Реферат: Оцінка точності при параметричному методі врівноваження
|
Название: Оцінка точності при параметричному методі врівноваження Раздел: Рефераты по геологии Тип: реферат |
| Міністерство освіти і науки України Волинський національний університет ім. Лесі Українки географічний факультет
Реферат на тему: «Оцінка точності при параметричному методі врівноваженн я »
Виконала: Студентка 25 групи ЗІК Витрикуш Анастасія Володимирівна Викладач: Бліндер Ю. С. Луцьк- 2010
План
Вступ. 1) Суть завдання врівноваження геодезичних побудов. 2) Основні способи врівноваження геодезичних побудов. 3) Суть і послідовність врівноваження параметричним способом. 4) Оцінка точності при парметричному методі врівноваженні. Висновок Список використаної літератури
Вступ
Геодезія займається вивченням Землі в геометричному відношенні. Назва геодезія походить від грецьких слів: гео-земля та дазаман-ділю, тобто Землі розділення. Звідси видно, що геодезія дуже близька до геометрії-науці про вимір. Обидві ці науки зародилися в далекій давнині. З розвитком людського суспільства геометрія стала займатися вивченням просторових форм, а практична частина в додатку до питань виміру на землі отримала назву геодезія. Геодезія у свою чергу тісно пов'язана з картографією-наукою про складання карт. Геодезичні матеріали служать основою для складання карт. Завданням геодезії є вивчення деталей земної поверхні. У результаті вивчення отримують плани, карти та числові характеристики, що відносяться до Землі в цілому і окремих дільницях, лініях і точкам на ній. У геодезії вивчаються способи та інструменти, що застосовуються при вимірюванні кутіві довжин ліній. Матеріали геодезичних робіт у вигляді планів, карт і числових величин (координат і висот) точок земної поверхні мають велике застосування в різних галузях народного господарства. Усяке споруда проектують з урахуванням наявних на місцевості контурів споруд, доріг, водних джерел, ґрунту. Тому для проектування необхідний план місцевості з докладним відображенням всіх деталей. Проектування та будівництво сіл, міст, залізних і шосейних доріг не можна виконувати без геодезичних матеріалів. Геодезичні роботи за змістом і характером поділяються на дві стадії: 1. польові вимірювальні роботи із застосуванням сучасної геодезичної техніки. 2. обчислювальна обробка результатів вимірювань, графічне складання та оформлення планів і карт. Винятково велике значення планова-картографічний матеріал має в сільському господарстві. Землевпорядні органи займаються проблемою раціонального використання землі. Перед сільським господарством стоять завдання зрошення, осушення земельних ділянок, поведінка заходів щодо боротьби з ерозією грунтів та ін всі ці питання можна вирішити тільки з використанням геодезії. Для вирішення багатьох питань необхідні плани, карти, що відображають рельєф, межі видів ґрунтів, рослинності, водойм та ін Методи вивчення Землі в цілому, як планети значно відрізняються від методів вивчення окремих ділянок поверхні. Земля є сферичне тіло, отже, досліджуючи її в цілому або великих її ділянок необхідно враховувати сферичність, що і вивчає наука вища геодезія.
Суть завдання врівноваження геодезичних побудов Геодезичні побудови створюються для забезпечення єдиної системи координат і висот, для визначення взаємного положення точок, що знаходяться на земній поверхні, під і над нею. При цьому об'єкти можуть бути нерухомими (рівновага об'єктів) або знаходиться в русі. Геодезичними побудовами є різні геометричні фігури, в яких вимірюються довжини ліній, кути, перевищення. Розрізняють такі геодезичні побудови: 1) ряди і мережі тріангуляції, трилатерації, лінійно-кутові мережі; 2) ходи і мережі полігонометричні, нівелірні, теодолітні, висотно теодолітні; 3) просторові геодезичні і космічні мережі і ін. У цих мережах прямим або непрямим способом вимірюються різні елементи, які дають можливість знайти невідомі параметри (координати і висоти), що характеризують взаємне положення вершин геометричних фігур в просторі. У будь-якому геодезичній побудові вимірюються k невідомих величин, які вистачає для відшукання невідомих нам параметрів. Наприклад, в мережі тріангуляцію досить знати один базис і виміряти по два кути в кожному трикутнику (рис. 1).
