Курсовая работа: Анализ конкурентной среды ООО "Элита 98" сети супермаркетов "Командор"
|
Название: Анализ конкурентной среды ООО "Элита 98" сети супермаркетов "Командор" Раздел: Рефераты по маркетингу Тип: курсовая работа | |||||||||||||||||||||||||||||||||||||||||||||||||||||||||||||||||||||||||||||||||||||||||||||||||||||||||||||||||||||||||||||||||||||||||||||||||||||||||||||||||||||||||||||||||||||||||||||||||||||||||||||||||||||||||||||||||||||||||||||||||||||||||||||||||||||||||||||||||||||||||||||||||||||||||||||||||||||||||||||||||||||||||||||||||||
| Содержание Введение. 2 1 Анализ рынка продовольственной розничной торговли в России. 5 1.1 Становление и развитие рынка розничной торговли. 5 1.3 Оценка конкурентной среды в отрасли. 22 2 Конкурентная позиция ООО «Элита 98» сети супермаркетов «Командор» на рынке 26 2.1 Анализ внутренней среды предприятия. 26 2.2 Анализ возможностей и угроз из внешней среды.. 29 2.3 Сравнительная оценка конкурентной силы ООО «Элита 98» сети супермаркетов «Командор». 33 3 Разработка стратегии развития ООО «Элита 98» сети супермаркетов «Командор» 40 3.1 Выбор стратегии развития организации. 40 3.2 Мероприятия по реализации разработанной стратегии. 45 3.3 Экономическая эффективность разработанных мероприятий. 47 Заключение. 51 Список использованных источников. 53 Рынок розничной торговли сегодня огромен и разнопланов. Но если остановиться пока только на продуктах питания, то на этом рынке сегодня работают несколько крупных сетей: «Красный яр», «Командор», «Каравай», «АЛПИ», «Десяточка», «Пятерочка», «Пламя 81». Продолжать можно и дальше, однако, даже крупнейшим игрокам внутри одного региона становится тесновато: «Командор», к примеру, открыл новую торговую точку в Хакасии. Первый супермаркет «Командор» в нашем городе появился 24 апреля 1999г. по адресу ул. Партизана Железняка, 50. Он стал новым шагом в развитии розничной торговли всего Красноярска. На сегодняшний день сеть супермаркетов «Командор» представляет собой 1 продуктовый гипермаркет и 47 супермаркетов формата «магазин у дома». Магазины сети представлены в Красноярске, п. Березовка, Сосновоборске, Абакане, Черногорске, Саяногорске и Ачинске. В 2008 году компания «Командор» заняла первое место по товарообороту в Красноярском крае. И это неудивительно, учитывая благоприятную ситуацию на розничном рынке, который до наступления кризиса рос весьма впечатляющими темпами. Однако уже в 2009 году кризис серьезно ударил по быстро развивающейся отрасли, и столь стремительный рост и развитие компании в кризисный период резко сошли на нет, достигнув практически нулевой отметки. Наблюдалось не только отсутствие роста общего товарооборота, но даже снижение продаж в целом. Основной причиной столь печальной тенденции, вне всяких сомнений, явилось снижение платежеспособности покупателей. Хотя есть и еще ряд нюансов. Во-первых, снижение доверия: даже люди, которые не сильно потеряли в доходах, под действием массовых настроений сократили свои расходы. Во-вторых, доступ к кредитным ресурсам сегодня сильно ограничен. Наконец, в-третьих, свою роль сыграла завоевательная политика крупных игроков федерального уровня, не так давно развернувших свою деятельность на красноярском рынке. В первую очередь среди них нужно отметить гипермаркеты «О’кей» («Доринда», брэнд «О’кей») и «Поляна» («РегионМарта»), а также совершенно новый для нашего города формат продовольственного ритейла – METRO Cash & Carry GmbH, являющийся крупнейшей управляющей компанией международного бизнес формата cash & carry группы МЕТRО Group. Федеральным игрокам за очень короткое время удалось не только раскачать собственные магазины, но и изменить саму ситуацию на рынке продуктовой розницы. Несмотря на это, серьезного перераспределения сил пока не наблюдается. Специалисты уверены, что федеральные игроки на рынок особого влияния не оказали, и, по подсчетам экспертов, местные операторы по-прежнему держат около 80-90% рынка цивилизованной продовольственной розницы. Руководители местных компаний считают, что федеральным игрокам не удается их потеснить, поскольку те заходят в Красноярск чаще не сетью, а одним-двумя магазинами в формате гипермаркета, а занять значимую часть рынка в общем раскладе таким способом очень сложно. В то же время руководители компаний федерального уровня утверждают, что глобального перераспределения сил не произошло лишь потому, что местный рынок продовольственного ритейла пока не заполнен и наполовину. Е. Осояну, коммерческий директор сети «О’кей», отмечает: «Красноярск привлекателен для федеральных ритейлеров как раз потому, что здесь есть куда расти. По сравнению с центральной полосой России сибирский рынок не насыщен». Действительно, в России сетевой ритейл занимает не более 10% продовольственного рынка. В то же время в Португалии его доля составляет 17%, в Испании – 39%, в Италии – 57%, а во Франции – до 84%. По мнению экспертов, через 5–7 лет доля сетевого ритейла в России может превысить 50%. По оценкам ФК «Уралсиб», объем рынка продуктовых розничных сетей ежегодно будет увеличиваться не менее чем на 10–13% вплоть до 2012 года. По ряду качественных показателей, в том числе таких, как розничный оборот на душу населения или обеспеченность торговыми площадями сетевых форматов, российский рынок отличается низкой степенью насыщения по сравнению с США, а также европейскими странами. По этой причине большинство экспертов сходятся во мнении, что период активной экспансии торговых сетей далек от завершения. Экспертные оценки сроков наступления «зрелости» рынка варьируются в диапазоне 2010–2015 гг. В связи с этим рассмотрение стратегий развития розничных сетей продуктов питания является на сегодняшний день актуальным и интересным. Необходимость оценки ситуации, которая складывается непосредственно на рынке продовольственного ритейла Красноярского края, становится еще более очевидной и актуальной, если принять во внимание происходящие сейчас на данной территории изменения (в частности, экспансию опытных игроков федерального уровня). Основной целью данной курсовой работы является разработка стратегии дальнейшего развития организации «Командор». В процессе достижения поставленной цели были решены следующие задачи: проанализирована ситуация на рынке продовольственного ритейла Красноярска; определена конкурентная позиция организации «Командор» на рынке; проанализированы возможности организации и угрозы из внешней среды; разработана стратегия дальнейшего развития для «Командора». 1 Анализ рынка продовольственной розничной торговли в России 1.1 Становление и развитие рынка розничной торговли Розничная торговля – более широкое понятие, чем просто продажа товаров, поскольку ее сопровождают услуги – финансовые, парикмахерские, оплата услуг мобильной связи, химчистка одежды, доставка товаров и т.п. Термин «ритейл» (retailing) – розничная торговля – происходит от старинного французского слова «retailler», означающего «часть чего-либо», «разрезать что-либо на кусочки». То есть розничный торговец делит большое количество товара на малые порции для продажи потребителям. До 1960-х годов на торговлю не обращали особого внимания. Ситуация изменилась с увеличением видимого ее значения в экономике развитых стран, с ростом ее вклада в валовой внутренний продукт (ВВП). Так, в США после снятия законодательных ограничений монополий началась эра гипермаркета WalMart, который был основан в 1962 году, стремительно захватил половину американского рынка и начал транснациональную экспансию. Гипермаркеты заворожили мир. Сейчас в Германии 5 крупнейших розничных операторов контролируют 65% рынка, в Великобритании 4 сети – более 70%, во Франции 5 крупнейших сетей – 85%, в Дании две лидирующие сети – 60%. В России в 2007 году в розничной торговле продовольствием доля современных форматов составила лишь 32,6%, а доля пятерки крупнейших компаний – около 5% [1]. Розничная торговля продовольствием остается в основном национальной или даже местной отраслью. Лишь около 10% мирового рынка розничной торговли оккупировано транснациональными корпорациями. Наиболее активно на внешних рынках работают компании WalMart (США), Carrefour и Auchan (Франция), Metro Aldi и Schwarz Group (Германия), Delhaize (Бельгия), Ahold (Нидерланды), Tesco (Великобритания). Некоторые из них уже появились в России. До 1 ноября 1990 года доллар в СССР официально стоил 63 копейки, хотя граждане и коммерческие организации купить его по этой цене не могли. В апреле 1991 года на первых рыночных торгах за доллар давали 32,35 рубля, 3 января 1992 года – 150 рублей, а 24 декабря 1992 года – уже 414,5 рублей. Падение рубля отражало жесточайший финансовый кризис, который привел к краху СССР, бывшим советским республикам предстояло отстроить рыночную экономику. Приход новой жизни для россиян ознаменовался либерализацией потребительских цен, которая была проведена 2 января 1992 года по Указу Президента РФ «О мерах по либерализации цен» от 3 декабря 1991 года № 297. В результате 90% розничных и 80% оптовых цен было освобождено от государственного регулирования, за исключением наиболее социально значимых потребительских товаров и услуг (хлеб, молоко, общественный транспорт и др.). Цены в магазинах неукротимо росли, по оценкам экспертов: за 1991 год – на 160%, за 1992 год – уже на 2500%. Инфляция уничтожила накопления населения, оставила предприятия без оборотных средств. К тому же распад СССР привел к разрыву многих хозяйственных связей. Трудности были и с сырьем, и с реализацией продукции. Нормой стали задержки выплаты заработной платы. Появилась скрытая