Контрольная работа: Финансовый менеджмент

Название: Финансовый менеджмент
Раздел: Рефераты по финансовым наукам
Тип: контрольная работа

Содержание

Роль и значение финансового менеджера, его функции

Цена основных источников капитала

Литература

Роль и значение финансового менеджера, его функции

Финансовый менеджмент, или управление финансовыми ресурсами и отношениями, охватывает систему принципов, методов, форм и приёмов регулирования рыночного механизма в области финансов с целью повышения конкурентоспособности хозяйствующего субъекта. При малом бизнесе для управления финансами достаточна квалификация бухгалтера или экономиста, так как финансовые операции не выходят за рамки обычных безналичных расчётов, основой которых является денежный оборот. Совершенно иная картина с финансами большого бизнеса. В большом бизнесе действует закон перехода количества в качество. Большому бизнесу требуется большой поток капитала и соответственно большой поток потребителей продукции (работ, услуг). При среднем и большом бизнесе, объём и размах деятельности которого измеряются значительными суммами, преобладают финансовые операции, связанные с инвестициями, движением и преумножением капитала. Для управления финансами большого бизнеса уже необходимы профессионалы со специальной подготовкой в области финансового бизнеса - финансовые менеджеры (финансовые директора). Зная теорию финансов, основы менеджмента, финансовый менеджер приобретая опыт, вырабатывая у себя интуицию и чутьё рынка становится ключевой фигурой бизнеса. В России происходят глубокие экономические перемены, обусловленные возвращением страны в русло общих экономических процессов мирового развития. Идет коренная перестройка прежнего механизма управления экономикой, его замена рыночными методами хозяйствования.

Рыночная экономика, при всем разнообразии ее моделей, известных мировой практике, характеризуется тем, что представляет собой социально ориентированное хозяйство, дополняемое государственным регулированием. Огромную роль как в самой структуре рыночных отношений, так и в механизме их регулирования со стороны государства играют финансы. Они — неотъемлемая часть рыночных отношений и одновременно важный инструмент реализации государственной политики. Вот почему сегодня как никогда важна работа финансового менеджера

Подъём экономики России невозможно представить без участия в этом высококвалифицированных кадров с обширными теоретическими знаниями и хорошей практической школой, позволяющей им осуществлять объективную защиту интересов инвесторов, аукционеров, заимодателей и прочих участников финансовых отношений. Поэтому в настоящее время в России уделяется много внимания подготовке и обучению профессионалов в сфере финансовой деятельности.

Разветвление и увеличение масштабности функций финансового менеджера происходили естественным путем вслед за развитием самой экономики. Так, до 20-х годов XX столетия на Западе функции финансового менеджера или директора как таковой не было вообще. Работали финансово-экономические отделы, занимающиеся всеми финансовыми делами. Разделение служб: бухгалтерской, экономической и финансовой началось только в 20-е годы. В это время активно стал развиваться фондовый рынок и основная задача финансистов заключалась в работе с ценными бумагами.

Кризис 30-х годов потребовал от финансистов новой квалификации: необходимы были люди, умеющие оценивать ликвидность, способность предприятий генерировать денежные потоки, и, конечно же, выявлять признаки банкротства компаний по набору индикаторов.

В 40-е годы востребованными стали функции планирования, бюджетирования и оценки денежных потоков. Поскольку Америка в этот период была на высоте (страна не участвовала в войне и зарабатывала огромные деньги на поставках товаров воюющим государствам), ей потребовались оценщики инвестиционной привлекательности предприятий, специалисты, способные прогнозировать будущий потенциал компании.

В 50-е годы возникли новые задачи, потребовавшие от финансистов новых способностей. Задачей номер один становится оптимальное использование ресурсов. Начинают развиваться экономико-математические методы управления активами предприятий, а особенно популярной становится концепция стоимости денег во времени.

