Курсовая работа: Эффективность инвестиций на предприятии "Балтрезерв"
|
Название: Эффективность инвестиций на предприятии "Балтрезерв" Раздел: Рефераты по финансовым наукам Тип: курсовая работа | ||||||||||||||||||||||||||||||||||||||||||||||||||||||||||||||||||||||||||||||||||||||||||||||||||||||||||||||||||||||||||||||||||||||||||||||||||||||||||||||||||||||||||||||||||||||||||||||||||||||||||||||||||||||||||||||||||||||||||||||||||||||||||||||||||||||||||||||||||||||||||||||||||||||||||||||||||||||||||||||||||||||||||||||||||||||||||||||||||||||||||||||||||||||||||||||||||||||||||||||||||||||||||||||||||||||||||||||||||||||||||||||||||||||||||||||||||||||||||||||||||||||||||||||||||||||||||||||||||||||||||||||||||||||||||||||||||||||||||||||||||||||||||||||||||||||||||||||||||||||||||||||||||||||||||||||||||||||||||||||||||||||||||||||||||||||||||||||||||||||||||||||||||||||||||||||||||||||||||||||||||||||||||||||||||||||||||||||||||||||||||||||||||||||||||||||||||||||||||||||||||||||||||||||||||||||||||||||||||||||||||||||||||||||||||||||||||||||||||||||||||||||||||||||||||||||||||||||||||||||||||||||||||||||||||||||||||||||||||
Введение Проблема привлечения инвестиций и осуществления инвестиционных проектов является необычайно актуальной для подавляющего большинства российских предприятий. Актуальность объясняется необходимостью обновления основных фондов, вводом новых мощностей и освоением новых видов производств и деятельности. Осуществление инвестиционных проектов является одним из главных направлений развития предприятия. Благодаря инвестициям расширяются объемы производства, осваиваются новые виды деятельности, поддерживается конкурентоспособность предприятия и требуемый уровень технологического развития. Целью данной курсовой работы является рассмотрение особенностей инвестирования в реальные активы и капиталовложений, а также проведение анализа конкретного инвестиционного проекта, способа его финансирования, определение его эффективности. Это необходимо, для того чтобы определить целесообразность осуществления данного проекта и для принятия управленческого решения о включении данного проекта в инвестиционный план. Весьма существен фактор риска. Инвестиционная деятельность всегда осуществляется в условиях неопределенности, степень которой может значительно варьировать. Так, в момент приобретения новых основных средств никогда нельзя точно предсказать экономический эффект этой операции. Поэтому нередко решения принимаются на интуитивной основе. Чтобы избежать этого, в данной работе будет дана подробная технико- и финансово-экономическая характеристика предприятия, разработана бизнес идея инвестиционного проекта, а также рассчитаны основные инвестиционные показатели, необходимые для принятия верного решения. В главе 1 приведена общая информация о предприятии: виды деятельности, организационная структура предприятия. Также проведен анализ обобщающих показателей деятельности и представлен финансовый анализ предприятия. В главе 2 приведена оценка экономической эффективности данного инвестиционного проекта, его сущность. Для этого в работе проведен расчет ряда показателей, которые позволяют сделать вывод об экономической целесообразности осуществления данного инвестиционного проекта. 1. Информационная база проведения анализа инвестиционного проекта 1.1 Технико-экономическая характеристика ООО» Балтрезерв» Общество с ограниченной ответственностью «Балтрезерв» является промышленным предприятием. Отраслью деятельности предприятия является производство различной трубопроводной арматуры. Директор является руководителем предприятия, занимается стратегическим управлением. Ему непосредственно подчиняются руководители подразделений, такие как главный инженер, заместитель директора по коммерческим вопросам, начальник производственного отдела, главный бухгалтер. Главный инженер занимается техническим обеспечением деятельности предприятия. Технический отдел и отдел технического контроля следят за исправностью оборудования и инструмента, используемого в производстве и подчиняются непосредственно главному инженеру. Заместитель директора по коммерческим вопросам координирует деятельность по снабжению необходимыми материалами и вопросы сбыта продукции. В его обязанности входит работа с контрагентами предприятия, как с поставщиками, так и покупателями. Также он занимается маркетингом и рекламой продукции среди целевой аудитории, используя ресурсы коммерческого отдела. Производственный отдел, возглавляемый его начальником, занимается непосредственно производственной деятельностью Финансово-экономический отдел возглавляет главный бухгалтер. Он координирует деятельность бухгалтерии и отделов планирования и программирования. В обязанности бухгалтерии входит оперативный учет и составление бухгалтерской отчетности. Отделы планирования и программирования занимаются разработкой перспективных экономических планов и программ. Как уже было сказано, основным видом деятельности ООО «Балтрезерв» является выпуск трубопроводной арматуры. Перечень ассортимента продукции выглядит следующим образом:
Материалы и комплектующие на 80% закупаются в России, недостающие материалы и комплектующие импортируется из ближнего зарубежья. Основными потребителями продукции эмитента являются предприятия всех форм собственности России, в том числе и Калининградской области. Основные показатели деятельности предприятия за отчетный период приведены в следующей таблице: Табл. 1. Основные показатели деятельности ООО «Балтрезерв»
Как видно из таблицы 1, в 2009 году произошло увеличение объема производства и реализации продукции. Об этом свидетельствует увеличение выручки и себестоимости на 10,8 и 11,65% соответственно. Прибыль предприятия также возросла – на 5,42%. Стоимость ОПФ увеличилась на 791,5 тыс. руб., численность работников снизилась на 2 человека, что вкупе с увеличением выручки привело к увеличению отдачи от использованию основных средств и увеличению показателя производительности труда. Рентабельность продукции немного снизилась по причине превышения темпа роста себестоимости над темпом роста прибыли. 1.2 Методы оценки эффективности инвестиционных проектов Метод чистой приведенной стоимости. Методом, наиболее полноценно учитывающим не равноценность разновременных финансовых потоков, базирующимся на концепции потока наличности, а также позволяющим сравнивать различные по времени варианты реализации проекта является метод оценки проектов по критерию чистой приведённой стоимости. Его целесообразно применять, прежде всего, при оценке проектов, предусматривающих крупные денежные вложения. Значение чистого потока денежных средств за время жизни проекта, приведенное в сопоставимый вид в соответствии с фактором времени, есть показатель, называемый чистой приведенной стоимостью проекта (NPV–NetPresentValue).В общем виде формула расчета выглядит следующим образом: NPV = Величину PV можно определить по формуле: PV = Где В таком случае получим:
О степени эффективности вложения средств в данный проект говорит полученная величина NPV. Очевидно, что если: NPV > 0, то проект следует принять; NPV < 0, то проект следует отвергнуть; NPV = 0, то проект ни прибыльный, ни убыточный. Иными словами, критерий приемлемости таков: проект будет принят, если текущая стоимость притоков денежных средств превышает текущую стоимость их оттоков. При прогнозировании доходов по годам необходимо учитывать все виды поступлений и выплат по проекту как производственного, так и непроизводственного характера: амортизационные отчисления, высвобожденные оборотные средства, поступления от ликвидации либо продажи оборудования по окончанию проекта, которые должны включаться в доходы соответствующих периодов. В тех случаях, когда денежный поток поступает равномерно в течении реализации проекта, величину PV определяют так:
Где А – величина единовременного платежа
Тогда:
Если проект предполагает не разовую инвестицию, а последовательное инвестирование ресурсов в течении нескольких лет, формула расчета NPV примет следующий вид:
где m – число лет инвестирования Преимущества данного метода: – учитывает временную ценность денег (фактор времени); – даёт стоимостное выражение приращения (уменьшения) капитала, что позволяет оценивать не только отдельные проекты, но и их комбинации (свойство аддитивности). Недостатки метода: – при сравнении инвестиционных проектов с разными по объёмам инвестициям можно сделать неверный выбор. – NPV не учитывает период возврата вложенных средств, поэтому его расчет следует дополнять другими показателями – NPV в явном виде не показывает, какими инвестиционными усилиями достигнут результат. Индекс рентабельности и коэффициент эффективности инвестиций . Рентабельность инвестиций может быть измерена двумя способами – с учетом фактора времени (т.е. с дисконтированием членов потока платежей) и бухгалтерским. В обоих случаях доход сопоставляется с размером инвестиций. Индекс рентабельности (PI) проекта представляет собой отношение суммы всех дисконтированных денежных доходов от инвестиций к сумме всех дисконтированных расходов. Если индекс рентабельности равен или меньше 1, то проект следует отклонить; среди проектов, у которых больше 1, следует отдать предпочтение проекту, имеющему наибольший индекс рентабельности. Не всегда проект с самым высоким индексом рентабельности будет иметь и самую высокую чистую приведенную стоимость. Таким образом, индекс рентабельности не является однозначным критерием эффективности проекта, поэтому его использование при оценке взаимоисключающих проектов может привести к ошибочным результатам. Обычно расчет индексам рентабельности дополняет расчет чистой современной стоимости с целью выбора проекта, дающих максимальную стоимость дохода на единицу затрат. Для расчета индекса рентабельности при разовом вложении средств используются следующие формулы:
