Реферат: Характеристика алкадієнів
|
Название: Характеристика алкадієнів Раздел: Рефераты по химии Тип: реферат | |||
| АЛКАДІЄНИ 1. Номенклатура. Класифікація Назви алкадієнів утворюються як похідні від назв відповідних алканів при заміщенні суфікса -н закінченням -дієн , після якого через дефіс зазначаються локанти, тобто номери атомів карбону, з яких починаються подвійні зв¢язки. При цьому головний ланцюг нумерують таким чином, щоб до нього входили обидва подвійних зв¢язки, а атоми карбону, сполучені подвійними зв¢язками, одержали найменші номери. Для деяких алкадієнів користуються тривіальною номенклатурою, наприклад: CH3 ½ CH2 =CH-CH=CH2 CH2 =C-CH=CH2 CH3 -CH=CH-CH=CH2 Бутадієн-1,3 2-Метилбутадієн Пентадієн-1,3 (дивініл) (ізопрен) (піперилен) Залежно від взаємного розміщення подвійних зв¢язків алкадієни поділяються на три групи: -ізольовані , в яких подвійні зв¢язки в ланцюгу розділені одним чи декількома sp3 -гібридизованими атомами карбону: >C=CH-(CH2 )n -CH=C<, де n = 1,2,3…; Ізольовані алкадієни виявляють хімічні властивості, подібні до звичайних алкенів з тією лише різницею, що у реакцію може вступати не один, а два подвійних зв¢язки незалежно один від одного; -кумульовані алкадієни , в яких обидва подвійні зв¢язки знаходяться поруч і належать одному атому карбону, наприклад: СН2 =С=СН2 Пропадієн (ален) Цю групу алкадієнів часто називають аленовими вуглеводнями за першим членом гомологічного ряду; аленові вуглеводні є нестійкими сполуками, вони швидко ізомеризуються в алкіни, тому не мають самостійного значення; -спряжені алкадієни , в яких подвійні зв¢язки розділені лише одним s-зв¢язком С-С: >C=CH-CH=C<. Саме спряжені алкадієни мають найважливіше значення в органічному синтезі. 2. Електронна будова спряжених алкадієнів
Спряжені сполуки з почерговим розміщенням подвійних і одинарних зв¢язків між атомами карбону в ланцюгу відрізняються за хімічними властивостями від інших ненасичених вуглеводнів, що зумовлюється наявністю електронного ефекту спряження. Спряження – це виникненя єдиної π-електронної хмари внаслідок перекривання негібридизованих рZ -орбіталей атомів карбону, які одночасно утворюють подвійні та одинарні зв ¢ язки С-С. Найпростішим спряженим алкадієном є бутадієн-1,3, в якому всі чотири атоми карбону перебувають у sp2 -гібридизованому стані і складають s-скелет молекули (рис.1). Причому осі sp2 -гібридизованих орбіталей знаходяться на одній площині, а негібридизовані рz -орбіталі кожного атома карбону перпендикулярні до площини s-скелета і паралельні одна відносно одної. Це створює умови їх взаємного перекривання не тільки між атомами С1 -С2 і С3 -С4 , але й частково між С2 -С3 . Завдяки такому боковому перекриванню чотирьох рz -орбіталей утворюється єдина p-електронна хмара – так зване p,p-спряження зв¢язків, при якому p-електрони вже не належать окремим зв¢язкам, а делокалізуються по спряженій системі в цілому.
