Курсовая работа: Рынок ценных бумаг. Фондовый рынок Украины
|
Название: Рынок ценных бумаг. Фондовый рынок Украины Раздел: Рефераты по финансовым наукам Тип: курсовая работа | |
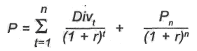
СодержаниеВведение. 2 1. История возникновения рынка ценных бумаг. 4 1.1 Структура, организация и функции рынка ценных бумаг. 5 1.2 Общая характеристика основных ценных бумаг. 12 2. Технический и фундаментальный анализ фондового рынка. 25 2.1 Спекулятивные и страховые сделки на рынке ценных бумаг. 26 2.2 Гипотеза эффективного рынка. 30 2.3 Теория рефлексивности Дж. Сороса. 33 2.4Деятельность посредников на рынке ценных бумаг. 35 3. Регулирование рынка ценных бумаг. 37 3.1 Регулирование рынка ценных бумаг в Украине. 39 Заключение. 42 Список использованных источников. 44 ВведениеПриватизация частной собственности, развитие кредитных институтов и предпринимательства приводят к развитию денежных и кредитных отношений. Появляется особенный сектор хозяйствования, который связан с оборотом ценных бумаг - финансовый рынок. Финансовый рынок условно можно поделить на рынок банковских кредитов и рынок ценных бумаг. Рынок ценных бумаг дополняет систему банковских кредитов. Коммерческий банк редко выдает кредит на долгий срок (больше одного года). Ценные бумаги дают возможность получить средства на долгий период (на десятилетия - облигации). Прежде чем перейти к рассмотрению ценных бумаг нужно рассмотреть такое понятие как фиктивный капитал, потому что именно движение фиктивного капитала и есть основой функционирования фондового рынка и собственно существования ценных бумаг. Фиктивный капитал представляет собой общественные отношения, суть которых состоит в улавливании прибавочной стоимости. Историческая основа фиктивного капитала состоит в разделении кредитного капитала от производственного и создании кредитной системы, а технический отрыв фиктивного капитала от реального случился на базе кредитного капитала. Таким образом, фиктивный капитал представляется в виде титула собственности, способного вступать в оборот и более того способного развиваться независимо относительно движения реального капитала. Реально фиктивный капитал является посредником в процессах движения капитала, разделения прибыли, а также перераспределения национального дохода через систему финансов. Ценная бумага представляет собой документ, который выражает связанные с ним имущественные и неимущественные права, может самостоятельно обращаться на рынке и быть объектом купли - продажи и других операций. Таким образом, ценные бумаги выступают разновидность денежного капитала. В прошлом ценные бумаги существовали исключительно в бумажной форме и печатались на специальных бумажных бланках. Ценные бумаги, как правило, с высокой мерой защищенности от возможных подборок. В последнее время в связи со значительным увеличением количества ценных бумаг некоторые из них оформляются в виде записей в книгах учета, а так же на разны носителях информации. По этому на рынке ценных бумаг выпускаются и обращаются собственно как ценные бумаги, так и их заменители. Объекты операций на рынке ценных бумаг так же называют инструментами рынка ценных бумаг, фондами или фондовыми ценностями. Современный этап становления рынка ценных бумаг характеризуется значительными темпами роста эмиссии ценных бумаг, постоянным увеличением субъектов хозяйствования, которые выступают в роли эмитентов. 1. История возникновения рынка ценных бумагЦенные бумаги известны начиная с позднего средневековья. Тогда вследствие больших географических открытий существенно расширилась международная торговля, и предпринимателям понадобились большие суммы капиталов, чтобы использовать новые возможности. Расходы по освоению новых территорий были не в состоянии покрыть отдельные предприниматели. В результате возникли акционерные общества - английские и голландские компании для торговли с Ост-индией, компании Гудзонского залива, которые и стали первыми эмитентами. В ХVІ - ХVІІ ст. в Англии акционерные общества создавались также для финансирования добычи угля и других капиталоемких работ. Только с началом промышленной революции и созданиям больших отделочных предприятий торговля акциями стала распространенной. В 1773 году образуется Лондонская фондовая биржа. Первая американская фондовая биржа появилась в 1791 году в городе Филадельфия, и в 1792 году появилась предтеча известной Нью-йоркской фондовой биржи. Сначала биржи вели торговлю не столько акциями, сколько облигациями, которые охотно выпускали правительства и железнодорожные компании, которые нуждались в огромных капиталах для создания инфраструктуры большого машинного производства. Победный марш акционерной собственности с конца прошлого века привел к специализации бирж на торговле акциями, а торговля и работа с облигациями сконцентрировалась на “уличном рынке”. В 60-их годах ХІХ века еще одно важное событие. В Германии появились универсальные инвестиционные банки, которые взяли на себя весь комплекс посреднических операций с ценными бумагами. Разрабатывая нетрадиционные источники капитала формируя почти целые отрасли промышленности, они сыграли выдающуюся роль в индустриализации таких передовых стран, как США, Швеция, Германия. Появление ценной бумаги как инструмента привлечения финансовых ресурсов позволяет вкладчику в определенной степени решать проблему риска, связанного с хозяйственной деятельностью, посредством приобретения такого количества ценных бумаг, которое отвечает стабильности его финансового положения. Если какое-либо лицо готово пойти на значительный риск, оно купит большой пакет ценных бумаг, в противном случае - ограничится одной или несколькими бумагами. 1.1 Структура, организация и функции рынка ценных бумагРыночная экономика представляет собой совокупность различных рынков. Одним из них является финансовый рынок. Финансовый рынок - это рынок, который опосредует распределение денежных средств между участниками экономических отношений. Образно говоря, его можно сравнить с сердцем экономики, так как с его помощью мобилизуются свободные финансовые ресурсы и направляются тем лицам, которые могут ими наиболее эффективно распорядиться. Как правило, именно на финансовом рынке изыскиваются средства для развития реального сектора экономики. Одним из сегментов финансового рынка выступает рынок ценных бумаг, или фондовый рынок. Рынок ценных бумаг (РЦБ) - это рынок, который опосредует кредитные отношения и отношения совладения с помощью ценных бумаг. Особенностью привлечения финансовых ресурсов таким путем является то обстоятельство, что, как правило, они могут свободно обращаться на рынке. Поэтому лицо, вложившее свои средства в какое-либо производство путем приобретения ценных бумаг, может вернуть их (полностью или частично), продав бумаги. В то же время, его действия не затрагивают и не нарушают сам процесс производства, так как деньги не изымаются из предприятия, которое продолжает функционировать. Возможность свободной купли-продажи ценных бумаг позволяет вкладчику гибко определять время, на которое он желает разместить свои средства в тот или иной хозяйственный проект. Объектом сделок на РЦБ является ценная бумага. Ценную бумагу можно определить как денежный документ, который удостоверяет отношения совладения или займа между ее владельцем и эмитентом. Ценные бумаги могут выпускаться как в индивидуальном порядке, например, вексель, так и сериями, например, акции. В последнем случае законодательство говорит об эмиссионной ценной бумаге. Эмиссионная ценная бумага - это бумага, которая одновременно характеризуется следующими признаками: 1) закрепляет совокупность имущественных и неимущественных прав; 2) размещается выпусками; 3) имеет равные объем и сроки осуществления прав внутри одного выпуска вне зависимости от времени приобретения ценной бумаги. Ценная бумага может выпускаться в наличной и безналичной формах. Наличная форма предполагает, что ценная бумага напечатана на бланке, выполненным в соответствии с техническими требованиями, которые содержатся в нормативных документах. Если бумага выпущена в безналичной форме, то она отсутствует как физический предмет, а ее существование, т.