Если проект предполагает не разовую инвестицию, а последовательное вложение финансовых ресурсов в течении нескольких лет формула расчета модифицируется:
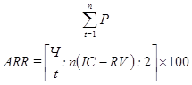
Использование индекса рентабельности бывает полезным, когда существует возможность финансирования нескольких проектов, но инвестиционные ресурсы предприятия ограничены. В подобных условиях оптимальный портфель инвестиций можно получить путем последовательного включения проектов в порядке убывания индексов рентабельности. Показатель бухгалтерской (учетной) нормы рентабельности (ARR), называемый коэффициентом эффективности инвестиций имеет две характерные черты: он не предполагает дисконтирования показателя дохода и инвестиций; доход характеризуется показателем чистой прибыли. Коэффициент эффективности инвестиций ARR рассчитывается как отношение среднегодовой суммы чистой прибыли к средней величине инвестиций. Средняя величина инвестиций составляет 50% исходной суммы капитальных вложений, если по истечении срока реализации проекта все капитальные затраты будут списаны; если допускается наличие остаточной или ликвидационной стоимости, то эту величину исключают. Формула расчета коэффициента эффективности инвестиций:
где RV – остаточная или ликвидационная стоимость оборудования Методика расчета коэффициент эффективности инвестиций достаточно проста, что обуславливает широкое использование его на практике. Однако он имеет определенные недостатки: учетная норма рентабельности игнорирует временную оценку денежных вложений; она основывается на учетной прибыли вместо денежных потоков. Внутренняя норма доходности. Важным показателем для оценки эффективности производственных инвестиций является внутренняя норма доходности (IRR), представляющая процентную ставку, при которой чистая современная стоимость инвестиционного проекта равна 0. Это означает, что современная стоимость проекта PV равна по абсолютной вличина первоначальным инвестициям IC, следовательно они окупаются. Реализация любого инвестиционного проекта требует привлечения финансовых ресурсов из различных источников, за которые необходимо платить. Например за заемные средства платят проценты, за привлеченный капитал – дивиденды. Предприятие всегда несет определенные расходы при осуществлении инвестиционного проекта. Показатель, характеризующий относительный уровень этих расходов определяет цену использованного (авансированного) капитала (CC). При финансировании проекта из различных источников этот показатель определяют как среднюю арифметически взвешенную величину. Экономический смысл этого показателя заключается в том, что предприятие может принимать любые решения инвестиционного характера, если уровень их рентабельности не ниже текущего значения показателя СС. Именно с ним сравнивается показатель IRR, рассчитанный для конкретного проекта. Если IRR > СС, то проект следует принять. Если IRR < СС, то проект следует отклонить, если Практическое применение данного метода сводится к последовательной итерации, с помощью находится ставка дисконтирования, обеспечивающая равенство между суммами дисконтированных доходов и инвестиций. (NPV = 0). Точность вычислений обратно пропорционально длине интервала (r1, r2), поэтому наилучший результат достигается, когда она минимальна (равна 1%), т.е. когда r1 и r2 ближайшие к друг другу значения. Показатель IRR, рассчитанный в процентах, позволяет выявить разницу между прогнозированной внутренней нормой окупаемости проекта и требуемой доходностью. Это разница представляет запас прочности, позволяющий сопоставить доходность инвестиций и риск. Если внутренняя норма окупаемости инвестиционного проекта равна 30%, а требуемая доходность составляет 15%, то большая разница позволяет сделать скидку на возможные ошибки. Вместе с тем показательно внутренней нормы доходности меет ряд недостатков. В отличие от NPV он предполагает реинвестирование получаемых доходов по ставке IRR, что вряд ли осуществимо в реальной практике. Кроме того, это показатель может иметь несколько значений чередований притоков и оттоков денежных средств по одному инвестиционному проекту, например в случае капитального ремонта или модернизации оборудования. Определение срока окупаемости инвестиций. Срок окупаемости инвестиций PP определяет продолжительность времени, необходимого для возмещения первоначальных инвестиционных затрат. Срок окупаемости может определяется в двух вариантах: на основе дисконтированных членов потока платежей (Пок), т.е. с учетом фактора времени, и без дисконтирования (Пу). Величина Пок характеризует число лет, необходимое для того, чтобы сумма дисконтирования на момент окончания инвестиций чистых доходов была равна размеру инвестиций. Показатель Пу не учитывает фактора времени, т.е. равные суммы дохода, получаемые в разное время, рассматривается как равноценные. В этом случае срок окупаемости определяется как отношение суммы инвестиций к средней ожидаемой величине поступаемых доходов: Пу =IC: CF Такой расчет оправдан при незначительных колебаниях годовых отходов в относительно средней. Если поступления заметно меняются во времени, срок окупаемости определяется последовательным суммированием дохода до тех пор пока суммы чистого дохода не окажется равной величине инвестиций. Более обоснованным является метод определения срока окупаемости с учетом фактора времени. Для данного момента под сроком окупаемости понимается продолжительность периода, в течении которого происходит полная компенсация инвестиций поступающими доходами с дисконтированием обоих потоков по определенной процентной ставке:
где m – срок завершения инвестиций Когда капитальные вложения единовременны, а поток поступлений постоянен и дискретен (постоянная ограниченная рента), из условий полной окупаемости за год за срок Пок при заданной процентной ставке r следует равенство суммы капитальных вложений и современной стоимости ренты:
Откуда:
Аналогичным образом находятся дисконтные сроки окупаемости для других видов регулярных поступлений дохода. В каждом случае капитальные вложения приравниваются к современной стоимости соответствующих финансовых рент. Так, для Р – срочной ренты постнумерандо получен:
Для непрерывного постоянного потока денежных доходов используют следующую формулу:
где е – основание натурального логарифма δ – ставка непрерывных процентов, или сила роста Основной недостаток показателя Пок, как меры эффективности проекта, заключается в том, что он не учитывает весь период функционирования инвестиций и, как следствие, на него не влияет та отдача, которая лежит за пределами срока окупаемости. В связи с этим, показатель срока окупаемости не должен служить критерием отбора инвестиционных проектов, а может лишь использоваться в виде ограничения при принятии решений. Например, когда руководство предприятия в большей степени озабочено решением проблемы ликвидности, а не прибыльностью проекта, т.е. тем, чтобы инвестиции окупились как можно скорее. Этот показатель пригоден в ситуации, когда инвестиции сопряжены с высокой степенью риска, поэму чем короче срок окупаемости, тем менее рискованным является проект. Если срок окупаемости больше, чем принятые ограничения, деятельности проекта, то его исключают из списка альтернативных. В отечественной практике до последнего времени используется следующие показатели оценки эффективности инвестиционных проектов, исчисляемых без учета фактора времени (не дисконтированные). 1) коэффициент сравнительной экономической эффективности Кэ, определяемой по формуле:
S1, S2 – себестоимость продукции до и после осуществления капиталовложений IC1, IC2 – старые и новые капитальные вложения Этот показатель применяется для обоснования нового строительства. В качестве базы сравнения используются данные аналогичного производства. Кэ используется в случае замены старого оборудования (IC1) более производительным новым оборудованием IC2. При этом предлагается, что себестоимость продукции на старом оборудовании больше, чем на новом (S1 > S2), а стоимость старого инвестирования меньше новых капитальных вложений (IC1 < IC2). Принято сравнивать значение Кэ с нормативной величиной эффективности Ен, которая меньше или равна коэффициента сравнительной экономической эффективности. Если решается проблема выбора альтернативных инвестиционных проектов, то принимается вариант с наибольшим Кэ превышающим норматив. 2) Показатель минимума произведенных затрат (Пз), представляющих сумму начальных инвестиционных затрат и текущих расходов, приведенных к одинаковой размерности в соответствии с нормативным показателем эффективности.
