Дипломная работа: Діяльність Європейського банку реконструкції та розвитку
|
Название: Діяльність Європейського банку реконструкції та розвитку Раздел: Рефераты по истории Тип: дипломная работа | ||||||||||||||||||||||||||||||||||||||||||||||||||||||||||||||||||||||||||||||||||||||||||||||||||||||||||||||||||||||||||||||||||||||||||||||||||||||||||||||||||||||||||||||||||||||||||||||||||||||||||||||||||||||||||||||||||||||||||||||||||||||||||||||||||||||
| Київський національний університет імені Тараса Шевченка Інститут міжнародних відносин Кафедра міжнародних економічних відносин та світового господарства
бакалаврська робота на тему: „ЄБРР ”
студента IV курсу відділення „Міжнародні економічні відносини Лагойди Тараса Петровича Науковий керівник доц. Негода А.В. Київ-2010 Зміст
ВСТУП РОЗДІЛ 1. ПЕРЕДУМОВИ ВИНИКНЕННЯ, ВНУТРІШНЬО – ОРГАНІЗАЦІЙНИЙ МЕХАНІЗМ ТА СТРУКТУРА ЄБРР 1.1 Передумови та історія створення ЄБРР 1.2 Основні цілі та функції діяльності ЄБРР 1.3 Джерела фінансування та інструменти реалізації діяльності Європейського банку реконструкції та розвитку ВИСНОВКИ ДО РОЗДІЛУ 1 РОЗДІЛ 2. МЕХАНІЗМ НАДАННЯ КРЕДИТІВ ЄБРР 2.1 Життєвий цикл проекту: складові та етапи 2.2 Критерії оцінки проектів 2.3 Постпроектна оцінка ефективності реалізації проектів за участю ЄБРР 2.4 Оцінка ефективності виконання проектів ЄБРР у 2008р ВИСНОВКИ ДО РОЗДІЛУ 2 РОЗДІЛ 3. СПІВПРАЦЯ УКРАЇНИ З ЄБРР 3.1 Аналіз реалізації попередніх стратегій діяльності ЄБРР в Україні до 2007 року 3.2 Стратегічні орієнтири у співпраці ЄБРР та України відповідно до програми співробітництва між Урядом України та ЄБРР на 2007-2010 роки 3.3 Проекти ЄБРР в Україні у 2010 році ВИСНОВКИ ДО РОЗДІЛУ 3 Список використаних джерел ДОДАТКИ Вступ
Актуальність теми дослідження. Міжнародні фінансові організації є найбільш активними рушійними силами у стимулюванні глобалізаційного розвитку. Діяльність глобальних фінансових інституцій, а саме Європейського банку реконструкції та розвитку є чинником, який суттєво впливає на розвиток економіки, реалізацію програм, спрямованих на ринкове реформування, структурну перебудову народного господарства та стабілізацію національної валюти. Отже, і виникає потреба в дослідженні діяльності ЄБРР, його впливу на розвиток процесів у міжнародному економічному середовищі. У різні часи проблемами діяльності міжнародних фінансових організацій займалися як вітчизняні, так і іноземні вчені-економісти. Серед них, наприклад, такі західні представники як Г.Браун, Дж.Вулфенсон, В.Говард; росіяни І.Герчикова, А.Кірєєв, Л.Красавіна, В.Коллонтай, Г.Чуфрін, В.Широков та багато інших. Цим проблемам присвячені також дослідження відомих українських учених О.Білоруса, А.Гальчинського, В.Чужикова, В.Новицького, Б.Кваснюка, Л.Кістерського, Г.Климка, Д.Лук’яненка, М.Павловського, Ю.Пахомова, О.Плотнікова, А.Рум’янцева, В.Степаненка, А.Філіпенка, В.Хорошковського, та ін. Таким чином, актуальність цієї теми зумовлюється тим, що формування глобальної економічної системи є відносно новим процесом, який економічною наукою ще не вивчений, так само як не вивчено і роль міжнародних фінансових організацій в ньому. Ці знання є необхідними для розбудови науково обґрунтованої стратегії співробітництва України з міжнародними інституціями і виявлення місця країни у глобальній економічній системі. Мета та завдання дослідження . Основною метою цієї роботи є аналіз і теоретичне осмислення цільової функції ЄБРР та механізму реалізації його діяльності, який певним чином визначає місце країн у глобальній економічній системі. Поставлена мета зумовила необхідність вирішення таких завдань: · визначити роль міжнародних фінансових організацій у глобальній регулятивній системі; · дослідити еволюцію моделі кредитної політики ЄБРР та висвітлити пріоритетні напрями діяльності ЄБРР; · дослідити основні інструменти та механізми реалізації кредитної політики ЄБРР; · розкрити сучасний стан співробітництва України та ЄБРР у кредитній сфері, здійснити комплексну оцінку ефективності реалізації ключових програм і проектів ЄБРР; · оцінити перспективні напрями і сфери співробітництва України та ЄБРР у майбутньому. Об’єктом дослідження є діяльність Європейського банку реконструкції та розвитку як міжнародної фінансової організації глобального рівня за своєю організаційно-економічною структурою та сферою дії. Предметом цього дослідження є система міжнародних економічних відносин, що виникають на основі механізму реалізації цільової функції ЄБРР у його впливі на формування глобальної економічної системи. Методологія дослідження. Методологічну основу дослідження становлять фундаментальні положення теорії міжнародної економіки стосовно закономірностей розвитку світового господарства та ролі в ньому міжнародних організацій. В першому розділі, при розкритті сутності міжнародних фінансових організацій використовувалися методи наукової абстракції, поєднання аналізу та синтезу, системного підходу, причинно-наслідкові зв’язки. В другому розділі роботи, в аналітичній частині, де досліджувалися особливості реалізації механізму діяльності ЄБРР, використовувалися методи логічного й історичного, кількісно-якісного аналізу, статистичні методи, методи порівняльного аналізу. У завершальному третьому розділі основним науковим методом був метод причинно-наслідкових, логічних та функціональних зв’язків та залежностей. Теоретичну основу роботи склали економічні дослідження вітчизняних та зарубіжних учених. При написанні роботи використовувались матеріали Державного комітету статистики, Міністерства економіки та з питань європейської інтеграції, Міністерства фінансів України. Фактологічною та статистичною основою слугували щорічні звіти ЄБРР, аналітичні розробки ЄБРР. Наукова новизна роботи полягає в тому, що наукове опрацювання проблеми ролі ЄБРР в міжнародному економічному співтоваристві стало предметом цілісного дослідження, в процесі якого були отримані такі найбільш суттєві результати, які розкривають особистий внесок у розв’язання досліджуваної проблеми та конкретизують новизну: · розкрито роль міжнародних фінансових організацій у формуванні глобальної економічної системи, завдяки чому було доведено, що міжнародні фінансові організації є провідним суб’єктом формування цієї системи, оскільки за своєю сутністю інституційно-організаційною природою і масштабами дії є глобальними; · висунуто й аргументовано положення про те, що результатом реалізації цільової функції ЄБРР є формування глобальної економічної системи, що проявляється у (1) посиленні взаємозалежності національних валютно-фінансових систем країн-членів цих організацій, (2) зниженні рівня автономності національних органів влади країн-реципієнтів у сфері прийняття рішень стосовно національного економічного розвитку; · розкрито особливості реалізації цільової функції ЄБРР в Україні. Практичне значення одержаних результатів дослідження полягає в тому, що робота дозволяє відстежити роль ЄБРР в міжнародному економічному співтоваристві та виявити місце в цьому процесі України. Останнє є необхідним при розробці зовнішньоекономічної стратегії України, зокрема стратегії відносин з міжнародними фінансовими організаціями. РОЗДІЛ 1. ПЕРЕДУМОВИ ВИНИКНЕННЯ, ВНУТРІШНЬО – ОРГАНІЗАЦІЙНИЙ МЕХАНІЗМ ТА СТРУКТУРА ЄБРР
1.1 Передумови та історія виникнення ЄБРР Наприкінці 80х років світове суспільство все більше переконувалось в необхідності створення та розширення таких міждержавних установ як ЄБРР, МВФ,ЄІБ. Це було викликано неможливістю багатьох держав самотужки долати кризи інфляції, безробіття, що було викликано політичною ситуацією, модернізацією усіх сфер життя. Європейський банк реконструкції і розвитку є міжнародною організацією і був створений згідно з підписаною 29 травня 1990 року в Парижі Угодою для сприяння реформ в країнах Центральної та Східної Європи в зв’язку з переходом країн цього регіону до орієнтованої на ринок економіки. Засновниками банку є 40 країн – усі країни Європи (окрім Албанії), США, Канада, Мексика, Марокко, Єгипет, Ізраїль, Японія, Нова Зеландія, Австралія, Південна Корея та дві міжнародні організації – Європейський економічний союз і Європейський інвестиційний банк, а також ряд країн Східної Європи. В заснуванні банку брав також участь колишній СРСР. Членами ЄБРР окрім європейських країн можуть бути усі члени Міжнародного валютного фонду. Угода про створення ЄБРР є результатом декількох нарад експертів з підготовки тексту Угоди і трьох зустрічей представників країн-членів в Парижі 15-16 січня, 8-11 березня та 9 квітня 1991 р., а також особистої участі майбутнього президента ЄБРР Жака Атталі. На сьогодні ЄБРР фінансує проекти тільки в таких країнах: Азербайджан, Киргизька Республіка, Словенія, Албанія, Латвія, Таджикистан, Арменія, Литва, Туркменістан, Бєларусь, Молдова, Узбекистан, Болгарія, Монголія, Україна, Боснія и Герцеговина, Польща, Хорватія, БЮР Македонія, Росія, Чорногорія, Угорщина, Румунія, Естонія, Грузія, Сербія, Казахстан, Словакія. Така оперативність при створенні міжнародного фінансового інституту пояснюється тим, що соціальні і економічні перетворення, які відбулися у 80-х роках в країнах Центральної та Східної Європи, призвели до економічної і політичної перебудови, а також до зниження виробництва і зовнішньої торгівлі, розладу фінансової сфери, погіршенню рівня життя, соціальним та національним конфліктам в регіоні. Це перетворило країни Центральної та Східної Європи (разом з колишнім СРСР) в небезпечних сусідів, які не тільки не відповідали процесу європейської інтеграції, але й могли його ускладнити і затримати. При створенні тексту Угоди і деяких принципів діяльності ЄБРР використовувався досвід практичної роботи провідних міжнародних фінансових інститутів, наприклад МВФ, а також регіональних банків розвитку. Офіційно вважається, що ЄБРР було створено 15 квітня 1991 р. в Лондоні. Ця дата є саме датою, коли ЄБРР розпочав свої операції. [48, с. 320-331]. Створення ЄБРР було необхідне не тільки для надання фінансової допомоги країнам Центральної та Східної Європи, але й для зміцнення інтеграційних процесів на континенті. Створення ЄБРР, на думку його засновників, повинно було стати підґрунтям єдиної європейської структури, яка надалі мусить призвести до створення конфедерації. Необхідно було інтегрувати співробітництво з країнами Заходу в межах спільного економічного простору за допомогою адміністративних, фінансових, і культурних інфраструктур. Особливістю ЄБРР є вдала спроба зберегти вплив європейських країн в регіональній організації за допомогою розподілу акцій таким чином, що при голосуванні країни-члени ЄС разом з ЄЕС та ЄІБ зберігають більшість у 51%, що закріплене в пункті 2 статті 5 Статуту ЄБРР. Це прагнення пояснюється передусім бажанням не допустити, щоб США зайняли провідне місце в регіональному банку розвитку в Європі, як це сталося практично у всіх МКФО. При вступі, країни ЄС разом з ЄЕС та ЄІБ мали 51% акцій, США – 10%, Японія, ФРГ, Великобританія, Франція, Італія – по 8,5%. Сьогодні Німеччина має 10% акцій у зв’язку з відповідним перерахунком квот після об’єднання з НДР, яка спочатку була самостійним членом. На частку СРСР припадало 6% акцій. Після підписання в грудні 1991 року в Алма-Аті документу, що означав припинення існування СРСР та створення дванадцяти незалежних держав, з’явилось питання про розділ квоти СРСР в Банку. Колишні радянські республіки претендували на свою частку в 6% статутного капіталу, а також на частину вже внесеного в акціонерний капітал ЄБРР внеску. Це питання було розв’язане колишніми республіками СРСР та керівництвом ЄБРР таким чином: Росія отримала 4% статутного капіталу, країни СНД – останні 2%, в тому числі Україна – 0,8%, держави Прибалтики – по 0,1% з нерозподілених акцій. Квота Росії в капіталі ЄБРР складає 40 тис. акцій, що дозволило Російській Федерації призначити свого директора в Раду директорів ЄБРР. [38, с. 311-332] 1.2 Основні цілі та функції діяльності ЄБРР Цілі та функції ЄБРР витікають з мети створення самого банку, якою насамперед є створення безтіньової ринкової економіки, прозорого управління та сприяння екологічному розвиткові без негативних наслідків у довгостроковій перспективі. Політична спрямованість діяльності ЄБРР виділяє цей Банк серед інших міжнародних кредитно-фінансових інститутів але окрім того, велику роль відіграють й екологічні питання. ЄБРР являє собою так званий банк-гібрид, оскільки поєднує в собі як функції банку розвитку, який надає середньо та довгострокові кредити, а також банківські гарантії, а також виступає в ролі інвестора, оскільки дедалі більшу частку своїх операцій проводить у формі інвестицій у акціонерний капітал. Головними фінансовими інструментами ЄБРР є кредити (82%) та інвестиції в акціонерний капітал (20%), питома вага банківських гарантій невисока і складає лише 2%. Головними рисами ЄБРР на мою думку є: · Сильний акцент на умовах, що супроводжують проекти: при наданні фінансування ЄБРР наголошує на виконанні клієнтом цілої низки структурних та інституційних умов з метою поліпшення інвестиційного клімату, прискорення структурних змін, оптимізації корпоративного управління; · ЄБРР – є єдиною міжнародною фінансовою інституцією, яка фінансує на комерційних принципах як проекти розвитку, так і приватний сектор, не надаючи при цьому ніяких “м’яких” кредитів або цінових субсидій; · На відміну від комерційних банків ЄБРР здатний брати на себе політичні ризики, оскільки країни операцій є водночас акціонерами, а також ризик конвертованості валют (унаслідок статусу преференційного кредитора борг ЄБРР не підлягає реструктуризації), різноманітні комерційні ризики (завдяки регіональній спеціалізації та унікальному досвідові), а також перед проектні ризики при розробці великих проектів у державному секторі (завдяки фондам технічної допомоги, які надаються акціонерами). Текст Угоди про заснування ЄБРР дає повне уявлення про цілі та задачі діяльності цього банка, регламентує його діяльність. У відповідності до статті 1 глави 1 Угоди про ЄБРР, ціль Банка – сприяння переходу до відкритої економіки, орієнтованої на ринок, а також розвитку приватної та підприємницької ініціативи в країнах Центральної та Східної Європи, що визнають принципи багатопартійної демократії, плюралізму та ринкової економіки та втілюють їх у життя. Тому, виходячи з тексту про заснування ЄБРР можна виділити такі функції: 1) Сприяння через приватних та інших зацікавлених інвесторів налагодженню, вдосконаленню та розширенню продуктивної, конкурентоздатної та приватнопідприємницької діяльності, зокрема, малим та середнім підприємствам; 2) Залучення внутрішнього та іноземного капіталу, а також керівного досвіду для досягнення цілей Банку; 3) Сприяння продуктивним інвестиціям, включаючи інвестиції у сферу послуг та фінансів та у відповідну інфраструктуру, коли це є необхідним для підтримки приватної та підприємницької ініціативи, сприяючи тим самим створенню конкурентного клімату та підвищенню продуктивності праці, рівня життя, а також покращенню умов праці; 4) Надання технічної допомоги в підготовці, фінансуванні та впровадженні відповідних проектів, як окремих, так і в межах спеціальних інвестиційних програм; 5) Стимулювання та заохочення розвитку ринків капіталу; 6) Підтримка обґрунтованих та економічно життєдіяльних проектів, в яких бере участь понад одного члена-одержувача; 7) Сприяння у своїй діяльності екологічно здоровому та стійкому розвитку. Останні задачі внесені до Статуту ЄБРР з урахуванням досвіду МКФО, причому якщо частина з них (інвестиції, структурні перетворення, технічна допомога, модернізація інфраструктури) знаходить своє відображення в статутах організацій, то в статутних документах МКФО, створених до ЄБРР, немає навіть згадки про поняття “екологія”, хоч на практиці ці інститути стикаються з питаннями захисту навколишнього середовища. Функція ЄБРР щодо збереження навколишнього середовища записана в пункті 1 статті 2 Статуту ЄБРР, у відповідності з якою Банк сприяє “своєю діяльністю екологічно здоровому та стійкому розвитку”. Банк визнає наявність серйозних екологічних проблем в країнах Центральної та Східної Європи та враховує принцип екологічно здорового розвитку у всій своїй діяльності, включаючи технічне сприяння та інші операції, а також підтримує конкретні природоохоронні проекти. ЄБРР виділяє пріоритети, які стосуються здорового розвитку економіки та захисту навколишнього середовища. До них відносяться: 1) Сприяння країнам регіону в формуванні екологічної політики для підвищення якості навколишнього середовища; 2) Заохочення розвитку промисловості для виробництва екологічно чистих товарів та послуг; 3) Організація та підтримка спеціальних досліджень та програм з розв’язання регіональних та національних екологічних проблем та сприяння екологічній освіті; 4) Втілення у життя системи екологічної оцінки всіх проектів ЄБРР; 5) Консультація з екологічного аналізу; 6) Включення екологічних умов в угоди; 7) Впровадження та спостереження за конкретними програмами з контролю та покращенню навколишнього середовища. [25, с. 153-174] Статут ЄБРР є регулятором не тільки економічних, а й політичних процесів. До загальних політичних вимог ЄБРР можна віднести стабільність політичних режимів, що пояснюється бажанням повернути кошти, надані у відповідності з договором з конкретним урядом про кредит, а також заборона на участь країни у воєнних діях та на використання наданих кредитів на воєнні цілі. Поява цих положень у статтях Статуту ЄБРР – об’єктивний результат розвитку системи МКФО. Хоч статути створених до ЄБРР міжнародних кредитно-фінансових інститутів і забороняють втручатись у політичне життя країн-членів, і це передусім стосується організацій універсального характеру, фактично вони впливають на політичні процеси в країнах-членах й обумовлюють надання коштів політичними умовами. Саме ЄБРР вперше отримав закріплений договором політичний мандат, у відповідності з яким Банк повинен сприяти розвитку демократії, створюючи демократичні інститути, контролюючи забезпечення захисту інтересів меншості, попереджаючи загрозу порушення прав людини. Банк виходить з того положення, що неможливо створити ринкову економіку та демократію, не маючи демократичної держави та сильних структур влади. Банк сприяє розвитку законодавства в країнах-членах, яке дозволяє розробити бюджет та податкову політику, заохочує створення структур ринкової економіки, необхідних для появи приватного сектора. Таким чином, політична спрямованість діяльності ЄБРР виділяє цей Банк серед інших міжнародних кредитно-фінансових інститутів. Мета, з якою створювався ЄБРР, полягає у підтримці країн-членів у проведенні структурних і галузевих економічних реформ, включаючи демонополізацію та приватизацію, зі стратегічним завданням цілковитої і інтеграції їхніх економік у світовий економічний простір шляхом: · організації, модернізації та розширення виробничої конкурентоспроможності і приватнопідприємницької діяльності, передусім малих і середніх підприємств (ЄБРР повинен не менш ніж 60% своїх ресурсів направляти в недержавний сектор); · мобілізації національного та іноземного капіталу, впровадження сучасних високоефективних форм і методів управління; · інвестицій у виробництво з метою створення конкурентного середовища і підвищення продуктивності, якості життя та поліпшення умов праці; · надання технологічної допомоги в підготовці, фінансуванні та реалізації перспективних проектів; · стимулювання й заохочення розвитку ринків капіталу; · реалізації великих і економічно обґрунтованих проектів, у яких заінтересовані більш ніж одна країна-реципієнт; · сприяння екологічно безпечному розвиткові. ЄБРР співпрацює з іншими інвесторами і кредиторами в наданні кредитів і гарантій, а також інвестуванні коштів у акціонерні капітали. Ця діяльність доповнюється кредитуванням інфраструктури або інших проектів у державному секторі, орієнтованих на підтримку ініціатив у приватному секторі. Банк приймає до розгляду проекти, які надходять з будь-яких джерел. Найважливішою умовою при розгляді отриманого звернення, яке визначає подальшу долю такого проекту, є якість наданих матеріалів та те, чи відповідають вони світовим стандартам в галузі проектного фінансування. Основними об’єктами кредитування ЄБРР є приватні фірми чи державні підприємства, що підлягають приватизації а також нові компанії, включно спільні підприємства з міжнародними інвестиціями. ЄБРР фінансує різноманітні галузі, проте слід зазначити, що ЄБРР не фінансуються такі види діяльності: 1) Оборонна промисловість; 2) Тютюнова промисловість; 3) Виробництво засобів, заборонених міжнародним правом; 4) Ігорний бізнес; 5) Виробництва та процеси, які негативно впливають на навколишнє середовище.