Курсовая работа: Анализ работоспособности рельсовой цепи при пониженном сопротивлении изоляции
|
Название: Анализ работоспособности рельсовой цепи при пониженном сопротивлении изоляции Раздел: Рефераты по транспорту Тип: курсовая работа |
| Федеральное агентство железнодорожного транспорта Иркутский Государственный Университет Путей Сообщения Кафедра «АТ»Дисциплина : АТ на перегонах Курсовая работа Анализ работоспособности рельсовой цепи при пониженном сопротивлении изоляции Выполнил: студент гр.АТСПроверил: Иркутск 2009 СодержаниеЛист ЗаданиеИсходные данные Введение 1. Расчет коэффициентов четырёхполюсников 2. Расчет нормального режима 3. Коэффициенты перегрузки реле 4. Расчет шунтового режима 5. Расчет контрольного режима 6. Расчет режима АЛС 7. Расчет режима короткого замыкания Заключение Список используемой литературы Задание: проанализировать работоспособность неразветвленной рельсовой цепи заданной длины и типа на участке железной дороги с электротягой при пониженном сопротивлении изоляции. Анализ произвести на основе расчета нормального, шунтового и контрольного режимов, а также режимов АЛСН и короткого замыкания. Исходные данные : Тип анализируемой РЦ – перегонная кодовая РЦ частотой 25 Гц с двумя дроссель-трансформаторами ДТ 1-150. Электротяга переменного тока. Параметры рельсовой линии и оборудования : 1. длина РЦ: ℓ=1,9 км; 2. минимальное удельное сопротивление изоляции РЛ: rи =0,75 Ом*км; 3. коэффициент поверхностной утечки: m=0; 4. удельное сопротивление заземления опоры контактной сети: rо =5 Ом*км; 5. сопротивление между релейным дроссель-трансформатором (ДТ) и изолирующим трансформатором (ИТ): rср =0,3 Ом; 6. сопротивление соединительных проводов между ИТ и ДТ питающего конца: rсп =0,2 Ом. Нормативные параметры рельсовой линии: 1. удельное сопротивление рельсов: Z=0,5еj 52є Ом/км; 2. удельная взаимная индуктивность в рельсах: М=0,00135е- j 6,7є ; 3. критическая постоянная распространения волны в рельсовой линии: гℓкр =1,13еj 26є ; 4. коэффициенты схемы РЦ при наличии ДТ: S1 =S2 =1. Электрические параметры оборудования РЦ: 1. сопротивление путевого реле: Zр =165еj 0є Ом; 2. рабочее напряжение путевого реле: Uр =3,84 В; 3. рабочий ток путевого реле: Iр =0,023 А; 4. коэффициент запаса по срабатыванию путевого реле: Kз ср =1,2; 5. коэффициент надежности возврата путевого реле: Kвн =0,75; 6. допустимый коэффициент перегрузки: Kпер =3,5; 7. входное сопротивление для фильтра ФП-25: R=200 Ом; 8. коэффициенты четырехполюсника для ФП-25: Афп =1,22, Вфп =85 Ом, Сфп =0,0026 См, Dфп =1; 9. сопротивление ограничителя: Rо =200 Ом; 10. коэффициенты четырехполюсника ДТ релейного конца: Адр =0,333, Вдр =0,0525еj 40є Ом, Сдр =0,49е- j 70є См, Dдр =3; 11. коэффициенты четырехполюсника ДТ питающего конца: Адп =3, Вдп =0,05еj 35є Ом, Сдп =0,302е- j 60є См, Dдп =0,333; 12. коэффициенты четырехполюсника ИТ релейного конца: Аир =0,11, Вир =2,4еj 36є