S – текущие затраты 3) Показатель максимума приведенной прибыли Р. Исчисляется по формуле:
Комплексное использование традиционных российских аналитических и дисконтных показателей позволяет свести к минимуму инвестиционный риск и снизить ошибки в принятии решений. Оптимизация управленческих решений, связанных с долгосрочным инвестирование основано на анализе капитальных вложений с учетом влияния инфляции на эффективность инвестиций. 1.3 Организация учётно-аналитической работы ООО» Балтрезерв» На ООО «Балтрезерв» несколько отделов и служб занимаются проведением аналитической работы в пределах своей компетенции. Основную работу по проведению экономического анализа выполняет финансово-экономический отдел. Он состоит из бухгалтерии, отдела планирования и отдела программирования. Финансово-экономический отдел возглавляет главный бухгалтер. Бухгалтерия анализирует себестоимость работ и услуг, выполнение плана прибыли и ее использование, финансовое состояние, платежеспособность предприятия, анализирует уровень организации труда, выполнение плана мероприятий по повышению его уровня, обеспеченность предприятия трудовыми ресурсами по категориям и профессиям, уровень производительности труда, производит расчеты с работниками и служащими по заработной плате. Главный экономист занимается составлением статистической отчетности и проводит анализ деятельности предприятия за отчетный период. Бухгалтерия объединяет несколько бухгалтеров, каждый из которых занимается отдельным направлением учета – учет основных средств, учет материальных ресурсов, учет заработной платы и т.п. Отделы планирования и прогнозирования занимаются анализом финансовой отчетности и разработкой различных экономических планов и программ. Главный бухгалтер координирует деятельность финансово-экономических служб, оценивает финансовое состояние организации. Технический отдел и отдел технического контроля следят за состоянием используемого в работе оборудования, за эффективностью его работы. Отдел материально-технического снабжения контролирует своевременность и качество материально-технического обеспечения производства, выполнение плана поставок по объему, номенклатуре, срокам, качеству, состояние и сохранность складских запасов, соблюдение транспортно-заготовительных расходов и др. Отдел сбыта контролирует выполнение договоров с покупателями продукции. Деятельность отделов контролирует заместитель директора по коммерческим вопросам. Производственный отдел производит контроль и анализ качества выпускаемой продукции, сроки производства, занимается другими вопросами, связанными непосредственно с анализом производимой продукции. В соответствии с учетной политикой ООО «Балтрезерв» бухгалтерский и налоговый учет на предприятии ведется бухгалтерией. Организация ведет учет с использованием компьютерной техники и бухгалтерской программы. Порядок проведения инвентаризации: инвентаризация материалов, товарных запасов и расчетов проводится в случаях, предусмотренных законодательством. Инвентаризация основных средств проводится раз в три года. Учет выручки в целях исчисления НДС осуществляется методом начисления по отгрузке. Метод учета доходов и расходов: в налоговом учете доходы и расходы учитываются методом начисления. Учет основных средств: амортизация основных средств в бухгалтерском и налоговом учете начисляется линейным методом. Списание МПЗ: фактическая стоимость приобретенных материалов в бухучете отражается на счете 10 «Материалы». В бухгалтерском и налоговом учете материалы списываются по средней себестоимости. Отчетным периодом является квартал. По истечении квартала выводятся финансовые результаты (прибыль, убытки) от реализации, внереализационных операций 1.4 Информационная база анализа экономической эффективности инвестиций Инвестиционные проекты, анализируемые в процессе составления бюджета капитальных вложений, имеют определенную логику. ¨ С каждым инвестиционным проектом принято связывать денежный поток (CashFlow), элементы которого представляют собой либо чистые оттоки (NetCashOutflow), либо чистые притоки денежных средств (NetCashInflow). Под чистым оттоком в k-м году понимается превышение текущих денежных расходов по проекту над текущими денежными поступлениями (при обратном соотношении имеет место чистый приток). Денежный поток, в котором притоки следуют за оттоками, называется ординарным. Если притоки и оттоки чередуются, денежный поток называется неординарным. ¨ Чаще всего анализ ведется по годам, хотя это ограничение не является обязательным. Анализ можно проводить по равным периодам любой продолжительности (месяц, квартал, год и др.). При этом, однако, необходимо помнить о сопоставимости величин элементов денежного потока, процентной ставки и длины периода. ¨ Предполагается, что все вложения осуществляются в конце года, предшествующего первому году реализации проекта, хотя в принципе они могут осуществляться в течение ряда последующих лет. ¨ Приток (отток) денежных средств относится к концу очередного года. ¨ Коэффициент дисконтирования, используемый для оценки проектов с помощью методов, основанных на дисконтированных оценках, должен соответствовать длине периода, заложенного в основу инвестиционного проекта (например, годовая ставка берется только в том случае, если длина периода – год). Необходимо особо подчеркнуть, что применение методов оценки и анализа проектов предполагает множественность используемых прогнозных оценок и расчетов, которые необходимо брать из достоверных источников и законодательных актов. Государство применяет различные методы государственного регулирования инвестиционной деятельности. Прежде всего государство оказывает регулирующее влияние на инвестиционную деятельность в следующих формах: 1) посредством издания законов и подзаконных нормативных актов; 2) посредством прямого управления государственными инвестициями; 3) принятием государственных инвестиционных программ; 4) посредством особого регулирования государственной деятельности; 5) экономическими методами регулирования инвестиционной деятельности являются: ♦ налогообложение; ♦ участие государственных органов в инвестиционной деятельности; ♦ создание свободных экономических зон; ♦ распределение и перераспределение финансовых ресурсов; ♦ кредитно-финансовый механизм (предоставление кредитов, %). Инвестиционная деятельность в РФ регулируется системой законов и нормативных актов. В качестве законов, регулирующих инвестиционную деятельность, выступают: 1. Конституция Российской Федерации. 2. Градостроительный кодекс РФ. 3. Гражданский кодекс РФ, часть первая и вторая. 4. Закон о налогообложении: Налоговый кодекс, часть вторая (2001 г.). Основополагающее значение для регулирования инвестиций и инвестиционного процесса в России имеют следующие Законы: 1. Федеральный закон от 25 февраля 2003 г. №39-ФЗ «Об инвестиционной деятельности в Российской Федерации, осуществляемой в форме капитальных вложений». 2. Градостроительный кодекс РФ. 3. Гражданский кодекс РФ. 4. Федеральный закон «О лицензировании отдельных видов деятельности» от 25 сентября 1998 г. 5. Федеральный закон «Об ипотеке (залоге недвижимости)» №102-ФЗ. 7. Земельный кодекс Российской Федерации (2002 г.). Федеральный закон «Об инвестиционной деятельности в Российской Федерации, осуществляемой в форме капитальных вложений» №39-ФЗ определяет: ♦ основы градостроительной политики; ♦ порядок разработки градостроительных нормативов и градостроительной документации; ♦ права и обязанности субъектов (участников градостроительной деятельности). Градостроительный кодекс регулирует отношения в области системы расселения, градостроительного планирования, застройки, благоустройства городов и сельских поселений, сохранения объектов историко-культурного наследия и охраны окружающей среды в целях обеспечения благоприятных условий проживания населения. В Гражданском кодексе РФ установлен перечень юридических лиц, в том числе для инвестиционной деятельности. Регулируются вопросы строительного подряда, подрядных работ для государственных нужд, регулируются правила расчетов. Через налоговое законодательство государственные органы оказывают влияние на инвестиционную деятельность путем дифференцирования налоговых ставок и льгот. 2. Анализ экономической эффективности инвестиционного проекта 2.1 Оценка влияния факторов инфляции на анализируемую отчетность «ООО Балтрезерв»
