Реферат: Устройство и применение высокочастотного выпрямителя
|
Название: Устройство и применение высокочастотного выпрямителя Раздел: Рефераты по коммуникации и связи Тип: реферат | ||||||||||||||||||
Омский Государственный Колледж Управления и Профессиональных Технологий Рефератна тему: Высокочастотные выпрямители Выполнил: студент группы ТО-31 Панечкин А.Е. Омск, 2010 Оглавление 1. Выпрямители.Классификация 2. Назначение и применение 3. Характеристики 4. Высокочастотные выпрямители 5. Пример высокочастотного выпрямителя 6. Литература 1. Выпрямители. Назначение и применение Выпрямитель электрического тока — преобразователь электрической энергии; механическое, электровакуумное, полупроводниковое или другое устройство, предназначенное для преобразования переменного входного электрического тока в постоянный выходной электрический ток. Большинство выпрямителей создаёт не постоянные, а пульсирующие однонаправленные напряжение и ток, для сглаживания пульсаций которых применяют фильтры. Выпрямители классифицируют по следующим признакам: - по виду переключателя выпрямляемого тока: · механические синхронные с щёточно-коллекторным коммутатором тока (применяются в коллекторных генераторах постоянного тока, в механических выпрямителях при производстве алюминия) · механические синхронные с контактным переключателем (выпрямителем) тока · с электронной управляемой коммутацией тока (например, тиристорные); · с электронной пассивной коммутацией тока (например, диодные); - по мощности: · силовые выпрямители (в силовой электронике, в энергетике) · выпрямители сигналов (в радиоэлектронике и автоматике) - по степени использования полупериодов переменного напряжения: · однополупериодные — пропускают в нагрузку только одну полуволну. Преимущество — минимум вентильных элементов. Недостаток — нагрузка трансформатора существенно зависит от фазы, из-за чего возникают дополнительные гармоники на выводах трансформатора. · двухполупериодные — пропускают в нагрузку обе полуволны. · неполноволновые — не полностью используют синусоидальные полуволны. · полноволновые — полностью используют синусоидальные полуволны. - по схеме выпрямления — мостовые, с умножением напряжения, трансформаторные, с гальванической развязкой, бестрансформаторные и т. д. - по количеству используемых фаз — однофазные, двухфазные, трёхфазные и многофазные - по типу электронного вентиля — полупроводниковые диодные, полупроводниковые тиристорные, ламповые диодные (кенотронные), газотронные, игнитронные, электрохимические и т. д. - по управляемости — неуправляемые (диодные), управляемые (тиристорные). - по количеству каналов — одноканальные, многоканальные. - по величине выпрямленного напряжения — низковольтные (до 100В), средневольтовые (от 100 до 1000В), высоковольтные (свыше 1000В). - по назначению — сварочный, для питания микроэлектронной схемы, для питания ламповых анодных цепей, для гальваники и пр. - по степени полноты мостов — полномостовые, полумостовые, четвертьмостовые. - по наличию устройств стабилизации — стабилизированные, нестабилизированные. - по управлению выходными параметрами — регулируемые, нерегулируемые. - по индикации выходных параметров — без индикации, с индикацией (аналоговой, цифровой). - по способу соединения — параллельные, последовательные, параллельно-последовательные. - по способу объединения — раздельные, объединённые звёздами, объединённые кольцами. - по частоте выпрямляемого тока — низкочастотные, среднечастотные, высокочастотные. 1.Назначение и применение Выпрямители обычно используются там, где нужно преобразовать переменный ток в постоянный ток. Применение выпрямителей: - Блоки питания аппаратуры · Блоки питания промышленной и бытовой радио- и электроаппаратуры (в т.ч. так называемые адаптеры (англ. AC-DC adaptor)). · Блоки питания бортовой радиоэлектронной аппаратуры транспортных средств. - Выпрямители электросиловых установок · Выпрямители питания главных двигателей постоянного тока автономных транспортных средств и буровых станков. · Преобразователи бортового электроснабжения постоянного тока автономных транспортных средств: автотракторной, железнодорожной, водной, авиационной и другой техники. - Сварочные аппараты Сюда относятся выпрямительные установки для: · железнодорожной тяги · городского электротранспорта · электролиза (производство алюминия, хлора, едкого натра и др.) · питания приводов прокатных станов · возбуждения генераторов электростанций - Вентильные блоки преобразовательных подстанций систем энергоснабжения · Для питания главных двигателей постоянного тока прокатных станов, кранов и другой техники · Энергоснабжение заводов осуществляется электросетью переменного тока, но для приводов прокатных станов и других агрегатов выгоднее использовать двигатели постоянного тока по той же причине, что и для двигателей транспортных средств. · Для гальванических ванн (электролизёров) для получения цветных металлов и стали, нанесения металлических покрытий и гальванопластики. · Установки электростатической очистки промышленных газов (электростатический фильтр) · Установки очистки и обессоливания воды · Для электроснабжения контактных сетей электротранспорта постоянного тока (трамвай, троллейбус, электровоз, метро) · Для несинхронной связи энергосистем переменного тока · Для дальней передачи электроэнергии постоянным током - Выпрямители высокочастотных колебаний В составе ректенн: · в перспективных системах сбора энергии окружающих шумовых электромагнитных сигналов. · в перспективных системах беспроводной передачи электроэнергии. 