60-70-е годы стали периодом управленческого учета. Информация о предприятиях для рынка уже унифицирована и стандартизирована, выявлены основные коэффициенты оценки бизнесов, возникла потребность разбираться в экономике внутри компаний. Развиваются модели оптимизации денежных и материальных запасов.

80-90-е годы ознаменовались бумом инвестиционных рынков. Соответственно, функции финансовых менеджеров расширились еще и в эту сферу. В зону компетенции финансистов вошли расчет и оценка инвестиционных портфелей предприятий.

Таким образом, современный западный финансовый менеджер - это человек, занимающийся всеми перечисленными вопросами. Он планирует будущие денежные потоки, оценивает ликвидность и инвестиционную привлекательность предприятия, анализирует состояние на финансово-валютных рынках и фондовых биржах.

В России, в силу исторических особенностей, развитие функций финансового менеджера, как и, собственно, возникновение такой должности, происходило немного другим путем. Первые десять лет функционирования страны в условиях рыночной экономики всеми финансовыми вопросами занимались бухгалтеры. Основной задачей этих специалистов была уплата налогов, все остальное - во вторую очередь. Но, поскольку развитие экономики требовало от предприятий качественного выполнения и ряда других задач, специалистам приходилось в экстренном порядке осваивать всю лестницу функций, пройденную Западом за 80 лет. Нельзя сказать, что профессиональных финансистов в то время не было вообще - в экономических ВУЗах и в советское время существовали факультеты банковских финансов и финансов предприятий. Тем не менее, знаний, требующихся от специалиста компании, функционирующей в условиях рыночной, а не плановой, экономики, они не давали.

Период западных 20-х годов, т. е. этап освоения ценных бумаг, Россия фактически проскочила. Сейчас с ценными бумагами работают только отделы корпоративных прав банков, инвестиционные компании и предприятия-эмитенты ценных бумаг. Финансовым менеджерам других предприятий с этой задачей столкнуться не пришлось, а те, кто выполняет функции, связанные с ценными бумагами, реализует их в достаточно усеченном виде в силу неразвитости фондового рынка России. Современная тенденция российского бизнеса - переквалификация бухгалтеров в финансовых менеджеров или директоров. Формально это выглядит приблизительно следующим образом: бухгалтер через какое-то время повышается до главного бухгалтера, а потом - до финансового директора. На практике это означает добавление все новых и новых задач к послужному списку последнего.И тут начинаются проблемы.

Финансовую деятельность любого предприятия можно условно поделить на три основных направления: бухгалтерский учет и налоги; управленческий учет и бюджетирование; анализ финансового состояния и финансирование деятельности предприятия. Так вот, бухгалтер по определению не может координировать сразу три направления. У него другое образование, другие задачи и даже другой тип мышления. И это ни в коем случае нельзя ставить в вину последнему. Просто финансовый менеджер и бухгалтер - это разные люди, разные должности и разные функции. Идеальной можно назвать следующую схему управления этими направлениями: главный бухгалтер занимается бухгалтерским учетом и налогами; планирование, учет и контроль берет на себя финансовый менеджер, а финансовый директор управляет средствами всего предприятия на основе анализа данных, предоставленных бухгалтерией и менеджером. Часто в компаниях не выделяется функция финансового менеджера - финансовый директор занимается двумя направлениями. Это не настолько важно, как разделение функций бухгалтера и финансиста.

Разделения двух функций, помимо потребностей самого предприятия, требует и рынок. Важность функций, выполняемых финансовым директором достаточно велика, для того чтобы утверждать: от качества их выполнения зависит положение компании на рынке. Именно поэтому финансовые директора фактически единственные из всех функциональных руководителей отделами предприятия обычно входят в совет директоров. А для владельца бизнеса, не занимающегося управлением предприятием, финансовый директор - основное лицо, отвечающее за прибыльность его компании. Поэтому, человеку, выполняющему столь важные функции, лучше заниматься исключительно этим.

