Дипломная работа: Управление предприятиями в условиях кризиса
|
Название: Управление предприятиями в условиях кризиса Раздел: Рефераты по менеджменту Тип: дипломная работа | ||||||||||||||||||||||||||||||||||||||||||||||||||||||||||||||||||||||||||||||||||||||||||||||||||||||||||||||||||||||||||||||||||||||||||||||||||||||||||||||||||||||||||||||||||||||||||||||||||||||||||||||||||||||||||||||||||||||||||||||||||||||||||||||||||||||||||||||||||||||||||||||||||||||||||||||||||||||||||||||||||||||||||||||||||||||||||||||||||||||||||||||||||||||||||||||||||||||||||||||||||||||||||||||||||||||||||||||||||||||||||||||||||||||||||||||||||||||||||||||||||||||||||||||||||||||||||||||||||||||||||||||||||||||
Содержание Введение 1. Анализ деятельности предприятия1.1 Организационно-правовая характеристика предприятия1.2 Роль предприятия в инфраструктуре города 1.3 Структура управления 1.4 Характеристика персонала и оплата труда 1.5 Динамика основных показателей деятельности 1.6 Оценка технологии производства 2. Управление предприятиями в условиях кризиса: теория и практика 2.1 Понятие кризиса, виды и особенности управления деятельностью предприятия в условиях кризиса 2.2 Анализ кризисных тенденций в деятельности предприятия 3. Разработка и обоснование мероприятий по управлению ОАО "НефАЗ" в условиях кризиса 3.1 Сущность предлагаемых мероприятий 3.2 Оценка экономической целесообразности предлагаемых мероприятий Заключение Список использованной литературы Приложения Введение Хотя первоначальный период становления рыночных отношений достаточно давно миновал, и большинство российских промышленных предприятий, выживших и укрепившихся в современных условиях, тем или иным образом прошли этот этап, вопрос о различных аспектах кризисного развития и тем более стратегических элементов его понимания по-прежнему не теряет своей актуальности и должен стоять в центре внимания как исследователей, так и практиков. В настоящее время целый ряд отечественных предприятий, достаточно успешно прошедших этап послереформенных кризисов, вплотную столкнулся с необходимостью исключительно серьезных усилий в области реструктуризации своей деятельности и преодоления того, что можно назвать своего рода "кризисом второй волны". Конкретно речь идет о том, что те приемы, методы, структуры и процедуры, которые достаточно хорошо зарекомендовали себя в период после дефолта, в настоящее время перестали удовлетворять основным требованиям эффективности управления. В последние годы резко усложнились условия конкурентной борьбы, на рынок вышли новые игроки, жестко проявляется регулирующая роль различных государственных органов, а что особенно важно – российская промышленность испытывает на себе все более жесткое давление зарубежной конкуренции, и прежде всего – конкуренции со стороны промышленности развивающихся стран. Это – внешние факторы, но есть и важные внутренние, поскольку самое развитие весьма успешных российских предприятий четко подводит к необходимости адекватного развития их кадрового потенциала, информационной базы, компьютеризации, а более обще говоря – различных элементов системы управления фирмой. Иными словами, мы имеем дело все с теми же проявлениями кризисов, но уже имеющими существенно иную природу и требующими во многих случаях иных подходов к их разрешению. Поскольку же это так, то данный вопрос нуждается в особом изучении и прежде всего – в исследовании той специфики, которую несет с собой этот новый вид кризисов. Представляется, что такое исследование было бы весьма интересным и с корпоративной точки зрения. При этом вопрос мог бы ставиться следующим образом: насколько тот инструмент, которым работали в кризисных ситуациях менеджеры ранее, пригоден в контексте новой ситуации? По мнению автора, исследование как теоретических аспектов этой крайне важной для народного хозяйства и недостаточно изученной проблемы, так и формирование практических алгоритмов реализации эффективного подхода, может быть достаточно конструктивным и продуктивным, что и обусловливает актуальность настоящей диссертационной работы. Целью дипломного проекта является разработка мероприятий по управлению предприятием в условиях кризисных тенденций. Указанная цель обусловила необходимость решения следующих задач: – уточнение сущности классификации кризисов предприятий; исследование проблем антикризисного управления в целом, а также вопросов стратегии развития промышленного предприятия в нормальных условиях и в периоды кризисов; – оценка организационно-экономического состояния предприятия; – анализ и оценка кризисных ситуаций в деятельности предприятия; – разработка проекта развития кризисного предприятия; – оценка эффективности предлагаемого проекта. Объектом исследования выступает ОАО "НефАЗ". Предметом исследования являются теоретические, методические и практические вопросы, связанные с формированием концепции стратегического развития кризисного предприятия. Теоретической и методической основой работы послужили труды отечественных и зарубежных авторов в области антикризисного и стратегического менеджмента. Информационной и эмпирической базой работы явились аналитические материалы и статистические данные, связанные с проблематикой исследования и опубликованные в монографиях и периодической печати, а также информация, собранная автором непосредственно на объектах исследования. В процессе исследования были использованы системный подход, методы анализа и синтеза, логического, системного, сравнительного и фактографического анализа, логического моделирования и другие. Дипломный проект состоит из введения, трех глав, заключения и списка литературы. 1. Анализ деятельности предприятия 1.1 Организационно-правовая характеристика предприятияОткрытое акционерное общество "Нефтекамский автозавод" отсчитывает свой возраст с осени 1977 года - с момента пуска главного конвейера. Однако история рождения предприятия начинается гораздо раньше. 17 декабря 1970 года Совет Министров СССР издал Постановление "О строительстве и реконструкции заводов Министерства автомобильной промышленности для обеспечения Камского автомобильного завода запасными частями и комплектующими деталями". Как известно, в те годы КамАЗ - автогигант в городе Набережные Челны - был объявлен Всесоюзной ударной стройкой. Было решено строить и заводы-спутники, которые бы поставляли туда необходимую комплектацию. 25 декабря 1970 года Государственный Комитет Совета Министров по делам строительства издал приказ №65 "О создании завода по производству автосамосвалов и лебёдок" в городе Нефтекамске Башкирской АССР. Подобный же приказ №4 от 8 января 1971 года издал Министр автомобильной промышленности СССР. Распоряжением Совета Министров БАССР от 19 января 1971 года была создана комиссия для выбора площадки под строительство завода. Комиссия обследовала три земельных площади. Выбор был сделан на участке вдоль автомобильной дороги Нефтекамск-Янаул. Совет Министров БАССР вынес решение о резервации 100 га земли для строительства завода. 13 июля 1972 года началось строительство завода. Открытое акционерное общее и "НЕФАЗ" входит в группу предприятий "КАМАЗ" и является крупнейшим Российской Федерации производителе специализированных надстроек на шасси КАМАЗ. Завод введен в действие в 1977 году. В 1993 году преобразован в открыто акционерное общество "Нефтекамский автозавод". Основные показатели собственного капитала предприятия отражены в табл. 1. Таблица 1 Собственный капитал предприятия
Распределение акций общества по группам акционеров отражено в табл. 2. Таблица 2 Распределение акций общества по группам акционеров
Крупнейшими акционерами общества являются ОАО КАМАЗ (4 021 256 акций, 50,02%) и государство в лице Министерства земельных и имущественных отношении Республики Башкортостан (2 291 095 акции, 28,5 %). Доля физических лиц в уставном капитале составляет 6,22 %, это 500 240 акции. В соответствии с решением общего собрания акционеров по результатам 2006 года акционерам общества начислены дивиденды из расчета 9,69 рублей на одну акцию, в сумме 77 907 тыс. руб. В течение 2007 года общество выплачивало акционерам дивиденды за 2006 год и за прошлые годы в общей сумме 77 1 28 тыс. руб. Завод занимает территорию площадью 84 гектара. К основным видам деятельности предприятия можно отнести производство: - автосамосвалов на шасси "КАМАЗ"; - емкостно-наливной техники; - транспортных полуприцепов и прицепов; - пассажирских автобусов; - сельскохозяйственной техники; - запасных частей Площадь производства автосамосвалов - 106 тыс. кв. м. Номенклатура выпуска - более 40 модификации самосвальных установок на шасси КАМАЗ различной грузоподъемности объема кузова и способа разгрузки; - 10 модификации прицепов и полуприцепов самосвальных. Производственная мощность в год: -самосвальных установок 19 250 ед; - гидроцилиндров 25 000 ед; - прицепов самосвальных 3 000 ед. Площадь производства прицепной техники - 75 тыс. кв. м. Номенклатура выпуска; - более 60 модификаций емкостно-наливной техники вместимостью от 5,6 до 38 куб м для перевозки нефтепродуктов и питьевой воды; - 45 модификации прицепов и полуприцепов транспортных; - 15 модификации вахтовых автомобилей. Производственная мощность в год: - емкостно-наливной техники 1 800 ед; -транспортных прицепов и полуприцепов 3 800 ед; - вахтовых автомобилей - 800 ед. Площадь производства автобусов - 18 тыс. кв. м. Номенклатура выпуска. - более 30 модификации городских, пригородных и междугородных автобусов на шасси КАМАЗ; - три модификации автобусов на шасси VDL (Бельгия-Голландия): городской, пригородный и туристический. Производственная мощность в год: 1 500 ед. В отчетном году предприятие продолжило реализацию и совершенствование политики и целей в области качества, соответствующих требованиям национального стандарта ГОСТ Р ИСО 9001 и международного стандарта ИСО 9001 версии 2000 года. Специалисты общества особое внимание уделили решению ключевых задач по выполнению мероприятии программы "Качество", ежегодно утверждаемой генеральным директором приказом под номером один. Реализация Политики ОАО "НЕФАЗ" через достижение установленных целей в области качества на 2007 год позволила снизить уровень рекламации с 085 % (в 2006 году) до 0,82 % (в 2007 году), уровень дефектности поступивших на завод шасси с 1 2,6 % (в 2006 году) до 8,2 % (в 2007 году), уровень дефектности поставленной заводом в ОАО ТФК КАМАЗ автотехники с 5,9 % в 2006 году) до 1,5 % (в 2007 году). Выполнение Программы качество обеспечило: - повышение результативности большинства ключевых процессов системы менеджмента качества; - сдачу автотехники в ОАО ТФК "КАМАЗ" с первого предъявлении до 98,6 % при плане 98 %; - достижение удельного веса поставщиков автокомпонентов с сертифицированной системой менеджмента качества до 61 %; - заключение дополнительных договоров о гарантийном и послегарантийном сервисе автотехники ОАО "НЕФАЗ" с автоцентрами ОАО Камазтехобслуживание. Общее количество автоцентров составляет 118, в том числе в странах ближнего зарубежья 12. Внедрение корректирующих и предупреждающих мероприятий позволило кардинально улучшить качество изготовления изделий в механосборочных, сварочных и окрасочных производствах. В 2007 году на всероссийском конкурсе 100 лучших товаров России ОАО НЕФАЗ присужден Диплом лауреата который завоевал городской автобус НЕФАЗ 52997 (Транзит совместного производства с корпорацией VDL (Голландия). Это уже шестой автобус производства ОАО НЕФАЗ, который получает высокое признание на всероссийском профессиональном уровне. В прошлые годы лидерами Программы "100 лучших товаров России" становились городской, пригородный, междугородный, туристический и автобус для перевозки пассажиров с ограниченными физическими возможностями. 1.2 Роль предприятия в инфраструктуре города Размещению машиностроительных заводов в РБ благоприятствуют рост местного спроса на оборудование и машины, а также наличие здесь высокоэффективной системы топливо- и энергоснабжения, предприятий по производству пластмасс, резинотехнических и лакокрасочных изделий и технического стекла, которые необходимы для многих отраслей машиностроения. Важно и то, что в республике создана разветвлённая сеть научно-конструкторских учреждений и учебных заведений по подготовке кадров для машиностроения. Важную роль в машиностроении играет наукоемкость, металлоёмкость, трудоёмкость и ориентация на потребителя. По экспорту машиностроение РБ занимает 2 место после ТЭК. По итогам 2008 года предприятия увеличили общий объем экспорта на 22%. При этом поставки в Россию выросли на 18%, в другие страны СНГ увеличение объема экспорта составило около 30%. По итогам года положительное торговое сальдо по министерству промышленности составило более 1 миллиарда долларов. Тенденции прошедшего года свидетельствуют об опережающем росте поставок промышленной продукции в другие страны СНГ по сравнению с Россией, отметил он. По его данным, в 2008 году значительно увеличен объем экспорта в Украину, которая охотно покупает белорусские двигатели, тракторные машинокомплекты и др. Повышение конкурентноспособности отечественного машиностроения по сравнению с импортными аналогами по уровню цен стимулировало расширение выпуска оборудования для отраслей потребительского комплекса; 58 предприятий республики экспортировали машиностроительную продукцию в 50 стран мира. Ведущим предприятием автомобилестроения является ОАО "НефАЗ" — крупнейший в России производитель специализированных надстроек на шасси КамАЗа. Вся самосвальная техника, городские и вахтовые автобусы, а также цистерны для перевозки светлых нефтепродуктов, изготавливаемые на шасси КамАЗа, детище Нефтекамского автозавода. Буквально за два последних года объем выпускаемой продукции вырос на заводе более чем в 8 раз. Появились новые виды продукции — нефтевозы объемом 30 кубических метров на двухосных и трехосных тележках, автосамосвалы с трехсторонней