Курсовая работа: Динамический синтез и анализ рычажного механизма
|
Название: Динамический синтез и анализ рычажного механизма Раздел: Промышленность, производство Тип: курсовая работа | |||||||||||||||||||||||||||||||||||||||||||||||||||||||||||||||||||||||||||||||||||||||||||||||||||||||||||||||||||||||||||||||||||||||||||||||||||||||||||||||||||||||||||||||||||||||||||||||||||||||||||||||||||||||||||||||||||||||||||||||||||||||||||||||||||||||||||||||||||||||||||||||||||||||||||||||||||||||||||||||||||||||||||||||||||||||||||||||||||||||||||||||||||||||||||||||||||||||||||||||||||||||||||||||||||||||||||||||||||||||||||||||||||||||||||||||||||||||||||||||||||||||||||||||||||||||||||||||||||||||||||||||||||||||||||||||||||||||||||||||||||||||||||||||||||||||||||||||||||||||||||||||||||||||||||||||||||||||||||||||||||||||||||||||||||||||||||||||||||||||||||||||||||||||||||||||||||||||||||||||||||||||||||||||||||||||||||||||||||||||||||||||||||||||||||||||||||||||||
| Министерство образования и науки Российской Федерации Федеральное агентство по образованию Государственное образовательное учреждение высшего профессионального образования "Московский Государственный открытый университет" «КУРСОВОЙ ПРОЕКТ» по предмету: "Теория механизмов и машин" Динамический синтез и анализ рычажного механизма Выполнил: Ленда А.А. Проверил: преподаватель Гуревич Юрий Яковлевич г. Ноябрьск2008 год Содержание 1. Синтез системы управления механизмами машины - автомата по заданной тактограмме 1.1 Построение тактограммы 1.2 Проверка реализуемости тактограммы 1.3 Таблицу включений 1.4 Формулы включений 1.5 Схема управления на пневматических элементах 2. Динамический синтез рычажного механизма по коэффициенту неравномерности движения 2.1 Определение цикла работы механизма 2.2 Построение положений звеньев механизма для 12 положений кривошипа 2.3 Построение индикаторной диаграммы 2.4 Определение сил давления газа для 12 положений каждого из поршней 2.5 Построение планов скоростей для каждого из 12 положений механизма 2.6 Вычисление приведённого момента инерции механизма 2.7 Вычисление приведённого момента движущих сил 2.8 Построение диаграммы работ движущих сил 2.9 Построение диаграммы работ сил сопротивления 2.10 Построение диаграммы приведённого момента сил сопротивления 2.11 Построение диаграммы кинетической энергии 2.12 Построение диаграммы “энергия – масса» 2.13 Определение момента инерции маховика 3. Динамический анализ рычажного механизма 3.1 Построение планов скоростей и ускорений в заданном положении 3.2 Определение реакций в кинематических парах 3.3 Определение силового момента приложенного к начальному звену при силовом расчёте 3.4 Определение уравновешивающего момента с помощью рычага Жуковского 3.5 Сравним полученные величины уравновешивающего момента, полученные разными способами 1. Синтез системы управления механизмами машины - автомата по заданной тактограмме 1.1 Построение тактограммы Цикл работы содержит шесть тактов, в каждом совершается одностороннее движение одного механизма. Первое указание номера механизма в тактограмме означает, что в соответствующем такте происходит прямой ход механизма; вторичное указание номера - обратный ход. Наклонные линии на тактограмме отвечают тактам движения, а горизонтальные - тактам выстоя. В первом такте имеет место прямой ход поршня М1, во втором-прямой ход поршня М3, в третьем – прямой ход поршня М2. В четвёртом, пятом и шестом тактах совершается обратный ход поршней М2, М1 и М3 соответственно. Каждый механизм имеет два конечных выключателя, на которые нажимает шток поршня в крайних положениях. В нажатом положении сигнал от конечного выключателя равен 1, в ненажатом – 0. На тактограмме показываются значения сигнала в начале каждого такта. Сигналы конечных выключателей управляемого механизма не входят в число управляющих и на тактограмме обведены рамками. Тактограмма 132213
1.2 Проверим реализуемость тактограммы Тактограмма считается реализуемой, если все комбинации управляющих входных сигналов в начале каждого такта будут различными. В данной тактограмме совпадают наборы управляющих сигналов в начале третьего и четвёртого тактов: Для того чтобы наборы управляющих сигналов не совпадали, вводится дополнительный управляющий сигнал от устройства называемого памятью. При составлении программы переключения памяти следует исходить из того, что внутри цикла память нельзя два раза включать и два раза выключать. Включаем память в начале первого такта и выключаем в начале четвёртого. Совпадающих наборов управляющих сигналов нет, т. е. такты включения и выключения памяти выбраны правильно. 1.3 Составляем таблицу включений Верхняя часть таблицы включений содержит значения сигналов от конечных выключателей и от памяти. При переходе от одного логического такта к другому меняется значение только одного сигнала. Этот сигнал называется тактирующим. В соответствии с правилами составления таблицы включений такты 1 и 4, в которых включается и выключается память, разбиваем на два логических такта: 1а, 1б и 4а, 4б. В такте 1а по сравнению с шестым новым сигналом является сигнал В нижней части таблицы включений отмечены такты, в которых должны подаваться сигналы на включение и выключение памяти ( После простановки единиц в рабочих состояниях делаем прочерки в безразличных состояниях, следующих за рабочим, при которых может повторяться (или не повторяться) сигнал на выполнение действия, соответствующего данной функции. Все остальные состояния являются запрещёнными и для них выходные функции должны быть равны нулю. Для функции Таблица включений
