Реферат: Уточнение простой теории МО ЛКАО. Базисная АО. Эффективный заряд-показатель экспоненты
|
Название: Уточнение простой теории МО ЛКАО. Базисная АО. Эффективный заряд-показатель экспоненты Раздел: Рефераты по химии Тип: реферат | ||||
| Уточнение простой теории МО ЛКАО. Базисная АО. Эффективный заряд-показатель экспоненты Образование молекулярного иона водорода удобно рассматривать в качестве лишь промежуточной стадии в идеализированном адиабатическом процессе слияния протона с атомом водорода: Суммарное электростатическое поле двух сближающихся протонов постепенно пре-вращается в поле гипотетического объединённого точечного заряда Образование молекулярной орбитали основного энергетического уровня молекулярного иона водорода
которые лишаются привычного физического смысла, превращаясь просто в средство математического расчёта электронных свойств молекулы. При этом в показатель экспоненты вместо истинного заряда ядра Z вводится эффективный варьируемый «заряд ядра» Предельные значения этой новой дополнительной переменной известны: 1< <2. Это заряды ядер атомов водорода и гелия. Нормированные базисные функции это уже псевдо-АО (поскольку атомы с промежуточными зарядами ядер не существуют), которые имеют вид: В этом случае полная энергия рассматривается уже как оптимизируемая функция уже двух варьируемых переменных: межъядерного расстояния R и эффективного показателя экспоненты - . Их оптимальные значения соответствуют абсолютному минимумуму полной энергии. Необходимо вычислить энергию в зависимости не только от межъядерного расстояния, но и от эффективного заряда ядра - показателя экспоненты базисной АО ., т.е.:
Проследим все вычисления с самого начала, и необходимые уточнения, связанные с коррекцией базисной АО появляются автоматически как простое следствие более внимательного расчёта. 1.Уровни энергии МО представляют собою собственные числа гамильтониана. Их средние значения определятся общим уравнением:
а если волновые функции МО предварительно были нормированы, то
Волновые функции МО имеют вид линейных комбинаций. Подставим выражение волновой функции МО в формулу энергии. На первой стадии выясним конструкцию получающихся формул, не раскрывая гамильтониан.
т.е. Выражение для энергия оказалась билинейной формой (9, 11). Её слагаемые возникли как парные комбинации базисных элементов - АО, составляющих МО, т.е. они оказываются элементами двумерного массива - матрицы. Подобную конструкцию обычно имеют многие выражения квантовой механики и квантовой химии. Молекулярный гамильтониан сам представляет собою также сумму нескольких слагаемых, и поэтому каждый его матричный элемент также распадается на такое же число отдельных слагаемых. В результате, следуя формуле (9), энергия оказывается суммой слагаемых, число которых равно произведению чисел b h k, первое из которых bэто число слагаемых бра-вектора, второе h - гамильтониана, третье k - кет-вектора. В нашем случае (b, h, k)= (2, 3, 2), так что энергия состоит из двенадцати слагаемых. Для определённости следует индексами указать происхождение каждого из них, т.е. пару базисных АО и то слагаемое гамильтониана, от которого они произошли. 3. Матричные элементы молекулярного гамильтониана. Матричные элементы гамильтониана суть
Они между собою попарно равны, а именно: -диагональные -недиагональные 4. Энергетические уровни. Энергия равна Цель всех расчётов дать читателю возможность осуществить компьютерно-графическое моделирование основных молекулярных характеристик. Атомное и двуцентровые слагаемые молекулярного гамильтониана - матричные элементы гамильтониана а) диагональный элемент имеет вид суммы трёх слагаемых:
б) недиагональный элемент также распадается на три слагаемых. При этом Hba = Hab :
Вначале подойдём ко всем одноэлектронным молекулярным интегралам просто как к параметрам, не раскрывая их. Вычислим их в явном виде чуть далее. Энергетические уровни и молекулярные интегралы Выражение для энергии представим в симметричном виде, а именно: В этой формуле в числителе первой дроби представлены матричные элементы одноцентрового оператора Рассчитанные энергетические уровни МО этой простейшей одноэлектронной молекулы включают лишь те компоненты энергии, которые были учтены в гамильтониане, а именно: кинетическую энергию электрона, движущегося в поле обоих ядер, потенциальную энергию его электростатического (кулоновского) притяжения к обоим ядрам и потенциальную энергию взаимного кулоновского отталкивания ядер. Кинетическая энергия ядер в составленном нами гамильтониане отсутствует, и потому она не включена и в рассчитанные уровни МО, которые в этом виде не совпадают с полной энергией системы в каждом из состояний. Отличие невелико (всего-навсего на величину энергии взаимных периодических движений ядер - колебаний ядерного остова молекулы), и всё же о нём не следует забывать. Для такого напоминания пригодно и само название. Поэтому полученные энергетические функции, рассчитанные в приближении фиксированных ядер называют адиабатическими потенциалами. Устойчивым состояниям молекул отвечают лишь такие адиабатические потенциалы, у которых имеются один или несколько минимумов. Они-то и представляют интерес в первую очередь. Согласно теоретической модели метода МО ЛКАО уровни (адиабатические потенциалы) выражены с помощью нескольких одноэлектронных молекулярных интегралов: 1) 2) 3) 4)
Нормированные молекулярные орбитали имеют вид:
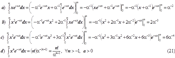
Предварительно введём несколько вспомогательных формул, необходимых для расчёта числовых значений специальных несобственных интегралов вида:
Расчёт энергетические уровни МО (с варьированием показателя экспоненты базисных водородоподобных АО).