разгрузкой, городские и пригородные автобусы, прицеп "Акбузат" для перевозки лошадей. Увеличение поставок на внешний рынок наблюдается почти практически у всех ведущих предприятий отрасли. Определяющим фактором роста экспорта стало заключение выгодных контрактов ОАО "НефАЗ" и ряда иных предприятий республики. Это произошло признанию высокого качества выпускаемой продукции ОАО "НефАЗ" посредством вручения автозаводу Международного Золотого Кубка Европейского центра стандартизации и контроля качества, приза "Золотой Меркурий". Продукция ОАО "НефАЗ" пользуется спросом в промышленных центрах и регионах Российской Федерации, странах ближнего и дальнего зарубежья. ОАО "НефАЗ" активно осваивает новую продукцию. Изготавливается и реализуется 10 новых видов моделей автотехники, продолжаются работы по модернизации базовых моделей пассажирских автобусов и грузовых автомобилей, осваивается производство низкопольных пассажирских автобусов, городских автобусов и автобусов класса "Турист" на шасси нидерландской корпорации VDL. Сегодня Нефтекамск крупный промышленный и культурный центр северо-западного региона Башкортостана, расположенный в 250 километрах от столицы республики. Город четвертый по численности населения после города Уфы, Стерлитамака и Салавата. Нефтекамск имеет удачное географическое расположение на пересечении автомобильных, железнодорожных, водных путей, что позволило выгодно расположить ОАО "НефАЗ" и развивать экономические, культурные и деловые контакты с дружественными соседними городами и регионами республики и страны. Следует отметить, что ОАО "НефАЗ" является достаточно крупным работодателем на рынке труда г. Нефтекамска. Отразим в табл. 3 данные по удельному весу работников ОАО "НефАЗ" в среднесписочной численности работников по полному кругу организаций г. Нефтекамска. Данные табл. 12 свидетельствуют, что в 2007 г. наблюдается увеличение удельного веса численности персонала ОАО "НефАЗ" в общей численности работников по всем предприятиям г. Нефтекамска на 0,99 % за счет дополнительного приема 810 чел. Таблица 3 Доли численности персонала ОАО "НефАЗ" в среднесписочной численности работников по полному кругу организаций г. Нефтекамска
В целом среднесписочная численность работников по полному кругу организаций г. Нефтекамска была увеличена на 1190 чел. Таким образом, роль предприятия представляется довольно весомой, его можно отнести к градообразующим. 1.3 Структура управления Руководство текущей деятельностью Общества осуществляют единоличный исполнительный орган в лице Генерального директора Общества и коллегиальный исполнительный орган - Правление. Генеральный директор Общества одновременно осуществляет и функции председателя Правления Общества. Генеральный директор Общества может быть избран в Совет директоров Общества. Исполнительные органы подотчетны Совету директоров Общества и общему собранию акционеров. Руководство текущей деятельностью Общества осуществляется Генеральным директором и Правлением Общества в пределах компетенции, установленной настоящим Уставом, а также прав и обязанностей, определенных Федеральным законом "Об акционерных обществах", правовыми актами Российской Федерации, Республики Башкортостан, настоящим Уставом, внутренним Положением и трудовым договором (контрактом), заключаемым каждым из них с Обществом. Трудовой договор (контракт) от имени Общества подписывается председателем Совета директоров Общества или лицом, уполномоченным Советом директоров Общества. По решению Общего собрания акционеров Общества полномочия исполнительного органа могут быть переданы по договору управляющей организации. Такое решение принимается Общим собранием акционеров только по предложению Совета директоров Общества. На отношения между Обществом и Генеральным директором и членами Правления Общества действие законодательства Российской Федерации и Республики Башкортостан о труде распространяется в части, не противоречащей положениям Федерального закона "Об акционерных обществах". Генеральный директор назначается Советом директоров Общества сроком на 5 лет. Правление Общества формируется Советом директоров Общества. Количественный и персональный состав Правления Общества утверждается Советом директоров Общества. Совет директоров вправе в любое время принять решение о досрочном прекращении полномочий Генерального директора и членов коллегиального исполнительного органа Общества (Правления) и об образовании новых исполнительных органов. Решение о досрочном прекращении полномочий Генерального директора принимается Советом директоров единогласно всеми избранными членами Совета директоров, при этом не учитываются голоса выбывших членов Совета директоров Общества. Данное решение может быть принято только на очном заседании Совета директоров. Совмещение лицом, осуществляющим функции Генерального директора Общества и членами Правления, должностей в органах управления других организаций допускается только с согласия Совета директоров Общества, зафиксированного в протоколе заседания Совета директоров Общества. Генеральный директор Общества в соответствии с действующим законодательством и настоящим Уставом: - без доверенности действует от имени Общества, представляя его во всех учреждениях, предприятиях, организациях на территории Республики Башкортостан и за ее пределами; - вступает от имени Общества в различного рода правоотношения, открывает в банковских учреждениях расчетные и иные счета; заключает договоры, соглашения, от имени Общества, выдает доверенности на их совершение, совершает иные действия в интересах Общества; - самостоятельно совершает от имени Общества сделки, связанные с приобретением Обществом имущества и отчуждением Обществом имущества, если стоимость имущества, составляющего предмет сделки, на дату совершения сделки (сделок) составляет до 20 процентов балансовой стоимости активов Общества за исключением сделок, совершаемых в процессе осуществления обычной хозяйственной деятельности; - осуществляет эффективное оперативное управление текущей деятельностью Общества в соответствии с решениями Общего собрания акционеров и Совета директоров Общества, а также заключенным с ним контрактом (договором); - принимает решение об участии (прекращении участия) в других организациях, создании дочерних и зависимых хозяйственных обществ, - осуществляет подготовку предложений для рассмотрения на заседаниях Совета директоров Общества и обеспечивает представление Совету директоров документов финансовой отчетности, сведений о деятельности Общества и иных материалов; - рассматривает, утверждает и обеспечивает соблюдение штатного расписания, положений о структурных подразделениях и иных внутренних нормативных, инструктивных, методических документов в пределах своей компетенции; - принимает на работу и увольняет с работы работников Общества, заключает от имени Общества и расторгает трудовые контракты, устанавливает должностные оклады, применяет к работникам Общества меры поощрения и налагает на них взыскания в соответствии с действующим трудовым законодательством и Правилами внутреннего трудового распорядка Общества; - принимает решения о привлечении к имущественной ответственности работников Общества, о предъявлении от имени Общества претензий и исков к юридическим и физическим лицам в соответствии с действующим законодательством; - издает приказы, распоряжения и другие акты по вопросам своей компетенции; дает указания, обязательные для всех работников Общества; - решает иные вопросы текущей деятельности Общества. На заседании Правления Общества ведется протокол. Протокол заседания Правления Общества представляется членам Совета директоров Общества, ревизионной комиссии Общества, аудитору Общества по их требованию. Проведение заседаний Правления Общества организует Генеральный директор Общества, который подписывает протоколы заседаний Правления Общества. Правление Общества в соответствии с действующим законодательством и настоящим Уставом: - осуществляет оперативное руководство деятельностью Общества в соответствии с решениями общего собрания акционеров и Совета директоров Общества; - разрабатывает и представляет на утверждение Совета директоров Общества долгосрочные программы развития Общества; - разрабатывает и представляет на утверждение Совета директоров Общества проекты планов финансово-хозяйственной, производственной, инвестиционной и иной деятельности Общества, отчеты об исполнении планов; - рассматривает и представляет на утверждение Совета директоров Общества проекты решений о создании филиалов и открытии представительств Общества, а также проекты внутренних нормативных, инструктивных, методических и других документов, регламентирующих деятельность Общества; - принимает решения о совершении от имени Общества сделки, связанной с приобретением имущества или отчуждением Обществом прямо или косвенно имущества, если стоимость имущества, составляющего предмет сделки, на дату принятия решения о совершении сделки составляет от 20 до 25 процентов балансовой стоимости активов Общества, за исключением сделок, совершаемых в процессе осуществления обычной хозяйственной деятельности; - разрабатывает Правила внутреннего трудового распорядка Общества и представляет их на утверждение Совету директоров Общества; - разрабатывает штатное расписание Общества и Положение о структурных подразделениях Общества и представляет их на утверждение Генеральному директору Общества; - осуществляет подготовку материалов и предложений для рассмотрения на заседаниях Совета директоров и Правления Общества. Структура управления завода отражена в Прилож. 1 Подразделения, входящие в его состав объединены в три производственные комплекса: - комплекс автосамосвалов; - комплекс вахтовых автомобилей и цистерн; - автобусное производство. Персонал производства самосвалов - 2 700 человек. Состав производства: - заготовительно-прессовой цех с прессами до 2000 тонн и комплексами на базе гильотинных ножниц; - два сборочно-сварочных цеха с поточно-механизированными линиями полуавтоматической сварки платформ в среде углекислого газа; - четыре цеха механической обработки с автоматическими линиями по обработке гидроцилиндров, станами холодной прокатки, обрабатывающими центрами и станками с ЧПУ; - термогальванический цех с установками ионного азотирования, цинкования и закалки ТВЧ; - окрасочный цех с линиями окраски плат форм и надрамников оснащенными дробеструйными камерами фирмы SCHLICK (Германия) с системой подвесных толкающих конвейеров с камерами сутки работающими на газовом топливе; - сборочный цех с главным конвейером сборки длиной 160 м. Персонал производства прицепной техники - 1 840 человек. Состав производства: - механопрессовой цех, включающий в себя более 100 единиц оборудования для обработки деталей прицепной техники; - сборочно-сварочный цех емкостно-наливной техники включает с себя три линии сварки корпусов со стендами стыковки кольцевых швов участок постовой сборки с установкой для тарировки; - цех сборки-сварки подкатных тележек для прицепной техники с конвейерной линией сборки; -окрасочный цех с конвейерной линией окраски; - цех сварки транспортных полуприцепов с участком сварки лонжеронов из высокопрочной стали для магистральных полуприцепов; - цех сборки-сварки транспортных прицепов и вахтовых автомобилей состоит из трех участков сварки, сборки и заготовительного, оснащенного двумя установками лазерной резки фирмы TRUMPF (Германия), листогибочным прессом с ЧПУ фирмы LVD (Бельгия). Персонал производства автобусов - 1270 человек. Состав производства: - заготовительно-механический цех, оснащенный отрезными станками для резки труб фирмы КАLТЕNВАСН (Германия), лазерной установкой фирмы ТРУМРF (Германия); - сварочный цех включает в себя линию сборки-сварки среднепольных автобусов и линию сборки-сварки низкопольных автобусов. Линии оснащены современным технологическим оборудованием и оснасткой европейского уровня. Антикоррозионная обработка каркаса производится в камерах грунтования до обшивки оцинкованным листом; - окрасочный цех оснащен высокотехнологическим оборудованием европейского класса фирмы USF-OLT (Германия), состоящим из 11 специальных камер и транспортной системы передачи автобуса фирмы VОLLЕRТ (Германия). Окраска производится материалами фирмы НЕLIОS (Словения) на оборудовании фирмы WАGNER (Германия); - сборочный цех включает в себя три участка конвейерно-постовой сборки, участок приклейки стекол и участок сдачи автобусов. 1.4 Структура управления Целенаправленная кадровая полтика один из важнейших факторов успеха предприятия. Правление стремится создать для своих работников хорошие условия труда и заинтересовать их в результатах своей деятельности. Основная цель кадровой политики определить пути и направления обеспечения предприятия персоналом, способным реализовать стратегические цели и задачи общества. Для достижения основной цели кадровой политики ОАО "НефАЗ" реализуются задачи: - приведение численности и профессионального состава персонала в соответствие с потребностями производства; - улучшение качественного состава рабочих кадров специалистов и руководителей акционерного общества и создание условии стимулирующих рост профессиональной компетенции всего персонала; - предоставление работникам возможностей обучения и повышения квалификации; - социальная защита работников; - развитие системы мотивации персонала, которая позволяет каждому сотруднику рассчитывать на карьерный рост и вознаграждение соответствующее его профессиональному уровню и личному вкладу в дело В 2007 г. численность работников составила 10581 человек (таблица 4). Таблица 4Персонал и оплата труда
По сравнению с 2006 г. численность работников увеличилась на 808 человек или на 8,3% при этом рост объемов производства составил 34%. Динамика численности работников предприятия за 2006-2007 гг. приведена в табл. 5. Таблица 5Динамика среднесписочной численности по категориям работающих, чел.