е. права ее владельца, фиксируются в регистрационном документе. Выпуск таких бумаг оформляется документом, который называется глобальным сертификатом. В сертификате указываются параметры выпуска бумаг. По соглашению с эмитентом глобальный сертификат передается на хранение в депозитарий. Депозитарием является юридическое лицо, которое оказывает услуги по хранению сертификатов ценных бумаг. Если инвестор владеет несколькими акциями, выпущенными безналично, то на все количество бумаг ему могут выдать сертификат, в котором указывается, что он является владельцем такого-то количества таких-то акций. Владелец безналичной бумаги может взять выписку из реестра о том, что он является собственником данной бумаги. Выписка из реестра ценной бумагой не считается. Выпуск ценных бумаг играет большую роль в финансировании венчурных (рискованных) предприятий, которые занимаются новыми разработками. Получить кредит в банке для таких целей не всегда возможно, так как банки большей частью являются консервативными организациями. Выпуск акций под рискованные проекты позволяет финансировать новые предприятия. Вкладчики идут на большой риск, однако в случае успеха их ожидают и большие доходы. Например, такое предприятие, как IBM, появилось как венчурное. Таким образом, наличие РЦБ позволяет расширить финансирование научно-технических разработок. В составе РЦБ выделяют денежный рынок и рынок капитала. Денежный рынок - это рынок, на котором обращаются краткосрочные ценные бумаги. Временным критерием обычно считается один год. Если бумага будет обращаться на рынке не более года, то она рассматривается как инструмент денежного рынка. В то же время такие бумаги, как вексель или банковский сертификат, также относят к инструментам денежного рынка, хотя они могут обращаться и больше одного года. Денежный рынок служит для обеспечения потребностей хозяйствующих субъектов в краткосрочном финансировании. Рынок капитала - это рынок, на котором обращаются бессрочные ценные бумаги или бумаги, до погашения которых остается более года. В качестве примера можно назвать акцию. Рынок капитала служит для обеспечения потребностей хозяйствующих субъектов в долгосрочном финансировании. По организационной структуре РЦБ делят на первичный и вторичный рынки. Первичный рынок - это рынок, на котором происходит первичное размещение ценной бумаги. Таким образом, термин "первичный рынок" относится к продаже новых выпусков ценных бумаг. В результате продажи бумаг на первичном рынке лицо, их выпустившее, получает необходимые ему финансовые ресурсы, а бумаги поступают в руки первоначальных держателей. Таким образом, функция первичного рынка состоит в мобилизации новых капиталов. Ценные бумаги, главным образом, выпускаются юридическими лицами. В то же время такая бумага, как вексель, может быть выписана и физическим лицом. Лицо, которое выпускает ценные бумаги, называют эмитентом, а выпуск бумаг - эмиссией. Лицо, приобретающее ценные бумаги называют инвестором. На фондовом рынке главными покупателями бумаг выступают юридические лица, прежде всего, банки, страховые организации, инвестиционные, пенсионные фонды, так как именно они располагают наибольшей суммой средств. На фондовом рынке оперирует "институциональный инвестор" - термин, который относится к специалистам, управляющим чужими активами, или обозначает организации, главный вид деятельности которых - приобретение финансовых активов за счет привлеченных средств. После того, как первоначальный инвестор купил ценную бумагу, он вправе перепродать ее другим лицам, а те, в свою очередь, свободны в своем решении о продаже их следующим вкладчикам. Первая и последующие перепродажи ценных бумаг происходят на вторичном рынке. Вторичный рынок - это рынок, на котором происходит обращение ценных бумаг. Таким образом, все последующие сделки с ценными бумагами осуществляются на вторичном рынке. На нем уже не аккумулируются новые финансовые средства для эмитента, а только перераспределяются ресурсы среди последующих инвесторов. Вторичный рынок выполняет важную роль. Являясь механизмом перепродажи, он позволяет инвесторам свободно покупать и продавать бумаги. При отсутствии вторичного рынка или его слабой организации последующая перепродажа ценных бумаг была бы невозможна или затруднена, что оттолкнуло бы инвесторов от покупки всех или части бумаг. В итоге общество осталось бы в проигрыше, так как многие, особенно новейшие, начинания не получили бы необходимой финансовой поддержки. В структуре вторичного рынка выделяют биржевой и внебиржевой рынки. Биржевой рынок представлен обращением ценных бумаг на биржах. Внебиржевой рынок охватывает обращение бумаг вне бирж. Такое деление вторичного рынка существует потому, что не все ценные бумаги могут обращаться на бирже. Исторически вначале возник внебиржевой рынок. В последующем рост операций с ценными бумагами потребовал организации более упорядоченной торговли. В результате появились фондовые биржи. Кратко фондовую биржу можно определить как организованный рынок ценных бумаг. Это означает, что существует определенное место, время и правила торговли ценными бумагами. Классическая фондовая биржа представляет собой здание с операционным залом, где заключаются сделки с ценными бумагами. Прогресс компьютерных и информационных технологий привел к появлению электронных бирж. Электронная биржа представляет собой компьютерную сеть, к которой подключены терминалы компаний-членов биржи. Терминалы могут быть вынесены в офисы данных компаний. Как уже было отмечено, не все ценные бумаги могут обращаться на бирже. На нее допускаются бумаги только тех эмитентов, которые отвечают ее требованиям. Как правило, это бумаги крупных, финансово крепких компаний. Ценные бумаги молодых и финансово слабых компаний обычно обращаются на внебиржевом рынке. Каждая биржа разрабатывает свой перечень требований к эмитентам. Поэтому в зависимости от их жесткости бумаги одной и той же компании могут котироваться, т.е. обращаться, на одной или нескольких биржах. В связи с проверкой эмитента на предмет соответствия его состояния требованиям биржи возник специальный термин - "листинг". Листинг - это процедура включения ценной бумаги эмитента в котировальный список биржи. Если эмитент желает, чтобы его бумаги котировались на бирже, и отвечает предъявляемым критериям, то его бумаги допускаются к обращению на бирже. Если в последующем эмитент перестает им удовлетворять, то его бумаги могут быть исключены из котировального списка. Такая процедура получила название делистинга. Как правило, акционерное общество (АО) стремится, чтобы его акции обращались на бирже. Уже сам факт котировки акций на бирже говорит об определенном уровне надежности АО, так как оно прошло экспертизу специалистов биржи. При прочих равных условиях таким предприятиям легче привлекать средства за счет выпуска новых акций, поскольку инвесторы могут судить об их положении и перспективах на основе легко доступных биржевых котировок. Фондовая биржа - это некоммерческая организация. Торговлю на бирже могут осуществлять только ее члены. Другие лица, желающие заключать биржевые сделки, обязаны действовать через членов биржи как посредников. Фондовая биржа обязана обеспечить гласность и публичность проводимых торгов. Биржа - это только место, где заключаются сделки с ценными бумагами. Поэтому физически сами ценные бумаги на бирже не присутствуют. После заключения сделки на бирже покупатель и продавец осуществляют между собой взаиморасчеты в установленные для этого нормативными документами сроки. Для того чтобы завершить описание биржевого рынка, остановимся кратко на разновидностях бирж в экономике. Если посмотреть на экономику во временном разрезе, то можно увидеть, что она состоит из двух сегментов: спотового и срочного рынков. Спотовый (кассовый) рынок - это рынок наличных сделок. На спотовом рынке происходит одновременная оплата и поставка ценных бумаг. Законодательство различных стран обычно отводит контрагентам несколько дней с момента заключения сделки для осуществления взаиморасчетов. Цену, возникающую на спотовом рынке, называют спотовой или кассовой. Срочный рынок - это рынок, на котором заключаются срочные сделки. Срочная сделка представляет собой договор между контрагентами о будущей поставке предмета контракта на условиях, которые оговариваются в момент заключения такой сделки. В соответствии с двумя сегментами рынка можно выделить спотовые и срочные биржи. Существуют также товарные биржи. Согласно названию, на товарной бирже продаются и покупаются товары. Однако в современных условиях на товарных биржах, за редким исключением, осуществляется торговля срочными контрактами, в том числе контрактами, в основе которых лежат ценные бумаги. Таким образом, происходит определенное сближение фондовых и товарных бирж, так как и на первых, и на вторых обращаются срочные контракты на ценные бумаги. По своей внутренней организации биржа может состоять из нескольких специализированных отделов: валютного, фондового, товарного. Поэтому официальное название биржи не всегда точно отражает весь набор инструментов, который обращается на бирже. По характеру эмитентов фондовый рынок можно разделить на рынок государственных и негосударственных ценных бумаг. Рынок негосударственных бумаг помогает аккумулировать финансовые ресурсы для предпринимательского сектора. Рынок государственных ценных бумаг открывает возможность решать две важные задачи. Во-первых, позволяет государству мобилизовать необходимые ему денежные ресурсы, и, в частности, финансировать дефицит государственного бюджета. Во-вторых, он является полем регулирования краткосрочной процентной