[36, с 47-53] 1.3 Джерела фінансування та інструменти реалізації діяльності Європейського банку реконструкції та розвитку ЄБРР представляє собою поєднання комерційного банку та банку розвитку, тобто основною задачею Банку є фінансування проектів, які сприяють розвитку економіки, проте, Банк проводить свою діяльність, керуючись принципом самоокупності. Треба також звернути увагу і на те, що саме фінансує банк. Це є різні галузі, окрім оборонної та тютюнової промисловості, а також проектів ігорного бізнесу, а саме : кредити для комерційних підприємств, кредити для проектів у галузі, розвитку інфраструктури, інвестиції в статутні фонди підприємств, гарантії. При цьому відсоткова ставка по кредитах ЄБРР встановлюється з певною маржею над базовою ринковою ставкою (LIBOR). Для кредитів, які надаються під гарантію уряду країни-позичальника, ця ставка дорівнює LIBOR +1% (маржа Банку). Це є вигідним для країн-позичальників, тому що при поверненні кредиту враховуються такі фактори як політичні ризики, комерційні ризики, та кон’юнктура ринку. На сьогодні статутний капітал ЄБРР складає більш ніж 16 млрд. дол. Загальна номінальна сума акцій, що підлягають оплаті, складає 5,3 млрд. дол., що відповідає 30% первісного дозволеного до випуску акціонерного капіталу. Крім того, 125 акцій не підлягають розподілу між членами ЄБРР. Маючи найвищий кредитний рейтинг (ААА), Банк вправі залучати кошти на міжнародних ринках капіталів за найвигіднішими ставками. Капітальні ресурси Банку включають прибутки, які вилучаються з інвестицій Банку, статутний капітал, залучені кошти та кошти, отримані за рахунок погашення позик або гарантій Банку, а також будь-які інші фінансові кошти та прибутки, які не є частиною ресурсів спеціальних фондів Банку. Спеціальні фонди включають кошти, спрямовані у відповідний спеціальний фонд, та прибутки, отримані від інвестицій, що були зроблені з ресурсів спеціальних фондів. Перші два відкритих спеціальних фонди були створені у квітні 1992 року в рамках Балтійської інвестиційної програми, прийнятої міністрами економіки та фінансів північних країн (Данії, Ісландії, Норвегії, Фінляндії та Швеції). Головна мета програми – сприяти розвитку приватного сектора шляхом підтримки дрібних та середніх підприємств у Латвії, Литві та Естонії. Інші країни та багатосторонні організації можуть вносити кошти в ці фонди. Ресурси спеціальних фондів використовуються, як правило, для пільгового кредитування низькорентабельних галузей соціальної інфраструктури та надання технічної допомоги .[20, с. 251–254] За Статутом ЄБРР у відповідності до пункту 3 статті 11 Банк передбачає, що не менше 60% його зобов’язань повинні бути пов’язані з фінансуванням приватного сектора. Діяльність ЄБРР включає сприяння розвитку приватного сектора, зміцненню фінансових закладів та правових систем, а також розвитку інфраструктури, необхідної для підтримки приватного сектора. Тобто Банк виконує подвійну функцію – банку розвитку на 40% та ділового банку на 60%. Виділяють два основних метода фінансування проектів ЄБРР: прямий і через посередників. Інструменти прямого фінансування: ЄБРР надає пряме фінансування на конкретні проекти за лінією приватного сектора, структурної перебудови і приватизації, а також фінансує інфраструктуру, яка забезпечує цю діяльність. Основними одержувачами кредитів банку є спільні підприємства, особливо за участю іноземних спонсорів. Слід зазначити, що ЄБРР надає перевагу фінансуванню розвитку приватних підприємств. Банк пропонує широкий набір фінансових інструментів та гнучко підходить до розробки схем фінансування проектів. Мінімальна сума кредиту банку складає 5 млн. євро, проте в цьому питанні банк може виявити гнучкість, якщо проект має принципово важливе значення для країни. ЄБРР надає кредити, умови яких враховують конкретні вимоги кожного проекту. Банк може взяти кредитний ризик або цілком на свій баланс, або синдикувати його частину на ринку. Кредит може забезпечуватися активами позичальника чи бути конвертований в акції або передбачати участь в акціонерному капіталі. Банк видає кредити (і внаслідок цього вимагає їхнього повернення) у кожній із вільноконвертованих валют, головним чином, у доларах США та євро. При кредитуванні приватних комерційних підприємств, кредити надаються без права стягнення з іноземних спонсорів після початку здійснення проекту. Підставою для видачі кредиту є рух готівки за проектом та вказана в проекті можливість погасити кредит протягом обумовленого терміну. Кредит у більшості випадків надається під гарантію майна. Переважно терміни вкладень складають 3-7 років при процентній ставці LIBOR + кредитна маржа. Процентна ставка включає в якості змінної LIBOR – лондонську міжбанківську ставку. Процентна ставка може бути як плаваючою, так і фіксованою. Величина процентної ставки залежить також від конкретного проекту. Кредитна маржа відображає як державні, так і комерційні ризики і відповідає кон’юнктурі ринку синдиційних кредитів. Рівень маржі залежить від співвідношення попиту на кредит та його пропозиції, терміну позики та ін. Погашення основного боргу здійснюється рівними частками кожні півроку. Відповідно до комерційної практики, при підписанні кредитної угоди виплачується разовий збір на покриття адміністративних витрат, які були понесені Банком при підготовці проекту. Кредити таких міжнародних організацій як ЄБРР за традицією виключаються із сум державного боргу у випадку його реструктуризації, і в такий спосіб ці організації мають статус привілейованого кредитора. Коли ЄБРР виступає головним кредитором, перевагами статусу привілейованого кредитора можуть скористатися і банки, які є посередниками наданих кредитів позичальникам приватного сектора. ЄБРР використовує такі інструменти реалізації своєї діяльності: 1. Правова участь в акціонерному капіталі. Інвестування ЄБРР в акціонерний капітал може набувати самих різних форм, включаючи підписку на звичайні чи привілейовані акції. Пропонуються інвестиції в квазіакціонерний капітал, починаючи від кредитів, боргових зобов'язань та векселів, що приносять доход, і закінчуючи привілейованими акціями, що викуповуються вільно. Викуповуючи частку в акціонерному капіталі, ЄБРР розраховує на одержання відповідного доходу на вкладені кошти. Банк розглядає можливість фінансування передачі акцій діючих підприємств тільки у випадках приватизації, коли така передача явно підвищить ефективність підприємства, наприклад шляхом удосконалення керування, реконструкції під керівництвом нових власників або злиття з іншою компанією. 2. Гарантії. ЄБРР може допомогти позичальникам в одержанні доступу до капіталу шляхом надання гарантій. Гарантії можуть бути, як від усіх ризиків, так і у формі часткових гарантій у відношенні конкретних ризиків, але у всіх випадках максимальний ризик повинний бути відомим та чітко визначеним, а кредитний ризик повинний бути прийнятним. ЄБРР не видає гарантій за експортними кредитами. Гарантія дозволяє залучати додаткові кошти, але її використання здорожчує позику. На практиці цей інструмент в ЄБРР використовує рідко і тільки разом з іншими інструментами. ЄБРР може також гарантувати розміщення акцій, випущених державним чи приватним підприємством. 3. Інструменти фінансування за допомогою посередників. Чимало проектів є недостатньо великими, щоб ЄБРР мав можливість фінансувати їх прямо. З метою полегшення доступу до фінансових ресурсів підприємцям і малим фірмам ЄБРР надає підтримку таким фінансовим посередникам, як місцеві комерційні банки, банки мікрокредитування, фонди акціонерного капіталу та організації, що займаються фінансовим лізингом. Інвестиційні вимоги відповідають принципам роботи ЄБРР, але рішення про кредитування тих чи інших малих або середніх підприємств посередники приймають самостійно. Фінансові посередники ЄБРР займаються кредитуванням рентабельних та обґрунтованих проектів, спрямованих на розвиток приватного сектора. Кожен банк має свої вимоги та інвестиційні ліміти. Незважаючи на те, що банк в переважній більшості випадків не надає пряме фінансування малим і середнім підприємствам, у нього є низка інструментів для роботи з ними. А саме: кредитні лінії, софінансування, участь в акціонерному капіталі інвестиційних фондів, механізм сприяння розвитку торгівлі та участь в акціонерних капіталах банків. 4. Кредитні лінії. З метою фінансування необхідних кредитів ЄБРР надає відібраним для цього фінансовим посередникам пряме середньо-та довгострокові кредитні лінії. В окремих випадках аналогічне довгострокове фінансування ЄБРР надає і урядам, які потім направляють ці кредити по каналах комерційних чи інвестиційних банків для фінансування приватних малих та середніх підприємств. 5. Софінансування. ЄБРР прагне залучати інших учасників до софінансування у проектах. Успішне залучення капіталу із зовнішніх джерел для фінансування проектів, спонсором яких виступає банк, збільшує загальний обсяг коштів для фінансування інших проектів. До потенційних зовнішніх джерел фінансування відносяться комерційні банки та міжнародні фінансові організації, експортно-кредитні агенції та інші офіційні джерела. Для багатьох позичальників доступ до комерційного софінансування, яке надане міжнародною фінансовою організацією, є першим кроком до самостійного виходу на ринки комерційного капіталу. ЄБРР здійснює софінансування проектів разом з місцевими та іноземними банками. У цих випадках робота щодо підготовки та експертизи проектів передоручається софінансуючому банку, але при прийнятті кожного рішення про кредитування враховуються принципи фінансування і кредитування ЄБРР. Існують наступні форми софінансування: спільне фінансування, паралельне фінансування, синдиціювання, участь у синдиціюванні. Спільне фінансування – здійснюється в тих випадках, коли кредити, надані ЄБРР і учасниками софінансування, використовуються у визначених погоджених частках для фінансування того самого чи набору комплекту товарів і послуг, необхідних для проекту. Паралельне фінансування - здійснюється в тих випадках, коли кредити ЄБРР і учасників софінансування використовуються для фінансування різних комплектів товарів і послуг [32; с.62]. Синдиціювання – залучення інших фінансових установ до кредитування на підставі підготовлених банком документів на умовах, в основному подібних тим, на яких готовий здійснювати кредитування сам банк [32; с.74]. Участь у синдиціюванні здійснюється в тих випадках, коли ЄБРР зобов'язується фінансувати весь кредит, а під час чи після оформлення кредиту продає участь у ньому іншому чи банку чи банкам. 6. Участь в акціонерних капіталах інвестиційних фондів. ЄБРР бере участь у діяльності інвестиційних фондів, які, у свою чергу, вкладають капітал в малі та середні приватні підприємства, які розширюються. Ці фонди займаються конкретним регіоном, країною або галуззю, мають на місцях представництва. Основні інвестиційні критерії цих фондів відповідають загальним інвестиційним принципам ЄБРР. 7. Механізм сприяння розвитку торгівлі. ЄБРР також залучає місцеві банки до своїх програм сприяння торгівлі. Це зміцнює їх репутацію як надійного партнера і забезпечує їм більш широкий вихід на міжнародний ринок торгового капіталу. У рамках цих програм ЄБРР видає часткові гарантії оплати угод місцевих банків, розрахунки за якими здійснюються за допомогою акредитивів. ЄБРР бере на себе комерційні і політичні ризики неплатежу з боку банку-емітента, а вони беруть на себе ризик місцевих компаній. Вигоду від цієї програми отримують як імпортери, так і експортери, з яких не стягується комісія. Комісія за видачу гарантії сплачується банком, який замовляє гарантію ЄБРР [25;c 70]. ЄБРР видає гарантії на широкий діапазон товарів і послуг, у тому числі на товари широкого вжитку, товари сировинної групи, машини та устаткування, енергопостачання, інженерно-технічні роботи, будівництво, технічні та інші послуги. Передбачається можливість видачі гарантій на деякі види виробництва, що стосуються навколишнього середовища, але в цьому випадку необхідно проведення попереднього екологічного обстеження. Крім того, відповідно до програми сприяння розвитку торгівлі не дозволяється фінансування певних видів діяльності та виробництва деяких речовин. Клієнтам місцевих банків із приватного сектора також можуть надаватися кошти у вигляді обігового капіталу, торгового капіталу, а також середньо-та довгострокових вкладень. При цьому завжди враховується специфіка потреб клієнтів. У рамках програми сприяння торгівлі в Україні працюють два банки, які визначив ЄБРР: Приватбанк і Перший український міжнародний банк. 8. Участь в акціонерних капіталах банків. Головним завданням ЄБРР є підтримка і розвиток здорової і конкурентоздатної сфери фінансових послуг. З цією метою ЄБРР інвестує кошти в акціонерні капітали приватизованих та приватних банків. Головними критеріями ЄБРР є орієнтація на приватний сектор, корпоративне керування та компетентний менеджмент. Особливість ЄБРР в тому, що він, на відміну від Світового банку, фінансує не більше 35% витрат при створенні нової компанії або 35% довгострокової капіталізації при фінансуванні компанії, яка вже здійснює свою діяльність. При цьому ЄБРР може допомогти знайти партнерів на частку, що залишилась. Банк працює на основі принципу “співфінансування”, тобто вкладає в програму тільки третину своїх коштів, залучаючи до співробітництва інших учасників. Схема капіталізації проектів ЄБРР: – 35% - кредит ЄБРР; – 25% - пай іноземного спонсора; – 15% - синдиційований кредит; – 15% - пай місцевого спонсора; – 10% - пай інших кредиторів. Слід відзначити, що частка ЄБРР в проекті може бути збільшена до 49%. Як правило, для проектів у приватному секторі надається не більше 2/3 потрібної суми у формі позики та не менше 1/3 – у вигляді акціонерного капіталу. Від інших учасників проекту звичайно повинні надходити додаткові фінансові ресурси. Співпрацюючи з іншими комерційними банками, інвестиційними фондами, державними експортно-імпортними організаціями за сприянням в отриманні кредитів, Банк, такими чином, перекладає частину проектного ризику на ринковий механізм. В результаті один долар, який інвестує банк, залучає в проект додатково два долари. ЄБРР не ставить своєю умовою відшкодування збитків за рахунок західного спонсора або партнера в тих випадках, коли проект зазнає невдачі. Відсотки за кредити враховують можливість їхнього неповернення. Банк вимагає від компаній страхувати свої ризики, якщо це можливо. Слід відзначити, що, використовуючи різноманітні механізми фінансування, Європейський банк реконструкції та розвитку за час свого існування досяг значних результатів, особливо в країнах Центральної Європи – Польщі, Чехії, Словаччині, Угорщині, а також в прибалтійських країнах – Латвії, Литві, Естонії. Більшість наданих кредитів у зазначених країнах йшла на розвиток телекомунікації, енергетики, агробізнесу, а також на приватизацію . 9. Державні програми і відомства. ЄБРР має свої представництва майже в кожній країні, тому зрозуміло, що державні програми, передбачають надання коштів державі – позичальнику з врахуванням усіх обставин політичного, економічного, соціального та ін. характеру. По лінії державних відомств і програм надано 84 млн. євро, головним чином у формі грантів на проекти в Південно-Східній Європі, Росії і Центральній Азії, Україні. Фінансові засоби, в основному, спрямовувалися з метою сприяння розвиткові торгівлі, інфраструктури, мікро та малих підприємств і фінансування акціонерного капіталу. У програмах брали участь наступні країни: Німеччина, Італія, Нідерланди, США, Фінляндія, Швейцарія і Швеція. Крім цього, засоби надавалися по лінії Природоохоронного партнерства Північного регіону (ПППР) і Фонду підтримки малого підприємництва. Крім засобів, що надходять від міжнародних і двосторонніх фінансових установ, проекти фінансуються грантами Євросоюзу, ПППР, Фінляндії і Шведського агентства міжнародного співробітництва в області розвитку. 