2. Характеристики Характеристики выпрямителей: · Номинальное выходное напряжение постоянного тока и допустимый диапазон его изменения; · Номинальный ток нагрузки; · Диапазон эффективного входного напряжения переменного тока (например 220 В ± 10%); · Допустимая выходная пульсация, её амплитудно-частотные характеристики; · Нагрузочная характеристика. · Эквивалентное внутреннее комплексное (в первом приближении активное) сопротивление. · Коэффициент использования габаритной мощности трансформатора. 3. Высокочастотные выпрямители Классическим решением проблемы улучшения гармонического состава потребляемого тока может служить применение входных фильтров. Однако, так как частота питающей сети достаточно мала, массогабаритные показатели фильтров будут большими. Для их снижения необходимо увеличить рабочую частоту, для чего в схему вводят силовой ключ (S), управляемый по определенному закону (рис. 1). В результате дроссель фильтра может выполнять две функции: фильтровать выходное напряжение и обеспечивать необходимую форму потребляемого тока. Когда ключ закрыт, энергия передается в нагрузку, и при этом дроссель выполняет функцию фильтра. Когда же ключ открыт, сеть работает на дроссель. Поскольку время открытого состояния достаточно мало, ток через дроссель изменяется незначительно. Если при этом обеспечить определенный закон управления ключом, то ток через дроссель можно максимально приблизить к форме сетевого напряжения. Такой выпрямитель является повышающим. Силовой ключ должен быть двунаправленным.
Рис. 1 Выпрямитель с ККМ с входным дросселем Наиболее широкое применение нашли схемы выпрямителя в сочетании с DC/DC-преобразователем, где преобразователь работает как корректор мощности. При этом наибольшее распространение получил повышающий преобразователь. Схема такого выпрямителя с обычным однонаправленным ключом приведена на рис.2. Принцип его работы аналогичен действию выпрямителя, показанного на рис. 1.
Рис. 2 Выпрямитель с DC/DC преобразователем Вывод основных соотношений для режима непрерывного тока в дросселе. Форма тока идеального выпрямителя должна быть такой же, как у входного напряжения. Следовательно, необходимо, чтобы в любой момент времени потребляемый ток соответствовал выражению:
где Rе - эквивалентное сопротивление выпрямителя. Мощность, которая передается нагрузке, т.е. мощность, "выделяемая" на Re, равна
где {Rе} - среднее значение. Эта мощность регулируется путем изменения Re. Идеальный выпрямитель не должен содержать внутренних источников потерь и аккумуляторов энергии. Таким образом, мгновенная мощность определяется как
Для идеального выпрямителя
где Uo, I0 - соответственно выходное напряжение и ток нагрузки. Если нагрузка имеет резистивный характер, то
Любой преобразователь принято характеризовать коэффициентом передачи М, который зависит от коэффициента заполнения импульсов. Для выпрямителя с ККМ в качестве коэффициента передачи берется коэффициент передачи DC/DC-преобразователя. Таким образом, если входное напряжение составляет uвх(t)=Uвх sin(ωt), а напряжение после мостового выпрямителя –
Из этого выражения следует, чтобы избежать искажений потребляемого тока около пересечения входным напряжением нуля, необходимо, чтобы коэффициент M(t) мог достигать значения бесконечности. Для повышающего преобразователя в составе выпрямителя с ККМ, работающего в режиме непрерывного тока дросселя, имеет место соотношение:
где d(t) - коэффициент заполнения импульсов для силового ключа. Поэтому
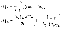
Пульсации тока дросселя (потребляемого тока) в течение периода коммутации силового ключа (Ts) составляют
Среднее значение относительно Ts тока дросселя равно
В любой момент времени должно выполняться условие режима непрерывного тока в дросселе:
Используя выражения (7) и (8), получим: d(t)<2L/Re·Ts Тогда, подставив выражение для d{t) в (6), получим:
Вывод основных соотношений для режима разрывного тока в дросселе. Рассмотрим работу выпрямителя в режиме разрывного тока в дросселе, который имеет место, когда um(t) близко к нулю. На рис.3 представлена диаграмма тока дросселя в этом режиме.