Финансовый менеджер - профессиональный специалист, который осуществляет квалифицированное руководство финансовой деятельностью хозяйствующего субъекта. На крупных предприятиях, в акционерных обществах обычно формируется группа финансовых менеджеров, за каждым из которых закрепляются определенные обязанности, определенное направление работы. Во главе группы стоит ведущий финансовый менеджер. На небольшом предприятии по соображениям экономической целесообразности может работать только один финансовый менеджер. Производственная деятельность финансового менеджера регламентируется его должностной инструкцией. Должностная инструкция устанавливает общие требования к работнику, его обязанности, права и ответственность.

Функциональными обязанностями финансового менеджера являются:

- разработка прогнозов, проектов и планов вложения капитала (прямое вложение, венчурное вложение, вложение в ценные бумаги), оценка различных вариантов вложения капитала с учетом степени риска и размером получаемого дохода, выбор оптимального варианта;

- разработка перспективных и текущих финансовых планов (баланс доходов и расходов), планов поступления и расходования иностранной валюты;

- участие в разработке бизнес-плана хозяйствующего субъекта в части финансовых показателей, а также финансовых нормативов (норматив затрат, норматив расходования финансовых средств, норматив оборотных средств и т.п.);

- организация коммерческого расчета и внутрихозяйственного подряда - определяет показатели коммерческого расчета и внутрихозяйственного подряда, рассчитывает их величины, осуществляет организацию; проведение кредитной политики;

- формирование финансовой документации (банковской, статистической и т.п.);

- анализ финансового состояния хозяйствующего субъекта и эффективности использования финансовых ресурсов, финансовых мероприятий;

- контроль за выполнением плановых финансовых показателей.

К финансовому менеджеру предъявляются определенные квалификационные требования, т.е. что он должен знать и что он должен уметь делать. Эти требования составляют квалификационную характеристику работника, которая обычно прилагается к его должностной инструкции.

Финансовый менеджер должен знать теорию финансов, кредита и финансового менеджмента, бухгалтерский учет, действующее законодательство Российской Федерации в области финансовой, кредитной, банковской, биржевой и валютной деятельности, порядок совершения операций на финансовом рынке (рынке капитала, рынке кредитных ресурсов, рынке ценных бумаг, валютном рынке), основы экономики хозяйствующего субъекта, внешнеэкономической деятельности, налогообложения, методику и методологию экономического анализа. Особо важно для финансового менеджера уметь читать бухгалтерский баланс, так как последний является конкретным отчетным документом, характеризующим использование финансовых средств хозяйствующего субъекта.

Финансовый менеджер должен уметь разбираться в финансовой информации (отечественной и зарубежной), анализировать результаты финансовой деятельности и эффективность мероприятий по вложению капитала, составлять финансовый план, рассчитывать и прогнозировать результаты от использования капитала, оценивать рациональность и эффективность разрабатываемых финансовых программ, составлять отчет по использованию финансовых ресурсов.

Обычно финансовый менеджер является наемным работником, который привлекается к управленческой деятельности по контракту. В контракте, заключенном между финансовым менеджером и руководителем-владельцем, оговариваются условия работы финансового менеджера, порядок и размер оплаты его труда. Финансовый менеджер как высший служащий кроме заработной платы может получать вознаграждение в виде процента от прибыли. Такое вознаграждение называется тантьема. Размер тантьемы определяется высшим органом управления хозяйствующего субъекта - собранием акционеров.

Финансовый менеджмент на предприятии предполагает, что управление финансовой деятельностью не может быть чисто бюрократическим, административным актом. Оно представляет собой творческую деятельность, которая активно реагирует на изменения, происходящие в окружающей среде. Финансовый менеджмент предполагает использование научных основ планирования и управления, финансового анализа, инноваций.

