Дипломная работа: Совершенствование управления инвестиционной привлекательностью предприятия на примере ОАО "Нижнекамскшина"
|
Название: Совершенствование управления инвестиционной привлекательностью предприятия на примере ОАО "Нижнекамскшина" Раздел: Рефераты по финансовым наукам Тип: дипломная работа | ||||||||||||||||||||||||||||||||||||||||||||||||||||||||||||||||||||||||||||||||||||||||||||||||||||||||||||||||||||||||||||||||||||||||||||||||||||||||||||||||||||||||||||||||||||||||||||||||||||||||||||||||||||||||||||||||||||||||||||||||||||||||||||||||||||||||||||||||||||||||||||||||||||||||||||||||||||||||||||||||||||||||||||||||||||||||||||||||||||||||||||||||||||||||||||||||||||||||||||||||||||||||||||||||||||||||||||||||||||||||||||||||||||||||||||||||||||||||||||||||||||||||||||||||||||||||||||||||||||||||||||||||||||||||||||||||||||||||||||||||||||||||||||||||||||||||||||||||||||||||||||||||||||||||||||||||||||||||||||||||||||||||||||||||||||||||||||||||||||||||||||||||||||||||||||||||||
Содержание
ВведениеВ современных условиях для осуществления эффективной деятельности предприятия особо актуальной является проблема мобилизации и эффективного использования инвестиций. Инвестиционная активность является составной частью деловой активности хозяйствующих субъектов, включающей также производственную, инновационную, рыночную, маркетинговую и иную активность. Формирование инвестиционной привлекательности, выработка четкой стратегии инвестирования, определения ее приоритетных направлений, мобилизация всех источников инвестиций является важнейшим условием устойчивого и качественного развития предприятий в сегодняшних непростых условиях.Именно процесс инвестирования задает фирме ритм существования на период до начала реализации нового инвестиционного проекта. Логика функционирования фирмы предстает в следующем виде: инвестиции - период роста постоянных затрат - период достижения бесприбыльного развития (порога рентабельности) - наращивание запаса финансовой прочности - новые инвестиции и т. д.Анализ экономической литературы и хозяйственной практики дает основание утверждать, что фирма не может отказаться от инвестирования. Это противоречит ее жизненному циклу, делает ее абсолютно незащищенной на фоне других фирм-конкурентов. Правомерно говорить даже о том, что отказ от инвестиций - это самый значительный риск, которому может подвергнуть себя фирма. Он во многом равносилен банкротству предприятия. Реализация инвестиционного проекта позволяет фирме адаптироваться к макроэкономическим реалиям, к изменениям во внешней среде, предвосхищаяих.Следовательно, инвестиции не могут рассматриваться как пассивный элемент экономического действия. Скорее, наоборот, они - активный элемент, позволяющий фирме не только адаптироваться, но и адаптировать внешнюю среду. Инвестиционные решения в силу этого должны учитывать параметры не только внутренней, но и внешней среды.Таким образом, актуальность темы выпускной квалификационной работы обусловлена особой важностью повышения инвестиционной привлекательности предприятия, так как ее результатом является наращивание или изменение продуктивного портфеля фирмы, что непосредственным образом влияет на ее конкурентную позицию на рынке.Исходя из вышесказанного, можно сформулировать цель данной работы: исследовать инвестиционную привлекательность предприятия в современных условиях и предложить пути повышения инвестиционной привлекательности на примере ОАО «Нижнекамскшина».Для достижения поставленной цели необходимо решить следующие задачи:- рассмотреть теоретические аспекты оценки инвестиционной привлекательности предприятия; - представить показатели и методы анализа инвестиционной привлекательности предприятия; - провести оценку инвестиционных проектов предприятия; - проанализировать инвестиционную привлекательность ОАО «Нижнекамскшина»; - выявить пути повышения инвестиционной привлекательности предприятия. Объектом исследования выступает крупное промышленное предприятие ОАО «Нижнекамскшина». Предметом исследования является инвестиционная привлекательность предприятия и поиск путей ее повышения в современных условиях. В качестве теоретической основы исследования выступили труды отечественных экономистов по вопросам инвестиций и инвестиционной политики предприятия: Балабановой И.Т., Бочарова В.В., Богатина Ю.В., Виленского П.Л., Бланка Б.А., Липсица И.В., Лукасевича Г.Д., Сергеева А.А., Ковалева В.В., Когденко В.Г., Любушина Н.П., Савицкой Г.В. и др., а также материалы периодической печати. В качестве методологической основы в ходе исследования применялись такие методы общенаучного исследования, как анализ, сравнение изучаемых показателей, метод финансовых коэффициентов, логический подход к оценке экономических явлений и т.д. Информационной основой исследования являются данные бухгалтерской отчетности, а именно: форма № 1 «Бухгалтерский баланс», форма № 2 «Отчет о прибылях и убытках» за 2007 - 2009гг. ОАО «Нижнекамскшина». Практическая значимость дипломной работы заключается в разработке предложений по повышению эффективности инвестиционной привлекательности отечественных предприятий на примере ОАО «Нижнекамскшина». В соответствии с последовательным решением поставленных задач выстроена структура дипломной работы.В первой главе представлены теоретические и методические основы оценки инвестиционной привлекательности предприятия, в частности, отражены понятие и сущность инвестиционной привлекательности предприятия, представлены показатели и методы анализа инвестиционной привлекательности предприятия, выявлены подходы к оценке инвестиционной привлекательности предприятия.Во второй главе проведена оценка инвестиционной привлекательности предприятия на примере ОАО «Нижнекамскшина» и представлена характеристика инвестиционных проектов предприятия. В третьей, заключительной, главе представлены пути повышения инвестиционной привлекательности предприятия и предложены способы совершенствования механизмов отбора инвестиционных проектов. 1 Теоретические и методические основы оценки инвестиционной привлекательности предприятия 1.1 Понятие и сущность инвестиционной привлекательности предприятия Прежде чем анализировать понятие и сущность инвестиционной привлекательности предприятия, обратимся к понятию «инвестиционная политика», которая является составной частью общей финансовой стратегии предприятия, которая определяет выбор и способ реализации наиболее рациональных путей расширения и обновления его производственного потенциала. Существование и эффективная деятельность предприятия в рыночных условиях хозяйствования нереальна без хорошо налаженного управления его капиталом, то есть основными видами финансовых средств (инвестиционных ресурсов) в форме материальных и денежных средств, различных видов финансовых инструментов. Капитал предприятия является, с одной стороны, источником, а с другой, результатом деятельности предприятия. Финансовые ресурсы предприятия направляются на финансирование текущих расходов и на инвестиции, представляющие собой использование финансовых ресурсов в форме долгосрочных вложений капитала в целях увеличения активов и получения прибыли. Термин инвестиции происходит от латинского слова «invest», что означает «вкладывать». Инвестиции - совокупность долговременных затрат финансовых, трудовых и материальных ресурсов в целях увеличения активов и прибыли. Это понятие охватывает и реальные инвестиции (капитальные вложения), и финансовые (портфельные) инвестиции [42, с.33]. В законе РФ «Об инвестиционной деятельности в Российской Федерации, осуществляемой в форме капитальных вложений» от 25 февраля 1999г. №39-ФЗ дается следующее определение: «…инвестиции - денежные средства, ценные бумаги, иное имущество, в том числе имущественные права, иные права, имеющие денежную оценку, вкладываемые в объекты предпринимательской и (или) иной деятельности в целях получения прибыли и (или достижения полезного эффекта» [4]. Инвестиции обеспечивают динамичное развитие предприятия и позволяют решать следующие задачи:- расширение собственной предпринимательской деятельности за счет накопления финансовых и материальных ресурсов; - приобретение новых предприятий; - диверсификация вследствие освоения новых областей бизнеса. Расширение собственной предпринимательской деятельности свидетельствует о прочных позициях предприятия на рынке, наличии спроса на выпускаемую продукцию, производимые работы или оказываемые услуги [2].В качестве инвестиций могут выступать:- денежные средства, целевые банковские вклады, паи, акции, облигации и другие ценные бумаги; - движимое и недвижимое имущество (здания, сооружения, машины, оборудование и др.); - объекты авторского права, лицензии, патенты, ноу-хау, программные продукты, технологии и другие интеллектуальные ценности; - права пользования землей, природными ресурсами, а также любым другим имуществом. Любые инвестиции связаны с инвестиционной деятельностью предприятия, которая представляет собой процесс обоснования и реализации наиболее эффективных форм вложений капитала, направленных на расширение экономического потенциала предприятия.Для осуществления инвестиционной деятельности предприятия вырабатывают инвестиционную политику. Эта политика является частью стратегии развития предприятия и общей политики управления прибылью. Она заключается в выборе и реализации наиболее эффективных форм вложения капитала с целью расширения объема операционной деятельности и формирования инвестиционной прибыли [28.С.113].В экономической литературе проблеме инвестиций уделялось и уделяется достаточно много внимания, в том числе раскрытию сути инвестиционной политики. Однако в большинстве научных работ отсутствуют четкие определения понятия «инвестиционная политика предприятия». А между тем точное определение этого понятия достаточно важно как с теоретических, так и с практических позиций, так как позволяет более целенаправленно проводить научные исследования и осуществлять реальное управление инвестиционным процессом.Так, по мнению Г.В. Савицкой, инвестиционная политика - составная часть финансовой стратегии предприятия, которая заключается в выборе и реализации наиболее рациональных путей расширения и обновления производственного потенциала [34.С. 54].П.Л. Виленский инвестиционную политику определяет как систему хозяйственных решений, определяющих объем, структуру и направления инвестиций как внутри хозяйствующего объекта (предприятия, фирмы, компании и т.д.), региона, страны, так и за пределами целью развития производства, предпринимательства, получения прибыли или других конечных результатов[13.С.91].В современном экономическом словаре Б.А. Райзберга дано следующее определение инвестиционной политики предприятия: «Инвестиционная политика - составная часть экономической политики, проводимой предприятиями в виде установления структуры и масштабов инвестиций, направлений их использования, источников получения с учетом необходимости обновления основных производственных средств и повышения их технического уровня [38.С.347].Н.Н. Селезнева утверждает, что «….инвестиционная политика современного предприятия - это формирование комплекса долгосрочных целей в области инвестиционной деятельности и совокупность действий по их достижению»[35.С.67]. Наиболее полное определение инвестиционной политике дает, пожалуй, только И. А. Бланк: «инвестиционная политика представляет собойчасть общей финансовой стратегии предприятия, заключающуюся в выборе и реализации наиболее эффективных форм реальных и финансовых его инвестиций с целью обеспечения высоких темпов его развития и расширения экономического потенциала хозяйственной деятельности» [9.С.239]. Для того, чтобы определять максимальную эффективность инвестиционного решения, введено понятие инвестиционной привлекательности предприятия. Понятие достаточно новое, в экономических публикациях появилось относительно недавно и используется преимущественно при характеристике и оценке объектов инвестирования, рейтинговых сопоставлениях, сравнительном анализе процессов. Исследование различных точек зрения на его трактовку позволило установить, что в современных представлениях нет единого подхода к сущности этой экономической категории. К одной из наиболее распространенных точек зрения относится сопоставление инвестиционной привлекательности с целесообразностью вложения средств в интересующее инвестора предприятие, которая зависит от ряда факторов, характеризующих деятельность субъекта. Определение хотя и корректное, но достаточно размытое, и не дает оснований рассуждать об оценке. Более точно экономическая сущность инвестиционной привлекательности дается в определении Л. Валинуровой и О. Казаковой. Они понимают под этим термином совокупность объективных признаков, свойств, средств и возможностей, обуславливающих потенциальный платежеспособный спрос на инвестиции. Такое определение шире и позволяет учесть интересы любого участника инвестиционного процесса [1, c.146]. Существуют иные точки зрения (в том числе Л. Гиляровской, В. Власовой и Э. Крылова и других). Здесь под инвестиционной привлекательностью понимается оценка эффективности использования собственного и заемного капитала, анализ платежеспособности и ликвидности (аналогичное определение - структура собственного и заемного капитала и его размещение между различными видами имущества, а также эффективность их использования). [2, c.251] Оценивая инвестиционную привлекательность с точки зрения дохода и риска, можно утверждать, что это — наличие дохода (экономического эффекта) от вложения средств при минимальном уровне риска. Таким образом, становится очевидным, что вне зависимости от используемого экспертом или аналитиком подхода к определению чаще всего термин «инвестиционная привлекательность» используют для оценки целесообразности вложений в тот или иной объект, выбора альтернативных вариантов и определения эффективности размещения ресурсов. Надо отметить, что определение инвестиционной привлекательности направлено на формирование объективной целенаправленной информации для принятия инвестиционного решения. Поэтому при подходе к ее оценке следует различать термины «уровень экономического развития» и «инвестиционная привлекательность». Если первый определяет уровень развития объекта, набор экономических показателей, то инвестиционная привлекательность характеризуется состоянием объекта, его дальнейшего развития, перспектив доходности и роста. Существуют следующие основные виды финансирования предприятия из внешних источников: инвестирование в акционерный капитал и предоставление заемных средств. [3, c.176] Основными формами привлечения инвестиций в акционерный капитал являются: - инвестиции финансовых инвесторов; - стратегическое инвестирование. Инвестиции финансовых инвесторов представляют собой приобретение внешним профессиональным инвестором (группой инвесторов), как правило, блокирующего, но не контрольного пакета акций компании в обмен на инвестиции с последующей продажей данного пакета через 3-5 лет (в основном это венчурные и паевые фонды) либо размещение акций компании на рынке ценных бумаг широкому кругу инвесторов (в данном случае это могут быть компании любого направления деятельности или физические лица). Инвестор в данном случае получает основной доход за счет продажи своего пакета акций (то есть за счет выхода из бизнеса). В связи с этим привлечение инвестиций финансовых инвесторов целесообразно для развития предприятия: модернизации или расширения производства, роста объемов продаж, повышения эффективности деятельности, в результате чего будет расти стоимость компании и, соответственно, вложенный инвестором капитал. Стратегическое инвестирование представляет собой приобретение инвестором крупного (вплоть до контрольного) пакета акций компании. Как правило, стратегическое инвестирование предполагает длительное или постоянное присутствие инвестора среди собственников компании. Зачастую конечной стадией стратегического инвестирования является приобретение компании либо слияние ее с компанией-инвестором. В качестве стратегических инвесторов обычно выступают предприятия-лидеры отрасли и крупные объединения предприятий. Основной целью стратегического инвестора является повышение эффективности собственного бизнеса и получение доступа к новым ресурсам и технологиям. Инвестирование в форме предоставления заемных средств использует следующие инструменты - кредиты (банковские, торговые), облигационные займы, лизинговые схемы. При данной форме финансирования основной целью инвестора является получение процентного дохода на вложенный капитал при заданном уровне риска. Поэтому данную группу инвесторов интересует дальнейшее развитие предприятия с точки зрения его возможности исполнить обязательства по выплате процентов и возврату основной суммы долга. Таким образом, всех инвесторов можно разделить на две группы: кредиторы, заинтересованные в получении текущих доходов в форме процентов, и участники бизнеса (владельцы доли в бизнесе), заинтересованные в получении дохода от роста стоимости компании. [4, c.53] Инвестиционная привлекательность предприятия для каждой из групп инвесторов определяется уровнем дохода, который инвестор может получить на вложенные средства. Уровень дохода, в свою очередь, обусловлен уровнем рисков невозврата капитала и неполучения дохода на капитал. В соответствии с этими критериями инвесторы определяют требования, предъявляемые к предприятиям при инвестировании. Очевидно при этом, что основным требованием для инвесторов-кредиторов является подтверждение способности предприятия выполнить обязательства по возврату капитала и выплате процентов, а для инвесторов, участвующих в бизнесе, - подтверждение способности освоить инвестиции и увеличить стоимость пакета акций инвестора. Инвестор выдвигает различные требования к предприятию при принятии решения об инвестировании. При этом опыт показывает, что предприятия достаточно часто не соответствуют перечисленным требованиям инвестора. 