безработица, когда предприятия не увольняли работников, а отправляли их в неоплачиваемый отпуск. Люди вынуждены были искать случайные заработки. Стремление правительства обуздать инфляцию наталкивалось на огромный дефицит государственного бюджета, который можно было покрыть только эмиссией денег. Центральный банк выдавал предприятиям дешевые кредиты в огромных объемах. Имея право эмитировать безналичные рубли, центральные банки других бывших советских республик активно кредитовали свои правительства и предприятия. Порожденная такой эмиссией инфляция импортировалась в Россию. Ситуацию усугубляло и то, что еще не приватизированные государственные предприятия просто не умели торговать в условиях свободного рынка, не реагировали на изменение рыночного спроса. Их директора по привычке ждали государственных дотаций. Структура российской экономики, унаследованная от СССР, имела строгую направленность в сторону производства средств производства и военной техники. А малый бизнес, сравнительно недавно легализованный, находился в зачаточном состоянии. В результате рост безработицы, нестабильность экономической и политической ситуации в стране привели к тому, что страна поделилась на продавцов и покупателей. Многие начинали заниматься торговлей, совершенно не имея необходимых для этого навыков и образования, только потому, что не было других возможностей заработать денег. В 1994 году место на открытом вещевом рынке в Москве стоило 10–30 долларов в день, оборот одной торговой точки составлял в среднем 17,5 тыс. долларов в месяц, в регионах – около 7 тыс. долларов. Наценка не опускалась ниже 100–200%. Процветали коммерческие палатки («комки») площадью 3х4 метра с ассортиментом от шариковых ручек до бытовой техники и цветов. Они размещались на любых свободных местах в зонах максимального скопления людей, в то время как полки государственных магазинов, привыкших к распределительной системе, оставались преимущественно пустыми или ассортимент в них был весьма бедный. В 1992–1994 годах появились торговцы, которые закупали товары широкого потребления мелким оптом по более низким ценам за границей (в Турции, Польше, Финляндии, Китае), а потом продавали их в розницу с огромной наценкой. Таких торговцев называли «челноками». Они не регистрировали свою предпринимательскую деятельность, не платили никаких налогов, кроме сбора за право торговли. Норма прибыли не опускалась ниже 100% за одну поездку, что позволяло начинать бизнес даже при закупках всего на 500–600 долларов. По расчетам Института экономики переходного периода, в 1995–1999 годах стоимость товаров, ввозимых этими торговцами из дальнего зарубежья, достигала 2,5–3 млрд. долларов в квартал, что составляло примерно треть всего российского импорта (без учета импорта из других стран СНГ). При этом официально зарегистрированный импорт одежды, обуви, бытовой техники, тканей, парфюмерии в 1995 году составлял около 1,5 млрд. долларов. Магазины, рестораны, предприятия общепита и бытового обслуживания находились в муниципальной собственности и подлежали в 1992 году обязательной приватизации. Чаще всего коллективы магазинов сами выкупали бизнес, выбрав третий вариант льгот при приватизации. Но далеко не всегда директорам приватизированных магазинов удавалось удержать их на плаву. На помощь пришло первое поколение российских предпринимателей, освоивших начальные премудрости торговли на рынках. Бизнесмены передового уровня имели к тому времени в управлении несколько точек на продовольственном рынке или мелкооптовый бизнес. У них были деньги, опыт, желание расширять бизнес, а главное – выглядеть цивилизованно. Приватизированные магазины давали им шанс реализовать свои мечты. Выкуп у коллективов торговых площадей позволял перейти от «комков» к более прогрессивной форме торговли, так называемым, мини-маркетам – маленьким магазинчикам с большим ассортиментом товаров, в основном импортных. Торговцы, которые ездили за товаром заграницу, к тому времени ознакомились с работой зарубежных магазинов в Турции, Польше, Финляндии, и, получив большую торговую площадь, начали копировать зарубежных коллег. Их опыт говорил о том, что отказ от прилавка и выкладка товара в торговом зале позволяют увеличивать оборот примерно на 50%. В новом качестве начали функционировать универсамы, которые стали называть супермаркетами. Они значительно расширили ассортимент не только продовольствия, но и непродовольственных товаров, пользуясь большими площадями и более плотной выкладкой. В настоящее время к супермаркетам относят магазины самообслуживания площадью от 1000 до 5000 кв. м, где на непродовольственные товары может приходиться 20–35% ассортимента, насчитывающего 10–25 тыс. наименований. Также в середине девяностых годов по всей стране стали открываться магазины мелкооптовой торговли формата cash & carry. Товар в них продавался только упаковками, а не штучно. Успех магазинов нового формата в 1995 году породил бум мелкооптовых рынков. Только в Москве за год их стало в 10 раз больше. Люди с удовольствием стали закупать продукты на неделю вперед. В дальнейшем эта привычка позволила гипермаркетам быстро стать популярными. 1994 год стал годом массового расцвета вещевых рынков. Многочисленные торговцы обильно снабжали россиян китайским текстилем, турецкими кожаными куртками, кроссовками, популярными в то время спортивными костюмами, джинсами, секонд-хендом из Европы. Цивилизованно рынок одежды начал развиваться позднее – в 1997–1998 годах, с началом строительства торговых центров. На базе советских универсамов зародилась продовольственная сетевая розница. Первым стал «Седьмой континент», он открыл в апреле 1994 года в Москве три магазина, которые работали круглосуточно и поддерживали максимально возможный ассортимент. В то же время открывали свои первые магазины и нынешние лидеры торговли бытовой техникой – «М.Видео», «Мир», «Техносила», «Эльдорадо». Формат узкоспециализированной торговли позволял квалифицированно разъяснять покупателям технические особенности продукции. Кроме того, магазины вызывали больше доверия и давали гарантию, что было важно при покупке дорогого холодильника, телевизора, видеомагнитофона. Владелец крупнейшей сети продовольственных магазинов в России – компания «Тандер» (сеть дискаунтеров «Магнит») начала свою деятельность в 1994 году в Краснодаре как оптовый поставщик парфюмерии, косметики и бытовой химии. В течение трех лет она создала филиалы в Сочи, Ставрополе, Пятигорске, Волгограде, Новороссийске, Армавире, Саратове, Нижнем Новгороде и Ростове-на-Дону и вошла в десятку крупнейших российских дистрибьюторов парфюмерии, косметики и бытовой химии. Затем начала осваивать продовольственный сегмент рынка. Оптовая база позволила с 1998 года успешно развивать розничную торговлю. Созданная ею сеть «Магнит» в 2001 году стала крупнейшей в России по количеству магазинов. В развитии компании помогли уже существовавшие 6 региональных распределительных центров суммарной площадью 66 тыс. кв. м. Логистика играла ключевую роль в ускоренном развитии сетевой торговли. Можно сказать, что до августовского кризиса 1998 года торговля сделала лишь первые шаги на пути к цивилизации. Новейшая история нашей страны недаром делится на период «до августа 1998 года» и «после августа 1998 года». Настолько масштабный финансовый кризис был первым для молодой демократической России. И главный вопрос, который он поставил, – способны ли люди, стоявшие у власти, управлять страной. Торговля тяжело переживала кризис. С одной стороны, население бросилось скупать на быстро обесценивавшиеся деньги буквально все – даже залежавшиеся товары, и магазины резко увеличили оборот. С другой – те, кто не успевал корректировать ценники в торговом зале, вынуждены были закупать новые партии товаров по ценам, поднявшимся в несколько раз. Компании, столкнувшись с невозвращением долга, испытывали резкий дефицит оборотных средств. Товары снова стали отгружать только с оплатой по факту. Главный урок, который извлекли крупные игроки, – с розницей нужно работать. Именно в 1998–1999 годах большинство нынешних лидеров сетевого ритейла открывали свои первые магазины или переориентировались на розницу. Так, по пути диверсификации пошла оптовая компания «Тандер». Почувствовав на себе положительный эффект колебания спроса, она еще в 1998 году начала открывать первые магазины, а после кризиса смогла вырваться в лидеры, опираясь на свою развитую систему региональных складов, позволившую организовать быструю доставку и оборачиваемость продуктов. Самым популярным форматом стал дискаунтер – магазин, базирующийся на пяти выгодах для покупателя: поддержание низких цен, удобное расположение универсамов, оптимальный ассортимент товаров, гарантии качества продукции, качественное и профессиональное обслуживание покупателей. Ассортимент дискаунтера небольшой (1500–3000 наименований), площадь до 1000 кв. м, при этом почти весь товар выставляется в торговом зале, тем самым достигается экономия на складских площадях. Существовать в формате дискаунтера со средней наценкой 10–12%, чтобы конкурировать с мелкооптовым рынком, компания может только за счет снижения издержек на доставку, предпродажную подготовку и т.