Финансовый менеджер на предприятии, управляя движением капитала, может направить его на увеличение производственных мощностей, а следовательно, выручки. При управлении движением финансовых ресурсов появляется возможность использовать их для снижения себестоимости и увеличения капитала. Вопрос, как искусно руководить этими движением и отношениями, составляет содержание финансового менеджмента. Финансовый менеджмент представляет собой процесс выработки цели управления финансами и осуществление воздействия на финансы с помощью методов и рычагов финансового механизма для достижения поставленной цели.

Таким образом, финансовый менеджмент включает в себя стратегию и тактику управления. Под стратегией в данном случае понимаются общее направление и способ использования средств для достижения поставленной цели. Этому способу соответствует определенный набор правил и ограничений для принятия решений. Стратегия позволяет сконцентрировать усилия на вариантах решения, не противоречащих принятой стратегии, отбросив все другие варианты. После достижения цели стратегия как направление и средство ее достижения прекращает свое существование. Новые цели ставят задачу разработки новой стратегии. Тактика - это конкретные методы и приемы для достижения поставленной цели в конкретных условиях. Задачей тактики управления является выбор наиболее оптимального решения и наиболее приемлемых в данной хозяйственной ситуации методов и приемов управления.

Итак, особенностью финансового менеджера на предприятии является то, что он занимается анализом прибыльности, учетом затрат, прогнозированием будущих финансовых результатов. Он же формирует стратегию и определяет финансовые потребности для ее осуществления. А бухгалтерия работает по строго определенной системе учета в соответствии с действующим законодательством. Работает с итогами за период, то есть с цифрами вчерашними и ничего общего с прогнозами не имеющими. Задача бухгалтерии - четкое соотношение деятельности компании с законами страны. Задача финансового менеджера - повышение рыночной стоимости компании. То есть это абсолютно разные направления работы, смешивать которые не стоит. Один специалист не может заниматься сразу двумя направлениями - это потребует не только дополнительного образования, но и огромного количества времени, энергии. Случаи эффективного соединения двух должностей в одном лице практике известны, но, к сожалению, их единицы.

Цена основных источников капитала

С позиций финансового менеджмента финансовый капитал предприятия представляет собой общую стоимость средств в денежной, материальной и нематериальной формах, инвестированных в формирование его активов.

Стоимость капитала - денежная сумма, которую нужно уплатить за получение имущественных прав в конкретных условиях места и времени.

Финансовый менеджер должен знать стоимость капитала своей компании по многим причинам:

1) стоимость собственного капитала, по сути, представляет собой отдачу на вложенные инвесторами в деятельность компании ресурсы и может быть использована для определения рыночной оценки собственного капитала и прогнозирования возможного изменения цен на акции фирмы в зависимости от изменения ожидаемых значений прибыли и дивидендов.

2) стоимость заемных средств ассоциируется с уплачиваемыми процентами, поэтому нужно уметь выбирать наилучшую возможность из нескольких вариантов привлечения капитала.

3) максимизация рыночной стоимости фирмы, что является основной задачей, стоящей перед управленческими персоналом, достигается в результате действия ряда факторов, в частности за счет минимизации стоимости всех используемых источников.

4) стоимость капитала является одним из ключевых факторов при анализе инвестиционных проектов.

Основная область применения стоимости капитала - оценка экономической эффективности инвестиций. Ставка дисконта, которая используется в методах оценки эффективности инвестиций, - это и есть стоимость капитала, который вкладывается в предприятие.

Ставка дисконта - это процентная ставка отдачи, которую предприятие предполагает получить на заработанные в процессе реализации проекта деньги. Поскольку проект разворачивается в течение нескольких будущих лет, предприятие не имеет твердой уверенности в том, что оно найдет эффективный способ вложения заработанных денег. Но оно может вложить эти деньги в свой собственный бизнес и получить отдачу, как минимум равную стоимости капитала. Таким образом, стоимость капитала предприятия - это минимальная норма прибыльности при вложении заработанных в ходе реализации проекта денег.

