Отчет по практике: Анализ финансово-хозяйственной деятельности предприятия на примере ООО "Финист-Мыловар"
|
Название: Анализ финансово-хозяйственной деятельности предприятия на примере ООО "Финист-Мыловар" Раздел: Рефераты по финансовым наукам Тип: отчет по практике | |||||||||||||||||||||||||||||||||||||||||||||||||||||||||||||||||||||||||||||||||||||||||||||||||||||||||||||||||||||||||||||||||||||||||||||||||||||||||||||||||||||||||||||||||||||||||||||||||||||||||||||||||||||||||||||||||||||||||||||||||||||||||||||||||||||||||||||||||||||||||||||||||||||||||||||||||||||||||||||||||||||||||||||||||||||||||||||||||||||||||||||||||||||||||||||||||||||||||||||||||||||||||||||||||||
| МИНИСТЕРСТВО ОБРАЗОВАНИЯ И НАУКИ РОССИЙСКОЙ ФЕДЕРАЦИИ ИНСТИТУТ МЕНЕДЖМЕНТА, МАРКЕТИНГА И ФИНАНСОВ Кафедра «Финансы и Кредит»
ОТЧЕТ ПО ПРАКТИКЕ Объект исследования: Общество с Ограниченной Ответственностью «Финист-Мыловар» Выполнила: _________________________ ____________________________________ Преподаватель: ______________________ Дата ___________________ Оценка _________________ Подпись _________________ ВОРОНЕЖ 2008 СОДЕРЖАНИЕ 1. Общая характеристика предприятия ООО «Финист-Мыловар» 1.1 Краткая история становления и развития предприятия 1.2 Организационная структура, слабые и сильные стороны производственно-хозяйственной деятельности предприятия 2. Структура и содержание деятельности экономических и финансовых служб предприятия ООО «Финист-Мыловар» 3. Анализ финансово-хозяйственной деятельности ООО «Финист-Мыловар» 3.1 Анализ имущественного положения организации и оценка эффективности использования её активов 3.2 Анализ и оценка платёжеспособности и финансовой устойчивости организации 4. Анализ и оценка процесса финансового обеспечения предприятия ООО «Финист-Мыловар» 1. Общая характеристика предприятия ООО «ФИНИСТ-МЫЛОВАР»
1.1 Краткая история становления и развития предприятия 000 "Финист-Мыловар" - одно из старейших предприятий города Воронежа, был создан на базе Жиркомбината «Воронежский», основанного в 1926 году из пороховых и мыловаренных заводов Вассермана и Мещерякова. Предприятие производит туалетное и хозяйственное мыло, занимается переработкой растительного масла. Мыло из Воронежа хорошо знали в России уже с начала XVIII века. Настоящий же завод по производству мыла был основан в 1926 году. Сейчас ООО «Финист-Мыловар» – современное, динамично развивающееся российское предприятие, идущее по пути внедрения новых технологий. В 1990 году предприятие являлось крупнейшим производителем мыловаренной продукции в ЦЧР, но в следствие ряда субъективных и объективных причин, вызванных неритмичной работой производства объем выпуска мыловаренной продукции с 1992 по 1998гг. снизился почти в 10 раз. Численность работающих с 1992 по 1997гг. была сокращена почти в 3 раза, решением арбитражного суда от 26.05.97г. ОАО "Финист" признано несостоятельным и определением суда от 30.06.97г. открыто конкурсное производство. В начале 1990-х годов предприятие переоснащалось оборудованием из Италии. Имеются 4 линии ЭЛМ для производства туалетного мыла, снабженные штамппрессами «Вальпе» и «Кондор». В 2001 году установлена линия «Binacchi &co». Промышленная площадка расположена в центре города и занимает площадь 6,14 га. Общая площадь производственных и вспомогательных зданий и сооружений составляет около 28 000 м", имеются подъездные автомобильные и железнодорожные пути, баковые емкости для хранения более 10 000 тонн жирового сырья. Пройдя процедуру банкротства предприятие возобновило свою производственную деятельность и в настоящее время выпускает широкий ассортимент продукции: 1) мыло хозяйственное 3-х наименований, весом от 140 до 350 г; 2) мыло хозяйственное штампованное семи наименований весом от 150 до 500г; 3) туалетное мыло группы "Детское" пяти наименований весом от 90 до 200г; 4) туалетное мыло Ординарное - одиннадцати наименований, весом от 14 до 200г; 5) туалетное мыло Экстра - девятнадцати наименований, весом от 14 до 200г. Начиная с 1999 года предприятие открыло производство по рафинации, дезодорации и розливу растительных масел. В середине 2000 года, после тяжелого кризиса, 000 «Финист-Парфюмер» начал выходить на проектную мощность и сразу же вошел в шестерку лидеров. На базе 000 «Финист-Парфюмер» 10.06.2005 года 000 «Финист-Мыловар». Управление и организация Единственным учредителем 000 «Финист-Мыловар» является - Ченсери Холдинг Лимитед От1гои.-100%; Предлагаемая продукция и услуги 000 «Финист-Мыловар» производит мыло туалетное и хозяйственное.. Основной отличительной характеристикой нашей продукции является довольно низкая цена при высоком конкурентном качестве. Основным сырьем для производства мыла хозяйственного и туалетного являются высококачественные жиры и жирозаменители: саломас технический, масло кокосовое, жирные кислоты слабых и твердых фракций, животные и технические жиры, а также растительное масло, тропические масла и продукты их переработки, каустическая сода, кальцинированная сода, поваренная соль. Основными поставщиками сырья являются: 1) ОАО Гаммахим (Москва); 2) Бель; 3) 000 Комплекс; 4) 000 «Придонье»; 5) ИП Назеян; 6) 000 ПП Вертикаль. Основными покупателями нашей продукции являются: 1) 000"Финист"; 2) ОАО «Промснабпоставка» Описание рынка. Маркетинг. Ценовая политика, проводимая фирмой «Финист-Мыловар», направлена, прежде всего, на обеспечение малоимущих слоев населения мылом хозяйственным и туалетным, а также на завоевание потерянных рынков сбыта. В этой связи, не смотря на значительное увеличение производственных затрат, вызванное прежде всего существенным ростом цен на масложировое сырье и энергоносители, предприятие не допустило увеличения цен на готовую продукцию. Так цены на мыловаренную продукцию на 10-15% ниже, чем на аналогичную продукцию, поставляемую на рынки ЦЧР с других мыловаренных заводов.
10% - отечественное 90% - импортное На рис. 1.1 представлена структура рынка мыловаренной продукции по данным на 2000 год: Рынки хозяйственного и туалетного мыла очень насыщенны. Две трети рынка принадлежит пяти-шести промышленным гигантам с долей рынка более 10%о у каждого. Не мало важным фактом является то, что из этих пяти-шести предприятий три находятся в центральной части России, что говорит о жестокой конкуренции на рынке. Ситуация к концу 2000 года представлена на рис. 1.2:
Рис 1.2. Распределение долей рынка. Производственные мощности предприятия в настоящее время позволяют полностью обеспечить мылом хозяйственным и туалетным потребителей, как в Воронежской области, так и за ее пределами и вырабатывать порядка 1 300 т мыла ежемесячно, среднесписочная численность предприятия составляет около 160 чел. В настоящее время 000 «Финист-Мыловар» обслуживается в трех банках: 1) ОАО «ВнешТоргБанк» Воронежский филиал; 2) ОАО "Воронежпромбанк"; 3) ОАО «Московский Международный Банк». 1.2 Организационная структура, слабые и сильные стороны производственно-хозяйственной деятельности предприятия Организационная структура общества имеет функциональный вид и представлена на рисунке 1.3. Функциональная структура признается эффективной для устойчиво работающих организаций. Особенностью является то, что по отдельным функциям управления формируются специальные подразделения работники, которых обладают знаниями и навыками работы в данной области управления. Положительными сторонами данной структуры управления является то, что: а) она позволяет осуществлять эффективный централизованный контроль за достижениями результатов стратегии, б) является эффективной формой организации труда для выполнения простых операций, которые не требуют частых контактов между различными службами.