ставки в экономике. Подводя итог можно сказать, что первая функция фондового рынка состоит в мобилизации средств вкладчиков для целей организации и расширения масштабов хозяйственной деятельности. Вторая функция - информационная. Она заключается в том, что ситуация на фондовом рынке сообщает вкладчикам информацию об экономической конъюнктуре и дает им ориентиры для размещения своих капиталов. Данная информация представлена в курсовой (рыночной) стоимости ценных бумаг. Например, если цена акции какого-либо предприятия растет, то, как правило, это говорит о хороших перспективах его хозяйственной деятельности, и наоборот. Аналогичная параллель справедлива в отношении состояния и для экономики в целом. Падение курсовой стоимости ценных бумаг предвещает спад деловой активности и наоборот. Из данного правила случаются исключения, однако, большей частью фондовый рынок верно определяет вектор экономического движения. Таким образом, ситуация на фондовом рынке сигнализирует о будущем состоянии экономики. Такая последовательность и связь между фондовым рынком и экономической конъюнктурой возникает потому, что вкладчики, стремясь предвидеть будущие результаты деятельности той или иной фирмы, находятся в процессе постоянного поиска и анализа информации. Если полученная информация положительна, то они покупают соответствующие ценные бумаги, в противном случае - продают. В результате курсовая стоимость ценной бумаги начинает изменяться уже до того момента, как станут известны окончательные итоги деятельности данного предприятия. Состояние фондового рынка играет важную роль для стабильного развития экономики. Крах фондового рынка, т.е. сильное падение курсовой стоимости ценных бумаг за короткий промежуток времени, может вызвать спад и депрессию в экономике. Это объясняется тем, что падение стоимости ценных бумаг делает вкладчиков беднее. Как следствие, они сокращают свое потребление. Спрос на товары и услуги падает. У предприятий накапливаются товарно-материальные запасы, и они начинают сокращать производство и увольнять работников, что еще больше снижает уровень потребления. Кроме того, падение курсовой стоимости ценных бумаг уменьшает возможности предприятий аккумулировать необходимые им средства за счет выпуска новых бумаг. 1.2 Общая характеристика основных ценных бумагАкция - это эмиссионная ценная бумага, которая закрепляет право ее владельца на получение части прибыли акционерного общества в виде дивидендов, на участие в управлении акционерным обществом и на часть имущества, остающегося после его ликвидации. Она является бессрочной, т.е. обращается на рынке до тех пор, пока существует выпустившее ее акционерное общество (АО). АО не обязано ее выкупать. Акции могут быть именными и на предъявителя. Выпуск акций на предъявителя разрешается в определенном отношении к величине оплаченного уставного капитала эмитента согласно установленным нормативам. Выделяют две категории акций: обыкновенные (иногда их называют простыми) и привилегированные. Привилегированные акции подразделяются также на различные типы. Обыкновенные акции отличаются от привилегированных следующими чертами: они предоставляют право владельцу участвовать в голосовании на собрании акционеров; такое право возникает после полной оплаты акции; выплата по ним дивидендов и ликвидационной стоимости при ликвидации предприятия может осуществляться только после распределения соответствующих средств среди владельцев привилегированных акций. Привилегированные акции отличаются от обыкновенных прежде всего тем, что, как правило, не предоставляют своим владельцам права участвовать в голосовании на собрании акционеров, если оно не закреплено за ними в уставе АО. Однако такое право появляется у владельцев в том случае, если собрание акционеров принимает решение о невыплате дивидендов по привилегированным акциям или обсуждает вопросы, касающиеся имущественных интересов владельцев этих акций, в том числе вопросов о реорганизации и ликвидации общества. Привилегированные акции характеризуются также тем, что они предоставляют преимущественное право их владельцам на получение дивидендов и ликвидационной стоимости предприятия при прекращении его деятельности по сравнению с владельцами обыкновенных акций. Согласно законодательству могут выпускаться привилегированные акции, размер дивиденда по которым как определен, так и не определен. В последнем случае величина дивиденда по ним не может быть меньше дивиденда по обыкновенным акциям. Еще одним отличием является положение о том, что по обыкновенным акциям дивиденд может не выплачиваться. По привилегированным акциям, размер дивиденда по которым определен в уставе, невозможна полная невыплата дивиденда. Дивиденды по ним должны обязательно выплачиваться, по крайней мере, частично. По привилегированным акциям при их выпуске должны быть установлены или размер дивиденда, или ликвидационная стоимость, или оба показателя. АО может выпускать привилегированные акции, по которым предусматривается различная очередность выплаты дивидендов и ликвидационной стоимости. Она должна быть указана в уставе. В мировой практике привилегированные акции, имеющие преимущества в очередности выплат по ним дивидендов по сравнению с другими привилегированными акциями, называют преференциальными привилегированными акциями. Одной из основных характеристик акции является ее номинал, или нарицательная стоимость. Сумма номинальных стоимостей всех размещенных акций составляет уставный капитал АО. Номинальная стоимость всех размещенных привилегированных акций не должна превышать 25% уставного капитала АО. Номинальная стоимость всех обыкновенных акций должна быть одинаковой. Одинаковой также должна являться номинальная стоимость привилегированных акций одного типа. Номинальная стоимость акции, как правило, не совпадает с ее рыночной стоимостью. У хорошо работающего АО она обычно выше, а у предприятия, испытывающего финансовые и производственные трудности, ниже. На рынке цена определяется в результате взаимодействия спроса на акции и их предложения. Данные переменные зависят от перспектив прибыльности предприятия. Таким образом, на вторичном рынке цена акции может принимать любые значения. Сумма всех номинальных стоимостей акций определяет уставный фонд общества. От уставного фонда следует отличать такое понятие, как "капитализация". Капитализация - это показатель, характеризующий объем капитала компании в рыночной оценке, воплощенный в акциях. Он определяется как произведение текущей рыночной цены размещенных акций и их количества. Следующей характеристикой акции является доход, который она приносит акционеру. Доход по акции может быть представлен в двух формах - в виде прироста курсовой стоимости и в качестве периодических выплат по акции. Во втором случае доход называют дивидендом. Прирост курсовой стоимости акции может составить существенную часть доходов инвестора. Чтобы его реализовать, акцию необходимо продать. В противном случае существует опасность, что в следующий момент курс бумаги может упасть. Прирост курсовой стоимости возникает по двум причинам. Во-первых, это возможный спекулятивный подъем на рынке. Он не имеет под собой объективных долгосрочных оснований. Во-вторых, это реальный прирост активов предприятия. Получив прибыль, АО делит ее на две части. Одна выплачивается в качестве дивидендов, другая - реинвестируется для поддержания и расширения производства. Таким образом, реинвестируемая прибыль, приобретающая форму основных и оборотных фондов, реально "наполняет" акцию и ведет, как правило, к росту ее стоимости. В результате, в тенденции цена акции на рынке должна расти. АО вправе выплачивать дивиденды раз в год, полгода, квартал. Дивиденды, выплачиваемые раз в полгода или квартал, называются промежуточными. Дивиденды, выплачиваемые по итогам года, - годовыми. Акция делает инвестора одним из владельцев АО, хотя в более очевидной форме это следует отнести к акциям, предоставляющим право голоса. В то же время для большинства акционеров констатация данного факта является только декларацией, так как фактически АО контролирует то лицо или группа лиц, в руках которых находится контрольный пакет акций. Контрольный пакет можно определить как количество акций (или процент акций от их общего количества), которое дает возможность проводить их владельцам свои решения на собрании акционеров. Это не обязательно 51% или более. На практике существуют примеры, когда владение даже 5% акций составляет контрольный пакет. Такая ситуация возможна в силу того, что в АО, насчитывающем большое количество акционеров, значительная часть инвесторов - это мелкие вкладчики, которые представляют собой раздробленную массу. Кроме того, группы лиц, заинтересованных в получении контроля над обществом, имеют возможность получать (или покупать) по доверенности голоса других акционеров. Таким образом, в их руках аккумулируется значительно большее число голосов, чем то, которое соответствует их акциям. Современная экономика основана на производственной кооперации. Поэтому, если акционер, обладающий небольшим пакетом акций, способен оказывать на предприятие давление, например, по технологической цепочке, то его пакет также может превратиться в контрольный. Таким образом, настоящими владельцами предприятия являются лица, обладающие контрольным пакетом. Как известно, экономические реформы стали проводиться под знаком того, что на предприятия должен прийти реальный хозяин, т.