Данные табл. 5 показывают, что отмечается сокращение численности руководителей, специалистов и служащих, при росте численности рабочих основного и вспомогательного производства. В течение 2007 года продолжалась планомерная работа по оптимизации структуры персонала в результате чего удалось достигнуть снижения доли РСиС. В табл. 6 представлена динамика численности сотрудников по возрасту. Таблица 6 Динамика персонала ОАО "НефАЗ" по возрасту, %
Данные табл. 6 свидетельствуют, что среди сотрудников ОАО "НефАЗ" преобладают работающие, имеющие возраст от 35 до 45 лет. Более половины имеют возраст до 35 лет. Наименее многочисленной группой является персонал в возрасте старше 55 лет. В табл. 7 представлена динамика численности сотрудников по уровню образования. Таблица 7 Динамика персонала ОАО "ИжАвто" по уровню образования, %
На основании данных табл. 7 можно сделать вывод, что к 2007 г. количество сотрудников, имеющих высшее образование, сокращено на 0,37 % по сравнению с 2006 г. Отмечается сокращение доли лиц, имеющих среднее профессиональное образование на 0,08 %, при увеличении доли лиц, имеющих неполное высшее образование на 0,45 %. В настоящее время предприятию предоставлены значительные права в организации труда и в установлении порядка его оплаты: установление режима работы, выбор форм и систем оплаты труда и т.п. Трудовые отношения между работодателем и работником регулируются трудовым договором, порядок разработки и заключения которого определен законодательством. Одновременно сохраняется централизованное регулирование трудовых отношений государством, устанавливаются нормы, обязательные для предприятия независимо от вида деятельности и организационно- правовой формы. Основной документ, регулирующий трудовые отношения – Трудовой кодекс РФ. Влияние государства на размер оплаты труда выражается в установлении минимальных сумм оплаты труда в месяц и размеров подоходного налога. Максимальные суммы оплаты не устанавливаются. С ноября 2007 года в ОАО "НефАЗ" введена повременная система оплаты труда, ориентированная на повышение уровня качества выпускаемой продукции. При определении новых принципов оплаты труда на ОАО "НефАЗ" взят за основу опыт ведущих мировых автомобилестроительных компаний, организовавших свое производство в России: Ford, General Motors, Renault. Причины перехода ОАО "НефАЗ" со сдельной оплаты труда на повременную - смена модельного ряда и необходимостью привить коллективу современную культуру производства автомобилей. При повременной форме оплаты труда заработок работнику начисляется за фактически отработанное время. С ноября 2007 года работники всех категорий ОАО "НефАЗ" получают только оклад, размер которого не ниже суммы, начисляемой в течение последних месяцев. В феврале 2007 года, по результатам аттестации персонала предприятия в целом и оценки индивидуальных трудовых достижений, каждому из работников присвоена персональная надбавка за качество труда. В перспективе оценка качества труда работников ОАО "НефАЗ" будет проводиться дважды в год, а уровень персональной надбавки - сохраняться до следующего оценочного периода. "Основные задачи оценки - достижение запланированного уровня качества выполняемой работы и мотивация персонала к повышению квалификации". Каждый работник оценивается по 7-ми критериям, среди которых: качество, готовность и способность работника к непрерывному обучению; умение работать в коллективе; соблюдение правил охраны труда и техники безопасности; предложения по сокращению издержек и улучшению условий труда, бережное отношение к материалам, инструменту и имуществу компании; выполнение должностных инструкцией и установленных нормами. Также принимается во внимание стаж работы на предприятии. С введением повременной системы оплаты труда на ОАО "НефАЗ" в силе остаются все доплаты, надбавки и компенсации, предусмотренные Трудовым кодексом РФ, и коллективным договором ОАО "НефАЗ". Представив в табл. 8 динамику среднемесячной заработной платы персонала завода. Таблица 8 Динамика среднемесячной заработной платы персонала ОАО "НефАЗ"
Среднемесячная заработная плата промышленно-производственного персонала за год составила 12093 руб. или по сравнению с 2006 г. выросла на 22,5%. В связи с освоением новых видов продукции, внедрением новых технологий постоянно повышался профессиональный уровень работников завода. В 2007 году всеми видами обучения было охвачено 2308 человек (табл. 9), в том числе 1710 рабочих и 598 РСиС. В Учебном центре отдела кадров обучились 2065 человек. Остальные 243 работника были обучены сторонними учебными центрами. Таблица 9 Динамика профессионального обучения персонала завода за 2006-2007 г.
Повышение квалификации руководителей и специалистов, уровень их подготовки во многом определяет деятельность подчиненных. Поэтому особое внимание уделяется подготовке руководителей и специалистов, 555 руководителей и специалистов обучились на различных заводских курсах, а остальные 43 чел. - в учебных центрах, институтах повышения квалификации городов Набережные Челны, Казань, Уфа, Москва, Санкт-Петербург, Екатеринбург, Ярославль, Нижний Новгород, Мичуринск.Продолжилась работа с учебными заведениями города училищем № 138, лицеями № 27, 59, 146, машиностроительным техникумом, нефтяным колледжем. С данными учебными заведениями заключены долгосрочные договора на подготовку кадров по рабочим профессиям, таким как электросварщики, станочники широкого профиля, слесари механосборочных работ, маляры, электромонтеры, слесари ремонтники. Студенты и учащиеся проходят производственную и преддипломную практику. Студентам востребованным специальностям предоставляются рабочие места для временного трудоустройства. У многих из них в дальнейшем появляется реальная возможность для трудоустройства на постоянную работу. В 2007 году принято 217 выпускников этих учебных заведении. С целью выявления и распространения передового опыта, повышения эффективности производства внедрения в производство новых приемов и методов труда, повышения уровня профессиональной подготовки молодых рабочих проведен конкурс Лучший по профессии. 1.5 Динамика основных показателей деятельности Российское грузовое автомобилестроение не знает спадов производства уже с 2002 года. В последние два года темпы роста находятся на уровне 15-20°. Положительная конъюнктура рынка грузовой техники, обусловленная общим подъемом экономики страны, ростом грузооборота, покупательской способности, государственного заказа, способствовала подъему производства грузовых автомобилей в 2007 году до 2879 тысячи единиц или на 15,7 % по сравнению с 2006 годом. ОАО НЕФАЗ производит около 90% самосвальных установок на шасси КАМАЗ. В 2007 г. заводом отгружено 19 460 единиц самосвальных установок или на 18,5 % больше чем в 2006 г. Прицепная и полуприцепная техника Тенденция роста объемов продаж прицепной и полуприцепной техники сохранилась предприятие улучшило результаты, укрепив свое присутствие на рынке по сравнению с предыдущим годом (в 2006 году было реализовано 5 004 единиц доля на рынке 9,9%). Производителями прицепной техники на территории РФ было реализовано 59 086 единиц из них 7 655 единиц марки НЕФАЗ доли на рынке 13%.
Рис. 1. Структура рынка транспортной прицепной и полуприцепной техники в 2007г. Емкостно-наливная техника На рынке прицепной техники, предназначенной для транспортировки нефтепродуктов, на территории Российской Федерации в 2007 г. было реализовано 2 408 единиц, из которых 1196 ед. произведено Нефтекамским автозаводом.
Рис. 2. Структура рынка прицепной емкостно-наливной техники в 2007г. Автобусы Выпуск пассажирских автобусов в России в 2007 г. превысил 88 тысяч единиц и увеличило по сравнению с 2006 годом на 8,6%, что выше темпа среднемирового роста производства (6,84 %). На территории РФ реализовало 9 146 автобусов большого класса из них 1 227 единиц производства ОАО НЕФАЗ.
Рис. 3. Структура рынка автобусов в 2007 г. В 2007 году ОАО НЕФАЗ реализовало товарной продукции на сумму 10 ^87 млн. руб.
Рис. 4. Объем реализации товарной продукции (без НДС) млн. руб. В структуре реализации продукции ОАО НЕФАЗ в 2007 году значительную долю занимают самосвальные установки 32 %, на втором месте пассажирские автобусы 28,6 %. На долю полуприцепов-цистерн приходится 6,3 %, полуприцепов и прицепов транспортных соответственно 12,2% и 11%. Оставшуюся долю занимают корпуса цистерн и автоцистерны вахтовые, салоны, запасные части и прочая продукция.