2.2 Анализ финансового состояния организации, как субъекта инвестиций Анализ результативности деятельности организации .Основными задачами анализа финансовых результатов деятельности организации являются: – оценка динамики абсолютных и относительных показателей финансовых результатов (прибыли и рентабельности); – факторный анализ прибыли о реализации продукции (работ, услуг); – анализ уровня деловой активности; – анализ движения денежных средств. За отчетный период доходы и поступления организации увеличились на 11,91%. Что касается структуры доходов, выручка увеличилась на 10,8%, прочие доходы – на 66,96%. Благодаря такому значительному росту прочих доходов их удельный вес в общем объеме доходов вырос на 0,97%. Общий объем расходов за 2009 год увеличился на 12,28%. При этом в структуре расходов выделяется увеличение удельного веса текущего налога на прибыль и прочих расходов при одновременном снижении удельного веса себестоимости. Также необходимо отметить уменьшение коммерческих расходов, что является положительным фактором и свидетельствует о том, что предприятие оптимизировало свои расходы на сбыт и продажу продукции. Прибыль от продаж увеличилась на 7,75%. При этом чистая прибыль предприятия за прошедший год увеличилась на 16,2% и по темпам роста превзошла прибыль от продаж. Это стало возможным благодаря значительному увеличению прочих доходов при незначительном росте прочих расходов. Факторный анализ прибыли от продаж проводится на основе данных табл. 3: Табл. 3. Показатели деятельности ООО» Балтрезерв»
Рентабельность продаж 2008 года: R0 = 11003 тыс. руб./106369 тыс. руб. = 0,10 Данный показатель свидетельствует о том, что в 2008 г. с каждого рубля выручки предприятие получило 10 копеек прибыли от продаж. 1) Расчет влияния на прибыль от продаж изменения продажных цен на продукцию. Индекс цен = (100%+8%)/100% = 1,08 Выручка отчетного периода в базисных ценах: В1 (ц0) = 117859 тыс. руб./1,08 = 109128,7 тыс. руб. Изменение прибыли за счет изменения цен: ∆Приб(ц) = (117859 тыс. руб. – 109128,7 тыс. руб.) * 0,1 = 973 тыс. руб. Таким образом, за счет роста продажных цен прибыль в 2009 г. увеличилась на 973 тыс. руб. 2) Расчет влияния на прибыль от продаж изменения объема реализации: ∆ Приб(в) = (109128,7 – 106369) тыс. руб. * 0,1 = 375 тыс. руб. За счет увеличения физического объема реализации прибыль от продаж возросла на 375 тыс. руб. 3) Расчет влияния на прибыль от продаж изменения уровня себестоимости продукции ∆ Приб(усс) = -117859 тыс. руб.*(0,8406 – 0,8312) = -1142 тыс. руб. За счет увеличения себестоимости прибыль от продаж снизилась на 1142 тыс. руб. 4) Расчет влияния на прибыль от продаж изменения уровня коммерческих расходов: ∆ Приб(укр) = -117859 тыс. руб. *(0,0289 – 0,0327) = 647 тыс. руб. За счет снижения коммерческих расходов прибыль от продаж увеличилась на 647 тыс. руб. ∆ Приб = ∆Приб(ц) + ∆ Приб(в) + ∆ Приб(усс) + ∆ Приб(укр) = 853 тыс. руб. Важным элементом анализа финансовых результатов является факторный анализ рентабельности собственного капитала по формуле фирмы Дюпон. Рентабельность собственного капитала рассчитывается: ROE = ЧП/СК= (ЧП/В)*(В/А)*(А/СК), где ЧП – чистая прибыль соответствующего периода; В-выручка; А – сумма активов предприятия; СК – собственный капитал. I подстановка (2008 г.) : ROE = (ЧП/В)*(В/А)*(А/СК) = (7426/106369)*(106369/63730)*(63730/59444)*100% = 12,49% II подстановка : ROE = (ЧП1/В1)*(В/А)*(А/СК) = (8629/117859)* *(106369/63730)*(63730/59444)*100% = 13,1% IIп – Iп = 13,1% – 12,49% = 0,61% (ΔROE(ЧП/В)) – произошло увеличение рентабельности собственного капитала за счет увеличения рентабельности продаж. III подстановка : ROE = (ЧП1/В1)*(В1/А1)*(А/СК) = (8629/117859)*(117859/71910)* *(63730/59444)*100% = 12,86% IIIп – IIп = 12,86% – 13,1% = – 0,24% (ΔROE(В/А)) – произошло снижение рентабельности собственного капитала из-за снижения ресурсоотдачи. IV подстановка (2009 г.): ROE1 = (ЧП1/В1)*(В1/А1)*(А1/СК1) = (8629/117859)*(117859/71910)*(71910/68070) = 12,67% IVп-IIIп = 12,67% – 12,86% = -0,19% (ΔROE(А/СК)) – произошло снижение рентабельности собственного капитала под влиянием снижения коэффициента финансовой зависимости. +-ΔROE (ЧП/В) + – ΔROE (В/А) + – ΔROE (А/СК) = ROE1 – ROE = 12,67% – 12,49% = 0,18%. Таким образом, за 2009 год рентабельность собственного капитала увеличилась на 0,18%. Анализ рентабельности в разрезе трех видов деятельности (текущей, инвестиционной и финансовой)
Анализ проводится на основе данных формы №1 «Бухгалтерский баланс» (приложение №1) и формы №2 «Отчет о прибылях и убытках» (приложение №2). В целом, за 2009 год рентабельность текущей деятельности организации незначительно снизилась. Рентабельность продаж упала на 0,28%, что свидетельствует о том, что в 2009 г. предприятие с каждого рубля выручки стало получать на 0,28 коп. прибыли от продаж меньше, чем в предыдущем году. Рентабельность продукции также снизилась – на 0,41%. Так, если в 2008 г. на каждый затраченный на производство продукции рубль приходилось 11,97 коп. прибыли от продаж, то в 2008 г. – 11,56 коп. Удельная валовая прибыль стала меньше за год на 0,66%, т.е. с каждого рубля выручки предприятие получило на 0,66 коп. валовой прибыли меньше, чем в 2008 г. Все это является отрицательной тенденцией и говорит о том, что темпы роста прибыли от продаж меньше темпов роста выручки. Удельная чистая прибыль выросла на 0,34%, т.е. с каждого рубля выручки организация получила на 0,34 коп. чистой прибыли больше. Это связано с ростом чистых операционных и внереализационных доходов. Рентабельность инвестиционной деятельности предприятия выросла. Показатель рентабельности активов вырос на 0,35%, фондорентабельность – на 4,84%. Это говорит о том, что на каждый рубль активов и основных фондов в 2008 г. приходилось на 0,35 и 4,84 коп. чистой прибыли больше соответственно. Данный факт является положительным и свидетельствует о более высоких темпах роста прибыли по отношению к темпам роста активов, особенно основных фондов. Увеличилась также рентабельность финансовой деятельности. Исходя из того, что рентабельность собственного капитала возросла на 0,19%, можно сказать, что за отчетный период с каждого рубля собственных средств организация получила на 0,19 коп. чистой прибыли больше по сравнению с предыдущим годом. В связи с отсутствием займов и банковских кредитов рентабельность заемного капитала рассчитать не представляется возможным. Рентабельность привлеченного капитала имеет очень высокий показатель и за год она только увеличилась – на 52,03%. Т.е. на каждый рубль привлеченных средств приходится на 52 коп. прибыли от продаж больше, чем в в 2008 г. Это связано с ростом прибыли и уменьшением объема привлеченных средств в балансе предприятия. Также существуют относительные показатели финансовой устойчивости организации (рассчитываются на основе форм №1 и №2 (приложения №1 и №2)): Табл. 4. Относительные показатели финансовой устойчивости за 2009 г.