п. Например, в «Пятерочке», одной из крупнейших сетей дискаунтеров нашей страны, основной резерв экономии – жестко прописанные правила внутреннего распорядка. Описание бизнес-процессов предельно детализировано. В них даже указаны кратчайшие пути для грузчиков при традиционном распределении товаров и нетрадиционном – через зал в подсобку, если вдруг машина подъехала к главному входу. Строгое соблюдение инструкций позволяет повышать производительность погрузки-разгрузки на 35%. Комплект таких инструкций в компании считают основным ее капиталом. Следуя принципу экономить на всем, в своих первых магазинах компания ставила стеллажи и кассовые тумбы, вырезанные из фанеры и покрашенные на месте – в ремонтируемых залах. Когда же в сети стало появляться по нескольку новых магазинов в месяц, было создано собственное мебельное производство. Итак, больше половины покупок в то время приходилось на продовольственные рынки. Доля организованной сетевой торговли в 2000 году составляла лишь 1% общего торгового оборота, затем стала удваиваться каждый последующий год: 2001 год – 2,7%, 2002 год – 4,5, 2003 год – 8, 2004 год – 15,6% [1]. Однако, кризис 1998 года помог отечественным компаниям. Объявив себя техническим банкротом, наша страна сильно испортила имидж в глазах иностранных инвесторов, тем самым временно предотвратив экспансию зарубежных торговых сетей. Отечественные фирмы выиграли немного времени, чтобы подготовиться к их приходу. 1.2 Анализ основных экономических показателей, характеризующих розничный рынок Розничная торговля является одной из быстро развивающихся отраслей российской экономики. Более того, по версии консалтинговой компании A.T. Kearney, публикующей global development index (GDI), по итогам 2006 года две отечественные компании – X5 Retail Group и «Евросеть» – входили в Top-250 крупнейших ритейлеров планеты. Однако, уже в 2008 году, не выдержав жесткой конкуренции, компании сдали свои позиции и опустились на 107 и 148 места соответственно [2]. Рынок торговли продуктами в России делится на две части: организованная торговля (торгующие организации и индивидуальные предприниматели, осуществляющие деятельность вне рынка), и неорганизованная торговля (розничные рынки, ярмарки). В разрезе этих форматов торговли в марте 2010 года торгующие организации и индивидуальные предприниматели формировали 87,4% оборота розничной торговли, а розничные рынки и ярмарки – 12,6% (в марте 2009 года – 87,1% и 12,9% соответственно) [3]. Кроме того, в рассматриваемом периоде розничные продажи товаров торгующих организаций и индивидуальных предпринимателей вне рынка росли более активно, чем на розничных рынках и ярмарках. В стационарной торговой сети в январе-марте 2010 года оборот розничной торговли вырос на 1,6% к соответствующему периоду 2009 года, а на рынках и ярмарках объем продаж сократился на 0,4% по отношению к соответствующему периоду 2009 года. Доля сетевой торговли в обороте розничной торговли постепенно увеличивается. Согласно данным ФСГС в марте 2010 года розничные торговые сети формировали в среднем по Российской Федерации 31,1% оборота розничной торговли торгующих организаций (в марте 2009 года – 30,7%) и 16,2 % общего объема оборота розничной торговли (в марте 2009 года – 16,0%). При этом в федеральных округах развитие сетевых торговых структур отличается существенной неравномерностью. Если в Северо-Западном федеральном округе их доля составляет порядка 50%, то в Дальневосточном федеральном округе только 15%. Лидерами среди торговых сетей в стране по общему количеству магазинов, по данным РБК («РосБизнесКонсалтинг»), являются два игрока: краснодарская компания ООО «Магнит», работающая в формате «дискаунтеров» (магазины «Магнит») и компания «X5 Retail Group» (магазины «Пятёрочка», «Перекрёсток», «Мер-кадо-Суперцентр»). Розничные сети продуктов питания по формату торговли можно классифицировать следующим образом: cash & carry (средняя площадь 20 000 кв. м, принцип мелкооптовой торговли, однако часть покупок осуществляется в целях личного потребления) – «Лента», Metro; гипермаркет (площадь более 10 000 кв. м, не менее 35% торгового пространства отведено под торговлю непродовольственными товарами) – «Ашан», «Мосмарт» и др.; супермаркет (площадь от 3 000 до 10 000 кв. м, более 70% ассортимента составляют продовольственные товары и товары повседневного спроса) – «Перекресток», «Патэрсон» и др.; дискаунтер (экономичный супермаркет) (площадь от 300 до 3 000 кв. м, ассортимент продукции состоит из быстрооборачиваемых товаров с минимальной торговой наценкой) – «Дешево», «Пятерочка», «Копейка», «Дикси», «Магнит» и др.; магазин «у дома» (небольшая торговая площадь – до 500 кв. м, ассортимент формируется из товаров первой необходимости, в т. ч. непродовольственных; часто имеет круглосуточный режим работы) – «Семь шагов», «Дейли», «Квартал» и др. Согласно анализу, проведённому Департаментом консалтинга РБК по 46 регионам РФ, доля современных форматов сетевой торговли с 2005 по 2009 год менялась следующим образом (см. рисунок 1):
Рисунок 1 – Рыночная доля форматов в общем объёме сетевой торговли в РФ 2005-2009гг., % Из рисунка 1 видно, что самым популярным форматом в 2009 году стал «дискаунтер», его доли рынка составила 53,5%. Значительно уступают этому формату супермаркеты, занимая 15,1% сетевого рынка, «магазины у дома» и гипермаркеты/cash&carry с долями рынка 12,6% и 2,8% соответственно. На долю остальных форматов в рыночной доле сетевых игроков приходится чуть более существенная доля в 16%. «Магазины у дома» часто бывают маленькой площади, что является очень неудобным для покупателей, к тому же там ограниченный ассортимент. Cash & carry пока развиты очень слабо, так как они являются самыми «молодыми» форматами сетевой торговли в России [4]. В настоящее время крупнейшие игроки на рынке продовольственного ритейла стремятся к одновременному развитию нескольких форматов торговли. По данным исследования РБК «Розничные торговые сети по продаже продуктов питания и сопутствующих товаров (FMCG[1] ) в России», на текущий момент почти не осталось компаний, работающих только в одном формате торговли, а количество мультиформатных сетей в 2009 г. выросло на 37,6%, по сравнению с 2008 г., и будет расти на 35–40% ежегодно. Крупные российские и иностранные игроки развивают новые формы торговли, чтобы повысить конкурентоспособность компании и добиться максимального охвата покупательской аудитории в разных регионах страны. Но ожидать полного исчезновения моноформатных сетей не следует: по оценке РБК, на продуктовые бутики, специализированные магазины и др. в долгосрочной перспективе будет приходиться 3–5% от общего объема продуктового ритейла. Наибольшим потенциалом развития в ближайшие годы, по мнению экспертов РБК, будут обладать гипермаркеты и магазины шаговой доступности. Так, с 2005 по апрель 2010 года среднегодовой рост количества гипермаркетов в России составил 221,4% [5]. Ниша магазинов «у дома» в настоящее время развита слабо, что объясняется недостатком внимания к этому сегменту со стороны игроков рынка. Однако в последнее время ряд крупных сетей начали развивать и этот сегмент. Дело в том, что средний класс в России формируется довольно медленно. В 42% российских городов с населением менее 50 тыс. человек доходы населения ниже средних. У 80% населения страны среднедушевой доход составляет около 300 долларов в месяц. При этом около 61% потребителей до сих пор ходят за покупками пешком. Так что есть основания полагать, что популярность магазинов, расположенных рядом с домом, в ближайшие годы может возрасти. Если же рассматривать сетевых ритейлеров продовольственных товаров с точки зрения ценового уровня, то тут, по мнению игроков рынка, возможна следующая классификация: премиум-класс – «Азбука Вкуса», «Глобус Гурмэ», «Калинка Стокманн», «Седьмой континент 5 звезд»; средний класс – «Седьмой континент», «Алые паруса», «Перекресток», «Патэрсон»; масс-маркеты – Spar, Billa, «12 месяцев»; нижний сегмент – «Магнит», «Копейка», «Ашан». Значимой тенденцией на российском рынке розничной торговли продовольственными товарами следует признать освоение отечественными компаниями верхнего ценового сегмента. Дело в том, что иностранные торговые сети, работающие в России, ориентируются главным образом на массового потребителя с невысокими доходами, которого они хотят «отучить» от оптовых рынков крайне низкими ценами. Учитывая, что конкуренция с крупными иностранными игроками оказывается непосильной для некоторых российских компаний, им зачастую приходится ориентировать свои магазины на более обеспеченные слои населения. Однако магазины с низкими ценами (нижний ценовой сегмент и сегмент mass-market) будут популярны среди потребителей в региональных центрах и менее крупных российских городах. Для оценки ёмкости и развития рынка продовольственного ритейла обратимся к данным ФСГС. По итогам 2009 года оборот розничной торговли составил 14516,9 млрд. рублей, сократившись на 5,5% в сопоставимых ценах к 2008 году. В связи с экономическим кризисом, повлекшим за собой падение промышленного производства, сокращение инвестиций в экономику, рост безработицы и снижение доходов населения в 2009г. впервые за последние десять лет индекс физического объема оборота розничной торговли в целом по Российской Федерации опустился ниже стопроцентной отметки и составил 95,1%. Сокращение оборота по сравнению с 2008г. наблюдалось в течение всех месяцев 2009г. (кроме января), достигнув своего пика в сентябре (-9,5% по сравнению с соответствующим месяцем 2008г.) [6], (см. рисунок 2).
Рисунок 2 – Динамика оборота розничной торговли (в % к среднемесячному значению 2007г.) Процессы, происходившие в целом в сфере розничной торговли, были характерны и для субъектов Российской Федерации, но в каждом субъекте имеется своя специфика. Оборот розничной торговли в 2009г. по сравнению с 2008г. уменьшился во всех федеральных округах, кроме Дальневосточного федерального округа (см. рисунок 3).