Рисунок 1.3- Организационная структура ООО «Финист-Мыловар» Для того чтобы более полноценно описать деятельность ООО «Финист-Мыловар», нужно провести исследования ценовой, сбытовой и продуктовой политики организации. Что позволит нам наиболее полно увидеть картину деятельности данной организации. Думаю, что начать следует со SWОТ-анализа, т.к. он является универсальным аналитическим инструментом (Таблица 1.1). SWОТ - это абривиатура четырех английских слов: а) S - Strengths - сильные стороны, б) W - Weaknesses - слабые стороны, в) O - Opportunities - возможности, г) T - Threats - угрозы. Таблица 1.1 - SWОТ - анализ ООО «Финист-Мыловар»
Наиболее значимые сильные стороны Общества - это: а) специфическая, б) высокая репутация, в) преобладание над конкурентами и защищенность от их давления (по некоторым направлениям), г) широкий ассортимент продукции, д) квалифицированные специалисты, е) удобные подъездные пути, ж) наличие постоянных клиентов (организаций). Из слабых сторон можно выделить, пожалуй, совсем не много. Во-первых, удаленность от массового покупателя, очень большое количество оптово-розничных организаций в данном районе и по городу. Возможности Общества могут расшириться за счет выхода на новые рынки, продажей сопутствующих товаров (расширение ассортиментных групп) и еще большее ослабление позиций конкурентов, а так же приобретение новых клиентов. Угрозы для ООО «Финист-Мыловар» представляют некоторые отдельные факторы внешнего окружения. Это может быть вторжение предприятий с низкими издержками или высоким качеством продукции, неблагоприятные демографические условия, ужесточение внешнеторговых барьеров. Проведение анализа отрасли и состояния Общества выявляется круг проблем, стоящих перед ним, и некоторый набор различный способов их решения. В основе стратегии должно лежать создание и использование конкурентных преимуществ. Использование конкурентных преимуществ как основы стратегии означает, что стратегия должна не только поддерживать и защищать имеющиеся преимущества, но и способствовать созданию новых. Стратегия должна служить инструментом развития, и чем последовательнее Общество работает над созданием предпринимательского климата как составной части своей корпоративной культуры, тем успешнее может быть реализована стратегия. Для того что бы понять какие факторы внешней среды наиболее сильно воздействуют на организацию следует провести PEST-анализ (или STEP-анализ) (Таблица 1.2). Из бесчисленного множества факторов, характеризующих воздействие внешней среды на организацию, PEST-анализ (абривиатура чет), таким образом, выделяет четыре основные группы. То есть посредством данного инструмента мы исследуем политический, экономический, социально-культурный и технологический аспекты внешней среды организации. Абривиатура четырех английских слов: а) S - Society - общество (социум), б) T - Technology- технология, в) E- Economy - экономика, г) P - Policy - политика. Таблица 1.2 - SТЕР-анализ внешней среды ООО «Финист-Мыловар»
Все факторы представленные выше, на протяжение всей жизни организации, практически не меняются, поэтому зная политическую, экономическую, социальную и технологическую ситуации можно вводить какие-либо изменения в ценовой, сбытовой политике фирмы. Основными конкурентами ООО «Финист-Мыловар» являются: а) Розоптторг б) компания «АКИ» в) ООО (Хозоптторг) ООО «Финист-Мыловар» долгие годы работает на воронежском рынке, за эти годы работы успело зарекомендовать себя, как стабильную, успешную компанию. К каждому клиенту осуществляется индивидуальный подход, наверное, поэтому у ООО так много постоянных клиентов. Сбытовую политику ООО «Финист-Мыловар» можно охарактеризовать, как прямую, так и опосредованную (через посредников). Т.к. организации - клиенты различны по своим видам деятельности, поэтому среди них встречаются и торгующие фирмы, такие как ЗАО «Розоптторг». Данная организация покупает товары в Воронеже у таких же торгующих фирм и перепродает своим клиентам. 2. Структура и содержание деятельности экономических и финансовых служб предприятия ООО «Финист-Мыловар» Под финансовой службой предприятия понимается самостоятельное структурное подразделение, выполняющее определенные функции в системе управления предприятием. Обычно таким подразделением является финансовый отдел. Его структура и численность зависят от организационно-правовой формы предприятия, характера хозяйственной деятельности, объема производства и общего количества работающих на предприятии. Структура финансового отдела в целом соответствует содержанию той финансовой работы, которую необходимо выполнять на предприятии для финансирования всех затрат предприятия и осуществления расчетов. Но она в значительной степени консервирует недостатки, присущие управлению предприятием в прежних дорыночных условиях хозяйствования. Общая структурная схема управления ООО «Финист-Мыловар» представлена в приложении. До недавнего времени финансовая работа на предприятии сводилась к чисто оперативным задачам — оформлению расчетных, и платежных документов, организации расчетов с другими предприятиями, бюджетом, банком, рабочими и служащими. Типовым положением об организации финансовой работы, которое определяло задачи и функции финансовых служб на государственном предприятии, на финансовые отделы возлагались разработка финансовых показателей в пятилетнем финансовом плане предприятия, оценка проектов перспективного плана в целях принятия более напряженных финансовых заданий и увеличения внутренних финансовых ресурсов предприятия, составление годовых финансовых планов предприятия. Но права предприятий в области финансового планирования были формальными в условиях отраслевой системы управления народным хозяйством. Финансовая дирекция имеет структуру, зависящую от характера хозяйственной и финансовой деятельности, организационно-правовой формы хозяйствующего субъекта. Подразделениями финансовой дирекции могут быть, например, финансовый отдел, планово-экономический отдел, бухгалтерия, бюро или сектор экономического анализа, отдел валютных операций и др. Структура, функции и ответственность всех подразделений, их взаимоотношения с другими звеньями управления должны быть определены Положением о финансовой дирекции. В функции финансовой дирекции входят: · обеспечение финансирования хозяйственной деятельности предприятия; · разработка финансовой программы развития хозяйствующего субъекта; · разработка инвестиционной политики; · определение кредитной политики; · установление смет расходов денежных средств для всех подразделений предприятия; · разработка валютной политики н обеспечение валютной деятельности; · финансовое планирование, участие в составлении бизнес-планов; · осуществление расчетов с поставщиками, покупателями, подрядчиками, банком, бюджетом; · обеспечение страхования от финансовых рисков; · проведение залоговых, трастовых, лизинговых и других операций; · анализ финансово-хозяйственной и внешнеэкономической деятельности; · ведение финансового учета, составление бухгалтерского баланса н других финансовых документов. Финансовый отдел – самостоятельное структурное подразделение ООО» Финист-Мыловар». Финансовый отдел состоит из 3-х сотрудников. Во главе финансового отдела (далее ФО) стоит Финансовый Директор (далее ФД), который распределяет обязанности между работниками и координирует работу всего ФО. ФД подчиняется непосредственно генеральному директору. Экономист по труду и заработной плате (далее ЭТ) осуществляет учет фонда рабочей силы и фонда заработной платы. Экономист по финансовой работе (далее ЭФ) выполняет расчет себестоимости продукции предприятия и контроль взаиморасчетов предприятия с поставщиками и подрядчиками. Основными задачами ФО являются: 1) Руководство работой по экономическому планированию на предприятии, направленному на организацию рациональной финансово-хозяйственной деятельности, выявление и использование резервов производства с целью достижения максимальной экономической эффективности. 2) Организация и осуществление комплексного экономического анализа деятельности предприятия, а также участие в разработке мероприятий по эффективному использованию производственных мощностей, материальных и трудовых ресурсов, повышению рентабельности производства. 3) Постоянное совершенствование организации труда и заработной платы, правильного расходования фонда оплаты труда и фонда потребления. 