Коэффициент обеспеченности собственными оборотными средствами вырос за год с 0,9 до 0,92. Это значит, что в 2008 г. оборотные активы покрывались на 90% за счет собственного капитала, а в 2009 г. – на 92%. Это является положительной тенденцией. Коэффициент постоянного актива уменьшился на 0,03. Это говорит о том, что внеоборотные активы составляют 26% от всего объема собственного финансирования с учетом долгосрочных источников, уменьшившись за год на 3%. Это означает, что организация финансирует оборотные активы активнее, чем приобретение новых внеоборотных. Коэффициент автономии вырос на 0,02, что говорит о том, что доля собственных источников в общем объеме финансирования выросла на 2%. Коэффициент финансовой зависимости является обратным показателем коэффициента автономии и его снижение на 2% также свидетельствует об увеличении финансовой независимости организации. Коэффициент финансовой устойчивости вырос за год с 0,95 до 0,97. Это говорит о том, что доля долгосрочных источников финансирования в общем объеме увеличилась на 2%. Увеличение коэффициентов маневренности собственного капитала с учетом долгосрочных заемных источников финансирования и коэффициента маневренности собственного капитала на 2% свидетельствует о том, что доля долгосрочных источников, направленных на финансирование оборотных активов, в общем их объеме увеличилась на 2%. Коэффициент финансовой активности снизился за год на 0,016. Данный факт свидетельствует о снижении финансового левериджа на 0,016, т.е. о снижении доли заемных средств по отношению к собственным на 0,016. С учетом того, что предприятие и так не активно на финансовом рынке, этот факт вряд ли можно считать положительной тенденцией. В целом из данных таблицы видно, что финансовое состояние ООО «Балтрезерв» можно охарактеризовать как исключительно устойчивое. Все коэффициенты устойчивости и обеспеченности намного превышают принятые на практике нормативы. Более того, динамика данных показателей за год была положительной и укрепила и без того высокие показатели финансовой устойчивости и независимости. Финансовая активность предприятия находится на низком уровне, и это является значительным резервом дальнейшего развития компании. Важным элементом анализа финансовых результатов является анализ деловой активности организации. Данные для анализа деловой активности ООО «Балтрезерв» приведены в табл. 5: Табл. 5. Анализ деловой активности ООО «Балтрезерв»
Коэффициент оборачиваемости показывает, сколько рублей выручки предприятие получило с 1 рубля, вложенного в тот или иной актив или вид обязательств. Период обращения показывает, сколько дней составляет полный кругооборот того или иного вида актива или обязательств, в результате которого он превращается в денежные средства. Исходя из этого видно, что коэффициент оборачиваемости активов за отчетный период снизился на 0,03 при одновременном увеличении периода оборота на 3,94 дня. Это говорит о том, что с каждого рубля, вложенного в активы, предприятие получило на 3 копейки меньше выручки, чем в прошлом году, что является отрицательной тенденцией. Та же ситуация наблюдается и в отношении оборотных активов и одной из их составляющих – запасов. Их коэффициенты оборачиваемости снизились на 0,11 и 0,58 соответственно, что говорит о снижении выручки с вложений в данные активы на 11 и 58 копеек соответственно. Одновременно вырос оборот данных активов в днях – на 7,79 и 13,8 дней. Обратная ситуация сложилась с готовой продукцией. Ее коэффициент оборота вырос на 3,74, а оборот ускорился на 7,34 дня, что является положительной тенденцией и свидетельствует о хорошей работе сбытовых и логистических служб, о том, что готовая продукция быстро реализуется и не замораживается на складах на длительное время. Коэффициенты оборота краткосрочной и общей дебиторской задолженности равны, поскольку долгосрочных дебиторов у предприятия нет. Данный коэффициент за год увеличился на 5,48, период оборота вырос на 11,22 дня. Это является отрицательной тенденцией и говорит о том, что больше средств и на более долгий срок стало изыматься из оборота предприятия в пользу его покупателей. Вырос коэффициент оборота денежных средств – на 18,8, т.е. на каждый рубль денежных средств в отчетном периоде предприятие стало получать на 18,8 руб. больше выручки. Период оборота денежных средств снизился на 16,39 дней. Это является положительной тенденцией, так как свидетельствует о более эффективном использовании денежных средств в обороте. Коэффициент оборота собственного капитала незначительно снизился, что говорит о некотором замедлении его оборачиваемости. В то же время это свидетельствует о повышении финансовой независимости предприятия. Коэффициенты оборота краткосрочных заемных источников финансирования показали положительную динамику. Так, коэффициент оборачиваемости всех краткосрочных заемных источников финансирования увеличился на 14,82, коэффициент оборачиваемости кредиторской задолженности вырос на 15,85, задолженности поставщикам и подрядчикам – на 76,61. Соответственно увеличились периоды оборота краткосрочных источников в днях. Это является положительной тенденцией и свидетельствует о том, что предприятие имеет возможность дольше использовать в своем обороте заемные краткосрочные средства. Это особенно важно из-за уменьшения оборачиваемости дебиторской задолженности. Таким образом, можно сделать вывод о том, что за 2009 год предприятие улучшило свои финансовые показатели и результаты. Произошел рост доходов, рост прибыли. Выросла, пускай и незначительно, рентабельность собственного капитала. В то же время динамика показателя рентабельности продукции по затратам ан производство отрицательная. Это говорит о том, что у ООО «Балтрезерв» существуют резервы для улучшения финансовых показателей. Прежде всего это касается минимизации издержек. Если предприятию удастся оптимизировать свои расходы, это приведет к увеличению темпов роста рентабельности продукции по себестоимости. Также необходимо увеличить оборачиваемость активов предприятия за счет повышения эффективности их использования. И наконец, необходимо контролировать объемы и показатели оборачиваемости дебиторской задолженности для того, чтобы не происходило значительного изъятия средств из оборота в пользу дебиторов. Для этого надо проводить эффективную политику скидок и рассрочек, а также заниматься рефинансированием дебиторской задолженности. Анализ финансового состояния предприятия.Финансовое состояние организации является результатом взаимодействия всех производственно-хозяйственных факторов. Задачами анализа финансового состояния являются: – оценка динамики, состава и структуры источников собственного и заемного капитала, их состояния и движения; – анализ абсолютных и относительных показателей финансовой устойчивости предприятия и оценка изменения ее уровня; – анализ платежеспособности хозяйствующего субъекта и ликвидности активов его баланса. Одним из главных элементов анализа финансового состояния предприятия является анализ уровня финансовой устойчивости и независимости организации: Табл. 6. Анализ финансовой устойчивости и независимости за 2009 г.
