Дипломная работа: Организация и тактика тушения пожаров на нефтепромысле г. Перми
|
Название: Организация и тактика тушения пожаров на нефтепромысле г. Перми Раздел: Рефераты по безопасности жизнедеятельности Тип: дипломная работа | |||||||||||||||||||||||||||||||||||||||||||||||||||||||||||||||||||||||||||||||||||||||||||||||||||||||||||||||||||||||||||||||||||||||||||||||||||||||||||||||||||||||||||||||||||||||||||||||||||||||||||||||||||||||||||||||||||||||||||||||||||||||||||||||||||||||||||||||||||||||||||||||||||||||||||||||||||||||||||||||||||||||||||||||||||||||||||||||||||||||||||||||||||||||||||||||||||||||||||||||||||||||||||||||||||||||||||||||||||||||||||||||||||||||||||||||||||||||||||||||||||||||||||||||||||||||||||||||||||||||||||||||||||||||||||||||||||||||||||||||||||||||||||||||||||||||||||||||||||||||||||||||||||||||||||||||||||||||||||||||||||||||||||||||||||||||||||||||||||||||||||||||||||||||||||||||||||||||||||||||||||||||
МИНИСТЕРСТВО российской федерации по делам гражданской обороны, чрезвычайным ситуациям и ликвидации последствий стихийных бедствий Кафедра пожарной тактики и службы ДИПЛОМНЫЙ ПРОЕКТ На тему: Организация и тактика тушения пожаров на нефтепромысле г. Перми СОДЕРЖАНИЕ Введение 1. Краткая характеристика региона 2. Пожарная опасность технологического процесса объекта 3. Возможные источники зажигания 4. Случаи пожаров на предприятиях нефтеперерабатывающей промышленности России. Статистика пожаров на нефтебазах 5. Оперативно-тактическая характеристика объекта 6. Противопожарное водоснабжение 7. Сосредоточение сил и средств для тушения пожара 8. Прогнозирование развития пожара 9. Расчет сил и средств 10. Рекомендации РТП 11. Рекомендации НШ 12. Рекомендации НТ 13. Прочие рекомендации 14.Экономико-экологическая часть 15. Проблемы экологии Выводы Список используемой литературы Список используемой литературы Введение Во многих производственных сферах деятельности человека не обойтись без использования природных энергоресурсов. Для получения топлива нефть является одним из основных сырьевых материалов. Нефть и нефтепродукты, перерабатываемые в нефтяной, нефтехимической и нефтеперерабатывающей промышленности обеспечивают продукцией многие отрасли России. Их пожароопасные свойства создают особую сложность при возникновении аварий, пожаров на предприятиях, что приводит к частичной остановке технологического производства и останавливает не одно, а несколько предприятий. Их простой, прямые убытки от данных пожаров увеличивает косвенный ущерб, наносимый государству. Поэтому все технологические операции по переработке, перевозке, хранению (слив, налив) и использованию нефтепродуктов требуют особого соблюдения соответствующих норм и правил. Резервуары для нефти и нефтепродуктов относятся к промышленным сооружениям повышенной пожарной опасности, поэтому существующая система требований пожаровзрывобезопасности должна постоянно совершенствоваться. Экономически выгодно использовать вертикальные резервуары больших размеров. Требования к их увеличению, повышенная пожарная опасность и необходимость борьбы с ней сегодня претерпевают существенные изменения. С разработкой и внедрением в эксплуатацию вертикальных резервуаров с понтоном и плавающей крышей, пожарная безопасность должна обеспечиваться не только специальными противопожарными правилами, устройствами и установками, но и с учётом пожарно-технических вопросов на всех стадиях проектирования, сооружения и эксплуатации резервуаров. Одним из основных выводов по проблеме пожарной безопасности, применительно к резервуарам малого и среднего объёмов, заключается в том, что содержащиеся в нормах проектирования и правилах эксплуатации резервуаров для нефти и нефтепродуктов требования пожарной безопасности выработаны на основе практического опыта (происшедшие пожары) и результатов научно-исследовательских работ, преимущественно как требования против отдельно опасных явлений пожара без детального рассмотренения механизма возникновения и развития пожара в целом, в зависимости от конкретной производственной обстановки. Возможно, что именно по этой причине комплекс нормативных мер пожарной безопасности нередко оказывается избыточным или недостаточным, т.е. не соответствующим реальной пожарной опасности. Вскрыть и устранить причины такого несоответствия можно только при комплексном подходе к исследованию и оценке пожарной опасности с учётом всех связанных с пожаром основных процессов, начиная со стадии нормальной эксплуатации резервуаров до конечных результатов свободно развивающегося или подавляемого пожара. 1. КРАТКАЯ ХАРАКТЕРИСТИКА РЕГИОНА г. Когалым основан в 1985 году, расположен на территории Ханты-мансийского автономного округа Тюменской области. В регионе находится 10 нефтепромыслов, самый дальний из которых - восточно- перевальный расположен на расстоянии 260 км. от города. Для осуществления расчетов по организации и тактики тушения пожаров в данном дипломном проекте выбран нефтепромысел «Дружный», находящийся в 35 км от города Когалыма по направлению поселка Юг, занимающий площадь 2644 кв. м. Общая численность населения города Когалым на 1 января 1997г составляет 54200 чел, состав вахтового населения занятого на работах нефтепромыслов г. Когалыма включает в себя 27500 чел. Для охраны города и нефтепромыслов, а также для проведения пожарно-профилактической работы по предупреждению пожаров в городе и регионе организовано два отряда государственной противопожарной службы 1 категории, общая численность отрядов составляет 1230 человек. В промышленном отношении Ханты-Мансийский округ имеет ориентацию на нефтегазодобывающую промышленность, которая занимает 89 % всей отраслевой структуры промышленного производства края. В 1996 году в городе и регионе зарегистрировано 183 пожара, ими причинен прямой материальный ущерб в размере 286 млн. рублей. При пожарах погибло 7 человек. По сравнению с 1995 годом отмечается снижение количества пожаров на 2,1%, увеличение количества погибших и травмированных при пожарах людей на 2,7% и 17,4% соответственно. Анализируя сложившуюся обстановку с пожарами и последствия от них видно, что наряду с относительной стабилизацией количества пожаров, наблюдается устойчивая тенденция роста числа погибших при них людей. Исходя из вышеизложенного, известно, что на территории Когалымского региона находится 10 нефтепромыслов, на которых в результате различных технологических процессов перерабатывается и перекачивается на ЛПДС до 60 млн. тонн нефти в год. Основная масса оборудования и технологических установок заводов находятся в эксплуатации с превышением нормативных сроков в 2-3 раза, ежегодная замена оборудования составляет не более 0,8-1,2%. Значительная изношенность оборудования, неритмичность, особенно в сегодняшних условиях экстенсивного развития отрасли, в значительной степени сказывается на аварийности, возникновении производственных неполадок и аварий. Как правило, аварии сопровождаются разливом нагретых нефтепродуктов, загазованностью территорий, взрывами и пожарами. Ликвидировать такие пожары, не допуская возникновения чрезвычайных ситуаций, провести первоочередные аварийно-спасательные работы способен только специально подготовленный личный состав, имеющий высокую профессиональную выучку, умеющий эффективно работать при значительных психологических и физических нагрузках.. Характеризуя пожарную опасность региона, необходимо в первую очередь отметить высокую концентрацию в регионе нефтяных промыслов с наличием ЛВЖ и ГЖ, сжиженных углеводородных газов. Известно, что пожары на таких объектах характеризуются большой скоростью распространения огня, интенсивным теплоизлучением, возможностью выбросов и растеканием горящего нефтепродукта на больших площадях. В ст.22 Федерального Закона «О пожарной безопасности» сказано, что «При тушении особо сложных пожаров при чрезвычайных ситуациях с участием других видов пожарной охраны функции по координации деятельности других видов пожарной охраны возлагаются на Федеральную противопожарную службу». Для обеспечения пожарной безопасности и ликвидации пожаров и аварийных ситуаций на промышленных предприятиях в регионе организованы отряды Государственной противопожарной службы № 1 и 5. Оперативное руководство пожарными подразделениями ОГПС-1 осуществляет дежурная служба пожаротушения 3-го разряда. Служба дежурных караулов в подразделениях отряда организована в 4 смены. Караулы состоят, как правило, из 15 человек. Одно отделение на автоцистерне включает 5 человек (вместе с командиром отделения и водителем) и может выполнять боевую работу с установкой и без установки автоцистерны на водоисточник. Без установки на водоисточник автомобиля, отделение выполняет боевую работу в случаях: • немедленной подачи огнетушащих средств для обеспечения безопасной эвакуации людей; • взрыва, аварии, обрушения конструкций, возможных при промедлении с введением стволов; • достаточности запаса огнетушащих средств, вывозимых на автоцистерне, для ликвидации пожара; • необходимости ограничения распространения огня на решающем направлении до подхода основных сил и средств и установки других автомобилей на водоисточники, обеспечение подачи ствола первой помощи. На практике, при расположении водоисточника на расстоянии не более 50 - 60 метров от пожара, автоцистерна устанавливается в ходе боевого развёртывания на водоисточник, с подачей ствола. При этом, тактические возможности отделения значительно возрастают, оно способно подать и обеспечить непрерывную работу не менее 2-х стволов РС-70 или 1-го ствола РС-70 и 2-х стволов РС-50 в течение длительного времени. Тактические возможности отделения на автоцистерне приведены в Таблице 1. Тактические возможности АЦ