Обычно считается, что затраты на капитал - это альтернативная стоимость, иначе говоря, доход, который ожидают получить инвесторы от альтернативных возможностей вложения капитала при неизменной величине риска. В самом деле, если компания хочет получить средства, то она должна обеспечить доход на них, как минимум, равный величине дохода, которую могут принести инвесторам альтернативные возможности вложения капитала.

Любая компания нуждается в источниках средств, чтобы финансировать свою деятельность как с позиции перспективы, так и в плане текущих операций.

Общая сумма средств, которую нужно уплатить за использование определенного объема финансовых ресурсов, выраженная в процентах к этому объему, называется ценой капитала (cost of capital - СС).Экономическая интерпретация "цена капитала" достаточно очевидна. Он характеризует, какую сумму следует заплатить за привлечение единицы капитала из данного источника.

Следует отличать понятия "стоимость капитала фирмы" и "оценка капитала", "стоимость фирмы". В первом случае речь идет о некоторой специфической характеристике источника средств. Стоимость капитала количественно выражается в сложившихся в компании относительных годовых расходах по обслуживанию своей задолженности перед собственниками и инвесторами, т.е. это относительный показатель, измеряемый в процентах. Второе понятие может характеризоваться различными показателями, в частности, - величиной собственного капитала, стоимостью фирмы и др., т.е. некоторыми абсолютными показателями.

Эти понятия взаимосвязаны не только качественно, но и количественно. Так, если компания участвует в инвестиционном проекте, доходность которого меньше, чем цена капитала, то ее капитализированная стоимость по завершении этого проекта уменьшится. Таким образом, цена капитала является ключевым элементом теории и практики принятия решений инвестиционного характера.

На стоимость капитала оказывают влияние следующие факторы:

· уровень доходности других инвестиций;

· уровень риска данного капитального вложения;

· источники финансирования.

Для того чтобы определить общую стоимость капитала, необходимо сначала оценить величину каждой его компоненты. Обычно капитал компании состоит из собственного и заемного капитала.

Собственный капитал включает в себя:

· обыкновенные акции по текущей рыночной цене;

· привилегированные акции по текущей рыночной цене;

· внутренние источники средств (нераспределенная прибыль компании, амортизационные отчисления, отчисления в фонды предприятий).

Заемный капитал включает в себя:

· долгосрочные займы;

· краткосрочную задолженность;

· выпуск облигаций.

Рассматривая предприятия государственной формы собственности, работающие в рыночных условиях, мы выделяем две компоненты:

· собственный капитал в виде накопленной нераспределенной прибыли;

· заемный капитал в виде долгосрочных банковских кредитов.

Стоимость собственного капитала - это денежный доход, который хотят получить держатели обыкновенных акций. Обыкновенные акции играют решающую роль в формировании финансовых ресурсов компании. Их доля в уставном капитале не может быть меньше 75%. В большинстве акционерных обществ эта доля выше, так как, приобретая обыкновенную акцию, инвестор делает бессрочный вклад в уставной капитал, т.е. акционерное общество может свободно распоряжаться этим капиталом без опасения, что часть капитала придется вернуть по запросу акционеров. Акционерное общество может дополнительно выпускать акции только в пределах их объявленного числа с целью привлечения необходимых ресурсов для развития, модернизации и расширения производства, а не на покрытие понесенных убытков.

В зависимости от стадии выпуска акций в обращение и их оплаты принято различать: объявленные, размещенные и полностью оплаченные акции.

Различают несколько моделей, каждая из которых базируется на использовании информации, имеющейся в распоряжении того, кто оценивает капитал.

Модель прогнозируемого роста дивидендов. Расчет стоимости собственного капитала основывается на формуле

,


где Се - стоимость собственного капитала, Р - рыночная цена одной акции, D1 - дивиденд, обещанный компанией в первый год реализации инвестиционного проекта, g - прогнозируемый ежегодный рост дивидендов.