Рис. 3 Диаграмма тока дросселя в режиме разрывного тока Согласно равенству нулю вольт-секундного баланса напряжения на дросселе относительно периода Ts длительность интервала d2Ts составляет
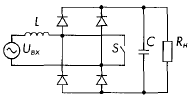
При этом необходимо учесть, что d1 = d. Максимальный ток дросселя определяется выражением
Найдем средний (относительно Ts) ток дросселя. В течение каждого интервала времени его величина определяется выражениями
Среднее значение тока относительно периода Ts может быть представлено как
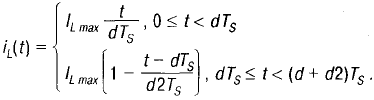
определим регулировочную характеристику в режиме разрывного тока в дросселе. Согласно выражению (3), которое имеет место в любом режиме тока в дросселе,
Так как Re={Um }Ts /{iL }Ts
Подставив это выражение в (13), получим:
Найдем условие, при котором происходит переход из режима непрерывного тока в режим разрывного тока. Подставив в условие (9) выражение для пульсаций тока (7) и регулировочную характеристику (16), получим:
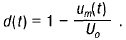
С учетом того, что 1-{Um}Ts /U0 =d и выражения (15) это условие можно записать в следующем виде:
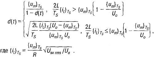
Анализ данного условия показывает, что переход из режима непрерывного тока в разрывный зависит только от в при неизменных параметрах схемы, таких как выходное напряжение и L. Окончательная система выражений для регулировочной характеристики выпрямителя с ККМ имеет вид:
Где
Аналогично можно получить систему выражений для коэффициента заполнения;
График зависимости в от времени в течение полупериода сетевого напряжения представлен на рис. 4а. Зависимость условия от времени и график входного напряжения приведены на рис. 4б.
Рис. 4.а График зависимости в от времени
Рис. 4.б График входного напряжения Режим разрывного тока характерен при входных напряжениях, близких к нулю. При этом коэффициент заполнения импульсов должен быть близок к единице. Реализация алгоритма управления высокочастотным выпрямителем с ККМ без обратной связи. Один из важных этапов проектирования высокочастотного выпрямителя - реализация алгоритма управления силовым ключом. Согласно выражению (1) im (t)~Uвх (t), что соответствует {iL (t)}Ts ~{Um (t)}Ts , где коэффициент пропорциональности - Re. Если на выпрямитель не возлагается задача стабилизации выходного напряжения, то Re - постоянная величина. Тогда для реализации алгоритма управления (рис.5) необходимо сравнить ток дросселя и выпрямленное мостовым выпрямителем напряжение Um, умноженное на постоянный коэффициент Кv. Полученное таким образом напряжение ошибки Ue подается на ШИМ-контроллер. При этом в качестве информации о токе дросселя используется сигнал с датчика тока с сопротивлением Rs. Коэффициент Kv характеризует параметр Rе. Рассмотрим зависимость Re и Kv. Согласно (1), iL (t)=Um(t)/Re. Так как Re=Um(t)/iL (t) и Uref (t)=Kv um (t),
Рис. 5 Схема реализации алгоритма управления выпрямителем без стабилизации выходного напряжения в установившемся режиме сигнал ошибки близок к нулю, следовательно, Uref(t)= iL (t)Rs Re=Rs/Kv (20) Если учесть (3), то можно определить Kv (при номинальных значениях выходного тока и напряжения). Однако в данном алгоритме не учитывается изменение выходного напряжения. Изменение тока нагрузки в неявной форме учитывается током iL . Реализация алгоритма управления высокочастотным выпрямителем с ККМ с обратной связью. Для того, чтобы учитывать изменение выходного напряжения, необходимо ввести дополнительный сигнал исоп. Так как в формировании коэффициента заполнения участвует пилообразное напряжение и напряжение, пропорциональное модулю sin(ωt), то простое суммирование сигнала, характеризующего Re, неприемлемо. Стандартным решением этой проблемы является перемножение напряжения Um и сигнала, характеризующего изменяющееся Re. Схема реализации такого алгоритма представлена на рис.6. Аналогично выражению (20) можно определить
где Re(t)=U2 вх rms /pn (t), а pn (t)-изменяющаяся мощность нагрузки.
