Контрольная работа: Издержки складских систем
|
Название: Издержки складских систем Раздел: Рефераты по маркетингу Тип: контрольная работа | |||||||||||||||||||||||||||||||||||||||||||||||||||||||||||||||||||||
| МОСКОВСКИЙ ИНСТИТУТ ГОСУДАРСТВЕННОГО И КОРПОРАТИВНОГО УПРАВЛЕНИЯ Представительство в г.Уфе КОНТРОЛЬНАЯ РАБОТА По дисциплине: Логистика На тему: Издержки складских систем Выполнил: студент(ка) группы 4Э-6 Денисова А.В. Москва 2010 Содержание 1. Теоретическая часть 2. Практическая часть 1. Издержки складских систем Эффективность логистической системы зависит не только от совершенствования и интенсификации промышленного и транспортного производства, но и от складского хозяйства. Складские системы способствуют: - сохранению качества продукции, материалов, сырья; - повышению ритмичности и организованности производства и работы транспорта; - улучшению использования территории предприятий и фирм; - снижению простоев транспортных средств и транспортных расходов; - высвобождению рабочих от непроизводительных погрузочно-разгрузочных работ для использования их в основном производстве. Складирование продукции необходимо в связи с неравномерностью циклов производства, транспортировки и потребления ее. Складские системы различных типов могут создаваться в начале, середине и конце транспортных грузопотоков или производственных процессов для временного накапливания грузов и своевременного снабжения производства материалами в нужных количествах. Временное складирование (накапливание) продукции обусловлено характером производства и транспорта. Оно позволяет преодолевать временные, пространственные, количественные и качественные несоответствия между наличием и потребностью в материалах в процессе производства и потребления. Кроме операций складирования грузов, выполняются еще и внутрискладские транспортные, погрузочные, разгрузочные, сортировочные, комплектовочные и промежуточные перегрузочные операции, а также некоторые технологические операции. Поэтому складские системы следует рассматривать не только как устройства для хранения грузов, но и как транспортно-складские комплексы, в которых процессы перемещения грузов играют важную роль. Ввиду неравномерности перевозок грузов работа этих комплексов может иметь динамический или стохастический характер. Следует иметь в виду, что складские системы способствуют преобразованию грузопотоков, изменяя параметры принимаемых и выдаваемых партий грузов (по размеру, составу, физическим характеристикам входящих грузов, времени отправки транспортных партий и т.д.). Цель складской системы состоит в том, чтобы принимать с транспорта (например, магистрального) грузопоток с одними параметрами, перерабатывать и выдавать его на другой (например, внутризаводской) с другими параметрами, но и для того, чтобы выполнять это преобразование с минимальными издержками. Существующие складские системы отличаются размерами и сложностью, типами хранимых изделий, издержками, связанными с их работой, характером происходящих в них случайных процессов и характером информации, поступающей к лицам, ответственным за принятие решений. Эти отличия можно трактовать как различия в структуре складских систем; они могут также иметь непосредственно отношение к тому типу стратегии функционирования, которую следует применять при управлении системой. Под стратегией функционирования мы понимаем принятие решения о времени и количестве заказываемой продукции. Для выбора стратегии функционирования складских систем важную роль играют издержки. Существуют пять основных типов издержек, которые оказывают влияние на выбор стратегии функционирования: - издержки, связанные с поставкой; - издержки содержания запасов; - издержки выполнения заказов потребителей; - издержки, связанные с дефицитом запасов, когда поступающие требования не могут быть удовлетворены; - издержки по сбору и обработке данных и по управлению складской системы. Издержки поставок. Эти издержки можно разделить на две части. Первая часть составляет сумма, которую следует уплатить поставщику. Она представляет собой стоимость поставленного товара. Вторая часть – это издержки самой складской системы. В разных системах они могут отличаться, так как они зависят от ряда различных факторов. Эти издержки относят к оформлению и обработке заказа, то есть, расходы на бумагу, зарплату соответствующих работников, стоимость составления отчетных возможностей и так далее. Стоимость транспортирования запаса от поставщика к пункту хранения оплачивается обычно поставщиком и поэтому не оплачивается складской системой. Транспортные издержки зависят от используемого лица транспорта. Издержки содержания запасов. Существуют издержки, связанные с поступлением товара на склад и др. Издержки самой складской системы можно разделить на две категории: издержки, зависящие от размера заказа и на издержки не зависящие от него. К этим издержкам относят: страховка, налоги, арендная плата за складское помещение, если оно не принадлежит системе, стоимость эксплуатации помещения и т.