1.4 Составляем формулы включений и произведём их упрощение Для составления формул включения заполняется таблица, в которой указываются значения управляющих сигналов: в одном столбце – для рабочего состояния данной функции, в другом – для запрещённых. Для машины-автомата данного типа к управляющим сигналам не относятся входные сигналы от того исполнительного органа или элемента памяти, для которого составляется формула включения. Значения сигналов выписываются из таблицы включений. Для рабочего хода – из тех тактов, в которых соответствующая функция равна единице, а для запрещённых – нулю. В рабочем наборе управляющих сигналов звёздочкой отмечается тактирующий сигнал, в запрещённых состояниях тактирующий сигнал не выделяется. Так для функции
Упрощение исходной формулы состоит в том, что из исходной формулы исключаются части сигналов, её образующих, кроме тактирующего. В упрощённый вариант формулы включения обязательно должен входить тактирующий сигнал. Для функции В формуле для функции Формулы включений
1.5 Построим схему управления на пневматических элементах Построение схемы путевого управления на пневматических элементах начинаем со схематического изображения пневмоцилиндров, причем поршни всех трёх механизмов показываем в крайних левых положениях, которые соответствуют исходным (нижним) положениям на тактограмме. При этом штоки поршней нажимают на конечные выключатели В тех же условных обозначениях вычерчиваем изображения двухпозиционных четырёхлинейных распределителей для каждого из пневмоцилиндров. Первая линия соединена с левым рабочим объемом цилиндра, вторая - с правым рабочим объемом цилиндра, третья - с атмосферой и четвертая - с источником сжатого воздуха, Так как все поршни занимают крайние левые положения, то каждый распределитель показываем в такой позиции, при которой сжатый воздух поступает в правый рабочий объем цилиндра. В другой позиции сжатый воздух поступает в левый рабочий объем цилиндра, т. е. перемещение подвижных частей распределителя справа налево вызывает прямой ход поршня. Это перемещение происходит под действием сжатого воздуха при поступлении сигнала Обратное перемещение происходит при поступлении сигнала После вычерчивания распределителей пунктиром намечаем прямоугольник, в котором располагаем блок управления. К верхней стороне прямоугольника подводим линии от конечных выключателей в следующем порядке: Сигналы Соединяем входы и выходы блока управления так, чтобы их соединения соответствовали формулам включения. Выходы В качестве операторов умножения используем реле УСЭППА (универсальная система элементов промышленной пневмоавтоматики). 2. Динамический синтез рычажного механизма по коэффициенту неравномерности движения Параметры механизма Размеры звеньев рычажного механизма
Частота вращения коленчатого вала и кулачка Массы звеньев
Моменты инерции звеньев
Максимальное давление в цилиндре Диаметр цилиндра Коэффициент неравномерности вращения коленчатого вала Положение кривошипа при силовом расчёте Таблица 2.1. Циклограмма двигателя.
Таблица 2.2. Зависимость давления газа в цилиндре двигателя от перемещения поршня (индикаторная диаграмма).
2.1 Определение цикла работы механизма Так как в предложенном механизме значение сил и скоростей повторяются через один оборот то, следовательно, цикл работы соответствует 1 обороту. 2.2 Построение положений звеньев механизма для 12 положений кривошипа Выбираем чертёжную длину кривошипа OA=OC=30 мм Определяем масштабный коэффициент длин по формуле
Определяем чертёжную длину шатунов
AB=CD=0,16/0,0013=120 мм
Строим 12 положений механизма. В первом положении Измеряем на чертеже величину хода поршня Н= 2.3 Построение индикаторной диаграммы Определяем масштабный коэффициент давлений на индикаторной диаграмме. Принимаем на диаграмме
Строим индикаторную диаграмму для каждого поршня в соответствии с циклограммой двигателя и, учитывая, что цикл соответствует 1 обороту кривошипа. Следовательно для поршня В соответствуют такты “всасывание” и “сжатие”, для поршня в –“расширение” и ”выпуск”. По оси абсцисс откладываем значения
По оси ординат откладываем
Составим таблицу для поршня В Таблица 2.3.