Таким образом, трехкомпонентный показатель типа финансовой ситуации на начало года S (1; 1; 1), на конец года также S (1; 1; 1). Т.е. финансовое состояние организации на начало и на конец года можно определить как абсолютно финансово устойчивое, поскольку предприятию хватает собственных оборотных средств для формирования запасов. Что касается динамики изменений данных показателей, то она положительная. Из таблицы также видно, что основную и самую значимую часть источников формирования активов предприятия составляют собственные средства. Также существуют относительные показатели финансовой устойчивости организации: Табл. 7. Относительные показатели финансовой устойчивости за 2009 г.
Следующим шагом анализа финансового состояния организации является анализ ликвидности. В зависимости от степени ликвидности, т.е. скорости превращения в денежные средства, активы предприятия разделяются на следующие группы: А1 – абсолютно ликвидные активы (∑ 260, 250) А2 – быстро реализуемые активы (∑240,270) А3 – медленно реализуемые активы (∑210, 220) А4 – трудно реализуемые активы (∑190, 230) Пассивы баланса группируются по степени срочности их оплаты. П1 – наиболее срочные обязательства (∑620, 630) П2 – краткосрочные обязательства (∑610, 650, 660) П3 – долгосрочные обязательства (590) П4 – постоянные пассивы (∑490, 640) Исходя из этих данных, баланс ликвидности ООО» Балтрезерв» выглядит следующим образом: Табл. 8 Баланс ликвидности
А1≥П1 А2≥П2 А3≥П3 А4≤П4 – абсолютная ликвидность А1+А2≥П1+П2 А3≥П3 А4≤П4 – нормальная ликвидность А1+А2+А3≥П1+П2+П3 А4≤П4 – критическая ликвидность А4≥П4 – абсолютная неликвидность бухгалтерского баланса Исходя из данных таблицы и принятых норм, можно сделать вывод, что ООО «Балтрезерв» обладает абсолютной ликвидностью. Более того, за 2009 г. платежный излишек по всем группам, кроме наиболее ликвидных активов и обязательств, только увеличился. Это является положительной тенденцией и говорит об абсолютной платежеспособности предприятия. Уменьшение излишка по первой группе связано со значительным уменьшением остатка денежных средств предприятия на конец года. Учитывая очень хорошую ситуацию с ликвидностью, предприятие смогло себе позволить профинансировать за счет денежных средств какие-либо мероприятия, и это не несет особой угроз ликвидности в данный момент. Также важное значение имеет анализ относительных показателей платежеспособности:
Из данных таблицы видно, коэффициент текущей ликвидности намного превышает установленный норматив. Это говорит о том, что у предприятия достаточно оборотных активов, чтобы в случае необходимости покрыть текущие обязательства. Более того, он за год увеличился еще на 7,5, что является положительной тенденцией. То же самое можно сказать и о коэффициенте критической ликвидности. Коэффициенты абсолютной и срочной ликвидности также намного превышают нормативные показатели. Это говорит о том, что у предприятия имеется достаточно самых быстрореализуемых активов, какими являются денежные средства и краткосрочные финансовые вложения, чтобы покрыть текущие обязательства. В то же время динамика этих показателей отрицательная, что связано со значительным уменьшением денежных средств на конец года. Но все же пока это никак не угрожает платежеспособности предприятия. Также одним из элементов анализа является расчет чистых активов предприятия: Табл. 9. Расчет чистых активов за 2009 г.
Таким образом, на начало и на конец года сумма чистых активов предприятия значительно превышает сумму уставного и резервного капитала (59444–13039 = 46405 тыс. руб. на начало года, 68070–13036 = 55034 тыс. руб. на конец года). Динамика размеров чистых активов также положительная – за год они увеличились на 8629 тыс. руб. Таким образом, можно сделать вывод о том, что финансовое состояние ООО «Балтрезерв» является исключительно устойчивым. Предприятие имеет отличные показатели абсолютной и относительной ликвидности и финансовой устойчивости, размер чистых активов общества растет. Единственным настораживающим моментом является очень низкая финансовая активность компании, чрезмерная ориентация на собственные источники финансировании и существенные размеры нераспределенной прибыли, которую целесообразнее было бы не накапливать, а направить на развитие предприятия 2.3 Сущность и экономическое обоснование инвестиционного проекта В последние годы спрос на трубопроводную арматуру и подобную ей продукцию, которую производит ООО «Балтрезерв», стабильно растет. Это касается как покупателей на территории Калининградской области, так и за ее пределами. Поэтому руководство предприятия приняло решение о необходимости осуществления инвестиционного проекта. Предполагается расширить производство продукции за счет покупки нового оборудования для производства дополнительного объема Планок ПР260.06.01. Данный вид изделия имеет более высокую цену реализации в сравнении с другими изделиями и, следовательно, потенциально более рентабелен. Финансовое состояние предприятия является очень устойчивым. Предприятие работает с прибылью. К тому же предприятие имеет существенные объемы накопленной нераспределенной прибыли. На конец 2009 г. она составила 55034 тыс. руб. Поэтому финансирование инвестиционного проекта целесообразно осуществлять за счет собственных средств, а именно за счет нераспределенной прибыли. Осуществление данного инвестиционного проекта позволит предприятию занять более существенную долю в сегменте производства дорогостоящих задвижек Планок ПР260.06.01, несколько диверсифицировать производственную деятельность, поскольку на данный момент высок удельный вес производства более дешевых и менее рентабельных изделий. Все эти мероприятия должны привести к увеличению прибыли, рыночной доли предприятия в общем объеме производимой арматурной продукции, приобретению новых клиентов. 2.4 Оценка экономической эффективности инвестиционного проекта Расчет денежного потока и ставки дисконтирования проекта. Центральное место в оценке инвестиций занимает оценка финансовой состоятельности проектов, которую часто называют капитальным бюджетированием. Качество любого принятого решения будет зависеть от правильности оценок затрат и поступлений, представленных в виде денежных потоков. В ходе оценки сопоставляют ожидаемые затраты и возможные выгоды, (оттоки и притоки) и получают представление о потоках денежных средств. Под денежным потоком (cash flow) инвестиционного проекта понимают поступления и выплаты денежных средств, связанные исключительно с реализацией этого проекта. Чистый денежный поток – это разница между суммой всех поступлений денежных средств и суммой всех платежей за один и тот же период. Именно чистые денежные потоки различных периодов дисконтируются при оценке эффективности проекта. Оценка первоначальных инвестиций. Необходимое оборудование – производственный станок для изготовления задвижек Планок ПР260.06.01 – предприятие имеет возможность приобрести в Германии у поставщика. Стоимость самого станка составляет 170 тыс. евро, в переводе на российскую валюту 6 млн. руб. Транспортировка оборудования обойдется организации в 450 тыс. руб. Установка и монтаж – дополнительно 150 тыс. руб. Поскольку налог на добавленную стоимость организация в последующем имеет право поставить к вычету, то его сумма не включается в общую сумму затрат. Таким образом, полная стоимость оборудования составляет 6,6 млн. руб. Предприятие планирует профинансировать приобретение данного оборудования из собственных источников, а именно из нераспределенной