Рисунок 3 – Оборот розничной торговли по федеральным округам (в % к предыдущему году, в сопоставимых ценах) Доля оборота непосредственно продуктового ритейла стабильно росла вплоть до 2008 года. В 2005 году прирост доли торговых сетей в общем объеме рынка продуктового ритейла составил 77%, в 2006 году – 46%, а в 2007 году – 42% [5, 13]. Однако далее резко проявляется понижательная тенденция, которая, несомненно, связана с наступлением экономического кризиса (см. рисунок 4).
Рисунок 4 – Темпы прироста оборота продуктового ритейла в долларовом выражении за 2005-2009гг., %. На душу населения оборот розничной торговли в 2009г. составил 102,9 тыс. рублей, или 95,1% (в сопоставимых ценах) к 2008 году. Вместе с тем, специалистами прогнозируется, что рынок продуктовых розничных сетей ежегодно будет увеличиваться не менее чем на 10–13% вплоть до 2012 года. В структуре валового внутреннего продукта по итогам 2009 года доля оптовой и розничной торговли без учета косвенных налогов составила 19,5% (в 2008 году – 20,5%). Кроме того, торговля обеспечивала 10% всего объема налоговых поступлений в бюджет страны (в 2009 году 627,5 млрд. рублей). В 2009г. на фоне снижения покупательского спроса наблюдалась переориентация населения с магазинов на рынки. При сокращении по сравнению с 2008г. объемов продажи товаров торгующими организациями (включая индивидуальных предпринимателей вне рынка) на 5,3%, объемы продажи на рынках упали лишь на 2,3% в основном за счет уменьшения покупок непродовольственных товаров, продажа пищевых продуктов на рынках сохранились практически на том же уровне (99,4%), (см. рисунок 5).
Рисунок 5 – Динамика оборота розничной торговли по формам торговли в 2009 году (в % к соответствующему периоду предыдущего года, в сопоставимых ценах) Если до кризиса доля рынков в общем объеме оборота розничной торговли имела тенденцию к сокращению, то в 2009г. она несколько возросла и составила 13,5% против 13,2% в 2008 году (см. рисунок 6). На 1 января 2010г. на территории Российской Федерации функционировало 3497 розничных рынков. По сравнению с 1 января 2009г. их число сократилось на 185 рынков (5%). Часть рынков была ликвидирована, другие были трансформированы в торговые центры, супермаркеты и другие современные форматы торговли (см. рисунок 7).
Рисунок 6 – Структура формирования оборота розничной торговли в 2009 (2008г.) году (в % к итогу, в фактически действовавших ценах)
Рисунок 7 – Число розничных рынков в Российской Федерации (единиц) Темпы прироста цен на продовольственные товары в 2009г. были в 2,7 раза ниже, чем в 2008г. (6,1% и 16,5% соответственно). Основной прирост цен на них зафиксирован в I квартале 2009г. (5,0%). При этом на треть наблюдаемых продовольственных товаров цены за год увеличились более, чем на 10,0% (см. таблицу 1). Таблица 1- Индексы потребительских цен (тарифов) на товары и услуги (декабрь в % к декабрю предыдущего года)
Также наблюдалось снижение инвестиций в основной капитал, направленных на развитие розничной торговли (см. таблицу 2). Таблица 2 – Инвестиции в основной капитал, направленные на развитие розничной торговли
Уже в январе-марте 2010 года сектор розничной торговли продемонстрировал рост относительно аналогичного периода предыдущего года. По итогам трех месяцев текущего года оборот розничной торговли составил 3607,6 млрд. рублей, увеличившись на 1,3% по отношению к соответствующему периоду 2009 года. В структуре оборота розничной торговли удельный вес пищевых продуктов, включая напитки, и табачных изделий в марте 2010 года также как и в марте 2009 года составил 49%, непродовольственных товаров – 51%. Начавшееся восстановление покупательского спроса оказало влияние на динамику продаж продовольственных товаров, в результате чего оборот розничной торговли пищевыми продуктами, включая напитки, и табачными изделиями по итогам I квартала 2010 года вырос на 3,9% к I кварталу 2009 года. В то же время оборот розничной торговли непродовольственными товарами за данный период сократился на 1,1% к I кварталу 2009 года. По данным за январь-апрель 2010 года индекс потребительских цен составил 103,5% против 106,2% в соответствующем периоде 2009 года. Цены на товары (без услуг) за январь-апрель 2010 года выросли на 2,7%, в том числе на продовольственные товары – на 4,1%, непродовольственные товары – на 1,3%. Темпы роста цен на основные виды непродовольственных товаров в январе-апреле 2010 года (101,3%) не превышали показатели соответствующего периода 2009 года (104,8%). 1.3 Оценка конкурентной среды в отрасли Последние два с половиной года красноярский рынок продовольственного ритейла был богат на события: приход Metro и «ОК’ея», уход с рынка «Елисеевского» и «Орлана», выход «Командора» за пределы края. Вершиной информационного айсберга стал слух о том, что самая крупная местная сеть «АЛПИ» будет продана транснациональной компании «Ашан». По словам генерального директора сети «Командор», О. Сипетого, это заставило всех местных игроков пребывать в напряжении: «Ведь если «Ашан» зайдет сюда, нам всем придется труднее, потому что это крупный транснациональный игрок с отработанными технологиями». Сомнения развеял тогда вице-президент холдинга «Сибирская губерния» (сеть гипермаркетов «АЛПИ»), А. Граванов. Он рассказал, что в целом слухи имеют под собой основания: «Представители «Ашана» действительно приезжали в Красноярск, и мы вели с ними переговоры. Но не стоял вопрос о продаже «АЛПИ». Речь шла об объединении усилий, о возможных совместных проектах. Подобные переговоры мы также ведем с Metro Group и «Перекрестком». Пока ни с одной из этих компаний мы не пришли к окончательному результату». По словам аналитиков, местный рынок продритейла растет теми же темпами, что и федеральный. Генеральный директор управляющей компании «Каравай», Э. Манакова, отметила, что в целом за 2007 год он прирос на 20-25%: «Эти цифры были вполне сопоставимы с общероссийскими». Основной рост рынку, по словам его участников, дали местные сети. И. Козьмин, директор по развитию и эксплуатации «РегионМарта» (сеть «Поляна»): «Красноярские игроки сегодня задают тон и формируют местную продовольственную розницу. Думаю, все сети с красноярской пропиской росли либо такими же темпами, как и рынок, либо даже обгоняли его». Всего на красноярском рынке продуктовой розницы работают 13 крупных игроков. Из них 10 — это «сетевики», трое — «Поляна», «ОКЕЙ» и «Metro» — имеют по одному гипермаркету. Ритейлеры единодушно выделяют четверку лидеров: «АЛПИ», «Командор», «Красный Яр», «Каравай». По словам О. Сипетого, эти сети уже не первый год удерживают позиции: «Даже приход внешних игроков мало влияет на расклад сил между этими компаниями». К четверке лидеров участники рынка добавили еще двух «середняков» — сети «Десятка» и «25 часов». Генеральный директор сети «Красный Яр», Т. Павловская, отмечает, что сегодня на цивилизованную торговлю (сети продовольственного ритейла) приходится всего около 40% рынка: «Остальную часть по-прежнему занимают единичные магазинчики, павильоны, ларьки, рынки и т.п.». О. Сипетый добавляет, что пока операторам продовольственного рынка не удалось серьезно изменить этот расклад: «Еще есть люди, которые предпочитают походу в супермаркет поездку на рынок, поэтому пока говорить о том, что сетям удалось победить нецивилизованную розницу, нельзя». Да, в свое время сети действительно подсократили этот сегмент рынка, но сегодня востребован и тот, и другой формат. Ведь далеко не всегда удобно ради небольших покупок идти в супермаркет — проще это сделать в павильоне. По данным ФСГС, около 20 % краевого розничного рынка контролируется крупными игроками. Однако, формат больших магазинов, бесспорно, «прижился» в городе и крае. Взять, к примеру, ТРК «Планета». Если посмотреть на ее наполняемость — все вопросы снимутся сами собой. Большой магазин с разноплановыми товарами, услугами, развлекательными зонами — конечно, он востребован. Другой вопрос, что происходит сейчас с этим форматом в связи с кризисом. Например, в 2009 году оборот продовольственной розницы составил 92,2% к уровню 2008 года [6]. Наблюдалось не только отсутствие роста, но и снижение продаж в целом. Основной причиной столь печальной тенденции, вне всяких сомнений, является снижение платежеспособности покупателей. Хотя есть и еще ряд нюансов, таких, как снижение доверия: даже люди, которые не сильно потеряли в доходах, под действием массовых настроений сократили свои траты. К тому же и доступ к кредитным ресурсам сегодня сильно ограничен. Если раньше был просто бум потребительского кредитования, то сейчас ситуация сильно изменилась. Когда в прошлые годы с покупательской способностью у людей все было хорошо — открывались более дорогие форматы торговли (Торгово-развлекательные комплексы (ТРК), гипермаркеты). Сейчас же продуктовые рынки снова становятся востребованными. По данным ФСГС, в целом емкость красноярского рынка розничной торговли в 2009 г. составила 279179,1 млн. рублей. При этом на долю продовольственного ритейла пришлось около 133796,6 млн. рублей. Красноярские ритейлеры единодушно отмечают, что основным событием последнего времени на местном рынке продуктовой розницы стал приход федеральных игроков — Metro Group и «Доринды» (бренд «ОКЕЙ»). 