Составим таблицу для поршня D Таблица 2.4.
Используя данные таблиц, построим 2 индикаторные диаграммы. На оси абсцисс откладываем величину S (перемещение поршня), по оси ординат величину Y (давление газа). 2.4 Определение сил давления газа для 12 положений каждого из поршней На построенные диаграммы переносим точки, соответствующие 12 положениям кривошипа. При этом положение точки должно быть согласовано с тактом работы двигателя. Вычисляем значения давлений для 12 положений каждого из поршней. Для этого, отрезок между осью абсцисс и соответствующей точкой на индикаторной кривой умножаем на масштабный коэффициент давлений
Силы давления газа для 12 положений на каждый поршень определяем по формуле:
Результаты вычислений заносим в таблицы. Таблица 2.5. Цилиндр В.
Таблица 2.6. Цилиндр D.
2.5 Построение планов скоростей для каждого из 12 положений механизма Для построения плана скоростей используем векторные равенства и свойства планов.
Определяем угловую скорость кривошипа:
Определяем скорости точек А и С:
Для построения плана скоростей произвольно выбираем полюс р и выбираем длину вектора ра, соответствующую скорости точки А. Допустим ра =40 мм. Тогда масштабный коэффициент планов скоростей равен:
а)Проводим линию ра (из полюса р) по направлению скорости точки А (перпендикулярно ОА). Отмечаем точку а и изображаем вектор ра (от полюса р к точке а). б)Из точки р проводим линию параллельную ОВ, т.е. линию параллельную движению поршня. в) Через точку а проводим линию, перпендикулярную линии АВ до пересечения с линией проведённой в пункте б. Точку пересечения обозначаем буквой b. Тогда вектор ab соответствует скорости звена АВ (шатуна), а вектор рb - скорости точки В (поршня). Если на отрезке аb изобразить точку S2, причём, aS2=1/3ab тогда вектор pS2 соответствует скорости движения центра масс звена АВ в точке S2. Так же строится план скоростей для движения звена СD и точки D. После построения 12 планов скоростей для каждого из 12 положений механизма можно определить скорости точек В и D. Для этого, величину отрезков рb и рd следует умножить на масштабный коэффициент. 2.6 Вычисление приведённого момента инерции механизма За звено приведения принимаем входное звено (кривошип АВ). Для каждого положения механизма приведённый момент инерции звеньев находится по формуле
где
Учитывая, что
получаем:
Рассмотрим формулу по частям:
Так как в квадратных скобках величины постоянные не зависимые от положения механизма их можно сразу высчитать.
Конечная формула для вычисления приведённого момента инерции будет иметь вид:
Вычислим приведённые моменты инерции для 12 положений механизма и результаты занесем в таблицу. Таблица 2.7. Приведённые моменты инерции 12 положений механизма.
По полученным 12 значениям строим диаграмму приведённого момента инерции, при этом ось абсцисс расположим вертикально. Выбираем масштабный коэффициент
2.7 Вычисление приведённого момента движущих сил Из уравнения мощности:
Рассмотрим поршень В. При всасывании и сжатии вектор скорости поршня В направлен в противоположную сторону вектору силы давления газов, из этого следует что Рассмотрим поршень D. При расширении При выпуске Тогда получаем:
Результаты расчётов занесём в таблицу, по которой в масштабе построим диаграмму приведённого момента движущих сил. Выбираем масштабный коэффициент
Таблица 2.8
2.8 Построение диаграммы работ движущих сил Построение диаграммы работ движущих сил осуществляем путём графического интегрирования диаграммы приведённых моментов. Для этого на диаграмме Мп на расстоянии h, слева от оси ординат ставим точку О, которую последовательно соединяем с ординатами "средних значений" Мп. По этим линиям строим диаграмму Ад. Принимаем h =60 мм Тогда масштабный коэффициент для диаграммы работ равен
2.9 Построение диаграммы работ сил сопротивления Диаграмма работ сил сопротивления Ас представляет собой наклонную прямую, идущую от начала координат в конечную точку диаграммы работ движущих сил. 2.10 Построение диаграммы приведённого момента сил сопротивления Диаграмму приведённого момента сил сопротивления строим путём графического дифференцирования диаграммы работ сил сопротивления. Для этого из точки О на диаграмме Мп проводим линию, параллельную линии Ас до пересечения с осью ординат. Из полученной точки проводим линию, параллельную оси абсцисс, получаем диаграмму Мс. 2.11 Построение диаграммы кинетической энергии
Откладываем на диаграмме отрезки равные разности ординат Aд и Ac. 2.12 Построение диаграммы “энергия – масса» (диаграмма Виттен-бауэра) Строим диаграмму путём графического исключения аргумента из диаграмм Для этого ординаты обоих графиков переносим на один и получаем необходимую диаграмму. 2.13 Определение момента инерции маховика К построенной диаграмме Виттен-бауэра проводим касательные под углом Углы вычисляем по формулам:
Проводим вычисления и находим:
Проводим касательные и измеряем длину отрезка KL.