Рис. 5. Структура реализации продукции в 2007г. В 2007 году в сравнении с 2006 годом увеличилось производство и реализация самосвальных установок на 18,6 %, полуприцепов транспортных на 71,8 %, прицепов транспортных на 40,2 %, корпусов цистерн на 36,5 %, вахтовых салонов на 4 %. Рыночные позиции ОАО "НефАЗ" за 2007 год среди заводов производителей РФ отражены в табл. 10. Таблица 10 Рыночные позиции ОАО "НефАЗ" за 2007 год среди заводов производителей РФ, %
Данные табл. 10 свидетельствуют, что по таким видам произодимой продукции, как автосамосвалы т наливная прицепная техника ОАО "НефАЗ" имеет лидирующие позиции среди заводов-производителей России, а по иным видам – несколько уступает прочим производителям. Основные технико-экономические показатели работы завода отражены в табл. 11. Таблица 11Основные технико-экономические показатели
Объем отгруженной продукции работ и услуг за 2007 г. составил 10 796 млн. руб., что выше прошлою года на 34,3%. Прибыль от продаж превысила прошлогодний результат на 30,1 % и составила 916 млн. руб. (за 2006 год 702 млн. руб.), чистая прибыль за 2007 год составила 4 31 млн. руб., что выше уровня прошлого года на 20,1 %. Рентабельность по чистой прибыли составила 3,99 %, отмечается ее сокращение относительно прошлого года, что может быть оценено негативно. Данная тенденция обусловлена существенным ростом затраты предприятия над уровнем получаемых доходов. Оборотные активы на конец года составили 1 294 млн. рублей, что незначительно выше уровня 2006 г. Оборачиваемость оборотного каптала за год ускорилась на 11 дней и составила 49 дней за счет существенного увеличения объемов реализации продукции. Доля запасов в составе оборотных средств составила 56 % или 722 млн. руб. Оборачиваемость запасов составила 27 дней, или ускорилась на 8 дней. Дебиторская задолженность составила 344 млн. рублей. Оборачиваемость дебиторской задолженности ускорилась на 5 дней и составила 19 дней. Кредиторская задолженность составила 722 млн. рублей. Снизилась по сравнению с 2006 годом на 256 млн. рублей. Время обращения кредиторской задолженности ускорилось на 7 дней и составило 31 день. Ускорение оборачиваемости составных частей имущества предприятия обусловлено существенным ростом выручки от реализации продукции за счет увеличения объемов сбыта. Просроченные дебиторская и кредиторская задолженности отсутствуют. Стоимость чистых активов с начала года увеличилась на 24 % и на конец 2007 г. составила 1 617 млн. руб. Чистый оборотный капитал (ЧОК) за отчетный год составил 411 млн. рублей. Коэффициент текущей ликвидности на конец периода составил 1,4. Коэффициент финансовой устойчивости достиг норматива и составил 0,7 (в 2006 году 0,63). Коэффициент финансовой независимости увеличился с 0,43 в 2006 г. до 0,53 в 2007 г. (при нормативе не менее 0,5). Коэффициент обеспеченности собственными средствами составил 0,32, в 2006 году составлял 0,29 (при нормативе больше или равном 0,1). EBITDA по сравнению с прошлым годом увеличилась на 20,2% и на конец отчетного периода составила 838 млн. рублей. Рентабельность показателя составила 7,8 %. Результаты финансово-хозяйственной деятельности за 2007 год отражают эффективное использование собственных и заемных средств. Деятельность предприятия рентабельна. Показатели платежеспособности характеризуют общество как финансово устойчивое и независимое, платежеспособное. Приоритетное направление инвестиционной деятельности в 2007 году повышение качества выпускаемой продукции и развитие мощностей по производству гидроцилиндров, самосвальных платформ повышенной грузоподъемности и низкопольных автобусов. Общий объем инвестиций за отчетный год составил 364,5 млн. руб. 1.6 Оценка технологии производства В структуре ОАО "НефАЗ" - пять независимых производств. Первое выпускает автомобили – самосвалы строительного и сельскохозяйственного назначения грузоподъемностью от 10 до 30 тонн, прицепы, полуприцепы – самосвалы. Здесь делают самосвалы среднего и переходного классов, идет освоение самосвалов тяжелого класса полной массой одиночного автомобиля до 33 тонн, а также автопоезда до 46 тонн. Второе производство занимается выпуском автомобилей, прицепов и полуприцепов цистерн для перевозки жидких грузов емкостью от 8 до 34 кубометров, в том числе на шасси и седельных тягачах тяжелого, среднего и переходного классов. На третьем производстве выпускаются автосалоны для перевозки рабочих бригад, грузопассажирские, спально – бытовые, а также салоны под спецоборудование. Четвертое направление – производство прицепов и полуприцепов общетранспортного назначения, тентовых и изометрических от 13,7 до 30 тонн. Все виды прицепов и полуприцепов комплектуются двух-, трехосными ходовыми тележками собственного производства, которые соответствуют общетехническим требованиям к перевозке крупно – габаритных и тяжеловесных грузов автомобильным транспортом на дорогах Российской Федерации. Пятое производство – выпуск пассажирских автобусов городского класса "НефАЗ – 5299" и пригородный "НефАЗ – 5299 – 01". Запущенное в 2001 году, автобусное производство с каждым годом увеличивает объемы производства. Завод располагает пластинчатыми механизированными конвейерами: - конвейер по сборке автосамосвалов на шасси КамАЗ, пропускная способность до 40,0 тыс. шт. в год длина конвейера – 80 метров; - конвейер по сборке полуприцепов – цистерн и автоцистерн пропускная способность до 8,0 тыс. шт. в год, длина конвейера – 90 метров; - конвейер по сборке вахтовых автобусов на шасси Урал, КамАЗ, ГАЗ, пропускная способность до 6,0 тыс. шт. в год, длина – 84 метра. За период работы предприятия в самосвальном производстве проведена реконструкция окрасочного комплекса подрамников, направленная на повышение качества подготовки поверхности перед нанесением лакокрасочных материалов. Реконструкция позволила заменить моечно-сушильные камеры на дробеструйные камеры фирмы SCHHLICK (Германия). Произведена замена камер грунтования, окраски, сушки с переводом на газовое топливо взамен электроэнергии. В производстве гидроцилиндров введены в эксплуатацию две авто магические линии по обработке корпусов и плунжеров, что позволило устранить разностенность при обточке. Приобретены токарные станки повышенной точности с ЧПУ для обработки канавок под манжеты, обрабатывающий центр 500V5 для обработки рамки гидроцилиндра, полировально шлифовальный станок фирмы LOESER (Германия) под финишную обработку плунжеров, третий стан холодной прокатки для обработки трубы 127x16. Закуплены две установки ионного азотирования и установка ТВЧ для плунжеров гидроцилиндров. Эти мероприятия позволяют обеспечить выпуск гидроцилиндров гарантированного качества в объемах 30 000 единиц в год. С целью повышения производительности и снижения затрат в заготовительном производстве закуплены два ленточно-отрезных станка для резки труб фирмы KALTENВАСН (Германия), два лазерных комплекса для резки металла фирмы TRUMPF(Германия), листогибочные пресса, трубогибочная машина с ЧПУ фирмы DYNABEND (Голландия) В сварочном производстве создана линия сборки сварки большем ручных платформ с мощностью выпуска 10 000 единиц в год. В производстве прицепной техники создана конвейерная линия по сборке осей и подкатных тележек с мощностью выпуска 15 000 единиц в год. Данная линия оснащена современным технологическим оборудованием и подвесным многошпиндельным инструментом. В производстве и автобусов создана линия по сборке сварке модульных низкопольных автобусов с камерой для грунтовки каркаса и сварочными стендами. 2. Управление предприятиями в условиях кризиса: теория и практика 2.1 Понятие кризиса, виды и особенности управления деятельностью предприятия в условиях кризиса Прежде чем говорить о кризисном менеджменте, необходимо в первую очередь дать четкое определение понятию "кризис", а точнее, в нашем случае - понятию "экономический кризис хозяйствующего субъекта". Удивительно, но ни фундаментальные Большая советская энциклопедия и EncyclopaediaBritannica, ни специализированный Современный экономический словарь не дают определения этому базовому понятию. Определение можно найти в Словаре русского языка С, И. Ожегова: "резкий, крутой перелом в чем-нибудь"[16, с. 263] . Советский энциклопедический словарь дает похожую трактовку [19 , с. 653] : "резкий, крутой перелом в чем-либо, тяжелое переходное состояние", "острое затруднение в чем-либо, тяжелое положение". Аналогичную интерпретацию дает и Webster's International Dictionary of the English Language: "переломный момент в лучшую или худшую сторону", "болезненный период", "решающий момент" [22 , с. 537] . Все перечисленные трактовки соответствуют одному из значений греческого слова. Таким образом, кризисом, в его классическом определении, является не только смена позитивной тенденции на негативную (как это обычно воспринимается), но также и наоборот: смена негативной тенденции на позитивную (разумеется, при том условии, что "смена" носит действительно "решающий, переломный" характер, а не является лишь небольшим отклонением от строго направленного тренда). Таким образом, действия менеджмента предприятия, направленные на предотвращение ухудшения состояния этого предприятия и, разумеется, на улучшение его (начиная с определенного переломного момента), фактически направлены на создание кризисной ситуации на предприятии. Указанной деятельности соответствует другое значение греческого слова "кршц" — "суждение, мнение, решение, критика". Этот кажущийся парадокс объясняется тем, что любая тенденция (в том числе и негативная) носит устойчивый, в той или иной степени, характер. Любые же попытки нарушить эту тенденцию (даже в самых благих намерениях) автоматически ведут и к нарушению устойчивости и, скорее всего, к кризису. Это подтверждает тот факт, что основной характеристикой кризисной ситуации является неустойчивость ее состояния, подверженность внешним и внутренним воздействиям. Р. А. Попов, в частности, писал: "Кризисное состояние организации - это такое ее положение, в котором базовые параметры -платежный баланс, объемы производства и продаж, трудозанятость персонала - находятся в неустойчивом состоянии, из которого она может быть выведена сравнительно незначительными внутренними или внешними воздействиями, следствием чего становится переход ее в другое качество" [6, с. 17-18] . Понятие кризиса достаточно многогранно, поэтому существует целый ряд классификаций кризиса по различным основаниям. 1. По объекту: а) экономические; б) социальные; в) политические и др. [17, с. 14] . 2. Экономические кризисы, в свою очередь, по объекту: а) макроэкономические; б) микроэкономические (кризис хозяйствующего субъекта); в) смешанные. 3. Кризисы хозяйствующего субъекта, в свою очередь, по глубине: а) "кризис для собственников" - характеризуется ухудшением финансово-экономического состояния, которое пока не сказывается на расчетах с кредиторами. Иначе говоря, инвесторы предприятия не получают ожидаемый доход - он меньше величины дохода от какого-либо иного альтернативного источника, взятого в качестве базы для сравнения; б) "кризис для кредиторов" - характеризуется несвоевременным или частичным удовлетворением требований кредиторов. Однако в этом случае предприятие все еще является самостоятельно действующим хозяйствующим субъектом, управляемым собственником посредством наемного менеджмента; в) "законодательное регулирование" - наступает после возбуждения арбитражным судом процедуры банкротства в отношении предприятия-должника, В данном случае сфера управленческих воздействий со стороны собственников предприятия законодательно ограничена в целях защиты интересов кредитора [10, с. 109-113]. Некоторыми исследователями [7, с. 34] выделяются те же стадии, однако понятие "кризис" в них неправомерно заменяется другим понятием - "банкротство": допустимое банкротство, критическое банкротство, катастрофическое банкротство. Похожая классификация кризисов хозяйствующего субъекта по глубине приведена Н. Томом и И. Кацом: а) кризис ликвидности - реальная потеря платежеспособности, необходимы срочные меры, иначе предприятие будет вынуждено уйти с рынка; б) кризис успеха - характеризуется явным негативным отклонением фактического состояния от запланированного (например, по показателям продаж, денежных поступлений, прибыли, рентабельности и т. д.); в) кризис стратегии - происходят сбои в развитии предприятия, снижается потенциал успеха, ослабевают защитные возможности в конкурентной борьбе, хотя положение предприятия в данный момент (ситуация успеха) может казаться вполне удовлетворительным. Намечающийся разрыв между вероятными и желаемыми результатами может быть ликвидирован лишь путем изменения прежней или принятия новой ориентации (например, выход на новые рынки, технологические инновации), причем процесс, как правило, рассчитан на многие годы. На Западе же (Booth, 1993 [44 , с. 86-88] ; KouzminandJarman, 1992; Selbst, 1978) кризис по глубине протекания принято подразделять на: подкрадывающийся кризис ("CreepingCrisis"); рутинный кризис ("RoutinisedCrisis"); неожиданная полнаяугроза ("Completely Unexpected SuddenThreat"). 