1.2 Показатели и методы анализа инвестиционной привлекательности предприятия При оценке инвестиционной привлекательности предприятия рассматривают следующие аспекты: привлекательность продукции предприятия, кадровая, инновационная, финансовая, территориальная, социальная привлекательность [7, с.41]. Анализ привлекательности продукции предприятия для любого инвестора - это ее конкурентоспособность на внутреннем и внешнем рынке.Конкурентоспособность продукции - многоаспектный показатель, слагаемый из следующих факторов: - анализ уровня качества продукции - ее соответствие отечественным и международным стандартам, наличие международных сертификатов качества продукции, надежность, долговечность, соответствие моде и т.д.; - анализ уровня цен на продукцию, его соотнесение с ценами конкурентов и ценами на товары-заменители; - анализ уровня диверсификации, то есть многопрофильности фирмы, ее способность выживать в условиях разной рентабельности производимых изделий. Обобщающим показателем анализа конкурентоспособности продукции и ее инвестиционной привлекательности является цена. Она формируется под влиянием спроса и предложения и может косвенно выражать конкурентоспособность путем их сопоставления. Анализ кадровой привлекательности предприятия характеризуется тремя слагаемыми: - деловыми качествами руководителя и его “команды”; - качеством “кадрового ядра” (работников высшей квалификации); - качеством персонала в целом. Анализ инновационной привлекательности предприятия - это эффект от среднесрочных и долгосрочных инвестиций в нововведения на предприятии. При анализе инновационной привлекательности предприятия учитывается наличие: - стратегии технического развития производства, как основы всех других инноваций; - программы инвестирования производства из различных источников. Обычно используются следующие показатели: структура основных средств и эффективность их использования, источники технического обновления производства, доля прибыли на техническое перевооружение предприятия. Анализ территориальной привлекательности предприятиядля инвесторов определяется следующими факторами: - удаленность предприятия от основных транспортных магистралей, связывающий город с другими регионами, наличие подъездных путей для перевозки грузов; - удаленность предприятия от центра города, где сосредоточены учреждения местной власти, лидирующие организации рыночной инфраструктуры и т. д.; - цена земли, которая во многом дифференцируется в зависимости от названных выше критериев. Социальная привлекательность предприятия определяется социальной защищенностью работников данного предприятия. Показателем социальной привлекательности предприятия можно считать коэффициент социальной привлекательности, рассчитываемый как отношение средней заработной платы одного работника к стоимости рациональной потребительской корзины в регионе. Анализ финансовой привлекательности предприятия заключается в минимизации затрат и максимизации прибыли. Это многокомпонентное понятие, складывающееся из множества показателей, рассчитываемых на основе отчетных документов предприятия. Показатели финансового положения предприятия являются наиболее существенными для инвесторов. Выделяют следующие этапы оценки финансовой привлекательности предприятия: - первый этап предполагает работу с такими отчетными документами, как бухгалтерский баланс и отчет о финансовых результатах. На их основе осуществляется расчет показателей, характеризующих различные стороны финансовой привлекательности; - второй этап - методологический. Он заключается в группировке показателей по обобщающим критериям. Предлагаются пять основных направлений анализа финансового положения предприятия: 1) структура имущества; 2) показатели ликвидности; 3) показатели долгосрочной финансовой устойчивости; 4) показатели деловой активности; 5) показатели рентабельности; - третий этап оценки состоит из двух частей: 1) расчета суммарных коэффициентов отклонений значений каждого сравниваемого показателя от эталонной величины; 2) определение класса кредитоспособности заемщика [8, с.182]. Таким образом, при оценке финансовой привлекательности предприятия используются такие показатели как рентабельность предприятия, ликвидность активов, финансовая устойчивость. Оценку текущего состояния необходимо начинать с анализа имущественного положения предприятия, которое характеризуется составом и состоянием активов. Говоря об анализе имущественного положения, следует иметь в виду не только предметно-вещественную характеристику, но и денежную оценку, позволяющую судить об оптимальности, возможности и целесообразности вложения финансовых результатов в активы предприятия. Имущественное и финансовое положение предприятия представляет собой две стороны экономического потенциала, которые тесно взаимосвязаны. Анализ структуры имущества производится на основе сравнительного аналитического баланса, который включает в себя и вертикальный, и горизонтальный анализ. Структура стоимости имущества дает общее представление о финансовом состоянии предприятия. Она показывает долю каждого элемента в активах и соотношение заемных и собственных средств, покрывающих их в пассивах. Сопоставляя структурные изменения в активе и пассиве, можно сделать вывод о том, через какие источники в основном поступали новые средства и в какие активы эти новые средства вложены [9, с.210]. Анализ ликвидности баланса. Важнейшим показателем финансового положения предприятия является оценка его платежеспособности, под которой понимается способность предприятия своевременно и в полном объеме произвести расчеты по краткосрочным обязательствам перед контрагентами. Способность предприятия оперативно высвободить из хозяйственного оборота денежные средства, необходимые для нормальной финансово-хозяйственной деятельности и погашения его текущих (краткосрочных) обязательств, называется ликвидностью. Причем ликвидность можно рассматривать как на данный момент, так и на перспективу. Под ликвидностью какого-либо актива понимают его способность трансформироваться в денежные средства, а степень ликвидности определяется продолжительностью временного периода, в течение которого эта трансформация может быть осуществлена. Чем короче период, тем выше ликвидность данного вида активов. Говоря о ликвидности предприятия, имеют в виду наличие у него оборотных средств, в размере, теоретически достаточном для погашения своих обязательств. Основным признаком ликвидности служит формальное превышение (в стоимостной оценке) оборотных активов над краткосрочными пассивами. Чем больше это превышение, тем благоприятнее финансовое состояние предприятия с позиции ликвидности. Если величина оборотных активов недостаточно велика по сравнению с краткосрочными пассивами, текущее положение предприятия неустойчиво и вполне может возникнуть ситуация, когда оно не будет иметь достаточное количество денежных средств для расчета по своим обязательствам [9, с.211]. Ликвидность предприятия наиболее полно характеризуется сопоставлением активов того или иного уровня ликвидности с обязательствами той или иной степени ликвидности. Все активы предприятия группируют в зависимости от степени ликвидности, то есть скорости превращения в денежные средства, и расположены в порядке убывания ликвидности, а пассивы – по степени срочности их погашения и расположены в порядке возрастания сроков А 1 . Наиболее ликвидные активы - к ним относятся все статьи денежных сре дств пр едприятия и краткосрочные финансовые вложения (ценные бумаги). А 1 = стр. 250 + стр. 260. А 2 . Быстро реализуемые активы - дебиторская задолженность, платежи по которым ожидаются в течение 12 месяцев после отчетной даты: А 2 = стр. 240. А3. Медленно реализуемые активы – статьи раздела 2 актива баланса, включающие запасы, НДС, дебиторскую задолженность (… после 12 месяцев) и прочие оборотные активы. А3 = стр. 210 + стр. 220 + стр. 230 + стр. 270 . Трудно реализуемые активы – статьи раздела 1 актива баланса – внеоборотные активы. А 4. Внеоборотные активы = стр. 190. Пассивы баланса группируются по степени срочности их оплаты. П1 . Наиболее срочные обязательства – к ним относятся кредиторская задолженность: П 1 = стр. 620. П2. Краткосрочные пассивы – это краткосрочные заемные средства, задолженность участникам по выплате доходов, прочие краткосрочные пассивы: П 2 = стр. 610 + стр. 630 + стр. 660. П3. Долгосрочные пассивы – это статьи баланса, относящиеся к разделам 4 и 5, т.е. долгосрочные кредиты и заемные средства, а также доходы будущих периодов, резервы предстоящих расходов и платежей: П3 = стр. 590 + стр. 640 + стр. 650. П4 . Постоянные, или устойчивые, пассивы – это статьи раздела 3 баланса Капиталы и резервы. Если у организации есть убытки, то они вычитаются: П4 = стр. 490. Баланс абсолютно ликвиден, если по каждой группе обязательств имеется соответствующее покрытие активами, то есть фирма способна без существенных затруднений погасить свои обязательства. Недостаток активов той или иной степени ликвидности свидетельствует о возможных осложнениях в выполнении своих обязательств. Условия ликвидности могут быть представлены в следующем виде: А1 Выполнение четвертого неравенства обязательно при выполнении первых трех, поскольку А1+А2+А3+А4=П1+П2+П3+П4. Теоретически это означает, что у предприятия соблюдается минимальный уровень финансовой устойчивости – имеются собственные оборотные средства (П4-А4)>0. В случае, когда одно или несколько неравенств системы имеют противоположный знак от зафиксированного в оптимальном варианте, ликвидность баланса в большей или меньшей степени отличается от абсолютной. Как правило, недостаток высоколиквидных средств восполняется менее ликвидными. Эта компенсация носит лишь расчетный характер, поскольку в реальной платежной ситуации менее ликвидные активы не могут заменить более ликвидные. Баланс абсолютно не ликвиден, предприятие не платежеспособно, если имеет место соотношение, противоположное абсолютной ликвидности: А1 Это состояние характеризуется отсутствием у предприятия собственных оборотных средств и отсутствием возможности погасить текущие обязательства без продажи внеоборотных активов [10, c.266]. Проводимый по изложенной схеме анализ ликвидности баланса является приближенным. Более детальным является анализ платежеспособности при помощи финансовых коэффициентов. Важнейшим показателем финансового положения предприятия является оценка его платежеспособности, под которой понимается способность предприятия своевременно и в полном объеме произвести расчеты по краткосрочным обязательствам перед контрагентами. Платежеспособность означает наличие у предприятия денежных средств и их эквивалентов, достаточных для расчетов по кредиторской задолженности, требующей немедленного погашения. Таким образом, основными признаками платежеспособности являются: - наличие в достаточном объеме средств на расчетном счете; - отсутствие просроченной кредиторской задолженности. Для обобщенной оценки ликвидности и платежеспособности предприятия используют специальные аналитические коэффициенты. Коэффициенты ликвидности отражают кассовую позицию предприятия и определяют его способность управлять оборотными средствами, то есть в нужный момент быстро обращать активы в наличность с целью погашения текущих обязательств. В зарубежной и отечественной литературе используют три ключевых коэффициента обязательств в зависимости от скорости реализации отдельных видов активов: коэффициент ликвидности или степеней покрытия имущественными средствами текущих абсолютной ликвидности, коэффициент быстрой ликвидности и коэффициент текущей ликвидности (или коэффициент покрытия). Все три показателя измеряют отношение оборотных активов предприятия к его краткосрочной задолженности. В первом коэффициенте в расчет принимаются наиболее ликвидные оборотные активы – денежные средства и краткосрочные финансовые вложения; во втором – к ним добавляется дебиторская задолженность, а в третьем – запасы, то есть расчет коэффициента текущей ликвидности – это практически расчет всей суммы оборотных активов на рубль краткосрочной задолженности. Этот показатель принят в качестве официального критерия неплатежеспособности предприятия [11, с.311]. Анализ позволяет выявить платежеспособность предприятия, что является одним из количественных измерителей инвестиционной привлекательности. Для характеристики платежеспособности предприятия принят ряд коэффициентов. Коэффициент текущей ликвидности показывает, достаточно ли у предприятия средств, которые могут быть использованы им для погашения своих краткосрочных обязательств в течение года. Это основной показатель платежеспособности предприятия. Коэффициент текущей ликвидности определяется по формуле (1.1): Ктл = (А1 + А2 + А3) / (П1 + П2) (1.1) В мировой практике значение этого коэффициента должно находиться в диапазоне 1-2. Естественно, существуют обстоятельства, при которых значение этого показателя может быть и больше, однако, если коэффициент текущей ликвидности более 2-3, это, как правило, говорит о нерациональном использовании средств предприятия. Значение коэффициента текущей ликвидности ниже единицы говорит о неплатежеспособности предприятия. Коэффициент быстрой ликвидности, или коэффициент «критической оценки», показывает, насколько ликвидные средства предприятия покрывают его краткосрочную задолженность. Коэффициент быстрой ликвидности определяется по формуле (1.2): Кбл = (А1 + А2) / (П1 + П2) (1.2) В ликвидные активы предприятия включаются все оборотные активы предприятия, за исключением товарно-материальных запасов. Данный показатель определяет, какая доля кредиторской задолженности может быть погашена за счет наиболее ликвидных активов, т. е. показывает, какая часть краткосрочных обязательств предприятия может быть немедленно погашена за счет средств на различных счетах, в краткосрочных ценных бумагах, а также поступлений по расчетам. Рекомендуемое значение данного показателя от 0,7-0,8 до 1,5. Коэффициент абсолютной ликвидности показывает, какую часть кредиторской задолженности предприятие может погасить немедленно. Коэффициент абсолютной ликвидности рассчитывается по формуле (1.3): Кал = А1 / (П1 + П2) (1.3) Значение данного показателя не должно опускаться ниже 0,2. Таким образом, инвестиционная привлекательность предприятия напрямую зависит от ликвидности его баланса, и для повышения инвестиционной привлекательности предприятие должно стремиться к абсолютной ликвидности и платежеспособности. Финансовая устойчивость предприятия определяет долгосрочную (в отличие от ликвидности) стабильность предприятия. Она связана с зависимостью от кредиторов и инвесторов, то есть с соотношением «собственный капитал – заемные средства». Наличие значительных обязательств, не полностью покрытых собственным ликвидным капиталом, создает предпосылки банкротства, если крупные кредиторы потребуют возврата своих средств. Но одновременно вложение заемных средств позволяет существенно повысить доходность собственного капитала. Поэтому при анализе финансовой устойчивости следует рассматривать систему показателей, отражающих риск и доходность предприятия в перспективе. Финансово устойчивым является такой хозяйствующий субъект, который за счет собственных средств покрывает вложения в активы (основные фонды, нематериальные активы, оборотные средства), не допускает неоправданной дебиторской и кредиторской задолженности и расплачивается в срок по своим обязательствам. Задачей анализа финансовой устойчивости является оценка величины и структуры активов и пассивов. Это необходимо, чтобы ответить на вопросы: насколько независимо предприятие с финансовой точки зрения, растет или снижается уровень этой независимости, отвечает ли состояние его активов и пассивов условиям финансово-хозяйственной деятельности? Показатели, которые характеризуют независимость по каждому элементу активов и по имуществу в целом, дают возможность измерить, достаточно ли устойчиво анализируемое предприятие. Одним из критериев оценки финансовой устойчивости предприятия является излишек или недостаток источников средств для формирования запасов и затрат, который определяется в виде разницы величины источников средств и величины запасов и затрат. При этом имеется в виду обеспеченность определенными видами источников формирования (собственными, кредитными и другими заемными), поскольку достаточность суммы всех возможных видов источников (включая краткосрочную кредиторскую задолженность и прочие пассивы) гарантирована тождественностью итогов актива и пассива баланса. Для оценки состояния запасов и затрат используют данные группы статей «Запасы» ІІ раздела актива баланса. Кроме абсолютных показателей финансовую устойчивость характеризуют и относительные показатели, которые можно разделить на две группы. Первая группа объединяет показатели, определяющие состояние оборотных средств, среди них выделяют: - коэффициент обеспеченности собственными