2. Пожарная опасность технологического процесса нефтепромысла Резервуары и резервуарные парки как основные сооружения складов нефти и нефтепродуктов широко распространены в различных отраслях народного хозяйства. В резервуарных парках нефтепродуктов и нефтебаз хранятся и по трубопроводам перекачиваются преимущественно нефть и нефтепродукты, без предусмотренного технологией существенного изменения их свойств. Каждая технологическая операция, связанная с обращением легковоспламеняющихся и горючих жидкостей, имеет свои специфические факторы опасности. Наиболее часто встречающимися и пожароопасными технологическими операциями в области потребления углеводов является их транспортировка, хранение, слив и налив. Эти операции связаны с процессами испарения, что в сочетании с пожароопасными свойствами жидкостей определяет возможность образования горючей паровоздушной смеси - главного фактора пожарной опасности. Под горючей паровоздушной смесью понимают соотношение паров горючего и воздуха, при котором возможно распространение пламени на любое расстояние от источника зажигания. Область существования горючей Среды определяют концентрационные пределы воспламенения. Нижний (СНКПВ ) или верхний (СВКПВ ) пределы воспламенения определяют, соответственно, минимальное или максимальное содержание паров горючего вещества в смеси с воздухом. Следовательно, если концентрация паров жидкости будет находиться в области, между нижним и верхним пределами воспламенения, то смесь считается горючей или взрывоопасной. На практике, для оценки горючести среды, наиболее широкое распространение нашли температурные пределы воспламенения. Они указывают на значения предельных температур, при которых концентрация паров жидкости будет соответствовать нижнему или верхнему концентрационному пределу воспламенения. Например: для дизельного летнего топлива Л -05- 40- НТПВ - 69 С°, а ВТПВ -119 С°; для автомобильного бензина АИ-93 пределы воспламенения НТПВ-37 С°, а ВТПВ-10 С°. При хранении многокомпонентных жидкостей происходит постепенное испарение более лёгких компонентов и изменение температурных пределов воспламенения от справочных значений в область более высоких температур. Небольшие добавки ЛВЖ и ГЖ существенно изменяют температурную область воспламенения в сторону более низких температур. Например: при добавлении 3% бензина к мазуту температура вспышки последнего изменяется с 120 С° до 30 С°. Способностью образовывать с воздухом взрывоопасные смеси обладают также взвешенные в воздухе мелко раздробленные жидкие горючие вещества. Особенности пожарной опасности аэрозолей характеризует два важных обстоятельства: 1) Горение их может происходить при температуре ниже температуры вспышки. 2) Концентрация горючего вблизи нижнего предела воспламенения значительно меньше, чем в случае паро-воздушных смесей. Причём, с увеличением диаметра частиц, нижний концентрационный предел воспламенения уменьшается почти на порядок и только при диаметре частиц 10 мкм и меньше, приближается к свойствам паро-воздушных смесей. Пожарную опасность технологического процесса резервуарного парка обуславливают также вещества, а точнее показатели их физико-химических свойств, которые обращаются в производстве. Одним из основных показателей пожаровзрыво-безопасности жидкости является температура вспышки - самая низкая температура жидкости, при которой над её поверхностью образуются пары, способные воспламеняться от посторонних источников зажигания. Например: для нефти - температура вспышки t= -15С°, - НКПВ - 2 %, ВКПВ -10% (по объёму), - интегральная плотность излучения факела при горении нефтепродуктов q = 80 кВт. Оценивая количественные значения этих показателей можно сделать вывод о высокой потенциальной пожарной опасности веществ, применяемых на нефтепромысле г. Перми. V К физико-химическим свойствам, которые могут быть использованы при решении вопросов обеспечения пожарной безопасности, можно отнести химический состав, температуру плавления, давление насыщенных паров, плотность и диффузию паров и др. Пожарную опасность технологического процесса производства на нефтепромысле характеризует также наличие разнообразных источников зажигания: - объективных (атмосферное электричество); - субъективных (курение, открытый огонь и т.д.); - технологических (электростатическое, электрооборудование). В складах, резервуарных парках, связанных с обращением ЛВЖ, ГЖ, ГГ, всегда имеются условия для быстрого распространения возникшего пожара. Это объясняется не только наличием в помещениях и на открытых площадках огнеопасных жидкостей и газов, но и весьма частым отсутствием соответствующих препятствий или специальных противопожарных преград на путях возможного распространения огня. На основе всестороннего анализа факторов, характеризующих пожарную опасность технологического процесса резервуарного парка, разрабатываются системные модели предотвращения образования горючей среды, защиты от технологических и других источников зажигания и предотвращения распространения пожара за пределы очага горения. 3. Возможные источники зажигания (внутренние и внешние) Согласно статистическим данным по пожарам, основными источниками зажигания для внутреннего пространства резервуаров со стационарной крышей - есть прямые удары молнии, разряд статического электричества, механические удары при ручном замере уровня и отборе проб, а также самовозгорание пирофоров. Более 80% пожаров от молнии с взрывами внутри резервуаров с нефтью происходит в июне и июле на нефтепроводах и нефтезаводах. В связи с крупными пожарами от молнии в защищённых резервуарах резервуарных парках рассмотрены [5] некоторые вопросы повышения надёжности молниезащиты резервуаров. Известно, что в результате удара молнии возможно проплавление металлического листа, толщиной 4-5 мм. С учётом этих данных защиту осуществляет присоединением корпуса к заземлителям. Однако, известные данные о степени прогрева стального листа указывают на надёжность такого метода защиты даже для резервуаров толщиной листа крыши до 7 мм, т.к. для возникновения пожара в резервуаре не требуется проплавление стального листа, а пожароопасный прогрев стали до температуры самовоспламенения возможен до 8-9 мм. Следовательно, корпус "дышащего" резервуара с нефтепродуктом нельзя использовать в качестве молниеприёмника и молниеотвода. В связи со случаями поражения резервуаров молнией при наличии нормативной молниезащиты, представляет интерес вопрос о степени надёжности молниезащиты для резервуаров различного объёма. Ожидаемое число поражений от ударов молний в год на сооружение, необорудованное молниезащиты, определяют по формуле:
Поскольку для вертикального цилиндрического резервуара S = L = dp и hx = Hp, (где dр и Нр - соответственно диаметр и высота резервуара), то можно вышеизложенную формулу записать в виде:
Годовую вероятность появления источника зажигания от удара молнии в резервуар можно определить по закону:
При малых N можно принимать Руд .м . (и.з.) = Nуд.молн. . При ручном отборе проб и замере уровня жидкости или при выполнении работ по ремонту и обслуживанию на крыше резервуара, когда возможно появление механических искр от удара разрядов статического электричества, происходили взрывы и пожары, сопровождающие гибелью или травмированном людей. Если предположить, что за одну ручную операцию совершается хотя бы один удар высечением механических искр, то вероятность появления источника зажигания от этой причины можно определить по соотношению:
Образование искр наиболее вероятно при ударах о корпус резервуара замерных приспособлений, ремонтного инструмента и деталей, при высоте их падения не более 2м, когда скорость движения предмета в момент удара не превышает 10 м/сек. В этих случаях, вероятность воспламенения горючей смеси от искр при ударе с некоторым запасом можно принять равной 10-3 , а при падении предмета на расстояние, равное высоте резервуара, составляет 10 -2 . Самовозгорание пирофоров (сульфидов железа) является характерным внутренним источником зажигания для резервуаров с тёплыми высокосернистыми нефтяными и бензиновыми фракциями. Случаи самовозгорания сернистого железа в резервуарах с бензином происходили обычно днём при солнечной погоде, температура бензина от + 50 С° до +80 С°, наличии сквозных отверстий от коррозии в крыше, длительной эксплуатации резервуаров без очистки или после откачки бензина из резервуарных ёмкостей. Для предотвращения взрывов и пожаров от самовозгорания сернистых соединений в нефтяной промышленности выработаны рекомендации: очистка нефти и бензинов от сернистых соединений; систематическая очистка оборудования. 4. Случаи пожаров на предприятиях нефтеперерабатывающей промышленности России. Статистика пожаров на нефтебазах Резервуары для нефтепродуктов и нефти относятся к промышленным сооружениям повышенной пожарной опасности. Организационно-техническая готовность к тушению таких пожаров является одной из важных задач гарнизонов пожарной охраны. Статистические данные о пожарах в резервуарах в нефтехимической, нефтяной, нефтеперерабатывающей промышленности и в системе снабжения нефтепродуктами показали, что около 90% зарегистрированных пожаров и загораний произошло на резервуарах, заполненных нефтью (более половины) и бензином. Всё большее число загораний этих нефтепродуктов, особенно бензинов, происходили в резервуарах с понтоном. Значительное число пожаров на железобетонных резервуарах свидетельствует об их повышенной пожарной опасности. Случаи пожаров на резервуарах с керосином и дизельным топливом редки. Довольно часто происходят пожары и взрывы в резервуарах с мазутом. Примерно половина всех пожаров с мазутом и нефтепродуктами происходили на работающих резервуарах. При этом лишь небольшое число их возникло при исключительных обстоятельствах, не связанных с технологией резервуарного парка (взрыв на соседней технологической установке, умышленные поджоги). Остальные пожары на работающих резервуарах можно разделить на две группы: - пожары без нарушения технологии (70%); - пожары при нарушении технологии (около 30% ). Основные источники зажигания на нормально работающих резервуарах -проявление атмосферного электричества, самовозгорание пирофоров, разряды статического электричества и механические удары при отборе проб и замере уровня, искры электроустановок, технологические огневые устройства. Большинство пожаров от молний и электроустановок, в том числе с крупным и особо крупным ущербом, произошло в железобетонных резервуарах с нефтью на нефтепроводах и нефтезаводах. Предусматриваемая проектами и имеющаяся защита электроустановок оказывалась мало эффективной, в следствии несоответствия нормативной защиты возможным масштабам наружных пожаровзрывоопасных зон и реальной опасности резервуаров. Пожары от самовозгорания пирофоров происходили на промысловых и нефтезаводских резервуарах типа РВС с высокосернистыми нефтями и полученными из них светлыми нефтепродуктами. Имеющиеся данные о таких пожарах не позволяют ответить на вопрос, являются ли они следствием несоблюдения установленных требований по борьбе с пирофорами или эти требования не достаточно эффективны. Пожары при замере уровня проб, как правило, начинаются с взрыва резервуара и сопровождаются гибелью или травмированием людей, выполняющих работы на крыше резервуара. Наиболее характерным является взрыв при ручном отборе проб с крыши резервуаров типа РВС. Из прочих пожаров на работающих резервуарах следует отметить такие, которые возникают от различных источников зажигания (автомобилей, огневых нагревателей, факелов, магнитных пускателей) при повышенной загазованности территории резервуарных парков. Такие пожары можно разделить на три группы: 1. При подаче в промышленные резервуары нефти, недостаточно сепарированной от газа. 2. При перекачке резервуара нефти, имеющей высокую упругость паров. 