4) Снижение не производственных затрат. 5) Оперативное отслеживание финансовых потоков предприятия. 6) Своевременное уведомление о происходящих процессах высшего руководства. 7) Руководство работой по экономическому планированию на предприятии, направленной на организацию рациональной хозяйственной деятельности в соответствии с потребностями рынка и возможностями получения необходимых ресурсов. 8) Подготовка проектов текущих планов подразделениями предприятия по всем видам деятельности в соответствии с заказами потребителей продукции, работ и заключенными договорами, а также обоснований и расчетов к ним. 9) Разработка стратегии предприятия с целью адаптации его хозяйственной деятельности и системы управления к изменяющимся в условиях рынка внешним и внутренним экономическим условиям. 10) Составление среднесрочных и долгосрочных комплексных планов производственной, финансовой и коммерческой деятельности (бизнес-планов) предприятия, согласование и взаимная увязка всех их разделов. 11) Доведение плановых заданий до подразделений предприятия. 12) Разработка прогрессивных плановых технико-экономических нормативов материальных и трудовых затрат, проектов оптовых и розничных цен на продукцию предприятия, тарифов на работы с учетом спроса и предложения и с целью обеспечения запланированного объема прибыли, составление нормативных калькуляций продукции и контроль за внесением в них текущих изменений планово-расчетных цен на основные виды сырья, материалов и полуфабрикатов, используемых в производстве, сметной калькуляции товарной продукции. 13) Контроль за выполнением подразделениями предприятия плановых заданий, а также статистический учет по всем производственным и технико-экономическим показателям работы предприятия, подготовка периодической отчетности в установленные сроки, систематизация статистических материалов. 14) Подготовка предложений по конкретным направлениям изучения рынка с цепью определения перспектив развития предприятия, осуществление координации проведения исследований, направленных на повышение эффективности его производственно-хозяйственной деятельности. 15) Осуществление совместно с бухгалтерией методического руководства и организация работы по учету и анализу результатов производственно-хозяйственной деятельности, разработку рациональной учетной документации. Функции ФО. 1) Организация и общее руководство разработкой текущих (месячных, квартальных) бизнес-планов предприятия в соответствии с прямыми заказами потребителей и материально-техническим обеспечением. 2) Рассмотрение предложений и расчетов других подразделений с финансово-экономической точки зрения. 3) Составление финансовых планов. 4) Осуществление контроля за правильностью применения утвержденных норм расходования сырья и вспомогательных материалов. 5) Выявление и анализ причин потерь рабочего времени, а также разработка предложений по улучшению использования рабочего времени. 6) Изучение эффективности применения действующих систем оплаты труда и разработка предложений по совершенствованию организации заработной работников. 7) Анализ расходования фонда оплаты труда предприятия и структуры заработной платы по подразделениям и отдельным категориям работников. 8) Организация контроля за выполнением подразделениями предприятия плановых заданий, а также статистический учет по всем производственным и технико-экономическим показателям работы предприятия, подготовка периодической отчетности в установленные сроки, систематизация статистических материалов. Отчетность ФО. Достижение задач ФО осуществляется по следующему алгоритму: 1) Сбор информации. 2) Сравнение фактических показателей с нормативными. 3) Анализ полученных результатов. 4) Разработка рекомендаций и мероприятий по их совершенствованию, а также контроль за выполнением рекомендаций. Финансовый отдел разрабатывает следующие формы отчетов:
Бухгалтерский учет на предприятии ведется в соответствии с Федеральным Законом «О бухгалтерском учете» от 21.11.1996 г. № 129-ФЗ, Гражданским кодексом РФ, Налоговым кодексом РФ, Положением по ведению бухгалтерского учета и бухгалтерской отчетности в РФ (Приказ Минфина РФ от 29,07,98 № 34н и 19), Положением по бухгалтерскому учету (ПБУ 1-19), утвержденным Приказом Минфина РФ №60н от 09.12.1998 г., Планом счетов бухгалтерского учета финансово-хозяйственной деятельности организаций и Инструкции по применению Плана счетов бухгалтерского учета финансово-хозяйственной деятельности организаций, утвержденными Приказом Минфина РФ от 31.10.2000 г. № 94н и положениями, регулирующими порядок учета различных объектов бухучета, а также Учетной политикой предприятия. Бухгалтерский учет, осуществляется бухгалтерской службой организации, возглавляемой главным бухгалтером. Бухгалтерский учет ведется по журнально-ордерной форме в электронном виде, используя программу автоматизации бухгалтерского учета (1C Предприятие). Бухгалтерская отчетность составляется по форме и в объеме, определяемом законодательством. Отчетность сдается в электронном виде. По мере необходимости на бумажном носителе. Бухгалтерская отчетность состоит из годовой и промежуточной квартальной отчетности. 3. Анализ финансово-хозяйственной деятельности ООО «ФИНИСТ-МЫЛОВАР»
3.1 Анализ имущественного положения и оценка эффективности использования её активов Анализ имущественного положения организации и оценку эффективности использования ее ресурсов проведем с использованием бухгалтерского баланса (форма № 1) и отчета о прибылях и убытках (форма № 2). Бухгалтерский баланс характеризует в денежной оценке финансовое положение организации по состоянию на отчетную дату. По балансу характеризуется состояние материальных запасов, расчетов, наличие денежных средств, инвестиций. Данные баланса необходимы собственникам для контроля над вложенным капиталом, руководству организации при анализе и планировании, банкам и другим кредиторам – для оценки финансовой устойчивости. В Концепции бухгалтерского учета в рыночной экономике России даны определения активов, обязательств и капитала. Активами считаются хозяйственные средства, контроль над которыми организация получила в результате свершившихся фактов ее хозяйственной деятельности и которые должны принести ей экономические выгоды в будущем. Обязательством считается существующая на отчетную дату задолженность организации, которая является следствием свершившихся проектов ее хозяйственной деятельности и расчеты по которой должны привести к оттоку активов. Капитал представляет собой вложения собственников и прибыль, накопленную за все время деятельности организации. В бухгалтерском балансе активы и обязательства представлены с подразделением в зависимости от срока обращения (погашения) как краткосрочные (запасы, дебиторская задолженность, денежные средства, кредиторская задолженность) и долгосрочные (основные средства, нематериальные активы, долгосрочные займы). Активы и обязательства представляются как краткосрочные, если срок обращения (погашения) по ним не более 12 месяцев после отчетной даты или продолжительности операционного цикла, превышающей 12 месяцев. Все остальные активы и обязательства представляются как долгосрочные. В соответствии с ПБУ 4/99 бухгалтерский баланс объединяет средства в активе по разделам: - «Внеоборотные активы», - «Оборотные активы», а источники образования этих средств по разделам: - «Капитал и резервы», - «Долгосрочные обязательства», - «Краткосрочные обязательства». Каждый раздел баланса объединяет группу статей. Согласно действующим нормативным документам баланс в настоящее время составляется в оценке нетто. Итог баланса дает ориентировочную оценку суммы средств, находящихся в распоряжении предприятия. Эта оценка является учетной (балансовой) и не отражает реальной суммы денежных средств, которую можно выручить за имущество, например, в случае ликвидации предприятия. Текущая «цена» активов определяется рыночной конъюнктурой и может отклоняться в любую сторону от учетной, особенно в период инфляции. Характеризуя бухгалтерские балансы ООО «ФИНИСТ-МЫЛОВАР» за период 2005-2007 можно отметить, что на протяжении трех лет уставный капитал организации не изменялся и составляет 10 тыс. руб. В период с конца 2005 года и до конца 2007 года активы представлены основными средствами, незавершенным строительством, производственными