средствами; - коэффициент обеспеченности материальных запасов собственными оборотными средствами; - коэффициент маневренности собственных средств и др. Вторая группа объединяет показатели, определяющие состояние основных средств и степень финансовой независимости: 3) коэффициент автономии; 4) коэффициент финансовой зависимости; 5) коэффициент реальных активов в имуществе предприятия; 6) коэффициент соотношения собственных и заемных средств и др. Коэффициент автономии (финансовой независимости) показывает удельный вес собственного капитала в валюте баланса. Чем выше значение этого коэффициента, тем финансово устойчивее предприятие. Дополнением к этому показателю является коэффициент финансовой зависимости - их сумма равна 1 или 100%. Коэффициент соответствия заемных и собственных средств (коэффициент капитализации) дает наиболее общую оценку финансовой устойчивости предприятия. Онпоказывает, какую долю занимают заемные средства в общей структуре капитала. По коэффициенту маневренности собственного капитала можно судить, какая часть собственных оборотных средств используется для финансирования текущей деятельности предприятия, то есть какая часть вложена в оборотные средства, а какая часть капитализирована. Коэффициент обеспеченности собственными оборотными средствами характеризует соотношение собственных и заемных средств и определяет степень обеспеченности собственными оборотными средствами, необходимыми для финансовой устойчивости предприятия. Коэффициент реальных активов в имуществе предприятия (коэффициент имущества производственного назначения) показывает долю в имуществе предприятия, занимаемую имуществом производственного назначения. Коэффициент финансовой устойчивости показывает, какую долю средств мы можем использовать в деятельности длительное время. Коэффициент финансирования показывает, можно ли предприятию давать кредиты и займы, и способно ли оно их выплатить на начало периода. Коэффициент обеспеченности запасов собственными оборотными средствами показывает, может ли предприятие обеспечить финансирование запасов собственными оборотными средствами. Коэффициент структуры совокупного долгосрочного капитала показывает, какая часть ОС и капитальных вложений профинансирована за счет долгосрочных заемных средств. Коэффициент краткосрочной задолженности показывает, какую долю в средствах предприятия занимает краткосрочная задолженность оплаты обязательств. В течение всего периода ведет себя относительно стабильно. Коэффициент покрытия внеоборотных активов показывает, какую часть собственных средств предприятие финансирует на внеоборотные активы. Рассчитанные фактические коэффициенты сравнивают с нормативными величинами, с показателями предыдущего периода, с аналогичным предприятием, и тем самым выявляется реальное финансовое состояние, сильные и слабые стороны предприятия. [8, с.230] Деловая активность предприятия характеризуется динамичностью своего развития и достижением им поставленных целей, отражаемых рядом натуральных и стоимостных показателей, а также эффективным использованием экономического потенциала предприятия и расширением рынка сбыта своей продукции. Деятельность любого предприятия может быть охарактеризована с различных сторон, а также оценка деловой активности на качественном уровне может быть получена в результате сравнения деятельности данного предприятия и родственных по сфере приложения капитала предприятий. Такими качественными, то есть не формализуемыми критериями являются: - широта рынков сбыта; - наличие продукции, поставляемой на экспорт; - репутация предприятии, выражающаяся, в частности, в известности клиентов, пользующихся услугами предприятии. Что же касается количественной оценки анализа деловой активности предприятия, то здесь могут быть рассмотрены: - степень выполнения плана по основным показателям, обеспечение заданных темпов их роста; - уровень эффективности использования ресурсов предприятия. Основным оценочным показателем является объем реализации и прибыль. При этом наиболее эффективным является соотношение, когда темпы изменения балансовой прибыли выше темпов изменения выручки от реализации, а последнее выше темпов изменения основного капитала, то есть ТР(ПБ) > ТР(V) > ТР(ОК) > 100%; Эта зависимость означает, что: - экономический потенциал предприятия возрастает; - объём реализации возрастает более высокими темпами; - прибыль возрастает опережающими темпами. Для реализации второго направления могут быть рассчитаны: выработка, фондоотдача, оборачиваемость производственных запасов, продолжительность операционного цикла, оборачиваемость авансированного капитала. [12, с.139] К обобщающим показателям относятся показатель ресурсоотдачи и коэффициент устойчивости экономического роста. Ресурсоотдача (коэффициент оборачиваемости основного капитала) – характеризует объём реализованной продукции на рубль средств, вложенных в деятельность предприятия. Рост этого показателя в динамике рассматривается как благоприятная тенденция. Коэффициент устойчивости экономического роста – показывает, какими, в среднем, темпами может развиваться предприятие в дальнейшем (этот показатель – для характеристики акционерных компаний). [13, с.330] Рентабельность – это относительный показатель, определяющий уровень доходности бизнеса. Показатели рентабельности характеризуют эффективность работы предприятия в целом, доходность различных направлений деятельности (производственной, коммерческой, инвестиционной и т.д.). Они более полно, чем прибыль, характеризуют окончательные результаты хозяйствования, потому что их величина показывает соотношение эффекта с наличными или потребленными ресурсами. Эти показатели используют для оценки деятельности предприятия и как инструмент в инвестиционной политике. Показатели рентабельности как основная характеристика доходности деятельности предприятия являются наиболее важными для инвесторов, так как характеризуют эффективность деятельности компании, а, следовательно, косвенно и доходность осуществленных инвестиций. Хотя для инвестора, безусловно, приоритетное значение имеют относительные показатели рентабельности, сам факт наличия у предприятия прибыли уже немаловажен. Показатели рентабельности можно объединить в несколько групп: - показатели, характеризующие окупаемость издержек производства и инвестиционных проектов; - показатели, характеризующие рентабельность продаж; - показатели, характеризующие доходность капитала и его частей. Рентабельность продукции ( коэффициент окупаемости затрат) исчисляется путем отношения прибыли от реализации до выплаты процентов и налогов к сумме затрат по реализованной продукции. Показывает, сколько предприятие имеет прибыли с каждого рубля, затраченного на производство и реализацию продукции. Может рассчитываться по отдельным видам продукции и в целом по предприятию. При определении его уровня в целом по предприятию целесообразно учитывать не только реализационные, но и внереализационные доходы и расходы, относящиеся к основной деятельности. Аналогичным образом определяется доходность инвестиционных проектов: полученная или ожидаемая сумма прибыли от инвестиционной деятельности относится к сумме инвестиционных затрат. Рентабельность продаж (оборота) рассчитывается делением прибыли от реализации продукции, работ, услуг до выплаты процентов и налогов на сумму полученной выручки. Характеризует эффективность производственной и коммерческой деятельности: сколько прибыли имеет предприятие с рубля продаж. Этот показатель рассчитывается в целом по предприятию и отдельным видам продукции. Рентабельность совокупного капитала исчисляется отношением брутто-прибыли до выплаты процентов и налогов к среднегодовой стоимости всего совокупного капитала. Рентабельность (доходность) операционного капитала исчисляется отношением прибыли от операционной деятельности до выплаты процентов и налогов к среднегодовой сумме операционного капитала. Он характеризует доходность капитала, задействованного в операционном процессе. [14, с. 89] В процессе анализа рентабельности предприятия следует изучить динамику перечисленных показателей рентабельности, выполнение плана по их уровню и провести межхозяйственные сравнения с предприятиями-конкурентами. Согласно существующей методике, критерием оценки инвестиционной привлекательности заемщика является присвоенный на основании расчетов «класс заемщика», который в зависимости от номинальной величины характеризуется следующими оценками: - I класс - организации, чьи кредиты и обязательства подкреплены информацией, позволяющей быть уверенными в возврате кредитов и выполнении других обязательств в соответствии с договорами, с хорошим запасом на возможную ошибку; - II класс - организации, демонстрирующие некоторый уровень риска по задолженности и обязательствам и обнаруживающие определенную слабость финансовых показателей и кредитоспособности. Эти организации еще не рассматриваются как рискованные; - III класс - это проблемные организации. Вряд ли существует - IV класс - это организации особого внимания, т.к. имеется - V класс - организации высочайшего риска, практически неплатежеспособные. Таким образом, все слагаемые анализа инвестиционной привлекательности предприятия можно разделить на три группы: - в первую очередь инвестора, обычно, интересует, что производится на предприятии, где оно расположено и насколько предприимчивы его руководители и персонал. Поэтому, исходными слагаемыми инвестиционной привлекательности являются продуктовое, кадровое и территориальное планирование; - финансовый анализ выделен как главное слагаемое анализа инвестиционной привлекательности предприятия, потому что, именно, в финансах предприятия, как в зеркале, отражаются главные результаты его деятельности (прибыльность, рентабельность), деловой активности (фондоотдача, оборачиваемость оборотных средств) и финансовой состоятельности (показатели ликвидности, обеспеченности собственными средствами); - инновационная, конверсионная и социальная привлекательность предприятия рассматриваются в качестве оценок перспективности его развития для инвесторов. Поэтому они выделены в отдельную группу. К этой же группе слагаемых можно отнести и приватизационную привлекательность, хотя по своей значимости и приоритетности она может быть отнесена и к первой группе. Итоговая рейтинговая оценка учитывает все важнейшие параметры (показатели) финансово-хозяйственной и производственной деятельности предприятия, т.е. хозяйственной активности в целом. При ее построении используются данные о производственном потенциале предприятия, рентабельности его продукции, эффективности использования производственных и финансовых ресурсов, состоянии и размещении средств, их источниках и другие показатели [7, с.28]. Количественная оценка инвестиционной привлекательности предприятия приведена в таблице 1. Таблица 1 - Параметры инвестиционной привлекательности предприятия
Каждый из критериев, приведенных в таблице 1, как-то: привлекательность продукции для потребителя, кадровая, территориальная, финансовая привлекательность и прочее оценены с помощью уровня привлекательности (А – высокий, В – средний, С – низкий). Каждому значению показателя присваивается определенная балльная оценка. Наибольший балл должен соответствовать самому благоприятному значению, наименьший балл - самому критическому. Шкала значений будет выглядеть следующим образом: - коэффициенты уровня А – 10 баллов; - коэффициенты уровня В – 6 баллов; - коэффициенты уровня С – 2 балла. Максимальное значение шкалы - 60 баллов (10*6), где 10 - максимальный балл по рассчитанным коэффициентам каждой группы показателей; 6 - количество показателей, характеризующих инвестиционную привлекательность. Минимальное значение шкалы - 12 баллов (2*6), где 2 - минимальный балл по рассчитанным коэффициентам каждой структурной группы; 6 - количество показателей, характеризующих инвестиционную привлекательность. На основе данных рассуждений были определены пороговые значения бальной шкалы: Уровень А – 49 – 60 баллов; Уровень В – 28 – 49 балла; Уровень С – 12 – 28 баллов. В целях определения итогового уровня привлекательности хозяйствующего субъекта, каждой составляющей в зависимости от значимости присваиваются весовые коэффициенты. Предлагаемая система показателей базируется на данных публичной отчетности предприятий. Это требование делает оценку массовой, позволяет контролировать изменения в финансовом состоянии предприятия всеми участниками экономического процесса. 1.3 Подходы к оценке инвестиционной привлекательности предприятия Подход, основанный на оценке инвестиционной привлекательности предприятия, базируется на изучении количественных и качественных факторов, характеризующих инвестиционную привлекательность отдельных сегментов инвестиционного рынка. В настоящее время в отечественной научной литературе наиболее полно разработаны вопросы оценки инвестиционной привлекательности регионов РФ и отраслей промышленности, привлекательности (эффективности) отдельных инвестиционных проектов и формирования инвестиционных ресурсов предприятия за счет различных внешних источников финансирования. В тоже время ряд важнейших теоретических аспектов инвестиционной привлекательности предприятия нуждаются в дальнейшей разработке и практической реализации. В частности, не определены роль и место инвестиционной привлекательности предприятия как одного из элементов инвестиционного рынка страны, нет общепризнанного определения термина «инвестиционная привлекательность предприятия», отсутствует научно-обоснованная классификация инвестиционной привлекательности предприятия по различным признакам. Недостаточно освещены проблемы сближения взаимных интересов всех участников инвестиционного процесса с позиций их экономических предпочтений. В открытой зарубежной литературе по инвестиционному менеджменту содержатся лишь теоретические аспекты организации инвестирования и технологий предприятий. Практические же методики расчета инвестиционной привлекательности предприятий ведущих западных консультационных фирм и инвестиционных компаний считаются коммерческой тайной, широкому кругу отечественной научной общественности не доступны и не адаптированы к российским экономическим условиям. Исключением является методика определения инвестиционной привлекательности предприятий, предложенная американской консалтинговой компаниейMcQuisney[27.С.85]. Методика заключается в следующем. Для того чтобы получить надежную информацию для разработки инвестиционной политики, необходим системный подход к изучению конъюнктуры инвестиционного рынка, начиная с макроуровня (от инвестиционного климата государства) и заканчивая микроуровнем (оценкой инвестиционной привлекательности отдельного инвестиционного проекта). Данная последовательность позволяет инвесторам решить проблему выбора именно таких предприятий, которые имеют лучшие перспективы развития в случае реализации предлагаемого инвестиционного проекта и могут обеспечить инвестору планируемую прибыль на вложенный капитал с учетом имеющихся рисков. Сущность статистического подхода заключается в том, что на основе данных финансовой отчетности предприятия рассчитываются минимальный набор основных финансовых коэффициентов: - коэффициент соотношения заемных и собственных средств К1: К1 = ЗК /СК, (1.4) где ЗК – величина заемных средств; СК – величина собственного капитала. - коэффициент текущей ликвидности К2 : К2 = ОА/ КП, (1.5) где ОА – величина оборотных активов; КП – величина краткосрочных пассивов. - коэффициент оборачиваемости активов К3 : К3 = В/ А сг., (1.6) где В – выручка от продаж; А сг. – среднегодовая балансовая величина активов. - рентабельность продаж по чистой прибыли Rпр : Rпр. = Ппр. / В × 100%, (1.7) где Ппр. – прибыль от продаж. - рентабельность собственного капитала по чистой прибыли Rск.: Rск = Пч / СК. × 100%, (1.8) где Пч – чистая прибыль предприятия; Затем, с помощью метода экспертных оценок, выявляют общие важнейшие факторы инвестиционной привлекательности, характеризующие рыночное окружение и корпоративное управление. Данная модель может быть использована как стратегическими, так и портфельными и финансовыми инвесторами. Совокупность количественных и качественных факторов инвестиционной привлекательности предприятия представлена в таблице 2. Таблица 2 - Факторы инвестиционной привлекательности предприятия
Затем каждому фактору, независимо от того является он количественным или качественным, присваивается соответствующая балловая оценка. Абсолютные значения и балловая оценка факторов инвестиционной привлекательности предприятия приведена в таблице 3. Таблица 3 - Балловая оценка факторов инвестиционной привлекательности предприятия
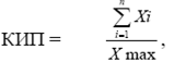
Далее рассчитывается интегральный коэффициент инвестиционной привлекательности предприятия (КИП) по следующей формуле:
![]() где i = 1, 2, 3 ... n - количество факторов (n = 19); Хi - балловая оценка i-го фактора; Хmax - максимальное возможное суммарное количество баллов. В соответствии с критерием инвестиционной привлекательности возможна следующая классификация предприятий,предложенная консалтинговой компаниейMcQuisney[27.С.85], (см. рисунок 1). По вертикали: ожидания инвесторами краткосрочного роста прибыли компании относительно конкурентов (наверху - высокие ожидания, внизу - низкие), по горизонтали: ожидания инвесторами долгосрочного роста прибыли компании относительно конкурентов (справа - высокие ожидания, слева - низкие).