4. Кризисы хозяйствующего субъекта, в зависимости от стадии развития организации [16, с. 2-8] : а) кризис лидерства - наступает в конце первой стадии развития организации "развития на основе творчества", когда возникает острая необходимость в формализации основных идей, функций и направлений деятельности; б) кризис автономии - знаменует собой окончание второй стадии развития организации "развития, основанного на руководстве",когда степень бюрократизации организации превышает допустимый уровень; в) кризис контроля - завершает третью стадию "развитие, основанное на делегировании" и характеризуется плохой управляемостью (контролем) организацией, за ним следует новая стадия эволюционного развития организации - "развитие, основанное на координации", которая, по мнению автора, и является лучшим временем для проведения структурных преобразований; г) кризис границ - наступает, когда развитие на основе координации полностью исчерпывает себя и организация оказывается перед угрозой распада на отдельные структурные подразделения, выходом из сложившейся ситуации становится следующая стадия -"развитие, основанное на сотрудничестве"; д) кризис психологической усталости и доверия - является последним кризисным явлением в процессе развития организации, за которым следует либо смерть организации, либо переход ее в качественно новое состояние - "дуальную структуру", основанную на"привычках" (для осуществления ежедневной рутинной работы)и "рефлексии" (для стратегически новых видов деятельности и личного духовного обогащения). 5. По длительности: а) краткосрочные; б) среднесрочные; в) долгосрочные; г) сверхсрочные [6, с. 15]. 6. По природе: а) циклические (систематические, регулярные); б) несистематические (нерегулярные). 7. Циклические кризисы также дифференцируются в зависимости от длительности цикла: а) короткие циклы ("циклы Китчина") - период 3 года и 4 месяца; б) средние циклы ("циклы Жугляра") - период 10 лет; в) длинные циклы ("циклы Кондратьева") - период 48-55 лет. 8. По характеру (согласно теории А. А. Богданова): а) "конъюгационные" - соединительные; б) "дезюнктивные" - разделительные [27, с. 176]. 9. По характеру (согласно теории Ю. В. Яковцева): а) кризисы, предшествующие новому этапу в развитии системы; б) кризисы, предшествующие гибели, распаду системы. 10. По характеру (согласно авторской теории): а) негативные - смена позитивной тенденции на негативную; б) позитивные - смена негативной тенденции на позитивную. 11. По степени взаимозависимости: а) независимые; б) совпадающие; в) взаимодействующие [6, с. 15]. 12. По охвату: а) кризисы отдельных систем; б) структурные кризисы. В нашем случае, говоря о системе кризисного менеджмента, мы сузим поле исследования до одного наиболее типичного вида кризиса: негативного экономического кризиса конкретного хозяйствующего субъекта. Кризисные ситуации возникают на всех стадиях жизненного цикла предприятия. Каждая следующая фаза жизненного цикла становится возможной только в результате преодоления возникающих кризисных явлений. В противоположном случае традиционная последовательность фаз развития может быть нарушена вследствие рыночного спада, закрытия предприятия или его перехода к новому собственнику [39]. При управлении кризисным развитием следует учитывать такие особенности: - соотношение количества и силы исходных экономических явлений; - степень влияния активов внешней и внутренней среды; - интенсивность процесса возникновения промежуточных экономических явлений; - значимость каждого фактора состояния предприятия конкретно для данного предприятия и данной отрасли экономики [39]. Антикризисное управление по своей природе является стратегическим и должно базироваться на основе использования сбалансированных и обоснованных стратегий. В экономической литературе существует достаточно большое количество определений стратегии, различных по своей сути и отражающих философские, процессуальные, поведенческие, результативные, структурные и другие аспекты данной категории. Наиболее часто используется определение, согласно которому стратегия - это долгосрочный курс развития предприятия, способ достижения перспективных целей, которые предприятие определяет для себя самостоятельно, руководитель собственными размышлениями в рамках своей политики [59]. Можно сказать, что стратегия: - дает определение основных направлений и путей достижения целей выживания и развития предприятия в долгосрочной перспективе на основе концентрации усилий на определенных приоритетах; - является способом установления взаимодействия предприятия с внешней средой; - формируется на основе обобщенной, не всегда полной и достаточной информации; - постоянно уточняется в процессе деятельности, чему благоприятствуют налаженные обратные связи; - имеет слаженную внутреннюю структуру; - является основой для разработки стратегических планов, проектов; - является основным содержательным элементом деятельности высшего руководства [58]. Наиболее распространенные стратегии, используемые в бизнесе, называются общими [59]. Различают три основных типа общих стратегий: 1) стратегия роста - базируется на увеличении масштабов деятельности предприятия. Стратегия роста требует устойчивых конкурентных преимуществ, является высокоэффективной на быстрорастущих рынках; 2) стратегия стабильности - представляет собой сосредоточение на существующих видах деятельности, а так же сохранение товарного ассортимента, реализуемого на традиционных рынках сбыта; 3) стратегия сокращения - применяется в тех случаях, когда традиционная деятельность предприятия на традиционных рынках становится невозможной. Общие стратегии роста отражают три различных подхода к росту предприятия и связаны с изменением состоянием одного или нескольких из следующих элементов: продукт, рынок, отрасль, положение предприятии внутри отрасли, технология [16]. Первую группу общих стратегий роста составляют стратегии концентрированного (интенсивного) роста, которые используются в случае, если предприятие не полностью исчерпало свои возможности, присущие его нынешним товарам и рынкам. К этой группе относятся [59]: - стратегия глубокого внедрения на рынок, который состоит в сохранении постоянного круга потребителей и реализации им одного и того же ассортимента товаров путем увеличения числа покупателей, привлечения на свою сторону покупателей конкурентов. Преимуществом данной стратегии является концентрация на одном продукте, едином рынке, единой технологии, на протяжении всего процесса производства; - стратегия развития рынка сбыта - часто используемая при географическом расширении, когда продажи начинают с местного рынка, затем предприятие выходит на региональный уровень, а потом - работает в национальном масштабе. Кроме того, данная стратегия фокусирует внимание на привлечении новых рынков к уже существующему продукту, используя новые каналы распределения, рекламу в различных средствах массовой информации; - стратегия развития продукта включает в себя модификацию существующих или создание новых, но похожих товаров, которые могут быть проданы нынешним покупателям по уже установленным каналам сбыта. Лавная идея заключается в том, чтобы привлечь к новому товару клиентов, которые были удовлетворены товарами, предлагаемыми потребителям ранее. Вторая группа - это стратегии интегрированного роста, которые оправданы в тех случаях, если отрасль, в которой действует предприятие, имеет перспективы прогресса. Цель данных стратегий - рост в пределах индустриальной цепочки. Разновидностями стратегии интегрированного роста являются [59]: - вертикальная интеграция используется, когда предприятие может увеличить прибыль путем приобретения поставщиков или системы распределения товаров или приобретение контроля над деятельностью; - горизонтальная интеграция ставит своей целью усиление позиций предприятия путем приобретения контроля над деятельностью предприятий-конкурентов, что может быть осуществлено путем слияния, поглощения, создания совместных предприятий. Такое приобретение может обеспечить доступ к новым рынкам, устранить некоторых конкурентов, дать возможность предприятию достичь экономии в масштабных процессах. 2.2 Анализ кризисных тенденций Проведенный анализ позволил выделить, что в деятельности ОАО "НефАЗ" можно выделить такие локальные системы проявления кризисных явлений: - кризис сбыта, вызванный несоответствием объема и структуры производимой продукции объему и структуре спроса. В настоящее время в связи с продолжающимся финансовым кризисом сокращается объем продаж за счет сокращения госзаказа и сокращения платежеспособности иных потребителей продукции; - кризис деятельности, связанный с сокращением основных показателей деятельности предприятия (например, таких, как прибыль на рубль выручки, уровень затрат, и пр.), то есть с нарушением соответствия между возможностями производственной системы и их реализацией в рамках избранной линии рынка, ассортиментной или региональной политики; - финансовый кризис, который проявляется в невозможности получения необходимых финансовых ресурсов. Данный вид кризисных тенденций сформирован в результате развития финансового кризиса, усиления неплатежей; - управленческий кризис, вызванный несоответствием средств управления предприятием с его стратегическими целями, численностью персонала и т.д. Данный вид кризиса заключается в несоответствии стратегических планов предприятия с его текущим состоянием: возникает выбор сокращения производства и сокращения численности сотрудников, в то время как планировалось – увеличение обоих показателей; - кризис организационной структуры управления, причиной которого является несоответствие между внутренней организационной структурой управления и масштабами деятельности предприятия, характеристиками его ресурсного потенциала. Кризис связан с предыдущим. Заключается в необходимости изменения структуры управления в соответствии с современными производственными возможностями и возможностями сбыта продукции; - кризис платежеспособности, определяемый как несоответствие между денежными доходами и расходами предприятия, которое приводит к периодической или постоянной невозможности финансирования деятельности и выполнения принятых внешних обязательств. Проведенный анализ позволил выявить, что в деятельности ОАО "НефАЗ" можно выделить наличие кризиса деятельности (рисунок 6).
Рис. 6. Показатели, определяющие кризис деятельности ОАО "НефАЗ" Кризис деятельности ОАО "НефАЗ" связан с сокращением или увеличением основных показателей деятельности предприятия - прибыли на рубль выручки, уровня затрат, чистой прибыли на рубль выручки. В ОАО "НефАЗ" это приводит к нарушению соответствия между возможностями производственной системы и их реализацией в рамках избранной линии рынка. Проанализируем проблему. ОАО "НефАЗ" было создано, как самодостаточная вертикально-интегрированная структура с объединёнными стадиями производства и сбыта продукции, что в максимальной степени соответствовало условиям сохранения контроля за товародвижением и формированием финансовых потоков в контуре одной организации. Основное влияние на эффективность функционирования предприятия оказывает система снабжения. Проведенный анализ позволил выявить основные проблемы в организации системы снабжения ОАО "НефАЗ", которые можно отразить на рисунке 7.