Поскольку выбранные нами базисные s-АО не зависят от угловых переменных, то и результат действия на них угловой части лапласиана, составляющей оператор Лежандра, нулевой. Поэтому имеет смысл в выкладках оставить лишь радиальную часть лапласиана, а соответственно, символ частного дифференцирования следует заменить символом полного дифференцирования по единственной оставшейся переменной r . Вычисление матричных элементов одноцентрового (атомного) гамильтониана 1) Диагональные матричные элементы haa = hbb
Нижний индекс в данном пункте расчёта удобно опустить. Слагаемое 1 (порождено потенциальным слагаемым атомного гамильтониана):
Слагаемое 2 (порождено кинетическим слагаемым атомного гамильтониана): Это слагаемое рассчитывается по формуле: а) Заменим дифференциальные операции более простыми выражениями. Для этого рассмотрим преобразуем волновую функцию, следуя операторному уравнению
Из последней цепочки равенств следует координатное выражение атомного оператора кинетической энергии. Опуская в ней промежуточные и оставляя лишь начальное и конечное выражения, приходим к привычной форме операторного уравнения: б) Умножая последнее равенство слева на бра-вектор, получаем искомые кинетические слагаемые и диагонального и недиагонального матричных элементов атомного гамильтониана:
Учитывая нормировку АО Диагональный матричный элемент одноцентрового гамильтониана получается суммированием потенциального и кинетического слагаемых. Он не зависит от межъядерного расстояния: 2) Недиагональные матричные элементы hab = hba
Здесь уже постоянно встречаются оба индекса, и в отличие от расчётов диагонального матричного элемента их опускать нельзя. Слагаемое 1 (Порождено потенциальной частью одноцентрового гамильтониана) Это уже знакомый одноэлектронный резонансный интеграл: Для расчёта одноэлектронных двуцентровых интегралов необходимо перейти к двуцентровой эллиптической системе координат. Слагаемое 2 (Порождено кинетической частью одноцентрового гамильтониана) а) Используем полученное выше выражение для
Результат - весь недиагональный матричный элемент атомного гамильтониана: Суммируя потенциальное и кинетическое слагаемые, получаем недиагональный матричный элемент атомного гамильтониана. Он зависит и от показателя экспоненты, и от межъядерного расстояния:
Для расчёта интегралы S , C , A следует перевести в двуцентровую систему координат. Двуцентровые эллиптические (сфероидальные)координаты Для расчёта необходимы переменные, позволяющие вычислить молекулярные интегралы. В данной задаче такие естественные пространственные переменные возникают в двуцентровой системе координат. В ней всякий эллипсоид вращения характеризуется условием В декартовых координатах пространство разбито на элементы системой взаимно ортогональных плоскостей, а в эллиптической - системами концентрических эллипсоидов, гиперболоидов и пучком плоскостей, пересекающихся на оси вращения. Всякая точка в декартовых координатах вписана в элемент объёма, ограниченный шестью плоскостями, по две вдоль каждой из трёх взаимно перпендикулярных осей координат. В эллиптических координатах точка ограничена: “сверху и снизу” - двумя эллипсоидами вращения, “с торцов” - двумя гиперболоидами вращения, “по бокам” - двумя плоскостями, пересекающимися на оси вращения. Ядра молекулы расположены в полюсах координатных поверхностей второго порядка. В каждой вершине пространственного элемента плоскости, касательные к координатным поверхностям, взаимно перпендикулярны, но элемент пространства изначально не является прямоугольным параллелепипедом, и потому его элементарный объём рассчитывается не просто как произведение дифференциалов координат. Формула для его вычисления окажется сложнее и должна учитывать искривление координатных поверхностей. Вычисление элемента объёма в эллиптических переменных
|
заменяются атомными орбиталями водородоподобного типа,
. (7)
. (15 )
а.е. (17 )
- кулоновский интеграл
- обменный интеграл (18)
-энергия электростатического отталкивания ядер
. (19 )
. (20 )
. (22 Напомним, что в шаровых координатах лапласиан имеет вид
; ( 26)
. (28)
. (29)
. (30)
, (31)
. (32)
. ( 36 )
