IRR На практике внутренняя норма прибыли представляет такую ставку дисконта, при которой эффект от инвестиций, т.е. чистая настоящая стоимость (NPV), равен нулю. Иначе говоря, приведенная стоимость будущих денежных потоков равна приведенным капитальным затратам. Это означает, что предполагается полная капитализация полученных чистых доходов, т.е. все образующиеся свободные денежные средства должны быть реинвестированы либо направлены на погашение внешней задолженности. В общем виде, когда инвестиции и отдача от них задаются в виде потока платежей, IRR определяется как решение следующего уравнения: ∑ CFt /(1+ IRR ) t – C 0 = 0 Существуют и другие трактовки определения внутренней нормы прибыли. С одной стороны, показатель IRR определяет максимальную ставку платы за привлеченные источники финансирования, при котором проект остается безубыточным. С другой стороны, его можно рассматривать как минимальный гарантированный уровень прибыльности инвестиционных затрат. Если IRR превышает среднюю стоимость капитала в данной отрасли с учетом инвестиционного риска конкретного проекта, то данный проект может быть рекомендован к реализации. Внутренняя норма прибыли находится обычно методом итерационного подбора значений ставки сравнения (дисконта) при вычислении показателя чистой текущей стоимости проекта. Однако этот процесс является трудоемким и сопряжен с ошибками. Поэтому для расчетов внутренней нормы прибыли используют специальные финансовые калькуляторы. Кроме того, все деловые пакеты программ для персональных калькуляторов содержат встроенную функцию для расчета IRR Алгоритм определения IRR методом подбора можно представить в следующем виде: Выбираются два значения нормы дисконта и рассчитываются NPV, при одном значении NPV должно быть ниже нуля, а при другом – выше нуля; значения коэффициентов и самих NPV подставляются в следующую формулу (известную еще как интерполяция): IRR = r н + ( r в – r н )∙ NPV + /( NPV + - NPV - ), где rн - – норма дисконта, при которой показатель NPV положителен NPV+ - величина положительного NPV rв – норма дисконта, при которой показатель NPV отрицателен NPV- - величина отрицательного NPV rн = 25% rв = 27,5% IRR = 0,2885 (28,85%) Выбранная для расчетов ставка дисконтирования равна 25%. Таким образом, IRR › rи, следовательно, проект эффективен. Разность между IRR и r представляет собой возможность увеличения стоимости капитала привлекаемого для реализации проекта. Оценка экономической эффективности методом расчета срока окупаемости PP Срок окупаемости – еще один показатель в группе простых методов оценки эффективности. С помощью этого показателя рассчитывается период, в течение которого проект будет работать «на себя», т.е. весь объем генерируемых проектом денежных средств, куда входят суммы прибыли и амортизации, направляется на возврат первоначально инвестированного капитала. Расчет периода окупаемости может осуществляться путем постепенного, шаг за шагом вычитания суммы амортизационных отчислений и чистой прибыли за очередной интервал (как правило, за год) планирования из общего объема капитальных затрат. Интервал, за который остаток нивелируется или становится отрицательным, и является тем самым периодом окупаемости. Если таковой результат не достигнут, значит, срок окупаемости превышает установленный срок жизни проекта. Использование простых методов, таких, как расчет срока окупаемости, оправдано сточки зрения относительной дешевизны расчетов и простоты вычислений. Главный же недостаток простых методов оценки эффективности инвестиций – игнорирование факта неравноценности одинаковых денежных потоков (сумм поступлений или платежей) во времени. В реальной жизни осознание и учет этого фактора имеют очень важное значение для верной оценки проектов, требующих долгосрочного вложения капитала. Очевидно, что ценность суммы денежных средств в настоящий момент будет выше ценности равной суммы денежных средств в будущем. Чтобы преодолеть этот недостаток рассчитаем простой и дисконтированный срок окупаемости в таблице. Таблица №2.5.1
Простой срок окупаемости равен: -1111923/1393179*12 ≈ 10 То есть срок окупаемости равен 1 год и 10 месяцев. Дисконтированный срок окупаемости равен: -465609/740074*12 ≈ 8 Срок окупаемости равен 2 года и 8 месяцев. Таким образом, после этого срока проект полностью окупит вложенные в него первоначальные затраты. Оценка экономической эффективности методом бухгалтерской нормы доходности ARR Метод основан на использовании бухгалтерского показателя прибыль. Показатель определяется отношением средней величины прибыли к средней величине инвестиций. Экономически смысл простой нормы прибыли заключается в оценке того, какая часть инвестиционных затрат возмещается (возвращается) в виде прибыли в течение одного интервала планирования. При сравнении расчетной величины простой нормы прибыли (бухгалтерской нормы доходности) с минимальным или средним уровнем доходности инвестор может сделать предварительные выводы о целесообразности данной инвестиции. Кроме того, на этом этапе возможна и примерная оценка срока окупаемости данного проекта. ARR может использоваться в двух вариантах – в зависимости от определения вложенного капитала. То есть она может включать в себя либо первоначальный вложенный капитал, либо средний вложенный капитал в течение срока службы инвестиций. Метод ARR имеет следующие достоинства: – простота и очевидность расчетов – удобство использования в системе материального поощрения – связь с показателями бухгалтерского учета Недостатки метода: – метод использует балансовую прибыль. Существуем множество путей вычисления балансовой прибыли, что дает возможность манипулировать показателем ARR – не учитывается временной аспект стоимости денег. Расчет бухгалтерской нормы прибыли проведем на основании первоначально вложенного капитала. Формула будет иметь вид:
Первоначальные затраты В качестве годовых доходов используем величину чистой прибыли, так как она лучше характеризует ту выгоду, которую получают владельцы предприятия и инвесторы. Таблица №2.6.1
ARR= 1686387.4 / 2500000 = 0,6746 или 67,46% Приняв за базу сравнения показателя ARR рентабельность активов проект можно считать приемлемым, так как его значение значительно превышает рентабельность активов. Анализ чувствительности. 1. Если доход увеличится на 5% NPV = 1 106 686 2. Если доход увеличится на 10% NPV = 2 135804,516 3. Если доход уменшится на 5% NPV= 764 439,585 4. Если доход уменшится на 10% NPV = 292 626,976 Таким образом, можно сделать вывод, что в случае уменьшения дохода более 10% чистая приведенная стоимость проекта будет меньше 0, и его реализация будет не эффективной. ЗаключениеВ рамках курсовой работы был рассмотрен инвестиционный проект по приобретению основного средства – грузового автомобиля рефрижератора, что позволило бы увеличить поставки основных видов продукции. По данным финансовой (бухгалтерской) отчетности ООО «Балтрыба» был проведен финансовый анализ организации, который показал необходимость привлечения долгосрочных банковских кредитов для реализации инвестиционного проекта, а также определена сумма необходимых инвестиций. Необходимость использования кредитных средств обусловлена недостаточностью собственных средств организации. Оценка проекта методом чистой приведенной стоимости показала экономическую эффективность проекта, поскольку величина планируемых поступлений превысила величину необходимых затрат. Расчет относительного показателя эффективности инвестиций PI также показал превышение денежных притоков над величиной инвестиционных расходов. Величина показателя IRR проекта превысила рассчитанную ставку дисконтирования. Таким образом, внутренняя норма доходности существенно превышает стоимость капитала привлекаемого организацией, что позволяет рекомендовать данный проект к реализации. Срок, по истечении которого, организация планирует окупить первоначальные затраты и получать прибыль от проекта составит 2 года и 8 месяцев. Метод бухгалтерской нормы доходности также показал эффективность проекта, поскольку его величина значительно превысила рентабельность активов, взятую за базу сравнения. Список использованной литературы 1. Бирман Г., Шмидт С. Экономический анализ инвестиционных проектов: Пер. англ. / Под ред. Л.П. Белых. – М: Банки и биржи, ЮНИТИ, 1997. – 425 с. 2. Богатин Ю.В. Инвестиционный анализ: Учеб. пособие для вузов. – М.: ЮНИТИ – Дана, 2001. – 415 с. 3. Бригхем Ю., Гапенски Л. Финансовый менеджмент: Полный курс. В 2-х т.: Пер. а англ. / Под ред. В.В. Ковалева. – СПб.: Экономическая школа, 2002. – 159 с. 4. Виленский П.Л., Лившиц В.Н., Орлова Е.Р., Смоляк С.А. Оценка эффективности инвестиционных проектов. Теория и практика. – М.: Дело, 2002. – 456 с. 5. Вахрин П.И. Организация финансового инвестирования – М., 2000 г. – 352 с. |
|||||||||||||||||||||||||||||||||||||||||||||||||||||||||||||||||||||||||||||||||||||||||||||||||||||||||||||||||||||||||||||||||||||||||||||||||||||||||||||||||||||||||||||||||||||||||||||||||||||||||||||||||||||||||||||||||||||||||||||||||||||||||||||||||||||||||||||||||||||||||||||||||||||||||||||||||||||||||||||||||||||||||||||||||||||||||||||||||||||||||||||||||||||||||||||||||||||||||||||||||||||||||||||||||||||||||||||||||||||||||||||||||||||||||||||||||||||||||||||||||||||||||||||||||||||||||||||||||||||||||||||||||||||||||||||||||||||||||||||||||||||||||||||||||||||||||||||||||||||||||||||||||||||||||||||||||||||||||||||||||||||||||||||||||||||||||||||||||||||||||||||||||||||||||||||||||||||||||||||||||||||||||||||||||||||||||||||||||||||||||||||||||||||||||||||||||||||||||||||||||||||||||||||||||||||||||||||||||||||||||||||||
Таблица №1.1.1.
– посленалоговая чистая прибыль в t-году