п. В ряде случаев наиболее важными являются не прямые издержки, а косвенные экономические потери, возникающие из-за того, что капитал приходится вкладывать в запасы, вместо того чтобы использовать его в других сферах. Потери такого рода равны наибольшей норме прибыли, которую система могла бы получить от размещения капитала в других сферах деловой активности. Если капиталы инвестируются в складское хозяйство, то они уже не могут приносить указанной прибыли. Следовательно, потерянная прибыль представляет косвенные издержки содержания запасов. Издержки выполнения заказов потребителей обычно состоят из издержек учетных операций (составление накладной, запись в журнале, информация о положении дел и т.д.), зарплаты работников склада, занятых обработкой заказов, издержек на упаковку и транспортирование в случае, если они оплачиваются складской системой. Необходимо отметить, что, не смотря на изменение издержек при колебаниях интенсивности спроса, они не зависят от стратегии управления запасами. Поэтому следует учитывать при определении издержек, которые меняются с изменением стратегии функционирования системы. С другой стороны, издержки, связанные с дефицитом запасов в системе, зависят от стратегии функционирования, постольку именно от нее зависит, какое время в системе наблюдается дефицит запасов. Издержки, связанные с дефицитом. Эти издержки трудно определить. Однако если отсутствуют запасы на складе, теряется покупательский спрос на продукцию (то есть, покупатель в будущем может вести дела с кем-нибудь другим), теряется прибыль. Издержки по сбору и обработке данных включают расходы на сбор информации о спросе на продукцию, учет продукции, расходы по прогнозированию ожидаемого спроса и так далее. Использование этих издержек возможно при нахождении приемлемой стратегии функционирования складской системы. Критерием выбора может быть максимум издержек. 2. Практическая часть
Задача № 1
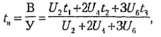
Определите средний простой вагонов на подъездном пути (при номерном способе), если за сутки было подано и убрано восемь шестиосных вагона, десять четырехосных и четыре двухосных вагонов; шестиосные вагоны простояли 8 часов, четырехосные – 2 часа, двухосные – 6 часов. Решение: При номерном способе среднее время простоя вагона определяется по формуле:
Где В – вагоно-часы простоя всех убывших вагонов, У – количество убывших вагонов, ед., t1, t2, t3 - время простоя вагонов, ч, U2, U4, U6 – вагоны двух-, четырех- и шестиосные, ед. 4*6 + 2* (10*2) + 3*(8*8) 256 tн = ________________________________ = __________ = 5,3 4 + 2*10 + 3*8 48
Ответ: Средний простой вагонов равен 5,3
Задача № 2 За период с 1996 по 2002 гг. известен динамический ряд товарооборота регионального склада (таблица 3). Сделайте прогноз товарооборота на 2004 год. Таблица 3 Товарооборот за период 1996 – 2002 гг. (усл. ед.)
Решение: Для прогнозирования используем уравнение прямой y = a + bx где x – рассматриваемый период а - товарооборот при нулевом периоде (х = 0) b – ежегодный прирост Для расчета этих величин составим таблицу Таблица 1 Расчет параметров прогнозирования товарооборота на 2004г.
Найденные значения подставим в формулы a и b, получим
710 212 а = ______ = 101,5 b =_______ = 7,6 7 28 Для прогнозирования товарооборота необходимо продолжить третий столбец (рассматриваемый период) числами, следующими за указанным числом. В нашем случае – это 3, далее рассматриваемый период будет 4, 5, на 2004г. Х = 5, тогда получим y = 101.5 + 7.6x y2004 = 101.5 + (7.6 * 5) = 101.5 + 38 = 139.5 Задача № 3 Предприятие выпускает 7200 изделий в год. Норма расхода материала на 1 изделие составляет 120 кг. Определить величину максимального и минимального уровня запаса, если: подготовительный запас – один день; страховой запас – 50% от текущего запаса; поставки осуществляются раз в квартал. Решение: Максимальный уровень запаса = страховой запас + подготовительный + текущий запас Минимальный уровень запаса = страховой запас + подготовительный запас Потребление в день = 7200 / 360 * 120 = 2400кг Текущий запас – это запас на 90 дней, так как поставки осуществляются раз в квартал, тогда размер текущего запаса будет 90 * 2400кг = 216000кг. Страховой запас равен 50% от текущего запаса, то он будет равен 216000кг * 50% = 108000кг. Подготовительный запас по условию задачи составляет один день, тогда размер запаса будет 1 * 2400кг = 2400кг. Исходя из найденных значений определим максимальный и минимальный уровни запаса: Максимальный уровень запаса = 108000 + 2400 + 216000 = 326400кг Минимальный уровень запаса = 108000 + 2400 = 110400кг. Ответ: Максимальный уровень равен 326400кг., минимальный уровень равен 110400кг. Список использованной литературы 1. Аникин Б.А. Логистика. М.: ИНФРА-М, 2001. 2. Белов И.В. Экономическая теория транспорта. – М.: Транспорт, 2003. 3. Гражданский А.М. Основы логистики. М.: ИВЦ «Маркетинг», 2001. 4. Рынок и логистика. М.: Экономика, 2000. |