Рисунок 1 - Классификация предприятий по критерию инвестиционной привлекательности Согласно данной классификации, в «спринтеры» попадают компании, у которых инвесторы ожидают высокого темпа роста прибыли в краткосрочном плане. В «чемпионы мира»- компании, у которых ожидается высокий темп роста как в краткосрочном, так и в долгосрочном плане. В «марафонцы» - те, у кого ожидается высокий темп роста в долгосрочном плане. «Бегуны не в форме» - это те, у которых не ожидается высокий темп роста ни краткосрочном, ни в долгосрочном планах. Соответственно, согласно рекомендациям компании McQuisney, менеджеры «чемпионов мира» должны прилагать максимум усилий, чтобы оправдать высокие ожидания инвесторов в краткосрочном и долгосрочном планах, т.е. поддерживать высокий темп роста в краткосрочном и долгосрочном планах. Менеджеры «спринтеров» должны прилагать максимум усилий, осуществляя инвестиции в долгосрочном плане, так как таким образом они могут повысить стоимость своих акций. Менеджеры «марафонцев» должны прилагать максимум усилий, чтобы убедить инвесторов, что они и в краткосрочном плане достойны внимания. В этот разряд попадают компании, которые в текущий момент, как правило, убыточны, зато могут стать прибыльными и захватить крупную долю рынка в будущем. Менеджеры таких компаний должны сосредоточиться не на инвестиционной политике в будущем, а на увеличении рентабельности и выходе на точку безубыточности в настоящем. Менеджеры «бегунов не в форме» должны реструктурировать свой бизнес, чтобы достичь краткосрочного роста и заложить основы для долгосрочного роста. В процессе выбора инвестиционной политики, необходимо, прежде всего, использовать традиционные критерии оценки инвестиционных проектов. В случае если проект им удовлетворяет, необходимо проверить, как влияет реализация данного проекта на темпы роста прибыли предприятия. В случае если реализация данного проекта снижает темпы роста, проект должен быть отвергнут [17.С.45]. Итак, инвестирование представляет собой один из наиболее важных аспектов деятельности любого динамично развивающегося предприятия. В инвестиционной деятельности используются общепринятые, единые для всех участников инвестиционного процесса термины и понятия. Сущность инвестиционной политики различные экономисты трактует его по-разному, но главная идея одна: инвестиционная политика необходима для повышения производственного потенциала. Основной целью инвестиционной политики предприятия является создание оптимальных условий для вложения собственных и заемных финансовых и иных ресурсов, обеспечивающих возрастание доходов на вложенный капитал, для расширения экономической деятельности предприятия, создания лучших условий для победы в конкурентной борьбе. В формировании инвестиционной политики предприятия можно выделить три этапа: на первом этапе определяют необходимость развития предприятия и экономически выгодные направления этого развития; на втором этапе осуществляется разработка инвестиционных проектов для реализации выбранных направлений развития предприятия; на третьем этапе происходит окончательный выбор экономически выгодного инвестиционного проекта, планируемого к реализации [10.С.33-34]. Принципы разработки инвестиционной политики: правовой принцип (правовая защита инвестиций); принцип независимости и самостоятельности (свобода выбора инвестиционного проекта, его разработки и осуществления); принцип системного подхода и принцип эффективности (выбор такого инвестиционного проекта, который обеспечивает наибольшую результативность). Учет этих и других принципов позволяет избежать многих ошибок и просчетов при разработке инвестиционной политики предприятия. На инвестиционную деятельность предприятия влияют внешние факторы: (темпы инфляции, наличие условий для привлечения иностранного капитала, уровень системного риска вложения инвестиций, нормативно-правовое обеспечение) ивнутренние факторы (размеры предприятия, финансовое состояние, способы начисления амортизации). Анализ инвестиционной политики предприятия будет проведен в следующей главе. 2 Оценка инвестиционной привлекательности предприятия на примере ОАО «Нижнекамскшина» 2.1 Общая характеристика ОАО «Нижнекамскшина» Открытое акционерное общество ОАО «Нижнекамскшина»- это крупнейшее российское предприятие шинной промышленности. Практически каждая третья шина, выпущенная в России, изготовлена в Нижнекамске. Предприятие было создано в 1971 году как базовое производство шин для гигантов отечественной автомобильной индустрии - ВАЗа и КАМАЗа, а также для удовлетворения потребностей вторичного рынка в шинах легкового, грузового и сельскохозяйственного ассортиментов. Предприятие способно выпускать более 120 типоразмеров шин для любых условий эксплуатации. В акционерном обществе не прекращается техническое перевооружение производства шин, что позволяет расширить ассортимент и повысить качество выпускаемой продукции с высокими потребительскими свойствами. Одними из перспективных направлений деятельности заводов акционерного общества ОАО «Нижнекамскшина» являются освоение и развитие производства цельнометаллокордных шин. Признание ОАО «Нижнекамскшина» отечественными и зарубежными потребителями подтверждается российскими и международными наградами за качество продукции. Так, по итогам седьмого Всероссийского конкурса «1000 лучших предприятий и организаций России-2006» ОАО «Нижнекамскшина» удостоено медали «За эффективную деятельность, высокие достижения и стабильную работу». Действенность системы контроля качества подтверждена сертификатом соответствия системы качества Международному стандарту ИСО 9001:2000. Получен сертификат соответствия СЭМ применительно к проектированию и производству шин для различных видов транспорта и сельскохозяйственной техники требованиям международного стандарта ИСО 14001:2004. Сертификат является признанием огромной работы, которую ОАО «Нижнекамскшина» проводит в области охраны окружающей среды и обеспечения экологической безопасности. Открытое акционерное общество «Нижнекамскшина» – крупнейшее предприятие в шинной отрасли России и СНГ. В рейтинге мировых шинных компаний «Нижнекамскшина» занимает 20-е место среди 98 компаний. ОАО «Нижнекамскшина» интегрировано в состав нефтехимического бизнес-направления ОАО «Татнефть» – ООО «Управляющая компания «Татнефть-Нефтехим», структура корпорации представлена в Приложении А. ОАО "Татнефть" вошло в шинный бизнес 10 лет назад - в 2000 году, когда компания приобрела акции предприятия у Правительства Татарстана. Общий объем инвестиций ОАО «Татнефти» в развитие ОАО "Нижнекамскшина" составил около 30 млрд. рублей. Первым значимым проектом в этой программе стало производство высокоэффективных радиальных легковых шин под новым брендом "KАМА-EURO". К началу 2008 года объем производства на ОАО "Нижнекамскшина" по сравнению с 1999 годом вырос в полтора раза до 12,5 млн. шин в год. Несмотря на мировой кризис, доля продукции камского завода в общем объеме выпуска шин отечественными производителями выросла до 41%. Это произошло благодаря увеличению доли инновационной продукции на ОАО "Нижнекамскшина" в 2009 году до 36% в общем объеме производства. Новым этапом инвестирования стал пуск в эксплуатацию в декабре 2009 года завода цельнометаллокордных шин. Этот проект можно назвать инновационным прорывом в рамках всей страны, так как подобное производство на территории России в полном объеме не реализовано ни одним из отечественных производителей автошин. Проектная мощность завода, строительство которого началось в 2007 году – 1,2 млн. ЦМК-шин в год. Новое производство позволит создать почти 900 новых рабочих мест и 1 700 в смежных отраслях. Производительность труда здесь в 1,4 раза выше существующего производства на Заводе Грузовых Шин. Достигнуто это за счет высокой автоматизации основных этапов производства. В частности, процессы развески ингредиентов и резиносмешения полностью автоматизированы, на каждом этапе ее производства специальные аппараты проводят контроль качества. Шины проходят несколько этапов контроля качества – визуальный, рентген-контроль, проверка силовой неоднородности и геометрии шин. Таким образом, весь комплекс мер по внутризаводскому контролю качества позволяет вывести в продажу надежную и проверенную продукцию. Завод ЦМК-шин - это первое производство в России, полностью соответствующее мировым стандартам, являясь примером эффективного международного сотрудничества в области передовых технологий, которое вывело Нижнекамский завод в лидеры шинной отрасли страны. В результате в Татарстане появляется уникальное производство мощностью до 1,2 млн. штук шин в год, выпускающее продукцию 11 типоразмеров по технологиям Continental. Выход на проектную мощность предполагается в 2011 году. Один из стратегических партнеров нефтехимического холдинга "Татнефти" - ОАО "КАМАЗ" проявил большую заинтересованность в нижнекамском цельнометаллокорде. Причем в 2010 году автогигант планирует полностью перевести свои большегрузы на ЦМК-шины, и для первичной комплектации ему необходимо более 300 тыс. штук в год. Финансовая деятельность исследуемого предприятия ОАО «Нижнекамскшина» направлена на расширение рынка сбыта продукции и получения выручки и прибыли, для обеспечения стабильного финансового состояния предприятия. Использование финансовых результатов основывается на расчете финансовых потребностей на планируемый год. Финансовый анализ является существенным элементом финансового менеджмента и аудита в ОАО «Нижнекамскшина». Практически все пользователи финансовых отчетов предприятий используют методы финансового анализа для принятия решений по оптимизации своих интересов. Собственники анализируют финансовые отчеты для повышения доходности капитала, обеспечения стабильности повышения фирмы. Кредиторы и инвесторы анализируют финансовые отчеты, чтобы минимизировать свои риски по займам и вкладам. Методика финансового анализа нужна для обоснованного выбора делового партнера, определения степени финансовой устойчивости предприятия, оценки деловой активности и эффективности предпринимательской деятельности. Отчетность предприятия ОАО «Нижнекамскшина» базируется на обобщении данных финансового учета и является информационным звеном, связывающим предприятие с обществом и деловыми партнерами – пользователями информации о деятельности предприятия. Каждый субъект анализа изучает информацию исходя из своих интересов. Так, собственникам необходимо определить увеличение или уменьшение собственного капитала и ценить эффективность использования ресурсов администрацией предприятия; кредиторам и поставщикам – целесообразность продления кредита, условия кредитования, гарантии возврата кредита; потенциальным собственникам и кредиторам – выгодность помещения в предприятие своих капиталов и т.д. Следует отметить, что только руководство (администрация) предприятия может углубить анализ отчетности, используя данные производственного учета в рамках управленческого анализа, проводимого для целей управления. Вторая группа пользователей финансовой отчетности – это субъекты анализа, которые хотя непосредственно и не заинтересованы в деятельности предприятия, но должны по договору защищать первой группы пользователей отчетности. Это аудиторские фирмы, консультанты, биржи, юристы, пресса, ассоциации, профсоюзы. Одним из главных показателей экономической характеристики предприятия является анализ масштаба производства, который проводится по данным финансовой отчетности за 2007-2008гг. и нашел отражение в таблице 4. Таблица 4 - Основные показатели финансово-хозяйственной деятельности ОАО «Нижнекамскшина» за 2007-2009 гг.