1 декабря 2007 года Metro Group открыла в Красноярске магазин формата «cash & carry» общей площадью 12,5 тыс. кв. м. Летом 2008 г. компания «Доринда» запустила свой проект — гипермаркет «ОКЕЙ» — общей площадью 11,5 тыс. кв. м. в ТРК «Планета». Но специалисты уверены, что оба игрока на рынок особого влияния не оказали. И. Козьмин отмечает: «Признаться честно, мы ожидали перераспределения сил. Все-таки два крупнейших федеральных бренда. Но перетока клиентов не было». С экспертом соглашается и О. Сипетый: «Когда открылся «ОКЕЙ», мы прогнозировали, что хотя бы около 5% рынка он сможет отнять у местных сетей. Все же он удачно расположен, в самом крупном в городе торгово-развлекательном центре, плюс к этому федералы привезли тот ассортимент, которого в большинстве местных сетей просто нет. Но пока, по нашей оценке, новичку не удалось занять значимую долю рынка». По подсчетам экспертов, сегодня местные операторы держат около 90% рынка цивилизованной продовольственной розницы [3]. 2 Конкурентная позиция ООО «Элита 98» сети супермаркетов «Командор» на рынке 2.1 Анализ внутренней среды предприятия Компания «Командор» начала свою деятельность в 1994г. Первоначально занималась оптовой торговлей непродовольственными товарами зарубежных производителей, главным образом из Кореи. В 1996г. расширила сферу товаров, начав торговать кухонными гарнитурами зарубежных производителей. В 1998г. попробовала себя в новом виде деятельности — производстве мебели (кухонные гарнитуры, обеденные группы, шкафы-купе, мебель для детских комнат, для офисов, мягкая мебель). В 1999г. было принято решение об открытии новой сферы деятельности — розничной торговли в формате супермаркета. Первый супермаркет был открыт 24 апреля 1999г. по адресу ул. Партизана Железняка, 50. Одновременно там же был открыт и мебельный салон. Данный супермаркет и мебельный салон стали новым шагом в развитии розничной торговли всего Красноярска. Следующий супермаркет был открыт 17 апреля 2001г. по адресу пр.Металлургов, 53. В декабре 2002 г. компания «Командор» попробовала себя в новой сфере деятельности — собственное производство салатов. 9 апреля 2005 года был открыт флагман компании «Командор» — Торгово-Развлекательный Комплекс с офисными помещениями. Якорными арендаторами комплекса являются: продуктовый гипермаркет с большими производственными цехами (кондитерские изделия, салаты, готовые полуфабрикаты и т.д.); мебельный мегаполис, являющийся самым крупным мебельным салоном в Красноярском крае; магазин по продаже керамической плитки и сантехники; салон элитных подарков; кофейня; аптека; салоны связи и т.д. В настоящее время Группа Компаний «Командор» включает в себя: 1 продуктовый гипермаркет; 47 супермаркетов формата «магазин у дома» в 7 городах Красноярского края и республики Хакасия; мебельный салон площадью более 10 000 м2; более 20 точек по продаже шкафов-купе, кухонь и другой мебели; производственные цеха в которых изготавливаются кухни, шкафы-купе, мягкая мебель, обеденные группы, а также мебель по индивидуальным заказам; коммерческая недвижимость. Основная цель компании: Быть компанией №1 в Красноярском крае и Хакасии по качеству услуг, товарообороту и эффективности. Миссия компании: Мы создаем комфортные условия для приобретения качественных товаров. Корпоративные ценности компании: «Клиенты. Самое важное наше достояние и вся деятельность Компании «Командор» направлена на наиболее полное удовлетворение потребностей наших покупателей. Мы добиваемся этого, предлагая только самые качественные товары, самое профессиональное обслуживание и максимально комфортные условия для шоппинга. Наша единственная стратегическая задача — полное удовлетворение потребностей покупателя. Развитие. Мы стремимся к поступательному росту Компании, к количественному и качественному росту наших магазинов, увеличению объема продаж, улучшению качества обслуживания, развитию технологий. В личностном и профессиональном развитии каждого сотрудника мы видим залог успешного развития компании «Командор». Поэтому мы создаем условия сотрудникам Компании для профессионального и личностного роста, повышения образовательного уровня и квалификации. Работа в команде — основополагающий принцип развития Компании «Командор», во многом определяющий успех в достижении цели. Достижение наших главных целей требует решать сложные профессиональные задачи и вырабатывать командные решения. Каждый сотрудник вносит свой вклад в общую работу команды и несет ответственность за ее результат. Оценка и мотивация каждого сотрудника основывается на эффективности его вклада в итог работы команды. Инновации — то, что позволяет двигаться нашей Компании вперед — это применение в работе нововведений в области техники, технологии, организации труда, основанных на использовании достижений науки и передового опыта. Мы стремимся к непрерывному совершенствованию технологического процесса работы Компании и созданию новых качественных услуг. Мы ценим стремление наших сотрудников выдвигать ценные для бизнеса идеи, браться за их исполнение и воплощать в реальность. Доверие. Доверие наших клиентов — это основа существования и развития нашей Компании. Доверие наших партнеров — это фундамент для достижения поставленных целей. Взаимное доверие наших сотрудников — это залог успешной командной работы». Сложности торговых сетей, через которые проходит большое количество покупателей, — выдерживать стандарты качественного обслуживания. Иными словами, не воспринимать людей как сплошной поток, а подходить к каждому индивидуально. Понятно, что в огромной структуре без ошибок не бывает. Причем «сарафанное радио» в случае с недовольными покупателями работает как часы. «Если сотая доля процента покупателей будет недовольна, для нашей сети это шесть человек в день», — замечает О. Сипетый. Впрочем, «Командор» старательно трудится над улучшением своего имиджа. Кассиров здесь считают главными сотрудниками. Даже сравнивают с теми, кто стоит в первых линиях на фронте. Ведь через них проходят все покупатели. «Кассиры — лицо компании, их отношение к работе передается всем окружающим, — говорит О. Сипетый — А для нас важно, чтобы покупатели уходили довольные и счастливые». Компания активно занимается обучением персонала. Существует корпоративный университет, выпускается своя газета. В дальнейшем сотрудники могут продвигаться вверх по карьерной лестнице. Например, от простого продавца доходят до должности директора магазина. Здесь не боятся, что, пройдя обучение, люди уйдут в другие компании. «Пусть учатся, — говорит О. Сипетый, — ведь если вообще этого не делать, то все так и останутся на уровне 90-х годов прошлого века». 2.2 Анализ возможностей и угроз из внешней среды Для идентификации и анализа благоприятных возможностей и опасностей, с которыми может встретиться фирма в отрасли, используется модель Портера, включающая в себя следующие 5 сил: Соперничество существующих в отрасли компаний, проявляющееся под влиянием структуры отраслевой конкуренции, условий спроса, высоты барьеров выхода из отрасли; Риск входа потенциальных конкурентов (в данном случае не только федеральных, но и зарубежных): создает опасность прибыльности компании (если этот риск мал, компания может повышать цену и увеличивать доходы) и зависит от высоты барьеров входа в отрасль; Возможность покупателей «торговаться»: представляет угрозу давления на цену из-за потребности в лучшем качестве или сервисе; Давление со стороны поставщиков: заключается в их угрозе поднять цену, вынуждая компании снизить количество поставляемой продукции, а, следовательно, и прибыль; Угроза появления товаров-имитаторов: существование полностью заменяющих продуктов – серьезная конкурентная угроза, ограничивающая цены компании и ее прибыльность. Рассмотрим расширенную концепцию соперничества Д. Портера для рынка продовольственной розницы в Красноярске (см. рисунок 4).