е. акционер. Как показывает существующая действительность, хотя акционер и появился, но во многих случаях объемы производства не увеличились, а даже сократились. Сама по себе акционерная форма предприятия с точки зрения ее эффективности не может рассматриваться вне тех правил, в рамках которых функционируют АО. Многие из промышленных предприятий, став акционерными, по-прежнему демонстрируют скверный менеджмент, "висят на шее" у государства, рассчитывая на государственные финансовые вливания. Закон о банкротстве фактически не действует, и по этому многие собственники акционерных обществ могут не волноваться по поводу нерентабельности своих предприятий. Таким образом, эффективный собственник не возникает автоматически с переходом предприятия на акционерную форму бизнеса. Существует понятие "рейтинг акций". Рейтинг - это оценка инвестиционной надежности ценных бумаг. Ее дают аналитические компании. Наиболее известными в мировой практике аналитическими компаниями являются "Standard & Poor's" и "Moody's Investors Service". Рейтинг позволяет судить о степени возможной доходности и риска, связанного с предприятием, выпустившим акции. Каждая аналитическая компания использует свои символы для обозначения уровня рейтинга. Например, компания "Standard & Poor's" использует такие обозначения: AAA, АА, А, ВВВ, ВВ, В, С, D. Инвестиционная надежность бумаги убывает в данном рейтинге слева направо. Так, акции компании с рейтингом AAA будут самыми надежными с точки зрения риска банкротства, но и наименее доходными. В терминологии фондового рынка встречается такое понятие, как "голубые фишки". Оно относится к ведущим в своих отраслях крупным предприятиям с высоким кредитным рейтингом. Для крупных отечественных компаний привлекательной является возможность выхода на западный фондовый рынок, и, прежде всего, американский. Процедура допуска акций иностранных компаний на рынок США довольно сложна. Поэтому во многих случаях в США начинают обращаться не акции иностранных компаний, а так называемые американские депозитарные расписки (ADR). ADR обычно выпускаются американскими банками на иностранные акции, которые приобретены данным банком. Владелец ADR так же, как и настоящий акционер, получает на них дивиденды, и может выиграть от прироста курсовой стоимости. Так как ADR выпускаются в долларах, на их цену оказывает влияние и валютный курс. Цена, или курсовая стоимость акции определяется по формуле:
где Р - цена акции, Divt-дивиденд, который будет выплачен в периоде t, r - ставка дисконтирования (доходность), которая соответствует уровню риска инвестирования в акции данного акционерного общества, Рn - цена акции в конце периода n, когда инвестор планирует продать ее.
Более удобно определять курсовую стоимость акции по следующей формуле: [5] где Div1 - дивиденд будущего года; g - темп прироста дивиденда. Например, Div, = 210 на акцию, g = 5%, r = 25%. Требуется определить курсовую стоимость акции. Согласно формуле она равна:
Доходность операции с акцией, если покупка и продажа акции происходят в рамках одного года, можно определить по формуле:
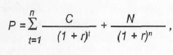
где r - число дней с момента покупки до продажи акции, Ps - цена продажи акции. Если за прошедший период времени дивиденд на акцию не выплачивался, то он исключается из формулы. Облигация - это срочная долговая ценная бумага, которая удостоверяет отношение займа между ее владельцем и эмитентом. Облигации могут выпускать государство в лице общегосударственных и местных органов власти, акционерные общества, частные предприятия. Наиболее важное отличие облигации от акции состоит в том, что она представляет собой долговое обязательство эмитента, т.е. предоставленный ему кредит, оформленный в виде ценной бумаги. Все платежи по облигации эмитент должен осуществлять в первую очередь по сравнению с акциями и в обязательном порядке. Платежи обеспечиваются имуществом эмитента. Облигация является срочной бумагой, т.е. эмитируется на определенный период времени, и по его истечении должна выкупаться. Как правило, эмитент выкупает ее по номиналу. Облигации могут выпускаться с условием досрочного отзыва или погашения. Минимальный срок, на который может выпускаться облигация, не ограничен. В отношении государственных ценных бумаг предусматривается, что они не могут выпускаться на срок более 30 лет. По времени обращения они подразделяются на краткосрочные (до 1 года), среднесрочные (от 1 года до 5 лет) и долгосрочные (от 5 до 30 лет). Облигации могут быть именными и на предъявителя. Существуют различные виды облигаций. Классическая облигация представляет собой ценную бумагу, по которой выплачивается фиксированный доход. Доход по облигации называют процентом, или купоном. Саму облигацию именуют купонной, или твердопроцентной бумагой. Поскольку для рыночной экономики характерна инфляция, то твердопроцентная бумага не всегда отвечает интересам инвесторов. Поэтому появились облигации с плавающим (переменным) купоном. Величина купона у них меняется в зависимости от изменения показателя, к которому "привязан" купон. Например, это может быть индекс потребительских цен, поскольку он отражает уровень инфляции, или индекс цен какого-либо товара и т.п. В условиях инфляции обесценению подвергается и номинал бумаги. Поэтому существуют индексируемые облигации. У них плавающим является не только купон, но и номинал. Существуют облигации бескупонные. В качестве синонимов используются термины "облигация с нулевым купоном" или "чистая дисконтная облигация". Бескупонная облигация - это ценная бумага, которая не имеет купонов. Доход инвестора возникает за счет разницы между ценой погашения облигации (номиналом) и ценой ее приобретения. Следующий вид облигации - это конвертируемая облигация. В соответствии с условиями эмиссии ее можно обменять на акции или другие облигации. Чаще всего, это обыкновенные акции АО, выпустившего облигации. Смысл приобретения конвертируемой в обыкновенные акции облигации состоит в том, чтобы, с одной стороны, гарантировать получение дохода, приносимого облигацией в случае не очень успешной работы АО, а, с другой стороны, сохранить возможность увеличить доход, конвертировав облигацию в акцию, если по ней стали выплачиваться высокие дивиденды. Облигация имеет номинал. Как общее правило, при погашении бумаги инвестору выплачивается сумма, равная номиналу. Если облигация не является бескупонной, то доход по ней задается в виде купона. Купон представляет собой определенный процент. Например, номинал облигации 1 млн., купон 20%. Чтобы узнать величину купона в деньгах, необходимо купонный процент умножить на номинал. Так, например, 20% от номинала составит величину купона, равную 200 тыс. Как общее правило, значение купона объявляется в расчете на год, однако выплачиваться он может и чаще - раз в полгода, квартал. Если в нашем примере купон составляет 200 тыс. за год, то в случае его выплаты два раза в год инвестор будет получать по 100 тыс. каждые полгода; если купон выплачивается ежеквартально, то сумма каждого платежа составит 50 тыс. Курсовая стоимость купонной облигации определяется по формуле
где Р - цена облигации, С - купон, N - номинал, n - число лет до погашения облигации, r - доходность до погашения облигации. Например, N = 1 млн., купон - 20%, доходность до погашения - 15%, до погашения остается три года. Тогда цена облигации равна:
Ориентировочная доходность купонной облигации определяется по формуле:
где r - доходность до погашения, N - номинал облигации, Р - цена облигации, n - число лет до погашения, С - купон. Например, N = 1000 руб., Р = 850, n - 4 года, купон равен 15%. Тогда доходность облигации составит:
В зависимости от ситуации на рынке купонная облигация может продаваться по цене как ниже, так и выше номинала. Разность между номиналом облигации и ценой, если она ниже номинала, называется скидкой (дисконтом), или дезажио. Например, номинал облигации 1 млн. руб., цена 960 тыс. В этом случае скидка равна 40 тыс. Разность между ценой облигации, если она выше номинала, и номиналом называется премией, или ажио. Например, цена облигации 1020 тыс., тогда премия равна 20 тыс. Котировки облигации принято давать в процентах. При этом номинал бумаги принимается за 100%. Чтобы узнать по котировке стоимость облигации в рублях, следует умножить котировку в процентах на номинал облигации. Например, номинал облигации равен 1 тыс., цена - 96%. Это означает, что она стоит 960. [4] Изменение цены облигации измеряют в пунктах. Один пункт равен 1%. Например, цена бумаги увеличилась с 90% до 95%. Это означает, что она выросла на 5 пунктов. Доход по облигации с нулевым купоном представляет собой разницу между номиналом и ценой приобретения бумаги. Доход по купонной облигации - это чаще всего сумма двух слагаемых: купонных платежей и величины скидки, или купонных платежей, и величины премии. В последнем случае премия уменьшает доход инвестора. Например, вкладчик купил облигацию с погашением через год номиналом 1 млн. руб. и купоном 20% за 960 тыс. В конце года ему выплатят 200 тыс. по купону. Так как облигация погашается по номиналу, то он выигрывает еще 40 тыс. за счет разности между номиналом и уплаченной ценой. Таким образом, его доход составит 240 тыс. [4] Предположим, что в нашем примере инвестор купил облигацию не со скидкой, а с премией в 20 тыс. т.е. по цене 1020 тыс. Поскольку в конце года облигация погашается по номиналу, то он теряет сумму премии и его доход с учетом выплаты по купону составит: 200 тыс. - 20 тыс. = 180 тыс. В зависимости от состояния рынка цена купонной облигации может быть выше или ниже номинала. Однако к моменту ее погашения она обязательно должна равняться номиналу, так как бумага погашается по номиналу. [4] Современный отечественный рынок облигаций - это, главным образом, рынок государственных облигаций. Государственные облигации можно разделить на облигации рыночных и нерыночных займов. Облигации рыночных займов свободно обращаются на вторичном рынке. Облигации нерыночных займов не могут обращаться на вторичном рынке. Еврооблигация - это облигация, выпущенная эмитентом в валюте другой страны. Чаще всего облигации выпускаются в долларах США эмитентами не из США. Данный рынок возник для того, чтобы обойти законодательные препятствия страны, в валюте которой выпущена бумага. Мировая облигация - это облигация, которая одновременно выпускается в нескольких странах. Эмиссия такой бумаги требует взаимодействия между клиринговыми системами данных стран, чтобы облигация легко могла пересекать границы. Вексель - это долговое обязательство, которое дает его владельцу безусловное право требовать уплаты обозначенной в нем суммы денег от лица, обязанного по векселю. В первую очередь, вексель - это инструмент кредита, его также можно использовать в качестве расчетного средства. С помощью данного документа могут оплачиваться поставки товаров, предоставление услуг (коммерческий кредит), оформляться денежные обязательства. Векселя, которые возникают вследствие предоставления коммерческого кредита, называются коммерческими. Векселя, оформляющие денежные обязательства называются финансовыми. Коммерческий вексель возникает в связи с тем, что у покупателя продукции в момент поставки ее продавцом отсутствуют необходимые денежные средства, и поэтому сделка оформляется с помощью векселя. Покупатель выписывает продавцу вексель, в соответствии с которым он берет на себя обязательство уплатить ему определенную сумму денег по истечении определенного периода времени. Такая операция фактически является кредитованием покупателя, так как ему предоставляется отсрочка платежа. В связи с этим в вексельной сумме находит отражение процент за предоставленный кредит. Для покупателя вексель удобен тем, что он позволяет отодвинуть сроки платежа. Привлекательность векселя для продавца состоит в том, что он может сразу получить определенную сумму денег с помощью учета (продажи) его у другого лица, обычно банка. Банк предъявит вексель к погашению покупателю при наступлении срока платежа. Какую часть вексельной суммы получит продавец при учете векселя и пожелает ли банк учесть вексель, зависит от кредитного рейтинга векселедателя. Банковский сертификат - это ценная бумага, которая свидетельствует о размещении денег в банке, и удостоверяет право инвестора (бенефициара) на получение суммы номинала бумаги и начисленных по ней процентов. Различают сберегательный и депозитный сертификаты. Депозитный сертификат - это ценная бумага, предназначенная для юридических лиц. Сберегательный сертификат - это ценная бумага, предназначенная для физических лиц. 2. Технический и фундаментальный анализ фондового рынкаОдним из подходов к принятию решений на фондовом рынке является технический анализ. Он возник в еще в XIX веке. В тот период инвесторам практически была недоступна информация о результатах развития отраслей промышленности, отчеты о финансовом состоянии предприятий и т.п. Поэтому объектом изучения, на основе которого можно было строить прогнозы, являлось положение на самом рынке. Технический анализ занимается изучением состояния фондового рынка. В его основе лежит теоретическое положение о том, что все внешние силы, влияющие на рынок, в конечном итоге проявляются в двух показателях - объемах торговли и уровне цен финансовых активов. Поэтому аналитик, занимающийся техническим анализом, не принимает во внимание воздействующие на рынок внешние силы, а изучает динамику его показателей. Другая теоретическая посылка состоит в том, что прошлые состояния рынка периодически повторяются. В связи с этим задача инвестора состоит в том, чтобы на основе изучения прошлой динамики рынка определить, какой она будет в следующий момент. Конъюнктура рынка зависит от взаимодействия спроса и предложения. Технический анализ призван определить моменты их несоответствия, чтобы ответить на вопрос, когда следует купить или продать ценную бумагу. Технический аналитик обычно пытается предсказать краткосрочные движения рынка. Фундаментальный анализ - это анализ факторов, влияющих на стоимость ценной бумаги. Он призван ответить на вопрос, какую ценную бумагу следует купить или продать, а рассмотренный выше технический анализ - когда это следует сделать. В идеале фундаментальный анализ предполагает рассмотрение всех значимых экономических, политических и иных факторов, которые могут повлиять на курсовую стоимость ценной бумаги. Центральная часть фундаментального анализа - изучение производственной и финансовой ситуации на предприятии-эмитенте. Помимо анализа положения дел на самом предприятии аналитику, занимающемуся фундаментальным анализом, необходимо изучать факторы макроэкономического характера, а также рынок, на котором действует интересующее его предприятие. Это открывает инвестору понимание долгосрочной и краткосрочной конъюнктуры. Такое знание особенно важно для вкладчика, ориентирующегося на продолжительные тренды. Анализ макроэкономической ситуации в стране и ее перспектив требует знаний в области макроэкономики. В поле зрения инвестора должны быть следующие показатели: 1) объем ВВП (ВНП); 2) уровень инфляции, безработицы, процентной ставки, объема экспорта и импорта; 3) валютый курс; 4) величина государственных расходов и заимствований на финансовом рынке и т.п., так как указанные переменные величины определяют общий экономический климат в стране. Фундаментальные аналитики изучают причины, движущие рынком, и на их основе принимают решения об инвестициях, особенно долгосрочного характера. 2.1 Спекулятивные и страховые сделки на рынке ценных бумагВ обыденной жизни часто можно слышать слово "спекулянт" по отношению к любому индивиду, который получил прибыль на перепродаже товара. В экономической науке принято более строгое разграничение действующих лиц на финансовых рынках, в том числе и на рынке ценных бумаг. Спекулянт - это лицо, стремящееся получить прибыль за счет разницы в курсах финансовых инструментов, которая может возникнуть во времени. Спекулянт покупает (продает) активы с целью продать (купить) их в будущем по более благоприятной цене. Арбитражер - это лицо, извлекающее прибыль за счет одновременной купли-продажи одного и того же актива на различных рынках, если на них наблюдаются разные цены. Хеджер - это лицо, страхующее на срочном рынке свои финансовые активы или сделки на спотовом рынке. Если мы рассчитываем на полное функционирование финансового рынка, то обязательно должны отвести на нем место и спекуляции. Практически большая часть решений в экономике принимается в условиях неопределенности будущего развития хозяйственной жизни и поэтому в своей основе носит спекулятивный характер. На рынке ценных бумаг она не должна рассматриваться только с внешней стороны возможного легкого обогащения тех или иных лиц. За ее фасадом следует видеть конкретные функции, которые она выполняет в экономике. Во-первых, именно спекулятивный потенциал ценных бумаг способствует дополнительному повышению интереса к ним вкладчиков и, таким образом, максимизирует мобилизацию денежных средств для развития экономики. Именно спекулятивное стремление, т.