Данная модель применима к тем компаниям, величина прироста дивидендов которых постоянна. Если этого не наблюдается, то модель не может быть использована.

Ценовая модель капитальных активов (CAPM: Capital Assets Price Model). Использование данной модели наиболее распространено в условиях стабильной рыночной экономики при наличии достаточно большого числа данных, характеризующих прибыльность работы предприятия.

Модель использует существенным образом показатель риска конкретной фирмы, который формализуется введением показателя . Этот показатель устроен таким образом, что , если активы компании совершенно безрисковые (случай сколь желаемый, столь же редкий). Показатель равен нулю, например, для казначейских облигаций США. Показатель , если активы данного предприятия столь же рисковые, что и средние по рынку всех предприятий страны. Если для конкретного предприятия имеем: 0<<1, то это предприятие менее рисковое по сравнению со средним по рынку, если >1, то предприятие имеет большую степень риска.

Расчетная формула модели имеет вид

,

где - показатель прибыльности (отдачи) для безрискового вложения капитала, СМ - средний по рынку показатель прибыльности, - фактор риска.

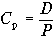
Модель прибыли на акцию. Данная модель оценки стоимости собственного капитала базируется на показателе прибыли на акцию, а не на величине дивидендов. Многие инвесторы считают, что именно показатель величины прибыли на акцию отражает реальный доход, получаемый акционерами, независимо от того, выплачивается ли он в виде дивидендов или реинвестируется с тем, чтобы принести инвесторам выгоды в будущем. Инвесторы пристально следят за показателем прибыли на одну акцию, который публикуется в отчетных документах компании, а управляющие компанией стремятся не создавать ситуаций, приводящих к падению этого показателя. Итак, согласно данной модели стоимость собственного капитала определяется по формуле

,

где П - величина прибыли на одну акцию, Р - рыночная цена одной акции.

Модель премии за риск. Данная модель занимает особое место, так как носит договорной характер. Договор заключается между предприятием и потенциальным инвестором о том, какая должна быть премия за риск вложения капитала. Если Сн - уровень отдачи на вложение денег инвесторам в обычные (номинальные) для него возможности, то стоимость капитала, вложенного в данное предприятие оценивается по формуле:

,

где RP - премия за риск.

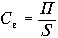
Для государственных предприятий из всех перечисленных выше моделей в большей мере подходит модель прибыли на акции при условии ее адаптации для условий государственного предприятия в условия самофинансирования. Стоимостью капитала в данном случае может служить отношение ежегодной прибыли предприятия к сумме его собственных средств, накопленных к рассматриваемому году.


,

где П - годовая прибыль предприятия, оставшаяся в его распоряжении,

S - сумма собственных средств предприятия по его балансу на конец года.

Модель определения стоимости привилегированных акций. Данная модель является весьма простой, поскольку доход на привилегированные акции устанавливается обычно весьма простым способом: по привилегированным акциям обычно выплачивается фиксированный дивиденд и сверх этого дивиденда, независимо от размера прибыли, ничего не выплачивается. Поэтому доходность по привилегированным акциям (стоимость привилегированных акций) рассчитывается по следующей формуле

,

где в - величина ежегодного дивиденда на акцию,

Р - рыночная цена одной акции.

В процессе своей деятельности предприятие использует заемные средства , получаемые в виде:

· долгосрочного кредита от коммерческих банков и других предприятий;

· выпуска облигаций, имеющих заданный срок погашения и номинальную процентную ставку.

В первом случае стоимость заемного капитала равна процентной ставке кредита и определяется путем договорного соглашения между кредиторами и заемщиком в каждом конкретном случае отдельно.