Рис. 6 Схема реализации алгоритма управления высокочастотным выпрямителем с ККМ с обратной связью
Рис. 7 Функциональная схема выпрямителя с двумя контурами обратной связи Алгоритм управления с умножителем и интегратором В большинстве случаев требуется стабилизация выходного напряжения. Она необходима для выпрямителя как в составе системы распределённого питания, так и отдельного устройства. Для обеспечения стабилизации вводится второй контур обратной связи по выходному напряжению. Тогда в качестве сигнала Ucon выступает сигнал с усилителя ошибки по выходному напряжению. Функциональная схема выпрямителя с двумя контурами обратной связи показана на рис.7. При данном алгоритме управления используется умножитель напряжения, что усложняет систему управления. Однако возможна и более простая реализация двухконтурной системы управления. Она основана на следующих соотношениях. Допустим, выпрямитель работает в режиме непрерывного тока, тогда, согласно (6),
где iвх - потребляемый ток.
Согласно (1), (1-d)U0 sign(iвх )=Re·iвх
Если использовать датчик тока с сопротивлением Rs, то:
Для малых приращений можно заменить Uo на Ue - сигнал с усилителя ошибки:
Такой алгоритм может быть легко реализован с помощью цифровых или аналоговых средств. Правая часть выражения получается с датчика тока, который может быть как резистивного типа, так и токовым трансформатором. Левая часть выражения получается путем интегрирования сигнала с усилителя ошибки по периоду коммутации для получения пилообразного напряжения Ue·t/Ts. Другое достоинство данного алгоритма - отсутствие зависимости от входного напряжения. Схема реализации данного алгоритма управления приведена на рис.8.
Рис. 8 Схема реализации алгоритма управления с умножителем и интегратором Анализ возможных вариантов однофазных корректоров коэффициента мощности показал, что наиболее предпочтительны два варианта цепи обратной связи: с умножением и интегрированием. Вариант управления с умножением обеспечивает простую реализацию двухконтурной системы управления и может быть создан на основе цифровых или аналоговых средств. Вариант управления с интегрированием допускает простую реализацию одноконтурной системы управления. 4. Пример высокочастотного выпрямителя 07/06/2004. Высоковольтные высокочастотные мостовые выпрямители из карбидокремниевых диодов Шоттки FBS10-06SC и FBS16-06SC фирмы IXYS. Проблема обратного восстановления диодов высоковольтных выпрямителей является очень актуальной, особенно при двуполупериодном выпрямлении сигналов с прямоугольной формой токов и напряжений. Ярким примером являются мостовые выпрямители, работающие на индуктивную нагрузку с непрерывным током - в них на время обратного восстановления при быстрой смене полярности напряжения все четыре диода оказываются в проводящем состоянии, что приводит к большим потерям, как в самих диодах, так и в трансформаторе. Практически кардинально решить проблемы обратного восстановления позволяет использование диодов Шотти на основе карбида кремния (SiC). В отличие от pn диодов, выключение pin диодов Шоттки не сопровождается процессом рассасывания заряда в n-области и ток обратного восстановления отсутствует. Существует лишь незначительный ток заряда емкости перехода. Карбид-кремниевые диоды, входящие в состав мостовых выпрямителей FBS10-06SC и FBS16-06SC, обладают уникально малыми емкостями обратно смещённых переходов, что делает их применимыми для выпрямления сигналов с частотой до единиц мегагерц даже в жестком режиме коммутации. Замена UltraFast выпрямительных диодов на аналогичные по току и напряжению карбид-кремниевые диоды Шотти позволяет снизить динамические потери в выпрямителе до 70%. Мостовые выпрямители упакованы в высокоэффективные корпуса с изолированным теплопроводящим основанием ISOPLUS i4-PAC и малым тепловым сопротивлением. Электрические характеристики приборов приведены в таблице.
На рисунке показана принципиальная схема выпрямителей и внешний вид корпуса. Литература 1. http://ru.wikipedia.org/wiki/Выпрямитель 2. http://www.terraelectronica.ru/print.php?from=1&ID=246 3. http://www.radioradar.net/articles/scientific_technical/kkm.html(Дата публикации: 28.04.2004) |


(2)
(3)
(4)
(8)
(11)
(12)
(13)
(14)
(15)
(16)
(17)
(18)
(19)



(21)





(22)
