Контрольная работа: Определение геотермии горного массива
|
Название: Определение геотермии горного массива Раздел: Рефераты по геологии Тип: контрольная работа | ||||||||||||||||||||||||||||||||||||||||||||||||||||||||||||||||||||||||||||||||||||||||||||||||||||||||||||||||||||||||||||||||||||||||||||||||||||||||||||||||||||||||||||||||||||||||||||||||||||||||||||||||||||||||||||||||||||||||||||||||||||||||||||||||||||||||||||||||
| Федеральное агентство по образованию Государственное образовательное учреждение высшего профессионального образования “Якутский государственный университет им. М.К. Аммосова” Технический институт (филиал) в г. Нерюнгри Контрольная работа № 1 на тему: «Определение геотермии горного массива» Вариант 5
Выполнил: ст. гр. ТиТР - 06 Денисов Д.С. Проверил: преподаватель Скоморошко Ю.Н. Нерюнгри 2008г. Определение геотермии горного массива
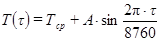
Цель занятия – построить температурный профиль горного массива по глубине (в гелиотермозоне, криолитозоне) и оценить мощность СТС, а также мощность распространения вечномерзлых горных пород. Теоретические положения: Температурное поле верхней части земной коры определяется взаимодействием внутренних и внешних источников тепла. Внутренние источники тепла относительно стабильны, т.к. связаны с постоянно действующими факторами (радиоактивный распад, гравитационная дифференциация вещества и т.д.). Эти источники вызывают повышение температуры пород с глубиной. Внешние источники (основным из которых является переменная во времени солнечная радиация) вызывают периодические температурные колебания горного массива, затухающие на определенной глубине от поверхности Н0 , называемой глубиной гелиотермозоны или глубиной нейтрального слоя. Температурный режим поверхности Земли в конкретном районе определяется как:
где тср – среднегодовая температура почвы, °С; тср =tср +2; tср – среднегодовая температура воздуха, °С; Ат – амплитуда колебаний температуры почвы, °С; Ат »Аt – 2,5; Ат – амплитуда колебаний воздуха, °С; t - время, изменяется от 0 до 8760 – продолжительность года в часах, Для полуограниченного массива амплитуда годовых колебаний температуры пород на глубине Н определяется по известной формуле: Ат
(Н)=Ат
×ехр где а - коэффициент температуропроводности, м2 /ч; а=3600× lp - коэффициент теплопроводности пород, Вт/(м×К); с – удельная теплоемкость пород, Дж/(кг×К); r – плотность пород, кг/м3 . Запаздывание колебаний температуры пород по отношению к изменениям температуры воздуха для полуограниченного массива имеет вид: dt
= Тогда изменение температуры пород в пределах гелиотермозоны с учетом зависимостей (1.2), (1.3) приблизительно описывается уравнением:
,
t
=
+
× Глубину гелиотермозоны можно определить из выражения (1.2) Но
= где Ат (Но ) – амплитуда пород на глубине Но , для расчетов можно принять ( )=0,1 °. Изменение температуры пород при углублении на 1м называется геотермическим градиентом qг (G). Тепловой поток в недрах Земли q связан с геотермическим градиентом законом Фурье q= - l ×q Знак минус в формуле говорит о том, что вектор геотермического градиента направлен сверху вниз (в сторону увеличения температуры), а тепловой поток – снизу вверх (направление теплопередачи). Поэтому, геотермический градиент можно определить следующим образом q = q/l (1.6) Средний удельный тепловой поток из недр Земли к ее поверхности составляет q = 7×10-2 /2 . С увеличением глубины Н ниже нейтрального слоя температура горных пород возрастает приблизительно по линейному закону = +q ×(- ), (1.7) где То - температура пород на глубине нейтрального слоя Но и вычисляется по формуле (1.4). Исходные данные Теплофизические свойства пород Таблица 1.1
Данные по варианту
Порядок проведения работы 1. Рассчитать по формуле (1.1) и построить график изменения текущей температуры поверхности по заданным tср и Аt в функции времени на период один год.
2. Вычислить годовое изменение температуры пород на разных глубинах (2, 5, 8,10,13,15,17 метров и т.д.) в пределах гелиотермозоны по формуле (1.4).
|
||||||||||||||||||||||||||||||||||||||||||||||||||||||||||||||||||||||||||||||||||||||||||||||||||||||||||||||||||||||||||||||||||||||||||||||||||||||||||||||||||||||||||||||||||||||||||||||||||||||||||||||||||||||||||||||||||||||||||||||||||||||||||||||||||||||||||||||||
°С, (1.2)
(1.4)