Рис. 7. Основные проблемы в организации системы снабжения ОАО "НефАЗ" Реализация системы снабжения осуществляется персоналом. Оценка качества потенциала работников ОАО "НефАЗ", обеспечивающих функционирование цепи поставок выявило, что для предприятия необходимо привести в стратегическое соответствие имеющиеся ресурсы – команды менеджеров, функционирование бизнес подразделений, вспомогательные службы, информационные технологии, набор и обучение персонала, – сфокусировать их на реализации задачи эффективного управления интегрированной цепью поставок. Организационная структура Управления производственно-технического обеспечения и комплектации ОАО "НефАЗ", должна отвечать нормативным требованиям организации материально-технического снабжения. В то же время, в организации можно выявить несоответствие структуры управления потребностям предприятия в материально-техническом обеспечении. В ОАО "НефАЗ" нет общей стратегии управления использованием материалов. В то же время она должна складываться из учёта приоритетов и взаимодействия финансового, операционного и логистического управления. В ОАО "НефАЗ" отсутствуют четкие качественные характеристики работников, которые непосредственно связаны с организацией процесса управления отношениями с поставщиками. В ОАО "НефАЗ" также отсутствуют критерии выбора поставщиков, алгоритм решения задачи информационного обеспечения при исследовании рынка закупок, алгоритм выбора поставщика на основе рейтинговой оценки факторов для предприятия, цели и показатели управления отношениями с поставщиками. Для успешной организации работы в интегрированной цепи поставок работники службы снабжения должны овладеть указанным инструментарием. Таким образом, проведенный анализ состояния и развития системы материально-технического обеспечения ОАО "НефАЗ" позволил определить проблемы и выявить мероприятия по её реорганизации с целью более рационального управления запасами в интегрированной цепи поставок. 3. Разработка и обоснование мероприятий по управлению ОАО "Нефаз" в условиях кризиса 3.1 Сущность предлагаемых мероприятий На выявленные проблемы в системе снабжения предприятием можно предложить следующие управленческие решения: - оптимизировать структуру управления в области снабжения; - разработать качественные характеристики работников, ответственных за взаимодействия с поставщиками; - разработать общую стратегию управления использованием материалов; - разработать критерии выбора поставщиков, алгоритм решения задачи информационного обеспечения при исследовании рынка закупок, алгоритм выбора поставщика на основе рейтинговой оценки факторов для предприятия, цели и показатели управления отношениями с поставщиками. Анализ практики и методов управления закупками в условиях ОАО "НефАЗ" позволил выделить основные методы и подходы в управлении закупками: - уменьшение глубины производства при одновременном сокращении количества поставщиков, и установление прочных связей с ними; - процессный подход к управлению, который затрагивает и системы управления закупками (СУЗ); - выстраивание цепочки поставок; - разработка системы управления рисками в области закупок; - новые информационные технологии (например, развитие электронных закупок, экспертных систем по выбору поставщиков). - фокусирование управления закупками на определенных группах материалов (например, с этим связана концепция С-менеджмент); - методы управления закупками, связанные с децентрализацией закупок (концепция "ведущего закупщика"); - разработка показателей, которые необходимы для оценки деятельности отделов закупки, сотрудников, всех подпроцессов закупки. В этой связи можно выделить два разрабатываемых варианта решения: - оптимизация процесса закупок на основе контроллинга закупок; - создание интегрированных систем формирования ценности цепи поставок. Так как СУЗ ОАО "НефАЗ" представляется сложно организованной, то для ее эффективного функционирования и совершенствования предлагается использовать концепцию контроллинга, которая позволяет интегрировать основные методы и подходы в управлении закупками. Роль контроллинга закупок возрастает в связи с переходом большинства крупных и средних предприятий промышленности к децентрализованной модели управления закупками, при которой некоторые профильные подразделения осуществляют закупки в своей сфере компетенции, что требует координации разных подразделений в процессе реализации функции закупки и информационной прозрачности СУЗ. Предлагаемая концепция контроллинга закупок ОАО "НефАЗ", позволяет реализовать важные для СУЗ цели и принципы с помощью комплексного использования инструментов контроллинга, то есть известных методов, подходов, моделей (рисунок 8). Среди них выделены основные этапы: - гармонизация целей внешних и внутренних клиентов с точки зрения СУЗ; - разработка общей концепции СУЗ (включает в себя разработку стратегии СУЗ с учетом существующих и потенциальных рисков для СУЗ и разработку общей модели закупок); - анализ бизнес-процессов закупки; - формулирование целевых показателей СУЗ.
Рис. 8. Предлагаемые цели, функции и инструменты контроллинга закупок ОАО "НефАЗ" Для реализации предлагаемых мероприятий разработаны следующие основные показатели, в политике ОАО "НефАЗ" в сфере снабжения (приложение 2). Можно предложить ряд этапов совершенствования СУЗ ОАО "НефАЗ" на основе концепции контроллинга (рисунок 9).
Рис. 9. Основные этапы совершенствования СУЗ ОАО "НефАЗ" на основе концепции контроллинга В конечном итоге бизнес-процесс закупки в ОАО "НефАЗ" может быть представлен в виде модели (приложение 3). В данной модели учтены современные методы и подходы в управлении закупками, например, необходимость консолидации потребности разных подразделений в ТМЦ. Особое внимание в процессе уделено схеме потоков закупаемых ТМЦ и выявлению так называемых критических точек, то есть недопустимых ситуаций в процессе закупок в ОАО "НефАЗ" (например: дефицит ТМЦ, повышенные риски, неудачный выбор поставщика). Исходными положениями для данной модели приняты следующие: - подразделение закупок не занимается планированием. Все планирование осуществляется другим подразделением, на основе информации, внесенной в информационную систему, и с использованием различных алгоритмов (например, на основе MRP, точки заказа, и т.д.); - под заявкой понимаются заказы на закупку подразделений, планирование которых по MRP-алгоритму (или другому алгоритму) нецелесообразно. Заявки должны быть утверждены ответственными лицами подразделений, для которых должен быть установлен максимальный денежный лимит заявок. Разработанная модель позволит ОАО "НефАЗ": - выявить пересечения функций и возможные конфликты между подразделениями (сотрудниками, элементами бизнес-процессов); - применить метод учета затрат по процессам; - идентифицировать возможные риски в соответствии с подпроцессами, что позволит более эффективно управлять рисками; - описать конкретный алгоритм взаимодействия подразделений в функционально-ориентированной организационной структуре, и стать базой для разработки информационной системы для закупок, а также стандартов (регламентов) процесса закупок. При решении проблем снабжения по второму варианту , предложена концепция "Системы формирования ценности" взаимосвязанная и взаимозависимая совокупность организаций, ресурсов и потоков знаний, участвующая в создании доставки ценности конечным потребителям (рисунок 10).
Рис. 10. Предлагаемая модель создания интегрированных систем формирования ценности цепи поставок для ОАО "НефАЗ" Системы формирования ценности объединяют действия, выполняемые в цепи поставок, начиная с запросов потребителей, разработки конкретных продуктов и услуг, производства или операций и заканчивая распределением поставщиков первого, второго и третьего уровней (поставщиков, субпоставщиков и т.д.). Способность оценки позиционирования организаций в цепи поставок, позволит обеспечить наивысшие уровни потребительской ценности, при условии эффективного использования компетенций всех организаций, участвующих в данной цепи. Совершенствование производственных процессов, по нашему мнению, представляет собой основную задачу в управлении цепями поставок в ОАО "НефАЗ". На рис. 10 представлена предлагаемая модель создания интегрированных систем формирования ценности, которая представляет собой последовательность действий и стратегий, выполнение которых необходимо для успешной реорганизации действующей цепи поставок в ОАО "НефАЗ". Отображённые процессы заключаются в оптимизации координирования разных производственных функций. В ОАО "НефАЗ" должен быть создан логистический центр, функционирующий как адаптер информации в целях рациональной организации управления составляющих (материальной, информационной и финансовой) потокового процесса, реализующих сложное переплетение прямых (по технологии), обратных и косвенных хозяйственных связей между множеством участников воспроизводственного цикла, разнообразных субподрядчиков, соисполнителей и временных сотрудников. Для обеспечения генерации инновационных процессов ОАО "НефАЗ" предлагается заключить контракт с внешним провайдером логистических услуг, который является составной частью производствено-инновационо-научного комплекса. Таким образом, логистический центр ОАО "НефАЗ" и провайдер логистических услуг выполняют двуединую функцию системного интегратора в цепи поставок, – настраивающую в соответствии с внешними изменениями спроса и предложения, и как результат инновационных воздействий на систему – организующую (рисунок 11). Совершенствование производственных процессов неэффективно без опережающего развития нематериальных активов предприятия. Основным фактором использования информационных систем для успешного функционирования цепи поставок является потребность в практически идеальных связях, как внутри организаций, так и между ними. Информационная система – это фундаментальное звено, которое связывает организации, входящие в цепь поставок, в одну унифицированную и скоординированную систему. Информационная прозрачность системы предполагает приведение корпоративных стратегий в соответствие с парадигмой информационной технологии – создание для функциональных подразделений стимулов, которые побуждали бы их стремиться к достижению общих целей за счёт совместного использования информации, внедрения технологий, направленных на оптимизацию движения запасов для максимизации ценности каналов доставки и сокращения затрат.
Рис. 11. Предлагаемая модель управления отношениями в цепи поставок ОАО "НефАЗ" Виртуализация бизнеса предполагает экономическую деятельность в режиме реального времени и основана на принципе немедленного реагирования на рыночное событие. Переход от товарно-ориентированной деятельности к клиентно-ориентированной требует от работников МТС не только значительного роста уровня интеллектуального капитала (знания, навыки, квалификация), но и развития креативных способностей его реализации. Взаимоотношения основываются на идеях, компетентности и партнёрстве работников организаций – участников цепи поставок, большая часть работ происходит в сознании человека или в информационном пространстве. В этой связи можно выделить новые задачи, решение которых требует от работников МТС более высокого уровня интеллектульно-креативного потенциала: развитие системы отношений и организационное оформление участников цепи поставок (соглашения о партнёрстве), развитие организации по пути инсорсинга или аутсорсинга, выбор между минимизацией или оптимизацией запасов, оценка с помощью системы сбалансированных показателей эффективности управления цепями поставок. Эффективность любых методов управления в значительной мере зависит от системы выявления факторов затрат. Новые методы, связанные с управлением затратами, строятся на непосредственном участии трёх и больше партнёров, пытающихся совместно выявить пути и способы сокращения затрат. Для поддержки принятия решения об использовании внешних и внутренних источников предлагается использовать метод совокупной стоимости приобретения. Эта модель изменяет саму основу принятия решений, используя подход, стимулирующий сокращение совокупных затрат в цепи поставок и наращивание совместных конкурентных преимуществ при движении материалов и информации от поставщика к потребителю. Управление цепями поставок требует наличия средств, позволяющих оценивать эффективность цепи поставок в целом и решать главную задачу – успешно удовлетворять запросы потребителя. Необходимо уметь оценивать относительный вклад отдельных организаций в создание интегрированной стоимости цепи поставок. Для решения этих задач необходима система измерения эффективности, которая не только применима на нескольких уровнях организационного управления, но и способна интегрировать многоуровневую операционную деятельность для достижения целей организаций, входящих в цепь поставок. Это означает, что можно предложить следующую модель управления ОАО "НефАЗ" с применением типовых показателей эффективности в цепи поставок для четырёх составляющих функционирования производственной системы (рисунок 12).
Рис. 12. Предлагаемая модель управления ОАО "НефАЗ" с применением показателей эффективности в цепи поставок После предлагаемых мероприятий механизм управления системой закупок ОАО "НефАЗ" при оценке поставщиков будет представлен на рисунке 13.