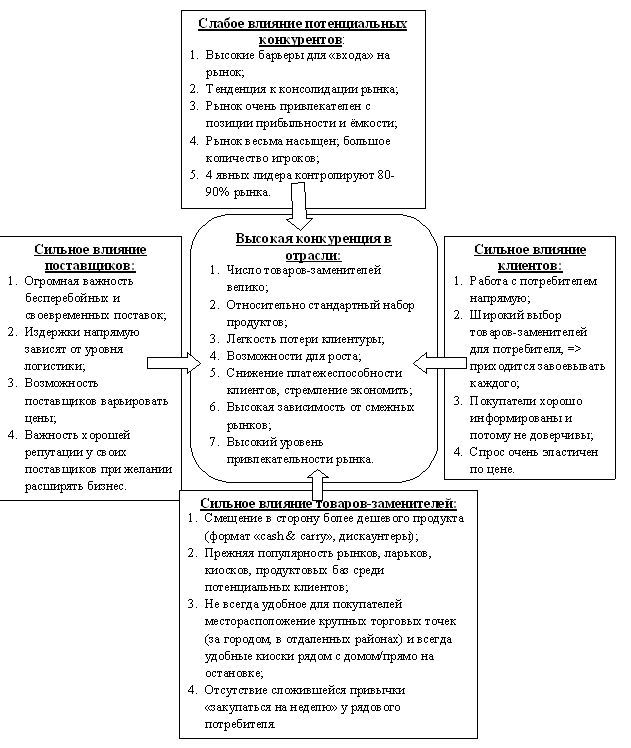
Рисунок 4 – Расширенная концепция соперничества на рынке продовольственной розничной торговли Красноярска (модель Портера) Важную роль на рынке продовольственного ритейла играет логистика и работа с поставщиками. Развитие сетевой розничной торговли создало немало проблем для производителей и оптовых компаний. От обычной розницы она отличается большей рентабельностью и более широким ассортиментом при зачастую более низких ценах. Чтобы держать цены на таком уровне, отечественные сети активно изучали опыт иностранных коллег. Любой иностранный ритейлер при ведении переговоров с поставщиками может получить скидки от транснациональных производителей с учетом общемирового оборота. Но и местные компании, нарастившие свои обороты, тоже в состоянии получать закупочные цены на уровне западных сетей. Так, компания «Эльдорадо» подписала опционное соглашения с «Dixons», что позволило обоим операторам выиграть в закупочной политике. «Dixons» открыла российской сети путь к более низким ценам на технику премиум-класса, а «Эльдорадо» помогает британцам оптимизировать затраты в экономичном ценовом сегменте. Повышая собственную эффективность, розничные магазины унифицируют требования к поставщикам, перекладывая на них часть собственной работы. Например, в договоры с поставщиками включаются подробные требования по упаковке, маркировке, своевременной доставке товаров. Также производители обязуются нести часть издержек на промо-акции, рекламные расходы. Соблюдение всех требований розничных сетей требует от производителей серьезной перестройки работы и управления себестоимостью. Окупаются усилия за счет более массовых закупок и почти гарантированного сбыта. Один из основных параметров эффективности ритейлера – получение отдачи с каждого квадратного метра торговой площади. Для этого полки магазинов должны быть заполнены максимально ходовым товаром. Производители же постоянно стремятся вводить новые бренды и товарные позиции. Борьба за место на полках выливается в установление специальных платежей в виде единовременных бонусов или накопления различных дополнительных скидок. Подобные дополнительные расходы становятся серьезным барьером для мелкого и среднего бизнеса. Возросшую мощь сетевой торговли демонстрируют примеры давления на поставщиков. В ноябре 2005 года компания «Пятерочка», используя преимущества лидера ритейла на рынке северной столицы, обязала своих контрагентов зафиксировать цены до конца года на поставки в питерские магазины. Для поставщиков это был серьезный удар, ведь традиционно перед Новым годом оптовые цены повышались на 7–8%. Ситуацию давления сетевой торговли на производителей неоднократно пытались урегулировать на уровне как законодательства, так и местных органов власти, однако общего подхода пока не выработано. Многие оптовые компании и дистрибьюторы в результате давления сетей вынуждены переключаться на производство. Компания «Ледово» начинала с дистрибуции морепродуктов, но вскоре занялась сначала фасовкой, а потом и производством замороженной продукции. Компания «Талосто» начинала с импорта финского мороженого, а теперь тоже производит продукты глубокой заморозки. Стремясь еще больше сократить цену закупаемых товаров, розница размещает заказы на их изготовление под собственными торговыми марками («private label»). Для таких товаров появляется возможность снизить затраты на упаковку и исключить маркетинговую составляющую на продвижение и рекламу, что дает дополнительную экономию в цене. Если «Копейка» стремилась довести продажи продуктов под частными марками до 50%, то у европейских дискаунтеров «Aldi» и «Lidi» практически весь ассортимент в 2008 году состоял из «private label». Российским производителям производство продуктов под частными марками дает меньшую доходность, но они идут на это, так как получают гарантированную загрузку производства. Комбинат «Лебедянский» делает сок для «Пятерочки», «Агрос» – макароны, «Настюша» – муку для трех крупных ритейлеров, «Ледово» – креветки для «Ашана». Сеть супермаркетов «Командор» тоже имеет собственное производство. Это огромная фабрика-кухня, на данный момент – крупнейшее пищевое производство за Уралом. На площади в 4800 кв м располагается 5 цехов полного цикла. Путь собственного производства «Командор» начинался с небольшого салатного цеха в 2002 году в супермаркете на ул. Партизана Железняка, 50. Покупатели сразу оценили домашний вкус этих блюд и тем самым дали «зеленый свет» развитию целого кулинарного направления. Постепенно разрастаясь и расширяя ассортимент, цех дополнился новыми подразделениями и сегодня «Командор» - это, по сути, 5 полноценных пищевых производств под одной крышей, оборудованных самыми современными кулинарными и пекарными печами, морозильными камерами и прочими техническими чудесами. Последняя возможность выжить для дистрибьюторских компаний – превратиться в чисто логистические фирмы, обеспечивая для мелких производителей возможность работы с крупными сетями. В этом случае необходимы строительство современных складских помещений, развитие автопарка, оказание дополнительных услуг – маркировки, сортировки, упаковки, приема заказов. 2.3 Сравнительная оценка конкурентной силы ООО «Элита 98» сети супермаркетов «Командор» Для сравнительной оценки конкурентной силы организации были проанализированы открытые источники. В частности, сайты, официальные отчеты и экспертные комментарии от отдела потребительского рынка и услуг департамента экономики администрации Красноярска, а также от участников рынка. Основным показателем для ранжирования был выбран оборот торговой сети в 2009 г. Дополнительный показатель – торговая площадь сети в Красноярске и крае. Лидеры продовольственного ритейла по обороту представлены в таблице 3. Также данная таблица содержит данные о товарообороте сети на 1 кв.м торговой площади, размер среднего чека, количество покупателей в день, количество позиций под собственной торговой маркой, количество сотрудников и торговых точек. Лидеры по торговой площади сети представлены в таблице 4. Таблица 3 – Лидеры продовольственного ритейла в Красноярске и крае
Таблица 4 – Лидеры по торговой площади сети
SWOT-анализ позволяет определить причины эффективной или неэффективной работы компании на рынке, это сжатый анализ маркетинговой информации на основании которого делается вывод о том, в каком направлении организация должна развивать свой бизнес и в конечном итоге определяется распределение ресурсов по сегментам. Результатом анализа является разработка маркетинговой стратегии или гипотезы для дальнейшей проверки. При прочих равных возможностях и ресурсах (а чаще всего исходные ресурсы - деньги), стратегия должна строиться так, чтобы максимально эффективно использовать свои сильные стороны, а также появляющиеся рыночные возможности, компенсировать слабые стороны, избегать или снижать негативное воздействие угроз. Классический SWOT–анализ предполагает определение сильных и слабых сторон в деятельности фирмы, потенциальных внешних угроз и благоприятных возможностей и их оценку относительно стратегически важных конкурентов. SWOT-анализ помогает ответить на следующие вопросы: использует ли компания внутренние сильные стороны или отличительные преимущества в своей стратегии? Если компания не имеет отличительных преимуществ, то какие из ее потенциальных сильных сторон могут ими стать? являются ли слабости компании ее уязвимыми местами в конкуренции и/или они не дают возможности использовать определенные благоприятные обстоятельства? Какие слабости требуют корректировки, исходя из стратегических соображений? какие благоприятные возможности дают компании реальные шансы на успех при использовании ее квалификации и доступа к ресурсам? какие угрозы должны наиболее беспокоить менеджера и какие стратегические действия он должен предпринять для хорошей защиты? Далее приведены результаты SWOT-анализа ООО «Элита-98» сети супермаркетов «Командор» (см. таблицу 5). Таблица 2 – Результаты SWOT-анализа сети супермаркетов «Командор»
В процессе анализа были определены: Конкурентные активы. Использование преимуществ компании (сильных сторон) для освоения рыночных возможностей («СИВ») Конкурентные пассивы. Преодоление недостатков компании (слабых сторон) для нивелирования угроз («СЛУ») Узкие места. Преодоление недостатков компании (слабых сторон) для освоения возможностей («СЛВ») Безопасность и защита. Использование преимуществ компании (сильных сторон) для нивелирования угроз («СИУ») После определения критических факторов проекта и ключевых факторов успеха на основе анализа формируются основные цели, разрабатываются стратегии и рассчитываются финансовые показатели. 3 Разработка стратегии развития ООО «Элита 98» сети супермаркетов «Командор» 3.1 Выбор стратегии развития организации Стратегия предприятия - это упорядоченная во времени система приоритетных направлений, форм, методов, средств, правил, приемов использования ресурсного, научно-технического и производственно-сбытового потенциала предприятия с целью экономически эффективного решения поставленных задач и поддержания конкурентного преимущества [7]. Факторы, формирующие стратегию, могут быть классифицированы на две группы. Внешние: состояние экономики (уровень занятости, инфляции, налогообложения и уровень деловой активности, экономический рост); социальные и политические процессы, государственное регулирование и гражданские права (интересы здравоохранения, равной оплаты за равный труд, влияние закрытия предприятий на местное сообщество и др.), природная среда и ресурсы, инфраструктура; привлекательность отрасли и условия конкуренции (рост рынков, технологические изменения, появление новых продуктов, силы конкуренции, экономика доходов, затрат и прибыли для отрасли, основные требования для конкурентного успеха); особые возможности и угрозы для компании. Внутренние: сильные и слабые стороны организации, ее способность к конкуренции; персональные амбиции, философия бизнеса и этические убеждения управляющих (субъективные факторы, которые могут иметь важное влияние на организационную стратегию); влияние разделяемых ценностей и культуры компании на стратегию (политика, ценности, традиции, способы поведения, которые могут существенно влиять на культуру организации). По форме стратеги я - это разновидность управленческих документов, которая может быть представлена в виде графиков, таблиц, описаний и т.