3. В случае переполнения резервуаров нефтью или бензином на нефтепромыслах, нефтезаводах и нефтебазах. Групповые пожары резервуаров, типа РВС, без понтона, чаще всего связанны с загазованностью территории, ограничены стабилизированным горением на дыхательных устройствах и других проёмах в газовой части резервуара, без распространения огня на поверхности жидкости. Совершенно иной характер имеют групповые пожары резервуаров, типа РВС с понтоном. Существует повышенная опасность переброса пожара с резервуара на резервуар с понтоном. Пожароопасность таких резервуаров существенно выше, чем обычных резервуарах типа РВС, без понтона. В большинстве случаев стационарные, в том числе автоматические установки пожаротушения не дали положительного эффекта, так как были повреждены первичным взрывом в резервуаре или не сработали в проектном режиме в исправном состоянии. Эти данные указывают на ещё недостаточно широкое внедрение стационарных АУПТ, на конструктивные несовершенства и неустойчивость этих установок к поражающим факторам взрыва и пожара в резервуаре, а также на несоответствие их тактико-технических характеристик характеру пожара в начальной стадии, если не произошло полного срыва крыши резервуара. Примерно 33-35% всех зарегистрированных пожаров и загораний происходит на очищаемых и ремонтируемых резервуарах. Такие пожары и загорания можно разделить на следующие три основные группы: 1. При очистке резервуаров перед ремонтом. 2. При проведении огневых работ на предварительно очищенных резервуарах. 3. При проведении работ по ремонту и обслуживанию резервуаров, без их предварительной очистки. Типичным для первой группы является пожар, возникающий при удалении остатка (1,5 - 3 % от общей ёмкости резервуара) хранящейся в легковоспламеняющейся жидкости передвижным насосом через открытый люк-лаз. Как правило, в стационарном вертикальном резервуаре на дне находится 0,5 м донной воды. Люк-лаз расположен на уровне 0,8-0,85 м от дна резервуара. Т.е. оставшаяся легковоспламеняющаяся жидкость составляет примерно 30-35 см, что соответствует 3% от резервуара, объёмом 1000 м и составляет 30 м3 . Пример. Пожар возник на нефтебазе г. Уфы Республики Башкортостан, 25 июля 1998 года, примерно в 10 часов 30 минут. В ПЧ-13 г. Уфы сигнал о возникшем пожаре поступил на ЦУСС примерно в 10 часов 33 минуты. Выезд по тревоге подразделения ПЧ-13 ОГПС-1 МВД РБ в 10 часов 34 минуты. Следование двух отделений на АЦ-40 (130) 63А к месту пожара составило 5 минут, т.е. подразделения прибыли в 10 часов 39 минут. Боевое развёртывание и локализация пожара заняло 17 минут, т.е. в 10 часов 56 минут горение прекращено и в течении 3-х часов продолжалось охлаждение горящего и соседних резервуаров. После локализации, ликвидации пожара выяснено, что в нарушение правил пожарной безопасности при эксплуатации резервуарных парков и нефтебаз Госкомнефтепродукта при удалении остатка ЛВЖ из резервуара 1000 м3 передвижной насос установлен на расстоянии 2,5 метра от открытого люк-лаза резервуара, в самом обваловании. Произошедшее замыкание магнитного пускателя передвижного насоса воспламенило пары ЛВЖ над рукавом, положенного к открытому люк лазу и зажгло паро-воздушную среду, испаряющуюся от открытого люк-лаза. Пламя достигло 3,5 - 4,0 метра. 35-летний водитель одного из двух автоцистерн, находящихся под загрузкой» взбежал на автоцистерну и попытался выкинуть другую часть рукава, расположенную от передвижного насоса к автоцистерне. При этом случайно облил себя бензином А-76 поступающего от работающего насоса. В это время лучистая энергия факела пламени прогрела паро-воздушное пространство над рукавом от насоса к автомашине и водитель, случайно облитый бензином, зажигается вместе с автоцистерной. По дороге в больницу водитель от ожогов скончался. Автомобиль уничтожен огнём. Пожар локализован через 26 минут с момента возникновения. Повреждён резервуар (частично) от воздействия лучистой энергии факела пламени. Ущерб составил 5 млн. неденоминированных рублей. Решительные действия РТП (заместителя начальника ПЧ-13 г. Уфы предотвратили возможный переход пламени на другие резервуары и ликвидировали угрозу для населения г. Уфа (нефтебаза находится в пределах города). Пожар осложнялся наличием внутри резервуара 1000 м3 значительного паро-воздушного пространства - примерно 947 м3 и только 3% (или 30 м3 ) легковоспламеняющейся жидкостью А-76. Пожары второй группы указывают на несовершенство методов очистки. Все пожары 3 группы формально являются следствием нарушения норм и правил, запрещающих проведение ремонтных работ без очистки резервуаров. 5. ОПЕРАТИВНО-ТАКТИЧЕСКАЯ ХАРАКТЕРИСТИКА
ФИЗИКО-ХИМИЧЕСКИЕ СВОЙСТВА НЕФТИ
6. Противопожарное водоснабжение По территории нефтепромысла проходит тупиковый водопровод диаметром 150 мм, на котором установлены 6 пожарных гидрантов. Напор в водопроводе на случай пожара может быть повышен до 60 м. Водоотдача сети составляет 55 л/с. В 100 метрах от резервуарного парка расположен пожарный водоём ёмкостью 500 м3 с подъездом на два автомобиля. За зданием пожарного депо находится склад пенообразователя объёмом 11 м3 (одна наземная ёмкость - 5 м3 , две подземные, по 3 м3 каждая). Забор пенообразователя из емкостей можно осуществить при помощи насосов "Азиммаш" (30 м3 /час), установленных на автомобилях нефтепромысла (автоколонна № 3) Для подачи воздушно-механической пены имеется специальный телескопический пеноподъемник, установленный стационарно у борта каждого резервуара, ёмкостью не более 700 м3 . Каждый резервуар оборудован двумя стационарными ГПС-600, сухотрубы выведены за обвалование. При пожаре дежурный оператор по добыче из операторной кабины в административно-бытовом корпусе включает для подпитки расходной ёмкости (15 м3 ), расположенной в котельной насос НБ-50 (50 м3 /час, установлен на ручье, расстояние по водоводу около 3 км). Открывает в котельной задвижку для подачи воды в противопожарный водопровод, включает дополнительно к работающему насосу З-К-6 (30 м3 /час) ещё два насоса (З-К-6). Для поднятия давления в водопроводе едет на дежурном вахтенном автомобиле на подрусловую насосную (расстояние по водоводу около 3 км, по автодороге 2 км), включает вручную насос СЦВ-б-10-80 (80 м3 /час), вода подаётся с артезианской скважины. 7. Сосредоточение сил и средств на пожаре Сосредоточение сил и средств на пожаре
Примечание : 1) При пожаре необходимо выслать дополнительно к расписанию выездов следующую технику: - ПНС-110 (131) и АЛ-30 (131) ПМ-506 с гребёнкой для ГПС-600 8-СЧ; - АВ-40(130)63АиАП-5(53213) 196 3-ПЧ. 2) Через объектовый штаб пожаротушения привлечь с автоколонны № 3 нефтепромысла следующую технику: - бульдозер - 1 - экскаватор - 1 - самосвал - 2 - грузовой автомобиль - 1. 8. Прогнозирование развития пожара 1. Определение времени от начала пожара до ожидаемого момента наступления выброса нефти из резервуаров.
Примечание: При пожаре РТП (НШ) обязан уточнить у администрации объекта указанные в таблице величины и пересчитать ожидаемое время выброса (ч). 2. Определение максимально допустимого времени ввода сил и средств для охлаждения резервуаров, расположенных рядом с горящим, (воспользоваться номограммой Приложение 1).
Вывод : При температуре окружающего воздуха от - 40 до +38 С максимально допустимое время ввода сил и средств для охлаждения резервуаров, расположенных рядом с горящим составляет более 30 минут. С начала пожара до истечения 28 минут при температуре окружающего воздуха + 42 °С должны быть приняты активные действия по охлаждению соседних резервуаров. 3. Определение взрывоопасной среды в резервуаре, расположенном рядом с горящим (воспользоваться номограммой Приложения 2). Исходные данные: - температура вспышки нефти: - 15°С; - уровень взлива нефти в соседних резервуарах: 7,3 м;
По номограмме (Приложение 2) определили, что концентрация паров в резервуаре не взрывоопасная (выше ВКПВ). 9. РАСЧЁТ СИЛ И СРЕДСТВ Исходные данные: - требуемая интенсивность подачи воды на охлаждение (Jтр ): • горящего резервуара: 0,8 л/(м*с); • негорящего резервуара: 0,3 л/(м*с); • при пожаре в обваловании: 1,2 л/(м*с). - расчётная продолжительность охлаждения наземных резервуаров (горящего и соседних) передвижной техникой: 6 ч.; - нормативная интенсивность подачи раствора пенообразователя (ПО-1Д)
Вариант -1 Тушение пожара в резервуаре с наибольшей площадью зеркала испарения (РВС-1000). 1. Определяем требуемое количество стволов для охлаждения горящего резервуара:
где: п - количество горящих резервуаров; Дг - диаметр горящего резервуара; qст - расход воды из ствола РС-70 с диаметром насадки 25 мм на охлаждение резервуара, л/с. 2. Определяем требуемое количество стволов для охлаждения соседних с горящим резервуаров;
Так как один ствол РС-70 не может обеспечить охлаждение половины периметра негорящего резервуара, то необходимо подавать не менее двух стволов РС-70. Следовательно, для защиты резервуаров № 1, 2 и 3 необходимо подать шесть стволов РС-70 с dн = 19мм Nc ст = 6; 3. Определяем общее количество стволов РС-70 на охлаждение: Nст”РС -70” = Nг ст”РС-70” + Nc ст”РС-70” + Nтб ст”РС-70” =3+6+4=13 ст. где: Nтб ст”РС-70” - количество стволов РС-70 по условиям техники безопасности для защиты личного состава, работающего в обваловании, рукавных линий, ПТВ, оказавшихся в зоне возможного разлива вскипевшего нефтепродукта. 4. Определяем требуемое количество стволов ГПС для тушения горящей жидкости в резервуаре:
5. Определяем общее количество гененраторов ГПС - 600: Nств.гпс-600 = Nт гпс + Nобв гпс = 2+2=4 ГПС . где: Nобв гпс - количество стволов ГПС-600 для тушения горящей нефти в обваловании при возможном вскипании и переливании нефти через борт резервуара. 6. Определяем требуемое количество пенообразователя для тушения горящей жидкости в резервуаре (с учётом запаса пенообразователя): Wпо + Nгпс *qпо гпс *tp *K3 = 2*0,36*15*60*3 =1944л; где: qпо гпс - расход пенообразователя (в растворе) одного ГПС, л/с; Кз - коэффициент запаса пенообразователя, К = 3. Следовательно, для тушения нефти в резервуаре будет достаточно пенообразователя, имеющегося на автомобиле АВ-40 (130) 63А. 7. Определяем общий требуемый расход воды для выполнения всех видов работ при тушении пожара: Qобщ = Nг ст *qст + Nс ст *qст + Nтб ст”А” *qст + Nт гпс *qв гпс + Nобв гпс *qв гпс = 3*10+6*7+4*7+2*5,64+2*5,64 = 123 л/c Пожарный водопровод не обеспечит требуемый расход воды на все виды работ по тушению пожара, поэтому необходимо использовать пожарный водоём объёмом 500 м3 . 8. Определяем необходимый запас воды для охлаждения резервуаров (горящего и соседних): Wводы = Nгс ств”РС-70” *qств”РС-70” *tохл рас. = (3*10+6*7)*3600*6=1555м3 ; Так как пожарный водопровод не обеспечит требуемый расход воды (72 л/с) для охлаждения резервуаров (горящего и соседних) при расчётной продолжительности охлаждения 6 часов, запитываем от водопровода 3 ствола РС-70 для охлаждения горящего резервуара, остальные стволы РС-70 (10 стволов) - от ПВ. После ликвидации горения в резервуаре (Тр =15•3=45 мин.), в целях экономии воды в ПВ и увеличения продолжительности работы стволов необходимо переключить 3 ствола РС-70 от разветвления ПНС (см..схему) на магистральные линии запитанные от водопровода. 9. Определяем продолжительность работы стволов РС-70 (dH =19 мм, охлаждение соседних резервуаров, защита л/с, рукавных линий, ПТВ) от пожарного водоёма:
10. Определяем требуемое количество пеноподъёмников для подачи ГПС на тушение горящей жидкости в резервуаре:
где: nпп гпс - количество ГПС, установленных на одном подъёмнике, шт. 11. Определяем требуемое количество личного состава для тушения пожара (без учёта резерва): Nл/с = Nг ст.”РС-70” *2+Nc ст.”РС-70” *2+Nпп АЛ-30 *3+Nтб ст.”РС-70” *2+Nобв гпс *2+Nм +Nсв. = =3*2+6*2+1*3+4*2+2*2+4+7=44 чел; где: Nг ст.”РС-70” , Nc ст.”РС-70” . - количество стволов РС-70 для охлаждения горящего и соседних резервуаров; Nпп АЛ-30 - количество пеноподъёмников (в данном случае - АЛ-30 (131) ПМ-506); Nтб ст.”РС-70” - количество стволов РС-70 по условиям техники безопасности для защиты личного состава, рукавных линий. ПТВ; Nобв гпс - количество стволов ГПС-600 для тушения горящей нефти в обваловании при возможном вскипании и переливании её через борт резервуара; Nм - количество людей, занятых контролем за работой насосно-рукавных систем (по количеству пожарных машин); Nсв - количество связных (связные РТП, НШ, НТ, ПБУ); Коэффициенты - требуемое количество человек для выполнения различных видов работ на пожаре. Примечание: Водители, средний и старший начальствующий состав в этом количестве не учитываются 12. Определяем требуемое количество отделений на основных пожарных автомобилях для тушения пожара (без учёта резерва);
где: Nл/c - требуемое количество личного состава для тушения пожара без учёта привлечения других сил (рабочих, воинских подразделений и т.д.). Средняя численность одного отделения на АЦ составляет 3 человека (в указанное число не входит водитель). Вывод: Вызов № 3 на данный вариант тушения пожара установлен правильно. Примечание: Так как противопожарный водопровод (запас воды в пожарном водоёме) не обеспечит требуемый расход воды (72 л/с) на охлаждение горящего и соседних резервуаров при расчётной продолжительности охлаждения 6 часов, запитываем от водопровода 3 ствола РС-70 для охлаждения горящего резервуара, остальные стволы (10 ств.РС-70) - от ПВ. После ликвидации горения в резервуаре ( Вариант - I Тушение пожара в резервуаре №4 (РВС-1000) с наибольшей площадью зеркала испарения Результаты расчёта сил и средств
Расстановка сил и средств
Вариант - II Тушение пожара в резервуаре (РВС-700), на запорной арматуре и обваловании одновременно 1. Определяем площадь растекания нефти при локальном разрушении резервуара: F=Fобв =2644м2 ; где: F - прогнозируемая площадь растекания нефтепродукта, м2 ; Fобв - площадь обвалования с вычетом площади РВС, м; При локальном разрушении резервуара площадь растекания нефтепродукта определяется границами обвалования. Следовательно, площадь пожара (Fпож ) будет равна площади обвалования (Fобв ) с вычетом площади РВС. Fпож =Fобв = 2644м2 ; 2. Определяем требуемое количество лафетных стволов для охлаждения горящего резервуара:
3. Определяем требуемое количество лафетных стволов для охлаждения соседних с горящим резервуаров:
Общее количество стволов для охлаждения соседних с горящим резервуаров составит:
4. Определяем количество стволов РС-70 по условиям техники безопасности для защиты личного состава, рукавных линий, ПТВ: NТБ ст”РС-70 ст.; 5. Определяем требуемое количество стволов ГПС для тушения горящей жидкости в резервуаре:
6. Определяем требуемое количество стволов ГПС для тушения горящей жидкости в обваловании:
7. Определяем общее количество стволов ГПС-600: NствГПС-600 = NТ.рез ГПС +NТ.обв. ГПС = 2+36=38 генераторов 8. Определяем требуемое количество пенообразователя для тушения горящей жидкости в резервуаре и обваловании (с учётом запаса пенообразователя): WПО = (NТ.рез. ГПС *gпо ГПС +NТ.обв. ГПС * gпо ГПС )*tp *K3 = =(2*0,36+36* 0,36)* 15* 60* 3=36936 л; 9. Определяем общий требуемый расход воды для выполнения всех видов работ при тушении пожара: QОБЩ = NГ ст”Л” *gст + NС ст”Л” *gст + NТБ ст”А” *gст + NТ.рез ГПС *gВ ГПС + NТ.обв ГПС *gВ ГПС = =3*15+8*15+4*7+2* 5,64 + 36 * 5,64 = 407 л / с.; 10. Определяем необходимый запас воды для охлаждения резервуаров (горящего и соседних): Wводы = NГ,С ств”Л” *gств”Л” *tохл. рас. =11*15*3600*б=35б4м3 . Вывод: Противопожарный водопровод (запас воды в пожарном водоёме) не обеспечит требуемый расход воды на тушение горящего резервуара, пожара в обваловании и охлаждение соседних с горящим резервуаров при расчётной продолжительности охлаждения 6 часов. Пополнение запаса воды в пожарном водоёме путём подвоза автоцистернами не представляется возможным (расстояние до ближайших водоисточников, расположенных в д. Кояново составляет 5 км.), т.к. понадобится более 50 АЦ. Согласно « Руководства по тушению пожаров нефти и нефтепродуктов в резервуарах" от 2000 года, в случаях, когда не может быть обеспечена требуемая нормативная интенсивность, а так же с учётом социально-экономических и экологических аспектов ликвидации пожара на объекте, руководителю тушения пожара необходимо выйти с предложением в местные органы власти об отказе тушения, организовать откачку продукта из горящего резервуара, сосредоточить имеющиеся силы на защите соседних с горящим резервуаров, локализации пожара и ограничение площади его распространения. Из тактических соображений (обеспеченности объекта водой) принимаем : 2.1. NГ ст”Л” = 3cт; 3.1. Nс.общ ст”Л” = 7cт; 4.1. NТБ ст”А” = 4cт 5.1. NТ.рез ГПС =2 ГПС-600; 6.1. NТ.обв ГПС =9 ГПС-600; 8.1.WПО = l 1*0,36*15*60*3=10692 л; 9.1. QОБЩ = ^З* 15+7* 15+4*7+11 *5,б4=240 л/с; 11. Определяем продолжительность работы лафетных стволов (охлаждение соседних с горящим резервуаров) от пожарного водоёма. Поскольку от водоёма (500 м3 ) будет подано на тушение также 10 стволов ГПС-600 фактическое время работы лафетных стволов составит:
12. Определяем требуемое количество пеноподъёмников для подачи ГПС на тушение горящей жидкости в резервуаре:
13. Определяем требуемое количество личного состава для тушения пожара (без учёта резерва): Nл/с = NГ ст”Л” *NС ст”Л” *3+NПП АЛ-30 *3+NTБ ст”РС-70” *2+NТ.обв. ГПС *2+Nм +Nсв. = 3*3 + 7*3 +1*3 + 4*2+ 9*2 + 9+ 7 = 75 чел; 14. Определяем требуемое количество отделений на основных пожарных автомобилях для тушения пожара (без учёта резерва):
Вывод: При данном варианте тушения пожара личного состава (отделений на основных пожарных автомобилях) по вызову № 3 недостаточно. РТП необходимо дополнительно к вызову № 3 вызвать на пожар 8 отделений, или, через дежурного диспетчера ЕДДС- 25-30 человек с воинских подразделений. Вариант - III Тушение пожара всех резервуаров, находящихся в одном обваловании 1. Определяем требуемое количество стволов РС-70 (Dн =19 и 25 мм) для охлаждения горящих резервуаров: Результаты расчёта сил и средств
Примечание: Противопожарный водопровод (запас воды в пожарном водоёме) не обеспечит требуемый расход воды на тушение горящего резервуара, пожара в обваловании, охлаждение горящего и соседних резервуаров при расчётной продолжительности охлаждения 6 часов. Пополнение запаса воды в пожарном водоёме путём подвоза автоцистернами не представляется возможным (расстояние до ближайших водоисточников, расположенных в д. Кояново составляет 5 км), т.к. в наличии понадобится более 50 АЦ. Согласно Руководства "Тушение пожаров нефти и нефтепродуктов в резервуарах" от 2000 года, в случаях, когда не может быть обеспечена требуемая нормативная интенсивность, а так же с учётом социально-экономических и экологических аспектов ликвидации пожара на объекте, РТП необходимо выйти с предложением в местные органы власти об отказе тушения, организовать откачку продукта из горящего резервуара, сосредоточить имеющиеся силы на защите соседних с горящим резервуаров, локализации пожара и ограничение площади его распространения.
Расстановка сил и средств
2. Определяем общее количество стволов РС-70 на охлаждение: Nст”РС-70” = NГ ст”РС-70” +NТБ ст”РС-70” =12+4=16cт.; 3. Определяем требуемое количество стволов ГПС для тушения горящей жидкости в резервуарах: Тушение всех резервуаров одновременно не возможно, т.к. в наличии имеется только 2 телескопических пеноподъёмника и АЛ-30 (131) ПМ-506 с гребёнкой на 2 ГПС). Поэтому первоначально силы и средства необходимо сосредоточить на тушение 2-х резервуаров (РВС № 2 и № 4). После ликвидации пожара на них перебросить силы для ликвидации горения на следующих резервуарах (РВС № 1 и № 3).
4. Определяем общее количество стволов ГПС-600: Nств.ГПС-600 = NТ ГПС +Nобв. ГПС =4+4=8 ст.; 5. Определяем требуемое количество пенообразователя для тушения горящей жидкости в резервуарах (с учётом запаса пенообразователя): WПО = (NT ГПС *gПО ГПС *tp *KЗ )*2 = (4*0,36*15*60*3)*2 = 7776 л; Следовательно, для тушения нефти в резервуарах будет достаточно пенообразователя. имеющеюся на объекте и пожарных автомобилях. 6. Определяем общий требуемый расход воды для выполнения всех видов работ при тушении пожара: Qобщ = NГ ст”РС-70” *gст + NТБ ст”РС-70” *gст + NТ ГПС *gВ ГПС + Nобв ГПС *gВ ГПС = =9*10+3*7+4*7+4* 5,64+4*5,64= 184л/с. Пожарный водопровод не обеспечит требуемый расход воды на все виды работ по тушению пожара, поэтому необходимо использовать пожарный водоём (500 м3 ). 7. Определяем необходимый запас воды для охлаждения горящих резервуаров: Wводы = NГ ств”РС-70” *gст”РС-70” *tохл рас. = (9*10+3*7)*3600*6=2397 м3 ; Вывод : Противопожарный водопровод (запас воды в пожарном водоёме) также как в Варианте - II не обеспечит требуемый расход воды на охлаждение горящих резервуаров при расчётной продолжительности охлаждения 6 часов. 8. Определяем продолжительность работы стволов "РС-70" (dн =25 мм, охлаждение горящих резервуаров) от пожарного водоёма. Количество стволов, работающих от ПВ, принимаем 8.