прибыли. Оценка ожидаемых поступлений. Использование приобретаемого оборудования позволит предприятию производить на нем в течение 5 лет Планки ПР260.06.01т. Объем производства и реализации в 2008 г. (первый год использования оборудования) составит 10500 штук, в 2009 г. – 11000 штук, в 2010 г. – 11000 штук, в 2011 г. – 11400 штук, в 2012 г. – 10500 штук. Цена реализации составит 1000 руб. за шт., 1020 руб., 1050 руб., 1100 руб., 1150 руб. соответственно. Таким образом, объем продаж в стоимостном выражении составит 10,5 млн. руб., 11,22 млн. руб., 11,55 млн. руб., 12,54 млн. руб., 12,075 млн. руб. соответственно. Оценка ожидаемых расходов. Переменные затраты в ходе осуществления производства состоят из материальных затрат и затрат на оплату труда. Материальные затраты – это затраты на покупку сырья и материалов. В 2008 г. они составят 6,31 млн. руб., в 2009 г. – 6,67 млн. руб., в 2010 г. – 6,7 млн. руб., в 2011 г. – 7,158 млн. руб., в 2012 г. – 6,74 млн. руб. Трудовые затраты – это затраты на оплату труда рабочих, обслуживающих станок, и отчисления на социальные нужды. Данные расходы составят 830 тыс. руб., 920 тыс. руб., 940 тыс. руб., 1050 тыс. руб., 1030 тыс. руб. соответственно. Постоянные затраты состоят из амортизации, страховых взносов по имущественному страхованию, налога на имущество, сумм планового ремонта и общехозяйственных и общепроизводственных расходов. ООО «Балтрезерв» планирует использовать приобретаемый станок в течение 5 лет. Для начисления амортизации используется линейный метод. Сумма ежегодной амортизации составит 1,32 млн. руб. Организация планирует застраховать приобретаемый станок. Тариф составит 3% от стоимости имущества. Сумма ежегодных взносов – 198 тыс. руб. Ставка налога на имущество составляет 2,2% от среднегодовой стоимости имущества. Исходя из этого, предприятие заплатит налог на имущество в суммах 130 тыс. руб., 102 тыс. руб., 763 тыс. руб., 29 тыс. руб., 15 тыс. руб. соответственно по годам. Сумма планового ремонта установлена в размере 80 тыс. руб. ежегодно. Общехозяйственные и общепроизводственные расходы предприятия составят 250 тыс. руб. ежегодно. Они включают в себя часть затрат на оплату труда руководящего персонала, распределенную на данное оборудование, расходы на обслуживание станка, а также непредвиденные затраты. Ставка налога на прибыль – 24%. На основе данных по ожидаемым доходам и расходам можно составить план движения денежных потоков. Он представлен в табл. 10: Табл. 10. План движения денежных потоков
Таким образом, чистый денежный поток во все годы осуществления инвестиционного проекта оказался положительным. Накопленный денежный поток к концу срока реализации проекта составит 14114,88 тыс. руб. Это является свидетельством финансовой состоятельности проекта. Показатели денежных потоков являются исходными данными для расчета показателей экономической эффективности инвестиционного проекта. Ставка дисконтирования зависит от минимальной доходности и влияния уровня инфляции. В данном случае под минимальной доходностью понимается ставка по депозитам в наиболее надежных российских банках. Она составляет 7,5% годовых. Уровень инфляции, согласно официальным прогнозам на 2008 г., – 8,5%. Исходя из этого, формула ставки дисконтирования имеет вид: (1+E)=(1+R)*(1+I), где E– ставка дисконтирования, R– безрисковая ставка, I – уровень инфляции. (1+E)=(1+7,5%)*(1+12%) = 1,17 Е = 17%. Оценка экономической эффективности проекта методом расчета чистой приведенной стоимости ( NPV ). Методом, наиболее полноценно учитывающим неравноценность разновременных финансовых потоков, базирующимся на концепции потока наличности, а также позволяющим сравнивать различные по времени варианты реализации проекта является метод оценки проектов по критерию чистой приведённой стоимости. Его целесообразно применять, прежде всего, при оценке проектов, предусматривающих крупные денежные вложения. Значение чистого потока денежных средств за время жизни проекта, приведенное в сопоставимый вид в соответствии с фактором времени, есть показатель, называемый чистой приведенной стоимостью проекта (NPV–NetPresentValue).В общем виде формула расчета выглядит следующим образом: NPV = – Со + ∑CFt /(1+ r ) t CFt - объем генерируемых проектом денежных средств в периоде t r – ставка дисконтирования С0 – первоначальные инвестиционные затраты/ О степени эффективности вложения средств в данный проект говорит полученная величина NPV. Табл. 11. Расчет NPV
Сумма дисконтированных денежных потоков составляет 8811,108 тыс. руб. Таким образом, NPV данного инвестиционного проекта равен: NPV = – 6600 тыс. руб. + 8811,108 тыс. руб. = 2211,108 тыс. руб. Чистый дисконтированный доход представляет собой оценку сегодняшней стоимости потока будущих доходов. Так как выполняется необходимое условие эффективности проекта (NPV>0), положительное значение NPV свидетельствует о целесообразности осуществления проекта. Расчет индекса рентабельности инвестиций. Индекс рентабельности PI показывает какая величины современного денежного потока приходится на единицу предполагаемых первоначальных затрат. PI = ∑ CFt /(1+ r ) t C0 Или в обобщенном виде:
PVP (PresentValueofPayments) – дисконтированный положительный поток денежных средств (от операционной и инвестиционной деятельности); PVI (PresentValueofInvestment) – дисконтированная стоимость инвестиционных затрат. PI рассматриваемого инвестиционного проекта равен: PI = 8811,108 тыс. руб./6600 тыс. руб. = 1,34 Исходя из условия рентабельности инвестиционного проекта (PI>1), данный проект можно признать рентабельным. Оценка экономической эффективности методом внутренней нормы доходности На практике внутренняя норма прибыли представляет такую ставку дисконта, при которой эффект от инвестиций, т.е. чистая настоящая стоимость ( NPV ), равен нулю. Иначе говоря, приведенная стоимость будущих денежных потоков равна приведенным капитальным затратам. В общем виде, когда инвестиции и отдача от них задаются в виде потока платежей, IRR определяется как решение следующего уравнения: ∑ CFt /(1+ IRR ) t – C 0 = 0 Существуют и другие трактовки определения внутренней нормы прибыли. С одной стороны, показатель IRR определяет максимальную ставку платы за привлеченные источники финансирования, при котором проект остается безубыточным. С другой стороны, его можно рассматривать как минимальный гарантированный уровень прибыльности инвестиционных затрат. Если IRR превышает среднюю стоимость капитала в данной отрасли с учетом инвестиционного риска конкретного проекта, то данный проект может быть рекомендован к реализации. Внутренняя норма прибыли находится обычно методом итерационного подбора значений ставки сравнения (дисконта) при вычислении показателя чистой текущей стоимости проекта. Алгоритм определения IRR методом подбора можно представить в следующем виде: Выбираются два значения нормы дисконта и рассчитываются NPV , при одном значении NPV должно быть ниже нуля, а при другом – выше нуля; значения коэффициентов и самих NPV подставляются в следующую формулу (известную еще как интерполяция): IRR = r н + ( r в – r н )∙ NPV + /( NPV + - NPV - ), где rн - – норма дисконта, при которой показатель NPV положителен NPV+ - величина положительного NPV rв – норма дисконта, при которой показатель NPV отрицателен NPV- - величина отрицательного NPV. Для нормы дисконта 29% NPV составит 135,24 тыс. руб., для нормы дисконта 30% NPV составит -1,193 тыс. руб. В данном случае IRR составит 1,2999, или 29,99%. Таким образом, полученное значение IRR>r и, следовательно, проект можно признать эффективным. Расчет срока окупаемости проекта Срок окупаемости – еще один показатель в группе простых методов оценки эффективности. С помощью этого показателя рассчитывается период, в течение которого проект будет работать «на себя», т.е. весь объем генерируемых проектом денежных средств, куда входят суммы прибыли и амортизации, направляется на возврат первоначально инвестированного капитала. Расчет периода окупаемости может осуществляться путем постепенного, шаг за шагом вычитания суммы амортизационных отчислений и чистой прибыли за очередной интервал (как правило, за год) планирования из общего объема капитальных затрат. Интервал, за который остаток нивелируется или становится отрицательным, и является тем самым периодом окупаемости. Табл. 12. Расчет срока окупаемости проекта