3. Динамический анализ рычажного механизма 3.1 Построение планов скоростей и ускорений в заданном положении Вычертим кинематическую схему механизма в заданном положении При построении планов скоростей и ускорений условно принимаем
Скорости точек А и С кривошипа равны
Выбираем чертежную длину вектора скорости точек А и С: принимаем pa=pc=50 мм, тогда масштабный коэффициент равен:
Вычерчиваем план скоростей в одном заданном положении механизма (построения ведутся так же как в пункте 2.5.). Определяем ускорение точки В
Ускорение точки А
Принимаем чертёжную длину вектора Масштабный коэффициент равен:
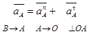
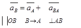
Для построения плана ускорений произвольно выбираем полюс а) Проводим линию Отмечаем точку а и изображаем вектор б) Из точки а проводим линию параллельную АВ, т.е. линию нормального ускорения звена 2. Отмечаем точку в) Из точки г) Через точку Если на отрезке аb изобразить точку S2, причём, aS2=1/3ab тогда вектор Так же строится план ускорений для движения звена СD и точки D. Определим угловое ускорение звена АВ
3.2 Определение реакций в кинематических парах Вычертим структурную группу 2-3 и нанесем все действующие на пару силы 1. Сила тяжести поршня, направленная из точки В вниз перпендикулярно ОВ
2. Сила тяжести шатуна, направленная из точки S2 вниз перпендикулярно ОВ
3. Сила реакции опоры, направленная противоположно силе тяжести 4. Сила давления газа па поршень, направленная против движения поршня параллельно ОВ. 5. Сила инерции поршня, направленная в противоположную сторону ускорения точки В.
6. Сила инерции шатуна, направленная из точки S2 (центр масс шатуна) в противоположную сторону ускорения точки S2.
7. Момент инерции шатуна, направленный в противоположную сторону углового ускорения.
Удобно силу инерции и момент инерции приложенные к звену 2, заменить 1 силой смещённой относительно центра масс на расстояние
Отложим от точки S2 отрезок равный 8. Сила реакции 2 звена от 1 звена. Так как направление и величину мы не знаем разложим силу на две составляющие Силовой расчёт структурной группы 2-3. Из условия равновесия: Сумма моментов относительно точки В:
Из условия равновесия:
Графическое решение данного уравнения, выполненное в масштабе и представляющее собой замкнутый многоугольник, называется планом сил. Неизвестные силы найдем с помощью построения плана сил. Примем масштабный коэффициент плана сил, равный:
Теперь в масштабе переносим известные силы со структурной группы 2-3 на план сил в указанном порядке
Аналогично структурной группе 2-3 вычерчиваем структурную группу 4-5 и определяем силы
3.3 Определение силового момента приложенного к начальному звену при силовом расчёте Вычертим начальное звено 1 с масштабным коэффициентом В точке А приложить силу В точке О обозначим силу
Масштабный коэффициент принимаем:
Сила
Также обозначим уравновешивающий момент, направленный в противоположную сторону действия сил Из условия равновесия
3.4 Определение уравновешивающего момента с помощью рычага Жуковского Рычаг Жуковского представляет собой повёрнутый против часовой стрелки на 90 градусов план скоростей, в соответствующие точки которого перенесены внешние силы. А в точке а приложена уравновешивающая сила Поворачиваем план скоростей на 90 градусов. В точках b и в обозначим силы Из условия равновесия относительно полюса плана скоростей найдём силу
3.5 Сравним полученные величины уравновешивающего момента, полученные разными способами
|
|||||||||||||||||||||||||||||||||||||||||||||||||||||||||||||||||||||||||||||||||||||||||||||||||||||||||||||||||||||||||||||||||||||||||||||||||||||||||||||||||||||||||||||||||||||||||||||||||||||||||||||||||||||||||||||||||||||||||||||||||||||||||||||||||||||||||||||||||||||||||||||||||||||||||||||||||||||||||||||||||||||||||||||||||||||||||||||||||||||||||||||||||||||||||||||||||||||||||||||||||||||||||||||||||||||||||||||||||||||||||||||||||||||||||||||||||||||||||||||||||||||||||||||||||||||||||||||||||||||||||||||||||||||||||||||||||||||||||||||||||||||||||||||||||||||||||||||||||||||||||||||||||||||||||||||||||||||||||||||||||||||||||||||||||||||||||||||||||||||||||||||||||||||||||||||||||||||||||||||||||||||||||||||||||||||||||||||||||||||||||||||||||||||||||||||||||||||||||






