10. Програма санації підприємств. Завдяки програмі санації підприємства з Центральної Європи і Центральної Азії можуть переймати знання в ряду самих досвідчених у світі керівників підприємств. Колишні директори і ведучі керівники компаній світового класу охоче діляться своїм досвідом з тими, що опинилися в складному становищі з метою впровадження на них сучасних методів роботи і збільшення обороту. Ця програма націлена на підвищення управлінської кваліфікації, комерційного і технічного "ноу-хау". Фінансована винятково засобами «країн-донорів» програма допомагає розвивати національну економіку і тим самим сприяє зниженню рівня бідності і поліпшенню соціальних умов. Програма здійснюється групою по санації підприємств від імені ЄБРР. Фахівці в даній галузі працюють безпосередньо з конкретними підприємствами з питань підвищення рівня кваліфікації управлінської ланки, складання бізнес-планів, проведення структурних реформ, організації виробництва, проектування, маркетингу і впровадження нових виробів. Крім того, вони допомагають знижувати витрати виробництва й освоювати внутрішні й експортні ринки. Крім того, операції програми були розгорнуті в Південно-Східній Європі, Центральній Азії, на Кавказу, у Росії і у всіх інших країнах колишнього Радянського Союзу. Після одержання допомоги по лінії програми оборот малих підприємств зріс більш ніж на 30%. Ці проекти дозволили впровадити надійні механізми керування і фінансового контролю, розробити нові концепції проектування і маркетингу, підняти продуктивність праці, підвищити обсяги продажів і рівні зайнятості. На підприємствах з числом працівників менш ніж 250 чоловік оборот звичайно зростає приблизно на 34%, а рівень зайнятості - на 15%. На більш великих підприємствах продуктивність праці й оборот також виросли, однак звичайно ці підприємства йдуть на визначене "розукрупнення" з метою збереження своєї рентабельності. Більш 80% проектів були оцінені незалежними експертами як "задовільні" або "досить задовільні". 11. Програма ділових консультаційних послуг. Ця програма створена в допомогу малим і середнім підприємствам (МСП) з числом працівників від 10 до 500 чоловік для консультування їх по виробничо-господарських питаннях. Завдяки їй підприємства (з числом працівників звичайно менш 100 чоловік) одержують можливість розширити своє виробництво і підвищити конкурентоздатність. Програма націлена на розвиток потенціалу національних консультаційних фірм у сфері бізнесу шляхом надання їм можливості виконувати комерційні завдання й організації для них практичного навчання. Крім того, ПДКП у разі потреби залучає іноземних експертів і національні консультаційні фірми, контролює виконання кожного завдання з метою забезпечення якості роботи консультантів. Програмою керує група ПСП, що розташовується в ЄБРР. Програма ПДКП спрямований на підтримку чітко визначених проектів, що можуть принести швидкі результати, зокрема, в області дослідження ринкової кон'юнктури, та складання бізнес-планів. Вона фінансується поруч донорів, що надали на сьогодні близько 32 млн. євро на 2 860 проектів, реалізованих у 15 країнах. Виконання програми ПДКП почалося з держав Балтії, де вона діє вже більш восьми років. В рамках балтійської програми ПДКП реалізований 1680 проектів на більш ніж 1 260 підприємствах з числом працівників понад 237 000 чоловік і сукупним обсягом продажів порядку 10 млрд. євро. Завдяки сприянню по лінії програми ПДКП підприємства змогли залучити з зовнішніх джерел 43 млн. євро. Спочатку балтійська програма ПДКП фінансувалася країнами Північної Європи, що надали на неї 11, 2 млн. євро, а потім удалося залучити ще 3,7 млн. євро від Європейського співтовариства. Програма одержала високу оцінку зовнішніх експертів. Слід зазначити, що невеликі підприємства (з числом працівників менш 100 чоловік) домоглися найвищих темпів росту і створили найбільше число робочих місць. У Росії (Калінінград, Санкт-Петербург і Самара) і в інших країнах СНД (Азербайджан, Вірменія, Грузія, Казахстан і Узбекистан) реалізований у цілому 551 проект на 536 підприємствах з числом працівників понад 51 000 чоловік. Ці програми профінансовані Німеччиною, Данією, Люксембургом, Норвегією, З'єднаним Королівством, Фінляндією, Швейцарією, Швецією і Японією на загальну суму порядку 10 млн. євро. У Південно-Східній Європі програма ПДКП діє в Болгарії, Боснії і Герцеговині, БЮР Македонія, Сербії і Чорногорії, Словенії і Хорватії і фінансується засобами Австрії, Німеччини, З'єднаного Королівства, Фарі ЄС і Центральноєвропейської ініціативи. 12. Банки мікро фінансування. За минулі десять років ЄБРР інвестував кошти в 12 банків мікрофінансування(БМФ) Південно-Східної Європи, Росії, України і Кавказу. Ця робота велася в тісному співробітництві з іншими БМФ, донорами і комерційними організаціями і привела до виникнення «ядра» інвесторів. До них відносяться Міжнародна фінансова компанія (МФК), Німецький банк розвитку і Німецька компанія з питань інвестування і розвитку, „Коммерцбанк АГ” і „Інтернаціональ Мікроінвестіціонен АГ”. Був накопичений істотний досвід у створенні і розвитку мікрофінансування. Це призвело до створення окремих установ – цілих банків мікрофінансування. Співвідношення часток участі в цих банках сильно коливається, відбиваючи різницю пріоритетів окремих інвесторів. У більшості випадків на частку ЄБРР приходиться 15-25 відсотків. Поряд з часткою акціонерного капіталу в банках мікрофінансування ЄБРР звичайно надає кредитну і технічну допомогу консультантам, що займається створенням банку, навчанням (найнятих на місці) кредитних інспекторів і іншого персоналу, розробкою повного набору банківських послуг і керуванням банком у перші кілька років його діяльності. ЄБРР вийшов на лідируючу позицію серед акціонерів, займаючись створенням структури банків мікрофінансування і повсякденно контролюючи їхні операції й ефективність їхньої діяльності. В інших країнах ЄБРР надає мікрофінансування через «банки-партнери» (БП), адаптуючи наявні в них процедури і культуру праці таким чином, щоб вони відповідали потребам мікропідприємств. Цей процес називається «роботою з дрібними клієнтами». У Росії й Україні ЄБРР через банки-партнери здійснює програми мікрофінансування в тісному співробітництві з банками. Для того, щоб зрозуміти всю успішність мікрофінансування, треба насамперед розглянути підстави створення таких банків. Підставою для створення банків мікрофінансування, на відміну від концентрації зусиль на роботі з дрібними клієнтами через місцеві банки-партнери, є налагодження надійного механізму постійного фінансування МСП. Це може також зіграти важливу роль у розвитку фінансового сектора, демонструючи комерційну життєздатність кредитування МСП іншим учасникам ринку. [23, с. 270-274]. На даний момент банки мікрофінансування освоїли досить простий стратегічний напрямок, масово і при високому рівні обслуговування надаючи основні фінансові послуги. Якщо їм доведеться функціонувати як цілком комерційним установам і вони не будуть залежати від субсидій, то банкам мікрофінансування прийдеться розширювати масштаби і діапазон діяльності, і для цього вони не повинні бути занадто сковані у своїх можливостях, продовжуючи виконувати стратегічну задачу, що полягає в наданні мікрофінансування. З просуванням уперед нові послуги або види діяльності повинні будуть пройти оцінку на їхню потребу цільовій групі ММП і їхня автономність у довгостроковій перспективі, а також на предмет установлення рівноваги між обома цілями. Одна з основних цілей, поставлених перед банками мікрофінансування їхніми акціонерами і донорами, що фінансують технічну допомогу, полягає в поширенні їхньої діяльності на ряд регіонів. Регіональна експансія банків мікрофінансування має важливе значення, оскільки ММП у вилучених регіонах не мають ніякого доступу до офіційного фінансового сектора. На мою думку слід зазначити, що мікрофінансування полягає не просто в скороченні мінімального розміру банківських кредитів, пропонованих на ринку. Воно включає також скорочення термінів обробки заявок, зниження вартості операцій для клієнтів, збільшення розмірів кредиту стосовно балансу позичальника і/або наявному забезпеченню і введення гнучких вимог у відношенні забезпечення. [2, с. 24]. Висновки до розділу 1 Проведений в розділі 1 аналіз структури, функцій, пріорітетів діяльності ЄБРР дозволяє зробити наступні висновки: - Створення ЄБРР як кредитного інституту на початку 90-хх років було зумовлено неможливістю багатьох держав самотужки долати кризові явища в економіці, боротися з тогочасною інфляцією та значним безробіттям, що було викликано нестабільною політичною ситуацією в Європі та у світі наприкінці 80-х початку 90-х років. Створення ЄБРР було необхідне не тільки для надання фінансової допомоги країнам Центральної та Східної Європи, але й для зміцнення інтеграційних процесів на континенті. Передбачалося, що створення ЄБРР повинно було стати підґрунтям єдиної європейської структури, яка надалі мусить призвести до створення конфедерації. - ЄБРР – це поєднання комерційного банку та банку розвитку, тобто основною задачею Банку є фінансування проектів, які сприяють розвитку економіки, проте, Банк проводить свою діяльність, керуючись принципом самоокупності. Треба також зазначити, що банк кредитує різні галузі, окрім оборонної та тютюнової промисловості, а також проектів ігорного бізнесу. - Політична спрямованість діяльності ЄБРР виділяє цей Банк серед інших міжнародних кредитно-фінансових інститутів але окрім цього, значну роль відіграють й екологічні питання. Основними цілями ЄБРР є створення безтіньової ринкової економіки, прозорого управління та сприяння екологічному розвиткові без негативних наслідків у довгостроковій перспективі. - Всі функції ЄБРР спрямовані на розв’язання подвійної задачі: сприяння переходу до демократії та ринкової економіки та заохочення підприємницької діяльності в країнах ЦСЄ, в тому числі в країнах СНД та Прибалтики. Сучасні цілі та функції ЄБРР та інших МКФО, по суті, багато в чому схожі: надання позик, консультаційна допомога, здійснення інвестування в країни-члени, гарантування кредитів, підвищення рівня життя. Регіональні банки розвитку, включаючи ЄБРР, націлені на розвиток економік країн-членів регіону. - При кредитуванні, ЄБРР використовує два методи – прямий і через посередників. При прямому фінансування ЄБРР надає фінансування на конкретні проекти за лінією приватного сектора, структурної перебудови і приватизації, а також фінансує інфраструктуру, яка забезпечує цю діяльність. Основними одержувачами кредитів банку є спільні підприємства, особливо за участю іноземних спонсорів. Слід виділити, що ЄБРР надає перевагу фінансуванню розвитку приватних підприємств. Банк пропонує широкий набір фінансових інструментів та гнучко підходить до розробки схем фінансування проектів. Мінімальна сума проекту має бути не менше 5 млн. євро. Суттєвою відмінністю ЄБРР від інших регіональних банків розвитку є те, що Європейський банк реконструкції та розвитку призначений для сприяння переходу від командно-адміністративної системи управління економікою постсоціалістичних країн до відкритої, орієнтованої на ринок моделі. Найбільш важливою та історично новою задачею Банку стало сприяння у створенні нових економічних умов в країнах в період зміни політичної системи. РОЗДІЛ 2. МЕХАНІЗМ НАДАННЯ КРЕДИТІВ ЄБРР
2.1 Проектний цикл – як базовий механізм співпраці з ЄБРР : складові та етапи Співпраця з ЄБРР розпочинається поданням заяви муніципальним чи приватним підприємством заяви із проханням про надання кредиту для виконання проекту і, якщо банк вирішує, що даний проект потенційно придатний для фінансування, розпочинається проектний цикл. Продовжується він або до завершення проекту, або, у випадку відмови у фінансуванні, до прийняття Радою Директорів відповідного рішення. Для кожної стадії проектного циклу передбачені певні процедури. Послідовність проектного циклу така (рис.2.1): 1. Ідентифікація (вивчення) проекту: тобто чи підходить він для фінансування ЄБРР чи ні. 2. Стадія підготовки: переговори між замовником проекту (тобто позичальником) і банком про умови позики, підготовка документів для розгляду банком. 3. Затвердження проекту: ЄБРР приймає на себе зобов'язання надати фінансування. 4. Виконання, тобто виплата позики. Суть механізму ідентифікації можна описати так: бюро інформації по проектах в Лондоні чи представництва ЄБРР в країнах операцій проводять первісну оцінку проекту на предмет з'ясування, чи може банк допомогти в його фінансуванні - цей етап називається підбором проектів. Цей шлях повинні пройти всі потенційні клієнти з метою економії власного часу і коштів. Операції здійснюються фахівцями з великим досвідом банківської роботи. Для роботи над проектом банк призначає керівника операції і надалі зв'язок з банком підтримується через цю особу. Банківський департамент складається з територіальних відділів, які відповідають за усі країни операцій, а також галузевих відділів. Комерційні підприємства, які мають наміри одержати фінансування, чи посередники, уповноважені діяти від їхнього імені, повинні направляти запити безпосередньо до ЄБРР. Банк забезпечує повну конфіденційність операцій. Рис.2.1 Послідовність проектного циклу
Джерело[22, c.147] ЄБРР якомога швидше діє, в залежності від наявності інформації та її якості. Разом з тим, потенційні спонсори повинні враховувати, що банк не приступить до фінансування доти, доки цілком не переконається в тому, що має всю необхідну інформацію і ретельно перевірені юридичні документи. Після первісного звертання до ЄБРР співробітники банку консультують потенційних позичальників щодо питань порядку їх дій та можливих схем проекту. На цьому початковому етапі банк вимагає від клієнта наступну максимально докладну інформацію: · про акціонерів, як місцевих, так й іноземних; · про зміст виробничої діяльності; · про проект, тобто чіткий виклад пропозиції, її технічних, економічних та комерційних аспектів; · про пропозицію щодо характеру можливої участі ЄБРР (партнери в акціонерному капіталі; джерела кредитних засобів). Інформація, що надається на цьому етапі, повинна бути достатньою, для того щоб банк міг визначити, чи відповідає запропонований проект основним напрямкам і стратегії його діяльності і, взагалі, чи варто банку займатися їм у майбутньому. Аналізуючи цю інформацію, банк робить попередній висновок щодо технічної, фінансової, економічної, екологічної та інституційної можливості здійснити проект. Визначається також, чи відповідає проект галузевій та національній політиці банку. Наприкінці цієї стадії персонал Банку готує перший з документів, необхідних для оформлення дозволу. Це доповідь про початок роботи над проектом. У ній дається аналіз вже здійснених стадій проекту. Ця службова записка не надається для публікацій, на цій стадії проекту взагалі немає можливості для участі по сторонніх осіб. Якщо проект проходить цей етап, він включається до плану робіт банку. Стадія підготовки проекту поділяється на дві частини: · первісний розгляд · остаточний розгляд На першому етапі банк домовляється із замовником про загальну структуру проекту. По завершенні первісного розгляду готується Акт первісної експертизи. На другому етапі більш докладно обговорюються умови і терміни фінансування. Погоджені структура, терміни та умови проекту подаються на затвердження до операційного комітету банку. На цій стадії проекту проводиться екологічна експертиза, підтверджується, що проект екологічно безпечний, готуються документи до розгляду на Раді Директорів. Переважна більшість задач на цьому етапі покладається на персонал банку. Однак замовник проекту відповідає за оголошення про запропонований проект у засобах масової інформації, за здійснення оцінки впливу на навколишнє середовище та інші екологічні процедури [28; с.33]. ЄБРР зобов`язує замовника повідомити про проект громадським організаціям і тим особам, яких результати проекту торкнуться безпосередньо, і провів консультації з громадськістю. Під час проведення консультацій ті, на кого проект буде мати певний вплив, і всі зацікавлені особи та організації мають право подавати обґрунтовані рекомендації, пропозиції і висловлювати свою думку щодо проекту. Всі звертання повинні бути задокументовані та надані банку. Відповідно до екологічних процедур, ЄБРР вимагає проведення незалежного аналізу на предмет відповідності проекту екологічним вимогам. Остаточний висновок про вплив на навколишнє середовище повинен включати інформацію щодо: · екологічного стану проекту на даний момент; · потенційних впливів проекту на навколишнє середовище; · екологічного аспекту участі банку в проекті; · проведених консультацій із громадськістю. На цьому етапі також узгоджується мандатний лист про порядок роботи банку з клієнтом і про порядок оплати витрат на розробку проекту. Цей лист має юридичну чинність і підписується обома сторонами. Після затвердження операційним комітетом схеми проекту, керівник проекту і клієнт погоджують конкретні умови і положення фінансування проекту, які фіксуються в переліку умов. Цей документ лягає в основу юридичної документації. І останнє, клієнт готує інформаційний лист і направляє його до банку. В інформаційному листі докладно викладаються юридичний статус проектної компанії і зміст найбільш важливих договорів. Банк надає бланк інформаційного листа, який повинен бути заповнений юристами компанії [28; с.39-45]. Далі керівник проекту передає його на остаточний розгляд до операційного комітету, де готується Акт остаточної експертизи та документи на розгляд Раді Директорів. Робота на цих двох етапах затвердження проекту здійснюється паралельно з попереднім вивченням проекту. На мою думку ці два етапи є найважливішими, адже саме вони визначають подальшу долю проекту. Потрібно також зазначити, що при відсутності можливості негайно надати інформацію в повному обсязі клієнт повинен домовитися з керівником проекту про кінцеві терміни її надання. Після одержання банком усієї необхідної інформації терміни оформлення операції звичайно складають не більше ніж 3 або 4 місяців, хоча у відношенні менш складних проектів ці терміни можуть бути звичайно скорочені. Всі банківські документи, призначені для внутрішнього користування, такі як Акт первісної експертизи, Акт остаточної експертизи та документи для розгляду Ради Директорів, крім окремих випадків згоди Ради на їх публікацію, громадськості недоступні. Обнародуються резюме проекту як мінімум за 30 днів до розгляду Радою для проектів у приватному секторі економіці, і за 60 днів – для державного сектора [28; с.10]. Затвердження проекту – це остаточний висновок щодо проекту. Рекомендація Президента та інші документи подаються на розгляд Раді Директорів, яка приймає остаточне рішення про фінансування. Якщо Рада Директорів затверджує проект, підписується кредитний договір. На цьому закінчується одна стадія проектного циклу і починається інша. Замовник проекту розпочинає його виконання. Після затвердження Радою, документація що до умов кредиту більше не підлягає змінам. Виконання проекту – це наступна стадія проектного циклу, і це по суті втілення проекту у життя, наприклад, будівництво об'єкту та його наступна експлуатація. Виконання проекту – справа його замовника. ЄБРР лише спостерігає за цим процесом. Пункти договору вимагають, щоб ЄБРР впевнився в тому, що кредит використовується тільки за домовленими цілями. Крім цієї дуже важливої контролюючої функції, спостереження за ходом проекту покликано гарантувати досягнення його цілей шляхом постійної роботи із замовником, виявлення і рішення будь-яких проблем. У таблиці 2.2 наочно подані стадії проектного циклу ЄБРР із зазначенням найбільш важливих документів, які підписуються по завершенні кожної зі стадій. Табл.2.2 Стадії проектного циклу ЄБРР.