запасами, краткосрочными финансовыми вложениями, денежными средствами, дебиторской задолженностью и прочими оборотными активами. В составе средств, которыми располагает предприятие, на начало 2006 года оборотные активы значительно превышали внеоборотные, и к концу 2006 года оборотные активы стали существенно превышать сумму внеоборотных активов. К концу 2007 года наибольший удельный вес в активах предприятия заняли оборотные средства 86,21%. Источниками средств данной организации являются уставный капитал и краткосрочные обязательства, которые представлены займами и кредитами, а также кредиторской задолженностью. К концу 2007 года краткосрочная кредиторская задолженность заметно увеличилась по сравнению с 2005 и 2006 годами и стала составлять наибольшую часть краткосрочных обязательств. При анализе бухгалтерской (финансовой) отчетности необходимо определить ликвидность баланса. Ликвидность баланса определяется как степень покрытия обязательств организации ее активами, срок превращения которых в деньги соответствует сроку погашения обязательств. Ликвидность активов определяется как величина, обратная времени, необходимому для превращения их в денежные средства. Чем меньше время, которое потребуется, чтобы данный вид активов превратился в деньги, тем выше их ликвидность. Анализ ликвидности баланса заключается в сравнении средств по активу, сгруппированных по степени их ликвидности и расположенных в порядке убывания ликвидности, с обязательствами по пассиву, сгруппированными по срокам их погашения и расположенными в порядке возрастания сроков. Изучение отчета о прибылях и убытках позволяет увидеть порядок формирования конечного финансового результата предприятия, величину этого результата как от реализации товаров, продукции, работ, услуг, так и от прочих операций, сумму причитающихся платежей бюджету по налогу на прибыль и другим налогам из чистой прибыли, а также сумму остающейся в распоряжении предприятия чистой прибыли. Все эти данные пользователю представляются за отчетный и предыдущий годы, что обеспечивает еще возможность сравнения соответствующих показателей за два года. Так, по отчетам о прибылях и убытках ООО «ФИНИСТ-МЫЛОВАР» за 2005-2007 г.г. можно сказать, что у организации в период с 2005 года по 2007 год выручка от продажи товаров, продукции, работ, услуг с каждым годом становилась больше, но в тоже время и значительно увеличивалась и себестоимость продукции. По сравнению с 2005 годом в 2007 году выручка выросла на 154514 тыс. руб. Организация в 2005 году имела от реализации товаров прибыль в сумме 2611 тыс. руб., а в 2006 году – 3220 тыс. руб. В течение 2007 года предприятие получило убыток от основной деятельности в размере 1205 тыс. руб. Но за счет прочих доходов предприятие компенсировало затраты и в итоге прибыль до налогообложения составила 1618 тыс. руб. Все это свидетельствует об положительных изменениях в деятельности предприятия. Вертикальный (структурный) анализ – это представление бухгалтерской (финансовой) отчетности в виде относительных величин, которые характеризуют структуру итоговых показателей. Вертикальный анализ может проводиться по исходной отчетности или агрегированной. Преимущества такого вида анализа отчетности также очевидны при сравнении отчетов. Все статьи баланса при вертикальном анализе приводятся в процентах к итогу баланса. Структурный анализ баланса позволяет рассматривать соотношение оборотных и внеоборотных активов предприятия, а также структуру внеоборотных и оборотных активов; определять удельный вес собственного и заемного капитала, структуру капитала по видам. Вертикальный анализ балансов позволяет наглядно определить значимость активов и пассивов баланса. Внеоборотные активы в 2005 году составили 24,30 % всех средств, а в 2006 году их удельный вес чуть снизился до 22,07 пункта, а в 2007 году наблюдается падение активов по сравнению с 2005 годом до 13,79% от общей суммы активов предприятия. Оборотные средства в 2005 году составляли 75,70 % всех средств, преобладающая часть оборотных активов представлена запасами предприятия. В 2006 году оборотные средства увеличились и преобладающую часть средств стали занимать также запасы (27,92%). Сравнивая 2006 и 2007 года можно сказать, что оборотные средства 2007 года увеличились и составили 86,21 %, а также увеличились запасы (28,23 %), которые стали занимать основную часть оборотных средств. На 2005 год уставный капитал и нераспределенная прибыль (непокрытый убыток) занимали в источниках средств предприятия 0,30 %. На протяжении 2006 и 2007 годов нераспределенная прибыль (непокрытый убыток) повышаются и в 2007 году составляют 0,92 %. Это говорит о том, что у предприятия преобладают заемные средства, а не собственные. Заемный капитал представлен долгосрочными и краткосрочными займами и кредитами, и краткосрочной кредиторской задолженностью. Также нужно отметить, что с каждым годом идет сокращение займов и увеличение кредиторской задолженности. В 2005 году займы составили 16,83 %, кредиторская задолженность – 82,87 %. На 2007 год долгосрочные займы сократились до 0,20% от источников предприятия, а кредиторская задолженность стала занимать 98,89% всех источников предприятия. Таблица 3.1 Вертикальный анализ балансов ООО «ФИНИСТ-МЫЛОВАР» за 2005-2007 года
Все показатели отчета о прибылях и убытках при проведении структурного анализа приводятся в процентах к объему выручки от реализации (таблица 3.2). Таблица 3.2 - Вертикальный анализ отчета о прибылях и убытках ООО «ФИНИСТ-МЫЛОВАР» за 2005-2007 г.г., %
Используя данные таблицы 2 видно, что в выручке от реализации 2005 года полная себестоимость составила 94,63%, в 2006 году затраты составляли 95,36 %, а в 2007 году затраты увеличились до 100,31 % и предприятие получило убыток от основной деятельности. Следовательно, прибыль от реализации в 2005 году составила 1,96 %, в 2006г. – 0,96%, а в 2007 убыток составил -1205 тыс. руб. С учетом результатов от прочей деятельности и выплаты налога на прибыль чистая прибыль в 2005 году составила 0,32% в выручке. В 2006 году чистая прибыль сократилась на 0,28 пункта. Предпринимательская деятельность все больше зависит от экономической информации. При этом большее значение придается полноте, достоверности и нейтральности информации о финансовых результатах и условиях их возникновения. Самым распространенным источником такой информации является бухгалтерская (финансовая) отчетность. Необходимость составления бухгалтерской отчетности порождается принципом непрерывности деятельности организации, закрепленным в пункте 6 ПБУ 1/98 «Учетная политика организации». Согласно этому принципу, организация будет продолжать функционировать в обозримом будущем. Поэтому для целей анализа, контроля, налогооблажения, а также для принятия управленческих решений необходимо периодически иметь сводные данные об имущественном положении организации и финансовых результатах ее деятельности. Все это приводит к необходимости составления бухгалтерской отчетности, важной частью которой являются показатели финансовых результатов. Из всех форм бухгалтерской отчетности важнейшей является баланс. Данные баланса необходимы: собственникам - для контроля над вложенным капиталом, руководству организации - при анализе и планировании, банкам и другим кредиторам - для оценки финансовой устойчивости. Бухгалтерский баланс состоит из двух равновеликих частей: актива и пассива. Бухгалтерский баланс характеризует в денежной форме финансовое положение предприятия по состоянию на отчетную дату. По балансу характеризуется состояние материальных запасов, расчетов, наличие денежных средств, инвестиций. Анализ ликвидности баланса заключается в сравнении средств по активу, сгруппированных по степени ликвидности и расположенных в порядке убывания ликвидности, с обязательством по пассиву, сгруппированными по срокам их погашения и расположенными в порядке возрастания сроков. В зависимости от степени ликвидности, т.