Ом, Сир =0,006е- j 65є См, Dир =9,15; 13. коэффициенты четырехполюсника ИТ питающего конца: Аип =9,15, Вип = 2,4еj 36є Ом, Сит =0,006е- j 65є См, Dит =0,11; 14. нормативный ток АЛСН на входном конце РЦ: Iан =1,4 А; 15. градация напряжений через каждые 5 В; 16. коэффициент отклонения напряжения источника питания от номинального значения: Кнс =1,05. Введение Рельсовая цепь является основным элементом современных систем автоматики и телемеханики, регулирующих движение поездов на железных дорогах. Она выполняет функции датчика информации о свободности и целости рельсового пути изолированного участка, а также используется в качестве телемеханического канала связи между проходными светофорами и между путевыми и локомотивными устройствами. Рельсовой цепью называют совокупность рельсовой линии и аппаратуры, подключаемой к ней в начале и конце. Проводами рельсовой линии РЛ служат рельсы железнодорожного пути. Рельсовая линия – это электрическая цепь с равномерно распределенными параметрами (продольное электрическое сопротивление рельсов и проводимость изоляции между рельсами). Изоляцией между проводами рельсовой линии являются шпалы, балласт и земляное полотно. Участки с электрической тягой переменного тока. Поскольку для электрической тяги применяют переменный ток промышленной частоты 50 Гц, то рельсовые цепи должны питаться током частоты, отличной от 50 Гц. Применение тока частоты 25 Гц удобно, поскольку благодаря более низкому сопротивлению рельсов потери энергии при передаче ее по рельсовой линии уменьшаются. В этом случае уменьшается отношение уровней сигнала на входе путевого приемника при изменении сопротивления изоляции от минимального в нормальном режиме до расчетного в контрольном или шунтовом режиме. Вследствие этого улучшаются условия обеспечения шунтового и контрольного режимов и увеличивается предельная длина рельсовой линии. На участках с эл. тягой 50Гц приборы РЦ защищают от коммутационных перенапряжений, вызываемых к.з. контактной сети переменного тока, разрядниками типа РВНШ – 250 и АВМ. Кодовые рельсовые цепи переменного тока частотой 25 Гц (рис.1) применяют на перегонах. Питание осуществляется от преобразователей частоты ПЧ – 50/25 мощностью 100 В×А. Преобразователи получают питание от высоковольтной линии переменного тока частотой 50 Гц. В качестве резервного питания могут быть использованы источники тягового тока. ПЧ – 50/25 – 100 – имеют секционированную вторичную обмотку позволяющую подключить к нему 2РЦ и независимо регулировать напряжение РЦ от 5 до 175В с шагом 5В. Первичная обмотка преобразователя ПЧ может быть подключена к сети U=110 или 220В. Импульсное реле устанавливают на входном конце рельсовой цепи для того, чтобы кодирование осуществлялось навстречу поезду и обеспечивалась работа АЛС. Для нормальной работы устройств АЛС необходимо, чтобы при шунтировании входного конца рельсовой цепи ток в рельсах был не менее 1,4 А.