Джерело[22, c.150] Таким чином, у відповідності з банківськими принципами, ЄБРР забезпечує технічне, економічне, фінансове, юридичне та екологічне обґрунтування всіх своїх проектів, а виконання проекту здійснюється за наступними етапами: ідентифікація проекту, підготовка проекту, його затвердження та виплата позики. На мою думку, для того, щоб краще зрозуміти основи життєвого циклу проекту потрібно розглянути приклади реальних проектів. Для розгляду, я обрав проект, який був здійснений в Україні. Проект 1. Він був затверджений Радою Директорів ЄБРР та реалізований в м. Житомир. Назва проекту «Проект модернізації водопостачання у м. Житомир». Загальні дані: · Галузь Муніципальна інфраструктура · Державний \ приватний Державний сектор · Категорія щодо охорони довкілля В · Дата засідання Ради директорів 30 листопада 2008 · Статус: Пройдений розгляд концепції та остаточний розгляд, очікується початок реалізації · Дата оприлюднення проекту лютий 2008 · Місто Житомир виступає в якості гаранта · Фінансування: ЄБРР буде надано кредит у розмірі 10 млн. євро. Загальна вартість проекту 12,6 млн. євро · Можливість щодо закупівель та участі в тендерах по програмі закупівлі в рамках ЄБРР Опис та мета: Даний проект включає кредит міській водопостачальній компанії м. Житомир, муніципальному підприємству, повним власником якого є м. Житомир. Кредит буде використано для фінансування пріоритетних капіталовкладень для зниження втрат води, споживання енергії, та покращення якості очищення води. Очікується інвестування коштів у зміну труб і насосів, приладів з виявлення втрати води, модернізація водоочисних споруд, водомірів, та переробку мулу стічних вод Вплив на перехідні процеси в економіці: Даний проект матиме вплив на перехід до ринкової економіки через: запровадження ринкової тарифної структури, спрямовану на повну окупність завдяки тарифам, що забезпечить довгострокову фінансову автономність сектору водопостачання в місті; виставлення рахунків на основі фактичного споживання, природних ресурсів; передачу навичок та доступу протягом фази реалізації, у тому числі здійснення закупівель, проектування, монтажу, та нагляду за виконанням контрактів відповідно до кращих міжнародних методів організації виробничих робіт; демонстраційний ефект ефективної інституційної моделі муніципального комунального підприємства з використанням Договору про обслуговування і Методології регулювання тарифів Вплив на довкілля: Реконструкція та модернізація даної структури пов’язана з обмеженим впливом на оточуюче середовище, тому проект буде визнано як В/1. Екологічний аудит та аналіз, а також план управління навколишнім середовищем (ПУНС) будуть підготовлені в ході проведення техніко-економічного обґрунтування Проекту. В результаті реалізації проекту будуть отримані значні позитивні екологічні результати, у тому числі буде підвищена ефективність енергозбереження, зміна у напрямку бізнес-стратегії, отримання Вуглецевого фінансування з Багатостороннього Фонду вуглецевих кредитів. Технічне співробітництво Технічне обґрунтування Проекту фінансуватиметься урядом Австрії; Аудит фінансуватиметься Банком з використання власних ресурсів; програма підтримки корпоративного розвитку для Компанії.[60] 2.2 Критерії оцінки проектів Однією з значних переваг ЄБРР є те, що головний акцент банк робить на якості своїх проектів, а також на можливості підвищення їх ефективності, отже це впливає і на критерії оцінки проектів. Банк постійно намагається досягти "мультиплікаційного ефекту" своїх проектів, а саме: отримання додаткової вигоди для економіки країни, залучення софінансування чи усунення проблем в інфраструктурі. При розробці схеми фінансування, яка найбільше відповідає вимогам проекту, банк керується наступними принципами: 1. ЄБРР фінансує до 35% усіх витрат за проектом, який здійснюється з «нуля», чи 35% обсягу довгострокової капіталізації вже діючої компанії [36; с.360]. 2. Від інших інвесторів, зокрема промислових, вимагаються значні внески в акціонерний капітал проектів, які здійснюються з «нуля», чи нових спільних підприємств, коли потрібна спеціальна технічна та управлінська кваліфікація. У таких випадках промислові спонсори одержують контрольний пакет акцій або достатні права для керування підприємством. 3. На проекти в приватному секторі надається не більше двох третин суми позикових коштів і не менше однієї третини акціонерного капіталу [36; с.361]. 4. Інші учасники софінансування повинні, як правило, надати додаткові кошти. Кожен з проектів оцінюється з урахуванням відповідної стратегії для окремо взятої країни. Стратегії по країнах затверджуються акціонерами ЄБРР, і вони в подальшому є основою банківських операцій та визначають пріоритетність конкретних напрямків діяльності. ЄБРР не надає фінансування на діяльність, пов’язану із оборонною промисловістю, на тютюнову промисловість, на виробництво засобів, заборонених міжнародним правом, та на ігорний бізнес. Крім того, банк не може фінансувати деякі виробництва через шкідливість їх впливу на навколишнє середовище чи неможливість в достатній мірі послабити їх негативний вплив на навколишнє середовище. У відповідності зі здоровими банківськими принципами потрібно забезпечити технічне, економічне, фінансове, юридичне і екологічне обґрунтування всіх проектів, які фінансуються банком за допомогою кредитів або участі в акціонерному капіталі, а також обґрунтувати прийнятність кредитного ризику. Розподіл ресурсів ЄБРР по лінії технічного співробітництва визначається винятково операційними пріоритетами ЄБРР, а саме: · формування і збереження портфеля продуктивних інвестицій; · підтримка реалізації проекту; · створення інституційної інфраструктури, безпосередньо пов’язаної з операціями ЄБРР; · забезпечення збалансованого співвідношення проектів в приватному та державному секторах. В процесі підготовки проектних пропозицій, спонсорам рекомендується користатися послугами досвідчених фінансових радників комерційних, торгових банків, а також аудиторських та консультаційних фірм. Робота радників може прискорити темпи попереднього вивчення проекту банком а, отже, процес розгляду проекту. Якщо радник підвищує вартість проекту, то існує можливість оплати його гонорару з коштів, наданих ЄБРР. На усіх етапах процесу оцінки проекту враховується екологічна політика банку. До процедур банку у цій галузі відносяться добір інформації, дослідження стану навколишнього середовища, включення екологічних умов у юридичні документи, а також екологічний нагляд за проектами та їх оцінкою. Відділ екологічної оцінки ЄБРР визначає форму екологічного обстеження, яке повинно бути проведене до першого розгляду проекту, а також вимоги до врахування суспільної думки. Особливе значення надається проектам, що поліпшують стан навколишнього середовища та його охорону і гігієну. Проекти ЄБРР повинні відповідати національним екологічним нормативам і екологічним нормативам ЄС, а у випадку відсутності екологічних нормативів ЄС – національним екологічним нормативам і екологічним нормативам Всесвітнього банку. Якщо ці вимоги не можуть бути виконані до моменту схвалення проекту Радою директорів, то з ЄБРР необхідно погодити план забезпечення дотримання цих нормативів у майбутньому. Екологічна оцінка може виявитися дуже трудомісткою, і саме тому рекомендується звертатися в банк на початковому етапі підготовки проекту, щоб довідатися, яка конкретно інформація буде потрібна. Якщо розглядати діяльність позичальників у галузі закупівлі товарів або послуг принципи ЄБРР полягають в забезпеченні відкритої та чесної конкурентної боротьби за контракти на постачання товарів, виконання робіт або надання послуг. Щодо проектів, які здійснюються підприємствами приватного сектора, які діють в умовах ринкової конкуренції, банк повинен переконатися, що закупівля товарів або послуг відбувається відповідно до комерційної практики. Що стосується проектів у державному секторі, банк вимагає від спонсора дотримуватися принципів і правил закупівель товарів і послуг для операцій у державному секторі, зокрема, надаючи оголошення про контракти на купівлю товарів і послуг. Він також вимагає чітких та об'єктивних технічних вимог та критеріїв оцінки і не допускає дискримінації стосовно місцевих чи іноземних компаній. При вивченні проектів ЄБРР вимагає надання відповідної інформації для проведення аналізу та оцінки проекту. Вимагається, щоб у всій проектній пропозиції вся подана інформація максимально підтверджувалася відповідними даними. Таку інформацію можна умовно розділити на: · А - Операційну і проектну інформацію. · Б - Фінансову інформацію. · В - Екологічну і нормативну інформацію . А. Операційна і проектна інформація 1.Опис проекту, що пропонується для фінансувати ЄБРР. Обо`язково потрібно зазначити, чи йде мова про роботу з «нуля», чи про розширення вже діючого підприємства, а також про придбання чи приватизацію, чи про спільне підприємство. Потрібно також вказати передбачуване використання коштів, тобто галузь, у яку ці кошти будуть залучатися - будівництво, оборотний капітал і т. ін. Необхідно також повідомити, як готувався проект, у якому стані він знаходиться сьогодні і чому клієнт звертаєтеся за фінансуванням саме в ЄБРР. У цьому короткому описі повинні бути зазначені терміни завершення об'єкта, включаючи монтаж устаткування і початок виробництва. 2. Інформація щодо спонсорів проекту. Після отримання заявки на фінансування, ЄБРР потрібно буде налагодити контакт з людиною, яка приймає рішення за проектом. Звичайно це спонсор проекту, сторона, що відповідає за здійснення проекту і його завершення. Спонсором може бути компанія, наприклад, майбутній позичальник, чи третя сторона, тобто підрядчик чи потенційний покупець продукції позичальника. Спонсор керує розробкою проекту і відповідає за забезпечення його успіху. ЄБРР потрібно, щоб спонсор був глибоко зацікавлений у проекті. Банк потребує докладної інформації про підтримку, яку спонсор надасть за проектом а саме, що стосується капіталу, управлінського досвіду, діяльності, виробництва і збуту. 3. Досвід роботи. Спонсор, який володіє досвідом роботи в даній галузі, повинен бути знайомим з ризиками і мати здатність приймати стратегічні, комерційні і фінансові рішення у відношенні суб'єкта, який звертається за фінансуванням. Наявність спонсора означає для ЄБРР, що організація, яка знайома з цим виробництвом, готова ризикувати своїми коштами, вкладаючи їх у компанію. Необхідно вказувати окремо, що спонсору відомо про підприємство і скільки він може вкласти в нього, опираючись на свій досвід та можливості. Корисним буде також здійснити короткий опис аналогічних проектів, у яких брав участь спонсор. Якщо проект, на приклад, пов’язаний з розширенням існуючих потужностей, то необхідно повідомити про попередню діяльності компанії і будь-який досвіді отриманий в області розширення виробництва, зокрема: · коротка історія підприємства з моменту створення; · юридичний статус підприємства, склад акціонерів і характер корпоративного керування; · країна реєстрації, організаційна структура і сучасний стан; · найменування основних банків і основних клієнтів, які, при необхідності, можуть дати відгуки. 4. Фінансовий стан. Дані про фінансовий стан спонсора дозволять ЄБРР оцінити його репутацію. ЄБРР може покладатися на спонсора стосовного, поточної підтримки проекту, і ступінь довіри буде залежати від його фінансового стану. Спонсор повинен додати фінансові звіти за останні три роки, що пройшли аудиторську перевірку, а також документально підтвердити будь-які факти, що заслуговують уваги, за ці три роки [36; с.25]. Якщо акціонер є фізичною особою, то ЄБРР повинний знати, яким майном він володіє, наприклад, акціями інших компаній або грошовими надходженнями від інших підприємств. 5. Інформацію щодо інших акціонерів. Якщо у проекті задіяні інші акціонери, спонсор повинний надати інформацію про частку, майбутні права на керування та кількість голосів відповідних сторін. Необхідна також інформацію про капітал, майновий стан і досвід діяльності цих акціонерів, а також про те, чи надає хто-небудь з них фінансову підтримку або гарантії за проектом. Потрібно особливо підкреслити, що необхідною умовою є надання фінансової звітності цих акціонерів за останні три роки. 6. Інформацію щодо продукції. Необхідно навести докладний опис продукції чи послуг, з якими компанія планує вийти на ринок. У більшості випадків ЄБРР буде просити незалежну третю сторону дати оцінку запропонованої продукції, тому варто включити досить докладну інформацію, що дозволяє провести таку оцінку. Важливо привести основні характеристики своєї продукції, порівняти її з продукцією конкурентів і показати її переваги для потенційних споживачів. 7. Інформацію щодо виробництва. При оцінці виробничого процесу ЄБРР повинен переконатися, що він забезпечує конкурентоспроможне виробництва, незалежно від вартості робочої сили або податкових пільг. Існує п'ять інформаційних позицій, за якими подається інформація щодо виробництва: 1) Місцезнаходження - варто показати, яким чином місцезнаходження впливає на вартість проекту стосовно перевезень, наявності сировини і робочої сили, близькості до споживачів і постачальників, наявності енерго і водопостачання. 2) Виробничі потужності та устаткування - надається характеристика виробничих потужностей та необхідного устаткування. А саме наскільки сучасними є виробничі потужності та яка буде потрібна модернізація. Слід надати порівняльну характеристику устаткування компанії та устаткування інших виробників. 3) Процес виробництва - характеристика процесу виробництва з інформацією про виробничий чи експлуатаційний процес, виробничі чи експлуатаційні переваги та потужності. 4) Нові ресурси і витрати - одним з найбільш важливих питань для ЄБРР є аналіз ресурсів, які використовуються, та вартості матеріалів. Необхідно вказати найбільш важливі ресурси, необхідні для виробничого процесу; джерела їх одержання та як буде забезпечене постачання ними; охарактеризувати умови оплати. 5) Робоча сила - у характеристику робочої сили зокрема повинна включатися докладна інформація про штатний розклад. Зокрема, розподіл між місцевими та іноземними фахівцями і терміни повного укомплектування штатів. 8. Ринок. Варто охарактеризувати ринок збуту продукції та довести докладний плани виходу компанії на цей ринок (новий ринок, ринок, що вже сформувався, чи насичений ринок). Тип ринку є головним елементом при визначенні пов'язаного з проектом ризику та надійності грошових надходжень від проекту. Також варто дати пояснення, як проводилася сегментація клієнтури та яка велася з нею робота. Варто показати різницю між наявною і потенційною клієнтурою, охарактеризувати місткість ринку та заплановані масштаби попиту. Зокрема, якщо компанія планує експортувати продукцію, то необхідно зазначити на які експортні ринки вона буде постачатись. Доцільним буде включити опис еволюції ринку за останні два-три роки та його прогноз на наступні п'ять років. Необхідно перелічити зобов'язання покупців на закупівлю продукції та вже укладені договори на її постачання. Варто повідомити про конкурентів на вашому ринку. Хто вони і яку мають частку ринку. Як діяли конкуренти в останні три роки і які їх плани на майбутнє. Як вони можуть відреагувати на проект. Необхідно повідомити про цінову стратегію та порівняти її із ціновою стратегією конкурентів. Враховуючи цінову стратегію, вказати, як можна вийти на ринок; утримати та збільшити свою частку на ринку; зберегти свою норму прибутку. До цінової стратегії необхідно додати аналіз еволюції цін на продукцію, дати оцінку ключових ціноутворюючих елементів, тобто вартість ресурсів, чутливість споживчого попиту. Необхідно охарактеризувати плани збуту та розподілу продукції, а саме: організацію та стимулювання служби збуту; механізм одержання платежів; стратегію в області реклами торгової марки. 9. Керування. Якість керування, на мою думку це – ключовий момент для успіху проекту. ЄБРР потрібно оцінити сильні та слабкі сторони керування проектом. А у проекті повинно бути вказано, хто зі спонсорів направляє своїх співробітників для керування проектом; структура управлінської ланки та взаємини між різними відділами та співробітниками; функції кожного відділу; процес руху інформації між відділами і керівництвом; контроль за роботою. Корисно додати короткі анкетні дані, які б включили наступну інформацію: ім’я, прізвище, функціональні обов'язки та досвід роботи з профілю. Б. Фінансова інформація Європейському банку реконструкції і розвитку потрібна точна калькуляція витрат за проектом та використання коштів, особливо використання коштів ЄБРР. Цю інформацію необхідно надати на первісній стадії розробки проекту. Нижче наводяться три інформаційні позиції, за якими надається фінансова інформація. 1) Вартість проекту - тут необхідно вказати наступне: як складався кошторис витрат; кошторисна вартість робіт, ким складався кошторис (самим підприємством чи незалежним експертом) і ступінь його точності; дані про будь-які вже здійснені витрати; інформацію про надходження устаткування, матеріалів, особливо якщо вони надаються одним із спонсорів; інформацію про резерви на не передбачувані витрати. До кошторису проекту варто включити будь-які можливі витрати на реєстрацію застави та полісів страхування. 2) Здійснення проекту - ЄБРР може доручити спонсору самостійно чи за допомогою підрядчиків втілити проект у життя у встановлений термін, ефективно використовуючи кошти. Щоб банк міг оцінити ризики, пов'язані із здійсненням проекту, необхідно: коротко викласти пов'язані із його здійсненням заходи, вказавши імена і прізвища людей та назви організацій, які відповідають за здійснення окремих частин проекту, обґрунтувати вибір цих організацій та охарактеризувати їх минулу діяльність, охарактеризувати зміст договорів з цими організаціями, вказавши зобов'язання що до завершення проекту, графік виплат та гарантії виконання робіт, представити докладний графік виконання робіт. ЄБРР вимагає забезпечення комерційних принципів при закупівлі товарів або послуг, тому спонсору варто уважно поставитися до цього питання. Зокрема, вказати та обґрунтувати запропонований метод закупівлі товарів, послуг і устаткування на засоби ЄБРР, підтвердити, що товари, послуги і устаткування були закуплені на строго комерційних засадах. ЄБРР може залучати експертів для аналізу виконання проекту та повідомлення про будь-які потенційні місця перевитрат коштів. 3) Джерела фінансування - як правило, ЄБРР є лише одним із декількох джерел фінансування. Банк буде рекомендувати спонсору самому вкласти кошти в акціонерний капітал та підібрати інші потенційні джерела фінансування. Якщо проект передбачає розширення існуючих об'єктів, необхідно представити поточний баланс, рахунок прибутків і збитків і звіт про рух готівки (по можливості останню аудиторську перевірку за міжнародним нормами) існуючого підприємства. До інформації про джерела фінансування повинно входити наступне: · хто надає капітал і в які терміни; · як здійснюється розподіл паїв і на якій основі; · якщо до ЄБРР звертаються із проханням про надання капіталу, яким чином, на думку спонсора, банк згодом зможе вилучити свій капітал; · хто надає кредити за проектом; · хто планує стати головним та субординованим кредитором; · валюти видачі кредиту. В. Екологічна та нормативна інформація Відповідно до свого екологічного мандату ЄБРР повинен сприяти своєю діяльністю екологічно здоровому і стійкому розвитку країни. Тому, для оцінки екологічних наслідків проекту банк повинен мати достатньо інформації щодо екологічних аспектів. Екологічна та нормативна інформація включає: · місцезнаходження проектного об'єкту ; · використання землі, для об'єкту, у минулому та в теперішній час; · опис будь-яких будівельних робіт, що передбачаються проектом; · запропоновані заходи що до пом'якшення впливу на навколишнє середовище та її поліпшення; · заява про розподіл обов'язків при будь-якім забрудненні і про відповідальність за нього; · будь-яка інформація про природоохоронну політику компанії. Варто додати копії будь-яких екологічних перевірок чи оцінку впливу проекту на навколишнє середовище. Варто надати опис вимог, які поширюються на проект та пов’язані із захистом навколишнього середовища, гігієною та охороною праці. ЄБРР повинен оцінити нормативну базу реалізації запропонованого проекту.[40, c.622-630] 2.3 Постпроектна оцінка ефективності реалізації проектів за участю ЄБРР Оцінка проектів, являє собою дуже важливий процес, бо це показник діяльності та ефективності всього банку. Отже це - оцінка операцій після зробленої інвестиції. Як правило, відбувається через рік - два після повного освоєння засобів. Відділ оцінки проектів ЄБРР (ВОП) ставить своєю метою визначити ступінь виконання поставлених перед операціями ЄБРР задач і проконтролювати виконання їм його статутних зобов'язань. Витягнуті уроки допомагають удосконалювати добір і схему майбутніх операцій. При оцінці ефекту впливу проектів ЄБРР на процес переходу ВОП враховує, зокрема, їхній більш широкий ефект у даному секторі й економіці в цілому. У ході оцінки проекту ВОП аналізує його вплив на процес переходу, використовуючи ті ж критерії, що й ЄБРР у процесі добору і твердження проектів. Ряд ключових показників стосуються стимулювання процесу приватизації, підготовки кваліфікованих кадрів, розвитку конкуренції і сприяння розширенню ринку. Іншими найважливішими аспектами є інституціональне будівництво з метою поліпшення функціонування ринків, позитивні демонстраційні ефекти і впровадження нових норм ділової етики і керування. Одна з основних задач оцінки полягає в тому, щоб у ході розробки нових проектів враховувати накопичений досвід. Цей процес починається із широкого обговорення відділами банківського департаменту ЄБРР уроків, витягнутих з оцінки проектів. Крім того, на кожнім етапі процесу твердження проекту банкіри регулярно одержують інформацію про минулий досвід. Приклади з практики стають предметом обговорення на семінарах і використовуються для обліку конкретних потреб відділів банківського департаменту. Крім того, ВОП готує інформаційні матеріали для керівництва ЄБРР і вводить у базу даних витягнуті уроки для внутрішнього користування. В даний час розробляється аналогічна база даних для зовнішнього користування. ЄБРР вимагає, щоб принаймні 60% завершених операцій, підлягають оцінці. Проекти зазвичай оцінюються від одного до двох років після повної виплати та результати подаються банкірам ЄБРР, менеджмерам і раді директорів, а також розміщується на веб-сайті банку. В даний час близько 72% усіх проектів банку, які готові для оцінки, пройшли незалежну оцінку департаменту оцінювання ЄБРР. Оцінка проектів відбувається за низкою факторів, у тому числі мандата ЄБРР, раціональних принципів банківської справи та ефективності реалізації проекту. Це показано на рисунку 2.3. Рис.2.3 Фактори, що використовуються при оцінці виконання проекту
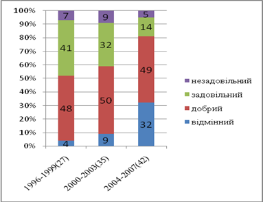
Джерело[60] При оцінці впливу проекту на перехідні процеси в економіці, Департамент з оцінювання дивиться на вплив проекту конкретно на сектор, де цей проект реалізовується і на економіку в цілому. Наприклад, йде оцінка чи проект сприяє приватизації, чи розробляє і поліпшує стандарти ведення бізнесу, сприяє посиленню конкуренції і підтримує розширення ринку. З 574 проектів реалізованих за період 1996 – 2007 років, 55% отримали оцінку "добре" або "відмінно" за вплив на перехідні процеси в той час як ще 24% були оцінені як "задовільні". Рис.2.4 Оцінка проектів ЄБРР за період 1996 – 2007 років.
