Контрольная работа: Динамика подземных вод
|
Название: Динамика подземных вод Раздел: Рефераты по геологии Тип: контрольная работа | ||||||||||||||||||||||||||||||||||||||||||||||||||||||||||||||||||||||||||||||||||||||||||
РОССИЙСКИЙ ГОСУДАРСТВЕННЫЙ ГЕОЛОГОРАЗВЕДОЧНЫЙУНИВЕРСИТЕТКонтрольная работа по дисциплине: Динамика подземных вод Откачка проводилась из напорного водоносного горизонта мощностью 40 м. с избыточным напором над кровлей120 м. Опытный куст состоит из эксплуатационной и двух наблюдательных скважин. Дебит откачкиQ=3000 м3 /сут, радиус центральной скважины r0 =0.15 м. Расстояние от центральной до наблюдательных скважин 30 и 80 м. Провести диагностику результатов откачки и определить параметрыT, k, a*
,
Решение: 1. Составим расчетную схему кустовой откачки
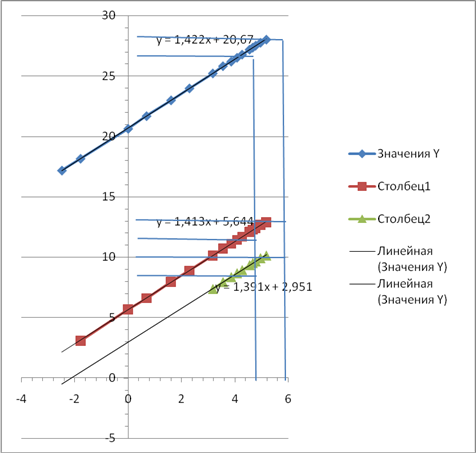
2.Построим графики временного прослеживания откачки в координатахS- Int. по опытным данным.
3. Проведем диагностику откачки и уточним расчетную схему. Визуальный анализ графиков временного прослеживания понижения уровня показывает что по центральной и 1 наблюдательной скважинам полученные графики имеют вид прямых линий, что свидетельствует о наступлении квазистационарного режима в радиусе 30 м от центральной скважины практически с первых минут. Во второй наблюдательной скважине квазистационар наступает через 20 часов о чем свидетельствует прямолинейность графика на отрезке Ац
=20,68 А1
=5,68 А2
=2,82 Визуальный анализ графиков временного прослеживания понижения уровня показывает, что пласт является неограниченным и изолированным, уклоны и формы графиков практически однозначны и показывают снижение уровня на всем ходе откачки. Следовательно, расчетные зависимости для определения имеют вид:
где: Во всех трех скважинах квазистационарный режим наступает спустя 1 час после начала опыта, о чем свидетельствует прямолинейность индикаторных графиков (за исключением начальных участков имеющих меньший угловой коэффициент)на протяжении дальнейшего времени. 4.Параллельность всех прямолинейных участков индикаторных графиков свидетельствует об однородности фильтрационных свойств исследуемой области фильтрации. 5. Значение коэффициента Сварьируется в узком диапазоне 1.40-1.43, что подтверждает сделанный ранее на основе визуального анализа вывод об однородности фильтрационных свойств области фильтрации в радиусе влияния откачки. Отношение
6. Величину коэффициента пьезопроводности найдем используя коэффициент А уравнения прямой на графиках временного прослеживания для наблюдательных скважин. Использовать данные откачки по центральной скважине в данном случае нельзя, так как неизвестно истинное значение ее радиуса из –за общего скин-эффекта. в итоге получим: по СКВ 1
по СКВ 2
среднее значение для всей области питания 7. Коэффициент фильтрации определим по формуле:
8. Коэффициент упругой водоотдачи рассчитаем по формуле:
9. Выполним определение параметров методом площадного прослеживания. Для этого построим график S- Inr по замерам уровней в наблюдательных скважинах на момент t= 10 часов (0.42сут), т.е в период когда во всей исследуемой области фильтрации установился квазистационарный режим. График площадного прослеживания на момент времениt=0.42 сут.
По графику определим Cr =2.78 и Ar = 18.5.Значения параметров можно вычислить по формулам:
Вычислим параметры пласта по формулам:
10. Показатель несовершенства центральной скважины Время tj
для построения графика выбирается из условия параллельности графиков S- Int по разным скважинам. Такое условие для однородного пласта наступает после реализации критерия В нашем случае
11. Сопоставим графоаналитические определения с результатами аналитических расчетов по данным временного прослеживания по центральной скважине с использованием формулы:
Полученные данные свидетельствуют о совпадении результатов вычислений разными методами. Список использованной литературы 1. БоревскийБ.В. и др.Методика определения параметров водоносных горизонтов по даннымоткачек. М «Недра» 1999 г. 2. ВеригинН.Н.Гидродинамические ифизико-химические свойства горных пород.М «Недра» 1997 г. 3. Климентов П.П. Кононов В.М. Динамика подземных вод. М «Высшая школа» 1999 г. 4. Ленченко Н.Н.Динамика подземных вод.М «Недра» 2008 г. 5. Ленченко Н.Н.ФисунН.В.Практикум по динамике подземных вод. Часть 1. М «Недра» 2008 г. 6. Мироненко В.А. Шестаков В.М.Основы гидрогеомеханики.М «Недра» 2004 г. |
||||||||||||||||||||||||||||||||||||||||||||||||||||||||||||||||||||||||||||||||||||||||||