д. По содержанию стратегия - это модель действий, инструмент для достижения целей организации. Исходным пунктом формирования стратегии предприятия является, прежде всего, осознание его руководством невозможности сохранить и укрепить позиции фирмы, опираясь на традиционную политику. На разработку стратегии помимо потенциала организации влияет ряд факторов, среди которых важнейшими являются миссия и цели организации; состояние рынка: конкурентные преимущества; организационная культура; продукция; компетентность высшего менеджмента и уровень его притязаний. Стратегия развития предприятия вырабатывается в ходе реализации процесса стратегического планирования, проводимого на предприятии, итогом которого является предварительный проект развития на перспективу. Он, как правило, включает выбор конкретных сфер рынка, на деятельность которых должна быть ориентирована фирма; определение источника и типа используемых ресурсов; составление перечня технологий, планируемых к пользованию; выбор способов, отраслей и направлений будущей деятельности, а также вида производимого продукта. В совокупности это и составляет стратегию организации. Выработка стратегии развития предприятия предполагает знание и использование основных принципов планирования и управления. Различные авторы, описывающие основные принципы стратегического планирования, сходятся во мнении, что выбор миссии и целей организации является ответственным решением при стратегическом планировании [1]. Миссия и цели служат ориентирами для всех последующих этапов планирования и одновременно, накладывают определенные ограничения на направления деятельности организации при анализе альтернатив развития. При разработке новой стратегии для предприятия характерны следующие цели: Более высокое и надёжное положение на рынке. Расширение ассортимента продукции и повышение качества продукции. Увеличение доли рынка. Улучшение репутации предприятия среди клиентов. Обеспечение хорошей рекламы. Использование имеющегося опыта, навыков и технологических разработок в выпуске новой продукции. Выход на рынок иностранных конкурентов с более низкими издержками. Обеспечение хорошей сбытовой сети. Максимально удовлетворить вкусы и потребности покупателей. Применительно к ООО «Элита 98» миссия сформулирована следующим образом: «Мы создаем комфортные условия для приобретения качественных товаров». На основе SWOT-анализа, проведенного для рассматриваемой организации, стратегическими целями могут являться следующие: сохранить лидирующие позиции на рынке продовольственного ритейла Красноярского края; как можно более рационально использовать имеющиеся в наличии ресурсы, чтобы максимально снизить влияние экономического кризиса на деятельность организации; повысить уровень качества предлагаемых товаров оказываемых услуг до высших мировых стандартов; создать идеальные условия для приобретения товаров покупателями; обеспечить стабильный рост научного и инновационного потенциала, а также создать условия для его развития; постоянно работать над внедрением новых, более эффективных технологий; достичь показателей, характеризующих эффективность производства на высшем уровне; оградить уже имеющихся и потенциальных клиентов от товаров-заменителей и в целом от изделий, предлагаемых фирмами-конкурентами; В связи с этим руководство ООО «Элита 98» должно строить свою деятельность, руководствуясь следующими принципами: постоянно повышать престиж, репутацию и конкурентоспособность предприятия, как на рынках сбыта продукции, так и на рынке рекламы; следить за малейшими изменениями конъюнктуры рынка и учитывать их в планировании своей деятельности; принимать во внимание любые изменения в законодательстве; считать главной задачей руководства и каждого сотрудника выполнение требований и пожеланий потребителя; совершенствовать технологические процессы путем внедрения научно-технических решений, технического перевооружения, освоение ресурсо- и энергосберегающих технологий; повышать эффективность управления производством на основе анализа результативности и эффективности существующих бизнес-процессов; повышать корпоративную культуру предприятия, основываясь на открытости, доверии и сотрудничестве. Масштабность производства и острая конкуренция на рынке продовольственной розницы, особенно в сложных экономических условиях, требует разработки продуманной политики развития предприятия, рассчитанной на длительную перспективу. Сеть супермаркетов «Командор» является очевидным лидером на рынке и вносит огромный вклад в развитие базового рынка, причем, это признают и конкуренты. Можно сказать, что фирма представляет собой «точку отсчета» для конкурентов, и они либо атакуют, либо имитируют, либо избегают её. Конечно, в распоряжении «Командора», как фирмы-лидера, множество возможных стратегий, и самой естественной из них, выявляющей ответственность лидера, является стратегия расширения глобального спроса, направленная на обнаружение новых потребителей товара, пропаганду новых применений существующих товаров или на увеличение разового потребления товара. Однако даже если эффективность работы предприятия очень высока и существует внутренний потенциал для роста, все равно нельзя пренебрегать условиями, в которых этот потенциал планируется раскрывать, а именно, – внешней средой. В настоящее время на рынке продовольственного ритейла Красноярского края существуют следующие проблемы: экономическая нестабильность, вызванная экономическим кризисом в стране; снижение общего оборота розничной торговли, оборота в расчете на душу населения и снижение оборота именно торгующих организаций; снижение инвестиций в основной капитал, направленных на развитие розничной торговли; снижение доверия потребителей; уменьшение доходов потребителей, и, как следствие, стремление к экономии (частичная переориентация на рынки, ярмарки); активная интервенция игроков федерального уровня на рынок региона; постепенное снижение рентабельности ритейлеров за счет ужесточения конкуренции в том числе; повышение уровня потребительских запросов к качеству обслуживания в сетях. В связи с вышеуказанными проблемами стратегия расширения первичного спроса представляется малоэффективной и весьма рискованной. Существует не только опасность потери уже имеющихся клиентов из-за ужесточающейся конкуренции в отрасли, но также возможна и ситуация уменьшения продаж в целом в силу нестабильности экономики и общего снижения доходов населения. Поэтому в сложившейся ситуации наиболее рациональным направлением дальнейших действий для компании будет сохранение и упрочнение уже достигнутого лидерства. В этом заключается оборонительная стратегия, основная цель которой – защитить свою долю рынка, противодействуя наиболее опасным конкурентам. 3.2 Мероприятия по реализации разработанной стратегии Основная цель оборонительной стратегии – защита конкурентного преимущества и укрепление позиций компаний. Любая компания может стать объектом атаки со стороны конкурентов, со стороны как новичков, желающих выйти на рынок, так и действующих игроков, стремящихся усилить свои позиции. Назначение оборонительной стратегии – снизить риск атаки со стороны конкурентов, выдержать атаку с минимальными потерями, вынудить атакующих переключиться на борьбу с другими конкурентами. Оборонительная стратегия не усиливает конкурентного преимущества компании, но позволяет сохранить его и защитить конкурентную позицию. Существует два основных типа оборонительной стратегии – перекрытие возможных путей атаки и демонстрация способности к ответным действиям. В первом случае весьма распространен тип оборонительной стратегии, предотвращающий наступательные действия со стороны конкурентов. Для этого на пути потенциального агрессора компания «Командор» должна воздвигнуть разнообразные препятствия. Необходимо: - разработать новые модели товаров и расширить ассортимент собственной продукции. Это уменьшит вероятность проникновения на рынок конкурента, проводящего стратегию дифференциации; - включить в ассортимент недорогие модели с целью снижения риска атаки на основе снижения цен; - улучшить кадровую политику, пригласить талантливых специалистов, способных расширить ключевую компетенцию или возможности компании. За счет этого можно достичь преимущества над соперниками, пытающимися использовать в качестве инструмента конкуренции свои знания и опыт; - увеличить спектр предоставляемых дополнительных услуг (доставка, упаковка товаров, бесплатные пакеты), а также улучшить качество уже существующих (ускорение системы обслуживания клиентов, оптимизация расположения товаров на торговой площади) - предоставление скидок, бесплатных образцов товаров потребителям с низким уровнем приверженности к торговой марке. Проведение акций, конкурсов, выдача призов. Подобные мероприятия поспособствуют повышению приверженности потребителей; - оповещение о намерении снизить цены; - требование проверки качества и безопасности продукции конкурентов на официальном уровне. Такая тактика поможет замедлить распространение на рынке новых видов продукции, предлагаемых конкурентами; - предоставление дилерам и дистрибьюторам дополнительных скидок за большой объем заказов или лучших условий оплаты, чтобы удержать их от попыток заключения договоров с другими поставщиками. Если компания добьется эксклюзивного использования определенных каналов распространения, то конкурентам придется искать альтернативные каналы. Эти и другие действия не только укрепят конкурентные позиции организации «Командор», но и заставят конкурентов «стрелять по движущейся мишени», то есть воздействовать на фирму в постоянно меняющихся условиях. Подобные