9. Определяем требуемое количество пеноподъёмников для подачи ГПС на тушение горящей жидкости в резервуарах:
10. Определяем требуемое количество личного состава для тушения пожара (без учёта резерва): Nл / с = NГ ст”РС-70” *2+NПП АЛ-30 *3+NПП троф. *6+NТБ ст”РС-70” *2+Nобв ГПС *2+Nм *Nсв. = = 12*2+1*3 + 1*б+ 4*2+ 4*2 + б+ 7 = 62 чел; 11. Определяем требуемое количество отделений на основных пожарных автомобилях для тушения пожара (без учёта резерва)
Вывод: При данном варианте тушения пожара личного состава (отделений на основных пожарных автомобилях) по вызову № 3 недостаточно. РТП необходимо дополнительно к вызову № 3 вызвать на пожар 4 отделения, или» через дежурного диспетчера ЕДДС- 15-20 человек с воинских подразделений. Тушение пожара всех резервуаров, находящихся в одном обваловании Результаты расчёта сил и средств
Расстановка сил и средств
Примечание: Противопожарный водопровод (запас воды в пожарном водоёме) также как в Варианте - II не обеспечит требуемый расход воды на охлаждение горящих резервуаров при расчётной продолжительности охлаждения 6 часов. Тушение всех резервуаров одновременно не возможно, т.к. в наличии имеется только 2 телескопических подъемника и АЛ-30 (131) ПМ-506 с гребёнкой на 2 ГПС). Поэтому первоначально стволы подаются на тушение РВС № 2 и № 4, после ликвидации пожара на них - на РВС № 1 и № 3. 10. РЕКОМЕНДАЦИИ РТП 1. Провести разведку пожара, в ходе которой установить: • количество и род нефтепродуктов в горящем и соседних резервуарах (уровни налива), обводненность продукта в горящем резервуаре, наличие донной воды (водяной подушки), характер разрушения крыши резервуаров; • наличие и состояние обвалования резервуаров, угрозу смежным сооружениям в случае выбросов или разрушения резервуара, пути возможного растекания нефти; • наличие и состояние производственной и ливневой канализации, смотровых колодцев и гидрозатворов; • возможность откачки или выпуска нефти из резервуаров и заполнение их водой или паром; • наличие и состояние стационарных систем и средств пожаротушения, водоснабжения и пенообразующих веществ, возможность быстрой доставки пенообразователя со склада объекта (соседних объектов); • наличие газоуравнительной системы, объединяющей резервуары группы, где возник пожар, возможность "отключения" горящего резервуара от общей газоуравнительной системы; • характер повреждений соседних резервуаров и коммуникаций, опасность воспламенения вытекающей из них нефти, дальнейшего развития пожара. 2. Создать на месте пожара оперативный штаб тушения пожара, включить в его состав представителей администрации и инженерно-технического персонала объекта, определить задачи, добиться их выполнения. 3. Немедленно организовать охлаждение горящего и соседних с ним резервуаров. 4. Организовать подготовку пенной атаки, определить места установки пеноподъемников и другой техники для подачи ГПС. проверить правильность расчётных данных на проведение пенной атаки. 5. Лично и с помощью специально назначенных работников объекта и пожарной охраны принять меры к соблюдению требований техники безопасности. 6. Из лиц начальствующего состава пожарной охраны назначить ответственных за: • охлаждение горящих и соседних резервуаров; • подготовку пенной атаки • соблюдение техники безопасности. 7. Организовать боевые участки: • БУ по охлаждению горящих и соседних резервуаров и сооружений; • БУ по установке пеносливных устройств (пеноподъемников, и автолестниц с гребенками для подачи ГПС); • БУ пеноподачи (выполнение схемы подачи пены); • БУ обеспечения (удаление вытекающей из обвалования нефти, заделывание отверстий в стенах резервуаров и трубопроводов, создание обвалований, проведение вскрышных работ). 8. Установив и объявить личному составу сигналы начала и прекращения пенной атаки, сигнал на эвакуацию личного состава при возникновении угрозы вскипания или выброса нефти из резервуаров. 9. Сосредоточить на месте пожара расчетное количество сил и средств, необходимое количество пенообразователя. 10. Использовать имеющиеся стационарные системы пожаротушения. 11. Через штаб установить связь с другими службами (газоспасательной, энергетической, общей охраной, водоснабжения, транспорта). Организовать их работу в зависимости от обстановки на пожаре. 12. Организовать защиту от теплового излучения дыхательной и другой арматуры соседних негорящих резервуаров (кошмами и асбестовыми полотнами). 13. При горении нескольких резервуаров и недостатке сил и средств для тушения всех резервуаров одновременно (Вариант - III) все силы и средства сосредоточить на тушение двух резервуаров, расположенных с наветренной стороны. После ликвидации пожара на них приступить к ликвидации горения на других резервуарах. 14. При тушение пожара в резервуаре, на запорной арматуре и обваловании одновременно (Вариант - II) РТП необходимо выйти с предложением в местные органы власти об отказе тушения, т.к. не может быть обеспечена требуемая нормативная интенсивность, а также с учётом социально-экономических и экологических аспектов, организовать откачку нефти из горящего резервуара, сосредоточить имеющиеся силы на защите соседних с горящим резервуаров, локализации пожара и ограничение площади его распространения (основание: Руководство "Тушение пожаров нефти и нефтепродуктов в резервуарах" от 2000 года). 15. РТП необходимо помнить, что: • при пожаре в резервуарном парке (по всем вариантам тушения) противопожарный водопровод (запас воды в пожарном водоёме) не обеспечит требуемый расход воды для охлаждения горящего (их) и соседних резервуаров при расчётной продолжительности охлаждения 6 часов; • как правило, следует запрещать откачку нефти с температурой вспышки ниже 28°С из негорящих резервуаров, так как при этом паровоздушная смесь внутри резервуара разбавляется воздухом до концентрации ниже верхнего предела взрываемости, т.е. создаются условия, благоприятные для взрыва. 16. При горении нефти в обваловании резервуарного парка немедленно вводить пеногенераторы. охлаждение стенок резервуаров, находящихся непосредственно в зоне воздействия пламени осуществлять из лафетных стволов, при этом охлаждать узлы управления коренными задвижками, хлопушками, а также фланцевые соединения. 17. Создать второй рубеж защиты по обвалованию соседних резервуаров с установкой пожарных автомобилей на дальние водоисточники и прокладкой резервных рукавных линий с подключенными стволами и пеногенераторами. 18. При тушении пожара по Варианту - II и III вызвать дополнительно через диспетчера ЕДДС к месту пожара необходимое количество пожарных подразделений, или воинские подразделения, распределить личный состав на участки, определить объем работы. 11. РЕКОМЕНДАЦИИ НШ 1. Штаб развернуть с наветренной стороны, вне зоны активного воздействия лучистой энергии пожара, при этом должен быть обеспечен хороший обзор горящего и смежных резервуаров. 2. Изучить обстановку на пожаре. По рабочим документам, имеющимся в резервуарном парке, и путем опроса операторов и другого персонала установить: • количество и род нефтепродуктов в горящем и соседних резервуарах (уровни налива), обводненность продукта в горящем резервуаре, наличие донной воды (водяной подушки), характер разрушения крыши резервуаров, возможность и ориентировочное время вскипания и выброса нефти; • возможность образования взрывоопасных паровоздушных смесей и взрывов в резервуарах, расположенных рядом с горящим (воспользоваться номограммой Приложения 2 оперативного плана); • наличие и состояние обвалования резервуаров, пути возможного растекания нефти; • наличие и состояние производственной и ливневой канализации, смотровых колодцев и гидрозатворов; • возможность откачки или выпуска нефти из резервуаров и заполнение их водой или паром; • наличие и состояние стационарных систем и средств пожаротушения, водоснабжения и пенообразующих веществ, возможность быстрой доставки пенообразователя со склада объекта (соседних объектов). 3. Включить в состав оперативного штаба представителей администрации и инженерно-технического персонала объекта. Добиться выполнения ими обязанностей, предусмотренных оперативным планом. Поддерживать постоянную связь с администрацией объекта и через её представителей в составе штаба обеспечить выполнение необходимых аварийных работ и получение информации, требующейся для принятия правильного решения по тушению пожара и защите соседних резервуаров и ближайших сооружений. 4. Из лиц начальствующего состава пожарной охраны назначить ответственных за: • охлаждение горящих и соседних резервуаров; • подготовку пенной атаки: • соблюдение техники безопасности. 5. Организовать боевые участки: • БУ по охлаждению горящих и соседних резервуаров и сооружений; • БУ по установке пеносливных устройств (пеноподъемников, автолестниц с гребенками для подачи ГПС); • БУ пеноподачи (выполнение схемы подачи пены); • БУ обеспечения (удаление из обвалования вытекающей нефти, заделывание отверстий в стенах резервуаров и трубопроводов, создание обвалований, проведение вскрышных работ). 6. Организовать надёжную и постоянную связь со всеми боевыми участками. 7. Довести до личного состава установленные сигналы: • на эвакуацию личного состава при возникновении угрозы вскипания или выброса нефти из резервуаров; • начала и прекращения пенной атаки; • сигнал на эвакуацию подавать продолжительной сиреной от пожарного автомобиля по приказу РТП или НШ, при этом сигнал на эвакуацию должен принципиально отличаться от других сигналов. 8. Установить связь с другими службами (газоспасательной, энергетической, общей охраной, водоснабжения, транспорта). Организовать их работу в зависимости от обстановки на пожаре. 9. Организовать необходимый запас огнетушащих средств, пожарной техники, пожарно-технического вооружения. 10. Постоянно уточнять расчётное количество сил и средств для проведения пенной атаки в зависимости от типа пенообразователя, вида и высоты горючего, времени свободного горения (приложение 5 рекомендаций "Тушение пожаров нефти и нефтепродуктов в резервуарах" 1991 г.). 11. Вести учёт и регистрацию всей получаемой информации об обстановке на пожаре, фиксировать все команды, отдаваемые РТП, время и качество их выполнения. Обеспечить передачу приказаний РТП начальникам БУ, добиться выполнения отданных распоряжений. 12. Определить пути ввода сил и средств на тушение, направления выхода из опасной зоны. 13. Контролировать состояние горящего и соседних резервуаров, их герметичность, наличие и возможность образования "карманов", особенности поведения конструкций, состояние коммуникаций и задвижек на участке пожара. 14. Сосредоточить вспомогательную технику (бульдозеры, самосвалы, экскаваторы, скреперы), обеспечить доставку песка, организовать работу по сооружению заградительных валов и отводных канав для ограничения размеров возможного растекания нефти в случае вскипания или выброса из резервуара. 15. Организовать, при необходимости, доставку технических средств для вырезки отверстия в горящем резервуаре. 16. Все операции по откачке нефти из горящего и соседних резервуаров должны проводиться только с разрешения РТП и штаба пожаротушения. 17. Организовать работу тыла, создать группы по направлениям работы (по организации подачи пены и воды, доставки пенообразователей, связи, ремонту техники, запасу ГСМ). 18. Определить месторасположение лагеря для размещения резерва личного состава, обеспечив его питанием, пунктами отдыха, санитарной обработки и медицинской помощи. 19. Периодически информировать ЦППС и личный состав об обстановке на пожаре. 20. При тушении пожара по варианту - II и III вызвать дополнительно через диспетчера ЕДДС к месту пожара необходимое количество пожарных подразделений, или, воинские подразделения, распределить личный состав на участки, определить объем работы. 12. РЕКОМЕНДАЦИИ НТ 1. Через дежурного оператора (мастера по добыче) принять меры по включению пожарного водовода, поднятию давления путем переключения дополнительных насосов на противопожарный водопровод. 2. Автомобиль ПНС-110 установить на пожарный водоем (по всем вариантам тушения). 3. Организовать бесперебойный подвоз пенообразователя со склада объекта. Использовать для этого автоцистерны с водобаками, полностью заправленными пенообразователем. 4. Организовать взаимодействие с членами объектового штаба: • с механиком нефтепромысла - по защите пожарных рукавных линий от повреждений транспортными средствами, выполняющими работы на пожаре, по сооружению временных переездов (настилов или углублений) в местах пересечения рукавными линиями дорог и проездов; • с начальником ТХУ, механиком нефтепромысла - по обеспечению автомобилей пенообразователем и ГСМ, а также по ремонту вышедших из строя на пожаре пожарных автомобилей и вызову необходимой техники с предприятий района (автоколонна № 3 нефтепромысла); • с заместителем начальника штаба (начальник ТХУ) - по организации питания лиц, занятых на ликвидации пожара. 5. Вести учет работы техники и рукавов. 6. Составить схему расстановки сил и средств. 7. Определить месторасположение лагеря для размещения резерва личного состава. Организовать пункт санитарной обработки и медицинской помощи, питание, сушку одежды и обогрев личного состава, работающего на пожаре. 13. Прочие рекомендации РЕКОМЕНДАЦИИ ОТВЕТСТВЕННОМУ ЗА ОХЛАЖДЕНИЕ ГОРЯЩИХ И СОСЕДНИХ РЕЗЕРВУАРОВ 1. Первые стволы подавать на охлаждение горящего резервуара, а затем на охлаждение и защиту всех соседних резервуаров с учётом направления ветра и Приложения 1 оперативного плана, находящихся от горящего до двух нормативных расстояний. 2. На горящий резервуар первые стволы подавать на наветренный и подветренный участки стенки резервуара. 3. Для охлаждения горящего с соседних резервуаров применять лафетные и стволы РС-70 (РС-70). 4. При горении нефти в обваловании охлаждение стенки резервуара, находящейся не-посредственно в зоне воздействия пламени осуществлять из лафетных стволов (Вариант-11). При этом охлаждать узлы управления коренными задвижками, хлопушами, а также фланцевые соединения. 5. На затяжном пожаре для охлаждения горящего резервуара можно использовать воду, скопившуюся в обваловании. 6. В период пенной атаки охлаждать всю поверхность нагревшихся стенок резервуара и более интенсивно в местах установки пеноподъёмников. После того, как интенсивность горения в резервуаре будет снижена, водяные струи следует направлять на стенки резервуара на уровне нефтепродукта в нём и несколько ниже уровня для охлаждения верхних слоев горючего. Резервуары охлаждать непрерывно до ликвидации пожара и их полного остывания. 7. Следить за тем, чтобы личный состав пожарной охраны, обеспечивающий подачу огнетушащих средств на охлаждение резервуаров работал в теплоотражательных костюмах, при необходимости под прикрытием распылённых водяных струй. 8. Не допускать ствольщиков в обвалование горящего резервуара при наличии проливов нефти, не покрытого слоем пены. 9. Объявить личному составу, участвующему в охлаждении резервуаров сигнал на эвакуацию при угрозе выброса, вскипания, разрушения резервуара (сигнал подаётся продолжительной сиреной от пожарного автомобиля), а также пути отхода. Все сигналы на пожаре должны принципиально отличаться от сигнала на эвакуацию. РЕКОМЕНДАЦИИ ОТВЕТСТВЕННОМУ ЗА ПОДГОТОВКУ ПЕННОЙ АТАКИ 1. Подготовку к пенной атаке проводить в максимально короткие сроки. 2. Сосредоточить у места пожара расчётное количество сил и средств (пенообразующих аппаратов и веществ, см. таблицы расчёта сил и средств). 3. Для подачи ГПС-600 на тушение горящего (их) резервуара (ов) использовать: • АЛ-30 (131) ПМ-506 8-СЧ с гребёнкой на 2 ГПС; • пеноподъёмники (находится за обвалованием у резервуара №1 (РВС -1000)). 4. Назначить расчёты личного состава и ответственных лиц из начальствующего состава для установки, работы и обслуживания пеноподъёмников. 5. Собрать схему подачи пены в соответствии с вариантом тушения. 6. Совместно с начальником тыла организовать бесперебойный подвоз пенообразователя со склада объекта и его подачи на тушение. Использовать для этого автоцистерны с водобаками, полностью заправленными пенообразователем. 7. Провести тщательную проверку собранной схемы подачи пены (стрела пеноподъёмника с пеногенераторами должна находиться в выдвинутом состоянии), опробовать работу техники и визуально определить качество пены. Если в течение 1-2 минут не получается качественной пены, следует выяснить причины и устранить неисправности. 8. О начале и прекращении пенной атаки объявить по громкоговорящему устройству и продублировать по рациям. 9. Объявить личному составу, участвующему в тушении сигнал на эвакуацию при угрозе выброса, вскипания, разрушения резервуара (сигнал подаётся продолжительной сиреной от пожарного автомобиля), а также пути отхода. Все сигналы на пожаре должны принципиально отличаться от сигнала на эвакуацию. 10. Пенную атаку проводить одновременно всеми расчётными средствами непрерывно до полного прекращения горения, кроме случая периодической подачи при тушении прогретой жидкости. 11. Для предупреждения повторного воспламенения нефтепродукта подачу пены в резервуар необходимо продолжить в течение 3-5 минут после прекращения горения. Если в течение 30 минут с начала пенной атаки горение не ликвидировано, то следует прекратить подачу пены и выяснить причины. 12. Тушение пожара может не достигаться в связи с недостаточной интенсивностью подачи раствора пенообразователя плохим качеством пены в следствии: • низкого напора перед распылителями пенных стволов; • засорения сеток или смесителей; • недостаточной концентрации пенообразователя в растворе; • расположения пенных стволов в факеле пламени. 13. Для предотвращения перелива нефтепродуктов целесообразно использовать импульсную подачу пены. В зависимости от вида нефти по таблице определить количество циклов подачи пены.