Исходя из данных отчетности по основным показателям деятельности ОАО «Нижнекамскшина» за период 2007-2009гг. наблюдается следующие тенденции: товарная продукция за 2008 год в стоимостном выражении составила 7243,75 млн. руб., что выше уровня 2007 года на 1207,29 млн. руб. Но уже в 2009г. объем товарной продукции составил 5939,9млн. руб., что на 1303,9 млн. руб. меньше, чем в 2008г. но все-таки больше, чем было запланировано на этот год. Причиной значительного спада производства стал экономический кризис, но даже в тяжелых кризисных условиях 2009 года ОАО «Нижнекамскшина» при плане производства 9 млн. 317 тыс. выпустило 9 млн. 432 тыс. шин, т.е. на 1,2% больше плана, причем целенаправленно сокращалось производство морально устаревших моделей и расширялся модельный ряд шин наиболее востребованных потребителями, осваивалась линейка новых типоразмеров шин, направленных на удовлетворение спроса автозаводов, ориентированных на выпуск «иномарок». В 2010 году планируется реализовать 10 млн. шин. Себестоимость продукции в 2008г. составляла 6899,7 млн.руб., что на 1118,6млн.руб. больше, чем в 2007г. В 2009г. себестоимость снизилась на 412,8млн.руб. и составила 6486,9млн.руб. Это стало возможным, прежде всего потому, что ОАО «Нижнекамскшина»в условиях постоянного роста тарифов на энергоносители ставит дополнительные требования по снижению затрат на энергоресурсы. Совместно с Центром энергосберегающих технологий при КМ РТ разработана целевая программа: «Энергоресурсосбережение производственного комплекса ОАО «Нижнекамскшина» на 2007-2010 гг.». Внедрение мероприятий по энергосбережению и строгое соблюдение режимов энергопотребления позволили снизить удельные расходы на единицу продукции по теплоэнергии и электроэнергии на 1%, потребление газа уменьшено на 14,8 %. На рисунке 3 показана динамика объема товарной продукции и себестоимости за период 2007-2009 гг. Прибыль от продажи продукции, товаров и услуг в 2008 году составила 509,6млн. руб., что ниже уровня 2007 года на 33,79 млн. руб., а в 2009 году прибыль сократилась на 116,8млн. руб. по сравнению с 2008г. и составила 392,8 млн. руб.
Рисунок 3 - Динамика показателя товарной продукции и себестоимости ОАО «Нижнекамскшина» за 2007-2009 г.г. Выручка от продаж по ОАО «Нижнекамскшина» в 2008г. возросла по сравнению с 2007г. на 1084,4млн. руб. и составила 7409,2млн. руб. против 6324,6 млн. руб. в 2007г., а в 2009г. выручка была получена в размере 6879,7 млн. руб., т.е. снижение достигло 529,5 млн. руб. За исследуемый период ОАО «Нижнекамскшина» не получало чистой прибыли. В 2009г. убыток составил 94,5 млн. руб., что на 88,9 млн. руб. меньше, чем в 2008г., тогда как в 2008г. убыток был выше, чем за 2007г. на 148,8 млн.руб. К этому привели несколько причин: изношенность основного оборудования, специфика взаимоотношений с партнерами, ведьдвукратное падение продаж автомобилей в России в 2009 году привело к падению спроса на шины на 35%; а также то, чтоспрос смещается в сторону современных радиальных шин, а не созданных по устаревшим технологиям. Динамика показателей прибыли наглядно представлена на рисунке 4.
Рисунок 4 - Динамика показателей прибыли ОАО «Нижнекамскшина» за 2007-2009г.г. Несмотря на снижение продаж и объемов производства автомобилей, российский рынок грузовых шин по-прежнему остается крупнейшим в Европе, опережающим германский рынок. При этом в России наблюдается положительная тенденция: аналитики считают, что российский авторынок начнет расти уже в следующем году. Финансовый кризис и снижение объема продаж привели к сокращению рабочих мест: так если в 2007г. среднесписочная численность составляла 10758 человек, то в 2008г. произошло сокращение на 793 человека, а в 2009г. под сокращение попали еще 1395 человек. Средняя заработная плата в 2008 г. составила 8651руб., что на 2584 руб. меньше, чемв 2007 г.; в 2009 г. отмечается незначительное увеличение заработной платы (она выросла 259,5 руб.), но это повышение не только не компенсировало прошлогоднее уменьшение среднего заработка шинников, но и не достигло уровня инфляции. Большие надежды возлагаются на новое производство, которое позволит создать почти 900 новых рабочих мест на самом ОАО «Нижнекамскшина» и еще 1 700 - в смежных отраслях. Поступательное движение завода во многом связано с тем, что в 2000 году госпакет акций предприятия (более контрольного) был передан в распоряжение НК «Татнефть». Таким образом, ОАО «Нижнекамскшина» обеспечена финансовой поддержкой и сырьем в составе единого республиканского нефтехимического комплекса. Более половины продукции поставляется автомобильным заводам — АвтоВАЗу, КамАЗу, УАЗу и другим. Для внедрения высокотехнологичных и прогрессивных технологий производства ОАО «Нижнекамскшина» ежегодно наращивает объемы капитальных вложений и стремится к построению эффективной системы управления инвестиционной политикой. 2.2 Оценка инвестиционных проектов предприятия Будучи структурным подразделением нефтехимического комплекса ОАО «Татнефть», ОАО «Нижнекамскшина» вовлекает большую часть валовых инвестиций комплекса, что видно из таблицы 5. Таблица 5 - Структура освоения инвестиций по предприятиям нефтехимического комплекса ОАО «Татнефть» за 2007-2009гг.
Это объясняется тем, что ОАО «Нижнекамскшина» выступает основной производственной базой в технологической цепочке выпуска конечной продукции комплекса в виде производственных зданий и сооружений, основного технологического и вспомогательного оборудования, развитой инфраструктуры, расположенных на территории более 350 га. Основными направлениями инвестирования средств являются: обеспечение выпуска конкурентоспособного ассортимента продукции с европейским уровнем качества (60%); внедрение современных экологически безопасных технологий (10%); внедрение материалосберегающих технологий (10%); замена изношенного оборудования (10%); автоматизация систем управления (7%) и пр. При этом, большая часть инвестиций направляется в активную часть основных производственных фондов (машины, оборудование, транспортные средства): начиная с 2005 г. - более 90% (таблица 6). Таблица 6 - Структура инвестиций в основной капитал ОАО «Нижнекамскшина» в динамике за 2007-2009 гг., %
Инвестиционная программа на 2007 год при плане финансирования 276,3 млн. руб. (с НДС) фактически профинансирована на 272,1 млн. руб. (с НДС), выполнение плана составило 98,5%. При плане освоения 176,9 млн.руб., инвестиционная программа фактически освоена на 163,2 млн.руб. (без НДС), выполнение плана – 92,2% в том числе: производственное строительство – 58,5 млн. руб. (88,7% к плану); приобретение ОНВСС – 104,6 млн. руб. (94,3% к плану) (таблица 6). В течение 2007 г. наибольшая доля инвестиций 98 млн.руб. (без НДС) (или 55,3% от общего объема освоения) направлена на реализацию проектов связанных с модернизацией и адресной заменой оборудования действующего производства, а также, связанных с оптимизацией затрат по услугам промышленного характера.В том числе, наибольший объект инвестирования «Резиносмеситель F-620» (ЗГШ), реализация которого начата в 2005 г. Освоение инвестиций за 2007 г. составило 52,2 млн. руб. (без НДС). Цель проекта – замена камеры резиносмешения для снижения потерь из-за простоев оборудования и затрат на капитальный ремонт. Анализ выполнения инвестиционной программы за 2007г. представлен в таблице 7. Таблица 7 - Анализ выполнения инвестиционной программы ОАО «Нижнекамскшина» за 2007 г., млн. руб.
За 2007 г. реализованы проекты, направленные на снижение расходов энергоресурсов, освоение по которым составило 18,6 млн. руб. (11,4% от общего объема освоения). Наибольший проект – «Автоматизированная система контроля и учета электроэнергии», в результате реализации которого возможна годовая экономия 0,7 млн. руб. За 2007 г. по данному проекту фактическое освоение инвестиций составило 2,6 млн. руб. Так же в отчетном периоде, реализован проект «Газовая котельная на территории водно-спортивной базы» на сумму 2,5 млн. руб., где в результате замены электрической котельной на газовую, экономия за счет сокращения затрат на электроэнергию составила 0,6 млн. руб. в год. Кроме того, большая доля инвестиций была направлена на продолжение реализации объекта «Информационная телекоммуникационная инфраструктура» - 16,5 млн. руб. (10,1%). По требованию служб надзора в течение 2007 г. реализованы проекты всего на сумму 10,1 млн. руб. (или 6,2% от общего объема освоения).Кроме того, инвестиции были направлены на систему охранной сигнализации периметра ОАО «Нижнекамскшина» и охранный пост в размере 7,1 млн. руб. (или 4,4%).Реализации проекта началось в 2005 г. На реализацию проектов по охране экологии и окружающей среды направлено инвестиций всего на сумму 8,2 млн. руб. (или 5% от общей суммы освоения). Это реконструкция электрофильтров печи «Рутнер», реконструкция канализационных сетей и сооружений, строительство полигона захоронения отходов, и др.). Это позволило обезвредить в 2007г. в печи «Рутнер» 4 565 тонн отходов, из 1419 тонн отходов изготовить и реализовать на 33,1 млн. руб. товаров народного потребления и производственно-технического назначения. Общество уже в третий раз по итогам республиканского конкурса «Эколидер» в рамках форума «Человек. Природа. Наука. Техника» было награждено дипломом победителя в номинации «Работа по сокращению выбросов загрязняющих веществ». По итогам смотра-конкурса «Лидер природоохранной деятельности в России - 2007» Второй Всероссийской конференции, прошедшей в Москве в октябре 2007 г., Общество награждено почетным дипломом за активную деятельность в области охраны окружающей среды и рационального природопользования, генеральный директор ОАО «Нижнекамскшина» награжден почетным орденом «Экологический щит России». Продолжая работу по экономии водных ресурсов, предприятие заменило отдельные участки подземного трубопровода, приобрело и установило в артезианских скважинах приборы контроля за статическим и динамическим уровнями артезианской воды. Это привело к сокращению потребления воды по сравнению с 2006 г. на 185,9 тыс. куб.м. (11,1%). В результате реализации инвестиционной программы предприятия экономия затрат на энергоресурсы только за 2007 г. составила 76,3 млн. руб. (в основном – из-за уменьшения объема потребления тепловой энергии). Анализ выполнения инвестиционной программы ОАО «Нижнекамскшина» за 2008 г. представлен в таблице 8. Инвестиционная программа ОАО «Нижнекамскшина» на 2008 год была сформирована исходя из следующих приоритетных задач: минимизации низкорентабельных инвестиций; внедрения высокотехнологичных и прогрессивных технологий производства; внедрения ресурсо- и энергосберегающих технологий; обеспечения постоянного повышения уровня экологической и промышленной безопасности производства; развития и внедрения IT-технологий. Таблица 8 - Анализ выполнения инвестиционной программы ОАО «Нижнекамскшина» за 2008 г., млн.руб.
По данным годового отчета о деятельности ОАО «Нижнекамскшна» в 2008 году инвестиционная программа ОАО «Нижнекамскшина» при плане финансирования 506,6 млн.руб. фактически профинансирована на 479,9 млн.руб., выполнение плана составило 94,7%. При плане освоения 380,2 млн.руб., инвестиционная программа фактически освоена на 360,7 млн.руб. (без НДС), выполнение плана – 94,9%. В области информационных технологий в 2008 году основной объем инвестиций был направлен на продолжение работ по созданию информационно-телекоммуникационной инфраструктуры акционерного общества и сети передачи данных для пилотного проекта «Штрихкодирование», что в конечном итоге позволит объединить в единое информационное пространство подразделения акционерного общества, и создаст условия для внедрения единой информационной системы. С целью внедрения энергосберегающих технологий на заводе массовых шин проведены работы по модернизации технологических гребенок на четырех форматорах-вулканизаторах типа ФВА 2-140, продолжены работы по установке приборов учета тепловой энергии. На заводе грузовых шин проведены работы по установке электропривода резиносмесителя МХ-1. Кроме того, в 2009 году на ОАО «Нижнекамскшина» завершена реализация инвестиционного проекта «Организация подготовительного производства на Заводе массовых шин», цель которого – изготовление качественных полуфабрикатов (резиновых смесей), которые должны обеспечить качество высокоэффективных легковых шин «Кама-EURO», производимых по технологии европейской фирмы, на уровне импортных аналогов. Работы по проекту были начаты в 2005 году, финансирование осуществлялось с привлечением инвестиций ОАО «Татнефть», общий объем инвестиций составил 1400 млн. руб. Выполнение инвестиционной программы ОАО «Нижнеамскшина» за 2009г. по направлениям инвестиций представлено в таблице 9. Таблица 9 - Анализ выполнения инвестиционной программы ОАО «Нижнекамскшина» за 2009 г. млн. руб.
Инвестиционная программа на 2009 год запланирована в сумме 754,5 млн. руб. в том числе на: производственное строительство – 688,1 млн. руб.; приобретение ОНВСС – 53,4 млн. руб., непроизводственные капитальные вложения – 11,3 млн. руб., приобретение земельных участков – 0,2 млн. руб., приобретение активов – 0,8 млн. руб., резерв – 0,8 млн. руб. Фактическое инвестирование по годам происходило в соответствии с утвержденными инвестиционными программами. Однако кризис мировой финансовой системы 2008 г. негативно сказался и на инвестиционной деятельности предприятия, где инвестиционная программа, вследствие недополучения запланированных финансовых ресурсов, профинансирована лишь на 59%. Далее для наглядности представим инвестиционную деятельность ОАО «Нижнекамскшина» в динамике за 2007-2009г.г. на рисунке 5. Основная проблема инвестиционной деятельности предприятия связана с дефицитом источников освоения инвестиций и недостатком реальных денежных средств на их финансирование. Фактически инвестиционные программы формируются не на количество инвестиционных проектов, а под имеющийся источник инвестиций. Структура источников инвестиций по годам различна, но всегда львиная доля - это амортизационные отчисления предприятий комплекса. На реконструкцию действующих производств в основном направляются собственные источники инвестиций предприятий. Реализация крупных инвестиционных проектов, связанных с организацией новых производств на основе современных зарубежных технологий осуществляется при непосредственном участии и с привлечением средств ОАО «Татнефть».