е. стремление к быстрому обогащению, заставляет вкладчиков приобретать бумаги венчурных предприятий, без которых прогресс общества замедлился бы. Во-вторых, спекуляция способствует повышению уровня ликвидности финансовых активов. (Показатель ликвидности говорит о том, насколько быстро и без потерь в стоимости можно продать финансовый актив) Спекулянт своими операциями заполняет разрыв, который может возникнуть на рынке между спросом и предложением финансовых активов. В связи со спекуляцией возникает вопрос, насколько действия игроков дестабилизируют фондовый рынок. Если рынок не развит, то вполне вероятно, что отдельные крупные финансовые структуры могут манипулировать ценами в своих интересах. Однако, на развитом рынке спекуляция, как правило, не будет искажать стоимость ценных бумаг. Напротив, она повышает точность цен финансовых активов, так как профессиональные навыки спекулянта заключаются в способности предвидеть будущую конъюнктуру. В результате на рынке остаются только наиболее верно определяющие будущую цену спекулянты. Спекулятивные сделки на финансовом рынке основаны на стремлении получить прибыль за счет разницы в курсовой стоимости финансовых активов, которая может возникнуть во времени. Если спекулянт ожидает в будущем повышения цены актива, то он купит его сейчас с целью продать в будущем по более высокой цене. Такие действия называют игрой на повышение, а спекулянтов - "быками". Если спекулянт ожидает падения стоимости актива, то он возьмет его взаймы, продаст сейчас, чтобы в дальнейшем выкупить по более низкой цене. Такие действия называют игрой на понижение, а спекулянтов - "медведями". Страхование, или хеджирование состоит в нейтрализации неблагоприятных колебаний конъюнктуры рынка для инвестора. Если инвестор владеет ценной бумагой и опасается падения ее курсовой стоимости ниже некоторого уровня, то наиболее простой способ страхования состоит в том, чтобы отдать брокеру приказ продать ее по данной цене, как только она появится на рынке. Если инвестор страхуется от роста цены бумаги, то он может отдать брокеру приказ купить ее, как только данная цена возникнет на рынке. Для страхования можно использовать фьючерсные и опционные контракты. Чтобы застраховаться от потерь в связи с падением курса ценной бумаги, следует продать на нее фьючерсный контракт или купить опцион пут. Поскольку фьючерсная цена зависит от цены спот, то при падении последней снизится и фьючерсная цена. В результате хеджер, продавший фьючерсный контракт, будет выигрывать на срочном рынке. Данный выигрыш полностью или частично компенсирует его потери от падения цены бумаги, которой он владеет, на спотовом рынке. Страховка с помощью опциона пут состоит в том, что хеджер покупает себе право продать бумагу в будущем по цене исполнения. Он воспользуется данным правом, если цена базисной бумаги на спотовом рынке к моменту завершения операции хеджирования окажется ниже цены исполнения. Для страховки от роста курса бумаги необходимо купить фьючерсный контракт или опцион колл. Если цена бумаги на спотовом рынке в дальнейшем будет расти, то данный рост компенсируется хеджеру за счет его выигрыша по фьючерсному контракту. В случае опциона колл, который рассматривался выше, он непосредственно покупает себе право приобрести бумагу в будущем по цене исполнения. Он им воспользуется, если цена бумаги на спотовом рынке к моменту завершения операции хеджирования окажется выше цены исполнения. Приведем условный пример хеджирования продажей фьючерсного контракта. Фермер ожидает через 3 месяца получить урожай пшеницы, которую он поставит на рынок. Существует риск, что к этому моменту времени цена на зерно может упасть, поэтому он решает застраховаться от ее падения с помощью заключения фьючерсного контракта. Фьючерсная котировка с поставкой пшеницы через 3 месяца равна 3000 руб. за тонну. Фермера устраивает данная цена, позволяющая ему получить нормальную прибыль, поэтому он продает фьючерсный контракт. Предположим, что контракт истекает именно в тот день, когда фермер планирует поставить зерно на рынок. Он мог бы поставить его по фьючерсному контракту. Однако место поставки, предусмотренное условиями контракта, его не устраивает из-за дополнительных накладных расходов. Поэтому он будет поставлять пшеницу на местный рынок и одновременно закрывать контракты офсетной сделкой в день истечения контракта. Допустим, что через 3 месяца на спотовом рынке цена пшеницы составила 2900, т.е. произошло снижение цены, которого опасался фермер. Фьючерсная котировка также упала до этого уровня, так как в момент истечения контракта фьючерсная и спотовая цена должны быть равны. Тогда, продав пшеницу на рынке спот, фермер получит валовую выручку 2900, понеся убыток (2900 - 3000 = - 100), но по фьючерсному контракту, заключенному на бирже, он выиграл: 3000 - 2900 =100. В итоге наш фермер получил 3000 руб. за тонну пшеницы, как и планировал. В случае же роста цены на спотовом рынке до 3100 руб. к моменту поставки зерна, фермер продаст тонну пшеницы на спотовом рынке с прибылью (3100 - 3000 = 100). Но по фьючерсному контракту он потеряет 100 руб. Общий итог операции для него в данном случае составит все те же 3000 руб. [7] Таким образом, можно сделать вывод, что хеджирование продажей фьючерсного контракта помогло фермеру застраховаться от неблагоприятного изменения цены, но не дало возможности воспользоваться благоприятным ее изменением. Но ведь в данном случае смысл сделки для фермера заключался не в получении прибыли сверх нормального ее уровня, а в страховании. Хеджирование продажей фьючерсного контракта и явилось способом страхования от убытков. 2.2 Гипотеза эффективного рынкаЦена актива устанавливается в результате действий инвесторов, которые продают или покупают его в зависимости от имеющейся у них информации. Всю информацию можно разделить на три группы, а именно: прошлую, текущую и внутреннюю. Прошлая информация - это информация, которая говорит о прошлом состоянии рынка. К ней относятся данные о динамике курсовой стоимости и объемах торговли финансовым активом. Она является общедоступной и уже известной участникам рынка. Текущая информация - это информация, которая становится общедоступной в настоящий момент времени. Она представлена в текущей прессе, выступлениях государственных служащих, отчетах компаний, аналитических прогнозах и т.п. Ее также называют публичной. Внутренняя информация (инсайдерская информация) - это информация, которая известна узкому кругу лиц в силу служебного положения или иных обстоятельств. Прошлая и публичная информация доступна всем инвесторам, внутренней же информацией обладают только отдельные лица. С ее помощью вкладчик может получить прибыль сверх нормального ее уровня. Поэтому законы запрещают использовать внутреннюю информацию на финансовом рынке и устанавливают контроль за действиями лиц, которые могут обладать такой информацией. Одной из центральных идей современной теории финансов является гипотеза эффективного рынка (efficiency market hypothesis, EMH). Следует заметить, что еще в 1900 г. французский математик Луи Бешалье в своей докторской диссертации "Теория спекуляции" высказал предположение о том, что математическое ожидание биржевого игрока равняется нулю. Идеи Л. Бешалье во многом заложили основы гипотезы случайного блуждания (random walk hypothesis, RWH). В соответствии с этой гипотезой, цены акций предстают как колебания переменной, будущие изменения которой непредсказуемы, так как ее величина может уменьшиться по сравнению с нынешней или, напротив, вырасти. Иначе говоря, изменения курсовой стоимости ценных бумаг не следуют какому-то определенному направлению или тренду, и прошлые изменения цен активов не могут быть использованы для предсказания будущих изменений цен. Более, чем через полвека после высказанных Л. Бешалье идей, в 1965 г.П. Самуэльсон своей статьей "Доказательство того, что правильно прогнозируемые цены подвержены случайным колебаниям" заложил основы гипотезы эффективного рынка. Но современной ее формулировке мы обязаны американскому профессору, исследователю в области финансов Юджину Фейме. Согласно этой гипотезе, существует три формы эффективности рынка: слабая, средняя и сильная. Критерий степени эффективности определяется на основе того, какая из перечисленных выше групп информации полностью и сразу находит отражение в цене актива. Рынок имеет слабую форму эффективности (weak-form efficiency), если стоимость актива полностью отражает прошлую информацию, касающуюся данного актива. Средняя форма эффективности (semistrong-form efficiency) предполагает, что цена актива полностью отражает не только прошлую, но и публичную информацию. Сильная форма эффективности (strong-form efficiency) означает, что цена актива отражает всю информацию: прошлую, публичную и внутреннюю. Гипотеза эффективного рынка может быть сформулирована следующим образом: рынок является эффективным в отношении какой-либо информации, если она сразу и полностью отражается в цене актива. В такой ситуации ее бесполезно использовать для формирования инвестиционной стратегии, чтобы получить сверхприбыль. Если состояние рынка соответствует слабой форме эффективности, то теряется смысл анализа прошлой информации, поскольку она уже нашла отражение в цене актива. Прошлая информация - это, прежде всего, данные, анализируемые в рамках технического анализа. При слабой форме эффективности рынка технический анализ бесполезен. При средней форме эффективности рынка не только технический, но и фундаментальный анализ становится бесполезным, т.