Джерело[54] Результативність екологічної діяльності – це один з ключових напрямків оцінки Департаменту Оцінювання ЄБРР. В статуті ЄБРР йдеться, що завдяки своїй діяльності банк повинен сприяти екологічній безпеці та сталому розвитку. Департамент Оцінювання тісно співпрацює з Департаментом навколишнього середовища банку з метою оцінки впливу проектів ЄБРР на навколишнє середовище. Інші фактори включають оцінку фінансової ефективності проекту та досягнення його цілей. Департамент також оцінює виконання банком проекту: її інвестиційної діяльності, ведення проекту і його здатність розвивати, а не витісняти приватні джерела фінансування . З 574 проектів, оцінених у період з 1996 по 2007 роки, 58% отримали оцінку "успішний" або "відмінний ".[54] Рис.2.5 Загальний рейтинг виконання проектів за період 1996 – 2007 років.
Джерело[54] 2.4 Оцінка ефективності виконання проектів ЄБРР у 2008р. У 2007 році Департамент обрав 46 проектів для проведення оцінювання . Оцінювання було проведено в залежності від наступних критеріїв: • уроки, здобуті в процесі виконання роботи. • чи є проект високого профілю: тобто чи мали проекти політичний вплив. • ризик банку в проекті, в тому числі екологічні ризики. • чи буде операція достатньо ефективною. • готовність до реплікації операції: уроки з цих проектів допоможуть в підвищенні ефективності • проектів, які банк здійснює на даний момент, або буде здійснювати в майбутньому. Таким чином, Департаментом з оцінювання визначаються проекти, які мають найбільший потенціал для вивчення з боку ЄБРР. Тим не менше, оцінюються і невдалі проекти, які слугують цінним досвідом для проведення наступних проектів. Решта проектів не були відібрані для повної оцінки, проте їх аналіз проводиться у будь якому випадку. Підсумковий рейтинг виконання операції базується на декількох основоположних оцінках, отриманих від мандату ЄБРР. Вплив на перехідні процеси в економіці є головною складовою індивідуального рейтингу для всіх операцій. Екологічні показники та зміни є важливими показниками для проектів з високим екологічним ризиком. Підсумковий рейтинг базується на визначенні впливу проекту на наступні сфери: 1. Вплив на перехідні процеси в економіці. Визначає вплив проекту на бізнес сферу, ринок та інститутів, що сприяють трансформації економіки країни, куди спрямовується кредит, від централізованої до ринкової. 2. Вплив на навколишнє середовище. Визначає чи були екологічні та соціальні показники діяльності, як головні екологічні цілі проекту (інституціональні, контролю промислових викидів, дотримання нормативних вимог, питань соціальної і громадської участі), визначені і виконані згідно з статутом ЄБРР. 3. Оцінка інвестиційної діяльності банку. Визначається величина впливу інвестування на можливість покриття всієї величини транзакційних витрат протягом часу дії проекту, та отримання чистого доходу від проекту. 4. Оцінка діяльності банку у виконанні проекту. Банк оцінює взяте на себе департаментами та підрозділами завдання структурування та моніторингу за виконанням проекту, які беруть участь в процесі експлуатації проекту.[50, c.243-252] У минулому, багатонаціональні банки розвитку (ББР) мали різні способи вимірювання загальної продуктивності та ефективності проекту з точки зору їх мандатів. Тим не менше, акціонерами ББР було запропоновано погоджувати оцінки процедур і процесів, з метою забезпечення можливості порівняти їх результати з результатами інших ББР. Таким чином, оцінка департаментів ББР, за оцінкою групи зі співробітництва, намагалися узгодити свої рейтинги оцінювання. Для ЄБРР, це означає, що банк, разом з презентацією атестації на основі всіх показників, також буде вимірювати якісні зміни в галузі. Цей тип оцінки об'єднує результати, які вимірюють "результати на місцях" в відповідних країнах. Зведений рейтинг для категорії «якісні зміни в галузі» складають: · вплив на перехідні процеси в економіці. · екологічні та соціальні показники і зміни навколишнього середовища. · фінансові показники компанії, а також виконання цілей проекту. В минулому, Департамент з Оцінювання базував свої роз`яснення на основі тісного взаємозв'язку між цим рейтингом і підсумковим рейтингом продуктивності. Починаючи з 2007 року, Департамент встановив визначення категорії «якісні зміни в галузі» для кожного з 54 проектів, що були оцінені. Результати приведені в таблиці 2.6, де вони порівнюються з розподілом загальної оцінки результатів проектів. Табл.2.6 Загальна оцінка результатів проектів.
Джерело[60] З таблиці видно, що підсумковий рейтинг продуктивності та показник змін в галузі практично є рівними. Інші рейтинги пов`язані банківською діяльністю та не пов`язані з результатами на місцях мають незначний вплив на підсумковий рейтинг продуктивності. Рисунок 2.7 та таблиця 2.8 відображають загальну оцінку продуктивності інвестиційних проектів ЄБРР. Вони відображають результати всіх проектів починаючи з 1996 року. Ці проекти складають 72% від всіх інвестиційних проектів ЄБРР, які завершили всі етапи інвестування станом на 2007 рік. Рис.2.7 Загальна оцінка продуктивності інвестиційних проектів ЄБРР.
Джерело[54] Табл.2.8 Загальна оцінка продуктивності інвестиційних проектів ЄБРР.
Джерело[54] Як видно з таблиці, більш ніж половина проектів (334 з 574, або 58 відсотків) отримали оцінку добре або відмінно. Протягом 1990-х років ця частка коливалася в межах 50 - відсоткової позначки. У 2001 цей показник знизився до рівня 46 відсотків, це, на мою думку, є прямим наслідком фінансової кризи в Російській Федерації, яка торкнулася галузей промисловості по всьому регіону. Після цього в 2004 році він виріс та досяг свого максимуму в 73 відсотки. Після 2004 року прослідковується тенденція до зменшення. У 2007 році частка добрих та відмінних проектів склала 63 відсотки, хоча це як і раніше вище, ніж за будь-який рік до 2004 року. Частка проектів, що отримали високу оцінку 2007 році знизився до 6 відсотків, що трохи нижче, ніж в останні роки, при цьому частка незадовільних проектів був незмінним на рівні 9 відсотків. Загальний результат продуктивності може здатися не значним, оскільки 42% проектів отримали оцінку задовільно і незадовільно. Тим не менш, слід пам'ятати, що в регіон залишається територією підвищеного ризику для інвестування, і це має місце в останніх проектах ЄБРР, які проводяться в більш розвинених країнах з перехідною економікою. ЄБРР завжди підтримували поглиблення процесу змін на краще в більш складних областях, де можливості для бізнесу є низькими і можливості фінансового посередництва є обмежені. Для того щоб докладніше проаналізувати в яких регіонах були найкращі та найгірші показники розглянемо рисунки 2.9, 2.10, 2.11, 2.12, 2.13, 2.14. подані нижче. Рис.2.9 Показники виконання проектів по регіонах(1996-2007).
Джерело[54] Регіон 1: Хорватія, Чехія, Естонія, Угорщина,Латвія, Литва, Польща, Словаччина, Словенія. Регіон 2: Албанія, Боснія та Герцеговина, Болгарія, Македонія, Румунія, Сербія та Чорногорія. Регіон 3: Вірменія, Азербайджан,Грузія, Киргизька Республіка, Молдова, Таджикистан, Узбекистан. Регіон 4: Білорусія, Казахстан, Узбекистан, Україна. Різні середні оцінки у різних групах країн вказують на поточні проблеми, що є у країнах з перехідною економікою, яким приділяє особливу увагу Проекти в цих країнах як і раніше стикаються з більш складними проблемами, ніж проекти на початку 1990-х в центральній Європі. На графіку показані зміни в оцінці продуктивності з 1996 по 2007 роки. Видно, що всі регіони показують поліпшення в останні роки в порівнянні з результатами в період 2000-2003 років. Розглянемо детальніше кожен регіон окремо: Рис.2.10 Динаміка оцінки виконання проектів в регіоні 1.
Джерело[54]
Регіон 1. Цей регіон відзначався своїми високими оцінками за всі періоди. Оцінку добре в період 2004-2007 років отримало 63% проектів, що на 3% більше ніж у попередньому періоді. Кількість ж незадовільних проектів зменшилося на 7%. Рис.2.11 Динаміка оцінки виконання проектів в регіоні 2.
Джерело[54]
Регіон 2. Виконання проектів у Південно-Східній Європі (Регіон 2) поступово поліпшувалися в 1990-х роках. За останні п'ять років оцінку добре і відмінно отримало 81% проектів. Рис.2.12 Динаміка оцінки виконання проектів в Росії.
Джерело[54] Росія. В Росії за останні три роки відзначається підвищення ефективності роботи, після тривалого періоду великої кількості незадовільних та задовільних проектів протягом 1990-х років. На мою думку підвищення продуктивності є прямим результатом поліпшення економічної ситуації і зміцнення стабільності в Росії, що дає змогу компаніям показувати хороші результати і досягати поставлених цілей. Рис.2.13 Динаміка оцінки виконання проектів в регіоні 3.
Джерело[54]
Регіон 3. Поліпшення ситуації у цьому регіоні було стабільним, проте незначним. Протягом останніх чотирьох років 50% проектів були оцінені як добрі та задовільні. Частка проектів які отримали оцінку незадовільні зменшилася з однієї третини в 1990-х роках до 13 відсотків в даний час - хоча це як і раніше вище, ніж в інших регіонах. Рис.2.14 Динаміка оцінки виконання проектів в регіоні 4.
Джерело[54]
Регіон 4. В четвертому регіоні помітна тенденція до зменшення кількості проектів які отримали оцінку незадовільно. Проте і кількість проектів з оцінкою добре також зменшилося, а проекти з оцінкою задовільно навпаки збільшилося. Статистика виконання проектів по галузям та секторам економіка наведена в додатку 1.[54] Висновки до розділу 2 Проведений в розділі 2 аналіз механізму надання кредитів ЄБРР дозволяє зробити наступні висновки: - Проектний цикл – базовий механізм співпраці з ЄБРР. Кожен проект, проходить проектний цикл, який продовжується до завершення проекту, або, у випадку відмови у фінансуванні, до прийняття Радою Директорів відповідного рішення. - Послідовність проектного циклу є наступною: 1. Ідентифікація (вивчення) проекту 2. Стадія підготовки 3. Затвердження проекту. 4. Виконання, тобто виплата позики. - Перевагою ЄБРР є те, що головний акцент банк робить на якості своїх проектів, а також на можливості підвищення їх ефективності, що значно впливає і на критерії оцінки проектів. - Всі проекти оцінюється з урахуванням відповідної стратегії для окремо взятої країни. На усіх етапах процесу оцінки особлива увага приділяється оцінці екологічного впливу проекту. - Оцінка проектів є важливим процесом, оскільки це показник діяльності та ефективності всього банку. Отже це - оцінка операцій після зробленої інвестиції. - Основним завдання оцінки проектів є накопичення досвіду, для реалізації нових проектів в майбутньому. - Оцінка проектів відбувається за низкою факторів, а саме: оцінка впливу проекту на перехідні процеси в економіці, оцінка екологічної діяльності, оцінка раціональності використання фінансів, виконання цілей проекту, оцінка виконання інвестування, опрацювання проекту ЄБРР. - Більша частина проектів ЄБРР в період 1996-2007 років були оцінені як добрі та відмінні, що свідчить про ефективність використання досвіду, отриманого при оцінці попередніх проектів. Найкращі показники виконання проектів (65% проектів отримали оцінку добре та відмінно) в регіоні 2(Албанія, Боснія та Герцеговина, Болгарія, Македонія, Румунія, Сербія та Чорногорія.) РОЗДІЛ 3. СПІВПРАЦЯ УКРАЇНИ З ЄБРР
3.1 Аналіз реалізації попередніх стратегій діяльності ЄБРР в України до 2007 року Процес співпраці України з ЄБРР характеризується не лише широким діапазоном галузей та напрямків діяльності, а й досить позитивною динамікою щодо кількості проектів та обсягів фінансування. За останні роки Україна вийшла на третє місце за обсягом інвестицій Банку (після Росії та Польщі), обсяг яких досяг приблизно 8,7% від обсягу підписаних зобов'язань Банку . Це досягнення є дуже важливим, враховуючи те, що протягом попередніх років Україна займала п'яте місце за сумою зобов'язань щодо надання фінансування. У 2007 р. банк здійснив інвестиції у 96 проектів з чистим кумулятивним обсягом операцій на суму 2896 млн. євро, проекти у приватному секторі становлять 72% чистого кумулятивного обсягу операцій, і проекти без державних гарантій складають 67% чистого кумулятивного обсягу операцій. В термінах розподілу наданого Банком фінансування за галузями, 31% портфелю стосується інфраструктурних галузей, приблизно 21% - неспеціалізованих галузей промисловості, 20% - спеціалізованих галузей (переважно це агробізнес), 20% припадає на фінансові установи, і 8%, що залишаються, - це проекти в енергетиці. В термінах кількості проектів, найбільша кількість (32) - це проекти в спеціалізованих галузях, є також 23 проекти в галузі фінансових установ та від 8 до 19 проектів в кожній з інших галузей. Протягом попередньої стратегії спостерігалась стабільна тенденція до зростання річного обсягу зобов'язань щодо надання фінансування. Протягом періоду з 2005-2006 роки за річним обсягом зобов'язань щодо надання фінансування Україна була другою після Росії серед країн діяльності Банку, і у 2006 р. цей обсяг досяг 772 млн. євро. Динаміку зображено на рисунку 3.1. Кількість нових проектів за рік також стабільно зростала від в середньому 17 проектів протягом періоду минулої Стратегії до 25 у 2005 р. та 26 у 2006 р.[36, c.193-199] Рис.3.1 Річний обсяг нових операцій (включаючи регіональні програми та програми сприяння торгівлі)
Джерело[36, c.195] Операційні активи стабільно зростали від 570 млн. євро на початку розглядуваного періоду до 737 млн. євро в кінці 2006 р. Внаслідок додавання певних великих інфраструктурних проектів з низькими темпами надання коштів, відсоток операційних активів у портфелі Банку в кінці 2006 р. знизився з 61% до 44%. Проте, з початком надання коштів у 2006 р. очікується, що ця тенденція буде змінена на протилежну. У минулому пріоритети діяльності ЄБРР в Україні були у якості заохочення прямих іноземних інвестицій та розділення ризиків з такими інвесторами, а також інвестування у проекти середнього розміру в Україні у галузі виробництва та агробізнесу. Це було виконано шляхом активної участі Банку у фінансуванні ключових іноземних інвесторів, наприклад, "Міттал Стіл Україна", і також шляхом реалізації транскордонних проектів спільно зі спонсорами з країн діяльності Банку, наприклад, з польськими компаніями "Cersanit" та "Barlinek". Хорошими прикладами інвестицій у середні підприємства були кредит, наданий українській фармацевтичній компанії "Фармак" та інвестиція в акціонерний капітал компанії "Укрснаб", ведучого виробника холодильного обладнання. Орієнтація на надання більшого обсягу інвестицій в акціонерний капітал та кредитного фінансування та на довші строки, а також сприяння синдикуванню, була повністю реалізована, і частка акціонерного капіталу у портфелі Банку збільшилась на 25% протягом періоду, який розглядається, та досягла 9,3% у 2007 р. Частка синдикованого кредитування також значно збільшилась протягом періоду, який розглядається. Досягненню цілей збільшення прозорості та вдосконалення корпоративного управління у місцевих проектах у приватному секторі та підтримки проектів, що пов'язані з охороною довкілля та підвищенням енергоефективності протягом періоду, який розглядається, сприяло надання значного кредиту для проекту "Екоенергія" на Алчевському металургійному заводі. Цей проект дасть значні вигоди для захисту довкілля та економії енергоресурсів, і цей проект є першим спільним проектом з великою промисловою групою, яка має українських власників ("Індустріальний союз Донбасу") та яка рухається у напрямку більш високих стандартів корпоративного управління та прозорості. Це стосується приватного сектору. У галузях енергетики та інфраструктури досягненню мети підтримки реструктуризації та модернізації транспортної інфраструктури України сприяло надання кредиту для основного транспортного коридору, що з'єднує Київ з кордоном з ЄС – шосе M06. Кредит для найбільшої ділянки цієї дороги у 2006 р. був співфінансований з ЄІБ. Протягом цього періоду набув чинності другий кредит для підтримки "Укрзалізниці", спрямований на розширення комерціалізації та реструктуризацію залізничної галузі. Завдання щодо впровадження нових структур фінансування без державних гарантій було виконане у галузі комунальної інфраструктури, де був наданий перший кредит без державних гарантій для підприємства водопостачання міста Дніпропетровська. Проекти підвищення безпеки другого енергоблоку Хмельницької АЕС та четвертого енергоблоку Рівненської АЕС, а також реалізація проекту "Укриття" на Чорнобильській АЕС, незважаючи на затримки, що сталися внаслідок необхідності у відповідному розгляді тендерного процесу щодо нового безпечного конфайнменту, сприяли підвищенню стандартів ядерної безпеки. Щодо показників у фінансовому секторі - за даними 2007 року, обсяг портфеля становив 1,745 млрд. євро, що репрезентує подвоєння портфелю протягом періоду, який розглядається.[9] Обсяг операційних активів досяг 737 млн. євро, при цьому обсяг активів, що не приносять прибутку - тільки 0,3% від загальної суми операційних активів; хоча сукупний ризик всього портфелю в Україні оцінюється на рівні 5,72, що вище за середній у Банку рівень 5,49. В цілому коефіцієнт залучення фінансування (зовнішнє фінансування/фінансування ЄБРР) становить 2,0. Темпи вибірки коштів також значно покращились на протязі періоду минулої Стратегії, при цьому середньорічний валовий обсяг видачі коштів становив 270 млн. євро, а середньорічне зростання чистих операційних активів протягом цього періоду досягло 130 млн. євро. Рівень анулювання проектів в державному секторі також суттєво зменшився, і також зросла частка операційних активів, що, перш за все, відображає вдосконалення координації діяльності між Банком та Урядом України шляхом проведення регулярних моніторингових зустрічей, які були узгоджені у відповідності до багаторічної Програми співробітництва. Рівень комерційного співфінансування значно збільшився до 100% від наданого Банком фінансування, у порівнянні з минулими роками. Співробітництво з іншими МФУ та донорами також було успішним - протягом останніх трьох років були одержані 16 млн. євро донорського фінансування на підтримку інвестицій ЄБРР, і при цьому основна увага приділялась фінансовому сектору та секторам інфраструктури та енергетики. Значне зростання обсягу співфінансування відображає зростання ролі українських підприємств на ринках синдикування. Це відбувалось також завдяки початку діяльності ЄІБ в Україні та надання ним співфінансування на суму 200 млн. євро для проекту шосе M06 спільно з Банком. Ще одним важливим етапом було перше надання співфінансування в Україні з боку JBIC (Банку міжнародного співробітництва Японії) на суму 120 млн. дол. США в контексті когенераційного проекту "Екоенергія" для Алчевського металургійного комбінату. Що стосується сектору фінансових установ, Банк також був ведучим співкредитором у наданні першого середньострокового синдикованого кредиту для "Кредитпромбанку". ЄБРР в Україні кредитує наступні сектори: 1) Банківська діяльність – Діяльність Банку протягом періоду, який розглядається, включала рамкову програму для вибраних банків з метою подальшого кредитування підприємств приватного сектору, синдикований кредит "Кредитпромбанку" та надання іпотечної кредитної лінії "Раффайзенбанку". Проте, проблеми щодо прозорості та інші негативні фактори корпоративного управління перешкодили Банку здійснити нові проекти, пов'язані з участю в акціонерному капіталі. 2) МСП та МСМП - Декілька кредитних ліній та Українська Програма Мікрокредитування (УПМ) продовжують мати велике значення. В рамках УПМ в сумі було надано більше 780 млн. дол. США, і ця програма демонструє дуже хороші результати в термінах якості портфелю, середніх сум кредитування та продуктивності кредитних інспекторів. На додаток до цього та в результаті проведення Банком політичного діалогу, місцеві органи влади в цілому почали підтримувати розвиток (M)МСП. 3) Інвестиційні фонди – Протягом періоду минулої Стратегії Банк збільшив свої зобов'язання щодо надання фінансування фонду "Euroventures" та взяв нові зобов'язання щодо надання фінансування фонду "SigmaBleyzer Southeast European Fund", який працює в основному в Україні. В цілому, незважаючи на деяке збільшення активності діяльності інвестиційних фондів, інвестиційне середовище залишається складним, і для розвитку життєздатного сектору приватного акціонерного капіталу потрібні значні подальші реформи. 