Рисунок 5 - Динамика финансирования и освоения инвестиций в ОАО «Нижнекамскшина» за 2007-2009 гг. Итак, инвестиционная деятельность ОАО «Нижнекамскшина» направлена на улучшение действующего производства и освоение новых производств конкурентоспособных шин с целью обеспечения потребности существующих на территории Российской Федерации и Республики Татарстан автосборочных производств и вторичного рынка шин. Инвестиционная политика ОАО «Нижнекамскшина» включает набор объектов инвестирования, связанных с последовательным и комплексным развитием предприятия в соответствии с выбранной стратегией. Однако анализ существующей системы управления позволил вывить, возникающие в ходе ее функционирования основные проблемы: дефицит денежных средств предприятия и, как следствие, остаточный принцип формирования источников финансирования капитальных вложений; предприятия, лимитированных, как правило, величиной амортизационных отчислений. Это приводит к необходимости корректировки программ модернизации и недостаточно эффективному вложению средств. Далее будет дана оценка инвестиционной привлекательности исследуемого предприятия. 2.3 Оценка инвестиционной привлекательности ОАО «Нижнекамскшина» Дадим оценку инвестиционной привлекательности предприятия на примере ОАО «Нижнекамскшина» в соответствие с ранее рассмотренной методикой, т.е. рассчитаем балловую оценку по трем направлениям: - оценка финансового состояния предприятия; - оценка рыночного окружения предприятия; - оценка корпоративного управления предприятием. Для оценки финансового состояния на основе данных бухгалтерского баланса ОАО «Нижнекамскшина» за 2009г. рассчитаем требуемые показатели: 1) коэффициент соотношения заемных и собственных средств К1 : К1 = 3346435/747552=4,48 2) коэффициент текущей ликвидности К2: К2 = 1116117/3250855=0,34 3) коэффициент оборачиваемости активов К3: К3 =6878708/4547949=1,51 4)рентабельность продаж по чистой прибыли Rпр : Rпр. = 392832/6879708*100%=5,7% 5) рентабельность собственного капитала по чистой прибыли Rск. : Rск =-94478/747552*100%=-12,6% . Значение факторов по двум другим группам: рыночному окружению и корпоративному управлению, определяются на основе информации, раскрываемой ОАО «Нижнекамскшина» в средствах массовой информации и на официальном сайте в Интернете. Значения всех факторов инвестиционной привлекательности исследуемого предприятии отражены в таблице 10. Далее по формуле (1.9) определим индекс инвестиционной привлекательности КИП: КИП. =41/57=0,72. Таблица 10 - Оценка инвестиционной привлекательности ОАО «Нижнекамскшина»
Одновременно с интегральным можно провести расчет значений частных коэффициентов инвестиционной привлекательности, характеризующих финансовое состояние, рыночное окружение и корпоративное управление в ОАО «Нижнекамскшина», что приведено в таблице 11. Таблица 11 - Расчет частных коэффициентов инвестиционной привлекательности по группам факторов
Анализ отдельных составляющих (частных коэффициентов) инвестиционной привлекательности ОАО «Нижнекамскшина» позволяет выявить «слабые места» предприятия и разработать мероприятия повышения его инвестиционной привлекательности. Так, для ОАО «Нижнекамскшина» недостаточно высоким является коэффициент инвестиционной привлекательности, характеризующий финансовое состояние. Для данного предприятия, как и для многих других российских компаний, современный финансовый кризис оказался серьезным испытанием, но одновременно выявил недостатки в финансово-хозяйственной деятельности и заставил мобилизовать усилия для их решения. В настоящее время для расширения масштабов деятельности в ОАО «Нижнекамскшина» осуществляется инвестиционный проект по производству цельнометаллокордных шин. Цель проекта - создание производства цельнометаллокордных шин для удовлетворения потребностей внутреннего рынка страны, снижения импорта цельнометаллокордных шин и продвижения их на зарубежный рынок. Организация производства цельнометаллокордных шин на современном оборудовании с использованием новой технологии позволит обеспечить спрос на данную продукцию. Планируемый объем выпуска шин – 1,2 млн. штук в год на проектных производственных мощностях. Начало организации производства по проекту – 2007год, начало выпуска продукции – конец 2010 год; выход на проектную мощность– 2011 год. Необходимые инвестиции по этапам планирования: 2007год – 2 млрд. рублей; 2008год – 6 млрд. рублей; 2009год – 4 млрд. рублей; 2010 год – 3,4 млрд. рублей; 2011год – 1,6 млрд. рублей; Общая стоимость проекта – 17 млрд. руб., затраты на приобретение оборудование составят 7млрд. руб. К концу 2009года на предприятии уже освоены капитальные вложения в размере 12 млрд. рублей. Организация производства цельнометаллокордных шин планируется на свободных площадях завода грузовых шин ОАО «Нижнекамскшина». Ожидаемый результат от реализации проекта: - экономический эффект: замена шин, не пользующихся спросом, шинами, удовлетворяющими требованиям потребителей, рост потребительского спроса; - научно-технический эффект: замена шин устаревшей конструкции шинами с высокими техническими характеристиками - повышенной износостойкостью, многократной ремонтопригодностью и топливной экономичностью автотранспорта; - социальный эффект: создание 900 дополнительных рабочих мест на самом производстве и еще 700 рабочих мест в смежных отраслях; - бюджетный эффект: с переходом на перспективные модели ожидается рост прибыли и увеличение сумм налогов в бюджеты всех уровней; - экологический эффект: защита и охрана окружающей среды с внедрением ресурсосберегающих технологий. Максимальное увеличение продаж на рынке комплектации – конечная цель маркетинговой стратегии предприятия, что становится вполне реальным и достижимым в рамках принятой государством программы развития автомобильной промышленности. Принципиальным условием эффективности проекта является положение о том, что внутренняя норма рентабельности должна быть не меньше принятой процентной ставки по долгосрочным кредитам. Источники финансирования инвестиционного проекта по производству ЦКМ-шин в ОАО «Нижнекамскшина» указаны в таблице 12. Таблица 12 - Источники финансирования инвестиционного проекта по производству ЦКМ-шин в ОАО «Нижнекамскшина», млн.руб.
Начало выплаты процентов с погашением долга – четвертый год реализации проекта. Срок погашения задолженности по кредитам – 4 года. Общий срок кредитования – 6 лет. Методика расчета показателей экономической эффективности инвестиционного проекта, основанных на дисконтировании была рассмотрена в теоретической части дипломной работы (раздел 1.3). Здесь рассчитаем эти показатели для инвестиционного проекта по производству ЦМК-шин в ОАО «Нижнекамскшина», исходя из того, что ожидаемые денежные поступления от проекта составляют 2000млн руб. в год.; прирост прибыли ожидается в размере 850 млн.руб. Рассчитаем показатель чистой текущей стоимости проекта (NPV) по годам до того момента пока значение показателя не станет положительным, т.е. до года, когда проект начнет окупаться: Расчёт производим при r = 10 %. NPV2007 = – 6109,0 млн.руб.; NPV2008 = –1108,7 млн.руб.; NPV2009 = –15210,0 млн.руб.; NPV2010 = –14667,0 млн.руб.; NPV2011 = –12183,0 млн.руб.; NPV2012 = –9480,6 млн.руб.; NPV2013 = –6707,1млн.руб.; NPV2014= –3398,7 млн.руб.; NPV2015 = 156,8 млн.руб. Таким образом, проект начнёт окупаться только через девять лет. Рассчитаем простой срок окупаемости проектаРI по формуле (2.1): РI=IC/CF, (2.1) где IC–первоначальные инвестиции, млн.руб., CF–среднегодовая сумма денежных поступлений от реализации инвестиционного проекта. РI=17000/ 2000=8,5 (лет), т.е. простой срок окупаемости проекта составляет 8,5 лет. Далее определим бухгалтерскую рентабельность инвестиций (индекс доходности)ROI по формуле (2.2): ROI=П/ IC , (2.2) где П – предполагаемая среднегодовая величина прибыли. ROI=850/17000=0,15; т.е. рентабельность инвестирования в данный проект составит 15%. Необходимо учесть, что рентабельность инвестиций не может отразить реальной доходности инвестирования, т.к. данный проект носит долгосрочный характер, поэтому прогнозы доходов и затрат являются очень приблизительными, особенно в условиях нестабильной экономики. Полученные данные сводим в таблицу 13. Таблица 13 - Характеристика инвестиционного проекта по производству ЦМК- шин в ОАО «Нижнекамскшина», млн. руб.
Проведенные показатели выступают в роли необходимых критериев, на основе которых участники проекта могут оценить инвестиционную привлекательность вложений в производство ЦМК-шин в ОАО «Нижнекамскшина». На рисунке 6 в графическом виде показаны основные характеристики проекта.
Рисунок 6 - Финансовый профиль инвестиционного проекта по производству ЦМК-шин в ОАО «Нижнекамскшина» Таким образом, проект соответствует, во-первых, стратегии развития компании, во-вторых – ее технической политике, требованиям в области промышленной безопасности и экологии, и, в-третьих, проект соответствует главным требованиям к показателям инвестиционной привлекательности: NPV > 0, IRR – не меньше 12%, рассчитанных по ставке дисконтирования 10%. Исходя из этих показателейСовет директоров УК «Татнефть-Нефтехим» принял решение об экономической целесообразности размещения нового завода по производству цельнометаллокордных шин (ЦМК-шин) мощностью 1,2 миллиона штук в год на территории ОАО «Нижнекамскшина». 3 Совершенствование управления инвестиционной привлекательностью предприятия на примере ОАО «Нижнекамскшина» 3.1 Пути повышения инвестиционной привлекательности предприятия Отрицательная динамика основных макроэкономических показателей, низкие темпы научно-технического прогресса, частые колебания конъюнктуры инвестиционного рынка, непостоянство государственной инвестиционной политики и форм регулирования инвестиционной деятельности не позволяют сегодня эффективно управлять инвестициями на отечественных предприятиях на основе лишь ранее накопленного опыта и традиционных методов [41.С.12]. Многие проблемы формирования инвестиционного процесса обусловлены отсутствием четко разработанной системы принципов инвестиционной политики, которая бы способствовала формированию благоприятного инвестиционного климата в России. Такая система призвана обеспечивать единство инвестиционного пространства на всей территории России, то есть обеспечивать свободное перемещение финансового капитала, инвестиционных товаров и строительных услуг. Она должна создавать единство условий экономического и правового регулирования инвестиционной деятельности, ее информационного обеспечения. Сегодня эффективность инвестиционной деятельности промышленного предприятия в значительной степени зависит от организации управления инвестиционной деятельностью в компании. Принятие решений об инвестициях является наиболее сложной и важной задачей управления, в связи с чем возникает необходимость интеграции деятельности всех участников процесса управления инвестиционной деятельностью компании, которую возможно реализовать только через единую структуру управления инвестициями в рамках существующей организационной структуры управления [48.С.127]. Повышение инвестиционной деятельности компании возможно через повышение эффективности реальных инвестиций, которая формируется на двух основных стадиях - обоснования или разработки инвестиционного проекта, и реализации проекта, но реально проявляется эффективность инвестиций только на стадии функционирования будущего проекта компании. Повышение эффективности инвестиционной деятельности на стадии разработки инвестиционного проекта может быть достигнуто, по нашему мнению, за счет сокращения срока проектирования; включение в проект прогрессивных форм реализации проекта; широкого применения там, где это возможно и целесообразно, таких типовых проектов, которые уже оправдали себя на практике, что позволит в значительной мере снизить затраты на проектирование, а также резко уменьшить риски; применение в проектах самых передовых технологий с учетом отечественных и зарубежных достижений; оснащения проектного отдела компании системами автоматизированного проектирования; повышения общего технического уровня проектирования. В ОАО «Нижнекамскшина», как одной из крупнейших компаний шинной отрасли, давно назрела необходимость в построении качественной системы управления инвестиционной деятельностью. Структурировать и оптимизировать процесс управления позволяет система бюджетирования. При этом основной акцент, как мы считаем, необходимо сделать на том, что система бюджетирования должна строиться по проектному принципу, т. е управление инвестиционной деятельностью ОАО «Нижнекамскшина», должно быть построено на четком регламенте и корпоративном документообороте, только при этом может быть обеспечена эффективность управления. Для проведения данных процедур на предприятии создан Инвестиционный комитет совместно c Управлением инвестициями УК ОАО «Татнефть». Управление инвестиционными проектами основывается на обеспечении стандарта процедур рассмотрения, экспертизы, системы оценки рисков и принятия решений. На основе выдвинутых предложений нами разработано следующее возможное построение службы управления инвестиционной деятельностью в ОАО «Нижнекамскшина» (рисунок 7).