Рис.1. Схема кодовой рельсовой цепи переменного тока частотой 25 Гц. В данных рельсовых цепях применяют – дроссель – трансформаторы типа 2ДТ–1–150 с коэффицентом трансформации n = 3. В связи с низким коэффицентом трансформации n = 3, принятым по условиям охраны труда, на обоих концах РЛ устанавливают изолирующие трансформаторы ИТ типа ПРТа с коэффицентом n=9,15 для согласования низкокго входного сопротивления РЛ (менее 1 Ом) с высоким сопротивлением аппаратуры (около 100 Ом). Защита путевого реле от влияния асимметрии тягового тока осуществляется фильтром ФП – 25. Его характеристическое сопротивление равно сопротивлению путевого реле и составляет 200 Ом. При согласовании входного сопротивления фильтра с низким волновым сопротивлением рельсовой линии коэффициент трансформации изолирующего трансформатора равен 9,15. При этом входное сопротивление в конце рельсовой линии равно приблизительно 0,26 Ом. В качестве ограничителя на питающем конце применяют активное сопротивление Ro = 200 Ом мощностью Р = 150Вт. Линейный передатчик – реле Т типа ТШ – 65 питается от генератора кодовых сигналов – трансмиттеров типа КПТШ–5 (или КПТШ–7). Которые устанавливаются в смежных рельсовых цепях для организации схемы защиты от получения ложной информации при к.з. изостыков. Контакты реле Т защищаются от эрозии искрогасящим контуром Rи Cи с параметрами. Для компенсации реактивной мощности на питающем конце устанавливается конденсаторный блок КБ 4 Существуют следующие режимы работы рельсовой цепи: · Нормальный режим. Нормальным режимом называется такое состояние исправной и свободной от подвижного состава РЦ, при котором путевой приемник выдает дискретную информацию «Свободно». Такая информация будет выдаваться надежно, если в правильно спроектированной и отрегулированной РЦ будут четко соблюдаться два условия: При критическом сочетании значений основных параметров, соответствующих неблагоприятным условиям для передачи энергии [Umin , zmax , rи min ] уровень сигнала на входе одноэлементного приемника соответствует его рабочему току Ip или уровень и фаза сигнала на входе ФЧП соответствуют его рабочему вращающему моменту Mр : при критическом сочетании значений основных параметров, соответствующих благоприятным условиям для передачи энергии [Umax , z, rи max ], уровень сигнала на входе одноэлементного приемника не превышает его допустимую перегрузку по току (напряжению) Iпер д (Uпер д ) или уровень и фаза сигнала на входе ФЧП не превышают его перегрузку по вращающему моменту Mпер д . Критериями первого состояния являются напряжение U, ток I и мощность S источника, при которых надежно срабатывает ПП. Критерием второго состояния служит соотношение: Kпер ф £ Kпер д , K пер ф -фактический коэффициент перегрузки ПП; Кпер д - допустимый (максимальный) коэффициент перегрузки ПП (по паспорту). · Шунтовой режим. Шунтовым режимом называется такое состояние РЦ, при котором ее ПП выдает дискретную информацию «Занято» (0) при наложении в любой точке РЛ поездного шунта сопротивлением не ниже нормативного. Критерием надежности шунтового режима служит соотношение: Кш ³ 1, где Кш — коэффициент шунтовой чувствительности к нормативному поездному шунту для любой относительной координаты рш РЛ, который вычисляют при критических значениях основных параметров [Umax , |z|(rmin ), rи max = ¥, pш крит ] для этого режима. Для всех РЦ, кроме горочных, принято сопротивление нормативного шунта R шн = 0.06 Ом. · Контрольный режим. Контрольным режимом называется такое состояние РЦ, при котором ПП передает дискретную информацию, эквивалентную