4) Природні ресурси - Присутність Банку у цій галузі реалізовувалася шляхом надання двох кредитів для проекту "Balkan Gas Transit" та кредиту підприємству, що займається роздрібною торгівлею нафтопродуктами "Галнафтогаз", а також першої інвестиції в акціонерний капітал підприємствa, що займається розвідкою та видобуванням нафти та газу "Cadogan Petroleum". Ці проекти досягли своїх цілей, тобто підвищення фінансової прозорості, покращення результатів діяльності підприємств, вдосконалення транспортування газу, торгівлі нафтопродуктами та впровадження сучасної технології видобутку. 5) Промисловість – інвестиції Банку включають кредити Рубіжанському картонно-тарному комбінату та декільком металургійним, фармацевтичним та іншим виробничим підприємствам, що створило можливість модернізації виробничих процесів та одержання вигод від підвищення ефективності. Досвід, набутий в результаті виконання проекту на Рубіжанському картонно-тарному комбінаті, полягає в тому, що Банк може грати позитивну роль у сприянні захисним стратегіям, розробленим справжніми інвесторами з метою попередження спекулятивних дій з боку інших (небажаних) агентів. 6) Нерухомість і туризм - галузь нерухомості і туризму в Україні характеризується складним та непрозорим інвестиційним кліматом, і Банк брав участь лише у декількох проектах, наприклад, проектах фонду "Heitman Central Europe Property Partners Fund II", та "Orco Aparthotels" в Києві. Для діяльності у майбутньому галузь нерухомості і туризму потребує подальших законодавчих та регуляторних реформ, кращого регулювання на місцевому рівні та розширення впровадження кращої міжнародної практики. 7) Електроенергетика - Банк надав кредит для модернізації та підвищення безпеки другого енергоблоку Хмельницької АЕС (ХАЕС-2) та четвертого енергоблоку Рівненської АЕС (РАЕС-4), який вже мав значний вплив на підвищення ядерної безпеки в Україні. Щодо проекту Банку на Старобешівській ТЕС, виникли значні затримки у його впровадженні. Досвід, набутий в рамках цього проекту, полягає в тому, що затримки у проведенні закупівель та впровадженні проекту часто призводять до збільшення витрат та суперечок щодо контракту між замовником та підрядником. 8) Підвищення енергоефективності - Банк активно працював в секторі енергосервісних компаній (ЕСКО), у проектах за участю приватних та державних компаній, та фінансував промислові проекти, що мали складову підвищення енергоефективності. Висновок - результаті впровадження одного з цих проектів на металургійному заводі "ІСТІЛ", полягає в тому, що навіть невелике підвищення енергоефективності може дати значні фінансові вигоди (PE03-232). 9) Транспорт - два проекти в залізничній галузі були спрямовані на трансформацію державної залізничної компанії "Укрзалізниця" за принципами комерціалізації, наприклад, на корпоратизацію та відокремлення діяльності з вантажних та пасажирських перевезень від інфраструктури. Діяльність Банку в секторі автомобільних доріг включала реалізацію проектів та політичний діалог. Наприклад, проект "Укравтодору" сприяє покращенню фінансування дорожнього сектору та управлінської фінансової звітності. Нарешті, Банк продовжував свою підтримку участі іноземного стратегічного інвестора ("Австрійські авіалінії") в авіаційній галузі, що дало можливість реалізувати певну передачу навичок та досягнень у корпоративному управлінні. Інші два спільні проекти з "Укррічфлотом" (надання фінансування для придбання двох нових вантажних кораблів) сприяли вдосконаленню стандартів бухгалтерського обліку та управління.[37, c.424-430] 3.2 Стратегічні орієнтири у співпраці ЄБРР та України відповідно до Програми співробітництва між Урядом України та ЄБРР на 2008-2010 роки На сьогодні, із урахуванням покращення економічної та фінансової ситуації в Україні, підвищення попиту на середньо - та довгострокові фінансові ресурси з боку бізнесу можна сказати, що стратегічні орієнтири ЄБРР щодо України змінюються на краще, а саме збільшуються обсяги фінансування, інвестування в загальнодержавні та комерційні проекти. Пріоритетами банку, виступають насамперед: сприяння підвищенню ефективності, конкурентоспроможності та диверсифікації економіки; підвищення стандартів корпоративного управління українського приватного сектору та сприяння прямим іноземним інвестиціям; сприяння подальшому розвитку ринків капіталу та надання постійної підтримки мікро -, малим та середнім приватним підприємствам шляхом надання цільових довгострокових кредитних ліній разом з банками – партнерами; сприяння підвищенню енергоефективності та енергетичної безпеки, та сталому використанню природних ресурсів в усіх галузях економіки; підвищення ефективності та надійності ключової транспортної інфраструктури, виробництва, передачі та розподілу електроенергії, комунальної інфраструктури та нафто- і газотранспортної систем України. З метою вирішення проблем окремих галузей, які постають вже сьогодні, Банк пропонує додаткові продукти та розробляє нові підходи у державному та приватному секторах шляхом використання свого досвіду, набутого під час роботи у країнах, які просунулися далі у процесі переходу до ринкової економіки. Зокрема, Банк буде активно розглядати можливість фінансування без використання державних гарантій для тих державних підприємств у галузях транспорту, електроенергетики, телекомунікацій та природних ресурсів, які досягли значних успіхів у корпоратизації, реструктуризації та досягненні прозорості.[39, c.11-27] В рамках своєї програми фінансування в національній валюті Банк буде пропонувати фінансування у гривнях у секторі комунальних послуг, на ринку споживчого та іпотечного кредитування та підприємствам, які мають нехеджовані ризики коливань курсу національної валюти. Ключовим елементом надання фінансування для великих інфраструктурних проектів з транс'європейським виміром буде співробітництво та співфінансування таких проектів з ЄІБ в рамках домовленостей, досягнутих між ЄІБ та ЄБРР для регіону СНД. Банк також намагатиметься і далі залучати та використовувати грантове фінансування від ЄС та інших донорів з метою сприяння виконанню проектів в галузях інфраструктури, комунальних послуг, енергоефективності та відновлюваних джерел енергії, а також проектів у галузі безпеки вугільних шахт . У приватному секторі Банк намагатиметься далі збільшувати частку акціонерного капіталу у своєму портфелі та продовжувати розширення можливостей синдикованого кредитування в термінах обсягів та строків кредитування, та шляхом представлення українських позичальників більшій кількості учасників ринку синдикованого кредитування. Банк також намагатиметься підтримувати диверсифікацію української економіки шляхом визначення проектів, придатних для банківського кредитування, у галузі автомобілебудування, аерокосмічній галузі, галузях засобів масової інформації та телекомунікацій. Результати, яких може досягти Банк в рамках пропонованої Стратегії на кінець 2010 року, залежать від просування процесу реформ протягом наступних років. Є надія, що Уряд України, на додаток до своєї амбіційної програми інвестицій в інфраструктуру держави, буде зберігати прихильність до впровадження реформ у корпоративному секторі, на ринках капіталу та реформ оподаткування і судочинства. Банк і надалі буде збільшувати пріоритетність діяльності в регіонах шляхом відкриття другого Представництва в Дніпропетровську, яке підтримуватиме розширення діяльності Банку у східних областях країни. На основі досвіду відкриття цього Представництва протягом періоду Стратегії буде розглядатись подальше розширення діяльності у західних та південних регіонах України. Галузеві завдання та пріоритети діяльності: здійснюючи план Стратегії, Європейський банк реконструкції та розвитку намагається задіяти усі сфери діяльності в Україні. На перший план, виходить українській бізнес - підтримка підприємств, модернізація виробництва, підвищення енергоефективності. Не менш важливим є питання енергетики. Європа є одним з найбільших споживачів енергетики, тому дуже важливо підтримувати Україну з метою підвищення ефективності та надійності постачання, адже вона може з часом може стати головним постачальником енергетики в Європу. Роль України у галузі природних ресурсів - це транзит нафти та газу до Європи з Росії та Каспійського регіону, але у більшості випадках це застарілі конструкції, що потребують значних інвестицій. Те ж саме стосується і вугледобування, де необхідні чималі кошти які потрібно вкласти у гірничу безпеку та покращення регулювання - і це ще одне галузеве завдання. Стосовно транспортної системи - Банк буде продовжувати відігравати ключову роль у розвитку транспортної інфраструктури України, та буде відповідним чином враховувати рекомендації Групи високого рівня з питань розширення головних транс'європейських транспортних напрямків на території сусідніх країн і регіонів, і також Довгострокову стратегію TRACECA. Україна, як ніхто інший славиться своєю землею, через те, що багата вона на мінерали, що дають значні врожаї. Це давно вже зрозуміли українські підприємці, тому майже половина, тих, хто має великі кошти, заробляють на агробізнесі. Тому ще одним завданням для ЄБРР, є допомогти з обладнанням та устаткуванням, щоб збільшити обсяги виробництва. Нерухомість в Україні зростає в ціні дуже стрімко, як ніде в Європі. Тому дуже важливим завданням є насамперед модернізація та приватизація деякої нерухомості що й досі є державною власністю. Адже можливо, колись її стануть купляти, як нерухомість в центрі Європи. Туризм, також є складовою частиною бізнесу з нерухомості, адже, в Україні дуже багато готелів, які потребують негайної модернізації. Це в першу чергу стосується міст, де туризм є статтею прибутку. Усі галузеві завдання можна поділити на: компанії, підвищення енергоефективності, енергетика, природні ресурси, транспорт, фінансовий сектор та фінансування мікро -, малих та середніх підприємств, мікрокредитування та фінансування малих та середніх підприємств, агробізнес, нерухомість і туризм, телекомунікації. Розглянемо кожне з них більш детально. 1) Компанії: банк буде продовжувати надавати фінансування українським та іноземним компаніям. Основним пріоритетом у виробничому секторі буде підтримка українських підприємств у їх прагненнях щодо підвищення енергоефективності, модернізації та впровадженні міжнародних стандартів охорони довкілля. Це включатиме фінансування деяких великих українських підприємств, які продемонстрували значні успіхи у покращенні прозорості та корпоративного управління з особливою пріоритетністю проектів, що включають значне підвищення енергоефективності та вигоди щодо охорони довкілля у металургійній, хімічній, машинобудівній та автомобілебудівній промисловості. Банк також буде продовжувати збільшення потоку прямих іноземних інвестицій, які очікуються у галузях агробізнесу, споживчих товарів, металургії, капітального обладнання, будівельних матеріалів, нерухомості, нафти та газу. Враховуючи те, що багато європейських компаній почали переведення своїх виробничих потужностей далі на схід з метою зменшення витрат. Банк особливо зацікавлений у підтримці транскордонних інвестицій в Україну з боку підприємств з Країн діяльності Банку, сусідніх з Україною, наприклад, Польщі та Росії, та інвестицій українських підприємств в цьому регіоні. 2) Підвищення енергоефективності: підвищення енергоефективності є ключовим пріоритетом діяльності Банку на період Стратегії до 2010 року. Україна є однією з найбільш енергоінтенсивних країн в світі та має величезний потенціал підвищення . Підвищення цін на російський газ та постійно високі ціни на нафту на світових ринках призвели до поступового підвищення тарифів та створили вагомі стимули для споживачів енергоресурсів для вирішення проблем ефективності, зокрема, у промисловому секторі. Це є хорошою нагодою для Банку реалізувати значний вплив на перехідні процеси в економіці шляхом впровадження проектів підвищення енергоефективності з масштабним демонстраційним ефектом. Підвищення енергоефективності пропонує потужній механізм досягнення цілей Банку щодо переходу до ринкової економіки в Україні. Перш за все, підвищення енергоефективності дозволить скоротити витрати на енергоресурси, підвищуючи таким чином конкурентоспроможність підприємств та прямо збільшуючи добробут українських споживачів (зокрема, в контексті збільшення цін на енергоресурси). По-друге, зменшення попиту на енергоресурси зменшить занепокоєння щодо енергетичної безпеки за рахунок зменшення залежності України від імпортованого палива. По-третє, підвищення енергоефективності дає вигоди для охорони довкілля та сприяє появі нових послуг та робочих місць. Ефективність використання енергоресурсів має велике значення для національної безпеки України. Україна сильно залежить від імпорту енергоресурсів як джерела постачання більшої частини її первинних енергетичних ресурсів. З огляду на те, що більшість первинних енергетичних ресурсів постачається з Російської Федерації, Україна вразлива до політичної ситуації у сусідній країні. Зменшення споживання енергоресурсів через більш ефективне використання, очевидно, сприятиме зменшенню цієї залежності. Підвищення енергоефективності є також важливим для економічного зростання та підвищення рівня життя в Україні. Прямі та непрямі субсидії, спрямовані на підтримку спроможності споживачів сплачувати за енергоресурси, призводять до значних витрат коштів з місцевих бюджетів та погіршення якості комунальних послуг. Однією з цілей Банку щодо переходу до ринкової економіки буде продовження його ініціатив, спрямованих на підвищення енергоефективності у всіх галузях економіки: шляхом прямого кредитування в корпоративному секторі та шляхом розширення кредитування через посередників в рамках кредитних ліній для підвищення енергоефективності. Це передбачає надання не тільки фінансових ресурсів, але й технічної консультативної допомоги з метою визначення та впровадження широкого діапазону інвестицій для підвищення енергоефективності, зокрема, у промисловому секторі. Пріоритети діяльності: Основними пріоритетами діяльності щодо підвищення енергоефективності будуть наступні: · Збільшення інвестицій у підвищення енергоефективності у промислових галузях: · Банк буде стимулювати своїх клієнтів до оцінки можливостей підвищення енергоефективності у якості частини будь-якого спільного проекту з Банком. Будуть надаватись ресурси технічної допомоги для проведення енергетичних аудитів та проведення навчання з енергетичного менеджменту; · Банк буде активно просувати можливості щодо підвищення енергоефективності з метою залучення нових клієнтів, для яких економія енергоресурсів є частиною їхньої корпоративної стратегії; · Надання підтримки впровадження для проектів підвищення енергоефективності – зокрема, навчання з енергетичного менеджменту з метою забезпечення реального впровадження інвестицій та сприяння передачі навичок з метою покращення сталості відповідних видів діяльності; · Фінансування малих та середніх проектів підвищення енергоефективності та проектів у галузі відновлюваних джерел енергії в рамках цільових кредитних ліній – Української програми з енергоефективності для банків (100 млн. євро); · Співпраця з організаціями та фінансовим сектором з метою розробки та впровадження механізмів фінансування підвищення енергоефективності у житлово-комунальному секторі, включаючи використання технічної допомоги та грантового співфінансування; · Прискорення політичного діалогу у галузі підвищення енергоефективності; надання підтримки Національному агентству з питань забезпечення ефективного використання енергетичних ресурсів та Комітету Верховної Ради України з питань паливно-енергетичного комплексу, ядерної політики та ядерної безпеки, які розробляють законопроекти у галузях підвищення енергоефективності та відновлюваних джерел енергії, зокрема, щодо малих ГЕС та тарифів на "зелену енергію"; · Вдосконалення діалогу з донорами шляхом участі в Робочій групі з питань енергоефективності і відновлюваних джерел енергії; Сприяння купівлі вуглецевих кредитів у клієнтів в рамках Вуглецевого фонду Нідерландів та Багатостороннього фонду вуглецевих кредитів. Банк буде співпрацювати з Міністерством палива та енергетики та Міністерством охорони навколишнього природного середовища з метою розвитку інституційної спроможності для затвердження продажу вуглецевих кредитів та буде надавати допомогу клієнтам, зокрема, у галузях енергетичної та комунальної інфраструктури, з метою визначення та підготовки угод з вуглецевими кредитами. 3) Енергетика: Україна має можливість стати важливим гравцем у забезпеченні енергетичних потреб Європи. Маючи один з найвищих у регіоні діяльності Банку рівнів енергоінтенсивності економіки, Україна потребує інвестицій у всіх секторах цієї галузі з метою підвищення ефективності та надійності постачання. Без значних інвестицій, які з часом потребуватимуть участі приватного сектору, Україна може опинитись перед загрозою дефіциту енергоресурсів у середньостроковому періоді. Цілі переходу до ринкової економіки: · Завершення процесу лібералізації, включаючи реформування системи формування тарифів, з метою залучення інвестицій; · подальша розробка законодавства, пов'язаного з Концепцією Оптового ринку електроенергії, з метою надання можливості використання двохсторонніх контрактів; · посилення незалежності регулюючого органу; · реструктуризація великих обсягів боргу в галузі, які накопичились протягом минулих періодів; та · приєднання до UCTE та Договору про енергетичну спільноту, та сприяння зближенню законодавства у галузі енергетики України до законодавства ЄС, що слугуватиме каталізатором важливих реформ, і також дозволить Україні збільшити обсяги торгівлі електроенергією з її західними сусідами. Пріоритети діяльності: Ключовими аспектами пріоритетів діяльності будуть наступні: · сприяння Уряду у відновленні процесу приватизації та готовність до надання передприватизаційного та постприватизаційного фінансування підприємствам галузі; · до початку наступного етапу приватизації, фінансування модернізації розподільчих активів у державних компаніях з метою підвищення ефективності, якості та надійності постачання, а також вдосконалення корпоративного управління. За умови кредитоспроможності державних підприємств, надання фінансування без державних гарантій, з метою заохочення обґрунтованої фінансової практики та досягнення значного демонстраційного ефекту; · Банк сприятиме впровадженню проектів у галузі відновлюваних джерел енергії у якості альтернативи проектам на базі викопного палива, та братиме участь у політичному діалозі і розглядатиме можливість фінансування за рахунок коштів технічної допомоги з метою впровадження структур тарифів для відновлюваних джерел енергії для підтримки таких проектів; · підтримка участі приватного сектору у секторах розподілу та виробництва електроенергії, з пріоритетністю проектів, спрямованих на підвищення ефективності перетворення та розподілу енергії, якості енергетичних послуг та вдосконалення корпоративного управління; · сприяння впровадженню міжнародних стандартів ядерної безпеки в Україні; та · участь у політичному діалозі з Урядом та координація зусиль з іншими донорами та МФУ з метою сприяння необхідним структурним та регуляторним реформам у відповідності до визначених вище Цілей переходу до ринкової економіки. 