е. с его помощью невозможно получить прибыль сверх нормального ее уровня. Дело в том, что публичная информация включает в себя материал для фундаментального анализа фондового рынка. И, наконец, при сильной форме эффективности рынка нельзя получить сверхприбыль, используя внутреннюю информацию, поскольку она уже учтена в цене финансового актива. Если рынок является эффективным, то все инвесторы находятся в равных условиях по отношению друг к другу, так как существенное изменение цены актива может быть вызвано только появлением какой-либо новой информации, которую нельзя было с достаточной степенью достоверности предвидеть заранее и поэтому она не была учтена в цене. Гипотеза эффективного рынка имеет прикладное значение, поскольку учит нас тому, что, покупая ценные бумаги, мы не можем рассчитывать на сверхвысокую доходность активов. В распоряжении участников рынка всегда есть, по крайней мере, газетная информация и сообщения консультантов по инвестированию. 2.3 Теория рефлексивности Дж. СоросаПрименим ли равновесный анализ в отношении финансовых рынков и, в частности, рынка ценных бумаг? Анализируя эту проблему, известный финансист Джордж Сорос выдвинул теорию рефлексивности, которая является альтернативным объяснением ценообразования на финансовых рынках. Дж. Сорос считает, что для финансовых рынков не подходит концепция равновесного состояния, которая разработана в рамках неоклассической экономической теории. Например, в микроэкономике считается, что фондовый рынок является одним из тех, что в максимальной мере отвечают критериям модели рынка совершенной конкуренции (множество участников, однородная продукция, низкие барьеры для входа и выхода с данного рынка). Однако, если рассматривать фондовый рынок в динамике, то невозможно сделать вывод, что этот рынок стремится к равновесию. Дж. Сорос полагает, что "концепция равновесия кажется в лучшем случае иррелевантной, а в худшем - вводящей в заблуждение". Дело в том, что на фондовом рынке (как, впрочем, на всех финансовых рынках) существует двусторонняя связь между текущими решениями и будущими событиями. Рынок может воздействовать на ход предвосхищаемых им событий, так как взгляды участников рыночных сделок являются частью ситуации, к которой они относятся. Другими словами, мышление участников фондового рынка влияет на саму ситуацию, к которой оно относится. Фактический ход событий уже включает в себя последствия мышления экономических агентов. Предпочтения участников формируются, исходя из ожиданий будущего развития событий. Эти ожидания могут сильно различаться и многие из них компенсируют друг друга. Однако сохраняются так называемые превалирующие предпочтения, которые отражаются на уровне рыночных цен. Позитивные превалирующие предпочтения ведут к росту котировок ценных бумаг, а отрицательные - к их падению. Следовательно, на фондовом рынке цены отражают общий знаменатель предпочтений участников рынка. Но изменения котировок акций, в свою очередь, могут повлиять как на превалирующие предпочтения, так и на основной тренд динамики курса акций. В данном случае проявляется рефлексивное взаимодействие. С одной стороны, котировки акций определяются превалирующими предпочтениями и отражают основной тренд. Котировки акций могут усиливать основной тренд, и тогда тренд является самоусиливающимся. С другой стороны, котировки акций могут влиять на основной тренд в противоположном направлении и такой тренд можно назвать самокорректирующимся. В любом случае, ситуация отклоняется от равновесия и в динамической модели никогда не наступит равновесного состояния. Таким образом, теория рефлексивности позволила дополнить и развить ту картину фондового рынка, которую можно выявить с помощью фундаментального анализа. Собирая и анализируя информацию о происходящих на рынке процессах на трех уровнях в которых эксперты стремятся определить, каким образом реальная ценность акций отражается в их котировках. Теория рефлексивности, наоборот, позволяет выявить, как складывающиеся котировки могут повлиять на реальную ценность. Следовательно, традиционный фундаментальный анализ дает статическую картину, а теория рефлексивности делает упор на динамическую зависимость. 2.4Деятельность посредников на рынке ценных бумагРассмотрим основных участников рынка ценных бумаг на примере российского законодательства. Оказывать услуги на рынке ценных бумаг могут только специальные организации или физические лица, получившие соответствующие лицензии. Главным действующим лицом на рынке является брокер. Брокер - это лицо, действующее за счет клиента на основе договоров поручения или комиссии. В качестве брокера обычно выступает брокерская компания. Физическое лицо также может осуществлять брокерские функции, если зарегистрируется в качестве предпринимателя. За оказанные услуги брокер получает комиссионные. Следующий участник РЦБ - дилер. Дилер - это лицо, совершающее сделки купли-продажи ценных бумаг от своего имени и за свой счет на основе публичного объявления котировок. В качестве дилера может выступать только юридическое лицо. Дилер обязан заключать сделки по ценам объявленных котировок. Наряду с ценами, он может устанавливать другие обязательные условия, такие, как минимальное и максимальное количество покупаемых и/или продаваемых бумаг, а также сроки действия цен. Участником фондового рынка является и инвестиционный фонд. Инвестиционный фонд - это акционерное общество, которое выпускает свои акции и реализует их инвесторам. Аккумулированные таким образом средства он размещает в другие ценные бумаги или на депозитах в банках. Фонды могут быть открытыми и закрытыми. Открытый фонд - это акционерное общество, размещающее акции с обязательством их последующего выкупа по требованию инвестора. Закрытый фонд - это акционерное общество, размещающее акции без обязательства их выкупа. Инвестиционные фонды представляют интерес в первую очередь для мелкого вкладчика, так как они управляются профессиональными участниками фондового и позволяют снизить уровень риска за счет диверсификации своих инвестиций. Инвестиционный фонд представляет собой организацию, которая только аккумулирует денежные средства. Для выполнения своих целей он заключает договоры с двумя другими лицами. Первое из них - это упоминавшийся ранее депозитарий. В случае с инвестиционным фондом - это организация, в которой хранятся его средства и ценные бумаги и которая обеспечивает взаиморасчеты фонда по сделкам. Второе лицо представлено управляющим: он управляет средствами фонда. По своему характеру разновидностью инвестиционного фонда является паевой инвестиционный фонд, задача которого также сводится к аккумулированию средств вкладчиков и размещению их в другие финансовые активы. В то же время отличие паевого фонда состоит в том, что он представляет собой имущественный комплекс без создания юридического лица. Он создается при компании, имеющей лицензию на осуществление деятельности по доверительному управлению имуществом паевых фондов, которая становится управляющей компанией фонда. Вкладчики паевого фонда приобретают инвестиционные паи. Прибыль инвестор получает только за счет прироста курсовой стоимости пая. 3. Регулирование рынка ценных бумагДля того чтобы рынок ценных бумаг мог эффективно выполнять свои функции, государство осуществляет регулирование деятельности эмитентов и инвесторов. Государственное регулирование обеспечивается путем: установления обязательных требований к деятельности эмитентов и профессиональных участников РЦБ; регистрации выпусков ценных бумаг и контроля за соблюдением условий эмиссии; лицензированием деятельности профессиональных участников РЦБ; создания системы защиты прав владельцев ценных бумаг. Определенное место в регулировании деятельности профессиональных участников РЦБ призваны сыграть саморегулирующиеся организации профессиональных участников РЦБ (СОПУ). Они являются добровольными объединениями профессиональных участников РЦБ. Для своих членов СОПУ устанавливают правила деятельности на РЦБ. Уведомление осуществляется в пятидневный срок после приобретения бумаг. Профессиональный участник РЦБ обязан раскрыть информацию о разовой операции с одним видом эмиссионных ценных бумаг одного эмитента, если количество ценных бумаг по операции составило не менее 15% от их общего количества. Осуществляется контроль за использованием служебной информации (иногда ее называют внутренней). Лицам, владеющим служебной информацией, запрещается использовать ее