* За температуру кипения принимается средняя температура кипения горючего или температура 50 % отгона продукта. После 30-секундной подачи пены (один цикл) пеногенераторы отвести в сторону от горящего резервуара, при этом подачу пены не прекращать. Промежуток между циклами составляет 50-60 секунд. В последнем цикле подачу пены осуществлять до полной ликвидации горения. 14. При тушении пламени над арматурой или отверстиями в кровле применять мощные струи воды с расходом не менее 3 л*с-1 на 1 м3 объёма факела. 15. Горение нефтепродуктов в обваловании ликвидировать путём немедленной подачи огнетушащих средств. 16. Ликвидацию горения нефти, вытекающей из повреждённых трубопроводов и задвижек производить пенными или порошковыми средствами. Одновременно через администрацию объекта принять меры к прекращению истечения нефти путём перекрытия ближайших к аварийному участку задвижек и хлопуш на резервуарах. Для ликвидации горения нефти, вытекающей из повреждённых задвижек и трубопроводов организовать закачку воды (при наличии такой возможности) в повреждённый трубопровод. В этом случае через повреждённую задвижку (фланцевое соединение и т.д.) будет вытекать вода или сильно обводнённый нефтепродукт. 17. При горении нескольких резервуаров и недостатке сил и средств для тушения всех резервуаров одновременно (Вариант-111) все силы и средства сосредоточить на тушение двух резервуаров, расположенных с наветренной стороны. После ликвидации пожара на них приступить к ликвидации горения на других резервуарах. 18. Использовать имеющиеся стационарные системы пожаротушения. Каждый резервуар оборудован двумя ГПС-600, сухотрубы выведены за обвалование. 19. В начальный период пенной атаки при тушении нефти возможны вскипания. При начавшемся вскипании подачу пены прекращать не следует, при этом необходимо заблаговременно принять меры по обеспечению безопасности людей, участвующих в тушении (удалить из обвалования по возможности весь личный состав), и по защите струями воды рукавных линий, находящихся в зоне активного воздействия пламени. 20. Следить за тем, чтобы личный состав пожарной охраны, обеспечивающий подачу огнетушащих средств на тушение резервуаров работал в теплоотражательных костюмах. при необходимости под прикрытием распылённых водяных струй. Подготовка и проведение пенной атаки Для проведения пенной атаки необходимо : • сосредоточить у места пожара и подготовить к действию расчётное количество и необходимый резерв пенообразующих аппаратов и веществ; • назначить расчёты личного состава и ответственных лиц из начальствующего состава для обеспечения или для установки необходимого количества ручных пеноподъёмников; • установить и объявить личному составу сигналы начала и прекращения подачи пены, сигнал на отход при наличии угрозы вскипания, выброса тёмных нефтепродуктов из резервуаров. Подачу пены начинать только после того, как подготовлена полное расчётное количество средств с учётом резерва для тушения и охлаждения резервуаров, а также после тщательной проверки правильности и готовности собранной схемы подачи пены и воды по всей линии от насосов до пеногенераторов. Пенную атаку проводить одновременно всеми расчётными средствами непрерывно до полного прекращения горения. Горение нефтепродуктов в обваловании резервуарного парка ликвидируется путём немедленной подачи пены. При горении нескольких резервуаров и недостатке сил и средств тушения всех резервуаров одновременно, все силы и средства необходимо сконцентрировать на тушение одного резервуара, расположенного с наветренной стороны или иного резервуара, который больше всего угрожает соседним не горящим резервуарам. После ликвидации пожара на нём приступать к ликвидации горения на последующих резервуарах. После прекращения горения подачи пены в резервуарах необходимо продолжать в течении 3-5 минут для предупреждения повторного воспламенения нефтепродукта. При этом необходимо следить за тем, чтобы вся поверхность нефтепродукта была покрыта пеной. Охлаждение следует продолжать до полного остывания резервуара. Имеющиеся на резервуарах исправные стационарные установки пенотушения необходимо применять в первую очередь. При частичном отрыве крыши резервуара или обрушения её внутрь резервуара ликвидация пожара может быть достигнута одним из следующих способов: • подача пены через отверстия (окна), вырезанные в стенке резервуара выше уровня жидкости не менее чем на 1метр; • перекачка нефтепродуктов из других ёмкостей и выравнивание уровня жидкости (воду можно закачивать только в резервуары со светлыми нефтепродуктами). Ликвидация горения нефти и нефтепродуктов, вытекающих из повреждённых трубопроводов и задвижек производится пеной. Одновременно через администрацию объекта принимаются меры к прекращению истечения жидкости путём перекрытия ближайших к аварийному участку задвижек и хлопушек на резервуарах. При начавшемся вскипании нефтепродукта подачу пены не прекращать. В этом случае заблаговременно должны быть приняты меры по обеспечению безопасности людей, участвующих в тушении, и по защите струями воды рукавных линий, находящихся в зоне активного воздействия пламени. РЕКОМЕНДАЦИИ ОТВЕТСТВЕННОМУ ЗА СОБЛЮДЕНИЕ ТЕХНИКИ БЕЗОПАСНОСТИ 1. Объявить всему личному составу, участвующему в тушении пожара сигнал на отход при угрозе выброса, вскипания, разрушения резервуара, а так же пути отхода. 2. В процессе подготовки к тушению пожара назначить наблюдателей за поведением горящего и соседних резервуаров. 3. В начальный период пенной атаки удалить из обвалования по возможности весь личный состав (возможно вскипание нефти, независимо от содержания в ней воды), а также личный состав и обслуживающий персонал объекта из опасной зоны, не занятый работой по тушению пожара. 4. Не допускать ствольщиков в обвалование горящего резервуара при наличии проливов нефти, не покрытого слоем пены. 5. Следить за тем, чтобы личный состав пожарной охраны, обеспечивающий подачу огнетушащих средств на тушение и охлаждение резервуаров работал в теплоотражательных костюмах, при необходимости под прикрытием распыленных водяных струй, создать резерв теплоотражательных костюмов. 6. В целях обеспечения безопасности личного состава пожарную технику устанавливать с наветренной стороны не ближе 100 метров от горящего резервуара. 7. Организовать подмену ствольщиков на позициях. 8. Необходимо помнить и проинструктировать личный состав, что при горении нефтепродуктов, содержащих хотя бы незначительное количество воды, и при наличии донной воды возможны вскипания и выбросы. Выбросу и вскипанию предшествуют следующие внешние признаки: • усиливается горение; • изменяется цвет пламени (от ярко-красного до желтоватого); • усиливается шум при горении (характерный для кипящей жидкости); • светлеет дым и уменьшается его количество; • раздаются отдельные потрескивания (хлопки); • начинается вибрация стенок резервуара, особенно верхних поясов. 9. Для предупреждения выбросов при длительном горении нефти принять меры к удалению водяной подушки (подтоварной воды) путём дренажа в канализацию. 10. Как можно точнее рассчитать ориентировочное время наступления возможного выброса (см. раздел оперативного плана: прогнозирование развития пожара), для чего уточнить у обслуживающею персонала: • начальную высоту слоя нефти в резервуаре (Н), м; • высоту слоя водяной подушки в резервуаре (h), м; • линейную скорость понижения уровня вследствие откачки (V), м*ч-1 .
где: W - линейная скорость прогрева нефти 0,4 м* ч-1 ; U - линейная скорость выгорания нефти 0,15м* ч-1 . О результатах расчёта доложить РТП . 11. Следить за тепловым режимом горящего резервуара. При этом помнить, что: • вскипание может произойти примерно через 60 минут при содержании влаги в нефтепродукте более 0,3 %; • при горении нефти образуется прогретый до температуры кипения гомотермический слой, увеличивающийся с течением времени. Вскипание донной воды в резервуаре при достижении её поверхности гомотермическим прогретым слоем горючего приводит к его выбросу. 12. Не допускать нахождение личного состава на крышах наземных резервуаров. В исключительных случаях с разрешения оперативного штаба тушения пожара допускается пребывание на крышах резервуаров лиц, специально проинструктированных для выполнения работ по защите дыхательной и другой арматуры от теплового излучения. 13. При проведении вскрышных работ ниже уровня горючей жидкости (разгерметизация люк-лаза) для отвода нефти из горящего резервуара по заранее вырытой траншее в амбар необходимо соблюдать следующие меры безопасности: • ликвидировать прогретый слой в резервуаре (подача пены с нормативной интенсивностью в течение 15 минут, а также различные виды перемешивания); • на случай загорания вытекающей из отверстия нефти подготовить стволы ГПС-6ОО; • траншею необходимо закрыть металлическими листами с герметизацией швов песком для исключения переброса горения на амбар и траншею; • обозначить контуры траншеи и ограничить пребывание людей в этой зоне. 14. При организации работ по ликвидации пожара учитывать влияние теплового излучения на человека в соответствии с таблицей.