Рисунок 7 - Предлагаемая структура службы управления инвестиционной деятельностью в ОАО «Нижнекамскшина» Каждый инвестиционный проект должен проходить индивидуальную процедуру технического, геологического, экономического обоснования с экспертным заключением специалистов компании о производственной целесообразности и инвестиционной привлекательности. В рамках процесса совершенствования инвестиционной политики регламент взаимодействия участников инвестиционного процесса должен формироваться на принципах сквозного планирования инвестиционных проектов. Ключевыми моментами такого подхода являются следующие: - инвестиционная программа определяется как набор инвестиционных проектов, принятых к реализации. Инвестиционные проекты принимаются к реализации в составе инвестиционной программы один раз вне зависимости от их длительности; - процесс постановки инвестиционной задачи должен быть отделен от процесса выбора ее оптимального решения, это позволит снизить инвестиционные риски и повысить эффективность инвестиционной деятельности; - мероприятия, которые невозможно или нецелесообразно выделять в отдельный инвестиционный проект необходимо объединять в интервальные инвестиционные проекты со сроком реализации на планируемый период. Планирование и контроль как затрат, так и объемов финансирования по инвестиционной программе мы предлагаем осуществлять в рамках бюджетного процесса и финансового плана УК ОАО «Татнефть». Использование принципов сквозного планирования при формировании и реализации инвестиционных проектов позволит, как мы считаем, повысить эффективность инвестиционной политики ОАО «Нижнекамскшина» и обеспечить системную взаимосвязь инвестиционной программы со стратегической программой УК ОАО «Татнефть», а так же прозрачный контроль за степенью достижения целевых инвестиционных задач. Также, по нашему мнению, необходимо разработать и использовать метод постинвестиционного мониторинга эффектов по инвестиционным проектам, внедрить современные информационные технологии проектного управления, провести обучение и сертификацию персонала финансово-инвестиционных служб ОАО «Нижнекамскшина» по международным стандартам управления проектами. Четкая регламентация и информационная поддержка процесса принятия решений при распределении инвестиционных ресурсов позволит усилить целевой характер вложений и обеспечить эффективное финансирование тех проектов, которые направлены на достижение стратегических целей компании. Для повышения качества работы по управлению инвестиционной политикой необходимо автоматизировать процессы инвестиционной деятельности.Внедрение автоматизации способно решить ряд проблем, связанных с упрощением системы управления финансово-хозяйственной деятельностью предприятия в целом, а также с упрощением процесса управления инвестиционной деятельностью в частности. Уже сегодня в ОАО «Нижнекамскшина» при формировании инвестиционного портфеля активно используются информационные технологии и программные продукты от мировых лидеров в вопросах управления инвестиционными проектами. Система управления инвестициями на базе mySAP ERP 2005 обеспечивает интегрированный контроль всех этапов планирования инвестиционной программы: от заявки структурным подразделением до инвестирования по основным направлениям инвестиционной деятельности. Это позволяет оперативно получать информацию по плановым и фактическим показателям каждого проекта и исполнению инвестиционной программы в целом, быстро реагировать на изменения в проектах в процессе их реализации. Начата работа по внедрению программного обеспечения компании «Шлюмберже», позволяющая перейти на комплексный подход к оценке эффективности проектов, проводить оценку не только предстоящих капитальных вложений, но и инвестиционной стратегии в целом с оценкой рисков и анализом чувствительности проектов при построении дерева решений. В целях контроля и минимизации инвестиционных рисков, по нашему мнению, по каждому проекту должна разрабатываться карта рисков с описанием возможных геологических, производственных, финансово-экономических, правовых, земельно-имущественных и других факторов, способных негативно повлиять на эффективность инвестиционных вложений. Мониторинг реализуемых проектов необходимо осуществлять на всех этапах инвестиционного и эксплуатационного периодов до завершения срока их окупаемости. Осуществление намеченных мероприятий должно привести, как мы считаем, к улучшению инвестиционной политики на анализируемом предприятии. Но, заместитель директора УК ОАО «Татнефть» по развитию производств Закир Файрузовв интервью еженедельнику «где Деньги?» от 10.11.2009 г. заявил, что«…реализации инвестпрограмм, осуществляемых отечественными шинниками, может помешать активная экспансия на внутренний рынок зарубежных производителей шин. Прогнозы аналитиков оценивают потери российских производителей за год в объеме свыше 10 млн. шин на общую сумму $400 млн. Причем речь идет, в первую очередь, не об известных брендах, а о сегменте дешевых импортных шин и продукции, бывшей в употреблении. Так, по данным Discovery Research, в результате кризиса и иностранной экспансии производство совокупного выпуска шин в России за первое полугодие 2009 года по сравнению с тем же периодом 2008 года сократилось практически в два раза - до немногим более 12 млн. штук» [32.С.43]. Поэтому важнейшим условием и гарантом осуществления эффективной инвестиционной политики шинного комплекса «Татнефти», является выдвижение на правительственный уровень предложений по урегулированию сложившейся ситуации. К ним относятся меры по таможенному регулированию импорта шин в РФ, сохранению производственно-промышленного персонала на существующих заводах, создание условий для окупаемости вложений в крупные инвестпроекты и т.д. По подсчетам шинников, повышение импортных пошлин до 25% (по сравнению с существующими 15%) будет лишь стимулировать локализацию иностранных производителей на территории России. Таким образом, уже в течение 3-5 лет эта мера смогла бы привести к заметному сокращению импорта грузовых шин в Россию. А это сыграло бы положительную роль в развитии экономики, экологии страны, а также в безопасности дорожного движения. При этом компания добивается изменения условий госзакупок шин, чтобы исключить возможность заключения госконтрактов, предполагающих поставки из-за рубежа продукции, имеющей отечественные аналоги. С предложением о введении подобных мер УК ОАО «Татнефть» обратилась в Госдуму. Казалось бы, преимущества новой продукции, которая уже в 2010г. начнет выпускать ОАО «Нижнекамскшина», позволяют не беспокоиться за ее будущее. Однако организаторы проекта уверены: без господдержки в шинной отрасли даже самый продвинутый и инновационный продукт не завоюет рынок, наводненный товаром, продаваемым по демпинговым ценам. При этом эксперты УК ОАО «Татнефть» сходятся во мнении, что иностранцы демпингуют временно. Задушив же отечественного производителя, они, скорее всего, существенно поднимут цены. Таким образом, совершенствование инвестиционной политики отечественных предприятий, в том числе ОАО «Нижнекамскшина» является многофакторной проблемой и должна решаться по многим направлениям одновременно. 3.2 Совершенствование механизмов отбора инвестиционных проектов на предприятии Оценка и выбор высокоэффективных инвестиционных проектов является главным условием осуществления современной инвестиционной политики.В конечном счете, эффективность инвестиционной политики и темпы роста экономики в значительной мере определяются совершенством системы отбора инвестиционных проектов к реализации, адаптацией ее к существующим и сменяющимся во времени условиям функционирования экономики В системе управления реальными инвестициями отбор эффективных инвестиционных проектов представляет собой один из наиболее ответственных этапов. От того, насколько качественно проведён этот отбор, зависят сроки возврата вложенного капитала, варианты альтернативного его использования, дополнительно генерируемый поток прибыли предприятия в предстоящем периоде. Применение традиционных методов экономической оценки связано с рядом допущений. Например, метод NPV предполагает, что структура и стоимость капитала фирмы не изменяются в течение всего жизненного цикла инвестиционного проекта. Однако на практике это предложение часто не выполняется. Сильные ограничения, связанные с использованием для оценки учетных показателей (бухгалтерской прибыли, рентабельности и др.), также обуславливают необходимость их совершенствования для оценки эффективности инвестиций. Компаниям рекомендуется учитывать влияние так называемого налогового щита, как одно из направлений совершенствования отбора инвестиционных проектов. Он представляет собой уменьшение размера налоговых обязательств компании, вызванное увеличением затрат, подлежащих вычету из облагаемого дохода. Эффект налогового щита возникает при финансировании за счет привлеченных кредитов. В современном экономическом анализе этот метод известен как «метод APV». Он был предложен С. Майерсом. Основная идея этого метода заключается в разделении денежного потока проекта на две составляющие: реальный денежный поток, т. е. непосредственно связанный с операционной деятельностью проекта, и «сторонние эффекты», или денежный поток, связанный с финансовой политикой фирмы. Основным сторонним эффектом и является налоговый щит (taxshield). Поскольку процентные платежи не подлежат налогообложению, использование заемного капитала снижает налоговые издержки и таким образом увеличивает свободные денежные потоки от проекта. Определим эффект налогового щита для инвестиционного проекта по производству ЦМК-шины ОАО «Нижнекамскшина». Ранее в данной дипломной работе (см. главу 2) была рассчитана величина чистой дисконтированной стоимости инвестиционного проекта: она составила 156,8 млн. руб. Финансирование проекта осуществляется из собственных средств предприятия в размере 3500,0 млн.руб., и за счет заемных (возвратных) ресурсов в размере 13500 млн.руб. под 10% годовых (таблица 7). Начало выплаты процентов с погашением долга – четвертый год реализации проекта. Срок погашения задолженности по кредитам – 4 года. Общий срок кредитования – 6 лет. Стоимость собственного капитала была принята равной 10% (с учетом прогнозируемой инфляции на уровне 8,0%). Обслуживание кредита обходится предприятию в 1350 млн. руб. (13500*0,01), за весь срок кредитования это составит 8100 млн.руб. (1359*6), но т.к. по условию договора ОАО «Нижнекамскшина» будет погашать кредиты в течении 4 лет, то ежегодные платежи составят 2025млн.руб. (8100/4).Поскольку проценты по кредитам подлежат вычету из налогооблагаемого дохода, то при ставке налога на прибыль 24% предприятие сэкономит на налоговых выплатах 1944млн.руб. (8100*0,24). $720 в год (24% от $3 тыс.). Это и есть налоговый щит. Рассчитаем его приведенная стоимость PV: PV=1944/1,1+1944/1,12 +1944/1,13 +1944/1,14 =6042,98(млн.руб.). Соответственно, величина NPV инвестиционного проекта производства ЦМК-шин для проекта ОАО «Нижнекамскшина» с учетом эффекта налогового щита составляет 6199,78млн.руб. (156,8+6042,98). Таким образом, использование метода APV для отбора инвестиционных проектов позволяет предприятиям разделить денежные потоки инвестиционного проекта и провести их оценку раздельным дисконтированием с использованием соответствующих ставок. Появляется также возможность проанализировать различные источники создания стоимости проекта. Другие направления совершенствования механизма отбора инвестиционных проектов, предложенные нами: - Установить определенную очередность анализа проектов. Первоначально необходимо оценивать проект на предмет соответствия стратегии развития компании, технической политике, требованиям в области промышленной безопасности и экологии. - Затем рассматривать показатели экономической эффективности проекта. Требования к доходности должен устанавливать собственник компании и пересмотреть их можно, лишь, если изменятся макроэкономические условия, либо если в течение длительного времени подавляющее большинство проектов не соответствуют заданной «планке». - Рассматривать лишь те проекты, которые обеспечивают определенный уровень доходности, исключением могут быть статусные или социальные объекты. - Если проект небольшой (сумма проекта составляет до $1 млн.), а объединить с другими проектами его невозможно, то не принимать его, даже если проект соответствует уровню доходности. Ведь менеджменту пришлось бы тратить время на его обслуживание вне связи с другими проектами, что нерационально. - С целью создания единого алгоритма отбора инвестиционных проектов и повышения эффективности инвестиционных программ, необходимо разработать регламентирующие деятельность документы (регламенты взаимоотношений между подразделениями предприятия и комплекса по вопросам управления инвестициями и другие инструкции, положения, регламент). - Разработать и применять «Карту рисков проекта», в которой оценивать риски проектов по балловой системе. Проекты, не прошедшие экспертизу по карте рисков, исключать из проекта инвестиционной программы. - Назначать кураторов инвестиционных проектов, которые получают возможность выносить вопросы, связанные с исполнением инвестиционных проекта на рассмотрение Инвестиционного комитета ОАО «Нижнекамскшина». - По каждому инвестиционному проекту необходимо проводить индивидуальную процедуру технического, технологического и финансово-экономического обоснования с экспертным заключением специалистов УК ОАО «Татнефть» об инвестиционной привлекательности (целесообразности) и доходности проекта. По инвестиционным проектам стоимостью более 1 млрд. руб., а также по проектам с участием источников, привлекаемых у ОАО «Татнефть», проводить дополнительную экспертизу в Управлении инвестиций ОАО «Татнефть». - Подрядчиков и поставщиков по инвестиционным проектам необходимо определять на основании тендерного отбора. Финансирование проектов осуществлять в пределах выделенных лимитов. - Мониторинг реализуемых проектов необходимо вести по основным показателям на всех этапах инвестиционного и постинвестиционного периодов. Предлагаемый нами алгоритм отбора инвестиционных проектов для ОАО «Нижнекамскшина» представлен на рисунке в Приложении Б. Четкая реализация предложенного алгоритма отбора инвестиционных проектов позволит обеспечить прозрачность каждой этапа управления инвестициями, определит и закрепит четкую субъектную структуру полномочий и ответственности за эффективность планирования и реализации проектов предприятия. В условиях кризисной экономики управление инвестиционной деятельностью в ОАО «Нижнекамскшина» должно вестись в условиях повышения требований к успешности и эффективности инвестиционных проектов. Таким образом, подводя итог рассмотрению проблемы совершенствования управления инвестиционной политикой, можно отметить, что в системе управления реальными инвестициями отбор эффективных инвестиционных проектов представляет собой один из наиболее ответственных этапов. Решения о выборе проектов и структуре распределения средств принимаются на основании приоритетов, установленных инвестиционной политикой на текущий период. Применение действующих методов оценки эффективности