состоянию «Занято», при полном электрическом разрыве рельсовой нити в любой точке РЛ. Критерием надежности контрольного режима является соотношение: Ккп ³ 1, где Ккп — коэффициент чувствительности РЦ к обрыву (поврежденной) нити, который вычисляют при критическом наборе основных параметров для этого режима: [Umax , Z(rmin ), ru крит , Ркп крит ]. · Режим АЛСН. Режимом АЛСН называется такое состояние исправной занятой РЦ, при котором в рельсовых нитях создается уровень кодового сигнала, достаточный для надежного действия локомотивного приемника, расположенного на удаленном от генератора АЛСН конце РЛ. Критерием надежности режима АЛСН является соотношение: Кл = Iлф min ¸Iлн ³1, где: I лф min — фактический минимальный ток в РЛ при наложении нормативного поездного шунта на удаленном от генератора кодовых сигналов АЛСН конце РЛ и критическом сочетании основных параметров для этого режима [Umin , z, ru min , p=0] Iли —нормативный ток АЛСН, при котором локомотивный приемник работает устойчиво. · Режим к.з. Под режимом к.з. подразумевается режим работы генератора при расположении нормативного поездного шунта в начале РЛ, т.е. в точке подключения к ней генератора (р = 1). При этом может рассматриваться режим к.з. основного генератора, питающего ПП, и дополнительного генератора, питающего через РЛ локомотивный приемник, связанный с ней индуктивно. В РЦ переменного тока функции дополнительного генератора может выполнять основной генератор, если кодовые сигналы АЛСН накладываются на питающий конец. К критериям режима к.з. относятся ток Iкз и мощность Sкз генератора. Обычно ток и мощность режима к.з. превышают ток и мощность его при нормальном режиме. Однако в схемах с емкостным ограничителем ток и мощность к.з. могут быть меньше соответственно тока и мощности нормального режима. Режим к. з. рассчитывают при критических сочетаниях основных параметров и поэтому Rшн = 0, а р = 1. Значения основных критериев режима к.з. генератора, которое происходит не непосредственно на зажимах генератора, а через четырехполюсник H, в значительной степени зависят от соотношения параметров этого четырехполюсника и входного сопротивления РЛ zbx . Поэтому ток и мощность режима к.з. могут в несколько раз превышать соответственно ток и мощность нормального режима либо, наоборот, могут быть даже меньше этих значений благодаря применению емкостных ограничителей. 1. Расчет коэффициентов четырёхполюсниковДля сокращения объёма расчётов ЧП ДТ и ИТ на питающем и релейном концах объединяют соответственно в ЧП Н и К. При этом учитывается сопротивление соединительных проводов rсп и rср . Общая схема замещения РЦ.
Коэффициенты четырехполюсника питающего конца
Ан =34,621е-j16,53 Вн =9,064еj3,984 Ом Сн =0,051е-j62,118 См Dн =0,037е- j 0,792 Коэффициенты четырехполюсника релейного конца
Ак =0,037е—j1,043 Вк =2,08ej21,983 Ом Ск =0,072е-j69,389 См Dк =28,949е- j 3,806 2. Расчет нормального режима Схема замещения для расчета РЦ в нормальном режиме:
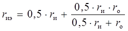
Определяем эквивалентное сопротивление изоляции РЛ и заземления опоры контактной сети:
Определяем коэффициент распространения волны в РЛ:
Определяем волновое сопротивление:
Определяем коэффициенты рельсового четырехполюсника:
Определяем напряжение и ток в конце РЛ:
Определяем напряжение и ток в начале РЛ:
Находим минимальное напряжение и ток источника питания:
Так как градация напряжений через каждые 5 В , то Uф min равно: Uф min = 115 В. Определим коэффициент трансформации Ктр :
По коэффициенту трансформации определяем Iф min :