Во втором случае стоимость капитала определяется величиной выплачиваемого по облигации купона или номинальной процентной ставкой облигации, выражаемой в процентах к ее номинальной стоимости. Номинальная стоимость - это цена, которую заплатит компания - эмитент держателю облигации в день ее погашения. Разумеется, что срок, через который облигация будет погашена, указывается при их выпуске.

В момент выпуска облигации обычно продаются по их номинальной стоимости. Следовательно в этом случае стоимость заемного капитала Сd определяется номинальной процентной ставкой облигации iн

.

Однако в условиях изменения процентных ставок по ценным бумагам, которое является следствием инфляции и других причин, облигации продаются по цене, не совпадающей с номинальной. Поскольку предприятие - эмитент облигаций должно платить по ним доход, исходя из номинальной процентной ставки и номинальной стоимости акции, реальная доходность облигации изменяется: увеличивается, если рыночная цена облигации падает по сравнению с номинальной, и уменьшается в противном случае.

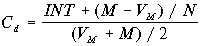
Для оценки реальной доходности облигации (стоимости заемного капитала) используем модель современной стоимости облигации

,

где INT - ежегодная процентная выплата по облигации, М - номинальная стоимость облигации, VB - современная (настоящая) стоимость облигации, N - количество периодов (лет) до погашения облигации, rВ - процентная ставка по облигации.

В качестве реальной доходности облигации (или стоимости заемного капитала, основанного на облигациях данного типа) используется конечная доходность облигации , то есть такая процентная ставка, которая позволяет, купив облигацию сейчас по текущей рыночной цене, получать доход на облигацию, объявленный в контракте на ее выпуск, и номинальную стоимость облигации на момент ее погашения.

В обозначениях формулы для расчета стоимости заемного капитала Cd используется уравнение:

,

где VМ - текущая рыночная цена облигации,

N - количество лет, оставшихся до погашения облигации.

Результат близкий к использованию данного уравнения дает следующая приближенная формула

.

Если компания хочет привлечь заемный капитал, то она должна будет выплачивать по привлеченным средствам процентный доход, как минимум равный конечной доходности по существующим облигациям. Таким образом, конечная доходность будет представлять собой для компании стоимость привлечения дополнительного заемного капитала. Если у компании есть избыточные средства, то она может использовать их на покупку существующих облигаций по их рыночной стоимости. Сделав это компания получит доход, равный доходу, который бы получил любой другой инвестор, если бы он купил облигации по их рыночной стоимости и держал их у себя до момента погашения. Если компания по другому инвестирует избыточные средства, то она отказывается от альтернативы погашения облигации, выбирая по крайней мере столь же прибыльную альтернативу. Конечная доходность облигации - это альтернативная стоимость решения об инвестировании средств. Таким образом, независимо от того, имеются ли у компании избыточные средства или она нуждается в их притоке,конечная доходность по существующим облигациям представляет собой стоимость заемных средств .

Литература

1. Ануфриев В. Е. Учет капитала предприятия/Бухгалтерский учет. 2001. №5. 2. Балабанов И.Т. Основы финансового менеджмента. Как управлять капиталом. - М.: Финансы и статистика, 2006.

3. Бланк И.А. Финансовый менеджмент: учебный курс. - К.: Ника-Центр, 2007.

4. Ковалев В. В. Модели анализа и прогнозирования источников финансирования./Бухгалтерский учет. - 2000. №7.

5. Крейнина М.Н. Цели и задачи финансового менеджмента. // Менеджмент в России и за рубежом. - 2006.

6. Литовских А.М. Финансовый менеджмент. Таганрог: Изд-во ТРТУ, 2008.

7. Мамедов А. О. Международный финансовый менеджмент в условиях формирования финансового рынка/ А. О. Мамедов// Финансовый бизнес 2007 №4.

8. Е. Н. Миллер. Финансы, экономика, бизнес. Учебник. - С-Пб.: 2001 .

9. Черногорский С.А., Гарушкин А.Б. Основы финансового анализа. - СПб.: Издательский дом Гетда, 2002.