инвестиционных проектов (простых и дисконтированных) всегда связано с рядом допущений, однако на практике эти предположения часто не выполняются. В связи с этим необходим поиск альтернативных методов, позволяющих в той или иной степени решать выявленные проблемы. Любое предприятие самостоятельно формирует систему критериев для отбора привлекательных инвестиционных проектов, руководствуясь приоритетами корпоративной инвестиционной политики, получении конкурентных преимуществ. Исходя из этого, нами были разработаны предложения по совершенствованию механизма отбора инвестиционных проектов для внедрения в ОАО «Нижнекамскшина». Использования предложенного алгоритма позволит обеспечить отбор эффективных инвестиционных проектов с учетом рисков и дать объективную оценку инвестиционного потенциала предприятия. ЗаключениеТеоретические и методологические исследования в области инвестиционной привлекательности предприятия, а также их апробирование на примере конкретного предприятия ОАО «Нижнекамскшина», позволили сделать ряд следующих выводов. Улучшение инвестиционного климата является приоритетной задачей, осуществить которую можно, лишь грамотно управляя процессом повышения инвестиционной привлекательности всех сегментов инвестиционного рынка и, прежде всего, предприятий. Для всех предприятий, но особенно тех, что относительно благополучны и вполне успешно решают проблему развития собственного производства, весьма острой остается проблема дефицита собственных инвестиционных средств. Проблема нехватки ресурсов решается при помощи заемного финансирования: единовременного кредита, синдицированного кредита, облигационного займа, выпуска векселей. Основной целью повышения инвестиционной привлекательности предприятия является создание оптимальных условий для вложения собственных и заемных финансовых и иных ресурсов, обеспечивающих возрастание доходов на вложенный капитал, для расширения экономической деятельности предприятия, создания лучших условий для победы в конкурентной борьбе. В формировании инвестиционной привлекательности предприятия можно выделить три этапа: на первом этапе определяют необходимость развития предприятия и экономически выгодные направления этого развития; на втором этапе осуществляется разработка инвестиционных проектов для реализации выбранных направлений развития предприятия;на третьем этапе происходит окончательный выбор экономически выгодного инвестиционного проекта, планируемого к реализации В работе была проанализирована инвестиционная привлекательность крупного российского предприятия шинной промышленности - Открытого акционерного общества «Нижнекамскшина». К началу 2008 года объем производства на ОАО "Нижнекамскшина" по сравнению с 1999 годом вырос в полтора раза до 12,5 млн. шин в год. Несмотря на мировой кризис, доля продукции камского завода в общем объеме выпуска шин отечественными производителями выросла до 41%. Это произошло благодаря увеличению доли инновационной продукции на ОАО "Нижнекамскшина" в 2009 году до 36% в общем объеме производства. Новым этапом инвестирования стал пуск в эксплуатацию в декабре 2009 года завода цельнометаллокордных шин. Этот проект можно назвать инновационным прорывом в рамках всей страны, так как подобное производство на территории России в полном объеме не реализовано ни одним из отечественных производителей автошин. Планы завода на дальнейшее поступательное развитие во многом связаны с тем, что в 2000 году госпакет акций предприятия (более контрольного) был передан в распоряжение УК ОАО «Татнефть». Таким образом, ОАО «Нижнекамскшина» обеспечена финансовой поддержкой и сырьем в составе единого республиканского нефтехимического комплекса. Более половины продукции поставляется автомобильным заводам — АвтоВАЗу, КамАЗу, УАЗу и другим. Для внедрения высокотехнологичных и прогрессивных технологий производства ОАО «Нижнекамскшина» ежегодно наращивает объемы капитальных вложений и стремится к построению эффективной системы управления инвестиционной политикой. Инвестиционная деятельность ОАО «Нижнекамскшина» направлена на улучшение действующего производства и освоение новых производств конкурентоспособных шин с целью обеспечения потребности существующих на территории Российской Федерации и Республики Татарстан автосборочных производств и вторичного рынка шин. Инвестиционная политика ОАО «Нижнекамскшина» включает набор объектов инвестирования, связанных с последовательным и комплексным развитием предприятия в соответствии с выбранной стратегией. Однако анализ существующей системы управления инвестициями позволил вывить, возникающие в ходе ее функционирования основные проблемы: дефицит денежных средств предприятия и, как следствие, остаточный принцип формирования источников финансирования капитальных вложений; предприятия, лимитированных, как правило, величиной амортизационных отчислений. Это приводит к необходимости корректировки программ модернизации и недостаточно эффективному вложению средств. В дипломной работе, на основе рассмотренной методики, разработана балловая оценка инвестиционной привлекательности предприятия на примере ОАО «Нижнекамскшина» по трем направлениям: оценка финансового состояния предприятия; оценка рыночного окружения предприятия и оценка корпоративного управления предприятием. Анализ этих составляющих позволил выявить «слабые места» предприятия и направить усилия на разработку мероприятий для повышения его инвестиционной привлекательности. Для ОАО «Нижнекамскшина», как и для многих других российских компаний, современный финансовый кризис оказался серьезным испытанием, но одновременно выявил недостатки в финансово-хозяйственной деятельности и заставил мобилизовать усилия для их решения. В настоящее время для расширения масштабов деятельности в ОАО «Нижнекамскшина» осуществляется инвестиционный проект по производству цельнометаллокордных шин. Общая стоимость проекта – 17 млрд. руб., затраты на приобретение оборудование составят 7млрд. руб. К концу 2009года на предприятии уже освоены капитальные вложения в размере 12 млрд. рублей. Организация производства цельнометаллокордных шин планируется на свободных площадях завода грузовых шин ОАО «Нижнекамскшина». Проведенный в дипломной работе анализ экономической эффективности инвестиционного проекта по производству ЦМК-шин показал, что проект соответствует, во-первых, стратегии развития компании, во-вторых – ее технической политике, требованиям в области промышленной безопасности и экологии, и, в-третьих, проект отвечает главным требованиям к экономической эффективности. Исходя из этих показателейСовет директоров УК «Татнефть-Нефтехим» принял решение об экономической целесообразности размещения нового завода по производству цельнометаллокордных шин (ЦМК-шин) мощностью 1,2 миллиона штук в год на территории ОАО «Нижнекамскшина». В ОАО «Нижнекамскшина», как одной из крупнейших компаний шинной отрасли, давно назрела необходимость в построении качественной системы управления инвестиционной деятельностью. Проведенное в дипломной работе исследование показало, что совершенствование инвестиционной политики отечественных предприятий, в том числе ОАО «Нижнекамскшина» является многофакторной проблемой и должна решаться по многим направлениям одновременно. Исходя из этого, были разработаны предложения по повышению инвестиционной привлекательности и совершенствованию механизма отбора инвестиционных проектов для внедрения в ОАО «Нижнекамскшина». Использование предложенного алгоритма позволит обеспечить отбор эффективных инвестиционных проектов с учетом рисков и дать объективную оценку инвестиционного потенциала предприятия. Любое предприятие самостоятельно формирует систему критериев для отбора привлекательных инвестиционных проектов, руководствуясь приоритетами корпоративной инвестиционной политики и стремлением к получению конкурентных преимуществ, возможно разработанные в данной дипломной работе предложения позволят поднять на новый качественный уровень управление инвестиционной политикой и улучшить организацию управления денежными потоками в ОАО «Нижнекамскшина». Список использованных источников и литературы1. Гражданский кодекс РФ. Часть первая / Федеральный закон РФ от 30 ноября 1994 г. №51 – ФЗ (с последними изменениями и дополнениями) // Собрание законодательства Российской Федерации. – 1994. - №31. – Ст.3301. 2. Налоговый кодекс РФ. Часть вторая / Федеральный закон РФ от 5 августа 2000 г. №117 – ФЗ (с последними изменениями и дополнениями) // Собрание законодательства Российской Федерации. – 2000. – № 32. – Ст.3340. 3. Федеральный закон «Об инвестиционной деятельности в Российской Федерации, осуществляемой в форме капитальных вложений» от 25.02.1999 № 39-ФЗ // Собрание законодательства Российской Федерации. - 1999. - №9. - Ст. 1096. 4. Федеральный закон «Об иностранных инвестициях в Российской Федерации» от 09.07.1999 № 160-ФЗ // Собрание законодательства Российской Федерации». - 1999. - №28. - Ст. 3493. 5. Положение об оценке эффективности инвестиционных проектов, утвержденным Постановлением Правительства РФ от 22.11.1997 г. № 1470 // Собрание законодательства Российской Федерации». - 1997. - №35. 6. Аллопонов, А. В. Примеры использования реальных опционов в малом бизнесе.// Финансовый менеджмент.-2008.-№1.-С.18-25. 7. Аскинадзи, В.М., Максимова В.Ф., Петров В.С. Инвестиционное дело: Учебник. – М.: Маркет ДС, 2007. – 560с. 8. Берзон, Н.И. Фондовый рынок: Учебное пособие / Н.И. Берзон, А.Ю. Аршавский. – М.: ВИТА-ПРЕСС, 2009. – 624с. 9. Бланк, И.А. Управление денежными потоками. – 2-е изд., перераб. и доп. – К.: Ника-Центр, 2007. – 752 с. 10. Борисова, Н.В. Пути повышения инвестиционной привлекательности организации. //Инновации и инвестиции. - 2009. - №1. – С.44-51. 11. Борисова Н.В. Теоретические аспекты формирования конкурентной среды на рынке инноваций //Инновации и инвестиции. – 2009. - №2.- С.12-23. 12. Бочаров, В.В. Инвестиции: Учебник. – СПб.: Питер. -2009. -384с. 13. Виленский, П.Л., Лившиц, В. Н., Смоляк, С.А. Оценка эффективности инвестиционных проектов: Теория и практика: Учеб. пособие. 2-е изд., перераб. и доп. - М.: Дело.- 2008. - 220 с. 14. Войко, А.В. Проблемы и особенности разработки и презентации инвестиционных проектов.// Финансовый менеджмент.-2008.-№1.-С.56-62.18-25. 15. Горемыкин, В. А. Организационное и методическое обеспечение инвестиционного процесса // Финансовый менеджмент. - 2003. - №5. - С.97-117. 16. Государственные и муниципальные финансы: Учеб. пособие / Под ред. Г.Б.Поляка.— М.: ЮНИТИ-ДАНА, 2007.— 319с. 17. Зубченко, Л.А. Иностранные инвестиции: Учебное пособие / Л.А. Зубченко. — М.: ООО «Книгодел», 2008. — 160с. 18. Инвестиции: Учебник / Г.П. Подшиваленко. – М.: КНОРУС, 2009. – 496с. 19. Игонина, Л.Л. Инвестиции. – М.: Экономист, 2003. – 254 c/ 20. Ильминская, С.А. Оценка стоимости предприятия в системе финансового менеджмента предприятия.//Финансовый менеджмент.-2009.-№1.-С.84-91. 21. Инвестиции: Учебное пособие / Г.П. Подшиваленко, Н.И. Лахметкина, М.В. Макарова [и др.]. – 3-е изд., перераб. и доп. – М.: КНОРУС, 2006. – 200 с. 22. Козин, П.П. Об инвестициях и классификации инвестиционных проектов с участием Российской Федерации // Финансовый менеджмент. – 2008. - №2. – С. 54 - 60. 23. Колпакова, Г.М. Финансы. Денежное обращение. Кредит: Учеб.пособие. — М.: Финансы и статистика, 2006.— 496с. 24. Колчина, Н.В. Финансы предприятий: Учебник для вузов. - М.: Юнити-ДАНА, 2004. - 447 с. 25. Куликов, А. Г. Стратегия инвестиционного прорыва и развитие лизинга в России. // Финансы. - 2006. - № 9.- С. 25. 26. Лапуста, М.Г. Государственное регулирование предпринимательской деятельности. - М.: ИНФРА-М, 2004. - 198 с. 27. Медунов, А.С. Проблемы кредитования и финансирования малого предпринимательства. // Финансы и кредит. - 2007.- № 7.- С. 85. 28. Нешитой, А.Г. Социально-экономические итоги 2000-2008 гг.//Экономист. 2009. №.2.С.28. 29. Нешитой, А.С. Инвестиции: Учебник. – М.: Издательско-торговая корпорация «Дашков и Ко», 2009. – 372с. 30. Никонова, И.А. Оценка инвестиционных проектов в системе оценки бизнеса // Финансовый менеджмент. - 2008. - №6. - С. 80 - 87. 31. Об итогах работы промышленных предприятий в первом полугодии 2008 г. // Информационные материалы к выездному заседанию КМ РТ, 2008. – С 28 - 45. 32. Осипов, М.А., Дрозд, В.И. Стимулирование роста источников финансирования инвестиций // Финансы и кредит. - 2009. - №1.– С.43 - 56. 33. Российский статистический ежегодник. 2008. – 480 с. 34. Савицкая, Г.В. Анализ хозяйственной деятельности предприятия: учебник. – 5-е изд., перераб. и доп. –М.: ИНФРА-М, 2009. – 536 с. 35. Селезнева, Н.Н., Ионова, А.Ф. Финансовый анализ. Управление финансами: учеб. пособие для вузов.- 2-е изд., перераб. и доп. – М.: ЮНИТИ – ДАНА, 2003. – 639 с. 36. Сергеев, И.В., Веретенникова, И.И., Яновский, В.В. Организация и финансирование инвестиций: Учебное пособие. – М.: Финансы и статистика, 2009. – 400с. 37. Токаренко, Г.С. Организация контроля результатов финансово-хозяйственной деятельности предприятия.// Финансовый менеджмент.-2007.-№1.-С.4-18. 38. Финансы: Учебник / Под ред А.Г.Грязновой, Е.В.Маркиной.— М.: Финансы и статистика, 2006.— 504с. 39. Финансы и кредит: Учеб. пособие / Под ред. проф. А.М.Ковалевой.— М.: Финансы и статистика, 2006.— 512с. 40. Финансы: Учебник / Под ред. Г.Б.Поляка.— М.: ЮНИТИ-ДАНА, 2007.— 703с. 41. Финансы, денежное обращение и кредит: учебник / Под ред. М.В.Романовского, О.В.Врублевской.— М.: Юрайт-Издат., 2007.— 543с. 42. Финансы: Учебник / Под ред. М.В.Романовского, О.В.Врублевской, Б.М.Сабанти.— М.: Юрайт-Издат, 2007.— 462с. 43. Финансы: Учебник / под ред. Г.Б.Поляк.— 3-е изд., перераб. и доп. — М.: ЮНИТИ-ДАНА, 2008.— 703с. 44. Управление финансами, (Финансы предприятий): Учебник для вузов / Володин А.А. и др. М.: ИНФРА-М, 2004. – 506 с. 45. Четыркин, Е.М. Финансовый анализ производственных инвестиций, 2-е изд. М.: Дело, 2004. – 420 с. 46. Шарп, У., Александер, Г., Бэйли, Дж. Инвестиции: Перевод с англ. – М.: ИНФРА-М, 2009. – 1028с. 47. Экономическая оценка инвестиций: Учебник / Т.У. Турманидзе. — М.: ЗАО «Издательство «Экономика», 2009.— 342с. 48. Янковский, К., Мухарь, И. Организация инвестиционной и инновационной деятельности. - С-Пб.: ПИТЕР, 2004. - 353 с. 49. Годовые отчеты ОАО «Нижнекамскшина»: http//www.shina-kama.ru Приложение А
Рисунок А.1 - Структура ОАО «Нижнекамскшина» Приложение Б
Рисунок Б.1 - Рекомендуемый алгоритм отбора инвестиционных проектов для ОАО «Нижнекамскшина» |
||||||||||||||||||||||||||||||||||||||||||||||||||||||||||||||||||||||||||||||||||||||||||||||||||||||||||||||||||||||||||||||||||||||||||||||||||||||||||||||||||||||||||||||||||||||||||||||||||||||||||||||||||||||||||||||||||||||||||||||||||||||||||||||||||||||||||||||||||||||||||||||||||||||||||||||||||||||||||||||||||||||||||||||||||||||||||||||||||||||||||||||||||||||||||||||||||||||||||||||||||||||||||||||||||||||||||||||||||||||||||||||||||||||||||||||||||||||||||||||||||||||||||||||||||||||||||||||||||||||||||||||||||||||||||||||||||||||||||||||||||||||||||||||||||||||||||||||||||||||||||||||||||||||||||||||||||||||||||||||||||||||||||||||||||||||||||||||||||||||||||||||||||||||||||||||||||