4) Природні ресурси: Україна є нетто-імпортером нафти та газу, і забезпечує тільки 18% поточного обсягу споживання нафти та газу з ресурсів власного видобутку. Україна має великі поклади вугілля, які за деякими оцінками досягають 6,5 трильйонів тонн, з обсягом підтверджених запасів у 117 млрд. тонн, проте ця галузь залишається в основному не реформованою. Основна роль України у галузі природних ресурсів - це транзит нафти та газу до Європи з Росії та Каспійського регіону. Проте, ця важлива ресурсна артерія базується на експлуатації у багатьох випадках 30-40-річного трубопроводу, малопотужних та неефективних з точки зору використання енергоресурсів компресорних станцій, невідповідних сховищ, та слабкій функції контролю та вимірювання внаслідок застарілості та неефективності вимірювального обладнання та недостатнього забезпечення вимірювальним обладнанням у основних точках надходження на територію та виходу з території України. Україна також має одні з найбільших у світі запасів вугілля, проте також одні з найгірших показників гірничої безпеки в галузі, що потребує значних інвестицій у гірничу безпеку та покращення регулювання. Останні події у вугільній галузі України, наприклад, поява прибуткових приватних добувних підприємств та прийняття урядової стратегії для галузі, яка включає приватизацію деяких потенційно рентабельних шахт, відкривають можливості для підтримки перехідних процесів у вугільній галузі. Цілі переходу до ринкової економіки · Реконструкція та модернізація транзитної інфраструктури з метою забезпечення енергетичної безпеки, сприяння підвищенню енергоефективності, і вдосконалення системи контролю та вимірювання для забезпечення прозорості та управління; · Вдосконалення управління та прозорості системи НАК "Нафтогаз України" та сприяння комерціалізації НАК; · Допомога у фінансуванні інвестицій приватного сектору шляхом більш відкритої урядової політики та підвищення прозорості регулювання; · Збільшення використання нафти та газу внутрішнього видобутку та чистих вугільних технологій, наприклад, сучасної технології газифікації вугілля, та модернізація електростанцій з метою заміни технологій на більш чисті. Пріоритети діяльності · модернізація та розвиток транзитної інфраструктури, включаючи трубопроводи, компресорні станції, вузли обліку та сховища. Це включає розвиток інфраструктури та модернізацію виробничих об'єктів, які обговорювались з компаніями "Укртранснафта" та "Укртрансгаз" в контексті реалізації Меморандуму між Україною та ЄС про взаєморозуміння щодо співробітництва в енергетичній галузі, тристороннього Меморандуму про взаєморозуміння ЕC/ЄІБ/ЄБРР від грудня 2006 р. та двостороннього Меморандуму про взаєморозуміння з ЄІБ; · участь структур НАК в інших видах діяльності, крім транзиту нафти та газу, наприклад, у розвідці та розробці родовищ нафти та газу; · фінансування приватних інвестицій та ПІІ в галузі з метою підтримки національних виробників та постачальників послуг, які дотримуються принципів прозорості та високих стандартів охорони здоров'я та праці, залучення ширшої зовнішньої участі у виробництві всередині країни та підвищення енергоефективності. Це включатиме підтримку приватних компаній, які займаються розвитком інфраструктури, та підтримку (включаючи можливу участь ЄБРР в акціонерному капіталі) відповідних компаній, які займаються розробкою ресурсів, наприклад, компанії "Cadogan"; та · сприяння фінансуванню розвитку та розширенню діяльності якісних роздрібних постачальників палива, включаючи альтернативні види палива, наприклад, СНГ та СПГ. Це включатиме у найближчому майбутньому продовження підтримки підприємства "Галнафтогаз", а також інших аналогічних роздрібних постачальників, які відповідають вимогам, і також допомогу у впровадженні проектів у галузі дистрибуції альтернативних видів палива, наприклад, компаній-роздрібних постачальників СПГ та СНГ. · пошук відповідних партнерів у вугільному секторі, з пріоритетною увагою до гірничої безпеки, підвищення енергоефективності та проблем зміни клімату. 5) Транспорт: Банк буде продовжувати відігравати ключову роль у розвитку транспортної інфраструктури України, та буде відповідним чином враховувати рекомендації Групи високого рівня з питань розширення головних транс'європейських транспортних напрямків на території сусідніх країн і регіонів, і також Довгострокову стратегію TRACECA. Ключова зміна стратегії полягатиме у поступовому переході до фінансування без державних гарантій у транспортній галузі: наприклад, проектів "Укрзалізниці", Центру керування повітряним рухом та, можливо, "Укрпошти". Цілі переходу до ринкової економіки · Завершення корпоратизації "Укрзалізниці" та продовження реформ у залізничній галузі, включаючи спрощення доступу приватних операторів; · прийняття сучасного законодавства щодо дорожніх концесій, яке б створило можливість інвестування у дорожній сектор із застосуванням механізмів державно-приватного партнерства (ДПП); · розробка галузевих стратегій для обласних аеропортів та морських та річкових портів України з метою усунення вузьких місць, підвищення ефективності пасажирських та вантажних перевезень, вдосконалення аеронавігації та сприяння більш повній реалізації транзитного потенціалу України у відповідності до рекомендацій Бакинських робочих груп, довгострокових стратегій TRACECA та рекомендацій Групи високого рівня; · початок переговорів про створення Спільного авіаційного простору з метою повної інтеграції України до єдиного авіаційного ринку ЄС та до європейських авіаційних структур. Україна перейматиме авіаційне законодавство ЄС та відповідні стандарти, наприклад, у галузі безпеки та управління повітряним рухом. Пріоритети діяльності: · завершення модернізації дороги M06, що з'єднує Київ з кордоном з ЄС, а також фінансування проектів щодо інших важливих міжнародних транспортних коридорів; · продовження політичного діалогу з Міністерством транспорту з метою надання допомоги Уряду у прийнятті сучасного законодавства щодо дорожніх концесій та механізмів ДПП у дорожньому секторі. Це буде доповнюватись можливим пілотним проектом дорожньої концесії, щодо якої має бути проведений тендер у відповідності до нового законодавства; · підтримка корпоратизації "Укрзалізниці" та інвестицій у рухомий склад, автоматичні системи управління рухом та енергозбереження, розвиток основних міжнародних транспортних коридорів; · надання підтримки процесу модернізації української авіаційної галузі та підвищення безпеки повітряного руху, створенню необхідної інфраструктури, в тому числі шляхом консолідації авіаційної галузі. 6) Фінансовий сектор та фінансування мікро-, малих та середніх підприємств: процес співпраці України з ЄБРР характеризується не лише широким діапазоном галузей та напрямків діяльності, а й досить позитивною динамікою щодо обсягів фінансування. Сумарні фінансові зобов'язання по проектам за весь період діяльності ЄБРР в Україні перевищили 1,7 млрд. євро. З цієї суми, чималий відсоток припадає на малі та середні підприємства. Цілі переходу до ринкової економіки: · Підтримка розвитку внутрішніх ринків капіталу; · заохочення іноземних інвестицій у банківському секторі у якості засобу посилення капітальної бази українських банків, а також посилення конкуренції; · підтримка консолідації та посилення капітальної бази банків з українськими власниками у достатній мірі з тим, щоб уможливити задоволення ними очікуваного значного зростання попиту на кредитні ресурси; · посилення регулювання і нагляду у банківському секторі та секторі фінансових послуг; та · сприяння розвитку іпотечного кредитування; лізингових та пенсійних фондів. Пріоритети діяльності · Підтримка зростання та інституційного розвитку банків з українськими власниками шляхом інвестування в їхній капітал та надання довгострокового фінансування банківській системі у вигляді субординованих кредитів, синдикованих кредитів, кредитних ліній для МСП або для підвищення енергоефективності; · пошук нових середніх та малих банків-партнерів, особливо в регіонах; · участь у політичному діалозі щодо стратегії для двох державних банківських установ ("Укрексімбанк", "Ощадбанк"); · розробка інструментів фінансування в національній валюті на основі підходу, який вже був використаний в Росії та інших країнах; · участь в угодах щодо секуритизації з метою підтримки подальшого росту фінансових установ; та · активна участь у створенні нових секторів медичного страхування, лізингу, пенсійних фондів та споживчого кредитування. 7) Мікрокредитування та фінансування малих та середніх підприємств: Цілі переходу до ринкової економіки: · Покращення доступу до надійних джерел фінансування для кредитоспроможних ММП/МСП; · сприяння конкуренції між установами, які здійснюють кредитування ММП в країні; · подальша розробка ефективних та легкодоступних фінансових продуктів для ММП, особливо у сільській місцевості та у сільському господарстві; та покращення навчання та управління для діяльності з кредитування ММП, включаючи такі сфери, як, наприклад, внутрішній аудит та системи управлінської інформації. Пріоритети діяльності: · Підтримка існуючих банків-партнерів, які вже фінансують більше 50% портфелю кредитів для ММП з власних коштів, для задоволення зростаючого попиту на мікро- та малі кредити в Україні. · Розширення цієї діяльності у регіони, де цього часу такі послуги були недостатніми. · Продовження розширення кредитування у сільській місцевості та для сільського господарства з метою подальшого поширення таких послуг для найменших спільнот і найменших ММП. · Продовження особливої уваги до гендерного аспекту. Зараз жінки складають приблизно 50% позичальників ММП. · Поширення у 2008/2009 р. програми фінансування ММП на додаткові 50 -100 міст. · Продовження навчання кредитних інспекторів та персоналу банків. Протягом 2007-2010 років передбачається провести навчання приблизно 700 кредитних інспекторів. Збільшення доступності кредитування ММП та підвищення конкуренції в цій галузі, і таким чином підвищення якості послуг, які надаються позичальникам ММП шляхом залучення нових банків-партнерів та інших організацій, що надають фінансування ММП, до участі в УПМ, зокрема, організацій, що розташовані в регіонах. Зосередження на підвищенні ефективності кредитування шляхом створення внутрішніх навчальних підрозділів, а також шляхом вдосконалення технологій кредитування. Банк буде продовжувати сприяння розвитку приватного сектору МСП шляхом реалізації Програм Управління перетвореннями (TAM) та консультаційних послуг для підприємств (BAS), які були розроблені з метою сприяння розвитку та зростання МСП у країнах діяльності Банку. Особлива увага приділяється управлінським навичкам, позиціонуванню на ринку, інформаційним системам, сертифікації якості, технічній та екологічній модернізації. Програма BAS ще не відкрила свого представництва в Україні, проте у 2008 р. було виконане Техніко-економічне обґрунтування. В результаті цього дослідження було визначено, що підприємства мають потребу у допомозі такого типу, яка пропонується в рамках Програми BAS, що обґрунтовує діяльність групи спеціалістів BAS щодо підтримки МСМП в Україні, та сприяння українській галузі надання консультативних послуг, що спеціалізується у секторі МСМП. Пріоритетом для Банку буде допомога TAM/BAS у залученні фінансування для підтримки діяльності TAM та створення 1-3 Представництв BAS в Україні. Для створення цих нових представництв BAS може бути надане фінансування з коштів чистого доходу ЄБРР, і для подальшої підтримки діяльності BAS ЄБРР буде намагались залучити фінансування та/або співфінансування від різних донорів, включаючи ЄС. 8) Агробізнес: Україна, як ніхто інший славиться своєю землею, через те, що багата вона на мінерали, що дають значні врожаї. Це давно вже зрозуміли українські підприємці, тому майже половина, тих, хто має великі кошти, заробляють на агробізнесі. Цілі переходу до ринкової економіки: · завершення розробки повністю функціональної системи Складських документів (СД) з використанням технічної допомоги (сприяння впровадженню системи нормативних документів, пов'язаних з позасудовими процедурами врегулювання та створенням компенсаційного фонду, та загальному завершенню створення системи) та підтримка ринкових механізмів регулювання торгівлі зерном; · модернізація галузі переробки сільськогосподарської продукції з особливою увагою до секторів, які мають тісні зв'язки з іншими сегментами (наприклад, постачання сировини, первинна обробка, відновлювані джерела енергії на основі сільськогосподарського виробництва та пакування); · підтримка розвитку логістики та дистрибуції (включаючи склади, дистриб'юторські центри, оптову та роздрібну дистрибуцію продовольчих товарів); та · підтримка модернізації та розвитку компаній, які мають українських власників, у секторі агробізнесу. Пріоритети діяльності: · заохочення збільшення прямих іноземних інвестицій шляхом фінансування інвестицій разом з іноземними стратегічними інвесторами або шляхом сприяння розвитку компаній, які мають українських власників, у галузях, які пізніше можуть приваблювати іноземних інвесторів; · збільшення зусиль у роботі з сильними українськими компаніями; · збільшення кредитування українських та іноземних компаній під заставу сільськогосподарської продукції та складських документів (з додаванням, якщо це необхідно, застави інших активів). Це може мати форму кредитів через українські комерційні банки або з допомогою таких банків з використанням системи складських документів, якщо це можливо, або інших перехідних структур фінансування; · зосередження на фінансуванні галузей, які пов'язані з постачанням продуктів харчування – дистрибуції та роздрібної торгівлі продуктами харчування та товарами повсякденного попиту; та · зосередження на фінансуванні впровадження та розвитку сильних українських торгових марок та інноваційної продукції, покращення якості продукції. 9) Нерухомість і туризм: нерухомість в Україні зростає в ціні дуже стрімко, як ніде в Європі. Тому дуже важливим завданням є насамперед модернізація та приватизація деякої нерухомості що й досі є державною власністю. Адже можливо, колись її стануть покупати, як нерухомість в центрі Європи. Туризм, також є складовою частиною бізнесу з нерухомості, адже, в Україні дуже багато готелів, які потребують негайної модернізації. Це в першу чергу стосується міст, де туризм є статтею прибутку. Цілі переходу до ринкової економіки: · Збільшення кількості готелів, які відповідають міжнародним стандартам, зокрема, у Києві та інших великих містах та на курортах; · Приватизація та модернізація готелів, які знаходяться у державній власності; · Підтримка проектів, що пов'язані з туризмом; · Сприяння розвитку логістичної та складської інфраструктури, та збільшення пропозиції офісних приміщень високої якості та приміщень для роздрібної торгівлі сучасного формату у Києві та інших великих містах. · Підтримка проектів розвитку об'єктів нерухомості змішаного використання, у яких сполучаються зазначені вище види нерухомості. Пріоритети діяльності: У галузі нерухомості і туризму Банк буде підтримувати міжнародних та українських девелоперів та інвесторів нерухомості шляхом низки інструментів фінансування, включаючи старший борг, меззанінний борг, пряму участь в акціонерному капіталі та фонди участі в акціонерному капіталі. В термінах сегментів, Банк буде продовжувати підтримку інвестицій в офісні, торгові, логістичні, готельні та змішані об'єкти нерухомості в Києві та обласних містах України. На додаток до цього, буде здійснюватись підтримка екологічно сталих проектів, деякі з яких можуть сприяти відродженню міського середовища. Банк сприятиме розвитку української галузі будівельних матеріалів та передачі технологій, знань та управлінських навичок на українському ринку нерухомості і туризму. Конкретні пріоритети діяльності Банку у галузі нерухомості і туризму включають наступні: · у готельному сектору Банк буде брати участь у задоволенні незадоволеного попиту шляхом продовження підтримки проектів, які запроваджують міжнародні стандарти щодо рівня управління та послуг готелів. Банк надаватиме підтримку проектам якісних готелів в центрах міст, включаючи будівництво готелів середнього рівня в Києві, з метою сприяння розвитку інфраструктури та задоволення зростаючого попиту з боку міжнародних бізнесменів, які приїжджають у відрядження. Банк також визначатиме можливості підтримки готельних мереж в основних обласних містах України. · Банк надаватиме підтримку вибраним проектам приватизації готелів у містах (Одеса, Львів) та на курортах (Крим); · Банк може сприяти створенню кредитних ліній для менших проектів у галузі туризму в рамках зусиль з сприяння розвитку МСП. Ринок логістичної та складської інфраструктури буде залишатись протягом наступних років важливим сегментом. Існує значний потенціал розвитку цього сегменту, тому що більшість існуючої складської інфраструктури не відповідає сучасним вимогам щодо управління логістикою та зберіганням. Очікується, що розвиток українського сектору роздрібної торгівлі сприятиме росту та розвитку попиту на складські приміщення. Банк буде підтримувати вибрані проекти, які сприятимуть створенню кращої офісної інфраструктури та інфраструктури роздрібної торгівлі за наявності підтвердженого попиту. Фактори, що обмежують розвиток адекватних офісних та торгових приміщень, включають нечіткість та непослідовність нормативних документів щодо планування на невизначеність законодавчої бази, недостатню прозорість та нестачу інвестиційного капіталу. Банк розглядатиме можливості щодо підтримки об'єктів нерухомості змішаного використання, включаючи можливі комбінації готельних, торгових, логістичних та житлових складових. 10) Телекомунікації: Цілі переходу до ринкової економіки: · забезпечення ефективної приватизації та лібералізації телекомунікаційної галузі, що потребує створення законодавчої/регуляторної бази у відповідності до міжнародних стандартів, включаючи графік повної лібералізації телекомунікаційної галузі, зміну балансу тарифів та наявності повністю функціонального незалежного регулюючого органу; · залучення приватних інвестицій для модернізації та розширення галузі, зокрема, у галузь фіксованого зв'язку, яка характеризується низьким рівнем проникнення на ринок та низьким рівнем розвитку послуг цифрового зв'язку, включаючи низький рівень доступу до широкосмугового зв'язку та продуктів передачі даних; · лібералізація галузі з метою розвитку конкуренції та підтримка інвестицій в галузі альтернативних телекомунікацій; · підтримка подальшого розвитку українського ринку мобільних комунікацій, включаючи фінансування розвитку стандарту UMTS 3G в рамках вже існуючих та інших операторів мобільного зв'язку; та підтримка розвитку альтернативних технологій Wimax, кабельних мереж, телебачення, та різноманітного і процвітаючого сектору засобів масової інформації. Пріоритети діяльності: · з врахуванням рішень щодо часу, масштабів та механізму приватизації "Укртелекому", Банк може брати участь у процесі приватизації "Укртелекому" шляхом фінансування його придбання та/або придбання частки в акціонерному капіталі; · збільшення обсягів та строків фінансування з метою розвитку мереж, якщо це буде потрібно, а також підтримка конкуренції альтернативних українських та міжнародних операторів на цьому ринку; · на основі досвіду різних країн ЦСЄ та СНД, Банк буде продовжувати вивчати можливості інвестування у компанії, що надають альтернативні послуги (наприклад, Wimax), у телебачення, включаючи ефірне, кабельне та супутникове телебачення, та у інші засоби масової інформації, наприклад, радіо, кіно, видавничу діяльність, розповсюдження засобів масової інформації, зовнішню рекламу, а також розробку програмного забезпечення та компанії, що надають послуги у галузі інформаційних технологій.[33, c.230-270] 3.3 Проекти ЄБРР в Україні у 2010 році Європейський банк реконструкції і розвитку (ЄБРР) є найбільшим фінансовим інвестором в Україні. Банком надається фінансування різних видів, включаючи кредитні лінії для фінансового сектора і малих і середніх підприємств, довгострокове проектне фінансування, інвестування в приватний акціонерний капітал, кредитне фінансування для проектів модернізації та розширення, фінансування імпорту та експорту, синдикування. Основна увага приділяється фінансовим установам, агропромисловому комплексу, нерухомості, проектам виробництва і передачі електроенергії, інфраструктури, включаючи транспорт і комунальні послуги, і металургійному сектору. З початку діяльності банку в Україні, ЄБРР було профінансовано 184 проекти, на загальну суму 7.964.9 млн євро. Динаміка обсягу залучення коштів зображена на рисунку 3.2 Рис.3.2 Динаміка обсягу залучення коштів ЄБРР в економіку України(у млн євро).
Джерело[57] Як видно з рисунка обсяги залучення коштів поступово зростали до 2008 року. В 2009 році цей обсяг зменшився в порівнянні з 2008 роком, проте є вищим ніж у 2007 році. ЄБРР залучає кошти в чотири сектори. Частка залучення по секторах показана на рисунку 3.3. Інфраструктура: муніципальна інфраструктура та транспорт. Фінансовий сектор: банківський сектор, акції, сферу торгового фінансування, не банківські фінансові інституції, мікро та малого бізнесу. Корпоративний сектор: агробізнес, промисловість, туризм, телекомунікації. Енергетика: природні ресурси, енергоресурси.[57] Рис.3.3 Частка залучення коштів по секторах.
Джерело[57] У 2010 році було підписано 6 проектів. Це такі проекти як : Програма підвищення енергоефективності та модернізації ВАТ «Енергомашспецсталь», Українські аграрні ферми, «Миронівський хлібопродукт», Укргідроенерго, Нібулон, Асарта. Розглянемо більш детальніше два з них. Проект: «Нібулон».