е. скорости превращения в денежные средства, активы предприятия разделяются на следующие группы: А1. наиболее ликвидные активы - к ним относятся все статьи денежных средств предприятия и краткосрочные финансовые вложения (ценные бумаги). А2. Быстро реализуемые активы - дебиторская задолженность, платежи по которой ожидаются в течение 12 месяцев после отчетной даты. A3. Медленно реализуемые активы - статьи раздела 2 актива баланса, включающие запасы, налог на добавленную стоимость, дебиторскую задолженность (платежи по которой ожидаются более чем через 12 месяцев после отчетной даты) и прочие оборотные активы. А4. Трудно реализуемые активы - статьи 1 актива баланса - внеоборотные активы. Пассивы баланса группируются по степени срочности их оплаты: П1. Наиболее срочные обязательства - к ним относится кредиторская задолженность. ГО. Краткосрочные пассивы - это краткосрочные заемные средства, задолженность участникам по выплате доходов, прочие краткосрочные пассивы. ПЗ. Долгосрочные пассивы - это статьи баланса, относящиеся к разделам 4 и5, т.е. долгосрочные кредиты и заемные средства, а также доходы будущих периодов, резервы предстоящих расходов и платежей. П4. Постоянные пассивы или устойчивые - это статьи раздела 3 баланса «Капитал и резервы». Для определения ликвидности баланса следует сопоставить итоги приведенных групп по активу и пассиву. Теперь определим ликвидность баланса по балансовым пропорциям, соблюдение которых способствует финансовой устойчивости предприятия. Такими пропорциями являются следующие: 1. Быстрореализуемые активы (денежные средства и краткосрочные финансовые вложения) должны покрывать наиболее срочные обязательства или превышать их; 2. Активы средней реализуемости (дебиторская задолженность) должны покрывать краткосрочные обязательства или превышать их; 3. Медленнореализуемые активы (производственные запасы) должны покрывать долгосрочные обязательства или превышать их; 4. Труднореализуемые активы (внеоборотные активы) должны покрываться собственными средствами и не превышать их. Т.е.: А, > П, А2 > П2 Аз > П3 А4 < П4 Далее составим таблицу анализа ликвидности баланса. Для наглядности соблюдения балансовых пропорций ООО «ФИНИСТ-МЫЛОВАР» по состоянию на конец года представим их в таблицах 3.3, 3.4, 3.5. При этом в качестве наиболее срочных обязательств условно примем займы и кредиты, кредиторскую задолженность работникам предприятия, внебюджетным фондам по отчислениям на социальные нужды и бюджету по налогам. Таблица 3.3
Таблица 3.4
Таблица 3.5
В результате сопоставления активов и обязательств по балансу выявляется несоответствие в первой пропорции, свидетельствующее о недостаточности быстрореализуемых активов (денежных средств в данном примере) для оплаты срочной кредиторской задолженности. Также выявилось несоответствие во второй пропорции, т.е. активы средней реализуемости перекрываются краткосрочной кредиторской задолженностью. Последнее неравенство свидетельствует об отсутствии у предприятия собственных оборотных средств, что необходимо для соблюдения минимального условия его финансовой устойчивости. Чтение отчета о прибылях и убытках позволяет увидеть порядок формирования конечного финансового результата предприятия, величину этого результата как от реализации товаров, продукции, работ, услуг, так и от прочих операций, сумму причитающихся платежей бюджету по налогу на прибыль и другим налогам из чистой прибыли, а также сумму остающейся в распоряжении предприятия чистой прибыли. Все эти данные пользователю представляются за отчетный и предыдущий годы, что обеспечивает еще возможность сравнения соответствующих показателей за два года. Чтение отчетности дает пользователям большую, но не исчерпывающуюся информацию о предприятии. Для более детального рассмотрения деятельности предприятия используются и другие приемы анализа, например, анализ на основе относительных величин. Для проведения анализа бухгалтерской (финансовой) отчетности с помощью других приемов составляются специальные аналитические таблицы. В эти таблицы заносятся данные, исчисленные по исходной отчетности (с укрупненными или преобразованными показателями) и представленные в виде процентов или коэффициентов. При определенной взаимосвязи между двумя показателями, по относительным величинам этих показателей проводится сравнительный анализ. Вертикальный (структурный) анализ - это представление бухгалтерской (финансовой) отчетности в виде относительных величин, которые характеризуют структуру итоговых показателей. Вертикальный анализ может проводиться по исходной отчетности или агрегированной. Преимущества такого вида анализа отчетности также очевидны при сравнении отчетов. Все статьи баланса при вертикальном анализе приводятся в процентах к итогу баланса. Структурный анализ баланса позволяет рассматривать соотношение и структуру оборотных и внеоборотных активов предприятия, также определять удельный вес собственного и заемного капитала, структуру капитала по видам. 3.2 Анализ и оценка платежеспособности и финансовой устойчивости Финансовая устойчивость - целеполагающее свойство финансового анализа, а поиск внутрихозяйственных возможностей, средств и способов ее укрепления представляет глубокий экономический смысл и определяет характер его проведения и содержания. Как любая финансово-экономическая категория, финансовая устойчивость выражается системой количественных и качественных показателей и тесно связана с показателями ликвидности и обеспеченности оборотных активов, в частности, таких, как материально-производственные запасы, дебиторская задолженность и другие. Если ликвидность количественно выражается определенным уровнем превышения оборотных активов над обязательствами и обеспечивает, таким образом, конкретное состояние платежеспособности, то платежеспособность дает представление о финансовых возможностях (обеспеченности) организации оплатить (погасить) в срок и в полном объеме краткосрочные обязательства на момент (дату) их возникновения. Соотношение стоимости либо всех активов организации, либо оборотных активов или их главной составляющей - материально-производственных запасов и затрат (З) с величиной (стоимостью) собственного и/или заемного капитала как главных источников формирования определяют степень финансовой устойчивости. Обеспеченность хотя бы только запасов и предстоящих затрат (стр. 210 ф. 1) источниками их формирования выражает сущность, финансовой устойчивости, в то время как платежеспособность выступает ее внешним проявлением. Источниками покрытия и увеличения (прироста) запасов и затрат являются: · собственный капитал (СК) (стр. 490), скорректированный на сумму целевых средств поступлений и финансирования (стр. 450); · краткосрочные кредиты и займы (ККЗ), стр. 610; · кредиторская задолженность (КЗ), стр. 620; · задолженность участникам (учредителям) по выплате доходов (срок возмещения которой еще не наступил) (ЗУ), стр. 630; · прочие краткосрочные обязательства (П КО), стр. 660. Выбор конкретных источников покрытия из всех названных выше есть прерогатива хозяйствующего субъекта. Средства долгосрочных кредитов и займов (ДО), стр. 590 ф. 1 расходуются, как правило, на пополнение внеоборотных активов, хотя частично организация может их использовать в отдельных случаях и для покрытия недостатка оборотных средств. Имея такую информацию по данным Бухгалтерского баланса, можно выявить типы финансовой устойчивости организации. Абсолютная финансовая устойчивость (редко встречается в современной российской практике): когда З < (СК - ВА) + ККЗ + КЗ, или стр. 210 < строки 490 - 190 + 610 + 620. Нормальная устойчивость, которая гарантируется ее платежеспособностью: когда 3 = (СК - ВА) + КК3 + К3, или стр. 210 = строки 490 - 190 + 610 + 620. Неустойчивое финансовое состояние, при котором имеются сбои в платежеспособности, но еще есть возможность ее восстановить: когда 3 = (СК - ВА) + КК3 + К3 + СКОС , где СКОС - особая часть собственного капитала, предназначенного для обслуживания других краткосрочных обязательств, сдерживающая финансовую напряженность (строки 630 + 660), или стр. 210 = строки 490 - 190 + 610 + 620 + 630 + 660. Кризисное финансовое состояние, или кризисная финансовая неустойчивость: когда 3 > (СК - ВА) + КК3 + К3 + СКОС , или стр. 210 > строки 490 - 190 +. 610 + 620 + 630 + 660. Четверное неравенство, когда даже только запасов и затрат больше, чем все возможные к использованию источники их формирования, свидетельствует о предельно кризисном финансовом положении организации, находящейся на грани банкротства. Определение типа финансовой устойчивости ООО «ФИНИСТ-МЫЛОВАР» в период с 2005 по 2007 год представлены в таблице 3.6. Таблица 3.6 Тип финансовой устойчивости ООО «ФИНИСТ-МЫЛОВАР» за 2005-2007 г.г.