Рис.1 – Необхідні величини. Крім того, вимірюються r надлишкових (додаткових) величин, необхідних для відбракування грубих вимірів, підвищення точності визначення шуканих параметрів і для оцінки точності вимірів і визначуваних параметрів (рис. 2). Наприклад, в приведеній раніше мережі тріангуляції необхідно виміряти додатково треті кути в трикутниках і вихідний (останній) базис і так далі.
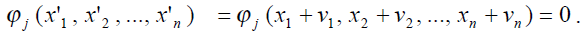
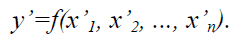
Рис. 2 Необхідні і надлишкові величини. Надлишкові величини пов'язані з необхідними математичними співвідношеннями. Наприклад, в даній мережі тріангуляції сума кутів в кожному трикутнику повинна бути рівна 180˚. Або b1 і b2 зв'язані між собою трикутниками, вирішення яких виробляється по теоремі синусів. Всього в кожній побудові виконується n = k + r вимірів. Слід мати на увазі, що для визначення координат кожної точки необхідно виконати по 2 виміри, а для визначення висот кожної точки – по одному виміру. Всі виміри n = k + r елементів геодезичної побудови супроводяться похибками (випадковими і систематичними). Тому виміряні значення елементів мережі відрізняються від їх дійсних значень, а з цього виходить, що математичні співвідношення між значеннями елементів в мережі не дотримуються. Нехай для елементів Xi отримані результати вимірів xi. Ці результати є функціями його елементів. Обчислене по виміряних елементах значення параметра y=f(x1, x2 ..., xn) відрізняється від його дійсного значення Y=f(X1, X2 ..., Xn) і має дійсну похибку ∆y=y-Y. Ця похибка ∆y функціонально залежить від похибок виміру елементів ∆i. До того ж кожен параметр може бути знайдений по різних комбінаціях k елементів з n виміряних. Значень одного і того ж параметра, що набувають при цьому, будуть різні. Елементи геодезичної побудови зв'язані між собою різними геометричними умовами, які можна записати в наступному вигляді:
Ці рівняння називаються умовними рівняннями або рівняннями зв'язку. При підстановці в умовні рівняння виміряних значень елементів отримують нев'язки.
Якщо нев'язки wj не перевищують допустимого значення, то виміри вважаються виконаними правильно. У такому разі виміри зрівнюються для усунення нев'язок, визначення зрівняних значень елементів xi і оцінки їх точності. Це основні завдання зрівнювання. При підстановці зрівняних значень елементів x’i в умовні рівняння отримуємо:
Параметр геодезичної побудови, обчислений по зрівняних елементах, набуває лише одне значення
Крім того, зрівняні значення елементів володіють меншою (по абсолютній величині) похибкою, чим виміряні значення елементів, тобто
де Таким чином, врівноваження забезпечує: 1) однозначне визначення параметрів геодезичної побудови; 2) підвищення точності визначення елементів і параметрів побудови. Зрівнювання геодезичних побудов виконується в тих випадках, коли: 1) відомі вихідні дані, яких вистачає для обчислення визначуваних параметів побудови; 2 ) виконано n вимірів, причому n>k (k – число необхідних вимірів); 3) серед виміряних n елементів побудови є k величини, необхідні і достатні для відшукання визначуваних параметрів. Основні способи врівноваження геодезичних побудов
Основними є два способи зрівнювання: 1) параметричний спосіб (спосіб необхідних невідомих); 2) коррелатний спосіб (спосіб умов). Окремі способи зрівнюваннями, що мають свої назви, є видозміни або різні комбінації цих способів (зрівнювання вимірів однієї величини, групове зрівнювання, параметричний спосіб з надлишковими невідомими, спосіб умов з додатковими невідомими і ін.) Параметричний спосіб заснований на тому, що кожен елемент геодезичної побудови xi функціонально пов'язаний з системою незалежних між собою параметрів y1, y2, ..., yk, достатніх для визначення взаємного положення пунктів геодезичної побудови, тобто
де Xi і Yj – дійсні значення елементів і параметрів геодезичної побудови. При зрівнюванні параметричним способом визначають зрівняні значення параметрів y’1, y’2, ..., y’k, необхідних для представлення всіх елементів геодезичної побудови в наступному вигляді:
де xi і vi – виміряне значення i-того елементу побудови і поправка до нього. З цього рівняння отримують систему початкових рівнянь поправок або параметричні рівняння:
Для приведення цих рівнянь до лінійного вигляду знаходимо наближені значення невідомих параметрів y1, y2 ..., yk і представляємо їх зрівняні значення у вигляді:
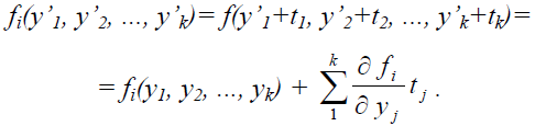
де tj – невеликі по абсолютній величині поправки до наближених значень параметрів. Розкладемо функцію fi(y’1, y’2, ..., y’k) в ряд Тейлора і, обмежуючись лише лінійними членами, отримаємо:
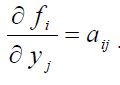
Приймемо, що
Тоді
Отже,
Приймемо, що
тобто li – це різниця між елементами, обчисленими по наближених параметрах і їх виміряними значеннями. Тоді отримаємо систему параметричних рівнянь поправок в лінійному вигляді
Число цих рівнянь дорівнює числу n виміряних величин, а число невідомих параметрів – k, причому k<n. Така система рівнянь є невизначеною. Вона має безліч рішень. Для здобуття однозначного рішення необхідно введення додаткових умов, при яких виробляється зрівнювання. Зрівнювання параметричним способом полягає у відшуканні поправок t1, t2, ..., tк наближених значень шуканих параметрів у1, у2, ..., уk, їх зрівняних значень у’1 у’2 ., у’k і х’1, х’2 ., х’n, а також в оцінці точності результатів врівноваження. Коррелатний спосіб зрівнювання полягає у вирішенні системи r незалежних умовних рівнянь, що виникають при вимірі r надлишкових елементів в геодезичній побудові. Умовне рівняння має вигляд:
де wj – нев'язки в умовних рівняннях. Для приведення умовних рівнянь до лінійного вигляду приймемо, що:
де xi і vi – виміряне значення i-того елементу геодезичної побудови і поправка до нього. Поправки vi усувають нев'язку wj (умова зрівнювання). Тоді:
Поправки vi малі по абсолютній величині порівняно із значеннями елементів, тому розкладемо функцію f(x’i) в ряд Тейлора і обмежуючись лише членами першого порядку отримаємо:
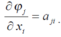
Приймемо, що
Тоді
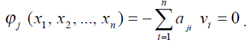
Підставивши отримане рівняння у формулу 1 отримаємо систему умовних рівнянь поправок в лінійному вигляді:
Дана система r рівнянь з n невідомими є невизначена, оскільки r<n. Тобто система умовних рівнянь поправок має безліч рішень і для її вирішення необхідно ввести додаткові умови. Параметричний спосіб зрівнювання і спосіб умов є еквівалентними за однакових додаткових умов, тобто приводять до однакових значень зрівняних елементів геодезичної побудови. Суть і послідовність врівноваження параметричним способом При побудові геодезичних мереж на місцевості закріплюються пункти, координати і висоти яких є шуканими величинами. Як правило, при зрівнюванні геодезичних мереж параметричним способом шукані параметри приймаються: 1) координати X і Y пунктів при зрівнюванні планових мереж; 2) висоти Н пунктів при врівноваженні висотних мереж. Елементами геодезичних мереж є вимірювані на місцевості горизонтальні кути, довжини ліній, перевищення між точками, введемо наступні позначення (k<n): 1) Yj (j = 1, k) – дійсні значення шуканих параметрів або необхідних невідомих; 2) y* j (j = 1, k) – зрівняні значення параметрів; 3) yj (j = 1, k) – наближені значення параметрів; 4) tj (j = 1, k) – поправки в наближені значення параметрів; 5) Xi (i = 1, n) – дійсні значення елементів мережі; 6) x*i (i = 1, n) – зрівняні значення елементів; 7) vi (i = 1, n) – поправки у виміряні значення елементів мережі; 8) aij (i = 1, n; j = 1, k) – коефіцієнти параметричних рівнянь поправок; 9) li (i = 1, n) – вільні члени параметричних рівнянь поправок; 10) Pi (i = 1, n) – ваги результатів вимірів. При врівноваженні параметричним способом складається система параметричних рівнянь поправок
де
Вирішення системи параметричних рівнянь поправок полягає у відшуканні вектора поправок Т до наближених значень параметрів yj (j = 1, k) за умови де Для відшукання min функції необхідно прирівняти до нуля її першу похідну і вирішити отримані рівняння. У нашому випадку:
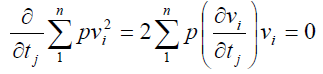
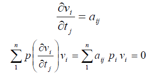
З системи параметричних рівнянь поправок виходить, що
Покажемо, що умова
Рівносильно умові
Отже:
Помножимо рівняння AT + L = V зліва на
або враховуючи умову