Клієнт: ТОВ «Нібулон» є найбільшим українським експортером зернових та однією з найбільших вертикально інтегрованих сільськогосподарських компаній в Україні. Фінансування ЄБРР: Строковий кредит на суму до 50 млн. дол. США Загальна вартість проекту: Приблизно 112,4 млн. дол. США Опис та цілі проекту: ЄБРР розглядає можливість надання кредиту на суму до 50 млн. дол. США провідному українському виробнику сільськогосподарської продукції та зернотрейдеру ТОВ «Нібулон» для фінансування інвестицій у зернову інфраструктуру в Україні. Вплив проекту на перехідні процеси в економіці: Передбачається, що запропонований проект матиме значний демонстраційний ефект та сприятиме подальшому розвитку зернової інфраструктури в Україні, у тому числі відродженню транспортної та зернової інфраструктури на р. Дніпро. Додаткові потужності з перевалки та зберігання зернових забезпечать підвищення якості зерна та обсягів його заготівлі у регіоні. Крім цього, фермери отримають доступ до додаткових високоякісних сховищ. Впливи на навколишнє середовище: Проект віднесений до категорії B відповідно до Екологічної та соціальної політики ЄБРР 2008 р., оскільки очікується, що потенційні впливи будуть локалізовані на об’єкті, і що їх можна буде легко визначити та мінімізувати шляхом реалізації заходів з пом’якшення. Екологічне та соціальне дослідження для цього проекту, що включає у себе екологічний та соціальний аудит та аналіз з метою визначити екологічні та соціальні проблемні питання, пов’язані з існуючими об’єктами та напрямками діяльності, а також проаналізувати екологічні й соціальні позитивні та негативні впливи проекту, було виконано незалежними консультантами. Результати цього дослідження підтвердили, що напрямки діяльності Компанії взагалі відповідають вимогам Українського законодавства та проект, що запропоновано, не буде мати істотного негативного екологічного та соціального впливу. Основні потенційні екологічні наслідки, пов’язані з проектом полягають у виділенні пилу, що може бути мінімізовано шляхом реалізації заходів з пом’якшення. В результаті досліження консультантами був складений План екологічних та соціальних заходів (ПЕСЗ) для пом’якшення існуючих екологічних та соціальних впливів проекту, та таких, що можуть виникнути у майбутньому, а також для покращення існуючих систем екологічного та соціального менеджменту Компанії для забезпечення виконання Вимог ЄС. ПЕСЗ покриває питання систем корпоративного керування і питання, пов’язані з існуючими об’єктами та напрямками діяльності Компанії. Основні положення ПЕСЗ відносяться до контроля та моніторингу виділення пилу, дослідження забруднення грунту та грунтових вод на об’єктах з тривалим терміном промислового використання; та використання та зберігання небезпечних речовин. Компанія запровадить та здійснить моніторингові процедури для визначення відповідності екологічним та соціальним стандартам, а також виконає ПЕСЗ та положення щодо моніторингу підрядчика. ЄБРР буде виконувати моніторинг виконання Компанією ПЕСЗ шляхом річних звітів.[60] Проект: «Програма підвищення енергоефективності та модернізації ВАТ Енергомашспецсталь».
Клієнт: ВАТ «Енергомашспецсталь» є українським виробником з повним циклом виробництва необроблених та механічно оброблених литих та кованих виробів для енергетичного, металургійного та машинобудівного секторів. Компанія розташована у місті Краматорську на сході України. Фінансування ЄБРР: Кредит на суму до 79 млн. дол. США. Загальна вартість проекту: До 273 млн. дол. США Опис та цілі проекту: ЄБРР розглядає можливість надання старшого кредиту на суму до 79 млн. доларів США ВАТ «Енергомашспецсталь» на фінансування масштабної інвестиційної програми підприємства. Фінансування ЄБРР дозволить ВАТ «Енергомашспецсталь» вдосконалити виробничі процеси та підвищити свою конкурентоспроможність на європейському ринку. Вплив проекту на перехідні процеси в економіці: Вплив Проекту на перехідні процеси в економіці забезпечать наступні компоненти: Демонстраційні ефекти нових процесів та продукції: Інвестиційна програма значно підвищить ефективність та конкурентоспроможність Компанії завдяки комплексній модернізації всіх основних виробничих потужностей та процесів. Це створить нові орієнтири та матиме сильний демонстраційний ефект в секторах енергомісткого виробництва в Україні. Посилення конкуренції у секторі реалізації Проекту: Проект має прямий вплив на підвищення конкурентоспроможності ВАТ «ЕМСС» та допоможе компанії зміцнити її позиції на місцевому та зовнішніх ринках. Підвищення ефективності та диверсифікація продукції створять конкурентний тиск на інші компанії в цьому секторі в Україні та сусідніх країнах. Покращення корпоративного управління: Участь Банку у фінансуванні ВАТ «ЕМСС» зміцнить корпоративне управління Компанії завдяки реалізації Плану заходів у сфері корпоративного управління. Демонстраційні ефекти нових інструментів фінансування діяльності: Передбачається, що Проект забезпечить значне зменшення викидів парникових газів. Категорія проекту та обґрунтування: Проекту була присвоєна категорія B (2008), що вимагає проведення Передпроектного екологічного та соціального дослідження (ПЕСД), яке складається з екологічного аналізу запропонованої інвестиційної програми та екологічного аудиту існуючих виробничих потужностей. Впливи на навколишнє середовище: ПЕСД було проведене незалежним консультантом, представники Відділу екології та сталого розвитку здійснили візити на місце реалізації проекту. ПЕСД підтвердило, що Компанія має ефективну систему екологічного та соціального менеджменту та спроможне повністю виконати Вимоги до показників діяльності (ВПД) Екологічної та соціальної політики Банку. Поточна та запланована діяльність та об’єкти ВАТ «ЕМСС» в цілому відповідають вимогам національного законодавства, а запланована інвестиційна програма розроблена таким чином, щоб відповідати як національним, так і європейським стандартам охорони навколишнього середовища. Компанія має системи екологічного менеджменту, охорони праці та техніки безпеки, але вони потребують подальшого вдосконалення та сертифікації відповідно до міжнародних стандартів, зокрема ISO 14001 та OHSAS 18001. Нові інвестиції, передусім заходи з підвищення енергоефективності та заміна старих електродугових печей (ЕДП) новою сучасною ЕДП принесуть значні екологічні вигоди завдяки зменшенню викидів та споживання енергії. Нова ЕДП буде обладнана системою для зменшення викидів пилу у відповідності до вимог Найкращих існуючих методів (BAT) ЄС. Компанія також встановить обладнання для безперервного моніторингу викидів. Що стосується соціальних аспектів, Компанія має ефективну систему управління людськими ресурсами та вирішує соціальні і трудові питання згідно з національними вимогами та корпоративними стандартами, що відповідають Вимогам до показників діяльності Екологічної та соціальної політики Банку. Аналіз цієї сфери триває у рамках ПЕСД. В рамках ПЕСД розробляється План екологічних та соціальних заходів (ПЕСЗ), що має бути узгоджений перед кінцевим розглядом проекту керівництвом Банку. Цей план передбачатиме, серед іншого, подальше вдосконалення існуючих систем управління, передусім розробку та запровадження систем управління, що відповідатимуть вимогам ISO 14001 та OHSAS 18001. ПЕСЗ також включатиме у себе певні стандартні вимоги до нових інвестицій відповідно до керівництва про найкращі методи Європейського бюро з комплексного попередження та контролю забруднень, передусім стосовно заходів енергоефективності та зменшення викидів від нової ЕДП. План залучення зацікавлених сторін (ПЗЗС) розробляється Компанією відповідно до Вимоги до показників діяльності №10 та буде погоджений з Компанією попередньо до розгляду радою директорів. В рамках реалізації ПЗЗС Компанія опублікує на власному сайті Звіт Нетехнічної Інформації (ЗНІ), в якому коротко буде викладений сам проект, його екологічні й соціальні аспекти та шляхи зменшення будь-якого впливу, пов’язаного з виконанням цього проекту. Банк буде стежити за ходом проекту та візьме на себе відповідальність протягом року з моменту запуску ЕДП провести аудит. Це РП буде оновлене після завершення ПЕСД та повного погодження ПЕСЗ. Вимоги до реалізації: Компанія буде виконувати ПЕСЗ (що буде погоджений з Компанією) та вдосконалювати системи екологічного менеджменту, охорони праці та техніки безпеки. Компанія розробить та буде виконувати План залучення зацікавлених сторін; Компанія подаватиме Банку щорічний Екологічний та соціальний звіт, що має включати у себе інформацію про хід виконання ПЕСЗ, а також повідомлення про всі істотні надзвичайні випадки або аварії. Компанія сприятиме проведенню періодичних моніторингових візитів працівників або призначених представників Банку, коли це буде необхідно. Технічне співробітництво: Замовлений енергетичний аудит відповідно до Програми енергетичних аудитів ЄБРР. Мета цього енергетичного аудиту – допомогти Компанії у визначенні та аналізі можливостей для реалізації проектів, спрямованих на підвищення енергозбереження. Незалежний механізм звернень (НМЗ): ЄБРР створив НМЗ для того, щоб місцеві групи, які можуть зазнавати прямого та негативного впливу внаслідок реалізації проектів Банку, могли подавати скарги до Банку прямо, а не через відділи банківських операцій.[60] Висновки до розділу 3 Проведений в розділі 3 аналіз механізму співпраці України з ЄБРР дозволяє зробити наступні висновки: - Співпраця України з ЄБРР характеризується широким діапазоном галузей та напрямків діяльності, а й позитивною динамікою щодо кількості проектів та обсягів фінансування. - ЄБРР кредитує в Україні: банківську діяльність, малі та середні підприємства, інвестиційні фонди, галузь видобутку природних ресурсів, промисловість, нерухомість, туризм, електроенергетика, підвищення енергоефективності, транспорт. - У приватному секторі ЄБРР намагатиметься далі збільшувати частку акціонерного капіталу у своєму портфелі та продовжувати розширення можливостей синдикованого кредитування в термінах обсягів та строків кредитування, та шляхом представлення українських позичальників більшій кількості учасників ринку синдикованого кредитування. - ЄБРР є найбільшим інвестором в Україні. Загальна кількість проектів профінансована ЄБРР становить 184 проекти, на загальну суму 7.964.9 млн євро. - З 2000 року спостерігається позитивна динаміка в залученні коштів. Найбільше коштів ЄБРР залучає в корпоративний сектор, 40% від загальної кількості. - Етап співпраці з ЄБРР 2010 року характеризується позитивною динамікою. З початку 2010 року було підписано 6 проектів. СПИСОК ВИКОРИСТАНИХ ДЖЕРЕЛ 1. Білорус О.Г., Лук’яненко Д.Г., Поручник А.М. Методологічні проблеми дослідження інтернаціоналізації та глобалізації // Стратегії економічного розвитку в умовах глобалізації: Монографія / За ред. д.е.н., проф. Лук’яненка Д.Г. – К.: КНЕУ, 2001.- с. 6-18. 2. Богомолов О.Т. Економічна глобалізація – характерна риса ХХІ століття // Економіка і прогнозування.- 2001.- №4.- с. 24-36. 3. Бондарук Т.Г. Зовнішній державний борг та механізм його обслуговування // - 2004.- №5.- с. 94-102. 4. Гальчинський А.С. Україна на перехресті геоекономічних інтересів. – К.: Знання України, 2002. 5. Гроші та кредит: Підручник / М.І. Савлук, А.М. Мороз, М.Ф. Пуховкіна та ін.; М.І. Савлук (ред.); Київський національний економічний ун-т. Українська фінансово-банківська школа.- К.: КНЕУ, 2001.- 602 С. 6. Губский Б. Проблеми міжнародного інвестування в Україні. / Економіка України. - 2003. -№1.- с. 51-57. 7. Кістерський Л., Скребцов І., Липова Т. Ефективність міжнародної технічної допомоги Україні // Економіка України .- 2003.- №5.- с. 74-78. 8. Климко Г.Н. Альтернативні можливості залучення іноземних кредитів в Україну // Фінанси України, 2004. -№10.- с. 11-22. 9. Климко Г.Н. Концепція відносин України з міжнародними фінансовими організаціями // Економіка і управління. - 2000.- №1.-с. 8-23. 10. Лазебник Л.Л. Інвестиційний клімат та економічна мотивація іноземного інвестування в Україні. // Фінанси України, 2003. - №4. - с. 82-89. 11. Лютий І.0. Валютна політика та перспективи входження України в міжнародне економічне співтовариство. –К.: Курс, 2005.-58 с. 12. Мальський М., Мацях М. Теорія міжнародних відносин.- Львів: Львівський національний університет імені Івана Франка, 2002. –392 С. 13. Международные валютно-кредитные и финансовые отношения; учебник для студентов ВУЗ специальности «Финансы и кредит». М.: Финансы и статистика, 2006. 14. Мировая экономика и внешнеэкономическая деятельность; учеб. пособие. – Минск: Современная школа, 2006. 15. Основи економічної теорії: політекономічний аспект. Підручник для студ. екон. спец. вищ. закладів освіти / Г.Н. Климко (ред.) - 4-те видання, перероб і доп. – К.: Знання - Прес, 2002. – 615 С. 16. Оцінки МВФ–дороговказ для інвесторів // Голос України.-2003.-24 квітня. 17. Пахомов Ю.М., Лук'яненко Д.Г., Губський Б.И. Національні економіки в глобальному конкурентному середовищі / Відповід. ред Савчук В.С. – К.: Україна, 2002. – 237 С. 18. Плотніков О.В. Ultima ratio економічних реформ. – К.: Кондор, 2003. – 240 С. 19. Плотніков О.В. Концептуальні засади стратегії взаємовідносин України з міжнародними фінансовими організаціями в 2000–2005 роках. – К.: НДФІ при Міністерстві фінансів України, 2001.– 37 с. 20. Поважна Н.Я. Інвестиційна стратегія Європейського банку в боротьбі з глобальною проблемою бідності. – Формування ринкових відносин в Україні. – НДЕІ. Зб. Наук. праць, вип. 13. – К., 2001.– с. 251–254. 21. Послання Президента України до Верховної Ради України. “Європейський вибір” – Концептуальні засади стратегії економічного і соціального розвитку України на 2002–2011 роки – К., 2002. 22. Прадун В.П., Журба І.С. Кредитні лінії міжнародних фінансових організацій // Фінанси України, 2004.–№3. – с. 133–138. 23. Рокоча В.В. Глобалізаційна тенденція у світовому господарстві: формування глобальної економічної системи // Вчені записки Інституту економіки та права «КРОК».– 2003.– Вип. 7.– с. 222–229. 24. Рокоча В.В. Міжнародна економіка: Навч. Посібник.: У 2 кн.– К.: Таксон, 2000. Кн.1.: Міжнародна торгівля: теорія та політика. –320 С. 25. Саввина О.В. Международные финансовые организации; учебное пособие. – М.: Российская академия предпринимательства, 2006 26. Свердан М.М., Саїнчук Н.В. Проблеми залучення іноземних інвестицій в економіку України // Фінанси України. – №1, 2005. – с. 10–15. 27. ЄБРР та Україна. Підготовлено департаментом зовнішніх зв’язків представництва ЄБРР в Україні. – К. – 2007. 28. ЄБРР. Економічне зростання на засадах справедливості: вибір стратегії для України. – , 2006. 29. Симония Н. Глобализация и неравномерность мирового развития // Мировая экономика и международные отношения. – 2001.–№3.–с. 35–45. 30. Скаленко О. К. Глобальні резерви поступу (Інформація + інтелект + інновації) / НАН України; Інститут світової економіки і міжнародних відносин.– К.: Основи, 2000. – 394 С. 31. Соколенко С.І. Глобалізація і економіка України. – К.: Логос. – 2004.– 566 С. 32. Україна в Європейському банку реконcтрукції та розвитку. Вступ України до ЄБРР. Статті угоди ЄБРР / За заг. Ред. Стельмаха В.С. / Упорядники Шаповалов А.В., Єременко О.К. – К., 2006.– 144 С. 33. Україна. Відновлення зростання на засадах справедливості: Меморандум про економічний розвиток України. – Європейський банк, 2008.– 230 с. 34. Україна: поступ у ХХІ століття. Стратегія економічної та соціальної політики на 2000–2004 рр. Послання Президента України до Верховної Ради України 2000 рік // Урядовий кур’єр. - 2000.– 28 січня. 35. Україна: Фінансовий сектор та економіка. Нові стратегічні завдання. – Європейський банк, 2001.– 120 с. 36. Хорошковський В.І. Європейський банк: кредитні ресурси Європейського банку реконструкції та розвитку. – К.: Інтелект, 2008. – 193 С. 37. Хорошковський В.І. Співробітництво України з міжнародними фінансовими організаціями: еволюція, теорія, практика. – К.: Інтелект, 2007.– 424с. 38. Циганкова Т.М., Гордєєва Т.Ф. Міжнародні організації: Навч. посібник.– Вид. 2–ге, перероб. і доп. – К.: КНЕУ, 2001.– 340с. 39. Гаврилишин О. Экономический кризис в Украине и финансовая помощь Запада / Мировая экономика и международные отношения, - 2008.-№3. 40. Герчикова И.Н. Международные экономические организации: регулирование мирохозяйственных связей и предпринимательской деятельности: Учеб. Пособие.-М.:АО “Консалтбанкир”, 2005.- 622 С. 41. Глобальные трансформации и стратегии развития / Белорус О.Г., Лукяненко Д.Г. и др. – К.: Орияне, 2006.- 424 С. 42. Дергачев В.А. Геоэкономика Украины: (теоретические и прикладные основы) / НАН Украины. Институт проблем рынка и экономико-экологических исследований.- О.: ИПРЭЭИ НАНУ, 2002.–244 С. 43. Киреев А.П. Международная экономика: Учебное пособие в 2 ч..- М.: Международные отношения, 2000.Т.1: Международная микроэкономика: движение товаров и факторов производства.- 415с. Т.2: Международная макроэкономика: открытая экономика и макроэкономичексое программирование.- 485 С. 44. Клочко В. Глобализация и ее влияние на страны с переходной экономикой // Экономика Украины .- 2001.- №10.- с. 51-58. 45. Коллонтай В. О неолиберальной модели глобализации // Мировая экономика и международные отношения, 2007.-№10. – с. 3-14. 46. Колье Пол. Новые отношения между донорами и странами – реципиентами: отказ от принципа обусловленности? // Трансформация.- 2006. - №2. - с. 6 - 8. 47. Международные валютно-кредитные и финансовые отношения: Учебник / Под ред. Л.Н. Красавиной. – М.: Финансы и статистика, 2002.- 606 С. 48. Шишков Ю. Мировая финансовая система: необходимость реформ. // Мировая экономика и международные отношения.– 1999. –№11.– с. 3–9. 49. Шреплер Х.А. Международные экономические организации. Справочник / С.А. Тюпаев (пер.), И.Н. Фомичев (пер.).– М.: Междунар. Отношения, 2000.– 455 С. 50. Херріс ДМ. Міжнародні фінанси: Пер. з англ. — М., 2007. 51. Building Institutions for Markets. World Development Report 2005 / The EBRD, D.C. – 249 p. 52. Global Development Finance. Building Coalitions for Effective Development Finance. Analysis and Summary Tables. 2001.- The EBRD.- pp. 570-582. 53. EBRD. Annual Evaluation Overview Report for 2007. 54. EBRD. Annual Evaluation Overview Report for 2008. 55. EDRD. Business Advisory Regional Program for 2007. 56. EBRD. Financial Statements 2008. 57. EBRD. Cooperation report: Ukraine 2009. 58. Roy С. Smith, Ingo Walter. Global banking. — New York, Oxford: Oxford University Press, 2006 59. Sercu R. Uppal. International financial markets and the firm. — London: Chapman & Hall, 2004. 60. Сайт ЄБРР, www.ebrd.com 61. www.bank.gov.ua 62. www.fuib.com 63. www.worldbank.org.ua 64. www.banksinfo.kiev.ua 65. www.bankir.ru 66. www.finance.com.ua 67. www.uniastrum.ru/banks.htm |
||||||||||||||||||||||||||||||||||||||||||||||||||||||||||||||||||||||||||||||||||||||||||||||||||||||||||||||||||||||||||||||||||||||||||||||||||||||||||||||||||||||||||||||||||||||||||||||||||||||||||||||||||||||||||||||||||||||||||||||||||||||||||||||||||||||