15. Объявить личному составу местонахождение пункта медицинской помощи, отдыха и обогрева.
Рис.1 Номограмма для определения максимально допустимого времени ввода сил и средств для охлаждения резервуаров, расположенных рядом с горящим Ключ пользования номограммой состоит в следующем. Из точки, соответствующей температуре окружающей среды, провести направляющий луч через шкалу "Отношение расстояния между резервуарами к диаметру горящего" и определить длительность нагрева стенки до температуры самовоспламенения. Пример пользования номограммой показан на рис.1 штрих-пунктиром при следующих исходных данных: - температура окружающего воздуха 0°С; - отношение расстояния между резервуарами к диаметру горящего составляет 0,45. Из точки, соответствующей температуре окружающей среды (0 °С), проводим направляющий луч, который пересекает шкалу "Отношение расстояния между резервуарами к диаметру горящего" в точке, равной 0,45, и показывает на шкале "Критическое время" 11 мин. Вывод: С начала пожара до истечения 11 минут должны быть приняты активные действия по охлаждению соседних резервуаров Расчёт номограммы выполнен при следующих условиях: - опасная температура нагрева (176 °С) принята равной 0,8 температуры самовоспламенения для топлива ТС-1 (данный нефтепродукт имеет самую минимальную температуру самовоспламенения); - интегральная плотность излучения при горении дизельных топлив в среднем составляет 73 кВт/м2 ; - толщина оболочки верхнего пояса резервуара РВС-5000 составляет 5 мм. Примечание: Результаты оценки справедливы для группы однотипных резервуаров при горении жидкости на всей свободной поверхности резервуара в условиях штиля.
Рис.2 Номограмма для определения взрывоопасности среды в резервуаре, расположенном рядом с горящим Взрывоопасность среды в облучаемом резервуаре со стационарной крышей оценивается по номограмме (рис.2). Для пользования номограммой необходимы следующие исходные данные: - уровень взлива нефтепродукта в соседних резервуарах; - температуру нефтепродукта в негорящем резервуаре (принимают равной среднемесячной температуре окружающей среды); - температуру вспышки нефтепродуктов. Пример пользования номограммой показан на рис.2 штрих-пунктиром при следующихисходныхданных: - уровень взлива топлива ТС-1 в негорящем резервуаре равен 10,66 м; - температура нефтепродукта равна среднемесячной температуре окружающей среды в июне месяце, т.е. 20 °С; - температура вспышки топлива ТС-1 составила 31 °С; - продолжительность облучения 10 мин. Из точки, соответствующей уровню взлива нефтепродукта (10,66 м ) проходит направляющий луч через шкалу "Время облучения" в точке, равной 10 мин., и упирается в прямую 1. При этом на прямой 1 делается отметка. Далее из этой точки направляющий луч пересекает точку 20°С на шкале "Температура нефтепродукта" и упирается в прямую 2. Из этой точки направляющий луч проходит через точку 31 °С на шкале "Температура вспышки" и указывает значение концентрации, равное 1,4 % об., т.е. концентрация паров в резервуаре взрывоопасная. Взрывоопасность среды указывает на первоочерёдность введения стволов на охлаждение данного резервуара. 14. Экономико-экологическая часть Экономический расчёт тушения пожара (вариант № 3). Для повышения противопожарного состояния объектов народного хозяйства государство выделяет немалое количество денежных средств. Поэтому необходимо стремиться к тому, чтобы эффективное выполнение противопожарных мероприятий и качественное тушение пожара способствовало сохранению материальных ценностей, снижению ущерба от пожара, снижению текущих расходов на содержание и эксплуатацию оборудования, пожарной техники. При тушении пожара в резервуаре № 4 и разлившейся из него нефти в отдельное обвалование приняли вариант тушения воздушно-механической пеной. Суммарные затраты определяем по формуле : Пi = Ci + Уi , Где: Пi - суммарные затраты; Ci - стоимость огнетушащих средств и работы передвижной пожарной техники; Уi - данный ущерб от пожара. Цена 1 тонны пенообразователя ПО-6К составляет Ц = 37 000 руб. Цена 1 тонны нефти - Ц =3 00 руб. * 1000 л = 300 000 руб. Цена 1 тонны воды - Ц = 1,7 руб. * 3000 л = 5100 руб. (т.е. 1тн = 1м3 ) Цена 1 тонны стали ВСт Зсп - Ц =204500 руб. С учётом того, что мы задались диаметром отверстия повреждённого резервуара № 4 (он равняется 100 мм = 0,1 м), из резервуара типа РВС-1000, диаметром 12 м, площадью зеркала горючего 120 м2 , высотой 9м, всего во время пожара, в обвалование вытекло нефти : Vб = Sз.р. * Нр., где Sз.р.-площадь зеркала горючего в резервуаре №4 Нр-высота отверстия резервуара, через которое происходит истечение нефти. Vб= 120*0,1= 12м3 нефти. Разлившаяся нефть займёт площадь 1108 м2 ,т.е. нефть займёт площадь всего обвалования. Дальнейший рост площади пожара происходить не будет, т.к. прибывшие подразделения локализуют пожар и в течении расчетного времени его ликвидируют. При этом будет использована (согласно расчётам) 7 автоцистерн и 5 автомобилей воздушно-пенного тушения, а также использована огнетушащих веществ : • вода - 2 583,5 м3 ; • пенообразователь ПО-6К - 14,9 м3 . Стоимость использования работы пожарной техники на пожаре : Собщ тех = САЦ +САВПТ , где Собщ тех - общая стоимость работы пожарной техники (в рублях); САЦ , АВПТ - соответственно стоимость работы автоцистерн и автомобилей воздушно-пенного тушения. САЦ = СТОН. +ССМ , где СТОН - расход топлива (л) на 1 минуту работы с насосом равен для АЦ на шасси ЗИЛ-130 табл. 5.7. [12] - 0,285 л/мин = 17,1 л/час. С учётом охлаждения горящего и соседнего резервуаров - 6 часов (п. 8.16. [3] ) расход топлива составит -102,6 л бензина на 1 АЦ. Для 7 автоцистерн : СТОН = 102,6 * 7 = 718,2 л = 0.718 м3 = 220 600 руб. Стоимость 1 тонны бензина А-80 = 13000 руб. Следовательно, 0,718 м3 = 9335 руб. CСМ - расход смазочных материалов. Он равен : CСМ = 0,25 * СТОН , т.е. CСМ = 30507 руб. Отсюда : САЦ = 1 220 600 + 305 150 = 1 525 750 руб. САВПТ = СТОН + ССМ , где СТОН - по табл. 5.7. для стационарной пожарной техники, расход топлива равен 1 минута работы с насосом 0,285 л/мин == 17,1 л/час. С учётом работы в течении расчётного времени [2] 15 минут СТОН = 0,285 * 15 = 4,28 л, для одной АВПТ. Для 5 автомобилей воздушно-пенного тушения : СТОН = 4,28 * 5 = 22 л = 0,022 м3 = 37 400 руб. ССМ = 0,25 СТОН = 0,25 * 37 400 = 9 350 руб. САВПТ = 37 400 + 9 350 = 46 750 руб. Следовательно: СОБЩ ТЕХН = САС + САВПТ = 1 525 750 + 46 750 = 1 572 500 руб. Стоимость израсходованных огнетушащих веществ : а) пенообразователя ПО-6К СП0 =WПO • ЦПO ,гдe ЦПO - цена 1 тонны пенообразователя; WПO - количество пенообразователя в тоннах; СП0 = 14,9 • 875000 = 13037500 б) воды СВОД = WВОД • ЦВОД , гдe WВОД - количество воды в тоннах; ЦВОД - цена 1 тонны воды; СВОД = 2583,5 • 210 = 542535рублей СОВ ОБЩ = 4470000+542535 = 5012535рублей. Сi = СТЕХ ОБЩ + СОВ ОБЩ = 6168785рублей. Ущерб от пожара: У=Ср. +Сб., где Ср. - стоимость резервуара, повреждённого пожаром (рублей); Сб. - стоимость вылившегося и сгоревшего бензина; Сб = Wб * Цб = Vб * Pб * Цб , Где: Wб – количество вытекшей нефти в, тоннах; Цб – цена 1 тонны нефти; Vб – объем вытекшей нефти; Pб – плотность нефти; Сб = 12 * 0,8 * 1700000 = 16320000 рублей,
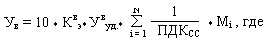
Сб – балансовая стоимость резервуара РВС-1000 Сб = 28000 * 3000 = 84000000руб.(первоначальная), Hа – нормы амортизационных отчислений = 6,3%, T- срок эксплуатации резервуара
Сост. – остаточная стоимость основных фондов,т.е. резерва РВС-1000,
где: Сост. согласно табл. 3.1. [9] масса резервуара РВС-1000 = 25,047 кг, а установленная норма аммартизационных отчислений для остальных резервуаров равна 5% в год, ст. 87 [9]. Марка стали резервуара ВСт Зсп согласно прейскуранта № 01-07 от 1990, М оптовые цены на сталь по табл. 9 равны 321 руб. * 3000 за 1 тонну, т.е. 963 000 руб. По РВС-1000 цена составляет 24 075 000 руб. J = Ср
+ C Суммарные затраты по тушению пожара в резервуаре № 4 составляют: Пi = Ci + Ji = 6 168 785 + 23 325 000 = 29 493785руб. Согласно приведённого расчёта суммарных затрат по варианту № 3 для тушения пожара необходимо 12 отделений : • 7АЦ-40(130)63А; АЦ-40(130)63Б • 5АВ-40(375)Ц000050. Их стоимостной показатель, согласно таблице на стр. 51-52 [8] равен 8 200 * 3000 руб.; 9000 * 3000 руб.; 15 480 * 3000 руб. Использование большего количества прибывающей пожарной техники, а также других типов техники привлекаемых согласно 3 номера вызова, объявленного на нефтепромысле «Дружный», приводит к увеличению суммарных затрат по тушению данного пожара, снижению эффективности и качеству тушения пожара. 15. Проблемы экологии В настоящее время защита окружающей среды является одной из главных проблем у нас в стране и во всём мире. В химической и нефтехимической промышленности проблемы экологии является актуальной с самого начала возникновения этих отраслей. В целях защиты окружающей среды на нефтебазах должны проводиться мероприятия по сокращению выбросов загрязняющих веществ в водоёмы, воздух и почву. Для обеспечения требований к составу и свойствам воды, водных объектов хозяйственно-питьевого, культурно-бытового водопользования должны быть разработаны нормы предельно-допустимых сбросов (ПДС) загрязняющих веществ. Под предельно-допустимым сбросом вещества в водный объект, понимается масса вещества в сточных водах, максимально допустимая к отведению с установленным режимом в данном пункте водного объекта в единицу времени. С целью предотвращения загрязнения водоёмов сточными водами на нефтебазах необходимо осуществлять внедрение оборотного водоснабжения и повторного использования очищенных сточных вод. Для обеспечения строгого контроля за расходованием воды на нефтебазах следует устанавливать водомерные устройства и приборы независимо от количества потребляемой и сбрасываемой воды. Основным компонентом воздушной среды выбросами нефтебаз являются углероды, окись углерода, окиси серы, азота, взвешенные вещества. Поэтому в процессе эксплуатации нефтебаз особое внимание необходимо обращать на техническое состояние оборудования, которое может явиться источником загрязнения атмосферы. В соответствии с требованиями действующего закона должны быть установлены нормы предельно допустимых или временно согласованных выбросов (ПДВ или ВСВ), загрязняющих веществ в атмосферу. После установления норм ПДВ на нефтебазах должна быть организована система контроля за их соблюдением, элементом которой является лабораторный контроль фактического загрязнения атмосферы углеводами, окисью углерода и другими веществами, содержащимися в выбросах. Но помимо загрязнения окружающей среды нефтепродуктами при нормальном протекании технологического процесса объекта, ещё больший урон будет нанесён при возникновении на нём аварийной ситуации или пожара. В связи с этим приведём эколого-экономическую оценку ущерба от загрязнения окружающей среды при возникновении пожара на нефтепромысле в резервуаре № 4, если происходит растекание горючей жидкости из-за повреждения резервуара и её горение в обваловании (т.е. рассмотрим наиболее сложный случай). Формула расчёта экономического ущерба от загрязнения окружающей природной среды при пожарах и авариях имеет вид: У = Уа +Ув +Уп , где Уа - экономический ущерб от загрязнения атмосферного воздуха, руб.; Ув - экономический ущерб от загрязнения водных объектов, руб.; Уп - экономический ущерб от загрязнения почвы, руб. Необходимые данные для расчёта экономического ущерба от загрязнения окружающей среды от пожара приведены в таблице 5.2.1. Состав продуктов горения бензина Таблица 5.2.1