Отримана система k рівнянь з k невідомими параметрами tj називається системою нормальних рівнянь. Матриця коефіцієнтів системи нормальних рівнянь має вигляд:
Отримана матриця: 1) квадратна матриця порядку k; 2) симетрична матриця; 3) позитивно визначена рангу k; 4) неособлива. В результаті вирішення системи нормальних рівнянь отримуємо поправки tj до наближених значень параметрів yj, а потім по формулі y*j = yj + tj зрівняні значення параметрів. Поправки vi до виміряних значень елементів мережі xi обчислюються за формулою:
Потім обчислюються зрівняні значення елементів мережі:
Контроль вирішення системи нормальних рівнянь обчислення поправок vi і зрівняних значень x*i і y*j виробляється по формулі:
тобто по зрівняних значеннях параметрів ще раз обчислюють зрівняні значення елементів мережі. Недотримання цієї контрольної рівності може відбуватися із-за помилок в обчисленнях або унаслідок недостатньої точності наближених значень параметрів yj. У першому випадку необхідно відшукати і виправити помилки в обчисленнях. У другому випадку зрівняних значень y*j слід набути як наближені значення і з ними повторити весь процес зрівнювання. Ознакою недостатньої точності наближених значень параметрів є недопустимо великі значення поправок tj. У цих випадках не можна нехтувати нелінійними членами розкладання функції в ряд Тейлора при обчисленні коефіцієнтів параметричних рівнянь поправок. Оцінка точності при параметричному методі врівноваження.
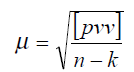
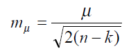
Визначення середньої квадратичної погрішності одиниці ваги. Визначається по формулі:
де n – число виміряних величин; k – число необхідних вимірів. Середня квадратична похибкам визначення m обчислюється за формулою:
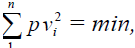
Величина [pvv] або 1) по алгоритму Гауса – при вирішенні системи нормальних рівнянь до основної системи NT + L = 0 додається ще одне рівняння
2) Знов отримана система k+1 рівнянь з k+1 невідомими зберігає всі властивості нормальних рівнянь, причому останній діагональний елемент
2) по обчислених поправках v – обчисливши поправки V = AT + L, де А – матриця коефіцієнтів рівнянь поправок. Обчислимо величину [pvv] за формулою:
3) по значеннях вільних членів l в рівняннях поправок і поправках v – знаючи поправки v в результати вимірів і вільні члени l рівнянь поправок знайдемо [pvv] по формулі:
або
Обчислення середніх квадратичних похибок зрівняних значень параметрів. Виразимо невідомі Т у вигляді лінійних функцій вільних членів нормальних рівнянь за допомогою зворотної матриці:
Позначимо
Тобто
Для будь-якого ti можна записати
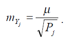
У параметричному способі зрівнювання елементи зворотної матриці Q є ваговими коефіцієнтами. При цьому всі діагональні елементи Qij завжди позитивні і називаються квадратними, а Qij = Qji, тобто матриця симетрична. Середня квадратична погрішність зрівняного значення параметрів Yj* (j = 1,k) обчислюється за формулою:
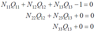
Вагові коефіцієнти Qij визначаються вирішенням системи рівнянь N·q – E = 0. Для цього в таблиці вирішення нормальних рівнянь по алгоритму Гауса додаються стовпці з коефіцієнтами одиничної матриці. Наприклад, для i = 1 маємо:
Після завершення всіх перетворень обчислимо Q11, Q12 і Q13 також, як і невідомі. При цьому замість графи L використовується додаткова графа Q1j. Використовуючи коефіцієнти нормальних рівнянь можна довести, що зворотна вага j-того параметра визначається по формулі:
Тоді
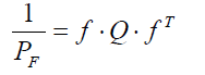
Обчислення середньої квадратичної погрішності зрівняних значень виміряних величин. Середня квадратична погрішність обчислюється за формулою:
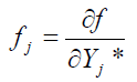
де Pfi – вага зрівняного значення виміряної величини xi*. Виразимо xi* через зрівняні значення параметрів Yj*
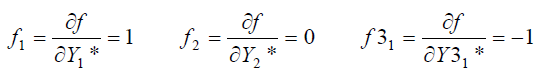
і визначимо коефіціенти
Наприклад,
Зворотна вага функції 1/Рf обчислюється безпосередньо в графові F за допомогою вагових функцій fi, узятих із зворотним знаком. Крім того:
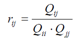
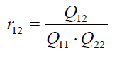
Обчислення коефіцієнтів кореляції між зрівняними значеннями параметрів.