Делокалізація електронної густини – це її розподілення по всій спряженій системі, по всіх зв ¢ язках і атомах. Рисунок 1 – Утворення спряженої системи в молекулі бутадієну-1,3: жирним пунктиром показане перекривання негібридизованих рz - орбіталей над і під площиною s-скелета Делокалізація p-електронів супроводжується виділенням енергії. Оскільки спряжені системи мають менший запас енергії, вони виявляють більшу стійкість порівняно з ізольованими алкадієнами. Енергія, що вивільняється за рахунок спряження, називається енергією делокалізації, або енергією спряження ; для бутадіну-1,3 вона складає 15кДж/моль.У результаті утворення спряженої системи довжини зв¢язків частково вирівнюються і стають меншими, ніж довжина одинарного зв¢язку в алканах (0,154нм), але більшими, ніж довжина подвійного зв¢язку в алкенах (0,133нм): Н Н½ ½
С С 0,137 нм Н ½ ½ Н Н Схематично ефект спряження та вирівнювання довжин зв¢язків зображують стрілками чи крапками: СН2 ===СН---СН===СН2
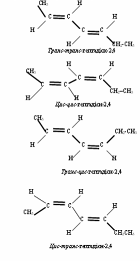
3. Ізомерія алкадієнів Алкадієни здатні виявляти структурну і просторову (геометричну) ізомерію. Наприклад, для складу С7 Н12 ізомери можуть відрізнятися різним положенням як подвійного зв¢язку і бокових радикалів, так і різним просторовим розташуванням вуглецевого ланцюга. Приклади структурних ізомерів: СН2 =СН-СН-СН=СН–СН3 СН3 -С=СН-СН=СН-СН3 ½ ½ СН3 СН3 3-Метигексадієн-1,4 2-Метилгексадієн-2,4 Просторові ізомери гептадієну–2,4
4. Фізичні властивості
За звичайних умов тільки ізомери С4 Н6 перебувають у газовому стані, ізопрен – рідина, решта дієнових вуглеводнів є рідинами чи твердими речовинами залежно від довжини і розгалуженості вуглецевого скелета. Всі вони малорозчинні у воді, але добре розчиняються в органічних розчинниках. 5. Хімічні властивості спряжених алкадієнів
Для алкадієнів найбільш характерними є реакції електрофільного приєднання АЕ , однак на відміну від алкенів наявність спряженої системи дає деякі особливості в реакціях АЕ . Це зумовлює можливість одержання двох продуктів. Один з них отримується за рахунок приєднання за місцем будь-якого подвійного зв¢язку – такий шлях реакції позначають терміном 1,2-приєднання . А інший продукт утворюється внаслідок приєднання до крайніх атомів С, що складають спряжену систему, – так зване 1,4-приєднання . Переважний напрямок проходження реакції залежить від умов її проведення та природи реагентів.І Реакції електрофільного приєднання АЕ . 1 Гідрування при використанні паладієвого каталізатора проходить за 1,2-положенням. Якщо гідрування проводять за допомогою водню у момент його виділення (наприклад, внаслідок дії натрієм на спирт), то реакція проходить переважно за 1,4-положенням. На першій стадії утворюються алкени: +Н2 [Pd]
1,2-Приєднання Бутен-1 СН2 =СН-СН=СН2 ---– Бутадієн-1,3 +Н2 (2С2 Н5 ОН +2Na) ------------------------CH3 -CH=CH-CH3 . 1,4-Приєднання Бутен-2 При надлишку водню відбувається повне гідрування з утворенням алканів: Pt СН2 =СН-СН=СН2 + 2Н2 (надл.)--------- CH3 -CH2 -CH2 -CH3 . Бутадієн-1,3 Бутан 2 Галогенування. Залежно від будови дієнового вуглеводню, природи галогену і умов проведення реакцій можуть утворюватися різні продукти. Найчастіше приєднання стехіометричної кількості (1: 1) хлору Cl2 приводить до приблизно однакового виходу 1,2- і 1,4-дихлоралкенів, а при бромуванні переважає 1,4-продукт. 1,4-Приєднання
½ ½ СН2 =СН-СН=СН2 + Hal2 --- Нal Нal Дивініл 1,4–Дигалогенбутен–2 1,2-Приєднання --------------------- CH2 -CH-CH=CH2 ½ ½ Нal Нal 3,4-Дигалогенбутен–1 При надлишку галогену утворюються тетрагалогеналкани: СН2 =СН-СН=СН2 + 2Br2 (надл.)- H2 Br-CHBr-CHBr-CH2 Br. Дивініл 1,2,3,4- Тетрабромбутан
3 Гідрогалогенування. Приєднання галогеноводнів підлягає тим самим закономірностям. Якщо реакція проходить за 1,2-положенням, то діє правило Марковникова: 1,4-Приєднання
1-Бромбутен-2 СН2 =СН-СН=СН2 + HBr--- Дивініл 1,2-Приєднання -------------------------- CH2 =CH-CHBr-CH3 3-Бромбутен-1 1,4-Приєднання
1,2-Дибромбутан СН2 =СН-СН=СН2 + 2HBr---- Дивініл (надл.) 1,2-Приєднання -------------------- CH3 -CHBr-CHBr-CH3 2,3-Дибромбутан 4 Гіпогалогенування на відміну від попередніх реакцій АЕ проходить переважно у 1,2-положенні згідно із правилом Марковникова: d- d+ 1,2- CH2 =CH-CH=CH2 + HO-Br ------ CH2 Br-CH(OH)-CH=CH2 Дивініл 4- Бромбутен-1-ол-3 ІІ Синхронні (молекулярні) реакції Прикладом синхронних реакцій, при яких розрив хімічних зв’язків проходить одночасно в обох вихідних речовинах, є синтез Дильса-Альдера – нагрівання дієнових вуглеводнів з алкенами чи іншими сполуками, які містять один подвійний зв¢язок >C=C< у ланцюгу. Цей процес широко використовується для одержання шестичленних циклів.