По данным расчета в таблице 3.6 видно, что с 2005 по 2007 годы выполняется первое неравенство, следовательно ООО «ФИНИСТ-МЫЛОВАР» имеет абсолютную финансовую устойчивость период. Однако в целом финансовая устойчивость предприятия на настолько стабильна. Предприятие не может быть признано финансово устойчивым поскольку имеет огромную кредиторскую задолженность, в основном перед своими поставщиками и своими средствами не покрывает общую сумму займов и кредиторской задолженности. Можно предположить, что в принципе финансовое состояние данной организации позволяет быть уверенным в своевременном выполнении обязательств в соответствии с договорами на протяжении многих лет функционирования. Следовательно, ООО «ФИНИСТ-МЫЛОВАР» имеет рациональную структуру имущества и его источников для своего вида деятельности. Платежеспособность предприятия - это способность своевременно и в полном объеме погашать свои финансовые обязательства. Ликвидность - это способность отдельных видов имущественных ценностей обращаться в денежную форму без потерь своей балансовой стоимости. Понятия платежеспособности и ликвидности близки по содержанию, но не идентичны. При достаточно высоком уровне платежеспособности предприятия его финансовое положение характеризуется как устойчивое. В то же время высокий уровень платежеспособности не всегда подтверждает выгодность вложений средств в оборотные активы, в частности, излишний запас товарно-материальных ценностей, затоваривание готовой продукцией, наличие безнадежной дебиторской задолженности снижают уровень ликвидности оборотных активов. Устойчивое финансовое положение предприятия является важнейшим фактором его застрахованности от возможного банкротства. С этих позиций важно знать, насколько платежеспособно предприятие и какова степень ликвидности его активов. Ликвидность активов представляет собой их возможность при определенных обстоятельствах обратиться в денежную форму (наличность) для возмещения обязательств. Из всех активов организации наиболее ликвидными являются оборотные активы, а из всех оборотных активов абсолютно ликвидные денежные средства, краткосрочные финансовые вложения (ценные бумаги, депозиты и т.п.), а также непросроченная дебиторская задолженность, срок оплаты которой наступил, или счета, акцептованные к оплате. Другую часть оборотных активов нельзя с большой уверенностью назвать высоколиквидными активами (например, запасы, просроченная дебиторская задолженность, задолженность по выданным авансам и средствам в подотчет). Тем не менее при определенных условиях и грaмотных методах работы с дебиторами-клиентами эта задолженность все-таки будет возвращена, а запасы реализованы. Однако следует иметь в виду, что отдельные виды внеоборотных активов (транспорт, здания, современное оборудование, компьютеры и т.п.) также можно при необходимости реализовать даже с большим успехом, чем, например, некоторые запасы, и получить искомую наличность, если это в интересах организации. Коэффициенты платежеспособности и ликвидности отражают способность предприятия погасить свои краткосрочные обязательства легкореализуемыми средствами. Высокое значение данных коэффициентов свидетельствует об устойчивом финансовом положении предприятия, низкое их значение - о возможных проблемах с денежной наличностью и затруднениях в дальнейшей операционной деятельности. В то же время очень большое значение коэффициентов свидетельствует о невыгодном вложении средств в оборотные активы. В отечественной и зарубежной практике рассчитываются различные коэффициенты ликвидности оборотных активов и их элементов. Наиболее важные по экономической сути и востребованности практикой показатели ликвидности: 1. Коэффициент абсолютной ликвидности рассчитывается на основе данных II и IV разделов бухгалтерского баланса по формуле:
где ДС – денежные средства; КФВ – краткосрочные финансовые вложения; КО – краткосрочные обязательства. В состав краткосрочных обязательств входят: задолженность по краткосрочным кредитам и займам; кредиторская задолженность; задолженность участникам (учредителям) по выплате доходов; прочие краткосрочные обязательства. 2. Коэффициент критической ликвидности или «промежуточной ликвидности» рассчитывается по формуле:
где ДЗ – дебиторская задолженность; ПОА – прочие оборотные активы. 3. Коэффициент текущей ликвидности рассчитывается для обобщающей оценки ликвидности оборотных активов:
где ОА – оборотные активы. Этот показатель характеризует степень обеспеченности (покрытия) всеми оборотными активами краткосрочных обязательств. Коэффициент текущей ликвидности – основополагающий показатель для оценки финансовой состоятельности организации, достаточности имеющихся у нее оборотных средств, которые при необходимости могут быть использованы для погашения ее краткосрочных обязательств. Значение коэффициента текущей ликвидности должно находиться в пределах от 1 до 2. Значение нижней границы коэффициента, равное 1, обусловлено тем, что оборотных средств должно быть столько же, сколько возникает краткосрочных обязательств. Превышение оборотных активов (в два раза) над краткосрочными обязательствами создает условия для устойчивого развития производственно-финансовой деятельности, в результате чего формируется рабочий капитал, или «чистые оборотные активы». Сложившиеся значения названных показателей ликвидности по данным ООО «ФИНИСТ-МЫЛОВАР» за 2005-2007 года, представлены в таблице 3.7. Таблица 3.7 Показатели ликвидности ООО «ФИНИСТ-МЫЛОВАР» за 2005-2007гг.
Рабочий капитал представляет собой ликвидные резервы, которыми покрываются издержки (расходы), возникающие в результате непредвиденных обстоятельств и неопределенности по сбалансированию поступлений и оплаты денежными средствами своих обязательств. Чистый рабочий капитал как часть чистых активов организации является также страховым залогом (запасом) для кредиторов-банков в случае невозвращения кредиторов. Превышение оборотных активов над краткосрочными обязательствами более чем вдвое не является желательным для организации, ибо такое положение скорее свидетельствует о нерациональном вложении средств в пополнение оборотных активов и неэффективном их использовании. Данные таблицы 10 свидетельствуют о том, что в 2005 году коэффициенты критической и текущей ликвидностей принимали не оптимальное значение, а коэффициент абсолютной ликвидности был ниже оптимального значения. Коэффициенты 2006 и 2007 годов показывают низкий уровень ликвидности составляющих элементов оборотных активов; она значительно ниже установленных нормативных значений по всем показателям. Коэффициент абсолютной ликвидности в 2007 году составил 0,0006, следовательно, у предприятия почти не осталось денежных средств и краткосрочных финансовых вложений для погашения краткосрочных обязательств. Анализируя коэффициент критической ликвидности видно, что по сравнению с 2006 годом в 2007 году увеличился на 0,10 пункт и составил 0,52. Это свидетельствует о том, что предприятие может погасить лишь малую долю краткосрочных обязательств имеющимися в его распоряжении денежными средствами, финансовыми вложениями и привлеченной для погашения дебиторской задолженностью. Значение коэффициента текущей ликвидности в 2006 и 2007 годах показывает, что у предприятия оборотных средств меньше, чем краткосрочных обязательств. В 2006 году этот коэффициент составлял 0,784 а в 2007 году увеличился до 0,871. Для оценки платежеспособности организации используются показатели, которые представлены в таблице 3.8. При расчете показателей используются данные бухгалтерского баланса (Приложение 2, 3, 4), отчета о прибылях и убытках (Приложение 5, 6, 7) и отчета о движении денежных средств (Приложение 8, 9, 10). Тем не менее предложенная система показателей позволяет в комплексе получить представление о платежеспособности организации и тенденциях ее развития. Таблица 3.8 Показатели платежеспособности ООО «ФИНИСТ-МЫЛОВАР» за 2005-2007 г.г.