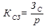
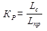
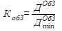
Рис. 13. Предлагаемый алгоритм управления закупками ОАО "НефАЗ" (сплошная линия – этапы, предлагаемые в рамках функционального подхода, пунктирная линия – этапы, общепринятые в экономической литературе) Согласно современной концепции логистики производитель материальных ресурсов, предприятие-товаропроизводитель, потребитель и посредники создают единую логистическую цепочку поставок, следовательно, при анализе поставщика необходимо анализировать производителя материальных ресурсов и посредников, включенных в создаваемую логистическую цепь. Наличие посредников обусловлено тем, что они берут на себя часть функций производителя материальных ресурсов. Поэтому при оценке возможных источников поставок при наличии посредника между производителем сырья и предприятием предлагается оценить целесообразность наличия данного посредника. Если его использование не несет видимой пользы для предприятия, то от его услуг необходимо отказаться. Тогда оценка поставщика проводится по всем функциям, которые он выполняет. Производственная функция предполагает комплекс действий поставщика, направленный на обеспечение сырья, материалов и комплектующих определенными функциональными и потребительскими характеристиками. Для производственной функции можно выделить две группы показателей, характеризующих эффективность ее выполнения поставщиком: производственно-закупочные и производственно - эксплуатационные. Первая группа позволяет оценить деятельность поставщика на любом этапе работы с ним и включает показатели, выявляемые на стадии закупки материальных ресурсов, которыми являются следующие: 1. Коэффициент системы качества – значение данного критерия будет зависеть от наличия сертификата системы менеджмента качества у поставщика: при наличии международного сертификата системы качества Кск =0, сертификата Госстандарта РФ Кск =1, если нет сертификата, ведется подготовка к сертификации Кск =2. 2. Коэффициент цены – характеризует уровень цены данного поставщика к минимально возможной цене при данных условиях или минимальной цене, предлагаемой оцениваемыми поставщиками:
где Цi тек – цена в текущем периоде; Цmin - минимальная цена i-го вида ресурса. 3. Коэффициент качества – характеризует уровень качества поставляемого данным поставщиком сырья к максимально возможному качеству при данных условиях или предлагаемого оцениваемыми поставщиками:
где Б% – процент забракованной продукции, поставляемой оцениваемым поставщиком, выявленный на входном контроле; Бmin % – минимальный процент забракованной продукции, поставляемой поставщиками. 4. Коэффициент сроков замены продукции ненадлежащего качества – характеризуется гибким реагированием на претензии потребителя после уведомления о поставке несоответствующей продукции при замене в срок до 5 дней Кл =0; до 10 дней Кл =0,25; до 15 дней Кл =0,5; до 20 дней Кл =0,75; более 20 дней Кл =1. Вторая группа позволяет оценить работу поставщика на следующих уровнях логистической цепи и включает показатели, характеризующие его деятельность на стадии производства материальных ресурсов и на стадии эксплуатации готовой продукции. К ним относятся: 1. Коэффициент отказа (брака) материальных ресурсов в процессе производства – характеризуется уровнем качества материальных ресурсов, выявляемого на стадии производства готовой продукции:
где Бтек пр – процент брака материальных ресурсов, поставляемых данным поставщиком, выявленный в процессе производства; Бmin пр – минимальный процент брака, выявленный в процессе производства. 1. Коэффициент эксплуатационного брака – характеризует количество рекламаций от потребителей по отказу готовой продукции в процессе эксплуатации в связи с браком в материальных ресурсах:
где Бтек эксп , – процент брака материальных ресурсов, поставляемых данным поставщиком, выявленный в процессе анализа рекламаций; Бmin % – минимальный процент забракованной продукции по анализу рекламаций. Транспортная функция, выполняемая поставщиком, предполагает комплекс действий, направленных на обеспечение предприятия-заказчика в нужное время, в нужном месте необходимым объемом сырья, материалов и комплектующих с сохранением уровня качества поставляемой продукции. Показатели выполнения транспортной функции разработаны на основе составляющих транспортной функции, влияющих на качество ее выполнения: 1. Коэффициент сроков поставок характеризует готовность поставки в сжатые сроки. Данный показатель характеризует гибкость поставщика и важен при необходимости изменения в сроках поставки:
где Тi – минимальный срок поставок, предлагаемый оцениваемым поставщиком, дн.; Тmin – минимальный срок поставок, который использовался на предприятии, дн. 2. Стоимость поставок оценивается с помощью коэффициента стоимости транспортировки сырья. Если поставщик доставляет сырье, материалы и комплектующие до приемочного склада предприятия-заказчика за свой счет, то данный коэффициент равен нулю (т.е. стоимость доставки для данного предприятия нулевая):
где СТЗР –стоимость поставки 1 кг сырья, руб.; С–стоимость 1 кг сырья, руб. 3. Коэффициент своевременности поставки характеризует уровень опозданий в сроках поставок данного поставщика к минимально возможному сроку опозданий при данных условиях или предлагаемому оцениваемыми поставщиками:
где Оi 1п – количество опозданий на одну партию в поставках за текущий период у i-го поставщика; О1п min – минимальное количество опозданий на одну партию в поставках оцениваемых поставщиков. Складская функция – это комплекс действий поставщика, направленных на накопление запасов сырья, материалов и комплектующих, обеспечение их сохранности, осуществление необходимой подготовки к их транспортировке. Основными показателями, необходимыми при анализе складской функции, являются следующие: 1. Коэффициент стоимости разгрузочных работ характеризует отношение стоимости разгрузки партии сырья, поставляемой данным поставщиком к минимальной стоимости, имеющейся на предприятии:
где Рi – стоимость разгрузки партии сырья, поставляемой оцениваемым поставщиком, руб.; Рmin – минимальная стоимость разгрузки партии, имеющаяся в практике работы предприятия. 2. Коэффициент страхового запаса характеризует имеющиеся отклонения в интервалах поставки:
где ЗС – страховой запас, шт.; р – среднесуточное потребление материальных ресурсов. 3. Коэффициент комплектации отпускаемых единиц характеризует степень соответствия отпускаемых со склада поставщика объемов сырья производственным потребностям предприятия:
где Lс – размер отпускаемых со склада поставщика единиц сырья, материалов, в шт.; Lпр – размер необходимых партий сырья для производства. 4. Коэффициент длительности оборота запасов показывает отношение продолжительности оборота запасов при данном и минимальном объеме поставок:
где ДОбЗ – длительность одного оборота запасов у оцениваемого поставщика; ДОбЗ min – минимальная длительность оборота запасов у поставщиков. Интегральный показатель оценки поставщиков определяется по следующей формуле:
где xi – отклонение показателя (Кi ) от наименьшего (Кi н ):
Вес показателей (аi
) определяется исходя из того, что четыре группы функций имеют равный вес и Предлагаемые системы совершенствования процесса снабжения предприятия нацелены на оптимизацию эффективности использования его ресурсов. 3.2 Оценка экономической целесообразности предлагаемых мероприятий Следует отметить, что предлагаемые варианты совершенствования системы снабжения ОАО "НефАЗ" не являются затратными, поскольку: - предприятие имеет сформированную службу снабжения; - технически служба снабжения оснащена; - предприятие имеет достаточно широкий перечень поставщиков, с которыми налажены контакты. Изменение алгоритма в процессе поставок не будет служить источником дополнительных затрат для ОАО "НефАЗ". Отразим в таблице 9 основные показатели предлагаемых вариантов. Таблица 9Основные показатели предлагаемых вариантов
Таким образом, данные таблицы 9 позволяют выявить, что предлагаемые варианты отличаются лишь количественной оценкой показа-телей, используемых в качестве критериев выбора. Это означает, что использование в качестве критериев выбора комплексной системы показателей повышает эффективность процесса снабжения. Поэтому предложено реализовать второй вариант – - создание интегрированных систем формирования ценности цепи поставок. Одним из основных видов потребляемых им материальных ресурсов является металл кузовной, поставляемый пятью основными поставщиками. На основе данных работы поставщиков были получены следующие интегральные показатели оценки производственной, транспортной и складской функций (таблица 10). Таблица 10 Интегральный показатель оценки поставщиков ОАО "НефАЗ"
Обобщенные данные по выполняемым функциям показывают, что наилучшими поставщиками являются ОАО "Ревдинский завод ОЦМ" и поставляющий его продукцию посредник ООО "Химпромторг". Для определения эффективности выполнения каждой из рассмотренных функций в стоимостном выражении предлагается использовать такой показатель, как себестоимость производства единицы продукции. На ее размер во многом влияет реальная стоимость поставляемых материальных ресурсов с учетом логистических издержек. Алгоритм ее вычисления с учетом влияния основных функций, выполняемых элементами логистической цепи, представлен на рисунке 14.
Рис. 14. Алгоритм определения воздействия поставщика на стоимость поставляемых материальных ресурсов Результаты расчета влияния оцениваемых поставщиков ОАО "НефАЗ" на размер стоимости поставляемого металла кузовного по разработанному алгоритму представлены в виде таблицы 12. Согласно оценке поставщиков по методике функционального подхода, лучшим является ООО "Химпромторг". Такой же результат дает расчет стоимости поставляемого кузовного металла. Таблица12 Расчет стоимости поставляемого металла кузовного на ОАО "НефАЗ"
При формировании систем поставок предприятиям необходимо придерживаться двух основных условий. Во-первых, необходимо учитывать гибкость изменения основных показателей поставщиков по каждой функции и их совокупный показатель оценки; во-вторых, совокупные затраты на поставку материальных ресурсов от всех поставщиков по выполняемым функциям должны быть минимальными. Исходя из приведенного на рисунке 14 алгоритма, можно привести следующее условие формирования логистической цепи:
где
I, j, k – участники логистической цепи; n – количество участников логистической цепи. На основе полученных результатов оценки поставщиков, производственной мощности поставщиков, особенностей договорных отношений с ними и приведенного выше условия по формированию системы закупок, структуру закупок металла кузовного ОАО "НефАЗ" можно преобразовать следующим образом (рисунок 15, 16).
Рис.15. Структура закупок ОАО "НефАЗ" металла кузовного до внедрения новой схемы
Рис. 16. Структура закупок ОАО "НефАЗ" металла кузовного после внедрения новой схемы Эффект от внедрения новой схемы представлен в виде таблицы 13. При этом стоимость поставляемого металла кузовного рассчитывается исходя из данных таблицы 13. Таблица 13 Расчет общей стоимости поставок металла кузовного по разным схемам поставки
Таким образом, годовой экономический эффект от внедрения новой схемы поставок металла кузовного ОАО "НефАЗ" составит 2237 млн. руб. Отразим влияние предлагаемого мероприятия на результатах работы ОАО "НефАЗ". Таблица 14 Влияние предлагаемого мероприятия на результатах работы ОАО "НефАЗ"