Простой срок окупаемости проекта, исходя из данных таблицы, превышает 2 года. По истечении 3 года осуществления проекта доходы полностью покрыли вложенные средства. Дисконтированный срок окупаемости превышает 3 года. Только по истечении 4 года доходы от осуществления проекта полностью покроют понесенные затраты. Оценка эффективности методом бухгалтерской нормы доходности Данный метод основан на использовании бухгалтерского показателя прибыль. Показатель определяется отношением средней величины прибыли к средней величине инвестиций. Экономически смысл простой нормы прибыли заключается в оценке того, какая часть инвестиционных затрат возмещается (возвращается) в виде прибыли в течение одного интервала планирования. Расчет бухгалтерской нормы прибыли проведем на основании первоначально вложенного капитала. Формула будет иметь вид:
Первоначальные затраты В качестве годовых доходов используется величина чистой прибыли, так как она лучше характеризует ту выгоду, которую получают владельцы предприятия и инвесторы. Табл. 13 Расчет среднегодовой прибыли
ARR = 1502,98 тыс. руб./6600 тыс. руб. = 0,2277, или 22,77%. Если сравнить полученное значение с показателями текущей рентабельности продаж, активов или собственного капитала, находящихся на уровне 10–12%, то данный уровень бухгалтерской нормы доходности можно считать вполне приемлемым. Анализ чувствительности Анализ чувствительности проводится с целью учета и прогноза влияния изменения входных параметров (инвестиционные затраты, приток денежных средств, барьерная ставка, уровень реинвестиций) инвестиционного проекта на результирующие показатели. Наиболее удобный вариант – это относительное изменение одного из входных параметров (пример – все притоки денежных средств минус 5%) и анализ произошедших изменений в результирующих показателях. Для анализа чувствительности главное – это оценить степень влияния изменения каждого (или их комбинации) из входных параметров, чтобы предусмотреть наихудшее развитие ситуации в бизнес плане (инвестиционном проекте). Таким образом, рассматривается обычно пессимистический, наиболее вероятный и оптимистический прогнозы и рассчитываются результаты инвестиционного проекта. Результаты анализа чувствительности учитываются при сравнении взаимозаменяемых и не комплиментарных (невзаимозаменяемых с ограничением по максимальному бюджету) инвестиционных проектов. При прочих равных условиях выбирается инвестиционный проект (проекты) наименее чувствительный к ухудшению входных параметров. В анализе чувствительности речь идет не о том, чтобы уменьшить риск инвестирования, а о том, чтобы показать последствия неправильной оценки некоторых величин. Анализ чувствительности сам по себе не изменяет факторы риска. Таблица 17. Расчет NPV при пошаговом изменении доходов (шаг =5%)
Заключение . Итак, в данной курсовой работе была рассмотрена тема оценки эффективности инвестиционного проекта. Был проведен анализ эффективности конкретного инвестиционного проекта. В работе была представлена общая технико-экономическая характеристика предприятия ООО «Балтрезерв». По итогам проведенного финансового анализа установлено, что финансовое положение организации является очень устойчивым. Все показатели ликвидности и платежеспособности намного превышают установленные нормативы. Исходя из данных об устойчивом финансовом положении, инвестиционный проект целесообразно осуществлять за счет собственных источников. Данный инвестиционный проект представляет собой приобретение оборудования – производственного станка для изготовления планок. В работе было приведена краткая характеристика осуществляемого инвестиционного проекта. Был проведен расчет денежных потоков и обоснована ставка дисконтирования. Денежный поток оказался положительным во все годы осуществления проекта. Также была представлена оценка экономической эффективности данного проекта при помощи расчета ряда показателей. Расчет чистого приведенного дохода показал экономическую эффективность проекта, поскольку сумма дисконтированных денежных потоков превысила сумму первоначальных затрат, что является необходимым условием эффективности. Индекс рентабельности инвестиций PI данного проекта больше 1, что также говори о целесообразности осуществления проекта. Внутренняя норма доходности превысила показатель расчетной ставки дисконтирования. Это говорит о том, что показатель IRR превышает стоимость капитала, используемого организацией для осуществления проекта. Инвестиционный проект полностью окупается в ходе его реализации как согласно расчетам простого срока окупаемости, так и дисконтированного. Сроки – 3 и 4 года соответственно. Расчет бухгалтерской нормы также показал эффективность проекта, поскольку ARR составила 22,77%. В целом, данный инвестиционный проект можно рекомендовать к реализации, поскольку расчеты показали его экономическую целесообразность. Список использованной литературы 1. Гражданский кодекс РФ, часть первая и вторая. 2. ФЗ от 25 февраля 2003 г. №39-ФЗ «Об инвестиционной деятельности в Российской Федерации, осуществляемой в форме капитальных вложений». 3. Богатин Ю.В. Инвестиционный анализ: Учеб. пособие для вузов. – М.: ЮНИТИ – Дана, 2001. – 415 с. 4. Виленский П.Л, Оценка эффективности инвестиционных проектов. – Москва: «Финансы и статистика», 2002 г. 5. Игонина Л.Л. Инвестиции: Учеб. пособие / Под ред. д-ра экон. наук, проф. В.А. Слепова. – М.: Экономистъ, 2003. – 478 с 6. Инвестиции: учеб. / С.В. Валдайцев, П.П. Воробьев (и др.); под ред. В.В. Ковалева, В.В. Иванова, В.А. Лялина. – Москва: издательство «Проспект», 2005 г. 7. Савицкая Г.В. Анализ хозяйственной деятельности предприятия. Мн.: Новое знание, 2009 |
||||||||||||||||||||||||||||||||||||||||||||||||||||||||||||||||||||||||||||||||||||||||||||||||||||||||||||||||||||||||||||||||||||||||||||||||||||||||||||||||||||||||||||||||||||||||||||||||||||||||||||||||||||||||||||||||||||||||||||||||||||||||||||||||||||||||||||||||||||||||||||||||||||||||||||||||||||||||||||||||||||||||||||||||||||||||||||||||||||||||||||||||||||||||||||||||||||||||||||||||||||||||||||||||||||||||||||||||||||||||||||||||||||||||||||||||||||||||||||||||||||||||||||||||||||||||||||||||||||||||||||||||||||||||||||||||||||||||||||||||||||||||||||||||||||||||||||||||||||||||||||||||||||||||||||||||||||||||||||||||||||||||||||||||||||||||||||||||||||||||||||||||||||||||||||||||||||||||||||||||||||||||||||||||||||||||||||||||||||||||||||||||||||||||||||||||||||||||||||||||||||||||||||||||||||||||||||||||||||||||||||||||||||||||||||||||||||||||||||||||||||||||||||||||||||||||||||||||||||||||||||||||||||||||||||||||||||||||||

– посленалоговая чистая прибыль в t-году