Представленные модели расчета показателей оценки платежеспособности организации не только прямо, но и опосредованно характеризуют ее состояние и устойчивость. Последняя, как правило, зависит от многих факторов, некоторые из которых совсем не коррелируются с деятельностью анализируемого хозяйствующего субъекта: спрос и предложение на товары, продукцию и услуги; сложившиеся цены и система ценообразования; уровень финансовой состоятельности покупателя-клиента и желание и возможности его своевременно оплачивать обязательства; непомерно высокая цена; неразвитая система вексельного обращения; инфляция и др. Большая часть показателей платежеспособности в таблице 3.8 улучшили свои количественные значения к 2007 году по сравнению с 2005 и 2006 годом. Также большинство показателей осталось практически без изменения на протяжении трех лет существования предприятия. Так, продолжительность оборачиваемости кредиторской задолженности снизилась с 327,49 в 2005 году до 131,42 в 2006 году и до 178,34 дн. в 2007 году; доля кредиторской задолженности в собственном капитале – с 381,59 % в 2005 году снизилась до 194,12 % в 2007 году; коэффициент покрытия чистыми активами кредиторской задолженности снизился с 2,27 в 2005 году до 1,92 в 2006 году и увеличился до 1,94 в 2007 году. При этом следует отметить, что уровень коэффициента текущей ликвидности повышается и в 2007 году составляет 0,84, по сравнению с 2006 годом увеличился на 0,09 пункта. 4. Анализ и оценка процесса финансового обеспечения предприятия Процесс проведения финансового обеспечения, как и любой другой сложный процесс, должен иметь свою технологию — последовательность шагов, направленных на выявление причин изменения состояния предприятия и рычагов его оптимизации. Проблемы и затруднения, возникающие в финансовом обеспечении организации, в конечном итоге имеют три основных проявления. 1. Дефицит денежных средств ; низкая платежеспособность. Экономическая суть проблемы состоит в том, что у организации в ближайшее время может не хватить или уже не хватает средств для своевременного погашения обязательств. Индикаторами низкой платежеспособности являются ниже нормативного уровня показатели ликвидности, просроченная кредиторская задолженность, сверхнормативные задолженности перед бюджетом, персоналом и кредитующими организациями. 2. Недостаточная отдача на вложенный в предприятие капитал (недостаточное удовлетворение интересов собственника; низкая рентабельность). На практике это означает, что собственник получает доходы, неадекватно малые своим вложениям. Возможные последствия такой ситуации — негативная оценка работы менеджмента организации, выход собственника из предприятия. 3. Низкая финансовая устойчивость . На практике низкая финансовая устойчивость означает возможные проблемы в погашении обязательств в будущем, иными словами — зависимостью предприятия от кредиторов, потерей самостоятельности. О недостаточной финансовой устойчивости, то есть риске срывов платежей в будущем и зависимости финансового положения организации от внешних источников финансирования, свидетельствуют снижение показателя автономии ниже оптимального, отрицательная величина собственного капитала. Также индикатором недостаточного уровня финансирования текущей деятельности предприятия за счет собственных средств является снижение чистого оборотного капитала (ЧОК) ниже оптимальной его величины и, тем более, отрицательная величина ЧОК. Показатели финансовой устойчивости предприятия характеризуют структуру используемого предприятием капитала с позиции его платежеспособности и финансовой стабильности развития. Эти показатели позволяют оценить степень защищенности инвесторов и кредиторов, так как отражают способность предприятия погасить долгосрочные обязательства. Данную группу показателей еще называют показателями структуры капитала и платежеспособности либо коэффициентами управления источниками средств. Исходя из данных баланса (Приложение 1, 3, 5) расчет показателей финансовой устойчивости представлен в таблице 4.1. Таблица 4.1 - Показатели финансовой устойчивости ООО «ФИНИСТ-МЫЛОВАР» за 2005-2007 г.г.
* ОЗ – оптимальное значение. Коэффициент автономии характеризует роль собственного капитала в формировании активов организации. Этот показатель должен заинтересовать инвесторов и кредиторов, а также финансовых менеджеров компании, чтобы сформировать мнение об участии капитала собственников в приумножении активов (имущества) их организации. Данные таблицы 4.1 показывают, что коэффициент автономии в 2005 году составил 0,001, к 2007 году – 0,01. Таким образом, большая часть активов предприятия сформирована за счет заемного капитала. Значение коэффициента ниже уровня оптимального значения, следовательно, предприятие не обладает достаточной независимостью и возможностями для проведения независимой финансовой политики. Коэффициент финансовой устойчивости можно применять для расчета в качестве дополнения и развития показателя финансовой независимости (автономии), путем прибавления к собственному капиталу средств долгосрочного кредитования, которые по сути являются долгосрочными о6язательствам. Проводя анализ коэффициентов видно, что коэффициент автономии и коэффициент финансовой устойчивости не совпадают, так как предприятие имеет долгосрочные обязательства. Коэффициент финансовой зависимости в 2006 году снизился по сравнению с 2005 годом на 115,72 пункта и составил 218,78, а в 2007 году снизился по сравнению с 2006 годом на 110,90 и составил 107,89. Это говорит о том, что велика зависимость данного предприятия от внешних источников. Коэффициент финансирования собственным капиталом заемного капитала в 2005 и 2006 годах не соответствует оптимальному значению, потому что в составе заемного каптала преимущественно находилась кредиторская задолженность, займы и кредиты. Резкое снижение коэффициента финансирования до приводит к тому, что заемные и привлеченные средства значительно превышают собственный капитал, что обеспечивает неустойчивое развитие организации. Коэффициент обеспеченности собственными средствами в 2005 и 2006 годах был значительно меньше оптимального значения и составлял 0,01. В 2007 году этот коэффициент принимает отрицательное значение. Таким образом, по данным показателям финансовое состояние предприятия в целом можно охарактеризовать как нестабильное и финансово не устойчивое, что характеризуется высокой долей заемного каптала, и предполагает не стабильность его деятельности в будущем году. В тоже время на состояние предприятия оказывает влияние и низкое значение коэффициента маневренности, составивший соответственно в 2005, 2006 и 2007 году -0,32, -0,28 и -0,15. Поэтому предприятию следует обратить внимание на использование собственного капитала. Об эффективности использования предприятием своих средств судят по различным показателям деловой активности. Данную группу показателей еще называют показателями оценки оборачиваемости активов, коэффициентами использования активов или коэффициентами управления активами, а также показателями оценки результатов хозяйственной деятельности, объединив с показателями рентабельности. По названию показателей этой группы можно судить о назначении их в целях финансового анализа. Показатели деловой активности позволяют оценить финансовое положение предприятия с точки зрения платежеспособности: как быстро средства могут превращаться в наличность, каков производственный потенциал предприятия, эффективно ли используется собственный капитал и трудовые ресурсы, как использует предприятие свои активы для получения доходов и прибыли. Приведенные в таблице 4.2 коэффициенты характеризуют эффективность использования предприятием своих совокупных активов или какого-либо их вида. Они показывают, какой объем выручки обеспечивает каждый рубль активов, как быстро активы оборачиваются в процессе деятельности предприятия. Таблица 4.2 Показатели деловой активности ООО «ФИНИСТ-МЫЛОВАР» за 2005-2007 г.г.