мероприятия, проводимые компанией «Командор», потребуют от конкурентов огромной выдержки, надежной ресурсной базы и высокого уровня организации работы предприятия. Конкуренты попросту не будут знать, к чему готовиться завтра и готовиться ли вообще, а неизвестность всегда, как минимум, заставляет нервничать и просчитывать все возможные варианты, которых естественно существует великое множество. Как известно, нервная и напряженная обстановка в течение длительного периода времени не приводят ни к чему хорошему, и рано или поздно конкуренты начнут делать необдуманные поступки, пытаясь «подгадать» развитие событий. Но одного сохранения существующего положения мало. Хорошая оборонительная стратегия предполагает быстрое реагирование на изменение ситуации в отрасли и упреждающие действия по отношению к потенциальным агрессорам. Активная оборона всегда предпочтительнее пассивной. «Командору» нужно будет мобилизовать все свои ресурсы и быть нацеленным на долгосрочную оборону. Цели мероприятий в случае демонстрации: воспрепятствовать активным действиям конкурентов, вселив в них сомнения в результативности атаки; показать, что возможный успех не стоит понесенных затрат; переориентировать их на менее защищенные цели. Еще один способ противостоять активным действиям конкурентов – заставить их усомниться в перспективах прибыльности. Высокая прибыльность компании или отрасли служит приманкой для большого количества конкурентов и стимулирует наступательные действия, даже если входные барьеры на рынок высоки. В этой ситуации «Командор» может защититься от конкурентов, в особенности от новичков, отказавшись от краткосрочной прибыли и используя методы финансовой отчетности, позволяющие занизить реальные показатели прибыльности. 3.3 Экономическая эффективность разработанных мероприятий Для того, чтобы рассчитать экономическую эффективность разработанных мероприятий, согласно выбранной стратегии, необходимо оценивать эффективность каждого мероприятия отдельно. Данный процесс, формализованный в ходе работы, и созданный на основе литературных источников [8] представлен ниже. Чтобы более детально рассмотреть этапы процесса, обратимся к конкретному примеру. Предположим, что организацией ООО «Элита-98» было принято решение осуществить мероприятие по расширению ассортимента собственной продукции, и для этого они собираются запустить производство молочных коктейлей. Рассчитаем приблизительное количество затрат на реализацию данного мероприятия (см. таблицу 6). Таблица 3 – Общее количество затрат на реализацию мероприятия по расширению ассортимента собственной продукции за месяц
Предполагается, что в среднем в день будет продаваться 30 коктейлей, следовательно в месяц – 900 коктейлей. Объем одного напитка равен 250мл (150мл молока, 50г банана, 25мл сладкого сиропа; ягоды, ананас и взбитые сливки по вкусу.) Месячные затраты на производство коктейлей, включая заработную плату продавца, составят 33 102руб. Тогда легко можно рассчитать среднюю себестоимость единицы продукции: 33 102 / 900 = 36,78 руб. Для того, чтобы получать прибыль от продажи коктейлей, организации необходимо продавать их по цене выше себестоимости. В среднем молочный коктейль сейчас стоит 60 руб. Установление цены хотя бы на уровне 55 руб. обеспечит наценку в размере 50%. Итак, определим эффективность затрат относительно объема реализованного продукта за месяц. Для этого рассчитаем следующие показатели [9, 12]: 1). Выручка (ВР = Ц*Объем продаж) 55*900 = 49 500руб. 2). Чистая прибыль (ЧП = ВР – С – Нпр) 55*900 – 36,78*900 = 16 398 руб. 16 398 – 16 398*0,2 = 13 118 руб. 3). Рентабельность продукции (R = ЧП/С*100%) 13 118 / 33 102*100% = 39,6% 4). Рентабельность продаж (ЧП/ВР*100%) 13 118 / 49 500*100% = 26,5% 5). Срок окупаемости (PBP) PBP рассчитывается по формуле = Инвестиции / Денежный приток за 1 период РВР = 33 102 / 49500 = 0,67 Таким образом, срок окупаемости проекта составит 0,67 – т.е. примерно три недели. 6). Внутренняя норма доходности (IRR) находится из уравнения 1 [10]:
где IC – сумма инвестиций, CF – доход, который получит фирма через t периодов. Итак, рассчитанные выше показатели позволяют сделать вывод о высокой эффективности разработанного мероприятия. Срок окупаемости составляет примерно 20 дней, это означает, что средства, вложенные в производство коктейлей вернутся в полном объеме еще до завершения срока отведенного на реализацию проекта. Показатели рентабельности продукции и продаж довольно высоки, несмотря на то, что установленная предприятием цена даже ниже среднерыночной. Это означает, что в перспективе существует возможность для повышения цены (а, следовательно, и показателя рентабельности) и увеличения эффективности производства продукта. Однако для этого, безусловно, будет необходимо рассматривать динамику продаж продукта и учитывать некоторые другие факторы. Внутренняя норма доходности составляет 49,5%, значит, проект эффективен. На основании данного расчета можно сделать выводы о целесообразности внедрения разработанной стратегии. Это позволит оценить все денежные потоки по проекту, а также срок возврата вложенных инвестиций. Таким образом, разработанная стратегия развития ООО «Элита 98» позволит сохранить позиции на рынке и укрепить их. Одними из основных моментов управления хозяйственной деятельностью предприятия являются: определение стратегии его развития и планирование мероприятий, направленных на реализацию выработанной стратегии. Единой для всех стратегии не существует, каждое предприятие, желающее выжить в жестких условиях рынка, вырабатывает свою собственную стратегию на основе анализа внешней среды, собственного потенциала, основываясь на целях и миссии организации. В данном курсовом проекте была разработана стратегия дальнейшего развития ООО «Элита 98» сети супермаркетов «Командор». Для этого была проанализирована ситуация на рынке продовольственного ритейла Красноярска, определена конкурентная позиция «Командора», выявлены возможности организации и угрозы, существующие для нее во внешней среде. Анализ показал, что «Командор» занимает лидирующую позицию на рынке, причем, это признают и основные его конкуренты. Тем не менее, принимая во внимание угрозы, имеющиеся на данный момент во внешней среде, нельзя с уверенностью говорить о том, что предприятие и дальше сможет успешно сохранять такую же значительную долю рынка, стойко выдерживая нападки растущего числа конкурентов. Сведения, собранные в процессе исследования внешней среды компании «Командор», легли в основу принятия решения о выборе именно оборонительной стратегии для дальнейшего развития организации. В качестве одной из мер, направленных на успешную реализацию выбранной стратегии, был предложен проект по расширению ассортимента собственной продукции и произведен расчет эффективности данного мероприятия. В результате было доказано, что предприятие может рассчитывать на получение дополнительной прибыли за счет продажи молочных коктейлей собственного производства, даже при условии, что цена на данную продукцию будет ниже, чем среднерыночная. Предложенный проект полностью вписывается в разработанную стратегию развития предприятия и является очень перспективным, учитывая возросший интерес общества к здоровому образу жизни и употреблению исключительно натуральных продуктов. Молочные коктейли, приготовляемые прямо на глазах клиентов из свежих, натуральных ингредиентов, несомненно, поспособствуют росту доверия потребителей к компании. Предприятие без ясной и эффективной стратегии развития — это не бизнес, а набор активов, отягощенных обязательствами. Для того чтобы не только выжить, но и усилить свои конкурентные позиции на рынке, необходимо заниматься стратегическим планированием на профессиональном уровне. Список использованных источников 1 Дебелак Д. Бизнес-модели. Принципы создания процветающей организации. – М., 2009. 2 Deloitte Touche Tohmatsu и STORES Media, «Top 250 Global Retailers 2008» [электронный ресурс]. Режим доступа: http://www.stores.org/stores-magazine-january-2010/global-powers-retailing-top-250. 3 Официальная статистика Министерства Промышленности и Торговли России [электронный ресурс]: «О развитии торговли в 2009 году и в I квартале 2010 года». Режим доступа: http://v2009.minprom.gov.ru/activity/trade/stat/0/print. 4 Фрагмент отчета "Маркетинговое исследование и анализ российского рынка розничной торговли" исследовательской компании «Step by Step» [электронный ресурс]. Режим доступа: http://www.4p.ru/main/research/57357/ 5 Официальный отчет исследовательского агентства "INFOLine". Исследование «Розничная торговля и торговые сети FMCG России. Итоги 2009 года. Прогноз до 2012 года». 6 Официальная статистика ФСГС [электронный ресурс]: «О состоянии торговли в 2009 году». Режим доступа: http://www.gks.ru/bgd/regl/B10_04/IssWWW.exe/Stg/d05/2-trg.htm 7 Хасси Д. Стратегия и планирование. Пер. с англ. Под ред. Л.А. Трофимовой. – СПб.: ПИТЕР, 2001, с. 154-167. 8 Кэмпбелл К.А. Управление проектом на одной странице. – М., 2009. 9 Джексон Л.Т. Хосин Канри. Как заставить стратегию работать. – М., 2008. 10 Ансофф И. Стратегическое управление: Сокр. пер. с англ. / Науч. ред. и авт. предисл. Л.И. Евенко. – М.: Экономика, 1989, с. 68. 11 Официальный сайт ООО «Элита 98» сети супермаркетов «Командор» [электронный ресурс]. Режим доступа: http://www.sm-komandor.ru/ 12 Люкшинов А. Н. Стратегический менеджмент: Учебное пособие для вузов. – М.: ЮНИТИ-ДАНА, 2000, с. 12. 13 Официальная статистика Департамента консалтинга «РосБизнесКонсалтинг» [электронный ресурс]. Режим доступа: http://www.rbc.ru/ [1] FMCG – (англ. Fast Moving Costumer Goods) – товары повседневного спроса |
|||||||||||||||||||||||||||||||||||||||||||||||||||||||||||||||||||||||||||||||||||||||||||||||||||||||||||||||||||||||||||||||||||||||||||||||||||||||||||||||||||||||||||||||||||||||||||||||||||||||||||||||||||||||||||||||||||||||||||||||||||||||||||||||||||||||||||||||||||||||||||||||||||||||||||||||||||||||||||||||||||||||||||||||||||








, (1)