Таким образом, данные показывают, что при проведении предлагаемых мероприятий кризис в деятельности предприятия будет существенно минимизирован. Это обусловлено сокращением затрат на 2,26 % и ростом прибыли на 24,42 % по сравнению с уровнем 2007 г. данное мероприятие позволит сократить уровень затрат, что позволит повысить величину чистой прибыли и увеличить долю чистой прибыли в 1 рубле выручки. Предлагаемый проект эффективен и может быть предложен к внедрению. Заключение Открытое акционерное общество "Нефтекамский автозавод" начал работу с осени 1977 года. ОАО "НефАЗ" осуществляет выпуск: автосамосвалов на шасси "КАМАЗ"; емкостно-наливной техники; транспортных полуприцепов и прицепов; пассажирских автобусов; сельскохозяйственной техники; запасных частей. Анализ производственной деятельности предприятия выявил, что в 2007 году в сравнении с 2006 годом увеличилось производство и реализация самосвальных установок на 18,6 %, полуприцепов транспортных на 71,8 %, прицепов транспортных на 40,2 %, корпусов цистерн на 36,5 %, вахтовых салонов на 4 %. Структура предприятия является линейно-функциональной. Подразделения, входящие в его состав объединены в три производственные комплекса: - комплекс автосамосвалов; - комплекс вахтовых автомобилей и цистерн; - автобусное производство. Для достижения основной цели кадровой политики ОАО НЕФАЗ реализуются задачи: - приведение численности и профессионального состава персонала в соответствие с потребностями производства; - улучшение качественного состава рабочих кадров специалистов и руководителей акционерного общества и создание условии стимулирующих рост профессиональной компетенции всего персонала; - предоставление работникам возможностей обучения и повышения квалификации; - социальная защита работников; - развитие системы мотивации персонала, которая позволяет каждому сотруднику рассчитывать на карьерный рост и вознаграждение соответствующее его профессиональному уровню и личному вкладу. Объем отгруженной продукции работ и услуг завода за 2007 г. составил 10 796 млн. руб., что выше чем за аналогичный период прошлою года на 34,3%. Индекс физического объема составил 124,4 %. Прибыль от продаж превысила прошлогодний результат на 30,1 % и составила 916 млн. руб. (за 2006 год 702 млн. руб.). Чистая прибыль за 2007 год составила 4 31 млн. руб., что выше, чем за аналогичный период прошлого года на 20,1 %. Рентабельность по чистой прибыли составила 4 %, а по прибыли от продаж – лишь 8 %. Проведенный анализ выявил наличие кризиса деятельности предприятия. Кризис деятельности ОАО "НефАЗ" связан с сокращением или увеличением основных показателей деятельности предприятия - прибыли на рубль выручки, уровня затрат, чистой прибыли на рубль выручки. В ОАО "НефАЗ" это приводит к нарушению соответствия между возможностями производственной системы и их реализацией в рамках избранной линии рынка. Поскольку основное влияние на эффективность функционирования предприятия оказывает система снабжения, в качестве ключевого фактора кризиса деятельности была рассмотрена именно она. Оценка качества потенциала работников ОАО "НефАЗ", обеспечивающих функционирование цепи поставок выявило, что для предприятия необходимо привести в стратегическое соответствие имеющиеся ресурсы – команды менеджеров, функционирование бизнес подразделений, вспомогательные службы, информационные технологии, набор и обучение персонала, – сфокусировать их на реализации задачи эффективного управления интегрированной цепью поставок. Организационная структура Управления производственно-технического обеспечения и комплектации ОАО "НефАЗ", должна отвечать нормативным требованиям организации материально-технического снабжения. В то же время, в организации можно выявить несоответствие структуры управления потребностям предприятия в материально-техническом обеспечении. В ОАО "НефАЗ" нет общей стратегии управления использованием материалов. В то же время она должна складываться из учёта приоритетов и взаимодействия финансового, операционного и логистического управления. В ОАО "НефАЗ" отсутствуют четкие качественные характеристики работников, которые непосредственно связанны с организацией процесса управления отношениями с поставщиками. В ОАО "НефАЗ" также отсутствуют критерии выбора поставщиков, алгоритм решения задачи информационного обеспечения при исследовании рынка закупок, алгоритм выбора поставщика на основе рейтинговой оценки факторов для предприятия, цели и показатели управления отношениями с поставщиками. Для успешной организации работы в интегрированной цепи поставок работники службы снабжения должны овладеть указанным инструментарием. Таким образом, проведенный анализ состояния и развития системы материально-технического обеспечения ОАО "НефАЗ" позволил определить проблемы и выявить мероприятия по её реорганизации с целью более рационального управления запасами в интегрированной цепи поставок. На выявленные проблемы в системе снабжения предприятием можно предложить следующие управленческие решения: - оптимизировать структуру управления в области снабжения; - разработать качественные характеристики работников, ответственных за взаимодействия с поставщиками; - разработать общую стратегию управления использованием материалов; - разработать критерии выбора поставщиков, алгоритм решения задачи информационного обеспечения при исследовании рынка закупок, алгоритм выбора поставщика на основе рейтинговой оценки факторов для предприятия, цели и показатели управления отношениями с поставщиками. В этой связи можно выделить два разрабатываемых варианта решения проблемы: - оптимизация процесса закупок на основе контроллинга закупок; - создание интегрированных систем формирования ценности цепи поставок. Следует отметить, что предлагаемые варианты совершенствования системы снабжения ОАО "НефАЗ" не являются затратными, поскольку: - предприятие имеет сформированную службу снабжения; - технически служба снабжения оснащена; - предприятие имеет достаточно широкий перечень поставщиков, с которыми налажены контакты. Изменение алгоритма в процессе поставок не будет служить источником дополнительных затрат для ОАО "НефАЗ". Предлагаемые варианты отличаются лишь количественной оценкой показателей, используемых в качестве критериев выбора. Это означает, что использование в качестве критериев выбора комплексной системы показателей повышает эффективность процесса снабжения. Поэтому предложено реализовать второй вариант – - создание интегрированных систем формирования ценности цепи поставок. Годовой экономический эффект от внедрения новой схемы поставок железа кузовного ОАО "НефАЗ" составит 223,7 млн. руб. Продолжительность процесса внедрения предлагаемых мероприятий займет 51 день, по истечении которого, при условии отсутствия сопротивления со стороны персонала, проект будет реализован. Список использованной литературы 1. О мерах по реализации законодательных актов о несостоятельности (банкротстве) предприятий: Указ Президента РФ от 22 декабря 1993 г. № 2264 /7 Гарант: Информ. [Компьютерная] база нормативных документов РФ. 2. О некоторых мерах по реализации законодательства о несостоятельности(банкротстве) предприятий: Постановление Правительства РФ от 20 мая 1994 г. № 498 // Гарант: Информ. [Компьютерная] база нормативных документов РФ. -[2001].[2] 3. О несостоятельности (банкротстве): Федеральный закон от 8 января 1998 г.№ 6-ФЗ Ч Гарант: Информ. [Компьютерная] база нормативных документов РФ. -[2001].[2] 4. О несостоятельности (банкротстве): Федеральный закон от 26 октября2002 г. № 127-ФЗ II Гарант: Информ. [Компьютерная] база нормативных документов РФ. - [2003].[2] 5. О несостоятельности (банкротстве) предприятий: Федеральный закон №3929-1 от 19 ноября 1992 года. 6. О реформе государственных предприятий: Указ Президента РФ от 23 мая1994 г. № 1003 // Гарант: Информ. [Компьютерная] база нормативных документов РФ. 7. Антикризисное управление / Под ред. А. М. Зобова. - М.: "ИНФРА-М",1999.-534с. 8. Антикризисное управление: Учебник / Под ред. Э. М. Короткова. - М.:"ИНФРА-М", 2000. - 464 с. 9. Антикризисное управление: Учеб. пособие для вузов / Под ред. Э. С. Минаева, В. П. Панагушина. - М.: "ПРИОР", 1999. - 432 с. 10. Антикризисное управление: от банкротства - к финансовому оздоровлению / Под ред. Г. П. Иванова. - М.: Закон и право. ЮНИТИ, 1995. - 320 с. 11. Антикризисное управление предприятиями и банками: Учебно-практ. пособие / Под ред. Г. К. Таля, Г. Б. Юна. - М.: Дело, 2001. - 840 с. 12. Баранов В. А. Антикризисное управление: Учеб. пособие. - М.: ИД ФБК-ПРЕСС, 2002.-520 с. 13. Белых Л. П., Федотова М, А. Реструктуризация предприятий: Учеб. пособие для вузов. - М.: "ЮНИТИ-ДАНА", 2001. - 399 с. 14. Бляхман Л. С. Основы функционального и антикризисного менеджмента: Учеб. пособие. - СПб.: Изд-во Михайлова В. А., 1999. - 380 с. 15. Валдайцев С. В. Оценка бизнеса и управление стоимостью предприятия: Учеб. пособие для вузов. - М.: "ЮНИТИ-ДАНА", 2001. - 720 с. 16. Виханский О. С., Наумов А. И. Менеджмент: Учебник для вузов. - 3-е изд. -М.: "Гардарика", 1998. - 528 с. 17. Гончаров В. В. В поисках совершенства управления: Руководство для высшего управленческого персонала. - М.: МНИИПУ, 1998. - в 2-х тт. [1 т. - 816 с.,2 т.-784 с.]. 18. Дьяченко А. В. Теория систем и некоторые экономические проблемы: Учеб. пособие. -Волгоград: Изд-во ВолГУ, 1996. - 120 с. 19. Катков В. Кто может провести реструктуризацию промышленного предприятия // Рынок ценных бумаг. Управление компанией. - 2002. - № 2. - С. 56-59. 20. Кац И. Антикризисное управление предприятием // Проблемы теории и практики управления. - 2003. -- № 2. - С. 82-85. 21. Кошкин В. И. и др. Антикризисное управление: 17-модульная программа для менеджеров "Управление развитием организации". Модуль 11. - М.:"ИНФРА-М", 1999. - 560 с. 22. Крутик А. Б., Муравьев А. И. Антикризисный менеджмент. - СПб.: "Питер", 2001. - 432 с. 23. Крюков А.Ф. О циклах производственно-экономического развития // Менеджмент в России и за рубежом. - 2000. - № 6. - С. 57-61. 24. Курс экономической теории: Учеб. пособие / Под ред. М. Н. Чепурина,Е, А. Киселевой. - Киров: Изд-во МГИМО, 1994. - 624 с. 25. Мерзликина Г. С., Семиккн Е. А. Теоретические вопросы реструктуризации: Учеб. пособие / ВолгГТУ. - Волгоград, 2001. - 88 с. 26. Мазур И. И., Шапиро В. Д. и др. Реструктуризация предприятий и компаний: Справочное пособие для специалистов и предпринимателей. - М.: Высшая школа, 2000. - 587 с. 27. Макконелл К. Р., Брю С. Л. Экономикс: принципы, проблемы и политика: Пер. с 13-го англ. изд. - М.: "ИНФРА-М", 2001. -974 с. 28. Новоселов Е. В, и др. Введение в специальность "Антикризисное управление": Учеб. пособие / Е. В. Новоселов, В. И. Романчин, А. С. Гарапанов, Г. А. Харламов. - М.: Дело, 2001. - 176 с. 29. Райзберг Б., Костецкий Я, Янковский Е. Антикризисное управление - основа оздоровления предприятий // Экономист. - 2000. - № 10. - С. 31-37. 30. Реструктуризация задолженности предприятия. - М.: АКДИ "Экономика и жизнь", 2000. - 156с. 31. Реструктурирование предприятия: рациональная система бизнес-единиц /Общественно-государственный фонд "Российский центр приватизации", консультационная компания "McKinsey & Со, Inc", - М.: Дело, 1996. - 198 с. 32. Реформирование и реструктуризация предприятия. Методика и опыт /В. Н. Тренев, В. А. Ириков, С. В. Ильдеменов и др. - М.: "ПРИОР", 1998. - 320 с. 33. Реформирование предприятий. Типовая программа. Методические рекомендации. Опыт реструктуризации: Сб. документов. - М.: ИЦ "Акционер", 2000. -142с. 34. Родионова Н. В. Антикризисный менеджмент. - ЮНИТИ, 2001. - 223 с. 35. Рябинин А., Калашникова Л. Социальная направленность и эффективность производства // РЭЖ. - 2001. - № 2. - С. 57-63. 36. Сио К. К. Управленческая экономика: Пер. с 7-го англ. изд. - М.: ИНФРА-М,2000.-671с. 37. Стивенсон В. Д,ж. Управление производством: Пер. с англ. - М.: ООО "Издательство "Лаборатория Базовых Знаний", ЗАО "Издательство БИНОМ". 1998. -928 с. 38. Стратегия и тактика антикризисного управления фирмой / Под ред. А. П. Г'ра-дова, Б. И. Кузина. - СПб.: Специальная Литература, 1996. - 510 с. 39. Таль Г. К. и др. Арбитражное управление: Практ. пособие / Г. К. Таль,В. В. Григорьев, Г. Б. Юн, В. А. Кравченко, Р. В. Кучева, В. И. Гусев, С. В. Кучева, А. Д. Бобрышев. Г. А. Гордиенко, В. М, Пчелинцев, А. П. Юзвик. - М.: Дело,2000.-384 с. 40. Теория и практика антикризисного управления: Учебник для вузов / Подред. С. Г. Беляева, В. И. Кошкина. - М.: Закон и право: "ЮНИТИ", 1996. - 469 с. 41. Уткин Э. А, Антикризисное управление. - М.: "ЭКМОС", 1997. - 400 с. 42. Финансовый менеджмент: теория и практика: Учебник / Под ред. Е. С. Стояновой. - 5-е изд., перераб и доп. - М.: Перспектива, 2000. - 656 с. 43. Яковлев В. А. Приоритеты и механизмы национальной программы вывода России из системного кризиса и перехода к устойчивому экономическому росту //"Круглый стол" Совета Федерации, Выпуск 6, 17 февраля 2009г. - С. 9.[www.governor.spbnevvs.ru]. Приложение 1 Первоочередные задачи управления деятельностью предприятия по преодолению основных угроз его существованию в условиях экономического кризиса
приложение 2 Задачи управления предприятием и компетенции, необходимые для их решения I. Финансовые задачи
II. Внутренние задачи. Управление организацией
III. Внешние задачи. Клиенты, рынки, поставщики
|
||||||||||||||||||||||||||||||||||||||||||||||||||||||||||||||||||||||||||||||||||||||||||||||||||||||||||||||||||||||||||||||||||||||||||||||||||||||||||||||||||||||||||||||||||||||||||||||||||||||||||||||||||||||||||||||||||||||||||||||||||||||||||||||||||||||||||||||||||||||||||||||||||||||||||||||||||||||||||||||||||||||||||||||||||||||||||||||||||||||||||||||||||||||||||||||||||||||||||||||||||||||||||||||||||||||||||||||||||||||||||||||||||||||||||||||||||||||||||||||||||||||||||||||||||||||||||||||||||||||||||||||||||||||













, (3)
,(4)