Тоді
Висновок Геоде́зія (у перекладі з грецької — «землерозділення) — наука про методи визначення фігури і розмірів Землі, зображення земної поверхні на планах і картах і точних вимірювань на місцевості, пов'язаних з розв'язанням різних наукових і практичних завдань. Виділяють вищу геодезію (вивчає фігуру, розміри і гравітаційне поле Землі, а також теорію й методи побудови опорної геодезичної мережі), топографію та прикладну геодезію (використання методів і техніки геодезії для розв'язання спеціальних вимірювальних завдань у різних галузях господарства). Геодезія тісно пов'язана з математикою, фізикою, радіоелектронікою, радіотехнікою, геофізикою, астрономією, картографією, географією, геоморфологією. Геодезичні побудови створюються для забезпечення єдиної системи координат і висот, для визначення взаємного положення точок, що знаходяться на земній поверхні, під і над нею. При цьому об'єкти можуть бути нерухомими (рівновага об'єктів) або знаходиться в русі. Врівноваження забезпечує: 1) однозначне визначення параметрів геодезичної побудови; 2) підвищення точності визначення елементів і параметрів побудови. Зрівнювання геодезичних побудов виконується в тих випадках, коли: 1)відомі вихідні дані, яких вистачає для обчислення визначуваних параметів побудови; 2 ) виконано n вимірів, причому n>k (k – число необхідних вимірів); 3) серед виміряних n елементів побудови є k величини, необхідні і достатні для відшукання визначуваних параметрів. Основними є два способи зрівнювання: 1) параметричний спосіб (спосіб необхідних невідомих); 2) коррелатний спосіб (спосіб умов). Окремі способи зрівнюваннями, що мають свої назви, є видозміни або різні комбінації цих способів (зрівнювання вимірів однієї величини, групове зрівнювання, параметричний спосіб з надлишковими невідомими, спосіб умов з додатковими невідомими і ін.) При побудові геодезичних мереж на місцевості закріплюються пункти, координати і висоти яких є шуканими величинами. Як правило, при зрівнюванні геодезичних мереж параметричним способом шукані параметри приймаються: 1) координати X і Y пунктів при зрівнюванні планових мереж; 2) висоти Н пунктів при врівноваженні висотних мереж. Параметричний спосіб зрівнювання і спосіб умов є еквівалентними за однакових додаткових умов, тобто приводять до однакових значень зрівняних елементів геодезичної побудови.
Список використаної літератури 1) Геодезія. Підручник. Частина друга / А. Л. Островський, О. І. Мороз, В. Л. Тарнавський; За заг. ред. А. Л. Островського. Львів: Видавництво Львівської політехніки, 2008. 564 с. 2) Вища геодезія. Підручник/ Савчук С. Г. – Житомир, 2005. – 315 с. 3) Геодезія. Підручник. Порицький. 2007.-260с. |









- матриця коефіцієнтів параметричних рівнянь поправок розміром k*n;
- вектор поправок до вектора наближених значень параметрів yj;
- вектор вільних членів системи параметричних рівнянь поправок l= f(y1, y2 ., yk) – xi;
- вектор поправок до вектора виміряних елементів мережі xi.
- вагова матриця або матриця вагів результатів вимірів розміром n*n. 


















.