Определяем мощность, потребляемую РЦ в нормальном режиме:
3. Коэффициент перегрузки реле Минимальное сопротивление передачи: К`тн = Ан ; (18) Ктк = Ск *Zp +Dк ; (19) Ктк
=
Z’вх н
=
Zп min = К`тн ×Ктк ×(Zвх к +Z×ℓ+ Z`вх н ) ; (22) Zп
min
= Максимальное сопротивление передачи: Zп max = К`тн ×Ктк ×(A×Zвх к +B+(C×Z вх к +D)×Z`вх н ); (23) Zп
max
= Коэффициент перегрузки реле:
Ки = 1,05 Кпер
= 4. Расчет шунтового режима Схема замещения для расчета РЦ в шунтовом режиме:
Коэффициент шунтовой чувствительности на релейном конце:
где:
Сопротивление передачи РЦ при наложение шунта на релейном конце определяется по формуле: Zпшр = K`тн ×Ктк ×[Ашр ×Zвхк +Вшр +(Сшр ×Zвхк +Dшр )×Z`вхн ] (27) при этом: Коэффициент снижения тока релейного конца: Ктк = Ск ×Zвх ф +Dк = 37,283е- j 24,397 ; (30) Обратный коэффициент снижения тока в ЧП Н: К`тн = Ан = 34,621е- j 16,53 . Коэффициенты ЧП РЛ при наложении нормативного шунта (Rшн = 0,06 Ом) на релейном конце при наихудших условиях для шунтового режима (rи = ¥) определяют по выражениям:
С учетом найденных значений получается:
Допустимое напряжение: |Uдшр
| = Коэффициент шунтовой чувствительности на релейном конце РЦ: Кшр = 188,6/ 115 = 1,64 >1 Коэффициент шунтовой чувствительности на питающем конце РЦ:
где: Сопротивление передачи РЦ при наложение шунта на питающем конце определяется по формуле: Zпшп = K`тн ×Ктк ×[Ашп ×Zвх к +Вшп +(Сшп ×Zвхк +Dшп )×Z`вхн ] , (34) при этом : Коэффициент снижения тока релейного конца: Ктк =37,313e- j 24,397 ; Обратный коэффициент снижения тока в ЧП Н: К`тн = 34,621е- j 16,53 Коэффициенты ЧП РЛ при наложении нормативного шунта (Rшн = 0,06 Ом) на питающем конце определяют по выражениям:
с учетом найденных значений получается: Zпшп = 8373,257ej 21,342 Ом. Допустимое напряжение: |Uдшп | = 197,3B. Коэффициент шунтовой чувствительности на питающем конце РЦ: Кшп = 197,3/115= 1.716 >1 5. Расчет контрольного режима Схема замещения для расчета РЦ в контрольном режиме:
Коэффициент чувствительности к поврежденному рельсу:
где: Для вычисления Zпк предварительно определим: коэффициент учитывающий взаимоиндукцию рельсов :
при: щ = 2 коэффициенты ЧП РЛ при повреждение рельса (S1 = S2 =1)
Акр
= Dкр
= Вкр
= Скр
= Сопротивление передачи: Zпк = K`тн ×Ктк ×[Акр ×Zвхк +Вкр +(Скр ×Zвхк +Dкр )×Z`вхн ] ; (39) Zпк = 8130,592 j 13,568 Ом. Допустимое напряжение: |Uдк | = 0,714*0,033*8130,592 = 191,573 В. Коэффициент чувствительности к поврежденному рельсу: Кк =191,573 /115 = 1,666 >1 6. Расчет режима АЛС Схема замещения для расчета РЦ в режиме АЛС:
Фактический ток АЛС:
Сопротивление передачи цепи для режима АЛС: Zпл = K`тн ×(B+D×Z`вх н ); (41) Zпл
= Iлф = 115 / 62,283 = 1,846 А. Коэффициент режима АЛС:
при: Iлн = 1,4 А; КАЛС = 1,846 / 1,4 = 1,319 >1 7. Расчет режима короткого замыкания Схема замещения для расчета РЦ в режиме К.З.:
Входное сопротивление короткого замыкания:
Zкз
= Максимальный ток источника:
Iкз
= 1,05*( Максимальная мощность источника: Iиш = Iкз ,
Заключение По результатам выполненных расчётов всех режимов работы рельсовой цепи можно сделать вывод, что рельсовая цепь работоспособна при пониженном сопротивлении изоляции, так как удовлетворяет всем предъявленным требованиям. Список используемой литературы:1. Кравцов Ю. А., Нестеров В. Л. , Лекута Г. Ф. Системы железнодорожной автоматики и телемеханики. М.: Транспорт, 1996. 400 с. 2. Аркатов В. С., Баженов А. И., Котляренко Н. Ф. Рельсовые цепи магистральных железных дорог: Справочник. М.: Транспорт, 1992. 384 с. |


(1)
(2)

, (3)
Ом*км
, (4)
1/Ом*км
, (8)
См
(15)

= 2,376е j
23,817
< 3,5
(26)
(28) (29)


, (36)
(38)
. (40)