для заключения сделок и передавать третьим лицам. К служебной информации относят любую информацию об эмитенте и выпущенных им бумагах, которая обеспечивает ее обладателю преимущественное положение по сравнению с другими участниками РЦБ. К лицам, обладающим данной информацией, относят: 1) членов органов управления эмитента или профессионального участника РЦБ, связанного с эмитентом договором; 2) аудитора эмитента; 3) служащих государственных органов, которые имеют доступ к такой информации. Так же регулируется рекламная деятельность на РЦБ. В рекламе запрещается: 1) давать недостоверную информацию о деятельности эмитента и его ценных бумагах; 2) гарантировать или указывать предполагаемый размер дохода по ценным бумагам и прогнозы роста их курсовой стоимости; 3) использовать рекламу в целях недобросовестной конкуренции путем указания на недостатки в деятельности профессиональных участников РЦБ, занимающихся аналогичной деятельностью, или эмитентов, выпускающих аналогичные ценные бумаги; 4) запрещается реклама эмиссионных ценных бумаг до даты их регистрации. В случае нарушения законодательства о ценных бумагах к участникам РЦБ применяются соответствующие административные или уголовные санкции. В отличие от финансового, реальное инвестирование, означает процесс реального капиталообразования, или прироста основных производственных фондов. Но между этими видами инвестирования существует тесная связь, хотя иногда может показаться, что рынок ценных бумаг "живет" по своим собственным законам и не имеет никакого отношения к реальному сектору экономики. При всей самостоятельности рынка ценных бумаг, в конечном счете, он путем многочисленных опосредующих звеньев связан с рынком реальных благ. Именно благодаря рынку ценных бумаг осуществляется превращение сбережений в инвестиции, о чем говорилось ранее в связи с макроэкономическим равенством /=S, т.е. условием равновесия на рынке товаров и услуг. Конечно, расширение или сжатие рынка ценных бумаг подчиняется закономерностям, отличным от тех, которые управляют динамикой реального сектора экономики. Так, в связи с "азиатским" финансовым кризисом 1997 г., российским кризисом 1998 г. часто приходилось слышать о "мыльном пузыре", который лопнул, о "перегретых" финансовых рынках и об их корректировке. Все это справедливо. Но, тем не менее, череда финансовых кризисов, прокатившаяся по миру в 1997-1998 гг., продемонстрировала, что глубинные причины кроются не просто в действиях финансовых спекулянтов, а в диспропорциях, сложившихся в институциональной структуре экономики "правилах игры", по которым действует банковская система, сфера промышленного производства и т.д. Эти правила таковы, что позволяли, например, российским банкам, инвестиционным фондам и другим структурам получать огромные прибыли на рынке ГКО, заниматься чисто спекулятивной деятельностью на рынке корпоративных ценных бумаг, не принимая участия в финансировании реального сектора. По этому никакого чуда не произойдет: экономический рост так и останется фразой правительственных заявлений. А причины увлечения спекулятивными сделками необходимо искать в несовершенстве налоговой системы, законодательства о банкротстве предприятий, земельных отношениях и прочих институциональных рамках, которые отталкивают инвесторов от финансирования промышленности, сельского хозяйства и других отраслей. 3.1 Регулирование рынка ценных бумаг в УкраинеГосударственная комиссия по ценным бумагам и регулированию рынка ценных бумаг совместно с агентством США по международному развитию и Financial Markets International, Inc. (FMI) организовали Стратегическую группу по вопросам развития фондового рынка Украины. В эту группу входили представители органов государственного управления, профессиональных участников фондового рынка и международных донорских организаций. Результатом работы стратегической группы стал документ под названием “Программа развития фондового рынка Украины”. В этом документе рассмотрены итоги развития фондового рынка Украины и предложены перспективные меры по развитию этого рынка в ближайшие годы. В документе сказано, что фондовый рынок Украины по степени зрелости и рискам принадлежит к рынкам, которые находятся на начальных стадиях формирования и роста. Ему приходится конкурировать за объемы инвестиционных ресурсов с другими фондовыми рынками, которые развиваются. В связи с этим повышение конкурентоспособности украинского фондового рынка и цивилизованная интеграция с международными рынками капитала должны стать приоритетами государственной политики регулирования рынка ценных бумаг в Украине. Важной составной частью государственной политики, направленной на повышение конкурентоспособности фондового рынка Украины, является налоговое стимулирование развития инфраструктуры фондового рынка, профессиональной деятельности субъектов рынка, операций с ценными бумагами и доходов по ним. Эмитентами ценных бумаг в Украине выступают: Кабинет Министров Украины (государственные ценные бумаги). Национальный банк Украины, органы местного самоуправления, предприятия, коммерческие банки, инвестиционные фонды. Украинским законодательством в целом решены проблемы эмиссионной деятельности эмитентов, отчетности перед инвесторами, организаторами торговли и государственными регуляторами. Наиболее распространенным финансовым инструментом, который выпускается в Украине, является акция. За последние годы на фондовом рынке Украины произошли существенные изменения, которые заключаются в том, что созданы основные элементы инфраструктуры фондового рынка, значительно расширено правовое поле регулирования фондового рынка, в результате проведения приватизации образованы десятки тысяч акционерных обществ, создана индустрия совместного инвестирования, появились выпуски облигаций и местных займов. ЗаключениеРазвитие рынков акций и корпоративных облигаций таит в себе большие возможности для наращивания объемов привлеченных инвестиций. Но есть и другие варианты. Например, государство может содействовать активизации инвестиционного процесса с использованием рынка государственных ценных бумаг, в том числе гарантируя или размещая целевые займы, финансирующие реализацию инфраструктурных проектов национального масштаба. Это могут быть проекты строительства газо - и нефтепроводов, дорожное и железнодорожное строительство, телекоммуникационные проекты. Участие государства должно быть связано с теми проектами, которые либо не под силу частному бизнесу, либо не интересны ему из-за слишком длинного периода окупаемости. Подобный опыт в истории уже был. В конце ХIХ - начале XX вв. железные дороги строились как на средства, полученные размещением специальных железнодорожных государственных облигаций, так и на займы частных компаний, гарантированные правительством. Эти так называемые "гарантированные" облигации были одними из самых популярных ценных бумаг того времени. На 1 января 1914 г. государственные железнодорожные займы составляли около 35% общего размера государственного долга СССР. Развитие фондового рынка может иметь и опосредованное отношение к экономическому росту, например, через повышение качества корпоративного управления и прозрачности эмитентов, финансовых инструментов, надежности и эффективности финансовой инфраструктуры. Это позволит привлечь на финансовый рынок дополнительные средства инвесторов, например "из-под матрасов" (30-50 млрд. долл.) [4] и вовлечь их в инвестиционный цикл. Инвестиционная часть пенсионных накоплений граждан также может быть инвестирована только в качественные и надежные инструменты. Существенные средства могут поступить на рынок и от паевых инвестиционных фондов, аккумулирующих средства частных инвесторов. Их активы выросли с начала 2003 г. Конечно, развитие фондового рынка не является единственным "золотым ключиком" к процветанию и высоким темпам экономического роста. Вместе с тем при целенаправленных усилиях фондовый рынок может в ближайшие годы обеспечить не малые инвестиций в основной капитал. Это будет заметным вкладом в ускорение экономического развития. Список использованных источников1. Базилевич В.Д. История экономических учений:. - К.: “Знание”, 2006. 2. Базилев Н. И, Базилева М.Н. Экономическая теория: - Мн. БГЭУ, 2001. - 752 с. 3. Башнянин П.Ю., Лазур В.С., Медведев М.В. Политэкономия: 2000. - 546с. 4. Борисов Є.Ф. Экономическая теория: Курс лекций для студентов высших учебных заведений- К.: “Знание”, 1998. - 478с. 5. Гальчинський А.С., Ещенко П.С., Палкин Ю.И. Основы экономической теории: - К.: “Высшая школа”., 2002. - 471с. 6. Добрынин А. И Экономическая теория: - К: " Питер", 2005. - 544с. 7. Задоя А.А., Петрня Ю.Е. Основы экономической теории: - М.: “Рыбари”, 2000. - 479с. 8. Робинсон Дж. Экономическая теория. - М.: “Прогресс”, 1999. - 592с. 9. Савченко А.Р. Макроэкономика: - К, “Лебедь”, 1995-208с. 10. Саниев И.С. Деньги, кредит, банки. “Алматый” 2002 521с. |
[5] 
[5]
[5]
[5]
[5]
[5]