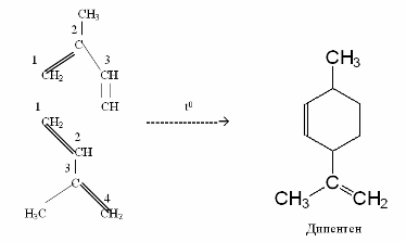
ІІІ Ди- і полімеризація 1Димеризація - це сполучення двох молекул алкадієну, причому одна з молекул реагує за 1,2-, а інша – за 1,4-положенням, наприклад:
Таким чином можна одержувати штучні терпени , наприклад, дипентен:
2 Полімеризація . Алкадієни легко піддаються полімеризації з утворенням каучукоподібних полімерів. Приєднання молекул мономеру одна до одної може проходити як за 1,2-, так і за 1,4-положенням – залежно від умов проведення реакції та природи каталізатора. Al(C2 H5 )3 × TiC n CH2 =CH-CH=CH2 -------------------- (-CH2 -CH=CH-CH2 -)n Дивініл Бутадієновий каучук ІV. Окиснення 1 Реакція Вагнера приводить до багатоатомних спиртів [O] CH2 -CH-CH-CH2 CH2 =CH-CH=CH2 ------------- ½ ½ ½ ½ KMnO4 , H2 O OH OH OH OH Дивініл Бутантетрол-1,2,3,4 2 Сильні окисники руйнують подвійні зв¢язки: [O] CH2 -CH-CH-CH2 CH2 =CH-CH=CH2 ------------- ½ ½ ½ ½ KMnO4 , H2 O OH OH OH OH Дивініл Бутантетрол-1,2,3,4
3 Озонування (реакція Гарієса) дозволяє встановити будову вихідного алкадієну за складом продуктів, що утворилися, наприклад
CH2 =C-CH=CH2 + 2О3 –> CH2 C–CH CH2 - ½ O––O ½ O––O CH3 CH3 Ізопрен Озонід ізопрену 2H2 O –––––––––> 2HCHO + CH3 -C-CHO + 2H2 O2 (Zn) ½½ O Метаналь 2-Оксопропаналь (формальдегід) 6. Одержання алкадієнів
Завдяки великому промисловому значенню алкадієнів розроблено багато способів їх добування. 1 Ступеневе дегідрування бутану та ізопентану над змішаним каталізатором – оксидом хрому (ІІІ) на оксиді алюмінію: t0 , kat t0 , kat СН3 -СН2 -СН2 -СН2 –––––- CH3 -CH2 -CH=CH2 –––––- –H2 –H2 ––––––> CH2 =CH-CH=CH2 . 2Реакція Лебедєва – одночасне дегідрування і дегідратація етанолу: 4400 C 2СН3 -СН2 -ОН –––––––- CH2 =CH-CH=CH2 + 2H2 O + H2 . ZnO/Al2 O3
Лабораторні способи -дегалогенування віцинальних тетрагалогеналканів за допомогою цинку чи магнію: CH2 Br-CHBr-CHBr-CH2 Br +2 Zn - CH2 =CH-CH=CH2 +2 ZnBr2 . 1,2,3,4-Тетрабромбутан Дивініл -дегідрогалогенування 1,4-дигалогеналканів спиртовим розчином лугу: CH2 Br-CH2 -CH2 -CH2 Br+2КОН(спирт.)- 1,4-Дибромбутан ––––>CH2 =CH-CH=CH2 +2KBr+ 2H2 O. Дивініл -дегідратація g-гліколів (двоатомних спиртів з гідроксильними групами в 1,4-положеннях): СН2 -СН2 -СН2 -СН2 t0 ½ ½ –––––––––- CH2 =CH-CH=CH2 + 2H2 O. OH OH H2 SO4 (к) Бутандіол-1,4 7. Застосування алкадієнів Алкадієни (ізопрен, дивініл) використовуються для одержання синтетичних каучуків. Натуральний каучук – високоеластичний матеріал природного походження, який одержують із латексу – соку каучуконосних рослин (гевея, гваюла, кок-сагиз, тау-сагиз та ін.) - при дії на нього коагулянтом – оцтовою кислотою. За складом і будовою натуральний каучук являє собою ізопреновий полімерний ланцюг із цис-конфігурацією, при якій всі однакові групи (у даному випадку –СН2 –) розміщені з одного боку від подвійного зв¢язку. Такий полімер називається стереорегулярним:
С===С СН3 Н n Макромолекула натурального каучуку складається у середньому з 250 елементарних ланок, а молекулярна маса коливається у межах 150000-500000. Для надання каучуку міцності та стійкості до зношування, перепадів температур, дії розчинників і агресивних хімічних реагентів, його піддають вулканізації – нагріванню із сіркою (вулканізатор) у суміші з наповнювачем (найчастіше це сажа), внаслідок чого ланцюги нормальної будови зшиваються у сітчасті тривимірні макромолекули. Вулканізований каучук називають гумою . Гума містить значно менше подвійних зв¢язків, ніж каучук, оскільки частина їх руйнується при взаємодії із сіркою (рис. 2). Якщо вміст сірки досягає 32%, подвійних зв¢язків не залишається, окремі ланцюги фіксуються сульфідними містками, а каучук перетворюється на ебоніт –– тверду речовину з іншими властивостями. Натуральний каучук – дефіцитний дорогий продукт, тому розроблені способи добування синтетичних каучуків із заданими властивостями. Для цього застосовують процес сополімеризації – сумісної полімеризації алкадієнів з іншими ненасиченими сполуками, які можна розглядати як похідні етилену: з вінілхлоридом СН2 =СНСl, стиреном СН2 =СН-С6 Н5 , акрилонітрилом СН2 =СН-CN. Наприклад, сополімер бутадієну і стирену – бутадієнстиреновий каучук, який завдяки великій міцності та стійкості до зношування використовується для виробництва автомобільних шин. Схема сополімеризації: n CH2 =CH-CH=CH2 + n CH2 =CH ---- ½ C6 H5 Бутадієн-1,3 Стирен С6 Н5 ½ –––––> (-CH2 -CH=CH-CH2 -CH-CH2 -)n Бутадієнстиреновий каучук (БСК) Із галогенопохідних дієнових вуглеводнів також одержують цінні види каучуків, наприклад, хлоропреновий каучук , який має високу світло- і термостійкість, а також стійкість до дії розчинників, бензинів, олій, тому на його основі виробляють бензопроводи, шланги для нафтопромислів тощо. n CH2 =CH-C=CH2 -------- (-CH2 –CH=C-CH2 - )n ½ ½ Cl Cl 2-Хлорбутандієн-1,3 Хлоропреновий каучук (хлоропрен) ½ ½ СH3 S H3 C S H3 C
… --CH2 —C—CH—CH2 —CH2 —C==C—CH2 —CH2 ––C––CH––CH2 —… ½ ½ H3 C S CH3 H3 C S
… --CH2 —C—CH — CH2 —HC ==C—CH–– CH2 — CH==C—CH—CH2 –… ½ ½ S S ½ ½ Рисунок 2 – Схема утворення сітчастої структури внаслідок вулканізації натурального каучуку (пунктиром показані межі елементарних ланок) |



---СН2
СН2
---