Экономический ущерб от загрязнения атмосферного воздуха определяем по формуле:
10-коэффициент, учитывающий аварийный характер выброса; Ка э - коэффициент, учитывающий экономическую значимость иэкологическое состояние атмосферного воздуха региона, где случилась авария или пожар; Уа уд - удельный экономический ущерб от загрязнения атмосферного воздуха с учётомкоэффициента индексации цен (руб./усл. т); ПДКСС - предельно-допустимая концентрация среднесуточная для воздуха (мг/м ); Мi - масса i-го загрязнителя попавшего в окружающую среду (т). УNO а = 10*2*280,5*1/50*400 = 4488000 руб. УСО а = 10*2*280,5*1/30*200=3740000 руб. Усажа а = 10*2*280,5*1/5*300 = 33660000 руб. Уа = УNO а +УСО a +Уcaжa a = 11594000 руб. Экономический ущерб от загрязнения водных объектов определяем по формуле:
К в э -коэффициент, учитывающий экономическую значимость экологическое состояние водных объектов региона, где случилась авария или пожар; У в уд - удельный экономический ущерб от загрязнения водных объектов с учётом коэффициента индексации цен (руб./усл. т); ПДКСС - предельно-допустимая концентрация веществ в воде рыбохозяйственныхводоёмов (мг/л); УNO В = 10*l,06*37697,5*l/2*10-5 *400 = 7991870000000 руб. УС O В = 10*1,06*37697,5* 1/2*10-5 *200 = 3995935000000 руб. Усажа В =10*l^6*37697,5*l/2*10-5 *300=5993903000000руб. УОВ В = 10*l,06*37б97,5*l/2*10-5 *0,06*2583 = 3096450031500 руб. Ув = УNO В + УС O В + УОВ В + Усажа В = 48946208315000 руб. Экономический ущерб от загрязнения почвы определяем по формуле:
Кn э – коэффициент, учитывающий экологическую значимость экологическое состояние почвы региона, где случилась авария или пожар; Уn уд - удельный экономический ущерб от загрязнения почвы с учётом коэффициента индексации цен (руб./усл. т); YОВ - концентрация огнетушащего вещества в воде, которая была использована на тушение (пенообразователь) г/м3 ; VHO - объём израсходованной на тушение воды (сточные воды после пожара), м3 УNO П = 10*1,7*102000*400 = 693600000 руб. УCO П = 10*1,7*34000*200 = 115600000 руб. Усажа П = 10*1,7*68000*300 = 346800000 руб. УОВ П = 10*1,7*34000*0,06*2583 = 89578440 руб. Уп = УNO П + УCO П + УОВ П + Усажа П = 1245578440 руб. Подставим полученные данные в исходную формулу: У=11594000+48946208315000+1245578440==4895982349940 руб. Таким образом, примерный ущерб от загрязнения окружающей среды при пожаре на нефтепромысле «Дружный» составил 4,8 трл. рублей. Места отбора проб воздуха, периодичность и частота отбора, необходимое число проб, методы анализа должны выбираться по согласованию с органами санитарно-эпидемиологических и гидрометеорологических служб. В целях снижения загрязнения атмосферы выбросами вредных веществ необходимо осуществлять мероприятия по сокращению потерь нефтепродуктов: - оснащение резервуаров пантонами; герметизация резервуаров, дыхательной арматуры, своевременный профилактический ремонт трубопроводов и запорной арматуры; окраска наружной поверхности резервуаров покрытия с низким коэффициентом излучения; - одновременная покраска внутренней и внешней поверхности резервуаров; - перекачка на магистральных трубопроводов "из насоса в насос" ; - налив нефтепродукта в железнодорожные цистерны под уровнем; - нижний налив автоцистерны и автоматизация процесса. Источником загрязнения почвы нефтепродуктами могут быть не плотности запорной арматуры, фланцевых, муфтовых соединений, сварных стыков, утечки в следствии коррозионных повреждений резервуаров и трубопроводов. Для сокращения потерь нефтепродуктов и предотвращения загрязнения почвы при розливах, отборе проб, ремонтах необходимо устраивать закрытые дренажи заглубленные резервуары с автоматической откачкой нефтепродуктов. Должен осуществляться постоянный надзор за герметичностью технологического оборудования, сальниковых устройств, фланцевых и резьбовых соединений, съёмных деталей, люков и т.д. Во избежание потерь нефтепродукта при переливах следует применять пневматические и другие предохранительные устройства, автоматически прекращающие подачу нефтепродукта по достижении заданного уровня или разгерметизации коммуникаций. Вывод При проведении расчётов на тушение выбранного промышленного объекта, были рассмотрены особенности технологического процесса нефтяного промысла, приведена характеристика и противопожарное водоснабжение объекта. Проанализированы оперативно-тактические возможности Пермского гарнизона пожарной охраны, изложена статистика пожаров на нефтебазах. Проведено прогнозирование масштабов возможной оперативной обстановки, произведены расчёты требуемого количества сил и средств для тушения пожаров: в наиболее крупном резервуаре; в резервуарах, расположенных в группе резервуаров; в резервуаре, расположенном в отдельном обваловании при розливе горючей жидкости. Разработаны рекомендации РТП и оперативному штабу пожаротушения по организации тушения пожара на нефтепромысле г. Перми. Следует отметить, что для обеспечения успешного тушения пожаров на данном объекте, необходимо: 1. Добиться от руководства промысла осуществления технических мер, разработанных в дипломе, обеспечивающих безопасные условия ведения боевых действий. 2. Начальнику Управления организации пожаротушения МЧС Правительства Пермской области не реже одного раза в полугодие отрабатывать сбор личного состава и развёртывание сил и средств ОГПС-1,5 по разработанным схемам подачи огнетушащих веществ. 3. Предусмотреть и согласовать с задействуемыми организациями сосредоточение на месте пожара расчетного количества пенообразующих средств за время не более 1 часа. 4. Администрации промысла разработать, согласно ППБ 01-03 План локализации и ликвидации аварий, с расчетом, согласно ГОСТ Р 12.3.047- 98, возможных зон загазованности, давления на фронте ударной волны при взрыве топливовоздушного облака, а также необходимого количества сил и средств для ликвидации последствий аварий (без пожара), а именно: бульдозеров, рабочих, земли и песка, экскаваторов и т.д. СПИСОК ЛИТЕРАТУРЫ 1. СНиП 2.11.03-93г. "Склады нефти и нефтепродуктов. Производственные нормы". М.,Стройиздат, 1993г.- 40 с. 2. Руководство по тушению пожаров нефти и нефтепродуктов в резервуарах. ВНИИПО, ГУГПС МЧС РФ, МИПБ, М., 2000г.- 48 с. 3. Указания по тушению пожаров нефти и нефтепродуктов в резервуарах. ВНИИПО, ГУПО, МВД, М., 1991г.- 60 с. 4. "Пожаровзрывоопасность веществ и материалов и средства тушения". Справочник. 4.1 и П, М., "Химия", 1990г.- 384 с. 5. ППБ 01-03 «Правила пожарной безопасности в Российской Федерации» 6. Боевой устав пожарной охраны. М., МВД РФ, 1995г. -146с. 7. ВППБ 01-03-96 Правила пожарной безопасности для предприятий АК «Транснефтепродукт» , М., 1996г.- 24 с. 8. Инструкция по тушению пожаров, ГУПО, М., 1987г.- 31с. 9. Я.С.Повзик "Пожарная тактика", М., Стройиздат, 1990г.-310 с. 10.В.В. Теребнев «Справочник руководителя тушения пожара. Тактические возможности пожарных подразделений»/ М.: ООО «ПожКнига», ООО »Пожнаука»., 2004г.- 248 с. 11. Я.С.Повзик "Пожарная тактика в примерах", М., Стройиздат, 1992г.- 270 12. Я.С.Повзик "Тактические задачи по тушению пожаров", 4.1 и II, М., ВИПТШ, 1987г.,1988г.-163 с. 13. В.П.Сучков "Пожары резервуаров с нефтью и нефтепродуктами" ,М., ЦНИИТЭ Нефтехим, 1992г.- 100 с. 14. Организация тушения пожаров и аварийно-спасательных работ, ВИПТШ, М., 1990г.- 224 с. 15. Методические указания к дипломному проектированию для слушателей Академии ГПС МЧС РФ, М,: 2003г.-48 с. 16. Ю.И.Аболенцев "Экономика противопожарной защиты", М., ВИПТШ МВД СССР, 1986г.- 242 с. 17. Определение нормативного запаса пенообразователя для изменения горючих жидкостей в резервуарах, ВНИИПО МВД СССР, 1^.,1996г. 18. Рекомендации по предупреждению и тушению пожаров в резервуарах с понтоном и плавающей крышей, ГУПО МВД СССР, М., 1992г. 19. Указание по тушению пожаров нефти и нефтепродуктов в резервуарах, ГУПО ВНИИПО, Утверждено начальником ГУПО МВД СССР 16 апреля 1973г. 20. Определение нормативного запаса пенообразователя для тушения горючих жидкостей в резервуарах, ВНИИПО, МВД СССР, 1986г. 21. Актуальные проблемы обеспечения устойчивости к возникновению и развитию пожара технологий хранения нефти и нефтепродуктов, М.,1995г. 22. Рекомендации по обеспечению пожарной безопасности объектов нефтепродуктообеспечения, расположенных на селитебной территории, ГУГПС МВД России, ВНИИПО МВД России, № 20/3.2/2125 от 12.09.96.: Тип. ВНИИПО., 1996.-50 с. |
|||||||||||||||||||||||||||||||||||||||||||||||||||||||||||||||||||||||||||||||||||||||||||||||||||||||||||||||||||||||||||||||||||||||||||||||||||||||||||||||||||||||||||||||||||||||||||||||||||||||||||||||||||||||||||||||||||||||||||||||||||||||||||||||||||||||||||||||||||||||||||||||||||||||||||||||||||||||||||||||||||||||||||||||||||||||||||||||||||||||||||||||||||||||||||||||||||||||||||||||||||||||||||||||||||||||||||||||||||||||||||||||||||||||||||||||||||||||||||||||||||||||||||||||||||||||||||||||||||||||||||||||||||||||||||||||||||||||||||||||||||||||||||||||||||||||||||||||||||||||||||||||||||||||||||||||||||||||||||||||||||||||||||||||||||||||||||||||||||||||||||||||||||||||||||||||||||||||||||||||||||||||