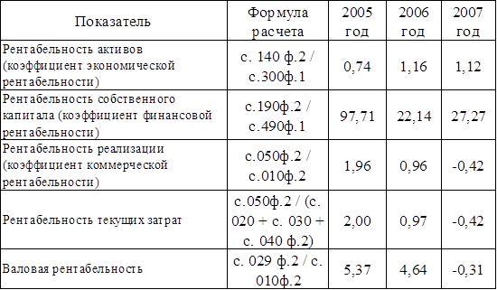
Коэффициент оборачиваемости активов отражает скорость оборота всего капитала организации или эффективность использования всех имеющихся ресурсов независимо от их источников. Данные таблицы показывают, что за изучаемый период этот показатель увеличился. Значит, в организации быстрее совершался полный цикл производства и обращения, приносящий прибыль. Так как у предприятия наблюдается благоприятная динамика этого коэффициента, следовательно, необходимо повышать объем реализации своих услуг, проанализировать состав активов и избавиться от ненужных активов, а также искать другие способы повышения фондоотдачи. Фондоотдача в 2005 году составляла 3,76, в 2006 году сократилась до 12,33, а в 2007 году составила 14,48. Коэффициент оборачиваемости запасов на данном предприятии в 2005 году равен 2,20. В 2006 году происходит увеличение этого показателя до 9,28, а в 2007 году снижается до 7,09. Высокое значение коэффициента подтверждает благоприятную характеристику финансового состояния организации. Чем ниже этот показатель, тем больше затоваривание, тем медленнее можно погасить долги. Оборачиваемость дебиторской задолженности в 2005 году составила 4,25, а время ее обращения 86 дн. То есть средний промежуток времени, который требуется для того, чтобы предприятие, реализовав продукцию (услуги), получило деньги, равен 86 дн. В 2006 году коэффициент оборачиваемости дебиторской задолженности повышается и время обращения сокращается до 8 дней, а в 2007 году наблюдается тенденция снижения коэффициента оборачиваемости дебиторской задолженности до 3,99 и увеличение срока ее обращения до 51 дней. Про коэффициент оборачиваемости кредиторской задолженности можно сказать, что он с каждым годом уменьшается, а время обращения задолженности возрастает. Так в 2007 году коэффициент оставил 2,02, а время обращения – 181 дн. Для сохранения своей платежеспособности предприятию необходимо строго контролировать дебиторскую задолженность. Устойчивость финансового положения организации и ее деловая активность характеризуются соотношением дебиторской и кредиторской задолженности. В ООО «ФИНИСТ-МЫЛОВАР» кредиторская задолженность преобладает над дебиторской и это преобладание с каждым годом возрастает. В 2005 году коэффициент соотношения дебиторской и кредиторской задолженности составил 0,26, в 2006 году – 0,31, а в 2007 – 0,51. Коэффициент оборачиваемости готовой продукции показывает сколько раз в год обращается готовая продукция. В 2005 году готовая продукция обращалась 7,97 раз в год, а в 2006 году и 2007 году наблюдается повышение этого показателя. Так в 2007 году коэффициент готовой продукции составил 51,85. Оборачиваемость оборотного капитала в 2005 году составила 1,20, т.е. каждый вид оборотных активов потреблялся и вновь возобновлялся почти 1,5 раза в год. В 2006 году возобновление происходит около 3,5 раз в год, а в 2007 году - 2,32 раза. Расчет показателей рентабельности по данным бухгалтерской (финансовой) отчетности приведен в таблице 4.3. Таблица 4.3 Показатели рентабельности ООО «ФИНИСТ-МЫЛОВАР» за 2005-2007 г.г., %
Об интенсивности использования ресурсов предприятия, способности получать доходы и прибыль судят по показателям рентабельности. Данные показатели отражают как финансовое положение предприятия, так и эффективность управления хозяйственной деятельностью, имеющимися активами и вложенным собственниками капиталом. Показатели данной группы, как и показатели деловой активности, интересуют всех пользователей. Коэффициенты рентабельности показывают, насколько прибыльна деятельность организации, и исчисляются отношением полученной прибыли к используемым источникам средств. К таким коэффициентам относятся: рентабельность активов, рентабельность собственного капитала, рентабельность текущих затрат и другие. По данным отчетности ООО «ФИНИСТ-МЫЛОВАР» недостаточно эффективно использует имеющиеся у него активы и акционерный капитал, поскольку рентабельность его активов в 2005 году равна 0,74 %, а в 2006 году коэффициент немного повышается до 1,16%, в 2007 году коэффициент снижается до 1,12%. В 2005 и 2006 годах все показатели рентабельности имеют положительные значения, так как предприятие имело прибыль от основной деятельности. Рентабельность собственного капитала в 2005 году составила 97,71 %, затем к 2007 году наблюдается снижение этого показателя до 27,27%. Рентабельность собственного капитала должна обеспечивать окупаемость вложенных в предприятие средств, но так как показатель отрицательный, следовательно, не обеспечивается окупаемость вложенных средств. В 2005 году рентабельность реализации показывает, что 1,96% прибыли приходится на единицу реализованной продукции. Валовая рентабельность 2005 года отражает, что в каждом рубле реализованной продукции 5,37 % валовой прибыли. Рентабельность текущих затрат показывает, что в 2005 году 2 % прибыли приходится на один рубль затрат. Анализ выше рассчитанных показателей объективно позволяет сделать вывод о том, что ООО «ФИНИСТ-МЫЛОВАР» является организацией с не стабильным финансовым состоянием. Многие из основных финансовых показателей не соответствуют своему нормативному значению и ухудшаются на протяжении трех последних лет функционирования предприятия. При взаимоотношениях с этим предприятиям возможен определенный предпринимательский риск. Также можно сделать вывод что доходы предприятия зависят не только от основной производственной деятельности. Анализ отчета о прибылях и убытках показывает, что предприятие имело убыток от основной деятельности. Однако прочие доходы предприятия перекрыли полученный убыток предприятием и в итоге предприятие получило чистую прибыль на конец периода. Но в целом можно отметить, что финансовое состояние данной организации позволяет быть уверенным в своевременном выполнении обязательств в соответствии с договорами. Следовательно, ООО «ФИНИСТ-МЫЛОВАР» имеет рациональную структуру имущества и его источников для своего вида деятельности и стремиться с каждым годом совершенствовать организацию торгового процесса, привлечению новых кадров, и эффективно управлять сбытом продукции. |
|||||||||||||||||||||||||||||||||||||||||||||||||||||||||||||||||||||||||||||||||||||||||||||||||||||||||||||||||||||||||||||||||||||||||||||||||||||||||||||||||||||||||||||||||||||||||||||||||||||||||||||||||||||||||||||||||||||||||||||||||||||||||||||||||||||||||||||||||||||||||||||||||||||||||||||||||||||||||||||||||||||||||||||||||||||||||||||||||||||||||||||||||||||||||||||||||||||||||||||||||||||||||||||||||||











